







技术领域technical field
本发明涉及电力线载波通信技术领域,并且更具体地,涉及一种基于正交频分复用的时频分集拷贝方法。The present invention relates to the technical field of power line carrier communication, and more particularly, to a time-frequency diversity copy method based on orthogonal frequency division multiplexing.
背景技术Background technique
电力线载波通信是利用电力布线来传送和接收通信信号的有线通信技术。由于电力线网络分布广泛,因此使用电力线作为通信媒质无需在室内打孔布线重新构建通信网络,具有成本低廉,连接方便等优点,在智能电网和宽带接入方面受到越来越多的关注。Power line carrier communication is a wired communication technology that utilizes power wiring to transmit and receive communication signals. Because the power line network is widely distributed, using the power line as a communication medium does not require drilling holes in the room to rebuild the communication network. It has the advantages of low cost and convenient connection, and has received more and more attention in smart grid and broadband access.
正交频分复用(Orthogonal Frequency Division Multiplexing,OFDM)是一种将可用传输信道带宽再分为多个彼此重叠和正交的离散信道或载波的扩展频谱技术。数据以具有特定持续时间和包括一定数量载频的码元的形式发送。利用二相移位键控(BinaryPhase Shift Keying,BPSK)或四相移位键控(Quadrature Phase Shift Keying,QPSK)之类的惯用方案可以对这些OFDM载波发送的数据进行编码。Orthogonal Frequency Division Multiplexing (OFDM) is a spread spectrum technique that subdivides the available transmission channel bandwidth into multiple discrete channels or carriers that overlap and are orthogonal to each other. Data is sent in the form of symbols having a specific duration and including a certain number of carrier frequencies. The data sent by these OFDM carriers can be encoded using conventional schemes such as Binary Phase Shift Keying (BPSK) or Quadrature Phase Shift Keying (QPSK).
通信信道是通信的基础,与无线通信相同,电力线通信的性能主要受到电力线通信信道的制约。低压电力网不是为传输高速数据而设计的,其构成电力网的组件是按照输送电能的损失最小并保证可靠地传输低频电流而设计的,因此,在低压线上进行信号传输时,可能在信道上产生差错突发的脉冲噪声和造成频率选择性衰落的延迟扩展,从而导致接收端无法正确地解调出发送信号,故采用分集技术十分必要。The communication channel is the basis of communication. Like wireless communication, the performance of power line communication is mainly restricted by the power line communication channel. The low-voltage power grid is not designed to transmit high-speed data. The components that make up the power grid are designed to transmit power with minimal loss and ensure reliable transmission of low-frequency currents. Therefore, when signals are transmitted on low-voltage lines, there may be The impulse noise of error bursts and the delay spread causing frequency selective fading cause the receiving end to be unable to demodulate the transmitted signal correctly, so it is necessary to use diversity technology.
发明内容SUMMARY OF THE INVENTION
为了解决背景技术存在的上述问题,本发明提供一种基于正交频分复用的时频分集拷贝方法,其特征在于,所述方法包括:In order to solve the above problems existing in the background art, the present invention provides a time-frequency diversity copy method based on orthogonal frequency division multiplexing, wherein the method includes:
步骤1、物理层接收介质访问控制层信息,并生成物理层需要传输的原始数据;
步骤2、根据拷贝次数确定交织器个数;
步骤3、根据所述介质访问控制层信息和确定的交织器个数计算时频分集拷贝的参数,所述参数包括拷贝时实际使用的子载波个数、每部分数据的载波个数、每部分数据的比特数目、需要的正交频分复用符号数目、每个正交频分复用符号的比特数目、最后一个正交频分复用符号的比特数目、每个交织器对应的子载波个数和最后一部分数据的比特数目;
步骤4、判断最后一部分数据的比特数目是否大于0,若是,则执行步骤5,否则,执行步骤6;
步骤5、根据拷贝时每部分数据的比特数目和最后一部分数据的比特数目计算需要添加的数据长度,并获取新的数据序列;
步骤6、根据拷贝次数和最后一个正交频分复用符号的比特数目计算时频分集拷贝的移位参数;
步骤7、根据拷贝时每个交织器对应的子载波个数和交织器个数计算交织偏移步长,并根据交织偏移步长确定每个交织器的交织步长,最后根据交织步长计算每个交织器的交织地址;以及
步骤8、按照拷贝次数,根据移位参数、交织器的交织地址,物理层的编码速率依次进行时频分集拷贝。Step 8: Perform time-frequency diversity copying in sequence according to the number of copies, the shift parameter, the interleaving address of the interleaver, and the coding rate of the physical layer.
进一步地,分集拷贝在时域和频域同时进行,频域表现在将需传输的数据拷贝在不同子载波上,时域表现在将需传输的数据拷贝在不同的正交频分复用符号上。Further, diversity copying is performed simultaneously in the time domain and frequency domain. The frequency domain is represented by copying the data to be transmitted on different subcarriers, and the time domain is represented by copying the data to be transmitted on different OFDM symbols. superior.
进一步地,物理层接收的介质访问控制层信息包含载波映射表索引,所述载波映射表索引规定了物理层的编码速率,拷贝次数,物理块大小,并根据物理块大小计算出物理层可传输的原始数据长度。Further, the medium access control layer information received by the physical layer includes a carrier mapping table index, and the carrier mapping table index specifies the coding rate, the number of copies, and the physical block size of the physical layer, and the physical layer can be transmitted according to the physical block size. raw data length.
进一步地,根据拷贝次数确定交织器个数包括:Further, determining the number of interleavers according to the number of copies includes:
当拷贝次数是2次时,交织器个数是8个,每次拷贝交织器个数是4个;When the number of copies is 2, the number of interleavers is 8, and the number of interleavers for each copy is 4;
当拷贝次数是4次时,交织器个数是8个,每次拷贝交织器个数是2个;When the number of copies is 4, the number of interleavers is 8, and the number of interleavers for each copy is 2;
当拷贝次数是5次时,交织器个数是10个,每次拷贝交织器个数是2个;When the number of copies is 5, the number of interleavers is 10, and the number of interleavers for each copy is 2;
当拷贝次数是7次时,交织器个数是14个,每次拷贝交织器个数是2个;以及When the number of copies is 7, the number of interleavers is 14, and the number of interleavers for each copy is 2; and
当拷贝次数是11次时,交织器个数是11个,每次拷贝交织器个数是1个。When the number of times of copying is 11, the number of interleavers is 11, and the number of interleavers is 1 per copy.
进一步地,根据所述介质访问控制层信息和确定的交织器个数计算时频分集拷贝的参数的公式包括:Further, the formula for calculating the parameters of the time-frequency diversity copy according to the medium access control layer information and the determined number of interleavers includes:
计算拷贝时实际使用的子载波个数N_real_carrier:Calculate the actual number of subcarriers N_real_carrier used when copying:
其中,N_real_carrier表示拷贝时实际使用的子载波个数,InterNum表示拷贝次数对应的交织器个数,N_carrier表示可使用的子载波个数,表示取下整;Among them, N_real_carrier represents the number of subcarriers actually used during copying, InterNum represents the number of interleavers corresponding to the number of copies, N_carrier represents the number of subcarriers that can be used, means to remove the whole;
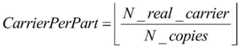
计算拷贝时每部分的载波个数CarriersPerPart:Calculate the number of carriers in each part when copying CarriersPerPart:
其中,CarriersPerPart表示拷贝时每部分的载波个数,N_real_carrier表示拷贝时实际使用的子载波个数,N_copies表示拷贝次数,表示取下整;Among them, CarriersPerPart represents the number of carriers in each part during copying, N_real_carrier represents the number of subcarriers actually used during copying, and N_copies represents the number of copies. means to remove the whole;
计算拷贝时每部分的比特数目BitsPerPart:Calculate the number of bits per part when copying BitsPerPart:
BitsPerPart=BPC*CarrierPerPartBitsPerPart=BPC*CarrierPerPart
其中,BitsPerPart表示拷贝时每部分的比特数目,BPC表示物理层编码速率,CarriersPerPart表示拷贝时每部分的载波个数;Among them, BitsPerPart represents the number of bits in each part during copying, BPC represents the coding rate of the physical layer, and CarriersPerPart represents the number of carriers in each part during copying;
计算拷贝时需要的正交频分复用(正交频分复用符号)符号数目N_symbol;Calculate the number N_symbol of orthogonal frequency division multiplexing (orthogonal frequency division multiplexing symbols) symbols required for copying;
其中,N_symbol表示拷贝时需要的正交频分复用符号数目,N_data表示原始数据长度,BitsPerPart表示拷贝时每部分的比特数目,表示取上整;Among them, N_symbol represents the number of OFDM symbols required for copying, N_data represents the original data length, BitsPerPart represents the number of bits per part during copying, Indicates rounding up;
计算拷贝时每个正交频分复用符号的比特数目BitsPerSymbol:Calculate the number of bits in each OFDM symbol when copying BitsPerSymbol:
BitsPerSymbol=BPC*N_real_carrierBitsPerSymbol=BPC*N_real_carrier
其中,BitsPerSymbol表示拷贝时每个正交频分复用符号的比特数目,BPC表示物理层编码速率,N_real_carrier表示拷贝时实际使用的子载波个数;Among them, BitsPerSymbol represents the number of bits of each OFDM symbol during copying, BPC represents the coding rate of the physical layer, and N_real_carrier represents the number of subcarriers actually used during copying;
计算最后一个正交频分复用符号的比特数目BitsInLastOFDM:Calculate the number of bits in the last OFDM symbol, BitsInLastOFDM:
其中,BitsInLastOFDM表示最后一个正交频分复用符号的比特数目,N_data表示原始数据长度,BitsPerSymbol表示拷贝时每个正交频分复用符号的比特数目,表示取下整;Among them, BitsInLastOFDM represents the number of bits of the last OFDM symbol, N_data represents the original data length, BitsPerSymbol represents the number of bits of each OFDM symbol when copying, means to remove the whole;
计算拷贝时每个交织器对应的子载波个数CarriersPerInterleaver:Calculate the number of subcarriers corresponding to each interleaver when copying CarriersPerInterleaver:
其中,CarriersPerInterleaver表示拷贝时每个交织器对应的子载波个数,N_real_carrier表示拷贝时实际使用的子载波个数,InterNum表示拷贝次数对应的交织器个数;Among them, CarriersPerInterleaver represents the number of subcarriers corresponding to each interleaver during copying, N_real_carrier represents the number of subcarriers actually used during copying, and InterNum represents the number of interleavers corresponding to the number of copies;
计算拷贝时数据最后一部分的比特数目BitsInLastPart:Calculate the number of bits in the last part of the data when copying BitsInLastPart:
BitsInLastPart=N_data-(N_symbol-1)*BitsPerPartBitsInLastPart=N_data-(N_symbol-1)*BitsPerPart
其中,BitsInLastPart表示拷贝时数据最后一部分的比特数目,N_data表示原始数据长度,N_symbol表示拷贝时需要的正交频分复用符号数目,BitsPerPart表示拷贝时每部分的比特数目。Among them, BitsInLastPart represents the number of bits in the last part of the data during copying, N_data represents the original data length, N_symbol represents the number of OFDM symbols required during copying, and BitsPerPart represents the number of bits in each part during copying.
进一步地,根据拷贝时每部分数据的比特数目和最后一部分数据的比特数目计算需要添加的数据长度,并获取新的数据序列包括:Further, calculate the data length that needs to be added according to the number of bits of each part of the data and the number of bits of the last part of the data when copying, and obtain a new data sequence including:
步骤1、计算需要添加的数据长度N_add:
N_add=BitsPerPart-BitsInLastPartN_add=BitsPerPart-BitsInLastPart
其中,N_add表示需要添加的数据长度,BitsPerPart表示拷贝时每部分的比特数目,BitsInLastPart表示拷贝时数据最后一部分的比特数目;Among them, N_add represents the length of the data to be added, BitsPerPart represents the number of bits in each part during copying, and BitsInLastPart represents the number of bits in the last part of the data during copying;
步骤2、每次拷贝添加N_add长度数据,添加原则为:第一次拷贝的N_add长度数据来自原始数据的1至N_add个比特,第二次拷贝的N_add长度数据来自原始数据的(N_add+1)至2N_add个比特,依次类推,直至第N次拷贝的N_add长度数据来自原始数据的[(N-1)*N_add+1]个至N*N_add个比特;以及
步骤3、更新数据长度N_data_actual,计算公式如下:
N_data_actual=N_data+N_addN_data_actual=N_data+N_add
其中,N_data_actual表示更新的数据长度,N_data表示原始数据长度,N_add表示需要添加的数据长度。Among them, N_data_actual represents the length of the updated data, N_data represents the length of the original data, and N_add represents the length of the data to be added.
进一步地,根据拷贝次数和最后一个正交频分复用符号的比特数目计算时频分集拷贝的移位参数的规则包括:Further, the rules for calculating the shift parameter of time-frequency diversity copying according to the number of copies and the number of bits of the last OFDM symbol include:
当拷贝次数为1时,移位参数cyclicshift=0;When the number of copies is 1, the shift parameter cyclicshift=0;
当拷贝次数为2时,若最后一个正交频分复用符号的比特数目BitsInLastOFDM不大于拷贝时每部分的比特数目BitsPerPart,移位参数cyclicshift=[0,0],否则移位参数cyclicshift=[0,1];When the number of copies is 2, if the number of bits BitsInLastOFDM of the last OFDM symbol is not greater than the number of bits of each part BitsPerPart when copying, the shift parameter cyclicshift=[0,0], otherwise the shift parameter cyclicshift=[ 0,1];
当拷贝次数为4时,BitsInLastOFDM≤BitsPerPart,移位参数cyclicshift=[0,0,0,0],BitsPerPart<BitsInLastOFDM≤2×BitsPerPart,移位参数cyclicshift=[0,0,1,1],2×BitsPerPart<BitsInLastOFDM≤3×BitsPerPart,移位参数cyclicshift=[0,0,0,0],3×BitsPerPart<BitsInLastOFDM≤4×BitsPerPart,移位参数cyclicshift=[0,1,2,3];When the number of copies is 4, BitsInLastOFDM≤BitsPerPart, shift parameter cyclicshift=[0,0,0,0], BitsPerPart<BitsInLastOFDM≤2×BitsPerPart, shift parameter cyclicshift=[0,0,1,1], 2 ×BitsPerPart<BitsInLastOFDM≤3×BitsPerPart, shift parameter cyclicshift=[0,0,0,0], 3×BitsPerPart<BitsInLastOFDM≤4×BitsPerPart, shift parameter cyclicshift=[0,1,2,3];
当拷贝次数为5时,BitsInLastOFDM≤4×BitsPerPart,移位参数cyclicshift=[0,0,0,0,0],否则,移位参数cyclicshift=[0,1,2,3,4];When the number of copies is 5, BitsInLastOFDM≤4×BitsPerPart, the shift parameter cyclicshift=[0,0,0,0,0], otherwise, the shift parameter cyclicshift=[0,1,2,3,4];
当拷贝次数为7时,BitsInLastOFDM≤6×BitsPerPart,移位参数cyclicshift=[0,0,0,0,0,0,0],否则,移位参数cyclicshift=[0,1,2,3,4,5,6];When the number of copies is 7, BitsInLastOFDM≤6×BitsPerPart, shift parameter cyclicshift=[0,0,0,0,0,0,0], otherwise, shift parameter cyclicshift=[0,1,2,3, 4,5,6];
当拷贝次数为11时,BitsInLastOFDM≤10×BitsPerPart,移位参数cyclicshift=[0,0,0,0,0,0,0,0,0,0,0],否则,移位参数cyclicshift=[0,1,2,3,4,5,6,7,8,9,10]。When the number of copies is 11, BitsInLastOFDM≤10×BitsPerPart, the shift parameter cyclicshift=[0,0,0,0,0,0,0,0,0,0,0], otherwise, the shift parameter cyclicshift=[ 0,1,2,3,4,5,6,7,8,9,10].
进一步地,根据拷贝时每个交织器对应的子载波个数和交织器个数计算交织偏移步长,并根据交织偏移步长确定每个交织器的交织步长,最后根据交织步长计算每个交织器的交织地址包括:Further, calculate the interleaving offset step size according to the number of subcarriers corresponding to each interleaver during copying and the number of interleavers, and determine the interleaving step size of each interleaver according to the interleaving offset step size, and finally according to the interleaving step size Computing the interleave address for each interleaver includes:
步骤1、计算交织偏移步长InterStep:
其中,InterStep表示交织偏移步长,CarriersPerInterleaver表示拷贝时每个交织器对应的子载波个数,InterNum表示拷贝次数对应的交织器个数,表示取下整;Among them, InterStep represents the interleaving offset step size, CarriersPerInterleaver represents the number of subcarriers corresponding to each interleaver during copying, and InterNum represents the number of interleavers corresponding to the number of copies. means to remove the whole;
步骤2、根据交织偏移步长确定每个交织器的交织步长,其对应关系如下:
当InterStep<1时,InterShiftStep等于0;When InterStep<1, InterShiftStep is equal to 0;
当1≤InterStep<2时,InterShiftStep等于1;When 1≤InterStep<2, InterShiftStep is equal to 1;
当2≤InterStep<4时,InterShiftStep等于2;When 2≤InterStep<4, InterShiftStep is equal to 2;
当4≤InterStep<8时,InterShiftStep等于4;When 4≤InterStep<8, InterShiftStep is equal to 4;
当8≤InterStep<16时,InterShiftStep等于8;When 8≤InterStep<16, InterShiftStep is equal to 8;
步骤3、根据交织步长计算每个交织器的交织地址包括:
每个交织器在进行交织时,均采用行进列出的方式,首先将原始地址按照行进的方式存储在一个N行M列的矩阵中,再将矩阵中的元素按照列的顺序读取出来,读取之后,再将每个交织器进行循环移位,得到最终的交织结果,具体计算公式如下:When each interleaver interleaves, it adopts the method of advancing list. First, the original address is stored in a matrix with N rows and M columns in a advancing manner, and then the elements in the matrix are read out in the order of columns. After reading, each interleaver is cyclically shifted to obtain the final interleaving result. The specific calculation formula is as follows:
在第i个交织器进行交织时,其交织器的矩阵列数M(i)When the i-th interleaver performs interleaving, the number of matrix columns of its interleaver is M(i)
M(i)=i*InterShiftStepM(i)=i*InterShiftStep
其中,M(i)表示第i个交织器交织时的矩阵列数,InterShiftStep表示交织器的交织步长,Among them, M(i) represents the number of matrix columns when the i-th interleaver is interleaved, InterShiftStep represents the interleaving step size of the interleaver,
在第i个交织器进行循环移位时,其循环移位参数cyc(i)为:When the i-th interleaver performs cyclic shift, its cyclic shift parameter cyc(i) is:
cyc(i)=2*(i-1)*InterShiftStepcyc(i)=2*(i-1)*InterShiftStep
其中,cyc(i)表示第i个交织器的循环移位参数,InterShiftStep表示交织器的交织步长。Among them, cyc(i) represents the cyclic shift parameter of the i-th interleaver, and InterShiftStep represents the interleaving step size of the interleaver.
进一步地,根据移位参数、交织器的交织地址,物理层的编码速率依次进行时频分集拷贝包括:Further, according to the shift parameter and the interleaving address of the interleaver, the coding rate of the physical layer performs time-frequency diversity copying in sequence, including:
在进行第N次拷贝时,先按照移位参数对拷贝的部分进行移位,其中N大于1;When performing the Nth copy, firstly shift the copied part according to the shift parameter, where N is greater than 1;
将每部分数据分成与每次拷贝所需交织器个数数量相同的块;Divide each part of the data into the same number of blocks as the number of interleavers required for each copy;
在拷贝时,比特和子载波根据物理层的编码速率进行映射。During copying, bits and subcarriers are mapped according to the coding rate of the physical layer.
根据本发明的另一方面,本发明提供一种基于正交频分复用的时频分集拷贝系统,其特征在于,所述系统包括:According to another aspect of the present invention, the present invention provides a time-frequency diversity copy system based on orthogonal frequency division multiplexing, wherein the system includes:
数据形成单元,其用于通过物理层接收介质访问控制层信息,并生成物理层需要传输的原始数据;a data forming unit, which is used to receive the medium access control layer information through the physical layer, and generate the original data that the physical layer needs to transmit;
交织器确定单元,其用于根据拷贝次数确定交织器个数;an interleaver determining unit, which is used to determine the number of interleavers according to the number of copies;
时频分集拷贝参数确定单元,其用于根据所述介质访问控制层信息和确定的交织器个数计算时频分集拷贝的参数,所述参数包括拷贝时实际使用的子载波个数、每部分数据的载波个数、每部分数据的比特数目、需要的正交频分复用符号数目、每个正交频分复用符号的比特数目、最后一个正交频分复用符号的比特数目、每个交织器对应的子载波个数和最后一部分数据的比特数目;A time-frequency diversity copy parameter determination unit, which is used to calculate the parameters of time-frequency diversity copy according to the medium access control layer information and the determined number of interleavers, and the parameters include the number of subcarriers actually used during copying, the number of each part The number of carriers of the data, the number of bits of each part of the data, the number of OFDM symbols required, the number of bits of each OFDM symbol, the number of bits of the last OFDM symbol, The number of subcarriers corresponding to each interleaver and the number of bits of the last part of the data;
数据长度判断单元,其用于判断传输的数据的最后一部分的比特数目A data length judgment unit, which is used to judge the number of bits of the last part of the transmitted data
是否大于0;Is it greater than 0;
新数据序列确定单元,其用于根据拷贝时每部分数据的比特数目和最后一部分数据的比特数目计算需要添加的数据长度,并获取新的数据序列;A new data sequence determination unit, which is used to calculate the data length that needs to be added according to the number of bits of each part of the data and the number of bits of the last part of the data when copying, and obtains a new data sequence;
时频分集拷贝移位参数计算单元,其用于根据拷贝次数和最后一个正交频分复用符号的比特数目计算时频分集拷贝的移位参数;a time-frequency diversity copy shift parameter calculation unit, which is used for calculating the shift parameter of the time-frequency diversity copy according to the number of copies and the number of bits of the last OFDM symbol;
交织器交织地址计算单元,其用于根据拷贝时每个交织器对应的子载波个数和交织器个数计算交织偏移步长,并根据交织偏移步长确定每个交织器的交织步长,最后根据交织步长计算每个交织器的交织地址;以及An interleaver interleaving address calculation unit, which is used to calculate the interleaving offset step size according to the number of subcarriers and the number of interleavers corresponding to each interleaver during copying, and determine the interleaving step of each interleaver according to the interleaving offset step size length, and finally calculate the interleaving address of each interleaver according to the interleaving step size; and
时频分集拷贝单元,其用于按照拷贝次数,根据移位参数、交织器的交织地址,物理层的编码速率依次进行时频分集拷贝。The time-frequency diversity copying unit is used for performing time-frequency diversity copying in sequence according to the number of copies, according to the shift parameter, the interleaving address of the interleaver, and the coding rate of the physical layer.
本发明提供的基于正交频分复用的时频分集拷贝方法和系统针对不同的数据长度、不同调制方式、不同的拷贝次数进行时频分集拷贝,提高了系统的分集增益。The time-frequency diversity copying method and system based on orthogonal frequency division multiplexing provided by the present invention perform time-frequency diversity copying for different data lengths, different modulation modes and different copy times, thereby improving the diversity gain of the system.
附图说明Description of drawings
通过参考下面的附图,可以更为完整地理解本发明的示例性实施方式:Exemplary embodiments of the present invention may be more fully understood by reference to the following drawings:
图1是本发明具体实施方式的基于正交频分复用的时频分集拷贝方法的流程图;1 is a flowchart of a time-frequency diversity copy method based on orthogonal frequency division multiplexing according to a specific embodiment of the present invention;
图2是本发明具体实施方式的通过计算得到的参数大小的示意图;Fig. 2 is the schematic diagram of the parameter size obtained by calculation according to the specific embodiment of the present invention;
图3是本发明具体实施方式的交织器交织方式的示意图;3 is a schematic diagram of an interleaver interleaving mode according to a specific embodiment of the present invention;
图4是本发明具体实施方式的时频分集拷贝实施例的示意图;FIG. 4 is a schematic diagram of a time-frequency diversity copy example according to a specific embodiment of the present invention;
图5是本发明具体实施方式的进行时频分集拷贝时比特和载波的映射关系的局部示意图;5 is a partial schematic diagram of the mapping relationship between bits and carriers when time-frequency diversity copying is performed according to a specific embodiment of the present invention;
图6是本发明具体实施方式的基于正交频分复用的时频分集拷贝方法的实验结果示意图;6 is a schematic diagram of an experimental result of a time-frequency diversity copy method based on orthogonal frequency division multiplexing according to a specific embodiment of the present invention;
图7是本发明具体实施方式的基于正交频分复用的时频分集拷贝方法的另一个实验结果示意图;以及7 is a schematic diagram of another experimental result of the time-frequency diversity copy method based on orthogonal frequency division multiplexing according to a specific embodiment of the present invention; and
图8是本发明具体实施方式的基于正交频分复用的时频分集拷贝系统的结构图。FIG. 8 is a structural diagram of a time-frequency diversity copy system based on orthogonal frequency division multiplexing according to a specific embodiment of the present invention.
具体实施方式Detailed ways
现在参考附图介绍本发明的示例性实施方式,然而,本发明可以用许多不同的形式来实施,并且不局限于此处描述的实施例,提供这些实施例是为了详尽地且完全地公开本发明,并且向所属技术领域的技术人员充分传达本发明的范围。对于表示在附图中的示例性实施方式中的术语并不是对本发明的限定。在附图中,相同的单元/元件使用相同的附图标记。Exemplary embodiments of the present invention will now be described with reference to the accompanying drawings, however, the present invention may be embodied in many different forms and is not limited to the embodiments described herein, which are provided for this thorough and complete disclosure invention, and fully convey the scope of the invention to those skilled in the art. The terms used in the exemplary embodiments shown in the drawings are not intended to limit the invention. In the drawings, the same elements/elements are given the same reference numerals.
除非另有说明,此处使用的术语(包括科技术语)对所属技术领域的技术人员具有通常的理解含义。另外,可以理解的是,以通常使用的词典限定的术语,应当被理解为与其相关领域的语境具有一致的含义,而不应该被理解为理想化的或过于正式的意义。Unless otherwise defined, terms (including scientific and technical terms) used herein have the meanings commonly understood by those skilled in the art. In addition, it is to be understood that terms defined in commonly used dictionaries should be construed as having meanings consistent with the context in the related art, and should not be construed as idealized or overly formal meanings.
图1是本发明具体实施方式的基于正交频分复用的时频分集拷贝方法的流程图。如图1所示,基于正交频分复用的时频分集拷贝方法从步骤S101开始。FIG. 1 is a flowchart of a time-frequency diversity copy method based on orthogonal frequency division multiplexing according to a specific embodiment of the present invention. As shown in FIG. 1 , the time-frequency diversity copy method based on orthogonal frequency division multiplexing starts from step S101 .
在步骤S101,物理层接收介质访问控制层信息,并生成物理层需要传输的原始数据。物理层接收的介质访问控制层信息包含载波映射表索引,所述载波映射表索引规定了物理层的编码速率,拷贝次数,物理块大小,并根据物理块大小计算出物理层可传输的原始数据长度。本实施例采用频段0,载波映射表索引为2,编码速率为2,采用QPSK,拷贝次数为5,可使用的子载波个数为411,物理块为136,物理层可传输的数据长度N_data为1088。In step S101, the physical layer receives the medium access control layer information, and generates original data that the physical layer needs to transmit. The medium access control layer information received by the physical layer includes the carrier mapping table index, and the carrier mapping table index specifies the coding rate, the number of copies, and the physical block size of the physical layer, and the original data that can be transmitted by the physical layer is calculated according to the physical block size. length. In this embodiment,
在步骤S102,根据拷贝次数确定交织器个数。根据拷贝次数确定交织器个数包括:当拷贝次数是2次时,交织器个数是8个,每次拷贝交织器个数是4个;当拷贝次数是4次时,交织器个数是8个,每次拷贝交织器个数是2个;当拷贝次数是5次时,交织器个数是10个,每次拷贝交织器个数是2个;当拷贝次数是7次时,交织器个数是14个,每次拷贝交织器个数是2个;以及当拷贝次数是11次时,交织器个数是11个,每次拷贝交织器个数是1个。在本实施例中,由于拷贝次数为5,故交织器个数应为10,且每次拷贝交织器的个数是2个。In step S102, the number of interleavers is determined according to the number of copies. Determining the number of interleavers according to the number of copies includes: when the number of copies is 2, the number of interleavers is 8, and the number of interleavers for each copy is 4; when the number of copies is 4, the number of interleavers is 8, the number of interleavers for each copy is 2; when the number of copies is 5, the number of interleavers is 10, and the number of interleavers for each copy is 2; when the number of copies is 7, the number of interleavers is The number of interleavers is 14, and the number of interleavers for each copy is 2; and when the number of times of copying is 11, the number of interleavers is 11, and the number of interleavers for each copy is 1. In this embodiment, since the number of copies is 5, the number of interleavers should be 10, and the number of interleavers for each copy is 2.
在步骤S103,根据所述介质访问控制层信息和确定的交织器个数计算时频分集拷贝的参数,所述参数包括拷贝时实际使用的子载波个数、每部分数据的载波个数、每部分数据的比特数目、需要的正交频分复用符号数目、每个正交频分复用符号的比特数目、最后一个正交频分复用符号的比特数目、每个交织器对应的子载波个数和最后一部分数据的比特数目。每个参数的计算过程如下所示。In step S103, parameters of time-frequency diversity copying are calculated according to the medium access control layer information and the determined number of interleavers, and the parameters include the number of subcarriers actually used during copying, the number of carriers for each part of the data, the number of The number of bits of partial data, the number of required OFDM symbols, the number of bits of each OFDM symbol, the number of bits of the last OFDM symbol, the number of bits corresponding to each interleaver The number of carriers and the number of bits of the last part of the data. The calculation process of each parameter is shown below.
a)计算拷贝时实际使用的子载波个数N_real_carrier:a) Calculate the number of subcarriers N_real_carrier actually used when copying:
其中,N_real_carrier表示拷贝时实际使用的子载波个数,InterNum表示拷贝次数对应的交织器个数,N_carrier表示可使用的子载波个数,表示取下整,实施例中,实际使用的子载波个数为Among them, N_real_carrier represents the number of subcarriers actually used during copying, InterNum represents the number of interleavers corresponding to the number of copies, N_carrier represents the number of subcarriers that can be used, Indicates that the whole number is taken down. In the embodiment, the actual number of sub-carriers used is
b)计算拷贝时每部分的载波个数CarriersPerPart:b) Calculate the number of carriers in each part when copying CarriersPerPart:
其中,CarriersPerPart表示拷贝时每部分的载波个数,N_real_carrier表示拷贝时实际使用的子载波个数,N_copies表示拷贝次数,表示取下整,实施例中,将原始数据分为7个部分,每个部分的载波个数为Among them, CarriersPerPart represents the number of carriers in each part during copying, N_real_carrier represents the number of subcarriers actually used during copying, and N_copies represents the number of copies. Indicates that the whole number is removed. In the embodiment, the original data is divided into 7 parts, and the number of carriers in each part is
c)计算拷贝时每部分的比特数目BitsPerPart:c) Calculate the number of bits in each part when copying BitsPerPart:
BitsPerPart=BPC*CarrierPerPartBitsPerPart=BPC*CarrierPerPart
其中,BitsPerPart表示拷贝时每部分的比特数目,BPC表示物理层编码速率,CarriersPerPart表示拷贝时每部分的载波个数,实施例中,物理层编码速率为2,每部分的比特数目为2*82=164。Among them, BitsPerPart represents the number of bits of each part when copying, BPC represents the coding rate of the physical layer, CarriersPerPart represents the number of carriers in each part when copying, in the embodiment, the coding rate of the physical layer is 2, and the number of bits per part is 2*82 =164.
d)计算拷贝时需要的正交频分复用(正交频分复用符号)符号数目N_symbol;d) Calculate the number N_symbol of OFDM symbols (orthogonal frequency division multiplexing symbols) required for copying;
其中,N_symbol表示拷贝时需要的正交频分复用符号数目,N_data表示原始数据长度,BitsPerPart表示拷贝时每部分的比特数目,表示取上整,实施例中,原始数据长度为1088,每部分的比特数目为164,得到拷贝时需要的OFDM符号数目为7个。Among them, N_symbol represents the number of OFDM symbols required for copying, N_data represents the original data length, BitsPerPart represents the number of bits per part during copying, In the embodiment, the length of the original data is 1088, the number of bits in each part is 164, and the number of OFDM symbols required for copying is 7.
e)计算拷贝时每个正交频分复用符号的比特数目BitsPerSymbol:e) Calculate the number of bits BitsPerSymbol of each OFDM symbol when copying:
BitsPerSymbol=BPC*N_real_carrierBitsPerSymbol=BPC*N_real_carrier
其中,BitsPerSymbol表示拷贝时每个正交频分复用符号的比特数目,BPC表示物理层编码速率,N_real_carrier表示拷贝时实际使用的子载波个数,实施例中,每个OFDM符号的比特数目为2*410=820。Among them, BitsPerSymbol represents the number of bits of each OFDM symbol during copying, BPC represents the physical layer coding rate, and N_real_carrier represents the number of subcarriers actually used during copying. In the embodiment, the number of bits of each OFDM symbol is 2*410=820.
f)计算最后一个正交频分复用符号的比特数目BitsInLastOFDM:f) Calculate the number of bits BitsInLastOFDM of the last OFDM symbol:
其中,BitsInLastOFDM表示最后一个正交频分复用符号的比特数目,,N_data表示原始数据长度,BitsPerSymbol表示拷贝时每个正交频分复用符号的比特数目,表示取下整,实施例中,最后一个OFDM符号的比特数1088-820=268。Among them, BitsInLastOFDM represents the number of bits of the last OFDM symbol, N_data represents the original data length, BitsPerSymbol represents the number of bits of each OFDM symbol when copying, Indicates that the number of bits in the last OFDM symbol is 1088-820=268 in the embodiment.
g)计算拷贝时每个交织器对应的子载波个数CarriersPerInterleaver:g) Calculate the number of subcarriers corresponding to each interleaver when copying CarriersPerInterleaver:
其中,CarriersPerInterleaver表示拷贝时每个交织器对应的子载波个数,N_real_carrier表示拷贝时实际使用的子载波个数,InterNum表示拷贝次数对应的交织器个数,实施例中,每个交织器对应的子载波个数为410÷10=41。Among them, CarriersPerInterleaver represents the number of subcarriers corresponding to each interleaver during copying, N_real_carrier represents the number of subcarriers actually used during copying, and InterNum represents the number of interleavers corresponding to the number of copies. The number of subcarriers is 410÷10=41.
h)计算拷贝时数据最后一部分的比特数目BitsInLastPart:h) Calculate the number of bits in the last part of the data when copying BitsInLastPart:
BitsInLastPart=N_data-(N_symbol-1)*BitsPerPartBitsInLastPart=N_data-(N_symbol-1)*BitsPerPart
其中,BitsInLastPart表示拷贝时数据最后一部分的比特数目,N_data表示原始数据长度,N_symbol表示拷贝时需要的正交频分复用符号数目,BitsPerPart表示拷贝时每部分的比特数目,实施例中,最后一部分的比特数目为1088-6*164=104。Among them, BitsInLastPart represents the number of bits of the last part of the data when copying, N_data represents the original data length, N_symbol represents the number of OFDM symbols required when copying, BitsPerPart represents the number of bits in each part when copying, in the embodiment, the last part The number of bits is 1088-6*164=104.
在步骤S104,判断最后一部分数据的比特数目是否大于0,若是,则执行步骤S105,否则,执行步骤S106。在本实施例中,最后一部分数据的比特数目是104,故执行步骤S105。In step S104, it is judged whether the number of bits of the last part of the data is greater than 0, if so, step S105 is performed, otherwise, step S106 is performed. In this embodiment, the number of bits of the last part of the data is 104, so step S105 is executed.
在步骤S105,根据拷贝时每部分数据的比特数目和最后一部分数据的比特数目计算需要添加的数据长度,并获取新的数据序列。在本实施例中,获取新的数据序列的过程如下所示。In step S105, the length of the data to be added is calculated according to the number of bits of each part of the data during copying and the number of bits of the last part of the data, and a new data sequence is obtained. In this embodiment, the process of acquiring a new data sequence is as follows.
步骤1、计算需要添加的数据长度N_add:
N_add=BitsPerPart-BitsInLastPartN_add=BitsPerPart-BitsInLastPart
其中,N_add表示需要添加的数据长度,BitsPerPart表示拷贝时每部分的比特数目,BitsInLastPart表示拷贝时数据最后一部分的比特数目。本实施例的,添加的数据长度为164-104=60。Among them, N_add represents the length of the data to be added, BitsPerPart represents the number of bits in each part during copying, and BitsInLastPart represents the number of bits in the last part of the data during copying. In this embodiment, the length of the added data is 164-104=60.
步骤2、每次拷贝添加N_add长度数据,添加原则为:第一次拷贝的N_add长度数据来自原始数据的1至N_add个比特,第二次拷贝的N_add长度数据来自原始数据的(N_add+1)至2N_add个比特,依次类推,直至第N次拷贝的N_add长度数据来自原始数据的[(N-1)*N_add+1]个至N*N_add个比特;以及
步骤3、更新数据长度N_data_actual,计算公式如下:
N_data_actual=N_data+N_addN_data_actual=N_data+N_add
其中,N_data_actual表示更新的数据长度,N_data表示原始数据长度,N_add表示需要添加的数据长度。在本实施例中,更新的数据长度为1088+60=1148个。Among them, N_data_actual represents the length of the updated data, N_data represents the length of the original data, and N_add represents the length of the data to be added. In this embodiment, the length of the updated data is 1088+60=1148.
图2是本发明具体实施方式的通过计算得到的参数大小的示意图。如图2所示,通过步骤S103和步骤S105的计算,本发明具体实施方式中进行时频分集拷贝的参数的大小分别为:拷贝时实际使用的子载波个数是410个,每部分数据的载波个数是82个,每部分数据的比特数目是164个,需要的正交频分复用符号数目是7个,每个正交频分复用符号的比特数目是820个,最后一个正交频分复用符号的比特数目是268个,每个交织器对应的子载波个数是41个,最后一部分数据的比特数目104,新的数据长度是1148。FIG. 2 is a schematic diagram of parameter sizes obtained by calculation according to a specific embodiment of the present invention. As shown in FIG. 2 , through the calculation of steps S103 and S105, the sizes of the parameters for time-frequency diversity copying in the specific embodiment of the present invention are respectively: the number of subcarriers actually used during copying is 410, and the The number of carriers is 82, the number of bits of each part of the data is 164, the required number of OFDM symbols is 7, the number of bits of each OFDM symbol is 820, and the last positive The number of bits of the alternating frequency division multiplexing symbol is 268, the number of subcarriers corresponding to each interleaver is 41, the number of bits of the last part of the data is 104, and the new data length is 1148.
在步骤S106,根据拷贝次数和最后一个正交频分复用符号的比特数目计算时频分集拷贝的移位参数。具体规则包括:In step S106, the shift parameter of the time-frequency diversity copy is calculated according to the number of copies and the number of bits of the last OFDM symbol. Specific rules include:
当拷贝次数为1时,移位参数cyclicshift=0;When the number of copies is 1, the shift parameter cyclicshift=0;
当拷贝次数为2时,若最后一个正交频分复用符号的比特数目BitsInLastOFDM不大于拷贝时每部分的比特数目BitsPerPart,移位参数cyclicshift=[0,0],否则移位参数cyclicshift=[0,1];When the number of copies is 2, if the number of bits BitsInLastOFDM of the last OFDM symbol is not greater than the number of bits of each part BitsPerPart when copying, the shift parameter cyclicshift=[0,0], otherwise the shift parameter cyclicshift=[ 0,1];
当拷贝次数为4时,BitsInLastOFDM≤BitsPerPart,移位参数cyclicshift=[0,0,0,0],BitsPerPart<BitsInLastOFDM≤2×BitsPerPart,移位参数cyclicshift=[0,0,1,1],2×BitsPerPart<BitsInLastOFDM≤3×BitsPerPart,移位参数cyclicshift=[0,0,0,0],3×BitsPerPart<BitsInLastOFDM≤4×BitsPerPart,移位参数cyclicshift=[0,1,2,3];When the number of copies is 4, BitsInLastOFDM≤BitsPerPart, shift parameter cyclicshift=[0,0,0,0], BitsPerPart<BitsInLastOFDM≤2×BitsPerPart, shift parameter cyclicshift=[0,0,1,1], 2 ×BitsPerPart<BitsInLastOFDM≤3×BitsPerPart, shift parameter cyclicshift=[0,0,0,0], 3×BitsPerPart<BitsInLastOFDM≤4×BitsPerPart, shift parameter cyclicshift=[0,1,2,3];
当拷贝次数为5时,BitsInLastOFDM≤4×BitsPerPart,移位参数cyclicshift=[0,0,0,0,0],否则,移位参数cyclicshift=[0,1,2,3,4];When the number of copies is 5, BitsInLastOFDM≤4×BitsPerPart, the shift parameter cyclicshift=[0,0,0,0,0], otherwise, the shift parameter cyclicshift=[0,1,2,3,4];
当拷贝次数为7时,BitsInLastOFDM≤6×BitsPerPart,移位参数cyclicshift=[0,0,0,0,0,0,0],否则,移位参数cyclicshift=[0,1,2,3,4,5,6];When the number of copies is 7, BitsInLastOFDM≤6×BitsPerPart, shift parameter cyclicshift=[0,0,0,0,0,0,0], otherwise, shift parameter cyclicshift=[0,1,2,3, 4,5,6];
当拷贝次数为11时,BitsInLastOFDM≤10×BitsPerPart,移位参数cyclicshift=[0,0,0,0,0,0,0,0,0,0,0],否则,移位参数cyclicshift=[0,1,2,3,4,5,6,7,8,9,10]。When the number of copies is 11, BitsInLastOFDM≤10×BitsPerPart, the shift parameter cyclicshift=[0,0,0,0,0,0,0,0,0,0,0], otherwise, the shift parameter cyclicshift=[ 0,1,2,3,4,5,6,7,8,9,10].
在本实施例中,拷贝次数是5次,BitsInLastOFDM是268,BitsPerPart是164,满足BitsInLastOFDM≤4×BitsPerPart,故移位参数为cyclicshift=[0,0,0,0,0]In this embodiment, the number of copies is 5, BitsInLastOFDM is 268, BitsPerPart is 164, and BitsInLastOFDM≤4×BitsPerPart is satisfied, so the shift parameter is cyclicshift=[0,0,0,0,0]
在步骤S107,根据拷贝时每个交织器对应的子载波个数和交织器个数计算交织偏移步长,并根据交织偏移步长确定每个交织器的交织步长,最后根据交织步长计算每个交织器的交织地址。具体计算方法如下所示。In step S107, calculate the interleaving offset step size according to the number of subcarriers and the number of interleavers corresponding to each interleaver during copying, and determine the interleaving step size of each interleaver according to the interleaving offset step size, and finally according to the interleaving step size Long calculates the interleave address for each interleaver. The specific calculation method is as follows.
步骤1、计算交织偏移步长InterStep:
其中,InterStep表示交织偏移步长,CarriersPerInterleaver表示拷贝时每个交织器对应的子载波个数,InterNum表示拷贝次数对应的交织器个数,表示取下整,在本实施例中,拷贝时每个交织器对应的子载波个数是41,拷贝次数对应的交织器个数是10,根据计算可知,交织偏移步长是2。Among them, InterStep represents the interleaving offset step size, CarriersPerInterleaver represents the number of subcarriers corresponding to each interleaver during copying, and InterNum represents the number of interleavers corresponding to the number of copies. In this embodiment, the number of subcarriers corresponding to each interleaver during copying is 41, and the number of interleavers corresponding to the number of copies is 10. According to the calculation, the interleaving offset step size is 2.
步骤2、根据交织偏移步长确定每个交织器的交织步长,其对应关系如下:
当InterStep<1时,InterShiftStep等于0;When InterStep<1, InterShiftStep is equal to 0;
当1≤InterStep<2时,InterShiftStep等于1;When 1≤InterStep<2, InterShiftStep is equal to 1;
当2≤InterStep<4时,InterShiftStep等于2;When 2≤InterStep<4, InterShiftStep is equal to 2;
当4≤InterStep<8时,InterShiftStep等于4;When 4≤InterStep<8, InterShiftStep is equal to 4;
当8≤InterStep<16时,InterShiftStep等于8;When 8≤InterStep<16, InterShiftStep is equal to 8;
在本实施例中,交织偏移步长是2,交织步长也是2。In this embodiment, the interleaving offset step size is 2, and the interleaving step size is also 2.
步骤3、根据交织步长计算每个交织器的交织地址包括:
每个交织器在进行交织时,均采用行进列出的方式,首先将原始地址按照行进的方式存储在一个N行M列的矩阵中,再将矩阵中的元素按照列的顺序读取出来,读取之后,再将每个交织器进行循环移位,得到最终的交织结果,具体计算公式如下:When each interleaver interleaves, it adopts the method of advancing list. First, the original address is stored in a matrix with N rows and M columns in a advancing manner, and then the elements in the matrix are read out in the order of columns. After reading, each interleaver is cyclically shifted to obtain the final interleaving result. The specific calculation formula is as follows:
在第i个交织器进行交织时,其交织器的矩阵列数M(i)When the i-th interleaver performs interleaving, the number of matrix columns of its interleaver is M(i)
M(i)=i*InterShiftStepM(i)=i*InterShiftStep
其中,M(i)表示第i个交织器交织时的矩阵列数,InterShiftStep表示交织器的交织步长,Among them, M(i) represents the number of matrix columns when the i-th interleaver is interleaved, InterShiftStep represents the interleaving step size of the interleaver,
在第i个交织器进行循环移位时,其循环移位参数cyc(i)为:When the i-th interleaver performs cyclic shift, its cyclic shift parameter cyc(i) is:
cyc(i)=2*(i-1)*InterShiftStepcyc(i)=2*(i-1)*InterShiftStep
其中,cyc(i)表示第i个交织器的循环移位参数,InterShiftStep表示交织器的交织步长。Among them, cyc(i) represents the cyclic shift parameter of the i-th interleaver, and InterShiftStep represents the interleaving step size of the interleaver.
在本实施例中,共有10个交织器,对于第一个交织器,其矩阵列数M为2,对第二个交织器,其矩阵列数为4,对第十个交织器,其矩阵列数为20,通过10个交织器的交织,可以得到10个交织输出结果。图3是本发明具体实施方式的交织器交织方式的示意图。如图3所示,对于第三个交织器,其交织时矩阵的列数M为6,矩阵的行数N为7,循环移位参数为8,图3中交织输出的结果为[1,7,13,19,25,31,37,……,17,23,29,35,41,6,12,18,24,30,36],之后对交织结果进行循环移位,由于循环移位参数为8,故最终的交织器3的交织地址为[35,41,6,12,18,24,30,36,1,7,13,19,25,31,37,……,17,23,29]。In this embodiment, there are 10 interleavers in total. For the first interleaver, the number of matrix columns M is 2, for the second interleaver, the number of matrix columns is 4, and for the tenth interleaver, its matrix The number of columns is 20. Through the interleaving of 10 interleavers, 10 interleaving output results can be obtained. FIG. 3 is a schematic diagram of an interleaving manner of an interleaver according to a specific embodiment of the present invention. As shown in Figure 3, for the third interleaver, the number of columns M of the matrix during interleaving is 6, the number of rows N of the matrix is 7, and the cyclic shift parameter is 8. The result of the interleaving output in Figure 3 is [1, 7, 13, 19, 25, 31, 37, ..., 17, 23, 29, 35, 41, 6, 12, 18, 24, 30, 36], and then perform a cyclic shift on the interleaving result. The bit parameter is 8, so the final interleaving address of
在步骤S108,按照拷贝次数,根据移位参数、交织器的交织地址,物理层的编码速率依次进行时频分集拷贝。In step S108, according to the number of copies, according to the shift parameter, the interleaving address of the interleaver, and the coding rate of the physical layer, time-frequency diversity copying is performed in sequence.
优选地,根据移位参数、交织器的交织地址,物理层的编码速率依次进行时频分集拷贝包括:Preferably, according to the shift parameter and the interleaving address of the interleaver, the coding rate of the physical layer is sequentially copied by time-frequency diversity including:
在进行第N次拷贝时,先按照移位参数对拷贝的部分进行移位,其中N大于1;When performing the Nth copy, firstly shift the copied part according to the shift parameter, where N is greater than 1;
将每部分数据分成与每次拷贝所需交织器个数数量相同的块;Divide each part of the data into the same number of blocks as the number of interleavers required for each copy;
在拷贝时,比特和子载波根据物理层的编码速率进行映射。During copying, bits and subcarriers are mapped according to the coding rate of the physical layer.
图4是本发明具体实施方式的时频分集拷贝实施例的示意图。如图4所示,实施例中,拷贝5次,第一次拷贝时,每个部分均采用交织器1,2的交织地址,对于第一部分Part1,其拷贝结果为P1_1(I1),P1_2(I2),P1_1表示Part1的第一块比特,在实施例中,为82个比特,P1_2表示Part1的第二块比特,在实施例中,同样也为82个比特,I1表示交织器1的最终交织地址,I2表示交织器2的最终交织地址,对于第二部分,其拷贝结果为P2_1(I1),P2_2(I2),P2_1表示Part2的第一块比特,P2_2表示Part2的第二块比特,对于第一次拷贝的第i部分Part i,其拷贝结果为Pi_1(I1),Pi_2(I2),Pi_1表示Part i的第一块比特,Pi_2表示Part i的第二块比特;第二次拷贝时,先按照移位参数对需要拷贝的部分进行移位,再将每部分采用交织器3,4的交织地址进行交织,实施例中移位参数的第二个元素为0,故不需要进行移位,每一部分进行交织时,同第一次拷贝情况类似,只是其交织地址采用交织器3,4的输出结果,如图5中所示对于第一部分Part1,其拷贝结果为P1_1(I3),P1_2(I4),对于第二部分,其拷贝结果为P2_1(I3),P2_2(I4),对于第二次拷贝的第i部分Part i,其拷贝结果为Pi_1(I3),Pi_2(I4);对于第j次拷贝,先按照移位参数中的第j个元素,对需要拷贝的7部分进行移位,再将每个部分按照交织器2j-1,2j的输出进行交织,直至拷贝结束。FIG. 4 is a schematic diagram of an example of time-frequency diversity copying according to a specific embodiment of the present invention. As shown in Figure 4, in the embodiment, five copies are made. When copying for the first time, each part adopts the interleaving address of the
图5是本发明具体实施方式的进行时频分集拷贝时比特和载波的映射关系的局部示意图。在拷贝时,比特和子载波根据BPC参数进行映射,若BPC为1,则每个子载波可映射1个比特,若BPC为2,则每个子载波可映射2个比特。在本实施例中,BPC为2,如图5所示,第一个OFDM符号第三部分的第一块比特P3_1中,比特和子载波的映射关系,在映射时,采用交织器1的交织器输出I(1),图6中,P3_1对应的比特编号为329~410,对于第329、330个比特,其映射对应的子载波编号应为164+I(1,1),其中,I(1,1)表示第一个交织器输出的第一个交织结果,对于第(328+2m-1)、(328+2m)个比特,其映射对应的子载波编号应为164+I(1,m),其中,1≤m≤41,I(1,m)表示第一个交织器输出的第m个交织结果。其他部分的比特和子载波映射关系同图5类似,只是映射时对应的交织器不同。FIG. 5 is a partial schematic diagram of the mapping relationship between bits and carriers when time-frequency diversity copying is performed according to a specific embodiment of the present invention. When copying, the bits and subcarriers are mapped according to the BPC parameter. If the BPC is 1, each subcarrier can be mapped with 1 bit, and if the BPC is 2, each subcarrier can be mapped with 2 bits. In this embodiment, the BPC is 2. As shown in FIG. 5 , in the first block of bits P3_1 in the third part of the first OFDM symbol, the mapping relationship between bits and sub-carriers, the interleaver of
优选地,分集拷贝在时域和频域同时进行,频域表现在将需传输的数据拷贝在不同子载波上,时域表现在将需传输的数据拷贝在不同的正交频分复用符号上。Preferably, the diversity copying is performed simultaneously in the time domain and the frequency domain, the frequency domain is represented by copying the data to be transmitted on different subcarriers, and the time domain is represented by copying the data to be transmitted on different OFDM symbols superior.
为了验证本发明的效果,下面结合仿真实验进行进一步的描述。In order to verify the effect of the present invention, further description is given below in conjunction with simulation experiments.
图6是本发明具体实施方式的基于正交频分复用的时频分集拷贝方法的实验结果示意图。图7是本发明具体实施方式的基于正交频分复用的时频分集拷贝方法的另一个实验结果示意图。图6的仿真条件为:带宽为1.953~11.96MHz,可用子载波个数为411,采用物理块为136,数据长度为1088,调制方式为QPSK,拷贝5次;图7的仿真条件为:带宽为2.441~5.615MHz,可用子载波个数为131,同样采用物理块为136,数据长度为1088,调制方式为QPSK,拷贝5次。仿真时采用的信道为电力线信道,信道模型为4径的衰落信道。图6、7中的横轴表示信噪比,单位为dB,纵轴表示误码率。图6和图7中,以圆圈标示的曲线代表无分集拷贝的误码率曲线,以正方形标示的曲线代表本发明的误码率曲线。由图6和图7的仿真实验结果可见,本发明和无分集情况相比,能够提供较高的分集增益,很好地对抗了信道的频率选择性,极大的提升了系统的可靠性。FIG. 6 is a schematic diagram of experimental results of a time-frequency diversity copy method based on orthogonal frequency division multiplexing according to a specific embodiment of the present invention. FIG. 7 is a schematic diagram of another experimental result of the time-frequency diversity copy method based on orthogonal frequency division multiplexing according to a specific embodiment of the present invention. The simulation conditions of Figure 6 are: the bandwidth is 1.953-11.96MHz, the number of available subcarriers is 411, the physical block is 136, the data length is 1088, the modulation method is QPSK, and the copy is 5 times; the simulation conditions of Figure 7 are: the bandwidth It is 2.441-5.615MHz, the number of available subcarriers is 131, the physical block is also 136, the data length is 1088, the modulation method is QPSK, and it is copied 5 times. The channel used in the simulation is a power line channel, and the channel model is a 4-path fading channel. The horizontal axis in Figures 6 and 7 represents the signal-to-noise ratio in dB, and the vertical axis represents the bit error rate. In FIGS. 6 and 7 , the curves marked with circles represent the bit error rate curves of the non-diversity copy, and the curves marked with squares represent the bit error rate curves of the present invention. It can be seen from the simulation experiment results in Fig. 6 and Fig. 7 that the present invention can provide higher diversity gain compared with the case without diversity, well resist the frequency selectivity of the channel, and greatly improve the reliability of the system.
图8是本发明具体实施方式的基于正交频分复用的时频分集拷贝系统的结构图。如图8所示,基于正交频分复用的时频分集拷贝系统包括数据形成单元801、交织器确定单元802、时频分集拷贝参数确定单元803、数据长度判断单元804、新数据序列确定单元805、时频分集拷贝移位参数计算单元806、交织器交织地址计算单元807和时频分集拷贝单元808。FIG. 8 is a structural diagram of a time-frequency diversity copy system based on orthogonal frequency division multiplexing according to a specific embodiment of the present invention. As shown in FIG. 8 , the time-frequency diversity copying system based on orthogonal frequency division multiplexing includes a
数据形成单元801,其用于通过物理层接收介质访问控制层信息,并生成物理层需要传输的原始数据;A
交织器确定单元802,其用于根据拷贝次数确定交织器个数;an
时频分集拷贝参数确定单元803,其用于根据所述介质访问控制层信息和确定的交织器个数计算时频分集拷贝的参数,所述参数包括拷贝时实际使用的子载波个数、每部分数据的载波个数、每部分数据的比特数目、需要的正交频分复用符号数目、每个正交频分复用符号的比特数目、最后一个正交频分复用符号的比特数目、每个交织器对应的子载波个数和最后一部分数据的比特数目;Time-frequency diversity copy
数据长度判断单元804,其用于判断传输的数据的最后一部分的比特数目是否大于0;a data
新数据序列确定单元805,其用于根据拷贝时每部分数据的比特数目和最后一部分数据的比特数目计算需要添加的数据长度,并获取新的数据序列;The new data
时频分集拷贝移位参数计算单元806,其用于根据拷贝次数和最后一个正交频分复用符号的比特数目计算时频分集拷贝的移位参数;Time-frequency diversity copy shift
交织器交织地址计算单元807,其用于根据拷贝时每个交织器对应的子载波个数和交织器个数计算交织偏移步长,并根据交织偏移步长确定每个交织器的交织步长,最后根据交织步长计算每个交织器的交织地址;以及The interleaver interleaving
时频分集拷贝单元808,其用于按照拷贝次数,根据移位参数、交织器的交织地址,物理层的编码速率依次进行时频分集拷贝。The time-frequency
时频分集拷贝单元808,其用于按照拷贝次数,根据移位参数、交织器的交织地址,物理层的编码速率依次进行时频分集拷贝。The time-frequency
已经通过上述实施方式描述了本发明。然而,本领域技术人员所公知的,正如附带的专利权利要求所限定的,除了本发明以上公开的其他的实施例等同地落在本发明的范围内。The present invention has been described through the above-described embodiments. However, as is known to those skilled in the art, other embodiments than the above disclosed invention are equally within the scope of the invention, as defined by the appended patent claims.
通常地,在权利要求中使用的所有术语都根据他们在技术领域的通常含义被解释,除非在其中被另外明确地定义。所有的参考“一个/所述/该【装置、组件等】”都被开放地解释为所述装置、组件等中的至少一个实例,除非另外明确地说明。这里公开的任何方法的步骤都没必要以公开的准确的顺序运行,除非明确地说明。Generally, all terms used in the claims are to be interpreted according to their ordinary meaning in the technical field, unless explicitly defined otherwise herein. All references to "a/the/the [means, component, etc.]" are to be openly construed as at least one instance of said means, component, etc., unless expressly stated otherwise. The steps of any method disclosed herein do not have to be performed in the exact order disclosed, unless explicitly stated.
| Application Number | Priority Date | Filing Date | Title |
|---|---|---|---|
| CN201611128641.0ACN107017975B (en) | 2016-12-09 | 2016-12-09 | Time-frequency diversity copying method based on orthogonal frequency division multiplexing |
| DE112017000221.4TDE112017000221T5 (en) | 2016-12-09 | 2017-11-02 | Time frequency diversity copying method and system and storage medium |
| PCT/CN2017/109131WO2018103477A1 (en) | 2016-12-09 | 2017-11-02 | Time-frequency diversity copying method and system, and storage medium |
| GB1805149.0AGB2562374B (en) | 2016-12-09 | 2017-11-02 | Time-frequency diversity copying method and system and storage medium |
| Application Number | Priority Date | Filing Date | Title |
|---|---|---|---|
| CN201611128641.0ACN107017975B (en) | 2016-12-09 | 2016-12-09 | Time-frequency diversity copying method based on orthogonal frequency division multiplexing |
| Publication Number | Publication Date |
|---|---|
| CN107017975A CN107017975A (en) | 2017-08-04 |
| CN107017975Btrue CN107017975B (en) | 2020-12-25 |
| Application Number | Title | Priority Date | Filing Date |
|---|---|---|---|
| CN201611128641.0AActiveCN107017975B (en) | 2016-12-09 | 2016-12-09 | Time-frequency diversity copying method based on orthogonal frequency division multiplexing |
| Country | Link |
|---|---|
| CN (1) | CN107017975B (en) |
| DE (1) | DE112017000221T5 (en) |
| GB (1) | GB2562374B (en) |
| WO (1) | WO2018103477A1 (en) |
| Publication number | Priority date | Publication date | Assignee | Title |
|---|---|---|---|---|
| CN107017975B (en)* | 2016-12-09 | 2020-12-25 | 中国电力科学研究院 | Time-frequency diversity copying method based on orthogonal frequency division multiplexing |
| CN107395546B (en)* | 2017-08-30 | 2020-04-24 | 重庆物奇科技有限公司 | Method for carrying out frequency domain information expansion on data symbols in power line carrier communication |
| CN110730059B (en)* | 2019-10-21 | 2022-03-29 | 深圳智微电子科技有限公司 | Diversity copy receiving performance optimization method |
| CN112543088A (en)* | 2020-12-04 | 2021-03-23 | 青岛鼎信通讯股份有限公司 | Data diversity copying method suitable for medium-voltage power line broadband communication |
| CN113992242B (en)* | 2021-10-28 | 2023-03-21 | 重庆邮电大学 | Soft information merging method for frame load of PLC system |
| CN114598419B (en)* | 2021-11-12 | 2023-08-01 | 北京智芯微电子科技有限公司 | Interleaver, deinterleaver, and methods of performing the same |
| CN114978420B (en)* | 2022-05-05 | 2023-05-16 | 重庆邮电大学 | Digital diversity copy encoder and method based on finite state machine |
| CN120049912A (en)* | 2023-11-24 | 2025-05-27 | 华为技术有限公司 | Power line communication method, device and system |
| Publication number | Priority date | Publication date | Assignee | Title |
|---|---|---|---|---|
| CN102939737A (en)* | 2010-04-12 | 2013-02-20 | 高通创锐讯有限公司 | Repeating for low-overhead communication in a network |
| CN104917587A (en)* | 2014-03-13 | 2015-09-16 | 钜泉光电科技(上海)股份有限公司 | Data block interleaving and de-interleaving method in communication equipment and device thereof |
| CN105591826A (en)* | 2016-03-18 | 2016-05-18 | 光一科技股份有限公司 | Device and method for fault diagnosis of low-voltage power line broadband carrier communication network |
| Publication number | Priority date | Publication date | Assignee | Title |
|---|---|---|---|---|
| US8196000B2 (en)* | 2003-04-02 | 2012-06-05 | Qualcomm Incorporated | Methods and apparatus for interleaving in a block-coherent communication system |
| CN101141452B (en)* | 2007-03-16 | 2010-12-29 | 中兴通讯股份有限公司 | Uplink parallel interference eliminating apparatus and method in HRPD system |
| US8276025B2 (en)* | 2008-06-06 | 2012-09-25 | Maxim Integrated Products, Inc. | Block interleaving scheme with configurable size to achieve time and frequency diversity |
| US9100102B2 (en)* | 2011-01-11 | 2015-08-04 | Texas Instruments Incorporated | Method to use a preamble with band extension in power line communications |
| CN105187169A (en)* | 2015-09-30 | 2015-12-23 | 复旦大学 | Iterative multiple-input multiple-output communication system and method based on IDMA |
| CN105656832B (en)* | 2016-03-01 | 2019-10-22 | 华为技术有限公司 | Method and device for generating OFDM time domain signal |
| CN107017975B (en)* | 2016-12-09 | 2020-12-25 | 中国电力科学研究院 | Time-frequency diversity copying method based on orthogonal frequency division multiplexing |
| Publication number | Priority date | Publication date | Assignee | Title |
|---|---|---|---|---|
| CN102939737A (en)* | 2010-04-12 | 2013-02-20 | 高通创锐讯有限公司 | Repeating for low-overhead communication in a network |
| CN104917587A (en)* | 2014-03-13 | 2015-09-16 | 钜泉光电科技(上海)股份有限公司 | Data block interleaving and de-interleaving method in communication equipment and device thereof |
| CN105591826A (en)* | 2016-03-18 | 2016-05-18 | 光一科技股份有限公司 | Device and method for fault diagnosis of low-voltage power line broadband carrier communication network |
| Title |
|---|
| 基于OFDM的电力线载波通信系统外收发机关键技术研究;许宇卫;《中国优秀硕士学位论文全文数据库 信息科技辑》;20160815;第32-42页* |
| 宽带载波电力线通信协议中信道交织的FPGA实现;张利平;《电子科技》;20150915;全文* |
| 电力线OFDM通信系统的载波同步技术研究;赵静;《中国优秀硕士学位论文全文数据库 信息科技辑》;20150115;全文* |
| Publication number | Publication date |
|---|---|
| GB201805149D0 (en) | 2018-05-16 |
| CN107017975A (en) | 2017-08-04 |
| DE112017000221T5 (en) | 2018-08-23 |
| GB2562374B (en) | 2022-06-15 |
| WO2018103477A1 (en) | 2018-06-14 |
| GB2562374A (en) | 2018-11-14 |
| Publication | Publication Date | Title |
|---|---|---|
| CN107017975B (en) | Time-frequency diversity copying method based on orthogonal frequency division multiplexing | |
| CN106603457B (en) | OFDM-based broadband power line carrier communication physical layer signal processing method | |
| JP4669026B2 (en) | Digital signal transmission by orthogonal frequency division multiplexing | |
| JP2008295057A5 (en) | ||
| CN101783781B (en) | Information transmission method for reducing peak-to-average power ratio of OFDM system signal | |
| KR101640595B1 (en) | Method and Apparatus for Generating a Preamble for Use in Cable Transmission Systems | |
| CN1244323A (en) | Reduction of peak to average power ratio in multicarrier modulation system | |
| CN101291313B (en) | Wireless signal transmitting method, system and mobile station | |
| JP2008507218A (en) | Iterative channel and interference estimation with dedicated pilot tones for OFDMA | |
| CN102571666A (en) | MMSE (Minimum Mean Square Error)-based equalization method of underwater sound OFDM (Orthogonal Frequency Division Multiplexing) judgment iterative channel | |
| US8391130B2 (en) | Method and apparatus for estimating and reducing interference in wireless communication systems | |
| CN104113393A (en) | Superposition coded modulation method based on subcarrier index modulation (SIM)-orthogonal frequency division multiplexing (OFDM) | |
| CN108847917B (en) | Orthogonal frequency division multiplexing transmission method modulated by pilot frequency pattern | |
| EP2117193A2 (en) | Transmission architecture of transmitter | |
| CN104243382B (en) | Symbol interlacing method | |
| KR20080111920A (en) | Method and apparatus for transmitting uplink control channel in mobile communication system | |
| CN100559786C (en) | Frequency Division Multiple Access Method in Time Domain Synchronous Orthogonal Frequency Division Multiplexing System | |
| Andreadou et al. | NB-PLC channel: Estimation of periodic impulsive noise parameters and mitigation techniques | |
| CN103166879A (en) | Channel estimation method and OFDM system applying same | |
| CN101621489B (en) | Channel estimation method for four-phase modulation system | |
| KR100769671B1 (en) | MB-OPDM transceiver and signal processing method thereof | |
| JP7304406B2 (en) | Sending and receiving signals | |
| CN104811266A (en) | Bit interleaving and de-interleaving methods and corresponding transmitter and receiver | |
| CN116094894A (en) | A Real Signal Orthogonal Frequency Division Multiplexing Method and Device Applicable to Underwater Communication | |
| CN108449304B (en) | Partial transmission sequence method for reducing peak-to-average power ratio of OFDM (orthogonal frequency division multiplexing) signal |
| Date | Code | Title | Description |
|---|---|---|---|
| PB01 | Publication | ||
| PB01 | Publication | ||
| SE01 | Entry into force of request for substantive examination | ||
| SE01 | Entry into force of request for substantive examination | ||
| GR01 | Patent grant | ||
| GR01 | Patent grant |