Movatterモバイル変換


[0]ホーム

URL:


CN107062157B - Underground lamp lens, light emitting module with same and underground lamp - Google Patents

Underground lamp lens, light emitting module with same and underground lamp
Download PDF

Info

Publication number
CN107062157B
CN107062157BCN201710400794.4ACN201710400794ACN107062157BCN 107062157 BCN107062157 BCN 107062157BCN 201710400794 ACN201710400794 ACN 201710400794ACN 107062157 BCN107062157 BCN 107062157B
Authority
CN
China
Prior art keywords
curved surface
light
lens
angle
light source
Prior art date
Legal status (The legal status is an assumption and is not a legal conclusion. Google has not performed a legal analysis and makes no representation as to the accuracy of the status listed.)
Active
Application number
CN201710400794.4A
Other languages
Chinese (zh)
Other versions
CN107062157A (en
Inventor
罗晓伟
周键斌
陈星星
仇旻
符建
张航
李强
樊军
周莹
Current Assignee (The listed assignees may be inaccurate. Google has not performed a legal analysis and makes no representation or warranty as to the accuracy of the list.)
Zhejiang Guangcone Technology Co ltd
Original Assignee
Zhejiang Guangcone Technology Co ltd
Priority date (The priority date is an assumption and is not a legal conclusion. Google has not performed a legal analysis and makes no representation as to the accuracy of the date listed.)
Filing date
Publication date
Application filed by Zhejiang Guangcone Technology Co ltdfiledCriticalZhejiang Guangcone Technology Co ltd
Priority to CN201710400794.4ApriorityCriticalpatent/CN107062157B/en
Publication of CN107062157ApublicationCriticalpatent/CN107062157A/en
Application grantedgrantedCritical
Publication of CN107062157BpublicationCriticalpatent/CN107062157B/en
Activelegal-statusCriticalCurrent
Anticipated expirationlegal-statusCritical

Links

Images

Classifications

Landscapes

Abstract

The invention provides an underground lamp lens, a light-emitting module with the underground lamp lens and an underground lamp, wherein the underground lamp lens comprises a lens body and a lens base for supporting the lens body, the lens body comprises an inner surface for receiving light rays from a light source and an outer surface for emitting the light rays, the inner surface comprises a first curved surface and a second curved surface for collimating the light rays, and a third curved surface and a fourth surface for refracting the light rays, and the outer surface comprises a seventh curved surface formed by a fly-eye array surface and a fifth curved surface and a sixth curved surface for reflecting the light rays to the seventh curved surface. Through the structural form of combining the polarized light collimation TIR lens with the fly-eye lens, the light efficiency of the underground lamp can be effectively improved, and uniform light distribution can be obtained.

Description

Underground lamp lens, light emitting module with same and underground lamp
Technical Field
The invention relates to the technical field of illumination, in particular to an underground lamp lens, a light-emitting module with the underground lamp lens and an underground lamp.
Background
The underground lamp is used as a commonly used decorative lamp at present and is mainly used for decorating public places such as hotels, markets, squares and the like. The lamp is named as an underground lamp because the lamp is buried in the ground for illumination.
A common underground lamp mainly includes a light emitting unit, a lens, a housing, a base, and the like. In the design of the lens of the underground lamp, in the prior art, a form of a rotationally symmetric collimating TIR (Total Internal Reflection) lens combined with an inclined stripe surface is mostly adopted, and then the lens of the underground lamp is linearly or array-arranged and matched with a corresponding outer shell module of the underground lamp to form the underground lamp. The underground lamp has higher requirement on the anti-glare property, so the lens of the underground lamp is often subjected to polarization treatment. The top surface of the underground lamp lens in the prior art structure is an inclined stripe surface, and the purpose of inclination is to achieve the effect of polarization, but there are two limitations at the same time: firstly, when the required polarizing angle is large, the incident angle of the light reaching the top surface becomes large, and the Fresnel formula shows that when the incident angle becomes large, the reflected light increases, the refracted light decreases, that is, the energy finally reaching the wall surface decreases, so that the light effect decreases; secondly, the top surface is only subjected to simple inclination treatment, so that the light spots cannot be uniformly distributed, and the final light spots are not uniform necessarily.
Disclosure of Invention
The invention aims to provide an underground lamp lens, a light-emitting module with the underground lamp lens and an underground lamp, which can be applied to lighting equipment to improve the lighting effect and obtain uniform light distribution.
In order to solve the technical problem, the invention adopts the following technical scheme:
the invention provides an underground lamp lens which comprises a lens body and a lens base supporting the lens body, wherein the lens body comprises an inner surface used for receiving light rays from a light source and an outer surface used for emitting the light rays. The inner surface includes a first curved surface and a second curved surface for light collimation, and a third curved surface and a fourth curved surface for refracting light. The outer surface comprises a seventh curved surface formed by the compound eye array surface, and a fifth curved surface and a sixth curved surface which are used for reflecting light rays to the seventh curved surface.
Optionally, the first curved surface is a rotationally symmetric curved surface, and a rotation curve of the first curved surface is defined by the following equation: x = -rsin (θ), z = rcos (θ), r satisfies the differential equation:
Figure BDA0001309667580000021
wherein theta is the included angle between the light of the light source and the vertical direction, and thetapolar Is the angle of polarization, and n is the refractive index of the lens material.
The second curved surface is a rotationally symmetric curved surface, and the rotation curve of the second curved surface is defined by the following equation: x = rsin (θ), z = rcos (θ), r satisfies the differential equation:
Figure BDA0001309667580000022
wherein theta is the included angle between the light of the light source and the vertical direction, and thetapolar N is the angle of polarization and the refractive index of the lens material.
Optionally, the third curved surface is a rotationally symmetric curved surface, and a rotation curve of the third curved surface is defined by the following equation: x = -rsin (θ), z = rcos (θ), r satisfies the equation:
Figure BDA0001309667580000023
wherein, theta is the included angle between the light of the light source and the vertical direction, and L2 Is the distance, beta, from the origin at the bottom of the third curved surface2 Is the draft angle of the third curved surface.
The fourth curved surface is a rotationally symmetrical curved surface, and the rotation curve of the fourth curved surface is defined by the following equation: x = rsin (θ), z = rcos (θ), r satisfies the equation:
Figure BDA0001309667580000024
wherein, theta is the included angle between the light of the light source and the vertical direction, and L1 Is the distance, beta, from the origin at the bottom of the fourth curved surface1 Is the draft angle of the fourth curved surface.
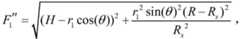
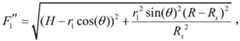
Optionally, the fifth curved surface is a total reflection surface, the fifth curved surface is a rotationally symmetric curved surface, and a rotation curve of the fifth curved surface is defined by the following equation:
Figure BDA0001309667580000025
Figure BDA0001309667580000026
r satisfies the differential equation:
Figure BDA0001309667580000027
wherein, in the process,
Figure BDA0001309667580000028
F3 =cos(2β2 +2 θ), θ is the angle between the light source ray and the vertical direction, L2 Is the distance, beta, from the origin at the bottom of the third curved surface2 Is the draft angle of the third curved surface, thetapolar Is the angle of polarization, and n is the refractive index of the lens material.
The sixth curved surface is a total reflection surface, the sixth curved surface is a rotationally symmetrical curved surface, and the rotation curve of the sixth curved surface is defined by the following equation:
Figure BDA0001309667580000029
Figure BDA0001309667580000031
r satisfies the differential equation:
Figure BDA0001309667580000032
wherein
Figure BDA0001309667580000033
F3 ′=cos(2β1 +2 θ), θ is the angle between the light source ray and the vertical direction, L1 Is the distance, beta, from the origin at the bottom of the fourth curved surface1 Is the draft angle of the fourth curved surface, thetapolar Is the angle of polarization, and n is the refractive index of the lens material.
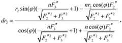
Alternatively, the single compound eye contour in the seventh curved surface may be defined by the following equation:
Figure BDA0001309667580000034
y=r2 ·sin(θ),
Figure BDA0001309667580000035
r1 satisfy differential equation:
Figure BDA0001309667580000036
Wherein,
Figure BDA0001309667580000037
r2 satisfying the differential equation:
Figure BDA0001309667580000038
wherein,
Figure BDA0001309667580000039
Figure BDA00013096675800000310
wherein, thetapolar Is the polarization angle, n is the refractive index of the lens material, h is the center height of the compound eye, theta is the included angle between the light of the light source and the vertical direction,
Figure BDA00013096675800000311
is the angle between the light of the light source and the horizontal direction, Rs Is half of the side length of the compound eye, H is the distance from the light source to the wall, R is half of the transverse width of the center of the light spot, and omega is thetapolar Complementary angle of (L)t2 Is the length of the intersection line of the boundary of the front part and the rear part of the compound eye and the light spot, Lt1 Is the length of the upper and lower boundaries of the light spot, psi is the inclination angle of the trapezoidal light spot waist, dH The distance from the center of the spot to the wall.
Optionally, a cavity for receiving the light source is formed between the inner upper surface of the lens base and the inner surface of the lens body.
Optionally, the outer surface of the lens base is a frosted surface.
The invention provides a light emitting module comprising any one of the above-described underground lamp lenses.
Optionally, the light source of the light emitting module is an LED lamp.
The invention also provides an underground lamp which comprises an array formed by the light emitting modules in any one of the above modes.
Compared with the prior art, the invention has the beneficial effects that: through the optical structure design of the rotationally symmetric collimation TIR lens combined with the fly-eye lens, the optical characteristics of the integrally buried lamp lens are improved, the uniform distribution of light spots is realized, and the light efficiency is improved.
In the simulation of the light emitting module including the wall washer lens of the present invention, it can be known that the underground lamp lens and the light emitting module having the same can obtain uniform light distribution, high luminous efficiency and effectively suppress the generation of glare. In addition, the outer surface of the lens base is a frosted surface, so that stray light can be effectively prevented from being generated. The underground lamp composed of the array type light emitting modules can realize uniform light distribution and high-light-efficiency illumination, and can effectively prevent glare and stray light.
Drawings
Fig. 1 is a perspective structural schematic view of an underground lamp lens according to an embodiment of the present invention;
fig. 2 is a schematic perspective view of a lens body according to an embodiment of the invention;
FIG. 3 is a schematic side view of a lens body according to an embodiment of the present invention;
FIG. 4 is a schematic diagram of a single fly-eye configuration of a lens body according to an embodiment of the invention;
fig. 5 is a schematic perspective view of an underground lamp lens according to an embodiment of the present invention;
fig. 6 is a distribution diagram of illuminance of a light emitting module according to an embodiment of the present invention;
fig. 7 is an illuminance distribution diagram of two cross sections of a light emitting module according to an embodiment of the invention;
fig. 8 is a rectangular coordinate light distribution graph of the light emitting module according to an embodiment of the present invention;
fig. 9 is a polar light distribution curve diagram of the light emitting module according to an embodiment of the present invention;
fig. 10 is a polar ISO light distribution graph of the light emitting module according to an embodiment of the present invention.
Detailed Description
The structure of various embodiments of the present invention will be described below with reference to the accompanying drawings which form a part of the specification. It is to be understood that other specific arrangements of parts and structures may be utilized and structural and functional changes may be made without departing from the scope of the present invention. Additionally, the terms "top," "bottom," "center," "side," "inner," "outer," and similar terms may be used in the specification to describe features and elements of various embodiments of the invention, and these terms are used herein in a generic sense, e.g., based on the orientations shown in the figures and/or the orientations commonly referred to. No particular three-dimensional or spatial structural orientation is required in the specification to be construed as falling within the scope of the present invention.
Fig. 1 is a perspective view of an underground lamp lens according to an embodiment of the invention. The invention provides an underground lamp lens which comprises a lens main body and a lens base for supporting the lens main body, wherein the lens main body comprises an inner surface for receiving light rays from a light source and an outer surface for emitting the light rays, the inner surface comprises a first curved surface A, a second curved surface B, a third curved surface C and a fourth curved surface D, the first curved surface A and the second curved surface B are used for collimating the light rays, the third curved surface C and the fourth curved surface D are used for refracting the light rays, and the outer surface comprises a seventh curved surface G formed by a compound eye array surface, a fifth curved surface E and a sixth curved surface F which are used for reflecting the light rays to the seventh curved surface G.
As shown in fig. 2 and 3, a perspective structure diagram and a side structure diagram of a lens body according to an embodiment of the present invention are provided. The outer surface of the lens body includes a fifth curved surface E, a sixth curved surface F, and a seventh curved surface G constituted by a fly-eye array surface. The fifth curved surface E, the sixth curved surface F and the seventh curved surface G are in seamless connection. Wherein, the junction between the fifth curved surface E and the sixth curved surface F is in smooth transition. Similarly, the junction between the first curved surface a and the second curved surface B is in smooth transition, and the junction between the third curved surface C and the fourth curved surface D is in smooth transition.
Optionally, the first curved surface a and the second curved surface B are transmission surfaces, and are configured to collimate the light of the light source and emit the collimated light onto the seventh surface G. The first curved surface A is a rotationThe symmetric curved surface can be obtained by rotating a curve around an optical axis, and the curve of the rotation around the axis can be defined by the following equation: x = -rsin (θ), z = rcos (θ), r satisfies the differential equation:
Figure BDA0001309667580000051
wherein theta is the included angle between the light of the light source and the vertical direction, and thetapolar N is the angle of polarization and the refractive index of the lens material. The second curved surface B is a rotationally symmetric curved surface and can be obtained by rotating a curve around an optical axis, and the curve of the rotation around the axis can be defined by the following equation: x = rsin (θ), z = rcos (θ), r satisfies the differential equation:
Figure BDA0001309667580000052
wherein theta is the included angle between the light of the light source and the vertical direction, and thetapolar Is the angle of polarization, and n is the refractive index of the lens material.
Optionally, the third curved surface C and the fourth curved surface D are transmission surfaces, the third curved surface C is used for refracting the light source rays onto the fifth surface E and the sixth surface F, and the fourth curved surface D is used for refracting the light source rays onto the fifth surface E and the sixth surface F. Meanwhile, the third curved surface C and the fourth curved surface D are drawing surfaces, and the transverse width of the lens can be controlled by adjusting the drawing angle. The third curved surface C is a rotationally symmetric curved surface, and can be obtained by rotating a curve around an optical axis, and the curve of the rotation around the axis can be defined by the following equation: x = -rsin (θ), z = rcos (θ), r satisfies the equation:
Figure BDA0001309667580000053
wherein theta is the included angle between the light of the light source and the vertical direction, and L2 Beta is the distance from the origin of the bottom of the third curved surface (i.e., the distance between the point where the third curved surface meets the upper surface of the bottom and the point where the axis of rotation of the third curved surface meets the upper surface of the bottom), beta2 The draft angle is the included angle between the third curved surface and the vertical direction, and the same applies below. The fourth curved surface D is a rotationally symmetric curved surface, and can be obtained by rotating a curve around the optical axis, and the curve of the rotation around the axis can be defined by the following equation: x = rsin (θ), z = rcos (θ), r satisfies the equation:
Figure BDA0001309667580000061
wherein theta is the included angle between the light of the light source and the vertical direction, and L1 Beta is the distance from the origin of the bottom of the fourth curved surface (i.e., the distance between the point where the fourth curved surface meets the upper surface of the bottom and the point where the rotation axis of the fourth curved surface meets the upper surface of the bottom), beta1 The draft angle of the fourth curved surface.
Optionally, the fifth curved surface E and the sixth curved surface F are total reflection surfaces, the fifth curved surface E is used for totally reflecting and collimating the light rays from the third curved surface C and the fourth curved surface D and emitting the light rays to the seventh curved surface G, and the sixth curved surface F is used for totally reflecting and collimating the light rays from the third curved surface C and the fourth curved surface D to the seventh curved surface G. The fifth curved surface E and the sixth curved surface F are also used for improving the overall lighting effect. The fifth curved surface E is a rotationally symmetric curved surface, and can be obtained by rotating a curve around an optical axis, and the curve of the rotation around the axis can be defined by the following equation:
Figure BDA0001309667580000062
Figure BDA0001309667580000063
r satisfies the differential equation:
Figure BDA0001309667580000064
wherein
Figure BDA0001309667580000065
F3 =cos(2β2 +2 θ), θ is the angle between the light source ray and the vertical direction, L2 Is the distance, beta, from the origin at the bottom of the third curved surface2 Is the draft angle of the third curved surface, thetapolar N is the angle of polarization and the refractive index of the lens material. The sixth curved surface F is a rotationally symmetric curved surface, and can be obtained by rotating a curve around the optical axis, and the curve of the rotation around the axis can be defined by the following equation:
Figure BDA0001309667580000066
Figure BDA0001309667580000067
r satisfies the differential equation:
Figure BDA0001309667580000071
wherein
Figure BDA0001309667580000072
F3 ′=cos(2β1 +2θ),
theta is the angle between the light of the light source and the vertical direction, L1 Is the distance, beta, from the origin at the bottom of the fourth curved surface1 Is the draft angle of the fourth curved surface, thetapolar N is the angle of polarization and the refractive index of the lens material.
Alternatively, as shown in fig. 4, a single compound eye structure diagram of a lens body is provided for an embodiment of the invention. The seventh curved surface G is formed by a compound eye array, and the compound eye structure is used to improve the uniformity of light spots and obtain higher light efficiency, and simultaneously reduce glare as much as possible. The compound eye size can be properly adjusted according to the requirement on the uniformity of the light spots. Better spot uniformity can be obtained with smaller compound eye size. The curved surface of a single compound eye in the seventh curved surface G may be defined by the following equation:
Figure BDA0001309667580000073
y=r2 ·sin(θ),
Figure BDA0001309667580000074
r1 satisfying the differential equation:
Figure BDA0001309667580000075
wherein,
Figure BDA0001309667580000076
r2 Satisfying the differential equation:
Figure BDA0001309667580000077
wherein,
Figure BDA0001309667580000078
Figure BDA0001309667580000079
wherein, thetapolar Is a polarization angle, n is a refractive index of the lens material, h is a central height of the compound eye, theta is an included angle between light rays of the light source and the vertical direction,
Figure BDA00013096675800000710
is the angle between the light of the light source and the horizontal direction, Rs Is half of the side length of compound eye, H is the distance between the light source and the wall, R is half of the transverse width of the center of the light spot, and omega is thetapolar Complementary angle of (L)t2 Is the length of the intersection line of the boundary of the front part and the rear part of the compound eye and the light spot, Lt1 Is the length of the upper and lower boundaries of the light spot, psi is the inclination angle of the trapezoidal light spot waist, dH The distance from the center of the spot to the wall.
Fig. 5 is a schematic perspective view of an underground lamp lens according to an embodiment of the present invention. The lens main body is installed in the lens base, and the lens main body is fixed to the lens base to can play waterproof effect. In order to stably mount the lens body in the lens base, the aperture and the opening shape of the top of the lens base are matched with the lateral shape of the seventh curved surface G.
Specifically, the outer surfaces of the lens base include a top upper surface H, an outer side surface I, a bottom upper surface J, and a bottom outer side surface K. To suppress the generation of stray light, the outer surface of the lens substrate may be frosted, i.e., the top upper surface H, the outer side surface I, the bottom upper surface J, and the bottom outer side surface K are frosted surfaces.
Specifically, the light source mounted on the circuit board is placed within a cavity formed between an inner upper surface of the lens base and an inner surface of the lens body. The light source can be an LED lamp, namely, the light-emitting module comprising the underground lamp lens is an LED module. In addition, the light emitting modules can form the underground lamp in a strip array or rectangular array arrangement mode, so that illumination with high light efficiency and uniform light distribution is realized, and glare and stray light can be effectively prevented from being generated.
As shown in fig. 6 and 7, the illuminance distribution diagrams of the light emitting module and the illuminance distribution diagrams of two cross sections of the light emitting module according to the embodiment of the present invention are shown. As can be seen from the figure, the whole light spot of the light-emitting module is a uniform trapezoidal light spot, and the horizontal direction of the light spot is basically symmetrical. The maximum value of the illuminance of the cross section in the horizontal direction is close to the horizontal zero position, and the illuminance values of most areas in the cross section in the vertical direction are close. As can be seen from the above, the light emitting module can obtain uniform light distribution. In addition, the luminous efficiency reaches 89.32 percent, which is much higher than that of the conventional underground lamp lens.
Fig. 8 to 10 show light distribution curves of the light emitting module of the embodiment of the present invention under three coordinate systems of rectangular coordinate, polar coordinate, and polar coordinate ISO, where the rotational symmetry axis of the polarization collimating TIR lens of the light emitting module of the embodiment forms an inclination angle of 10 ° with the vertical plane. As can be seen from fig. 8 to 10, the emergent light is deflected to the wall surface side, and the maximum light intensity is about 8 °, i.e. the polarization angle is about 8 °. Therefore, the lens of the light-emitting module can effectively prevent glare, and has the effect of reducing light pollution.
The above embodiments are provided to further explain the objects, technical solutions and advantages of the present invention in detail, and it should be understood that the above embodiments are only examples of the present invention and are not intended to limit the scope of the present invention. It should be understood that any modifications, equivalents, improvements and the like, which come within the spirit and principle of the invention, may occur to those skilled in the art and are intended to be included within the scope of the invention.

Claims (8)

1. An underground lamp lens is characterized by comprising a lens body and a lens base for supporting the lens body, wherein the lens body comprises an inner surface for receiving light rays from a light source and an outer surface for emitting the light rays, the inner surface comprises a first curved surface and a second curved surface for collimating the light rays, a third curved surface and a fourth curved surface for refracting the light rays, and the outer surface comprises a seventh curved surface formed by a fly-eye array surface and a fifth curved surface and a sixth curved surface for reflecting the light rays to the seventh curved surface;
the first curved surface is a rotationally symmetric curved surface, and the rotation curve of the first curved surface is defined by the following equation: x = -rsin (θ), z = rcos (θ), r satisfies the differential equation:
Figure FDA0003958096780000011
wherein theta is the included angle between the light of the light source and the vertical direction, and thetapolar Is the angle of polarization, and n is the refractive index of the lens material;
the second curved surface is a rotationally symmetrical curved surface, and the rotation curve of the second curved surface is defined by the following equation: x = rsin (θ), z = rcos (θ), r satisfies the differential equation:
Figure FDA0003958096780000012
wherein theta is the included angle between the light of the light source and the vertical direction, and theta is the included angle between the light of the light source and the vertical directionpolar Is the angle of polarization, and n is the refractive index of the lens material;
a cavity for receiving a light source is formed between the inner upper surface of the lens base and the inner surface of the lens body.
2. The underground lamp lens of claim 1, wherein the third curved surface is a rotationally symmetric curved surface, and the rotation curve of the third curved surface is defined by the following equation: x = -rsin (θ), z = rcos (θ), r satisfies the equation:
Figure FDA0003958096780000013
wherein, theta is the included angle between the light of the light source and the vertical direction, and L2 The bottom of the third curved surface is far from the originalDistance of points, beta2 Is the draft angle of the third curved surface;
the fourth curved surface is a rotationally symmetric curved surface, and the rotation curve of the fourth curved surface is defined by the following equation: x = rsin (θ), z = rcos (θ), r satisfies the equation:
Figure FDA0003958096780000014
wherein, theta is the included angle between the light of the light source and the vertical direction, and L1 Is the distance, beta, from the origin at the bottom of the fourth curved surface1 Is the draft angle of the fourth curved surface.
3. The underground lamp lens of claim 1, wherein the fifth curved surface is a total reflection surface, the fifth curved surface is a rotationally symmetric curved surface, and a rotation curve of the fifth curved surface is defined by the following equation:
Figure FDA0003958096780000016
r satisfies the differential equation:
Figure FDA0003958096780000021
wherein, in the process,
Figure FDA0003958096780000022
F3 =cos(2β2 +2 θ), θ is the angle between the light source ray and the vertical direction, L2 Is the distance, beta, from the origin at the bottom of the third curved surface2 Is the draft angle of the third curved surface, thetapolar Is the angle of polarization, and n is the refractive index of the lens material;
the sixth curved surface is a total reflection surface, the sixth curved surface is a rotationally symmetric curved surface, and a rotation curve of the sixth curved surface is defined by the following equation:
Figure FDA0003958096780000023
Figure FDA0003958096780000024
r satisfies the differential equation:
Figure FDA0003958096780000025
wherein
Figure FDA0003958096780000026
F3 ′=cos(2β1 +2 θ), θ is the angle between the light source ray and the vertical direction, L1 Is the distance, beta, from the origin at the bottom of the fourth curved surface1 Is the draft angle of the fourth curved surface, θpolar Is the angle of polarization, and n is the refractive index of the lens material.
4. The underground lamp lens of claim 1, wherein the single fly-eye profile in the seventh curved surface can be defined by the equation:
Figure FDA00039580967800000211
y=r2 ·sin(θ),
Figure FDA0003958096780000027
r1 satisfying the differential equation:
Figure FDA0003958096780000028
wherein,
Figure FDA0003958096780000029
r2 satisfying the differential equation:
Figure FDA00039580967800000210
wherein,
Figure FDA0003958096780000031
Figure FDA0003958096780000032
wherein, thetapolar Is the angle of polarization, n is the refractive index of the lens material, and h is the refractive index of the compound eyeThe height of the center, theta is the included angle between the light of the light source and the vertical direction,
Figure FDA0003958096780000033
is the angle between the light of the light source and the horizontal direction, Rs Is half of the side length of the compound eye, H is the distance from the light source to the wall, R is half of the transverse width of the center of the light spot, and omega is thetapolar Complementary angle of (L)t2 Is the length of the intersection line of the boundary of the front part and the rear part of the compound eye and the light spot, Lt1 Is the length of the upper and lower boundaries of the light spot, psi is the inclination angle of the trapezoidal light spot waist, dH Is the distance from the center of the spot to the wall.
5. The underground lamp lens of claim 1, wherein the outer surface of the lens base is a frosted surface.
6. A lighting module comprising the underground lamp lens of any one of claims 1 to 5.
7. The lighting module of claim 6, wherein the light source of the lighting module is an LED lamp.
8. An underground lamp comprising an array of light emitting modules according to claim 6 or 7.
CN201710400794.4A2017-05-312017-05-31Underground lamp lens, light emitting module with same and underground lampActiveCN107062157B (en)

Priority Applications (1)

Application NumberPriority DateFiling DateTitle
CN201710400794.4ACN107062157B (en)2017-05-312017-05-31Underground lamp lens, light emitting module with same and underground lamp

Applications Claiming Priority (1)

Application NumberPriority DateFiling DateTitle
CN201710400794.4ACN107062157B (en)2017-05-312017-05-31Underground lamp lens, light emitting module with same and underground lamp

Publications (2)

Publication NumberPublication Date
CN107062157A CN107062157A (en)2017-08-18
CN107062157Btrue CN107062157B (en)2023-02-10

Family

ID=59615449

Family Applications (1)

Application NumberTitlePriority DateFiling Date
CN201710400794.4AActiveCN107062157B (en)2017-05-312017-05-31Underground lamp lens, light emitting module with same and underground lamp

Country Status (1)

CountryLink
CN (1)CN107062157B (en)

Families Citing this family (3)

* Cited by examiner, † Cited by third party
Publication numberPriority datePublication dateAssigneeTitle
CN110207072A (en)*2019-06-172019-09-06广东迪艾生光电技术有限公司A kind of LED wall wash lamp lens of polarisation low-angle
CN112377877B (en)*2020-11-102022-12-02浙江光锥科技有限公司Lens design method and system and line lamp lens
CN113838430A (en)*2021-10-272021-12-24北京乐驾科技有限公司HUD backlight control system, method, electronic device and storage medium

Citations (9)

* Cited by examiner, † Cited by third party
Publication numberPriority datePublication dateAssigneeTitle
JP2006301544A (en)*2005-04-252006-11-02Matsushita Electric Works LtdOptical component and lighting fitting using the same
CN102654268A (en)*2011-03-022012-09-05北京工业大学LED (Light-Emitting Diode) lens device, LED lens device module and LED lamp device
CN103047607A (en)*2012-12-242013-04-17浙江大学Manufacture method of free-curved-surface lens for LED collimation
CN103968326A (en)*2013-01-312014-08-06欧司朗有限公司Lens and illumination device with same
CN104180302A (en)*2013-05-282014-12-03海洋王(东莞)照明科技有限公司Lamp and lens thereof
CN204062854U (en)*2014-08-072014-12-31广州市雅江光电设备有限公司The even optical lens of low-angle optically focused
CN104317053A (en)*2014-11-182015-01-28重庆邮电大学Free-form surface lens construction method based on lighting of LED desk lamp
CN104676475A (en)*2013-11-292015-06-03海洋王(东莞)照明科技有限公司Led light distribution lens and led lamp
CN206875345U (en)*2017-05-312018-01-12杭州光锥科技有限公司Underground lamp lens, the light emitting module and underground lamp with the underground lamp lens

Patent Citations (9)

* Cited by examiner, † Cited by third party
Publication numberPriority datePublication dateAssigneeTitle
JP2006301544A (en)*2005-04-252006-11-02Matsushita Electric Works LtdOptical component and lighting fitting using the same
CN102654268A (en)*2011-03-022012-09-05北京工业大学LED (Light-Emitting Diode) lens device, LED lens device module and LED lamp device
CN103047607A (en)*2012-12-242013-04-17浙江大学Manufacture method of free-curved-surface lens for LED collimation
CN103968326A (en)*2013-01-312014-08-06欧司朗有限公司Lens and illumination device with same
CN104180302A (en)*2013-05-282014-12-03海洋王(东莞)照明科技有限公司Lamp and lens thereof
CN104676475A (en)*2013-11-292015-06-03海洋王(东莞)照明科技有限公司Led light distribution lens and led lamp
CN204062854U (en)*2014-08-072014-12-31广州市雅江光电设备有限公司The even optical lens of low-angle optically focused
CN104317053A (en)*2014-11-182015-01-28重庆邮电大学Free-form surface lens construction method based on lighting of LED desk lamp
CN206875345U (en)*2017-05-312018-01-12杭州光锥科技有限公司Underground lamp lens, the light emitting module and underground lamp with the underground lamp lens

Also Published As

Publication numberPublication date
CN107062157A (en)2017-08-18

Similar Documents

PublicationPublication DateTitle
CN102054925B (en)Light emitting diode module
CN102032526B (en)LED module
CN103348182B (en) Lens and method for generating batwing-like beam distribution
TWI418854B (en)Lens structure
WO2015109891A1 (en)Light distribution method for cob module led streetlamp lens capable of illuminating 3-5 lanes
CN107013884B (en)Projecting lamp lens, have light-emitting module and projecting lamp of this projecting lamp lens
CN106247279B (en) Lens and its light-emitting device
JP2012048205A (en) Optical lens, LED module including the same, and illumination device
US8801221B2 (en)Lens structure, light source device and light source module
TWI471616B (en) Lens module for light emitting diode light source
CN107062157B (en)Underground lamp lens, light emitting module with same and underground lamp
CN106402730A (en)Light distribution method for power type LED integrated module
CN106500013A (en)Projecting Lamp lens, light emitting module and Projecting Lamp
CN102788315B (en)Lens, the light emitting module with these lens and indoor wall washer lamp
CN107678152B (en) LED Freeform Surface Lens for Optical Microscope Reflective Illumination System
CN206875345U (en)Underground lamp lens, the light emitting module and underground lamp with the underground lamp lens
CN105953175B (en)Projecting lamp lens, have light-emitting module and projecting lamp of this projecting lamp lens
CN205316246U (en) Optical lens for LED automobile front fog lamp
CN203363991U (en)LED (light-emitting diode) secondary optical lens
CN102980135A (en)Light distribution lens for LED light source road lighting
CN103574503B (en) Lens module for LED light source
CN207094538U (en)Wall lamp lens, the light emitting module and wall lamp with the wall lamp lens
CN107062156B (en)Wash pinup lens, have this light emitting module who washes pinup lens and wash pinup
CN208058751U (en)One word hot spot lens of one kind and light emitting module
CN206831402U (en)Projecting Lamp lens, the light emitting module and Projecting Lamp with the Projecting Lamp lens

Legal Events

DateCodeTitleDescription
PB01Publication
PB01Publication
SE01Entry into force of request for substantive examination
SE01Entry into force of request for substantive examination
CB02Change of applicant information
CB02Change of applicant information

Address after:Hangzhou City, Zhejiang province Fuyang District 311400 Silver Lake Street 7 Silver Lake Branch Chong Park Building 8 floor

Applicant after:Zhejiang guangcone Technology Co.,Ltd.

Address before:Hangzhou City, Zhejiang province Fuyang District 311400 Silver Lake Street 7 Silver Lake Branch Chong Park Building 8 floor

Applicant before:HANGZHOU LIGHT-CONE TECHNOLOGY CO.,LTD.

GR01Patent grant
GR01Patent grant

[8]ページ先頭

©2009-2025 Movatter.jp