Movatterモバイル変換


[0]ホーム

URL:


CN107171976B - Method and device for realizing resource reservation - Google Patents

Method and device for realizing resource reservation
Download PDF

Info

Publication number
CN107171976B
CN107171976BCN201610127439.XACN201610127439ACN107171976BCN 107171976 BCN107171976 BCN 107171976BCN 201610127439 ACN201610127439 ACN 201610127439ACN 107171976 BCN107171976 BCN 107171976B
Authority
CN
China
Prior art keywords
reservation
user
resources
state
server
Prior art date
Legal status (The legal status is an assumption and is not a legal conclusion. Google has not performed a legal analysis and makes no representation as to the accuracy of the status listed.)
Active
Application number
CN201610127439.XA
Other languages
Chinese (zh)
Other versions
CN107171976A (en
Inventor
童遥
申光
Current Assignee (The listed assignees may be inaccurate. Google has not performed a legal analysis and makes no representation or warranty as to the accuracy of the list.)
ZTE Corp
Original Assignee
ZTE Corp
Priority date (The priority date is an assumption and is not a legal conclusion. Google has not performed a legal analysis and makes no representation as to the accuracy of the date listed.)
Filing date
Publication date
Application filed by ZTE CorpfiledCriticalZTE Corp
Priority to CN201610127439.XApriorityCriticalpatent/CN107171976B/en
Priority to PCT/CN2017/075199prioritypatent/WO2017152797A1/en
Publication of CN107171976ApublicationCriticalpatent/CN107171976A/en
Application grantedgrantedCritical
Publication of CN107171976BpublicationCriticalpatent/CN107171976B/en
Activelegal-statusCriticalCurrent
Anticipated expirationlegal-statusCritical

Links

Images

Classifications

Landscapes

Abstract

A method and device for realizing resource reservation comprises the following steps: the method comprises the steps that a combined server receives a reservation request from a user and obtains available resources in a plurality of data centers; the combined server judges that no data center meeting preset conditions exists, and decomposes the reservation request into simple reservation requests corresponding to a plurality of data centers according to the obtained available resources in the plurality of data centers; the preset condition comprises that available resources of the data center comprise all resources in the reservation request; the combined server sends each simple reservation request to a server of a corresponding data center; the federated server returns the received allocated resources from the servers of the multiple data centers to the user.

Description

Method and device for realizing resource reservation
Technical Field
The present disclosure relates to, but not limited to, cloud computing technologies and virtualization technologies, and in particular, to a method and an apparatus for implementing resource reservation.
Background
As one of the most popular distributed computing modes at present, a network (Web) service provides an open platform which is independent of an operating system, programming languages, machine types and operating environments, and realizes the cooperation and sharing of network resources. Resources integrated by a cloud computing platform are mostly provided for users in a form of Web services, many computing tasks often need a large amount of computing resources (including Central Processing Unit (CPU) resources and memory resources) and storage resources to be completed by cooperative work, and Quality of Service (QoS) for effectively controlling and guaranteeing such computing tasks becomes one of important issues facing cloud computing. Due to the dynamic change of the availability and performance of resources in the cloud computing environment, the availability and performance of resources in a future reservation time period are difficult to be guaranteed, and therefore, the introduction of the advance reservation of resources as a guarantee mechanism of QoS into the cloud computing environment faces a challenge. Global network Forum (GGF), Global Grid Forum) defines resource advance reservation as: and the user and the resource owner negotiate to obtain the restrictive access right to the resource in a specified time period. In fact, advance reservation may be viewed as a commitment of the cloud computing platform to obtain a certain level of service within a specified period of time.
In the related art, a method for implementing resource reservation roughly includes:
and the management server of the data center receives the reservation request from the user, judges that all resources in the reservation request exist in the available resources in the data center, allocates the resources for the user from the available resources and returns the allocated resources to the user.
In the related art, when it is determined that all resources in the reservation request do not exist in the available resources in the data center, the management server returns a rejection message to the user, so that the data center has a high rejection rate of the reservation request when the resources are insufficient.
Disclosure of Invention
The embodiment of the invention provides a method and a device for realizing resource reservation, which can reduce the rejection rate of reservation requests.
The embodiment of the invention provides a method for realizing resource reservation, which comprises the following steps:
the method comprises the steps that a combined server receives a reservation request from a user and obtains available resources in a plurality of data centers;
the combined server judges that no data center meeting preset conditions exists, and decomposes the reservation request into simple reservation requests corresponding to a plurality of data centers according to the obtained available resources in the plurality of data centers; the preset condition comprises that available resources of the data center comprise all resources in the reservation request;
the combined server sends each simple reservation request to a server of a corresponding data center;
the federated server returns the received allocated resources from the servers of the multiple data centers to the user.
Optionally, the method further includes:
when the combined server judges that one or more data centers meeting the preset conditions exist, the combined server sends a reservation request to a server of one of the data centers meeting the preset conditions;
the federated server returns to the user the allocated resources received from the server of one of the data centers that satisfies the preset condition.
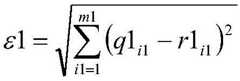
Optionally, the sending, by the federated server, the reservation request to a server in one of the data centers that satisfies the preset condition includes:
the federated server follows a formula
Figure BDA0000936261980000021
Calculating the deviation degree of each data center, and sending the reservation request to a server of the data center with the minimum calculated deviation degree;
wherein ε 1 is the deviation degree, m1 is the number of demand parameters contained in the resource in the reservation request, q1i1The i1 th demand parameter, r1, for a resource in the data centeri1The i1 th demand parameter for the resource in the reservation request.
Optionally, the method further includes:
and the joint server changes the advance reservation state of the user into a preset state.
Optionally, the method further includes:
after the combined server returns the allocated resources to the user, a reservation message is generated and put into a reservation queue;
when the reservation starting time in the reservation message is reached, the combined server judges that the resources allocated in the reservation message are all available, changes the advanced reservation state of the user into an active state, informs the user that the required resources are bound, and informs a data center for allocating the resources to set the resources allocated to the user as unavailable.
Optionally, the method further includes:
when the joint server judges that part or all of the resources allocated in the reservation message are unavailable, the joint server continues to perform the step of acquiring available resources in one or more data centers.
Optionally, the method further includes:
when the reservation ending time in the reservation message is reached, the combined server changes the advanced reservation state of the user into a completion state, and informs a data center for distributing resources to release the resources distributed to the user;
or, when the combined server judges that a preset termination condition is met, the combined server changes the advance reservation state of the user into a termination state, and notifies a data center for allocating resources to release the resources allocated to the user.
Optionally, the method further includes:
the federated server receives a modified reservation request from the user and proceeds to the step of acquiring available resources in one or more data centers.
Optionally, the method further includes:
after receiving a reservation modification request from the user, the combined server changes the advance reservation state of the user into a predetermined renegotiation state or an active renegotiation state;
and after the joint server returns the resources allocated after renegotiation to the user, the advanced reservation state of the user is changed into a preset state or an active state.
Optionally, the method further includes:
and the combined server receives a revocation request from the user, changes the advance reservation state of the user into a revocation state, and informs a data center for distributing resources to release the resources distributed to the user.
The embodiment of the present invention further provides a device for implementing resource reservation, including:
the system comprises an acquisition module, a reservation module and a resource allocation module, wherein the acquisition module is used for receiving a reservation request from a user and acquiring available resources in a plurality of data centers; receiving allocated resources from servers of a plurality of data centers;
the processing module is used for judging that no data center meeting the preset condition exists, and decomposing the reservation request into simple reservation requests corresponding to a plurality of data centers according to the obtained available resources in the plurality of data centers; the preset condition comprises that available resources of the data center comprise all resources in the reservation request; sending each simple reservation request to a server of a corresponding data center;
a return module to return the received allocated resources from the servers of the plurality of data centers to the user.
Optionally, the processing module is further configured to:
when judging that one or more data centers meeting the preset conditions exist, the combined server sends a reservation request to a server of one of the data centers meeting the preset conditions;
the acquisition module is further configured to:
receiving an allocated resource from a server of one of the data centers that satisfies a preset condition;
the return module is further to:
returning to the user the received allocated resources from the server of one of the data centers that satisfies the preset condition.
Optionally, the processing module is further configured to:
and changing the advance reservation state of the user into a preset state.
Optionally, the return module is further configured to:
after the allocated resources are returned to the user, a first notification message is sent to the processing module;
the processing module is further configured to:
receiving a first notification message, generating a reservation message and putting the reservation message into a reservation queue; when the reservation starting time in the reservation message is reached, judging that all the resources allocated in the reservation message are available, changing the advance reservation state of the user into an active state to inform the user that the required resources are bound, and informing a data center for allocating the resources to set the resources allocated to the user as unavailable.
Optionally, the processing module is further configured to:
when judging that part or all of the resources allocated in the reservation message are unavailable, sending a second notification message to the acquisition module;
the acquisition module is further configured to:
and receiving the second notification message, and continuing to execute the step of acquiring available resources in one or more data centers.
Optionally, the processing module is further configured to:
when the reservation ending time in the reservation message is reached, changing the advanced reservation state of the user into a completion state, and informing a data center for distributing resources to release the resources distributed to the user;
or, when the combined server judges that a preset termination condition is met, changing the advance reservation state of the user into a termination state, and informing the data center for allocating resources to release the resources allocated to the user.
Optionally, the obtaining module is further configured to:
receiving a request for a modified reservation from the user, and continuing with the step of acquiring available resources in one or more data centers.
Optionally, the obtaining module is further configured to:
after receiving a modification reservation request from the user, sending a third notification message to the processing module;
the return module is further to:
after the resources distributed after renegotiation are returned to the user, a fourth notification message is sent to the processing module;
the processing module is further configured to:
receiving the third notification message, and changing the advance reservation state of the user into a predetermined renegotiation state or an active renegotiation state; and receiving the fourth notification message, and changing the advance reservation state of the user into a preset state or an active state.
Optionally, the obtaining module is further configured to:
receiving a revocation request from the user, and sending a fifth notification message to the processing module;
the processing module is further configured to:
and receiving the fifth notification message, changing the advance reservation state of the user into a revocation state, and notifying a data center for allocating resources to release the resources allocated to the user.
Compared with the related art, the technical scheme of the embodiment of the invention comprises the following steps: the method comprises the steps that a combined server receives a reservation request from a user and obtains available resources in a plurality of data centers; the combined server judges that no data center meeting preset conditions exists, and decomposes the reservation request into simple reservation requests corresponding to a plurality of data centers according to the obtained available resources in the plurality of data centers; the preset condition comprises that available resources of the data center comprise all resources in the reservation request; the combined server sends each simple reservation request to a server of a corresponding data center; the federated server returns the received allocated resources from the servers of the multiple data centers to the user. According to the scheme of the embodiment of the invention, the request of available resources of a plurality of data centers is realized through the combined server, and when the resource of one data center is insufficient, the resources are distributed for the users from the plurality of data centers, so that the rejection rate of the reservation request is reduced.
Drawings
The accompanying drawings in the embodiments of the present invention are described below, and the drawings in the embodiments are provided for further understanding of the present invention, and together with the description serve to explain the present invention without limiting the scope of the present invention.
Fig. 1 is a flowchart of a method for implementing resource reservation according to an embodiment of the present invention;
fig. 2 is a schematic structural diagram of a system for implementing resource reservation according to an embodiment of the present invention;
fig. 3 is a schematic diagram illustrating a change of an advance reservation state of a user according to an embodiment of the present invention;
fig. 4 is a schematic structural diagram of an apparatus for implementing resource reservation according to the present invention.
Detailed Description
The following further description of the present invention, in order to facilitate understanding of those skilled in the art, is provided in conjunction with the accompanying drawings and is not intended to limit the scope of the present invention. In the present application, the embodiments and various aspects of the embodiments may be combined with each other without conflict.
Referring to fig. 1, an embodiment of the present invention provides a method for implementing resource reservation, including:
step 100, the combined server receives a reservation request from a user, and acquires available resources in a plurality of data centers.
In this step, the reservation request includes: reservation start time, reservation end time, QoS requirement parameters, resources requested for reservation.
The QoS requirement parameters include the service level that the user wants to achieve, i.e. the requirement parameter corresponding to each resource. For example, the number of virtual CPU cores, the size of a memory, the disk space, the number of network cards, the number of ports, a network bandwidth, an Internet Protocol (IP) address, a Media Access Control (MAC) address, and the like.
Wherein the resource requesting reservation includes any one or more of the following: computing resources, storage resources, network resources, and the like.
The computing resources include Central Processing Unit (CPU) resources and memory resources, and the network resources include network bandwidth resources and the like.
In this step, fig. 2 is a schematic structural composition diagram of a system for implementing resource reservation according to an embodiment of the present invention. As shown in fig. 2, the federated server may obtain available resources in one or more data centers from the global information center, and may specifically obtain the available resources by sending an instruction to query the global information center for the available resources. The global information center may be a server.
The federated server may also obtain the available resources in the data centers from each data center. Specifically, the available resources may be obtained by sending an instruction for querying the available resources to each data center, and the available resources of each data center may be integrated.
Each data center includes a server and a device on which one or more resources reside. In each data center, the same kind of resources may be categorized in the servers of the data center by using Virtual Resource Containers (VRCs) to form a Virtual Resource list, and each entry in the Virtual Resource list includes an available state of each kind of Resource, that is, whether the kind of Resource is currently available.
Each data center can automatically detect the dynamic joining and exiting of resources, such as the starting and closing of the equipment where the resources are located. When dynamic joining and exiting of resources is detected, a server of the data center automatically updates a virtual resource list in the VRC.
The VRC receives an instruction for inquiring available resources from the joint server through the advance reservation interface and returns the available resources of the VRC to the joint server through the advance reservation interface.
Step 101, the combined server judges that no data center meeting preset conditions exists, and decomposes the reservation request into simple reservation requests corresponding to a plurality of data centers according to the obtained available resources in the plurality of data centers.
In this step, the preset condition includes that the available resources of the data center include all resources in the reservation request.
In this step, the simple reservation request includes: reservation start time, reservation end time, QoS requirement parameters, resources requested for reservation.
Wherein the resource requested to be reserved in the simple reservation request is a part of the resource requested to be reserved in the reservation request.
In this step, when the reservation request is decomposed into simple reservation requests corresponding to the multiple data centers according to the obtained available resources in the multiple data centers, whether available resources exist in each data center can be respectively checked according to the types of the resources in the reservation request. For example, if the reservation request includes a computing resource, a storage resource, and a network resource, the reservation request may be decomposed into a plurality of three simple reservation requests, which are a simple reservation request corresponding to the computing resource, a simple reservation request corresponding to the storage resource, and a simple reservation request corresponding to the network resource, and then whether each data center has an available requested computing resource, an available requested storage resource, and an available requested network resource is determined according to available resources in each data center, and if so, the decomposed simple reservation request is sent to the corresponding data center.
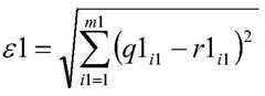
For the requested resource in each simple reservation request, if there are multiple data centers that have the requested resource available, the formula can be followed
Figure BDA0000936261980000091
Calculating the deviation degree of one resource of each data center; and sending the simple reservation request to the data center with the minimum deviation degree obtained by calculation.
Wherein ε 2 is the deviation degree, m2 is the number of demand parameters contained in one resource in the reservation request, q2i2The i2 th demand parameter, r2, for a resource in the data centeri2The i2 th requirement parameter for a resource in the reservation request.
For example, if the demand parameters of the computing resources include the number of CPU cores and the size of the memory, m is 2, and if the demand parameters of the storage resources include the size of the storage space, m is 1.
And 102, the combined server sends each simple reservation request to a server of the corresponding data center.
In this step, after the server of each data center receives the simple reservation request, the server allocates the resource requested to be reserved in the simple reservation request to the user, and returns the allocated resource to the combined server.
Step 103, the federated server returns the received allocated resources from the servers of the plurality of data centers to the user.
According to the scheme of the embodiment of the invention, the request of available resources of a plurality of data centers is realized through the combined server, and when the resource of one data center is insufficient, the resources are distributed for the users from the plurality of data centers, so that the rejection rate of the reservation request is reduced.
Optionally, the method further includes:
when the combined server judges that one or more data centers meeting preset conditions exist, the combined server sends a reservation request to a server of one of the data centers meeting the preset conditions; the federated server returns to the user the allocated resources received from the server of one of the data centers that satisfies the preset condition.
The reservation request can be sent to any server in the data center meeting the preset condition, or the reservation request can be sent to the data center with the most idle resources in the data center meeting the preset condition.
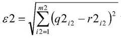
Alternatively, the federated server follows a formula
Figure BDA0000936261980000101
Calculating the deviation degree of each data center, and sending the reservation request to a server of the data center with the minimum calculated deviation degree;
wherein ε 1 is the deviation degree, m1 is the number of demand parameters contained in the resource in the reservation request, q1i1The i1 th demand parameter, r1, for a resource in the data centeri1The i1 th demand parameter for the resource in the reservation request.
Optionally, the method further includes:
when the combined server receives a reservation request from a user, setting the advance reservation state of the user as a request reservation negotiation state; and after the joint server returns the allocated resources to the user, the pre-reserved state of the user is changed into a preset state.
Fig. 3 is a schematic diagram illustrating a change of an advance reservation state of a user according to an embodiment of the present invention. As shown in fig. 3, when the federated server receives a reservation request from a user, the advance reservation state of the user is a request reservation negotiation state; after the combined server returns the allocated resources to the user, successful negotiation is carried out, and the advance reservation state of the user is changed into a preset state.
Optionally, the method further includes:
after the joint server returns the allocated resources to the user, a reservation message is generated and put into a reservation queue; when the reservation starting time in the reservation message is reached, the combined server judges that the resources allocated in the reservation message are all available, changes the advanced reservation state of the user into an active state, informs the user that the required resources are bound, and informs the server for allocating the resources to set the resources allocated to the user as unavailable.
Optionally, when the reservation starting time in the reservation message reaches, if it is determined that the current advance reservation state of the user is the predetermined state, it is determined whether the resource allocated in the reservation message is available, and the subsequent process is continuously executed.
If the current advance reservation state of the user is judged to be a termination state or a revocation state, the process is ended.
As shown in fig. 3, when the reservation start time arrives, the advance reservation state of the user changes to the active state.
The reservation message comprises reservation starting time, reservation ending time, QoS requirement parameters, reservation types, reservation identifications and resources allocated to each data center.
The reservation type specifies whether the reservation message is a simple reservation message or a combined reservation message, the simple reservation message can be completed only by the resources of one data center, and the combined reservation message can be completed by the cooperation of the resources of a plurality of data centers.
The reserved identifier is an identifier allocated to the user after the joint server returns the allocated resources to the user.
When the reservation starting time in the reservation message is reached, the joint server reacquires the available resources of each data center, and judges whether the allocated resources are available according to the reacquired available resources, namely, whether the allocated resources exist in the reacquired available resources is searched.
After the method is adopted, the combined server can adopt a parallel method to process the reservation request, so that the processing speed is increased, and the user experience is improved.
Optionally, the method further includes:
when the federated server determines that some or all of the resources allocated in the reservation message are unavailable, the federated server proceeds to perform the step of acquiring available resources in one or more data centers.
Optionally, the method further includes:
when the reservation ending time in the reservation message is reached, the combined server changes the extraction reservation state of the user into a completion state and informs the data center for distributing the resources to release the resources distributed to the user;
or when the combined server judges that the preset termination condition is met, the combined server changes the advance reservation state of the user into a termination state, and informs the data center for distributing the resources to release the resources distributed to the user.
Wherein, the joint server judges that the preset termination condition is met, and the judgment comprises the following steps:
the federated server receives a termination request from the user.
Alternatively, a termination condition may be set in the federated server in advance, and when satisfied, the advance reservation state of the user is changed to a termination state. The termination condition may be any condition.
Optionally, the method further includes:
the federated server receives a modified reservation request from the user and proceeds to the step of acquiring available resources in one or more data centers.
When judging whether the data center meeting the preset condition exists, judging whether available resources of the data center comprise all resources in the modification reservation request.
Optionally, the method further includes:
after receiving a reservation modification request from a user, the combined server changes the advance reservation state of the user into a predetermined renegotiation state or an active renegotiation state; and after the joint server returns the resources allocated after renegotiation to the user, the advance reservation state of the user is changed into a preset state or an active state.
Specifically, when the advance reservation state of the user is a predetermined state before the combined server receives the modification reservation request from the user, the combined server changes the advance reservation state of the user into a predetermined renegotiation state after receiving the modification reservation request from the user; and after the joint server returns the resources allocated after renegotiation to the user, the advance reservation state of the user is changed into a preset state.
When the advance reservation state of the user is in an active state before the combined server receives a modification reservation request from the user, the combined server changes the advance reservation state of the user into an active renegotiation state after receiving the modification reservation request from the user; and after the joint server returns the resources allocated after renegotiation to the user, the pre-reserved state of the user is changed into an active state.
Optionally, the method further includes:
the combined server receives a revocation request from a user, changes the advance reservation state of the user into a revocation state, and notifies a data center which allocates resources to release the resources allocated to the user.
Optionally, the method further includes:
and when the joint server judges that the available resources of all the data centers do not comprise all the resources in the reservation request, the joint server returns a rejection message to the user.
Optionally, the federated server changes the advance reservation state of the user to a refusal state.
Referring to fig. 4, an embodiment of the present invention further provides a device for implementing resource reservation, including:
the system comprises an acquisition module, a reservation module and a resource allocation module, wherein the acquisition module is used for receiving a reservation request from a user and acquiring available resources in a plurality of data centers; receiving allocated resources from servers of a plurality of data centers;
the processing module is used for judging that no data center meeting the preset condition exists, and decomposing the reservation request into simple reservation requests corresponding to a plurality of data centers according to the obtained available resources in the plurality of data centers; the preset condition comprises that available resources of the data center comprise all resources in the reservation request; sending each simple reservation request to a server of a corresponding data center;
a return module to return the received allocated resources from the servers of the plurality of data centers to the user.
In the apparatus of the embodiment of the present invention, the processing module is further configured to:
when judging that one or more data centers meeting preset conditions exist, the combined server sends a reservation request to a server of one of the data centers meeting the preset conditions;
the acquisition module is further configured to:
receiving an allocated resource from a server of one of the data centers that satisfies a preset condition;
the return module is further to:
the allocated resources received from the server of one of the data centers that satisfies the preset condition are returned to the user.
In the apparatus of the embodiment of the present invention, the processing module is further configured to:
the advance reservation state of the user is changed to a predetermined state.
In the apparatus of the embodiment of the present invention, the return module is further configured to:
after the allocated resources are returned to the user, a first notification message is sent to the processing module;
the processing module is further configured to:
receiving a first notification message, generating a reservation message and putting the reservation message into a reservation queue; when the reservation starting time in the reservation message is reached, judging that all the resources allocated in the reservation message are available, changing the advance reservation state of the user into an active state, informing the user that the required resources are bound, and informing the data center for allocating the resources to set the resources allocated to the user as unavailable.
In the apparatus of the embodiment of the present invention, the processing module is further configured to:
when judging that part or all of the resources allocated in the reservation message are unavailable, sending a second notification message to the acquisition module;
the acquisition module is further configured to:
and receiving the second notification message, and continuing to execute the step of acquiring available resources in one or more data centers.
In the apparatus of the embodiment of the present invention, the processing module is further configured to:
when the reservation ending time in the reservation message is reached, changing the advance reservation state of the user into a completion state, and informing a data center for distributing resources to release the resources distributed to the user;
or when the combined server judges that the preset termination condition is met, changing the advance reservation state of the user into a termination state, and informing the data center for distributing the resources to release the resources distributed to the user.
In the apparatus of the embodiment of the present invention, the obtaining module is further configured to:
a modified reservation request is received from a user and the step of acquiring available resources in one or more data centers is continued.
In the apparatus of the embodiment of the present invention, the obtaining module is further configured to:
after receiving a request for modifying the reservation from a user, sending a third notification message to the processing module;
the return module is further to:
after the resources distributed after renegotiation are returned to the user, a fourth notification message is sent to the processing module;
the processing module is further configured to:
receiving a third notification message, and changing the advance reservation state of the user into a predetermined renegotiation state or an active renegotiation state; and receiving a fourth notification message, and changing the advance reservation state of the user into a preset state or an active state.
In the apparatus of the embodiment of the present invention, the obtaining module is further configured to:
receiving a revocation request from a user, and sending a fifth notification message to the processing module;
the processing module is further configured to:
and receiving a fifth notification message, changing the advance reservation state of the user into a revocation state, and notifying the data center for allocating resources to release the resources allocated to the user.
It should be noted that the above-mentioned embodiments are only for facilitating the understanding of those skilled in the art, and are not intended to limit the scope of the present invention, and any obvious substitutions, modifications, etc. made by those skilled in the art without departing from the inventive concept of the present invention are within the scope of the present invention.

Claims (16)

1. A method for implementing resource reservation, comprising:
the combined server receives a reservation request from a user and acquires available resources in each data center;
the combined server judges that no data center meeting preset conditions exists, and decomposes the reservation request into simple reservation requests corresponding to a plurality of data centers according to the obtained available resources in each data center; the preset condition comprises that available resources of the data center comprise all resources in the reservation request;
the combined server sends each simple reservation request to a server of a corresponding data center;
the joint server returns the received distributed resources from the servers of the plurality of data centers to the user;
when the combined server judges that one or more data centers meeting the preset conditions exist, the combined server sends a reservation request to a server of one of the data centers meeting the preset conditions;
the federated server returns to the user the received allocated resources from the server of one of the data centers that satisfies the preset condition; the method for the federated server to send a reservation request to a server in one of the data centers that satisfies a preset condition includes:
the federated server follows a formula
Figure FDA0003415875200000011
Calculating the deviation degree of each data center, and sending the reservation request to the calculatedThe server of the data center with the minimum deviation degree;
wherein ε 1 is the deviation degree, m1 is the number of demand parameters contained in the resource in the reservation request, q1i1The i1 th demand parameter, r1, for a resource in the data centeri1The i1 th demand parameter for the resource in the reservation request.
2. The method of claim 1, further comprising:
and the joint server changes the advance reservation state of the user into a preset state.
3. The method of claim 1, further comprising:
after the combined server returns the allocated resources to the user, a reservation message is generated and put into a reservation queue;
when the reservation starting time in the reservation message is reached, the combined server judges that the resources allocated in the reservation message are all available, changes the advanced reservation state of the user into an active state, informs the user that the required resources are bound, and informs a data center for allocating the resources to set the resources allocated to the user as unavailable.
4. The method of claim 3, further comprising:
when the union server determines that some or all of the resources allocated in the reservation message are unavailable, the union server continues to perform the step of acquiring the available resources in each data center.
5. The method of claim 3, further comprising:
when the reservation ending time in the reservation message is reached, the combined server changes the advanced reservation state of the user into a completion state, and informs a data center for distributing resources to release the resources distributed to the user;
or, when the combined server judges that a preset termination condition is met, the combined server changes the advance reservation state of the user into a termination state, and notifies a data center for allocating resources to release the resources allocated to the user.
6. The method of claim 1, further comprising:
the federated server receives a request for a modified reservation from the user, and proceeds with the step of acquiring available resources in each data center.
7. The method of claim 6, further comprising:
after receiving a reservation modification request from the user, the combined server changes the advance reservation state of the user into a predetermined renegotiation state or an active renegotiation state;
and after the joint server returns the resources allocated after renegotiation to the user, the advanced reservation state of the user is changed into a preset state or an active state.
8. The method of claim 1, further comprising:
and the combined server receives a revocation request from the user, changes the advance reservation state of the user into a revocation state, and informs a data center for distributing resources to release the resources distributed to the user.
9. An apparatus for implementing resource reservation, comprising:
the acquisition module is used for receiving a reservation request from a user and acquiring available resources in each data center; receiving allocated resources from servers of a plurality of data centers;
the processing module is used for judging that no data center meeting the preset condition exists, and decomposing the reservation request into simple reservation requests corresponding to a plurality of data centers according to the obtained available resources in each data center; the preset condition comprises that available resources of the data center comprise all resources in the reservation request; sending each simple reservation request to a server of a corresponding data center;
a return module for returning the received allocated resources from the servers of the plurality of data centers to the user; the processing module is further configured to:
when judging that one or more data centers meeting the preset conditions exist, sending a reservation request to a server of one of the data centers meeting the preset conditions; the server transmitting the reservation request to one of the data centers satisfying the preset condition includes:
according to the formula
Figure FDA0003415875200000031
Calculating the deviation degree of each data center, and sending the reservation request to a server of the data center with the minimum calculated deviation degree;
wherein ε 1 is the deviation degree, m1 is the number of demand parameters contained in the resource in the reservation request, q1i1The i1 th demand parameter, r1, for a resource in the data centeri1The i1 th demand parameter for the resource in the reservation request;
the acquisition module is further configured to:
receiving an allocated resource from a server of one of the data centers that satisfies a preset condition;
the return module is further to:
returning to the user the received allocated resources from the server of one of the data centers that satisfies the preset condition.
10. The apparatus of claim 9, wherein the processing module is further configured to:
and changing the advance reservation state of the user into a preset state.
11. The apparatus of claim 9, wherein the return module is further configured to:
after the allocated resources are returned to the user, a first notification message is sent to the processing module;
the processing module is further configured to:
receiving a first notification message, generating a reservation message and putting the reservation message into a reservation queue; when the reservation starting time in the reservation message is reached, judging that all the resources allocated in the reservation message are available, changing the advance reservation state of the user into an active state to inform the user that the required resources are bound, and informing a data center for allocating the resources to set the resources allocated to the user as unavailable.
12. The apparatus of claim 11, wherein the processing module is further configured to:
when judging that part or all of the resources allocated in the reservation message are unavailable, sending a second notification message to the acquisition module;
the acquisition module is further configured to:
and receiving the second notification message, and continuing to execute the step of acquiring the available resources in each data center.
13. The apparatus of claim 11, wherein the processing module is further configured to:
when the reservation ending time in the reservation message is reached, changing the advanced reservation state of the user into a completion state, and informing a data center for distributing resources to release the resources distributed to the user;
or, when the preset termination condition is judged to be met, changing the advance reservation state of the user into a termination state, and informing the data center for distributing the resources to release the resources distributed to the user.
14. The apparatus of claim 9, wherein the obtaining module is further configured to:
receiving a request for a modified reservation from the user, and continuing with the step of acquiring available resources in each data center.
15. The apparatus of claim 14, wherein the obtaining module is further configured to:
after receiving a modification reservation request from the user, sending a third notification message to the processing module;
the return module is further to:
after the resources distributed after renegotiation are returned to the user, a fourth notification message is sent to the processing module;
the processing module is further configured to:
receiving the third notification message, and changing the advance reservation state of the user into a predetermined renegotiation state or an active renegotiation state; and receiving the fourth notification message, and changing the advance reservation state of the user into a preset state or an active state.
16. The apparatus of claim 9, wherein the obtaining module is further configured to:
receiving a revocation request from the user, and sending a fifth notification message to the processing module;
the processing module is further configured to:
and receiving the fifth notification message, changing the advance reservation state of the user into a revocation state, and notifying a data center for allocating resources to release the resources allocated to the user.
CN201610127439.XA2016-03-072016-03-07Method and device for realizing resource reservationActiveCN107171976B (en)

Priority Applications (2)

Application NumberPriority DateFiling DateTitle
CN201610127439.XACN107171976B (en)2016-03-072016-03-07Method and device for realizing resource reservation
PCT/CN2017/075199WO2017152797A1 (en)2016-03-072017-02-28Method and device for resource reservation

Applications Claiming Priority (1)

Application NumberPriority DateFiling DateTitle
CN201610127439.XACN107171976B (en)2016-03-072016-03-07Method and device for realizing resource reservation

Publications (2)

Publication NumberPublication Date
CN107171976A CN107171976A (en)2017-09-15
CN107171976Btrue CN107171976B (en)2022-03-25

Family

ID=59788959

Family Applications (1)

Application NumberTitlePriority DateFiling Date
CN201610127439.XAActiveCN107171976B (en)2016-03-072016-03-07Method and device for realizing resource reservation

Country Status (2)

CountryLink
CN (1)CN107171976B (en)
WO (1)WO2017152797A1 (en)

Families Citing this family (4)

* Cited by examiner, † Cited by third party
Publication numberPriority datePublication dateAssigneeTitle
CN110532092A (en)*2019-08-212019-12-03云湾科技(嘉兴)有限公司Reso urce matching method, device and equipment
CN110784335B (en)*2019-09-192022-09-02烽火通信科技股份有限公司Network element resource reservation system under cloud scene
CN113127185B (en)*2019-12-312023-11-10北京懿医云科技有限公司Task execution queue processing method and device, storage medium and electronic equipment
CN115499388B (en)*2022-08-302024-04-12阿里巴巴(中国)有限公司Virtual host resource allocation method, device, equipment and storage medium

Citations (3)

* Cited by examiner, † Cited by third party
Publication numberPriority datePublication dateAssigneeTitle
CN101485216A (en)*2006-05-122009-07-15松下电器产业株式会社 Reserve radio resource for user in mobile communication system
CN101783768A (en)*2010-03-082010-07-21东南大学Quantity assurance method of grid service based on resource reservation
CN102014159A (en)*2010-11-292011-04-13华中科技大学Layered resource reservation system under cloud computing environment

Family Cites Families (3)

* Cited by examiner, † Cited by third party
Publication numberPriority datePublication dateAssigneeTitle
US7640547B2 (en)*2002-02-082009-12-29Jpmorgan Chase & Co.System and method for allocating computing resources of a distributed computing system
CN102929687B (en)*2012-10-122016-05-25山东省计算中心(国家超级计算济南中心)A kind of energy-conservation cloud computing data center virtual machine laying method
CN104301391B (en)*2014-09-192019-02-22北京邮电大学 Multi-domain optical network data center resource virtualization mapping method

Patent Citations (3)

* Cited by examiner, † Cited by third party
Publication numberPriority datePublication dateAssigneeTitle
CN101485216A (en)*2006-05-122009-07-15松下电器产业株式会社 Reserve radio resource for user in mobile communication system
CN101783768A (en)*2010-03-082010-07-21东南大学Quantity assurance method of grid service based on resource reservation
CN102014159A (en)*2010-11-292011-04-13华中科技大学Layered resource reservation system under cloud computing environment

Also Published As

Publication numberPublication date
CN107171976A (en)2017-09-15
WO2017152797A1 (en)2017-09-14

Similar Documents

PublicationPublication DateTitle
US11265258B2 (en)Network device, controller, queue management method, and traffic management chip
EP3585114B1 (en)Method, device and system for configuring network slice
EP3735043B1 (en)Network slice deployment method and apparatus
CN107171976B (en)Method and device for realizing resource reservation
CN108632063B (en)Method, device and system for managing network slice instances
US9379996B2 (en)Bandwidth virtualization
EP3531749B1 (en)Management method, management unit and system for network function
CN109391503B (en) A network slice management method and device
CN105228126A (en)A kind of method and system of Network Access Point trustship
WO2022111185A1 (en)Processing method and apparatus for sla policy, server and service node
CN106161652A (en)Privately owned cloud platform based on Zstack request and dispatching method thereof
CN105451356A (en) Method and device for allocating SIM card resources
US20180013860A1 (en)Method and apparatus for determining to-be-uploaded nsd
CN109302302B (en)Method, system and computer readable storage medium for scaling service network element
CN114024855B (en)Fusion method and device of network slice and edge cloud
CN108551477A (en) Data transmission channel establishment system, network storage device, server and method
CN112449301B (en)Broadcast method of positioning auxiliary information, positioning server and RAN node
CN104780591B (en)Business interoperability implementation method, device, system and relevant device between terminal device
RU2522995C2 (en)Method and apparatus for creating peer-to-peer group in peer-to-peer application and method of using peer-to-peer group
CN113556778B (en)Guaranteed bit rate data transmission control method, device, system and medium
CN115211157B (en)Application function session processing method, application function session processing device and storage medium
CN106507224B (en)Method and related device for acquiring target file
US9667562B2 (en)Method and apparatus for supporting variable bit-rate reservations
CN112732440A (en) Resource allocation method, device, cloud platform server and edge node device
CN113132188B (en) A communication method and network equipment

Legal Events

DateCodeTitleDescription
PB01Publication
PB01Publication
SE01Entry into force of request for substantive examination
SE01Entry into force of request for substantive examination
GR01Patent grant
GR01Patent grant

[8]ページ先頭

©2009-2025 Movatter.jp