









技术领域technical field
本发明涉及显示技术领域,尤其涉及一种显示方法、显示装置。The present invention relates to the field of display technology, and in particular, to a display method and a display device.
背景技术Background technique
随着显示技术的发展,显示屏的分辨率越来越高,而高分辨率的显示屏存在处理数据量大,传输困难的问题,现有技术中采用BV3像素结构的显示面板解决了数据量大,传输困难的问题,BV3像素结构如图1所示,包括若干阵列排列的红色(R)子像素、绿色(G)子像素和蓝色(B)子像素,在列方向上,同一颜色的子像素不相邻,且奇数行和偶数行的子像素不对齐,也就是说BV3像素结构的显示面板中不同的行是不对齐的,即相邻行的起始位置“错开”半个子像素,从而在列方向上,各子像素(除去边缘的少数子像素)均同时与其一相邻行的两个子像素相邻,并位于这两个子像素中间,此时三种不同颜色的子像素之间交叉,呈近似“品字形”的形状。With the development of display technology, the resolution of the display screen is getting higher and higher, and the high-resolution display screen has the problem of large amount of data processing and difficult transmission. The problem of large, difficult transmission, the BV3 pixel structure is shown in Figure 1, including several red (R) sub-pixels, green (G) sub-pixels and blue (B) sub-pixels arranged in an array. In the column direction, the same color The sub-pixels are not adjacent, and the sub-pixels of odd-numbered rows and even-numbered rows are not aligned, that is to say, different rows in the display panel of the BV3 pixel structure are not aligned, that is, the starting positions of adjacent rows are "staggered" by half a sub-pixel. Therefore, in the column direction, each sub-pixel (a small number of sub-pixels except the edge) is adjacent to two sub-pixels in an adjacent row at the same time, and is located in the middle of these two sub-pixels, at this time, three sub-pixels of different colors are It crosses between them in a shape similar to that of a "pin-shaped".
而目前输入到BV3像素结构的显示面板中的图像信息是Real RGB像素结构的图像信息,Real RGB像素结构如图2所示,包括若干阵列排列的R子像素、G子像素和B子像素,在列方向上,同一颜色的子像素相邻,且奇数行和偶数行的子像素对齐;并且Real RGB像素结构中由相邻的六个子像素组成的两个第二像素21的尺寸与BV3像素结构中由相邻的三个子像素组成的一个第一像素11的尺寸相同。The image information currently input to the display panel of the BV3 pixel structure is the image information of the Real RGB pixel structure. The Real RGB pixel structure is shown in Figure 2, including several R sub-pixels, G sub-pixels and B sub-pixels arranged in an array. In the column direction, the sub-pixels of the same color are adjacent, and the sub-pixels of the odd-numbered and even-numbered rows are aligned; and the size of the two second pixels 21 composed of adjacent six sub-pixels in the Real RGB pixel structure is the same as that of the BV3 pixel. In the structure, a first pixel 11 composed of three adjacent sub-pixels has the same size.
由于输入到BV3像素结构的显示面板中的图像信息是Real RGB像素结构的图像信息,因此需要使用图像渲染方法将Real RGB像素结构对应的图像信息渲染成BV3像素结构对应的图像信息,现有技术在渲染过程中,不管输入的图像信息对应的待显示图像的类型是文字还是风景、人物,均使用相同的图像渲染方法进行图像处理。Since the image information input into the display panel of the BV3 pixel structure is the image information of the Real RGB pixel structure, it is necessary to use an image rendering method to render the image information corresponding to the Real RGB pixel structure into the image information corresponding to the BV3 pixel structure. During the rendering process, regardless of whether the type of the image to be displayed corresponding to the input image information is text, landscape, or person, the same image rendering method is used for image processing.
综上所述,现有技术由于在渲染过程中,对文字和风景、人物均使用相同的图像渲染方法,会导致消耗的硬件资源较大;另外,现有技术采用的图像渲染方法会带来当显示内容中出现了很细的字体时,处理后的字体会出现字体模糊的问题。To sum up, the prior art uses the same image rendering method for text, scenery, and characters in the rendering process, which will result in a large consumption of hardware resources; in addition, the image rendering method adopted in the prior art will bring When very thin fonts appear in the displayed content, the processed fonts will appear blurry.
发明内容SUMMARY OF THE INVENTION
有鉴于此,本发明实施例提供了一种显示方法、显示装置,用以在图像渲染过程中,降低硬件资源的消耗。In view of this, embodiments of the present invention provide a display method and a display device to reduce the consumption of hardware resources during an image rendering process.
本发明实施例提供的一种显示方法,适用于BV3像素结构的显示面板,所述BV3像素结构包括若干阵列排列的第一子像素,其中,该方法包括:A display method provided by an embodiment of the present invention is suitable for a display panel with a BV3 pixel structure, wherein the BV3 pixel structure includes a plurality of first sub-pixels arranged in an array, wherein the method includes:
接收输入的Real RGB像素结构对应的图像信息,所述Real RGB像素结构包括若干阵列排列的第二子像素;receiving image information corresponding to the input Real RGB pixel structure, where the Real RGB pixel structure includes several second sub-pixels arranged in an array;
根据所述图像信息确定待显示图像的类型,当所述待显示图像的类型不同时,选择不同的图像渲染方法将所述图像信息处理为新的图像信息;所述待显示图像的类型包括文字类型和非文字类型;The type of the image to be displayed is determined according to the image information, and when the types of the images to be displayed are different, different image rendering methods are selected to process the image information into new image information; the type of the image to be displayed includes text types and non-literal types;
按照所述新的图像信息驱动所述BV3像素结构的显示面板显示所述待显示图像。The display panel with the BV3 pixel structure is driven to display the to-be-displayed image according to the new image information.
由本发明实施例提供的显示方法,该显示方法包括:接收输入的Real RGB像素结构对应的图像信息;根据图像信息确定待显示图像的类型,当待显示图像的类型不同时,选择不同的图像渲染方法将图像信息处理为新的图像信息;待显示图像的类型包括文字类型和非文字类型;最后按照处理后的新的图像信息驱动BV3像素结构的显示面板显示;与现有技术在图像渲染过程中,不管待显示图像的类型是是文字还是风景、人物,均使用相同的图像渲染方法进行图像处理相比,本发明实施例在图像渲染过程中,能够减少渲染方法运算内存消耗,进而降低硬件资源的消耗。A display method provided by an embodiment of the present invention includes: receiving image information corresponding to an input Real RGB pixel structure; determining the type of the image to be displayed according to the image information, and selecting different image renderings when the types of the images to be displayed are different The method processes the image information into new image information; the types of the images to be displayed include text types and non-text types; finally, the display panel display of the BV3 pixel structure is driven according to the processed new image information; In contrast, the same image rendering method is used for image processing regardless of whether the type of the image to be displayed is text, scenery, or characters. In the image rendering process, the embodiment of the present invention can reduce the calculation memory consumption of the rendering method, thereby reducing hardware consumption. consumption of resources.
较佳地,所述当所述待显示图像的类型不同时,选择不同的图像渲染方法将所述图像信息处理为新的图像信息,包括:Preferably, when the types of the images to be displayed are different, selecting different image rendering methods to process the image information into new image information, including:
若所述待显示图像的类型为文字类型,则按照第一图像渲染方法将所述图像信息处理为第一图像信息,若所述待显示图像的类型为非文字类型,则按照第二图像渲染方法将所述图像信息处理为第二图像信息;其中:If the type of the image to be displayed is a text type, the image information is processed into the first image information according to the first image rendering method, and if the type of the image to be displayed is a non-text type, the image information is rendered according to the second image The method processes the image information into second image information; wherein:
所述第一图像渲染方法将相邻的M个同一颜色的所述第二子像素对应的灰度值分别乘以各自的权重系数后相加得到一个与该所述第二子像素对应的颜色相同的所述第一子像素对应的第一灰度值;所述第二图像渲染方法将相邻的N个同一颜色的所述第二子像素对应的灰度值分别乘以各自的权重系数后相加得到一个与该所述第二子像素对应的颜色相同的所述第一子像素对应的第二灰度值,M、N为大于等于2的正整数,且M小于N。The first image rendering method multiplies the grayscale values corresponding to the second sub-pixels of the adjacent M of the same color by respective weight coefficients, and then adds them together to obtain a color corresponding to the second sub-pixels. the first grayscale values corresponding to the same first sub-pixels; the second image rendering method multiplies the grayscale values corresponding to N adjacent second sub-pixels of the same color by their respective weight coefficients After the addition, a second gray value corresponding to the first subpixel having the same color as the second subpixel is obtained, where M and N are positive integers greater than or equal to 2, and M is less than N.
较佳地,所述第一图像渲染方法具体包括:将相邻的两个同一颜色的所述第二子像素对应的灰度值分别乘以各自的权重系数后相加得到一个与该所述第二子像素对应的颜色相同的所述第一子像素对应的第一灰度值;Preferably, the first image rendering method specifically includes: multiplying the grayscale values corresponding to two adjacent second sub-pixels of the same color by their respective weight coefficients, and then adding them together to obtain a value corresponding to the said second sub-pixel. the first grayscale value corresponding to the first subpixel with the same color corresponding to the second subpixel;
所述第二图像渲染方法具体包括:将相邻的四个同一颜色的所述第二子像素对应的灰度值分别乘以各自的权重系数后相加得到一个与该所述第二子像素对应的颜色相同的所述第一子像素对应的第二灰度值。The second image rendering method specifically includes: multiplying the grayscale values corresponding to the adjacent four adjacent second sub-pixels of the same color by their respective weight coefficients, and then adding them together to obtain an image corresponding to the second sub-pixel. The corresponding second grayscale value of the first sub-pixel with the same color.
较佳地,采用所述第一图像渲染方法时,相邻的两个同一颜色的所述第二子像素对应的灰度值分别乘以的两个权重系数的和为1;Preferably, when the first image rendering method is adopted, the sum of the two weighting coefficients respectively multiplied by the grayscale values corresponding to the two adjacent second sub-pixels of the same color is 1;
采用所述第二图像渲染方法时,相邻的四个同一颜色的所述第二子像素对应的灰度值分别乘以的四个权重系数的和为1。When the second image rendering method is adopted, the sum of the four weighting coefficients respectively multiplied by the grayscale values corresponding to the second sub-pixels of the adjacent four of the same color is 1.
较佳地,所述第一图像渲染方法包括第一奇数行渲染方法和第一偶数行渲染方法;其中:Preferably, the first image rendering method includes a first odd-numbered row rendering method and a first even-numbered row rendering method; wherein:
所述第一奇数行渲染方法包括:The first odd-numbered line rendering method includes:
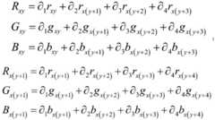
其中:x为奇数,y为正整数,x表示第一像素或第二像素的行数,y表示第一像素或第二像素的列数;Where: x is an odd number, y is a positive integer, x represents the row number of the first pixel or the second pixel, and y represents the column number of the first pixel or the second pixel;
Rxy表示位于第x行第y列的第一红色子像素对应的灰度值,Gxy表示位于第x行第y列的第一绿色子像素对应的灰度值,Bxy表示位于第x行第y列的第一蓝色子像素对应的灰度值;Rxy represents the gray value corresponding to the first red sub-pixel located in the x-th row and the y-th column, Gxy represents the gray value corresponding to the first green sub-pixel located in the x-th row and the y-th column, and Bxy represents the x-th the grayscale value corresponding to the first blue sub-pixel in the y-th column;
rxy表示位于第x行第y列的第二红色子像素对应的灰度值,gxy表示位于第x行第y列的第二绿色子像素对应的灰度值,bxy表示位于第x行第y列的第二蓝色子像素对应的灰度值;rxy represents the gray value corresponding to the second red sub-pixel located in the x-th row and the y-th column, gxy represents the gray value corresponding to the second green sub-pixel located in the x-th row and the y-th column, and bxy represents the x-th the grayscale value corresponding to the second blue sub-pixel in the y-th column of the row;
所述第一偶数行渲染方法包括:The first even-numbered line rendering method includes:
Bmn=β1bmn+β2bm(n+1) Bm(n+1)=β1bm(n+2)+β2bm(n+3)Bmn =β1 bmn +β2 bm(n+1) Bm(n+1) =β1 bm(n+2) +β2 bm(n+3)
Rmn=μ1rmn+μ2rm(n+1); Rm(n+1)=μ1rm(n+2)+μ2rm(n+3)Rmn = μ1 rmn + μ2 rm(n+1) ; Rm(n+1) = μ1 rm(n+2) + μ2 rm(n+3)
Gmn=μ1gmn+μ2gm(n+1) Gm(n+1)=μ1gm(n+2)+μ2gm(n+3)Gmn = μ1 gmn + μ2 gm(n+1) Gm(n+1) = μ1 gm(n+2) + μ2 gm(n+3)
其中:m为偶数,n为正整数,m表示第一像素或第二像素的行数,n表示第一像素或第二像素的列数;Where: m is an even number, n is a positive integer, m represents the number of rows of the first pixel or the second pixel, and n represents the number of columns of the first pixel or the second pixel;
Rmn表示位于第m行第n列的第一红色子像素对应的灰度值,Gmn表示位于第m行第n列的第一绿色子像素对应的灰度值,Bmn表示位于第m行第n列的第一蓝色子像素对应的灰度值;Rmn represents the gray value corresponding to the first red sub-pixel located in the m-th row and n-th column, Gmn represents the gray value corresponding to the first green sub-pixel located in the m-th row and n-th column, and Bmn represents the m-th pixel corresponding to the gray value the grayscale value corresponding to the first blue subpixel in the nth column of the row;
rmn表示位于第m行第n列的第二红色子像素对应的灰度值,gmn表示位于第m行第n列的第二绿色子像素对应的灰度值,bmn表示位于第m行第n列的第二蓝色子像素对应的灰度值;rmn represents the grayscale value corresponding to the second red sub-pixel located in the mth row and nth column, gmn represents the grayscale value corresponding to the second green subpixel located in the mth row and nth column, and bmn represents the mth the grayscale value corresponding to the second blue subpixel in the nth column of the row;
β1、β2、μ1和μ2表示权重系数。 β1 , β2 , μ1 and μ2 represent weight coefficients.
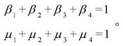
较佳地,所述β1、β2、μ1和μ2满足:Preferably, the β1 , β2 , μ1 and μ2 satisfy:
β1+β2=1;μ1+μ2=1。 β1 +β2 =1; μ1 +μ2 =1.
较佳地,所述第二图像渲染方法包括第二奇数行渲染方法和第二偶数行渲染方法;其中:Preferably, the second image rendering method includes a second odd-numbered row rendering method and a second even-numbered row rendering method; wherein:
所述第二奇数行渲染方法包括:The second odd-numbered line rendering method includes:
其中:x为奇数,y为正整数,x表示第一像素或第二像素的行数,y表示第一像素或第二像素的列数;Where: x is an odd number, y is a positive integer, x represents the row number of the first pixel or the second pixel, and y represents the column number of the first pixel or the second pixel;
Rxy表示位于第x行第y列的第一红色子像素对应的灰度值,Gxy表示位于第x行第y列的第一绿色子像素对应的灰度值,Bxy表示位于第x行第y列的第一蓝色子像素对应的灰度值;Rxy represents the gray value corresponding to the first red sub-pixel located in the x-th row and the y-th column, Gxy represents the gray value corresponding to the first green sub-pixel located in the x-th row and the y-th column, and Bxy represents the x-th the grayscale value corresponding to the first blue sub-pixel in the y-th column;
rxy表示位于第x行第y列的第二红色子像素对应的灰度值,gxy表示位于第x行第y列的第二绿色子像素对应的灰度值,bxy表示位于第x行第y列的第二蓝色子像素对应的灰度值;rxy represents the gray value corresponding to the second red sub-pixel located in the x-th row and the y-th column, gxy represents the gray value corresponding to the second green sub-pixel located in the x-th row and the y-th column, and bxy represents the x-th the grayscale value corresponding to the second blue sub-pixel in the y-th column of the row;
所述第二偶数行渲染方法包括:The second even-numbered line rendering method includes:
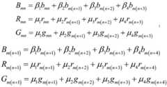
Bmn=β1bmn+β2bm(n+1)+β3bm(n+2)+β4bm(n+3)Bmn =β1 bmn +β2 bm(n+1) +β3 bm(n+2) +β4 bm(n+3)
Rmn=μ1rmn+μ2rm(n+1)+μ3rm(n+2)+μ4rm(n+3)Rmn = μ1 rmn + μ2 rm(n+1) + μ3 rm(n+2) + μ4 rm(n+3)
Gmn=μ1gmn+μ2gm(n+1)+μ3gm(n+2)+μ4gm(n+3);Gmn = μ1 gmn + μ2 gm(n+1) + μ3 gm(n+2) + μ4 gm(n+3) ;
Bm(n+1)=β1bm(n+1)+β2bm(n+2)+β3bm(n+3)+β4bm(n+4)Bm(n+1) =β1 bm(n+1) +β2 bm(n+2) +β3 bm(n+3) +β4 bm(n+4)
Rm(n+1)=μ1rm(n+1)+μ2rm(n+2)+μ3rm(n+3)+μ4rm(n+4)Rm(n+1) = μ1 rm(n+1) + μ2 rm(n+2) + μ3 rm(n+3) + μ4 rm(n+4)
Gm(n+1)=μ1gm(n+1)+μ2gm(n+2)+μ3gm(n+3)+μ4gm(n+4)Gm(n+1) = μ1 gm(n+1) + μ2 gm(n+2) + μ3 gm(n+3) + μ4 gm(n+4)
其中:m为偶数,n为正整数,m表示第一像素或第二像素的行数,n表示第一像素或第二像素的列数;Where: m is an even number, n is a positive integer, m represents the number of rows of the first pixel or the second pixel, and n represents the number of columns of the first pixel or the second pixel;
Rmn表示位于第m行第n列的第一红色子像素对应的灰度值,Gmn表示位于第m行第n列的第一绿色子像素对应的灰度值,Bmn表示位于第m行第n列的第一蓝色子像素对应的灰度值;Rmn represents the gray value corresponding to the first red sub-pixel located in the m-th row and n-th column, Gmn represents the gray value corresponding to the first green sub-pixel located in the m-th row and n-th column, and Bmn represents the m-th pixel corresponding to the gray value the grayscale value corresponding to the first blue subpixel in the nth column of the row;
rmn表示位于第m行第n列的第二红色子像素对应的灰度值,gmn表示位于第m行第n列的第二绿色子像素对应的灰度值,bmn表示位于第m行第n列的第二蓝色子像素对应的灰度值;rmn represents the grayscale value corresponding to the second red sub-pixel located in the mth row and nth column, gmn represents the grayscale value corresponding to the second green subpixel located in the mth row and nth column, and bmn represents the mth the grayscale value corresponding to the second blue subpixel in the nth column of the row;
β1、β2、β3、β4、μ1、μ2、μ3和μ4表示权重系数。 β1 , β2 , β3 , β4 , μ1 , μ2 , μ3 and μ4 represent weight coefficients.
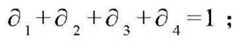
较佳地,所述β1、β2、β3、β4、μ1、μ2、μ3和μ4满足:β1+β2+β3+β4=1;μ1+μ2+μ3+μ4=1。Preferably, the β1 , β2 , β3 , β4 , μ1 , μ2 , μ3 and μ4 satisfy: β1 +β2 +β3 +β4 =1; μ1 +μ2 +μ3 +μ4 =1.
较佳地,通过非线性插值方法计算β1、β2、β3、β4、μ1、μ2、μ3和μ4。Preferably, it is calculated by nonlinear interpolation method β1 , β2 , β3 , β4 , μ1 , μ2 , μ3 and μ4 .
本发明实施例还提供了一种显示装置,该显示装置采用上述显示方法进行显示。An embodiment of the present invention also provides a display device, which uses the above-mentioned display method for display.
附图说明Description of drawings
图1为现有技术BV3像素结构的显示面板的结构示意图;1 is a schematic structural diagram of a display panel with a BV3 pixel structure in the prior art;
图2为现有技术Real RGB像素结构的显示面板的结构示意图;2 is a schematic structural diagram of a display panel with a Real RGB pixel structure in the prior art;
图3为本发明实施例提供的一种显示方法流程图;3 is a flowchart of a display method provided by an embodiment of the present invention;
图4为本发明实施例提供的显示面板的像素结构示意图;4 is a schematic diagram of a pixel structure of a display panel according to an embodiment of the present invention;
图5为输入到本发明实施例的显示面板中的图像信息对应的像素结构示意图;5 is a schematic diagram of a pixel structure corresponding to image information input into a display panel according to an embodiment of the present invention;
图6为本发明实施例中利用相邻的四个子像素灰度值计算一个子像素灰度值示意图;6 is a schematic diagram of calculating the gray value of one sub-pixel by using the gray values of four adjacent sub-pixels in an embodiment of the present invention;
图7为本发明实施例中利用相邻的四个子像素灰度值计算一个子像素灰度值的四个相邻灰度值权重获取示意图;7 is a schematic diagram of obtaining the weights of four adjacent gray values of a sub-pixel by using the gray values of four adjacent sub-pixels to calculate the gray value of one sub-pixel in an embodiment of the present invention;
图8为本发明实施例中利用相邻的两个子像素灰度值计算一个子像素灰度值示意图;8 is a schematic diagram of calculating a sub-pixel gray value by using two adjacent sub-pixel gray values in an embodiment of the present invention;
图9为本发明实施例中利用相邻的两个子像素灰度值计算一个子像素灰度值的两个相邻灰度值权重获取示意图;FIG. 9 is a schematic diagram of obtaining weights of two adjacent gray values of one sub-pixel gray value calculated by using two adjacent sub-pixel gray values in an embodiment of the present invention;
图10为本发明实施例提供的一种显示装置的框图。FIG. 10 is a block diagram of a display device according to an embodiment of the present invention.
具体实施方式Detailed ways
本发明实施例提供了一种显示方法、显示装置,用以在图像渲染过程中,降低硬件资源的消耗。Embodiments of the present invention provide a display method and a display device, so as to reduce the consumption of hardware resources during an image rendering process.
为了使本发明的目的、技术方案和优点更加清楚,下面将结合附图对本发明作进一步地详细描述,显然,所描述的实施例仅仅是本发明一部分实施例,而不是全部的实施例。基于本发明中的实施例,本领域普通技术人员在没有做出创造性劳动前提下所获得的所有其它实施例,都属于本发明保护的范围。In order to make the objectives, technical solutions and advantages of the present invention clearer, the present invention will be further described in detail below with reference to the accompanying drawings. Obviously, the described embodiments are only a part of the embodiments of the present invention, not all of the embodiments. Based on the embodiments of the present invention, all other embodiments obtained by those of ordinary skill in the art without creative efforts shall fall within the protection scope of the present invention.
下面结合附图详细介绍本发明具体实施例提供的显示方法。The display method provided by the specific embodiment of the present invention will be described in detail below with reference to the accompanying drawings.
附图中各部件区域大小、形状不反应各部件的真实比例,目的只是示意说明本发明内容。The size and shape of each component area in the drawings do not reflect the actual proportion of each component, and are only intended to illustrate the content of the present invention.
如图3所示,本发明具体实施例提供了一种显示方法,适用于BV3像素结构的显示面板,BV3像素结构包括若干阵列排列的第一子像素,其中,该显示方法包括:As shown in FIG. 3 , a specific embodiment of the present invention provides a display method, which is suitable for a display panel with a BV3 pixel structure. The BV3 pixel structure includes several first sub-pixels arranged in an array, wherein the display method includes:
S301、接收输入的Real RGB像素结构对应的图像信息,所述Real RGB像素结构包括若干阵列排列的第二子像素;S301. Receive image information corresponding to an input Real RGB pixel structure, where the Real RGB pixel structure includes several second sub-pixels arranged in an array;
S302、根据所述图像信息确定待显示图像的类型,当所述待显示图像的类型不同时,选择不同的图像渲染方法将所述图像信息处理为新的图像信息;所述待显示图像的类型包括文字类型和非文字类型;S302. Determine the type of the image to be displayed according to the image information, and when the types of the image to be displayed are different, select a different image rendering method to process the image information into new image information; the type of the image to be displayed including literal and non-literal types;
S303、按照所述新的图像信息驱动所述BV3像素结构的显示面板显示所述待显示图像。S303. Drive the display panel with the BV3 pixel structure to display the to-be-displayed image according to the new image information.
本发明具体实施例中BV3像素结构的具体结构参见图1所示,本发明具体实施例中Real RGB像素结构的具体结构参见图2所示。The specific structure of the BV3 pixel structure in the specific embodiment of the present invention is shown in FIG. 1 , and the specific structure of the Real RGB pixel structure in the specific embodiment of the present invention is shown in FIG. 2 .
具体地,本发明具体实施例当待显示图像的类型不同时,选择不同的图像渲染方法将图像信息处理为新的图像信息,包括:Specifically, in the specific embodiment of the present invention, when the types of images to be displayed are different, different image rendering methods are selected to process image information into new image information, including:
若待显示图像的类型为文字类型,则按照第一图像渲染方法将图像信息处理为第一图像信息,若待显示图像的类型为非文字类型,则按照第二图像渲染方法将图像信息处理为第二图像信息;其中:If the type of the image to be displayed is a text type, the image information is processed as the first image information according to the first image rendering method, and if the type of the image to be displayed is a non-text type, the image information is processed according to the second image rendering method as second image information; wherein:
第一图像渲染方法将相邻的M个同一颜色的第二子像素对应的灰度值分别乘以各自的权重系数后相加得到一个与该第二子像素对应的颜色相同的第一子像素对应的第一灰度值;第二图像渲染方法将相邻的N个同一颜色的第二子像素对应的灰度值分别乘以各自的权重系数后相加得到一个与该第二子像素对应的颜色相同的第一子像素对应的第二灰度值,M、N为大于等于2的正整数,且M小于N。The first image rendering method multiplies the gray values corresponding to adjacent M second sub-pixels of the same color by respective weight coefficients, and then adds them together to obtain a first sub-pixel of the same color as the second sub-pixel. The corresponding first grayscale value; the second image rendering method multiplies the grayscale values corresponding to the adjacent N second sub-pixels of the same color by their respective weight coefficients, and then adds them to obtain an image corresponding to the second sub-pixel. For the second grayscale values corresponding to the first sub-pixels of the same color, M and N are positive integers greater than or equal to 2, and M is less than N.
本发明具体实施例中根据待显示图像的不同类型选择不同的图像渲染方法,当待显示图像的类型为文字类型时,按照第一图像渲染方法将接收到的图像信息处理为第一图像信息,当待显示图像的类型为非文字类型时,按照第二图像渲染方法将接收到的图像信息处理为第二图像信息,其中:第一图像渲染方法将相邻的M个同一颜色的第二子像素对应的灰度值分别乘以各自的权重系数后相加得到一个与该第二子像素对应的颜色相同的第一子像素对应的第一灰度值;第二图像渲染方法将相邻的N个同一颜色的第二子像素对应的灰度值分别乘以各自的权重系数后相加得到一个与该第二子像素对应的颜色相同的第一子像素对应的第二灰度值,M、N为大于等于2的正整数,且M小于N;与现有技术在图像渲染过程中,不管是文字还是风景、人物,均使用相同的图像渲染方法进行图像处理相比,本发明具体实施例在图像渲染过程中,能够减少渲染方法运算内存消耗,进而降低硬件资源的消耗;另外,对经过本发明具体实施例的图像渲染后的图像观察可以看到,若显示内容中出现了很细的字体时,本发明具体实施例处理后的字体不会出现字体模糊的问题,本发明具体实施例能够改善字体的显示效果,提高显示面板的显示品质。In a specific embodiment of the present invention, different image rendering methods are selected according to different types of images to be displayed. When the type of the image to be displayed is a text type, the received image information is processed into the first image information according to the first image rendering method, When the type of the image to be displayed is a non-text type, the received image information is processed into the second image information according to the second image rendering method, wherein: The grayscale values corresponding to the pixels are respectively multiplied by their respective weight coefficients and added together to obtain a first grayscale value corresponding to the first subpixel of the same color as the second subpixel; The grayscale values corresponding to N second subpixels of the same color are multiplied by their respective weight coefficients and added together to obtain a second grayscale value corresponding to the first subpixel of the same color corresponding to the second subpixel, M , N is a positive integer greater than or equal to 2, and M is less than N; compared with the prior art in the image rendering process, the same image rendering method is used for image processing regardless of whether it is text, scenery, or characters. For example, in the process of image rendering, it is possible to reduce the calculation memory consumption of the rendering method, thereby reducing the consumption of hardware resources; in addition, it can be seen from the image observation after the image rendering of the specific embodiment of the present invention that if there is a very fine display in the display content. When the fonts are different, the fonts processed by the specific embodiments of the present invention will not have the problem of font blurring, and the specific embodiments of the present invention can improve the display effect of the fonts and the display quality of the display panel.
具体地,本发明具体实施例中的图像信息为图像的灰度值,本发明具体实施例中将图像信息选择为灰度值,在图像渲染方法时更加方便、简单,且渲染出来的图像显示能达到字体显示清楚,风景人物图像信息过渡更加自然。Specifically, the image information in the specific embodiment of the present invention is the gray value of the image. In the specific embodiment of the present invention, selecting the image information as the gray value is more convenient and simple in the image rendering method, and the rendered image displays It can achieve clear display of fonts, and the transition of landscape and image information is more natural.
具体实施时,本发明具体实施例的第一图像渲染方法具体包括:将相邻的两个同一颜色的第二子像素对应的灰度值分别乘以各自的权重系数后相加得到一个与该第二子像素对应的颜色相同的第一子像素对应的第一灰度值;第二图像渲染方法具体包括:将相邻的四个同一颜色的第二子像素对应的灰度值分别乘以各自的权重系数后相加得到一个与该第二子像素对应的颜色相同的第一子像素对应的第二灰度值。During specific implementation, the first image rendering method according to the specific embodiment of the present invention specifically includes: multiplying the grayscale values corresponding to two adjacent second sub-pixels of the same color by their respective weight coefficients and adding them to obtain a The first grayscale values corresponding to the first subpixels of the same color corresponding to the second subpixels; the second image rendering method specifically includes: multiplying the grayscale values corresponding to four adjacent second subpixels of the same color by The respective weight coefficients are added together to obtain a second grayscale value corresponding to the first subpixel of the same color as the second subpixel.
进一步地,本发明具体实施例采用第一图像渲染方法时,相邻的两个同一颜色的第二子像素对应的灰度值分别乘以的两个权重系数的和为1;采用第二图像渲染方法时,相邻的四个同一颜色的第二子像素对应的灰度值分别乘以的四个权重系数的和为1。当权重系数的和为1时,则显示面板的整体亮度与原始图像的整体亮度相比不会有增加或减少,可保证显示画面不产生变化。Further, when the specific embodiment of the present invention adopts the first image rendering method, the sum of the two weighting coefficients respectively multiplied by the corresponding grayscale values of two adjacent second sub-pixels of the same color is 1; In the rendering method, the sum of the four weighting coefficients respectively multiplied by the grayscale values corresponding to the adjacent four second sub-pixels of the same color is 1. When the sum of the weight coefficients is 1, the overall brightness of the display panel will not increase or decrease compared with the overall brightness of the original image, which can ensure that the display screen does not change.
具体实施时,本发明具体实施例中BV3像素结构包括若干阵列排列的第一红色(R)子像素、第一绿色(G)子像素和第一蓝色(B)子像素;Real RGB像素结构包括若干阵列排列的第二红色(R)子像素、第二绿色(G)子像素和第二蓝色(B)子像素。当然,在实际生产过程中,本发明具体实施例中的BV3像素结构还可以包括其它颜色的子像素,如:包括黄色(Y)子像素;本发明具体实施例中的Real RGB像素结构还可以包括其它颜色的子像素,如:包括黄色(Y)子像素。During specific implementation, the BV3 pixel structure in the specific embodiment of the present invention includes a first red (R) sub-pixel, a first green (G) sub-pixel and a first blue (B) sub-pixel arranged in several arrays; the Real RGB pixel structure It includes a number of second red (R) sub-pixels, second green (G) sub-pixels and second blue (B) sub-pixels arranged in an array. Of course, in the actual production process, the BV3 pixel structure in the specific embodiment of the present invention may also include sub-pixels of other colors, such as: including yellow (Y) sub-pixels; the Real RGB pixel structure in the specific embodiment of the present invention may also include Sub-pixels of other colors are included, eg, yellow (Y) sub-pixels are included.
具体地,本发明具体实施例根据图像信息的获取路径或者手机上打开的APP信息等方法来判断待显示图像的类型是文字类型,还是非文字类型,具体实施时,非文字类型包括风景和人物,也可以包括建筑物图片等。Specifically, the specific embodiment of the present invention determines whether the type of the image to be displayed is a text type or a non-text type according to the acquisition path of the image information or the information of the APP opened on the mobile phone. , can also include pictures of buildings, etc.
具体地,本发明具体实施例中第一图像渲染方法包括第一奇数行渲染方法和第一偶数行渲染方法;其中:Specifically, the first image rendering method in the specific embodiment of the present invention includes a first odd-numbered line rendering method and a first even-numbered line rendering method; wherein:
第一奇数行渲染方法包括:The first odd row rendering methods include:
其中:x为奇数,y为正整数,x表示第一像素或第二像素的行数,y表示第一像素或第二像素的列数;Where: x is an odd number, y is a positive integer, x represents the row number of the first pixel or the second pixel, and y represents the column number of the first pixel or the second pixel;
Rxy表示位于第x行第y列的第一红色子像素对应的灰度值,Gxy表示位于第x行第y列的第一绿色子像素对应的灰度值,Bxy表示位于第x行第y列的第一蓝色子像素对应的灰度值;Rxy represents the gray value corresponding to the first red sub-pixel located in the x-th row and the y-th column, Gxy represents the gray value corresponding to the first green sub-pixel located in the x-th row and the y-th column, and Bxy represents the x-th the grayscale value corresponding to the first blue sub-pixel in the y-th column;
rxy表示位于第x行第y列的第二红色子像素对应的灰度值,gxy表示位于第x行第y列的第二绿色子像素对应的灰度值,bxy表示位于第x行第y列的第二蓝色子像素对应的灰度值;rxy represents the gray value corresponding to the second red sub-pixel located in the x-th row and the y-th column, gxy represents the gray value corresponding to the second green sub-pixel located in the x-th row and the y-th column, and bxy represents the x-th the grayscale value corresponding to the second blue sub-pixel in the y-th column of the row;
第一偶数行渲染方法包括:The first even line rendering methods include:
Bmn=β1bmn+β2bm(n+1) Bm(n+1)=β1bm(n+2)+β2bm(n+3)Bmn =β1 bmn +β2 bm(n+1) Bm(n+1) =β1 bm(n+2) +β2 bm(n+3)
Rmn=μ1rmn+μ2rm(n+1); Rm(n+1)=μ1rm(n+2)+μ2rm(n+3)Rmn = μ1 rmn + μ2 rm(n+1) ; Rm(n+1) = μ1 rm(n+2) + μ2 rm(n+3)
Gmn=μ1gmn+μ2gm(n+1) Gm(n+1)=μ1gm(n+2)+μ2gm(n+3)Gmn = μ1 gmn + μ2 gm(n+1) Gm(n+1) = μ1 gm(n+2) + μ2 gm(n+3)
其中:m为偶数,n为正整数,m表示第一像素或第二像素的行数,n表示第一像素或第二像素的列数;Where: m is an even number, n is a positive integer, m represents the number of rows of the first pixel or the second pixel, and n represents the number of columns of the first pixel or the second pixel;
Rmn表示位于第m行第n列的第一红色子像素对应的灰度值,Gmn表示位于第m行第n列的第一绿色子像素对应的灰度值,Bmn表示位于第m行第n列的第一蓝色子像素对应的灰度值;Rmn represents the gray value corresponding to the first red sub-pixel located in the m-th row and n-th column, Gmn represents the gray value corresponding to the first green sub-pixel located in the m-th row and n-th column, and Bmn represents the m-th pixel corresponding to the gray value the grayscale value corresponding to the first blue subpixel in the nth column of the row;
rmn表示位于第m行第n列的第二红色子像素对应的灰度值,gmn表示位于第m行第n列的第二绿色子像素对应的灰度值,bmn表示位于第m行第n列的第二蓝色子像素对应的灰度值;rmn represents the grayscale value corresponding to the second red sub-pixel located in the mth row and nth column, gmn represents the grayscale value corresponding to the second green subpixel located in the mth row and nth column, and bmn represents the mth the grayscale value corresponding to the second blue subpixel in the nth column of the row;
β1、β2、μ1和μ2表示权重系数。 β1 , β2 , μ1 and μ2 represent weight coefficients.
进一步地,本发明具体实施例中的权重系数β1、β2、μ1和μ2满足:β1+β2=1;μ1+μ2=1,当权重系数的和为1时,显示面板显示的图像的整体亮度与原始图像的整体亮度相比不会有增加或减少,可保证显示画面不产生变化。Further, the weight coefficient in the specific embodiment of the present invention β1 , β2 , μ1 and μ2 satisfy: β1 +β2 =1; μ1 +μ2 =1, when the sum of the weight coefficients is 1, the overall brightness of the image displayed by the display panel will not increase or decrease compared with the overall brightness of the original image, which can guarantee The display screen does not change.
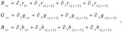
具体地,本发明具体实施例中第二图像渲染方法包括第二奇数行渲染方法和第二偶数行渲染方法;其中:Specifically, the second image rendering method in the specific embodiment of the present invention includes a second odd-numbered line rendering method and a second even-numbered line rendering method; wherein:
第二奇数行渲染方法包括:The second odd row rendering methods include:
其中:x为奇数,y为正整数,x表示第一像素或第二像素的行数,y表示第一像素或第二像素的列数;Where: x is an odd number, y is a positive integer, x represents the row number of the first pixel or the second pixel, and y represents the column number of the first pixel or the second pixel;
Rxy表示位于第x行第y列的第一红色子像素对应的灰度值,Gxy表示位于第x行第y列的第一绿色子像素对应的灰度值,Bxy表示位于第x行第y列的第一蓝色子像素对应的灰度值;Rxy represents the gray value corresponding to the first red sub-pixel located in the x-th row and the y-th column, Gxy represents the gray value corresponding to the first green sub-pixel located in the x-th row and the y-th column, and Bxy represents the x-th the grayscale value corresponding to the first blue sub-pixel in the y-th column;
rxy表示位于第x行第y列的第二红色子像素对应的灰度值,gxy表示位于第x行第y列的第二绿色子像素对应的灰度值,bxy表示位于第x行第y列的第二蓝色子像素对应的灰度值;rxy represents the gray value corresponding to the second red sub-pixel located in the x-th row and the y-th column, gxy represents the gray value corresponding to the second green sub-pixel located in the x-th row and the y-th column, and bxy represents the x-th the grayscale value corresponding to the second blue sub-pixel in the y-th column of the row;
第二偶数行渲染方法包括:The second even line rendering method includes:
Bm(n+1)=β1bm(n+1)+β2bm(n+2)+β3bm(n+3)+β4bm(n+4)Bm(n+1) =β1 bm(n+1) +β2 bm(n+2) +β3 bm(n+3) +β4 bm(n+4)
Rm(n+1)=μ1rm(n+1)+μ2rm(n+2)+μ3rm(n+3)+μ4rm(n+4)Rm(n+1) = μ1 rm(n+1) + μ2 rm(n+2) + μ3 rm(n+3) + μ4 rm(n+4)
Gm(n+1)=μ1gm(n+1)+μ2gm(n+2)+μ3gm(n+3)+μ4gm(n+4)Gm(n+1) = μ1 gm(n+1) + μ2 gm(n+2) + μ3 gm(n+3) + μ4 gm(n+4)
其中:m为偶数,n为正整数,m表示第一像素或第二像素的行数,n表示第一像素或第二像素的列数;Where: m is an even number, n is a positive integer, m represents the number of rows of the first pixel or the second pixel, and n represents the number of columns of the first pixel or the second pixel;
Rmn表示位于第m行第n列的第一红色子像素对应的灰度值,Gmn表示位于第m行第n列的第一绿色子像素对应的灰度值,Bmn表示位于第m行第n列的第一蓝色子像素对应的灰度值;Rmn represents the gray value corresponding to the first red sub-pixel located in the m-th row and n-th column, Gmn represents the gray value corresponding to the first green sub-pixel located in the m-th row and n-th column, and Bmn represents the m-th pixel corresponding to the gray value the grayscale value corresponding to the first blue subpixel in the nth column of the row;
rmn表示位于第m行第n列的第二红色子像素对应的灰度值,gmn表示位于第m行第n列的第二绿色子像素对应的灰度值,bmn表示位于第m行第n列的第二蓝色子像素对应的灰度值;rmn represents the grayscale value corresponding to the second red sub-pixel located in the mth row and nth column, gmn represents the grayscale value corresponding to the second green subpixel located in the mth row and nth column, and bmn represents the mth the grayscale value corresponding to the second blue subpixel in the nth column of the row;
β1、β2、β3、β4、μ1、μ2、μ3和μ4表示权重系数。 β1 , β2 , β3 , β4 , μ1 , μ2 , μ3 and μ4 represent weight coefficients.
进一步地,本发明具体实施例中的权重系数β1、β2、β3、β4、μ1、μ2、μ3和μ4满足:β1+β2+β3+β4=1;μ1+μ2+μ3+μ4=1,当权重系数的和为1时,显示面板显示的图像的整体亮度与原始图像的整体亮度相比不会有增加或减少,可保证显示画面不产生变化。Further, the weight coefficient in the specific embodiment of the present invention β1 , β2 , β3 , β4 , μ1 , μ2 , μ3 and μ4 satisfy: β1 +β2 +β3 +β4 =1; μ1 +μ2 +μ3 +μ4 =1, when the sum of the weight coefficients is 1, the overall brightness of the image displayed on the display panel is the same as the overall brightness of the original image Compared with the brightness, there will be no increase or decrease, which can ensure that the display screen does not change.
下面结合附图详细介绍本发明具体实施例提供的第一图像渲染方法和第二图像渲染方法的具体实施方式。Specific implementations of the first image rendering method and the second image rendering method provided by specific embodiments of the present invention will be described in detail below with reference to the accompanying drawings.
如图4和图5所示,当待显示图像的类型为文字类型时,使用第一图像渲染方法将图5所示的Real RGB像素结构对应的图像渲染成图4所示的BV3像素结构对应的图像;当待显示图像的类型为非文字类型,如:为风景和人物时,使用第二图像渲染方法将图5所示的Real RGB像素结构对应的图像渲染成图4所示的BV3像素结构对应的图像。图4中R11、G11和B11构成了一个第一像素,R11表示位于第1行第1列的第一像素中的第一红色子像素对应的灰度值,G11表示位于第1行第1列的第一像素中的第一绿色子像素对应的灰度值,B11表示位于第1行第1列的第一像素中的第一蓝色子像素对应的灰度值;R12表示位于第1行第2列的第一像素中的第一红色子像素对应的灰度值,G12表示位于第1行第2列的第一像素中的第一绿色子像素对应的灰度值,B12表示位于第1行第2列的第一像素中的第一蓝色子像素对应的灰度值,依此类推。R21表示位于第2行第1列的第一像素中的第一红色子像素对应的灰度值,G21表示位于第2行第1列的第一像素中的第一绿色子像素对应的灰度值,B21表示位于第2行第1列的第一像素中的第一蓝色子像素对应的灰度值,依此类推。As shown in FIG. 4 and FIG. 5 , when the type of the image to be displayed is a text type, the first image rendering method is used to render the image corresponding to the Real RGB pixel structure shown in FIG. 5 into the corresponding BV3 pixel structure shown in FIG. 4 . When the type of the image to be displayed is a non-text type, such as: when it is a landscape and a character, use the second image rendering method to render the image corresponding to the Real RGB pixel structure shown in Figure 5 into the BV3 pixel shown in Figure 4. The corresponding image of the structure. In Figure 4, R11, G11 and B11 constitute a first pixel, R11 represents the gray value corresponding to the first red sub-pixel in the first pixel located in the 1st row and 1st column, and G11 represents the first red subpixel located in the 1st row and 1st column. The grayscale value corresponding to the first green sub-pixel in the first pixel of the The grayscale value corresponding to the first red subpixel in the first pixel in the second column, G12 indicates the grayscale value corresponding to the first green subpixel in the first pixel in the first row and the second column, and B12 indicates the grayscale value corresponding to the first green subpixel in the first pixel in the first row and the second column. The grayscale value corresponding to the first blue sub-pixel in the first pixel in
图5中r11、g11和b11构成了一个第二像素,r11表示位于第1行第1列的第二像素中的第二红色子像素对应的灰度值,g11表示位于第1行第1列的第二像素中的第二绿色子像素对应的灰度值,b11表示位于第1行第1列的第二像素中的第二蓝色子像素对应的灰度值;r12表示位于第1行第2列的第二像素中的第二红色子像素对应的灰度值,g12表示位于第1行第2列的第二像素中的第二绿色子像素对应的灰度值,b12表示位于第1行第2列的第二像素中的第二蓝色子像素对应的灰度值,依此类推。r21表示位于第2行第1列的第二像素中的第二红色子像素对应的灰度值,g21表示位于第2行第1列的第二像素中的第二绿色子像素对应的灰度值,b21表示位于第2行第1列的第二像素中的第二蓝色子像素对应的灰度值,依此类推。In Figure 5, r11, g11 and b11 constitute a second pixel, r11 represents the gray value corresponding to the second red sub-pixel in the second pixel located in the first row and the first column, and g11 represents the second pixel located in the first row and the first column. The gray value corresponding to the second green sub-pixel in the second pixel of the The grayscale value corresponding to the second red subpixel in the second pixel in the second column, g12 represents the grayscale value corresponding to the second green subpixel in the second pixel in the first row and the second column, and b12 represents the grayscale value corresponding to the second green subpixel in the second pixel in the first row and the second column. The gray value corresponding to the second blue sub-pixel in the second pixel in
具体地,本发明具体实施例中的第二图像渲染方法包括第二奇数行渲染方法和第二偶数行渲染方法:Specifically, the second image rendering method in the specific embodiment of the present invention includes a second odd-numbered line rendering method and a second even-numbered line rendering method:
第二奇数行渲染方法包括:The second odd row rendering methods include:
其中:in:
第二偶数行渲染方法包括:The second even line rendering method includes:
B21=β1b21+β2b22+β3b23+β4b24 B22=β1b22+β2b23+β3b24+β4b25B21 = β1 b21 + β2 b22 + β3 b23 + β4 b24 B22 = β1 b22 + β2 b23 + β3 b24 + β4 b25
R21=μ1r21+μ2r22+μ3r23+μ4r24 R22=μ1r22+μ2r23+μ3r24+μ4r25R21 = μ1 r21 + μ2 r22 + μ3 r23 + μ4 r24 R22 = μ1 r22 + μ2 r23 + μ3 r24 + μ4 r25
G21=μ1g21+μ2g22+μ3g23+μ4g24 G22=μ1g22+μ2g23+μ3g24+μ4g25G21 = μ1 g21 + μ2 g22 + μ3 g23 + μ4 g24 G22 = μ1 g22 + μ2 g23 + μ3 g24 + μ4 g25
其中:in:
具体地,本发明具体实施例通过非线性插值方法计算β1、β2、β3、β4、μ1、μ2、μ3和μ4,本发明具体实施例通过非线性插值方法计算β1、β2、β3、β4、μ1、μ2、μ3和μ4,目的是使得获得的图像更加平滑,当然实际设计时,还可以采用其它方法计算β1、β2、β3、β4、μ1、μ2、μ3和μ4,如:通过线性计算方法计算系数,如β1=β4=0.2,β2=β3=0.3,μ1=μ4=0.2,μ2=μ3=0.3。Specifically, the specific embodiment of the present invention calculates by a nonlinear interpolation method β1 , β2 , β3 , β4 , μ1 , μ2 , μ3 and μ4 , which are calculated by a nonlinear interpolation method in a specific embodiment of the present invention β1 , β2 , β3 , β4 , μ1 , μ2 , μ3 and μ4 , the purpose is to make the obtained image smoother. Of course, other methods can be used to calculate the actual design. β1 , β2 , β3 , β4 , μ1 , μ2 , μ3 and μ4 , such as: calculating coefficients by linear calculation methods, such as β1 =β4 =0.2, β2 =β3 =0.3, μ1 =μ4 =0.2, μ2 =μ3 =0.3.
具体实施时,如图6和图7所示,利用四个像素点(如:r11对应的像素点、r12对应的像素点、r13对应的像素点和r14对应的像素点)获得插入R11对应的像素点的像素信息,根据图7曲线计算β1、β2、β3、β4、μ1、μ2、μ3和μ4,β1、β2、β3、β4、μ1、μ2、μ3和μ4的获取方法使用辛格(sinc)函数。图7中距离R11点距离越远的点的β1、β2、β3、β4、μ1、μ2、μ3和μ4值越小,距离R11点距离越近的点的β1、β2、β3、β4、μ1、μ2、μ3和μ4值越大,图7中指向r11、r12、r13和r14的箭头表示β1、β2、β3、β4、μ1、μ2、μ3和μ4的大小。其中,图6中的白色点表示其它像素点,图6是根据实际的像素排列得到的示意图。In the specific implementation, as shown in Figure 6 and Figure 7, four pixel points (for example, the pixel corresponding to r11, the pixel corresponding to r12, the pixel corresponding to r13, and the pixel corresponding to r14) are used to obtain the corresponding pixel points inserted into R11. The pixel information of the pixel point, calculated according to the curve in Figure 7 β1 , β2 , β3 , β4 , μ1 , μ2 , μ3 and μ4 , The acquisition method of β1 , β2 , β3 , β4 , μ1 , μ2 , μ3 and μ4 uses a sinc function. In Figure 7, the farther the distance from the R11 point is, the The smaller the value of β1 , β2 , β3 , β4 , μ1 , μ2 , μ3 and μ4 , the closer the distance to the point R11 is. The larger the value of β1 , β2 , β3 , β4 , μ1 , μ2 , μ3 and μ4 , the arrows pointing to r11, r12, r13 and r14 in FIG. 7 indicate that Sizes of β1 , β2 , β3 , β4 , μ1 , μ2 , μ3 and μ4 . Among them, the white dots in FIG. 6 represent other pixel points, and FIG. 6 is a schematic diagram obtained according to the actual pixel arrangement.
具体地,本发明具体实施例中的第一图像渲染方法包括第一奇数行渲染方法和第一偶数行渲染方法:Specifically, the first image rendering method in the specific embodiment of the present invention includes a first odd-numbered line rendering method and a first even-numbered line rendering method:
第一奇数行渲染方法包括:The first odd row rendering methods include:
其中:in:
第一偶数行渲染方法包括:The first even line rendering methods include:
B21=β1b21+β2b22 B22=β1b23+β2b24B21 =β1 b21 +β2 b22 B22 =β1 b23 +β2 b24
R21=μ1r21+μ2r22 R22=μ1r23+μ2r24R21 = μ1 r21 + μ2 r22 R22 = μ1 r23 + μ2 r24
G21=μ1g21+μ2g22 G22=μ1g23+μ2g24G21 = μ1 g21 + μ2 g22 G22 = μ1 g23 + μ2 g24
其中:β1+β2=1。where: β1 +β2 =1.
μ1+μ2=1μ1 +μ2 =1
具体实施时,上述第一奇数行渲染算法中R12公式中是从r13开始的而不从r12开始,目的是为了达到像素减少一半的效果,以便不影响显示效果,其它公式类似。During specific implementation, the R12 formula in the above first odd-numbered line rendering algorithm starts from r13 instead of r12, in order to achieve the effect of reducing the pixels by half, so as not to affect the display effect, and other formulas are similar.
具体地,本发明具体实施例通过非线性插值方法计算β1、β2、μ1和μ2,本发明具体实施例通过非线性插值方法计算β1、β2、μ1和μ2,目的是使得获得的图像更加平滑,当然实际设计时,还可以采用其它方法计算β1、β2、μ1和μ2。Specifically, the specific embodiment of the present invention calculates by a nonlinear interpolation method β1 , β2 , μ1 and μ2 are calculated by the nonlinear interpolation method in the specific embodiment of the present invention β1 , β2 , μ1 and μ2 , the purpose is to make the obtained image smoother. Of course, other methods can be used to calculate the actual design. β1 , β2 , μ1 and μ2 .
具体实施时,如图8和图9所示,利用两个像素点(如:r11对应的像素点和r12对应的像素点)获得插入R11对应的像素点的像素信息,根据图9曲线计算β1、β2、μ1和μ2,β1、β2、μ1和μ2的获取方法使用辛格(sinc)函数。图9中距离R11点距离越远的点的β1、β2、μ1和μ2值越小,距离R11点距离越近的点的β1、β2、μ1和μ2值越大,图9中指向r11和r12的箭头表示β1、β2、μ1和μ2的大小。In specific implementation, as shown in Figures 8 and 9, two pixel points (eg: the pixel corresponding to r11 and the pixel corresponding to r12) are used to obtain the pixel information of the pixel corresponding to R11, and calculate according to the curve in Figure 9. β1 , β2 , μ1 and μ2 , The acquisition method of β1 , β2 , μ1 and μ2 uses a sinc function. In Figure 9, the farther the distance from the R11 point is, the The smaller the value of β1 , β2 , μ1 and μ2 , the closer the distance to the point R11 is. The larger the values of β1 , β2 , μ1 and μ2 are, the arrows pointing to r11 and r12 in FIG. 9 indicate Sizes of β1 , β2 , μ1 and μ2 .
基于同一发明构思,本发明具体实施例还提供了一种显示装置,该显示装置采用本发明具体实施例提供的上述显示方法进行显示,该显示装置可以为:手机、平板电脑、液晶电视、有机发光二极管(Organic Light Emitting Diode,OLED)电视、笔记本电脑、数码相框、导航仪等任何具有显示功能的产品或部件。对于该显示装置的其它必不可少的组成部分均为本领域的普通技术人员应该理解具有的,在此不予赘述。Based on the same inventive concept, a specific embodiment of the present invention also provides a display device, the display device adopts the above-mentioned display method provided by the specific embodiment of the present invention for display, and the display device can be: a mobile phone, a tablet computer, a liquid crystal TV, an organic Light Emitting Diode (Organic Light Emitting Diode, OLED) TV, notebook computer, digital photo frame, navigator and any other product or component with display function. Other essential components of the display device should be understood by those of ordinary skill in the art, and will not be repeated here.
具体地,本发明具体实施例中的显示装置包括BV3像素结构的显示面板,以及,图像信息接收模块,用于接收输入的Real RGB像素结构对应的图像信息,并将图像信息发送给图像处理方法模块;Specifically, the display device in the specific embodiment of the present invention includes a display panel with a BV3 pixel structure, and an image information receiving module for receiving the input image information corresponding to the Real RGB pixel structure, and sending the image information to the image processing method. module;
图像处理方法模块,用于根据图像信息确定待显示图像的类型,当待显示图像的类型为文字类型时,按照第一图像渲染方法将图像信息处理为第一图像信息,当待显示图像的类型为非文字类型时,按照第二图像渲染方法将图像信息处理为第二图像信息,并将第一图像信息和第二图像信息发送给驱动模块;The image processing method module is used to determine the type of the image to be displayed according to the image information, when the type of the image to be displayed is a text type, the image information is processed into the first image information according to the first image rendering method, when the type of the image to be displayed is When it is a non-text type, the image information is processed into the second image information according to the second image rendering method, and the first image information and the second image information are sent to the driving module;
驱动模块,用于按照接收到的第一图像信息和第二图像信息驱动BV3像素结构的显示面板显示待显示图像。The driving module is used for driving the display panel with the BV3 pixel structure to display the image to be displayed according to the received first image information and the second image information.
具体实施时,如图10所示,图像信息接收模块101接收输入的Real RGB像素结构对应的图像信息,并将图像信息发送给图像处理方法模块102;图像处理方法模块102根据接收到的图像信息确定待显示图像的类型,当待显示图像的类型为文字类型时,按照第一图像渲染方法将图像信息处理为第一图像信息,当待显示图像的类型为非文字类型时,按照第二图像渲染方法将图像信息处理为第二图像信息,并将第一图像信息和第二图像信息发送给驱动模块103;驱动模块103按照接收到的第一图像信息和第二图像信息驱动BV3像素结构的显示面板104显示,驱动模块103的具体驱动方法与现有技术相同,这里不再赘述。During specific implementation, as shown in FIG. 10 , the image
综上所述,本发明具体实施例根据接收到的待显示图像的不同类型选择不同的图像渲染方法,当待显示图像的类型为文字类型时,按照第一图像渲染方法将接收到的图像信息处理为第一图像信息,当待显示图像的类型为非文字类型时,按照第二图像渲染方法将接收到的图像信息处理为第二图像信息;与现有技术在图像渲染过程中,不管是文字还是风景、人物,均使用相同的图像渲染方法进行图像处理相比,本发明具体实施例在图像渲染过程中,能够减少渲染方法运算内存消耗,进而降低硬件资源的消耗;另外,对经过本发明具体实施例的图像渲染后的图像观察可以看到,若显示内容中出现了很细的字体时,本发明具体实施例处理后的字体不会出现字体模糊的问题,本发明具体实施例能够改善字体的显示效果,提高显示面板的显示品质。To sum up, the specific embodiment of the present invention selects different image rendering methods according to different types of the received images to be displayed. When the type of the image to be displayed is a text type, the received image information is The processing is the first image information, and when the type of the image to be displayed is a non-text type, the received image information is processed into the second image information according to the second image rendering method; Compared with texts, landscapes, and characters, the same image rendering method is used for image processing. In the image rendering process, the specific embodiment of the present invention can reduce the calculation memory consumption of the rendering method, thereby reducing the consumption of hardware resources; It can be seen from the image observation after the image rendering of the specific embodiment of the present invention that if a very thin font appears in the display content, the font processed by the specific embodiment of the present invention will not have the problem of font blurring, and the specific embodiment of the present invention can Improve the display effect of fonts and improve the display quality of the display panel.
显然,本领域的技术人员可以对本发明进行各种改动和变型而不脱离本发明的精神和范围。这样,倘若本发明的这些修改和变型属于本发明权利要求及其等同技术的范围之内,则本发明也意图包含这些改动和变型在内。It will be apparent to those skilled in the art that various modifications and variations can be made in the present invention without departing from the spirit and scope of the invention. Thus, provided that these modifications and variations of the present invention fall within the scope of the claims of the present invention and their equivalents, the present invention is also intended to include these modifications and variations.
| Application Number | Priority Date | Filing Date | Title |
|---|---|---|---|
| CN201710221304.4ACN107068035B (en) | 2017-04-06 | 2017-04-06 | A display method and display device |
| Application Number | Priority Date | Filing Date | Title |
|---|---|---|---|
| CN201710221304.4ACN107068035B (en) | 2017-04-06 | 2017-04-06 | A display method and display device |
| Publication Number | Publication Date |
|---|---|
| CN107068035A CN107068035A (en) | 2017-08-18 |
| CN107068035Btrue CN107068035B (en) | 2020-12-18 |
| Application Number | Title | Priority Date | Filing Date |
|---|---|---|---|
| CN201710221304.4AExpired - Fee RelatedCN107068035B (en) | 2017-04-06 | 2017-04-06 | A display method and display device |
| Country | Link |
|---|---|
| CN (1) | CN107068035B (en) |
| Publication number | Priority date | Publication date | Assignee | Title |
|---|---|---|---|---|
| CN107342037B (en)* | 2017-09-01 | 2020-12-08 | 京东方科技集团股份有限公司 | Data conversion method, apparatus and computer readable storage medium |
| CN107656717B (en) | 2017-09-25 | 2021-03-26 | 京东方科技集团股份有限公司 | A display method, image processing module, and display device |
| CN107767808B (en)* | 2017-11-13 | 2020-09-08 | 北京京东方光电科技有限公司 | Display panel driving method, display driving circuit and display device |
| CN108174193B (en)* | 2018-01-03 | 2019-06-14 | 京东方科技集团股份有限公司 | Image processing method and image processing device |
| US10650718B2 (en)* | 2018-05-11 | 2020-05-12 | Himax Technologies Limited | Method and display device for sub -pixel rendering |
| CN109643462B (en)* | 2018-11-21 | 2023-07-04 | 京东方科技集团股份有限公司 | Real-time image processing method and display device based on rendering engine |
| CN109728046B (en)* | 2018-12-29 | 2021-01-12 | 上海天马有机发光显示技术有限公司 | Display panel and display device |
| CN109658905A (en)* | 2019-01-28 | 2019-04-19 | 京东方科技集团股份有限公司 | VR system and driving method |
| CN110782854B (en)* | 2019-10-08 | 2020-09-08 | 深圳市华星光电半导体显示技术有限公司 | Electronic equipment and reading mode identification method thereof |
| CN111128078B (en)* | 2020-02-14 | 2021-05-11 | 京东方科技集团股份有限公司 | Electronic equipment, display panel, driving device and driving method thereof |
| Publication number | Priority date | Publication date | Assignee | Title |
|---|---|---|---|---|
| US6008794A (en)* | 1998-02-10 | 1999-12-28 | S3 Incorporated | Flat-panel display controller with improved dithering and frame rate control |
| CN105096806A (en)* | 2015-08-28 | 2015-11-25 | 厦门天马微电子有限公司 | Sub pixel arrangement of display, and coloring method |
| CN105206242A (en)* | 2015-10-28 | 2015-12-30 | 京东方科技集团股份有限公司 | Drive circuit, driving method thereof, and display panel |
| Publication number | Priority date | Publication date | Assignee | Title |
|---|---|---|---|---|
| JPH08340455A (en)* | 1995-06-14 | 1996-12-24 | Olympus Optical Co Ltd | Image signal processor |
| JP4629839B2 (en)* | 2000-09-07 | 2011-02-09 | クラリオン株式会社 | Image converter |
| JP4190462B2 (en)* | 2004-05-28 | 2008-12-03 | シャープ株式会社 | Pixel interpolation direction detection device, pixel interpolation device, and video signal processing device |
| CN103886825B (en)* | 2014-02-21 | 2016-02-17 | 北京京东方光电科技有限公司 | The driving method of pel array and display device |
| CN103886808B (en)* | 2014-02-21 | 2016-02-24 | 北京京东方光电科技有限公司 | Display packing and display device |
| CN104537974B (en)* | 2015-01-04 | 2017-04-05 | 京东方科技集团股份有限公司 | Data acquisition submodule and method, data processing unit, system and display device |
| CN105185268B (en)* | 2015-08-28 | 2017-12-08 | 厦门天马微电子有限公司 | Array base palte, display device and sub-pixel rendering intent |
| CN105096884A (en)* | 2015-08-28 | 2015-11-25 | 厦门天马微电子有限公司 | Sub-pixel rendering method and display apparatus |
| CN105139764B (en)* | 2015-09-23 | 2018-02-06 | 厦门天马微电子有限公司 | Display device and display methods |
| Publication number | Priority date | Publication date | Assignee | Title |
|---|---|---|---|---|
| US6008794A (en)* | 1998-02-10 | 1999-12-28 | S3 Incorporated | Flat-panel display controller with improved dithering and frame rate control |
| CN105096806A (en)* | 2015-08-28 | 2015-11-25 | 厦门天马微电子有限公司 | Sub pixel arrangement of display, and coloring method |
| CN105206242A (en)* | 2015-10-28 | 2015-12-30 | 京东方科技集团股份有限公司 | Drive circuit, driving method thereof, and display panel |
| Publication number | Publication date |
|---|---|
| CN107068035A (en) | 2017-08-18 |
| Publication | Publication Date | Title |
|---|---|---|
| CN107068035B (en) | A display method and display device | |
| CN104952412B (en) | The driving method and driving device of liquid crystal panel | |
| US9576519B2 (en) | Display method and display device | |
| KR102023184B1 (en) | Display device, data processing apparatus and method thereof | |
| CN104656295B (en) | A kind of array base palte, display panel, its driving method and display device | |
| CN109147644B (en) | Display panel and display method | |
| CN104680948B (en) | A kind of dot structure, its driving method and display device | |
| US20160027369A1 (en) | Display method and display device | |
| CN104900205B (en) | Liquid-crystal panel and drive method therefor | |
| US9728160B2 (en) | Image processing method of a display for reducing color shift | |
| WO2016183864A1 (en) | Liquid crystal panel and driving method thereof | |
| WO2019029177A1 (en) | Image display method, display system, and computer readable storage medium | |
| CN106560880B (en) | The image rendering method of display device and the display device | |
| WO2015143832A1 (en) | Display method, display panel, and display device | |
| WO2016041215A1 (en) | Pixel array, display panel and display apparatus | |
| CN104732928B (en) | Pixel structure, drive method thereof and display device | |
| CN104517559B (en) | display sub-pixel driving system and driving method thereof | |
| CN105609033A (en) | Pixel rendering method, pixel rendering device and display device | |
| WO2016192367A1 (en) | Array substrate and display apparatus | |
| CN111383569A (en) | Image compensation method and image processing circuit | |
| TWI647683B (en) | Electronic device, display driver, and display data generating method of display panel | |
| US20190347973A1 (en) | Method and display device for sub-pixel rendering | |
| CN108428435A (en) | A kind of verification display methods that Delta types arrangement sub-pixel renders | |
| CN104464684B (en) | Method for rendering picture of display | |
| CN110599962A (en) | Rendering method of Delta type sub-pixel display panel with different color sequences |
| Date | Code | Title | Description |
|---|---|---|---|
| PB01 | Publication | ||
| PB01 | Publication | ||
| SE01 | Entry into force of request for substantive examination | ||
| SE01 | Entry into force of request for substantive examination | ||
| GR01 | Patent grant | ||
| GR01 | Patent grant | ||
| CF01 | Termination of patent right due to non-payment of annual fee | Granted publication date:20201218 | |
| CF01 | Termination of patent right due to non-payment of annual fee |