Movatterモバイル変換


[0]ホーム

URL:


CN106941384B - Frequency sweeping method and frequency sweep instrument for Internet of things - Google Patents

Frequency sweeping method and frequency sweep instrument for Internet of things
Download PDF

Info

Publication number
CN106941384B
CN106941384BCN201710154501.9ACN201710154501ACN106941384BCN 106941384 BCN106941384 BCN 106941384BCN 201710154501 ACN201710154501 ACN 201710154501ACN 106941384 BCN106941384 BCN 106941384B
Authority
CN
China
Prior art keywords
signal
data frame
frequency
cell identification
signal strength
Prior art date
Legal status (The legal status is an assumption and is not a legal conclusion. Google has not performed a legal analysis and makes no representation as to the accuracy of the status listed.)
Active
Application number
CN201710154501.9A
Other languages
Chinese (zh)
Other versions
CN106941384A (en
Inventor
郭尊礼
李瑞锋
朱宇霞
Current Assignee (The listed assignees may be inaccurate. Google has not performed a legal analysis and makes no representation or warranty as to the accuracy of the list.)
Wuhan Hongxin Technology Development Co Ltd
Original Assignee
Wuhan Hongxin Telecommunication Technologies Co Ltd
Priority date (The priority date is an assumption and is not a legal conclusion. Google has not performed a legal analysis and makes no representation as to the accuracy of the date listed.)
Filing date
Publication date
Application filed by Wuhan Hongxin Telecommunication Technologies Co LtdfiledCriticalWuhan Hongxin Telecommunication Technologies Co Ltd
Priority to CN201710154501.9ApriorityCriticalpatent/CN106941384B/en
Publication of CN106941384ApublicationCriticalpatent/CN106941384A/en
Application grantedgrantedCritical
Publication of CN106941384BpublicationCriticalpatent/CN106941384B/en
Activelegal-statusCriticalCurrent
Anticipated expirationlegal-statusCritical

Links

Images

Classifications

Landscapes

Abstract

The invention provides an Internet of things frequency sweeping method and a frequency sweep instrument, which can continuously move the frequency sweep instrument (for example, the frequency sweep instrument is placed on a movable vehicle) in practical application, so that the frequency sweep instrument can detect that a base station generates a narrowband Internet of things system signal at different geographic positions, and the frequency sweep instrument obtains a pilot signal through a master synchronization position where a master synchronization signal in a data frame is located; and acquiring a cell identification ID at the auxiliary synchronization position where the auxiliary synchronization signal is located in the data frame, thereby determining the received signal strength corresponding to the corresponding cell identification ID, and sending the cell identification ID and the corresponding received signal strength to the remote terminal, so that the remote terminal can analyze the strength of the signal sent by the base station and the coverage range of the signal.

Description

Frequency sweeping method and frequency sweep instrument for Internet of things
Technical Field
The invention relates to the technical field of communication, in particular to a frequency sweeping method and a frequency sweep instrument for an internet of things.
Background
A base station is a form of radio station and refers to a radio transceiver station that performs information transfer with terminal equipment through a mobile switching center in a certain radio coverage area. The performance of the base station is represented by the strength and coverage of the signal generated by the base station. The narrowband Internet of things is used as a new standard of the base station. As one of cellular internet of things, a base station of a narrowband internet of things system has been deployed and commercialized in a large number of trial.
However, no method for detecting the strength and coverage of the narrowband internet of things system signal generated by the base station exists at present.
Disclosure of Invention
In view of this, the invention provides an internet of things frequency sweeping method and a frequency sweep instrument, so as to overcome the problem that no detection method aiming at the strength and coverage of a narrowband internet of things system signal generated by a base station exists in the prior art.
In order to achieve the purpose, the invention provides the following technical scheme:
a frequency sweeping method of the Internet of things is applied to a frequency sweep instrument and comprises the following steps:
receiving a narrowband Internet of things system signal sent by a base station;
acquiring a data frame belonging to a preset frequency band range corresponding to the frequency points from the signal, wherein each frequency point corresponds to one frequency band range;
determining a primary synchronization position carrying a primary synchronization signal in the data frame, and acquiring a pilot signal from the primary synchronization position, wherein the primary synchronization signal comprises a pilot signal for channel estimation;
determining an auxiliary synchronization position carrying an auxiliary synchronization signal in the data frame, and acquiring a cell Identification (ID) from the auxiliary synchronization position, wherein the auxiliary synchronization signal comprises data used for calculating the cell Identification (ID) to which the data frame belongs, or the cell Identification (ID) to which the data frame belongs;
obtaining the received signal strength of the cell identifier ID according to the pilot signal, wherein the received signal strength comprises Reference Signal Received Power (RSRP), or Reference Signal Received Power (RSRP) and signal-to-noise ratio (SINR);
and sending the cell identification ID and the received signal strength corresponding to the cell identification ID to a remote terminal so that the remote terminal can analyze the signal strength of the base station and the coverage of the signal according to the cell identification ID and the received signal strength corresponding to the cell identification ID.
Wherein the sending the cell identification ID and the received signal strength corresponding to the cell identification ID to a remote terminal comprises:
storing the cell identification ID to a corresponding position in a preset entry according to the received signal strength corresponding to the cell identification ID, wherein the received signal strength corresponding to each cell identification ID is stored in the preset entry, and the cell identification IDs stored in the preset entry are arranged in a descending order or an ascending order according to the corresponding received signal strength;
and sending the preset item to the remote terminal.
Wherein the sending the cell ID and the received signal strength corresponding to the cell ID to the remote terminal further comprises:
acquiring the geographical position of the sweep generator when receiving the data frame corresponding to the cell identifier ID;
and storing the geographic position corresponding to the cell identification ID into the preset entry.
Wherein the determining the primary synchronization position carrying the primary synchronization signal in the data frame includes:
generating a first local signal;
calculating a correlation coefficient between the first local signal and the data frame according to a preset first correlation function, wherein the first correlation function is a function which takes a time slot in a time domain and a subcarrier in a frequency domain as independent variables and takes the correlation coefficient as a dependent variable;
and determining a first time slot corresponding to the maximum correlation coefficient of the first correlation function and a target subcarrier as a main synchronization position in the data frame.
Wherein the determining the secondary synchronization position carrying the secondary synchronization signal in the data frame includes:
generating a second local signal;
calculating a correlation coefficient between the second local signal and the data frame according to a preset second correlation function, wherein the second correlation function is a function taking a time slot of a time domain as an independent variable and taking the correlation coefficient as a dependent variable;
and determining a second time slot corresponding to the maximum correlation coefficient of the second correlation function as an auxiliary synchronization position in the data frame.
Preferably, the method further comprises the following steps:
and sending the second time slot corresponding to the cell identification ID to the remote terminal.
A frequency scanner comprising:
the receiving module is used for receiving a narrowband Internet of things system signal sent by a base station;
the first acquisition module is used for acquiring a data frame belonging to a preset frequency band range corresponding to frequency points from the signal, wherein each frequency point corresponds to a frequency band range;
a first determining module, configured to determine a primary synchronization position where a primary synchronization signal is carried in the data frame, and obtain a pilot signal from the primary synchronization position, where the primary synchronization signal includes a pilot signal used for channel estimation;
a second determining module, configured to determine an auxiliary synchronization position where the data frame carries an auxiliary synchronization signal, and obtain a cell identifier ID from the auxiliary synchronization position, where the auxiliary synchronization signal includes data used to calculate the cell identifier ID to which the data frame belongs, or the cell identifier ID to which the data frame belongs;
a second obtaining module, configured to obtain, according to the pilot signal, a received signal strength of the cell identifier ID, where the received signal strength includes reference signal received power RSRP, or reference signal received power RSRP and signal-to-noise ratio SINR;
and the sending module is used for sending the cell identification ID and the received signal strength corresponding to the cell identification ID to a remote terminal so that the remote terminal can analyze the signal strength of the base station and the coverage of the signal according to the cell identification ID and the received signal strength corresponding to the cell identification ID.
Wherein the sending module comprises:
the first storage unit is used for storing the cell identifier ID to a corresponding position in a preset entry according to the received signal strength corresponding to the cell identifier ID, the received signal strength corresponding to each cell identifier ID is stored in the preset entry, and the cell identifier IDs stored in the preset entry are arranged in a descending order or an ascending order according to the corresponding received signal strength;
and the sending unit is used for sending the preset items to the remote terminal.
Wherein the first determining module comprises:
a first generation unit configured to generate a first local signal;
a first calculating unit, configured to calculate a correlation coefficient between the first local signal and the data frame according to a preset first correlation function, where the first correlation function is a function in which a time slot in a time domain and a subcarrier in a frequency domain are arguments and a correlation coefficient is a dependent variable;
a first determining unit, configured to determine a first time slot corresponding to a maximum correlation coefficient of the first correlation function and a target subcarrier as a primary synchronization position in the data frame.
Wherein the second determining module comprises:
a second generating unit configured to generate a second local signal;
a second calculating unit, configured to calculate a correlation coefficient between the second local signal and the data frame according to a preset second correlation function, where the second correlation function is a function in which a time slot of a time domain is an argument and the correlation coefficient is a dependent variable;
and a second determining unit, configured to determine a second timeslot corresponding to a maximum correlation coefficient of the second correlation function as an auxiliary synchronization position in the data frame.
According to the technical scheme, compared with the prior art, the frequency sweeping method of the internet of things provided by the embodiment of the invention can be applied to a frequency sweep instrument, and in practical application, the frequency sweep instrument can be continuously moved (for example, the frequency sweep instrument is placed on a movable vehicle), so that the frequency sweep instrument can detect that a base station generates a narrowband internet of things system signal at different geographic positions, and the frequency sweep instrument obtains a pilot signal through a master synchronization position where a master synchronization signal is located in a data frame; and acquiring the cell identification ID at the auxiliary synchronization position where the auxiliary synchronization signal is located in the data frame, thereby determining the received signal strength corresponding to the corresponding cell identification ID, wherein the received signal strength can embody the strength of the signal sent by the base station.
Furthermore, because the sweep generator can be provided with the GPS module, the sweep generator can obtain the geographical position of the sweep generator, or the vehicle for placing the sweep generator is provided with the GPS module, the GPS module can obtain the geographical position of the sweep generator, the current geographical position of the sweep generator and the intensity of the received signal measured at the geographical position can be sent to the remote terminal, and the remote terminal can analyze the intensity of the signal generated by the base station and the coverage range of the signal according to the information.
Drawings
In order to more clearly illustrate the embodiments of the present invention or the technical solutions in the prior art, the drawings used in the description of the embodiments or the prior art will be briefly described below, it is obvious that the drawings in the following description are only embodiments of the present invention, and for those skilled in the art, other drawings can be obtained according to the provided drawings without creative efforts.
Fig. 1 is a schematic flow chart of a frequency sweeping method of the internet of things according to an embodiment of the present invention;
fig. 2 is a schematic flow chart of a method for determining a primary synchronization position carrying a primary synchronization signal in a data frame in a frequency sweeping method of the internet of things according to an implementation manner of the present invention;
fig. 3 is a schematic flow chart of a method for determining an implementation manner of an auxiliary synchronization position carrying an auxiliary synchronization signal in a data frame in a frequency sweeping method of the internet of things according to the embodiment of the present invention;
fig. 4 is a schematic structural diagram of a frequency scanner according to an embodiment of the present invention;
fig. 5 is a schematic diagram of an internal structure of a frequency scanner according to an embodiment of the present invention.
Detailed Description
The technical solutions in the embodiments of the present invention will be clearly and completely described below with reference to the drawings in the embodiments of the present invention, and it is obvious that the described embodiments are only a part of the embodiments of the present invention, and not all of the embodiments. All other embodiments, which can be derived by a person skilled in the art from the embodiments given herein without making any creative effort, shall fall within the protection scope of the present invention.
As shown in fig. 1, a schematic flow chart of a frequency sweeping method for the internet of things provided in the embodiment of the present invention is shown, and the method includes:
step S101: and receiving a narrowband Internet of things system signal sent by the base station.
The narrowband Internet of Things (narrowband Internet of Things) signal may be an NB-IOT (Narrow Band Internet of Things) signal.
The Internet of things frequency sweeping method can be applied to a frequency sweep instrument, and the frequency sweep instrument can receive one or more signals sent by one or more base stations at the same time. This is related to the geographical location where the scanner is located. When the frequency scanner is located at the boundary of the signal coverage areas of two base stations, it is possible to receive the signals transmitted by the two base stations. When the frequency scanner is only in the signal coverage range of one base station, the signal transmitted by only one base station can be received.
Step S102: and acquiring a data frame belonging to a preset frequency band range corresponding to the frequency points from the signal, wherein each frequency point corresponds to one frequency band range.
The frequency point refers to a specific absolute frequency value, and is generally the center frequency of the modulation signal. For example, 200KHz apart. Dividing the signal frequency range from 890MHz to 915MHz according to the frequency interval: 890MHz, 890.2MHz, 890.4MHz, …, 915MHz and other 125 frequency bands, numbering each frequency band, assuming the numbering is: 1. 2, 3, …, 125, these numbers are frequency points.
Each frequency point corresponds to a frequency band range, and taking the above as an example, the frequency band range corresponding to the frequency point 1 is 890MHz to 890.2MHz, the frequency band range corresponding to the frequency point 2 is 890.2MHz to 890.4MHz, and so on.
The frequency scanner can sequentially number the preset signal frequency bands according to a sequence at a frequency interval configured by software, namely, the frequency scanner is used for acquiring frequency points in the preset signal frequency bands.
The frequency band range corresponding to the frequency point is related to the frequency band range of the data frame received by the sweep generator.
Step S103: and determining a primary synchronization position carrying a primary synchronization signal in the data frame, and acquiring a pilot signal from the primary synchronization position, wherein the primary synchronization signal comprises a pilot signal for channel estimation.
Step S104: and determining an auxiliary synchronization position carrying an auxiliary synchronization signal in the data frame, and acquiring a cell Identification (ID) from the auxiliary synchronization position.
The secondary synchronization signal includes data for calculating a cell identification ID to which the data frame belongs, or the cell identification ID to which the data frame belongs.
Step S105: and obtaining the received signal strength of the cell identification ID according to the pilot signal, wherein the received signal strength comprises Reference Signal Received Power (RSRP), or Reference Signal Received Power (RSRP) and signal-to-noise ratio (SINR).
Channel estimation value h (n), reference signal received Power RSRP (reference signal Receiving Power) | h (n) can be calculated according to pilot signals2
Using channel estimates and h (n) and noise measurements hnoiseCan calculate
Figure BDA0001246632350000061
Figure BDA0001246632350000062
Step S106: and sending the cell identification ID and the received signal strength corresponding to the cell identification ID to a remote terminal so that the remote terminal can analyze the signal strength of the base station and the coverage of the signal according to the cell identification ID and the received signal strength corresponding to the cell identification ID.
The received signal strength corresponding to a cell identifier ID can be detected each time and then transmitted to the remote terminal in real time. The received signal strength corresponding to the detected cell identifier ID may also be stored in a preset entry, where the preset entry may be a table or a storage space, and the like.
Preferably, the cell identifiers ID stored in the preset entry are arranged in descending order or ascending order according to the corresponding received signal strength. The preset entry may be transmitted to the remote terminal.
Preferably, a Global Positioning System (GPS) module is disposed on the frequency scanner, and the frequency scanner can obtain the geographic location of the frequency scanner according to the GPS module. The sweep generator can also store the geographic location corresponding to the cell identification ID in a preset entry.
The Internet of things frequency sweeping method provided by the embodiment of the invention can be applied to a frequency sweep instrument, and in practical application, the frequency sweep instrument can be continuously moved (for example, the frequency sweep instrument is placed on a movable vehicle), so that the frequency sweep instrument can detect that a base station generates a narrowband Internet of things system signal at different geographic positions, and the frequency sweep instrument obtains a pilot signal through a master synchronization position where a master synchronization signal is located in a data frame; and acquiring the cell identification ID at the auxiliary synchronization position where the auxiliary synchronization signal is located in the data frame, thereby determining the received signal strength corresponding to the corresponding cell identification ID, wherein the received signal strength can embody the strength of the signal sent by the base station.
Furthermore, because the sweep generator can be provided with the GPS module, the sweep generator can obtain the geographical position of the sweep generator, or the vehicle for placing the sweep generator is provided with the GPS module, the GPS module can obtain the geographical position of the sweep generator, the current geographical position of the sweep generator and the intensity of the received signal measured at the geographical position can be sent to the remote terminal, and the remote terminal can analyze the intensity of the signal generated by the base station and the coverage range of the signal according to the information.
As shown in fig. 2, a schematic flow chart of a method for determining a primary synchronization position carrying a primary synchronization signal in a data frame in a frequency sweeping method for the internet of things according to an embodiment of the present invention is shown, where the method includes:
step S201: a first local signal is generated.
Step S202: and calculating a correlation coefficient between the first local signal and the data frame according to a preset first correlation function, wherein the first correlation function is a function taking a time slot in a time domain and a subcarrier in a frequency domain as independent variables and taking the correlation coefficient as a dependent variable.
There are various ways for the scanistor to generate the first local signal, and the embodiments of the present invention provide, but are not limited to, the following implementation manners.
The first local signal generated by the frequency scanner may be a Zadoff-Chu sequence, and the first local signal d (l, n) may be generated according to the following formula. It is assumed that the transmission period of the first local signal NPSS is 10 ms.
Figure BDA0001246632350000071
Where n is the time slot in the time domain, l is the number of subcarriers in the frequency domain, Zadoff-Chu is equal to sequence index u-5, and the values of s (l) for different symbol indexes are shown in table 1.
TABLE 1 different symbol indexes S (l) values
Figure BDA0001246632350000081
The specific mode is as follows:
the first local signal d (l, N) is zero-padded to 128 points, and then after inverse conjugation, the signal is transformed into the time domain through IFFT (inverse fourier transform), and the sequence is Si(N), i ═ 3,4,. 13, N ═ 0,1,2,. N-1. I.e. the first local signal is truncated into i first local sub-signals, each first local sub-signal being divided by SiAnd (n) represents.
The first correlation function may be a convolution calculation formula:
Figure BDA0001246632350000082
calculating the correlation coefficient between each first local sub-signal and the data frame r (l, n),
Figure BDA0001246632350000083
is SiConjugation of (n). Calculating a correlation coefficient of a sequence r (l, n) of the first local signal corresponding to the received 20ms data frame, converting the correlation operation into a frequency domain to realize, obtaining (l, n) corresponding to the maximum value (namely the maximum correlation coefficient) of the first correlation function, and determining the maximum value as the position of the main synchronization signal in the data frame.
Step S203: and determining a first time slot corresponding to the maximum correlation coefficient of the first correlation function and a target subcarrier as a main synchronization position in the data frame.
Since the first local signal is intercepted into the plurality of first local sub-signals in step S202, step S203 may specifically include:
judging the size relation between the maximum correlation coefficient corresponding to each first local sub-signal and the data frame and a first preset threshold; determining a first local sub-signal corresponding to the maximum correlation coefficient which is greater than or equal to the first preset threshold value as a target first local sub-signal; and determining the target time slot corresponding to the maximum correlation coefficient which is greater than or equal to the first preset threshold value as a main synchronization position in the data frame.
Since there are i first local sub-signals, each first local sub-signal and the data frame have a maximum correlation coefficient, i.e. there are i maximum correlation coefficients in total.
The first preset threshold may be determined according to practical situations, and is not particularly limited herein. Since only one of the first local sub-signals has a strong correlation with the data frame, a first predetermined threshold is set in order to determine this first local sub-signal. And determining the first local sub-signal corresponding to the maximum correlation coefficient which is greater than or equal to the first preset threshold value as a target first local sub-signal.
Preferably, the target first local sub-signal corresponding to the cell identifier ID is sent to the remote terminal.
As shown in fig. 3, a schematic flow chart of a method for determining an implementation manner of an auxiliary synchronization position carrying an auxiliary synchronization signal in a data frame in a frequency sweeping method for the internet of things provided by the embodiment of the present invention is shown, where the method includes:
step S301: a second local signal is generated.
There are various ways for the scanistor to generate the second local signal, and the embodiments of the present invention provide, but are not limited to, the following implementation manners.
Locally generating a second local signal NSSS sequence, intercepting part of the NSSS and performing correlation calculation with a receiving sequence, wherein the second local signal can be generated by a frequency domain Zadoff-Chu sequence in the following mode:
Figure BDA0001246632350000091
n is a time slot;
wherein:
n=0,1,...,131
n′=nmod131
m=nmod128
u=Ncellmod126+3
Figure BDA0001246632350000092
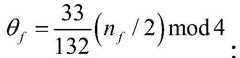
cyclic shift thetafIn a radio frame nfThe following are:
Figure BDA0001246632350000093
binary scrambling sequence b of second local signal NSSS sequenceq(m) is a Hadamard sequence generated as follows:
Figure BDA0001246632350000094
wherein: s0=0,s1=31,s2=63,s3=127。
Step S302: and calculating a correlation coefficient between the second local signal and the data frame according to a preset second correlation function, wherein the second correlation function is a function taking a time slot of a time domain as an independent variable and taking the correlation coefficient as a dependent variable.
The second correlation function of the second local signal with the data frame may be a convolution calculation method:
Figure BDA0001246632350000095
calculation of the second local signal d (n), Ncell taking the values 0,1, … … 503, θfThe values are 0,2,4,8, and the sequence of the second local signal d (n) has 504 × 4 — 2016 possible sequences, and the Ncell corresponding to the maximum correlation coefficient is selected as the NB-IOT cell identity ID.
Step S202 may specifically be: intercepting the second local signal into a plurality of second local sub-signals; and respectively calculating the correlation coefficient of each second local sub-signal and the auxiliary synchronization signal.
Since only one of the second local signals has a strong correlation with the data frame, the second local signal is truncated into a plurality of second local sub-signals in order to determine this second local sub-signal.
Step S303: and determining a second time slot corresponding to the maximum correlation coefficient of the second correlation function as an auxiliary synchronization position in the data frame.
Step S303 specifically includes:
judging the size relationship between the maximum correlation coefficient corresponding to each second local sub-signal and the data frame and a second preset threshold; determining a second local sub-signal corresponding to the maximum correlation coefficient which is greater than or equal to the second preset threshold value as a target second local sub-signal; and determining the target time slot corresponding to the maximum correlation coefficient which is greater than or equal to the second preset threshold value as the auxiliary synchronization position in the data frame.
The second preset threshold may be determined according to practical situations, and is not particularly limited herein. Since only one of the second local sub-signals has a strong correlation with the data frame, a second predetermined threshold is set in order to determine this second local sub-signal. And determining a second local sub-signal corresponding to the maximum correlation coefficient which is greater than or equal to the second preset threshold value as a target second local sub-signal.
Preferably, the target second local sub-signal corresponding to the cell identifier ID is sent to the remote terminal.
The embodiment of the invention also provides a sweep generator corresponding to the Internet of things sweep method, modules and units contained in the sweep generator are briefly described below, and the detailed description of each module and each unit can refer to corresponding steps in the physical network sweep method, and is not repeated here.
As shown in fig. 4, a schematic structural diagram of a frequency scanner provided in an embodiment of the present invention is shown, where the frequency scanner includes:
the receivingmodule 41 is configured to receive a narrowband internet of things system signal sent by a base station;
a first obtaining module 42, configured to obtain, from the signal, a data frame belonging to a frequency band range corresponding to a preset frequency point, where each frequency point corresponds to a frequency band range;
a first determiningmodule 43, configured to determine a primary synchronization position where a primary synchronization signal is carried in the data frame, and obtain a pilot signal from the primary synchronization position, where the primary synchronization signal includes a pilot signal used for performing channel estimation;
a second determiningmodule 44, configured to determine an auxiliary synchronization position where the data frame carries an auxiliary synchronization signal, and obtain a cell identifier ID from the auxiliary synchronization position, where the auxiliary synchronization signal includes data used to calculate the cell identifier ID to which the data frame belongs, or the cell identifier ID to which the data frame belongs;
a second obtainingmodule 45, configured to obtain, according to the pilot signal, a received signal strength of the cell identifier ID, where the received signal strength includes reference signal received power RSRP, or reference signal received power RSRP and signal-to-noise ratio SINR;
a sendingmodule 46, configured to send the cell ID and the received signal strength corresponding to the cell ID to a remote terminal, so that the remote terminal analyzes the signal strength of the base station and the coverage of the signal according to the cell ID and the received signal strength corresponding to the cell ID.
Optionally, the sending module includes:
the first storage unit is used for storing the cell identifier ID to a corresponding position in a preset entry according to the received signal strength corresponding to the cell identifier ID, the received signal strength corresponding to each cell identifier ID is stored in the preset entry, and the cell identifier IDs stored in the preset entry are arranged in a descending order or an ascending order according to the corresponding received signal strength;
and the sending unit is used for sending the preset items to the remote terminal.
Optionally, the sending module further includes:
the first acquisition unit is used for acquiring the geographical position of the sweep generator when receiving the data frame corresponding to the cell identifier ID;
and the second storage unit is used for storing the geographic position corresponding to the cell identification ID into the preset entry.
Optionally, the first determining module includes:
a first generation unit configured to generate a first local signal;
a first calculating unit, configured to calculate a correlation coefficient between the first local signal and the data frame according to a preset first correlation function, where the first correlation function is a function in which a time slot in a time domain and a subcarrier in a frequency domain are arguments and a correlation coefficient is a dependent variable;
a first determining unit, configured to determine a first time slot corresponding to a maximum correlation coefficient of the first correlation function and a target subcarrier as a primary synchronization position in the data frame.
Optionally, the second determining module includes:
a second generating unit configured to generate a second local signal;
a second calculating unit, configured to calculate a correlation coefficient between the second local signal and the data frame according to a preset second correlation function, where the second correlation function is a function in which a time slot of a time domain is an argument and the correlation coefficient is a dependent variable;
and a second determining unit, configured to determine a second timeslot corresponding to a maximum correlation coefficient of the second correlation function as an auxiliary synchronization position in the data frame.
As shown in fig. 5, an embodiment of the present invention further provides an internal structural schematic diagram of a frequency scanner, where the frequency scanner may include: aprocessor 51, acommunication interface 52, amemory 53 and acommunication bus 54;
theprocessor 51, thecommunication interface 52 and thememory 53 complete mutual communication through thecommunication bus 54;
alternatively, thecommunication interface 52 may be an interface of a communication module, such as an interface of a GSM module;
aprocessor 51 for executing a program;
amemory 53 for storing programs and data;
the program may include program code including computer operating instructions.
Theprocessor 51 may be a central processing unit CPU or an application specific Integrated circuit asic or one or more Integrated circuits configured to implement embodiments of the present invention.
Thememory 53 may comprise high-speed RAM memory, and may also include non-volatile memory (non-volatile memory), such as at least one disk memory.
Among them, the procedure can be specifically used for:
receiving a narrowband Internet of things system signal sent by a base station;
acquiring a data frame belonging to a preset frequency band range corresponding to the frequency points from the signal, wherein each frequency point corresponds to one frequency band range;
determining a primary synchronization position carrying a primary synchronization signal in the data frame, and acquiring a pilot signal from the primary synchronization position, wherein the primary synchronization signal comprises a pilot signal for channel estimation;
determining an auxiliary synchronization position carrying an auxiliary synchronization signal in the data frame, and acquiring a cell Identification (ID) from the auxiliary synchronization position, wherein the auxiliary synchronization signal comprises data used for calculating the cell Identification (ID) to which the data frame belongs, or the cell Identification (ID) to which the data frame belongs;
obtaining the received signal strength of the cell identifier ID according to the pilot signal, wherein the received signal strength comprises Reference Signal Received Power (RSRP), or Reference Signal Received Power (RSRP) and signal-to-noise ratio (SINR);
and sending the cell identification ID and the received signal strength corresponding to the cell identification ID to a remote terminal so that the remote terminal can analyze the signal strength of the base station and the coverage of the signal according to the cell identification ID and the received signal strength corresponding to the cell identification ID.
Finally, it should also be noted that, herein, relational terms such as first and second, and the like may be used solely to distinguish one entity or action from another entity or action without necessarily requiring or implying any actual such relationship or order between such entities or actions. Also, the terms "comprises," "comprising," or any other variation thereof, are intended to cover a non-exclusive inclusion, such that a process, method, article, or apparatus that comprises a list of elements does not include only those elements but may include other elements not expressly listed or inherent to such process, method, article, or apparatus. Without further limitation, an element defined by the phrase "comprising an … …" does not exclude the presence of other identical elements in a process, method, article, or apparatus that comprises the element.
The embodiments in the present description are described in a progressive manner, each embodiment focuses on differences from other embodiments, and the same and similar parts among the embodiments are referred to each other.
The previous description of the disclosed embodiments is provided to enable any person skilled in the art to make or use the present application. Various modifications to these embodiments will be readily apparent to those skilled in the art, and the generic principles defined herein may be applied to other embodiments without departing from the spirit or scope of the application. Thus, the present application is not intended to be limited to the embodiments shown herein but is to be accorded the widest scope consistent with the principles and novel features disclosed herein.

Claims (10)

1. A frequency sweeping method of the Internet of things is characterized by being applied to a frequency sweep instrument and comprising the following steps:
receiving a narrowband Internet of things system signal sent by a base station;
acquiring a data frame belonging to a preset frequency band range corresponding to the frequency points from the signal, wherein each frequency point corresponds to one frequency band range;
determining a primary synchronization position carrying a primary synchronization signal in the data frame, and acquiring a pilot signal from the primary synchronization position, wherein the primary synchronization signal comprises a pilot signal for channel estimation;
determining an auxiliary synchronization position carrying an auxiliary synchronization signal in the data frame, and acquiring a cell Identification (ID) from the auxiliary synchronization position, wherein the auxiliary synchronization signal comprises data used for calculating the cell Identification (ID) to which the data frame belongs, or the cell Identification (ID) to which the data frame belongs;
obtaining the received signal strength of the cell identifier ID according to the pilot signal, wherein the received signal strength comprises Reference Signal Received Power (RSRP), or Reference Signal Received Power (RSRP) and signal-to-noise ratio (SINR);
and sending the cell identification ID and the received signal strength corresponding to the cell identification ID to a remote terminal so that the remote terminal can analyze the signal strength of the base station and the coverage of the signal according to the cell identification ID and the received signal strength corresponding to the cell identification ID.
2. A frequency sweeping method for the internet of things as claimed in claim 1, wherein the sending the cell ID and the received signal strength corresponding to the cell ID to a remote terminal comprises:
storing the cell identification ID to a corresponding position in a preset entry according to the received signal strength corresponding to the cell identification ID, wherein the received signal strength corresponding to each cell identification ID is stored in the preset entry, and the cell identification IDs stored in the preset entry are arranged in a descending order or an ascending order according to the corresponding received signal strength;
and sending the preset item to the remote terminal.
3. A method for sweeping frequency of an internet of things as claimed in claim 2, wherein the sending the cell ID and the received signal strength corresponding to the cell ID to a remote terminal further comprises:
acquiring the geographical position of the sweep generator when receiving the data frame corresponding to the cell identifier ID;
and storing the geographic position corresponding to the cell identification ID into the preset entry.
4. A frequency sweeping method for the internet of things according to claim 1, wherein the determining of the master synchronization position carrying the master synchronization signal in the data frame comprises:
generating a first local signal;
calculating a correlation coefficient between the first local signal and the data frame according to a preset first correlation function, wherein the first correlation function is a function which takes a time slot in a time domain and a subcarrier in a frequency domain as independent variables and takes the correlation coefficient as a dependent variable;
and determining a first time slot corresponding to the maximum correlation coefficient of the first correlation function and a target subcarrier as a main synchronization position in the data frame.
5. A frequency sweeping method for the internet of things according to claim 1, wherein the determining the secondary synchronization position carrying the secondary synchronization signal in the data frame comprises:
generating a second local signal;
calculating a correlation coefficient between the second local signal and the data frame according to a preset second correlation function, wherein the second correlation function is a function taking a time slot of a time domain as an independent variable and taking the correlation coefficient as a dependent variable;
and determining a second time slot corresponding to the maximum correlation coefficient of the second correlation function as an auxiliary synchronization position in the data frame.
6. A sweeping method for the Internet of things according to claim 5, further comprising:
and sending the second time slot corresponding to the cell identification ID to the remote terminal.
7. A frequency scanner, comprising:
the receiving module is used for receiving a narrowband Internet of things system signal sent by a base station;
the first acquisition module is used for acquiring a data frame belonging to a preset frequency band range corresponding to frequency points from the signal, wherein each frequency point corresponds to a frequency band range;
a first determining module, configured to determine a primary synchronization position where a primary synchronization signal is carried in the data frame, and obtain a pilot signal from the primary synchronization position, where the primary synchronization signal includes a pilot signal used for channel estimation;
a second determining module, configured to determine an auxiliary synchronization position where the data frame carries an auxiliary synchronization signal, and obtain a cell identifier ID from the auxiliary synchronization position, where the auxiliary synchronization signal includes data used to calculate the cell identifier ID to which the data frame belongs, or the cell identifier ID to which the data frame belongs;
a second obtaining module, configured to obtain, according to the pilot signal, a received signal strength of the cell identifier ID, where the received signal strength includes reference signal received power RSRP, or reference signal received power RSRP and signal-to-noise ratio SINR;
and the sending module is used for sending the cell identification ID and the received signal strength corresponding to the cell identification ID to a remote terminal so that the remote terminal can analyze the signal strength of the base station and the coverage of the signal according to the cell identification ID and the received signal strength corresponding to the cell identification ID.
8. A sweep generator as claimed in claim 7, characterized in that the transmitting module comprises:
the first storage unit is used for storing the cell identifier ID to a corresponding position in a preset entry according to the received signal strength corresponding to the cell identifier ID, the received signal strength corresponding to each cell identifier ID is stored in the preset entry, and the cell identifier IDs stored in the preset entry are arranged in a descending order or an ascending order according to the corresponding received signal strength;
and the sending unit is used for sending the preset items to the remote terminal.
9. A swept frequency instrument as claimed in claim 7, wherein the first determining module comprises:
a first generation unit configured to generate a first local signal;
a first calculating unit, configured to calculate a correlation coefficient between the first local signal and the data frame according to a preset first correlation function, where the first correlation function is a function in which a time slot in a time domain and a subcarrier in a frequency domain are arguments and a correlation coefficient is a dependent variable;
a first determining unit, configured to determine a first time slot corresponding to a maximum correlation coefficient of the first correlation function and a target subcarrier as a primary synchronization position in the data frame.
10. A swept frequency instrument as claimed in claim 7, wherein the second determination module comprises:
a second generating unit configured to generate a second local signal;
a second calculating unit, configured to calculate a correlation coefficient between the second local signal and the data frame according to a preset second correlation function, where the second correlation function is a function in which a time slot of a time domain is an argument and the correlation coefficient is a dependent variable;
and a second determining unit, configured to determine a second timeslot corresponding to a maximum correlation coefficient of the second correlation function as an auxiliary synchronization position in the data frame.
CN201710154501.9A2017-03-152017-03-15Frequency sweeping method and frequency sweep instrument for Internet of thingsActiveCN106941384B (en)

Priority Applications (1)

Application NumberPriority DateFiling DateTitle
CN201710154501.9ACN106941384B (en)2017-03-152017-03-15Frequency sweeping method and frequency sweep instrument for Internet of things

Applications Claiming Priority (1)

Application NumberPriority DateFiling DateTitle
CN201710154501.9ACN106941384B (en)2017-03-152017-03-15Frequency sweeping method and frequency sweep instrument for Internet of things

Publications (2)

Publication NumberPublication Date
CN106941384A CN106941384A (en)2017-07-11
CN106941384Btrue CN106941384B (en)2020-09-29

Family

ID=59469697

Family Applications (1)

Application NumberTitlePriority DateFiling Date
CN201710154501.9AActiveCN106941384B (en)2017-03-152017-03-15Frequency sweeping method and frequency sweep instrument for Internet of things

Country Status (1)

CountryLink
CN (1)CN106941384B (en)

Families Citing this family (6)

* Cited by examiner, † Cited by third party
Publication numberPriority datePublication dateAssigneeTitle
CN107612652B (en)*2017-08-112019-08-27中国科学技术大学 Cell search method and system based on narrowband internet of things protocol
CN107635281A (en)*2017-10-162018-01-26海信集团有限公司A kind of synchronous method and device
WO2019134125A1 (en)*2018-01-052019-07-11海能达通信股份有限公司Positioning method, server and system based on narrowband internet of things
CN110034838B (en)*2018-01-122020-10-27北京小米松果电子有限公司Signal synchronization method and apparatus, storage medium, and electronic device
CN112653499B (en)*2019-10-112022-02-01大唐移动通信设备有限公司Network access method and device of terminal, electronic equipment and storage medium
CN118488483B (en)*2024-05-292025-05-30中国电信股份有限公司重庆分公司 Base station wireless signal detection method, monitoring terminal and system

Citations (4)

* Cited by examiner, † Cited by third party
Publication numberPriority datePublication dateAssigneeTitle
CN1972141A (en)*2006-12-012007-05-30北京北方烽火科技有限公司A receiving frequency-sweeping apparatus and method for TD-SCDMA radio frequency signal
CN103167530A (en)*2011-12-152013-06-19中国移动通信集团设计院有限公司 A frequency scanning device and method
CN103323683A (en)*2013-06-092013-09-25中国科学院深圳先进技术研究院Portable electromagnetic wave strength detecting device and method
CN104378764A (en)*2014-09-172015-02-25北京北方烽火科技有限公司Method and device for detecting common-frequency cells of LTE system

Patent Citations (4)

* Cited by examiner, † Cited by third party
Publication numberPriority datePublication dateAssigneeTitle
CN1972141A (en)*2006-12-012007-05-30北京北方烽火科技有限公司A receiving frequency-sweeping apparatus and method for TD-SCDMA radio frequency signal
CN103167530A (en)*2011-12-152013-06-19中国移动通信集团设计院有限公司 A frequency scanning device and method
CN103323683A (en)*2013-06-092013-09-25中国科学院深圳先进技术研究院Portable electromagnetic wave strength detecting device and method
CN104378764A (en)*2014-09-172015-02-25北京北方烽火科技有限公司Method and device for detecting common-frequency cells of LTE system

Also Published As

Publication numberPublication date
CN106941384A (en)2017-07-11

Similar Documents

PublicationPublication DateTitle
CN106941384B (en)Frequency sweeping method and frequency sweep instrument for Internet of things
RU2698918C9 (en)Preamble detection and estimate of arrival time of random access preamble of single-tone signal with frequency hopping
KR100715913B1 (en) Apparatus and Method for Searching Signaling Signaling in Orthogonal Frequency Division Multiple Access Mobile Communication System
US20200295915A1 (en)Signal sending device, signal receiving device, symbol timing synchronization method, and system
KR20170091130A (en)Methods and devices for generating and detecting random access preambles
JP2010516169A (en) New signature sequence and method for time-frequency selective channel
CN101489238B (en)Time difference measuring method, system and apparatus
CN102573044B (en)Method and device for locating interference source cell
EP1550250B1 (en)Method and system for interference assessment and reduction in a wireless communication system
US10924243B2 (en)Channel identification in a MIMO telecommunications system
JP2019531033A (en) Interfering source cell position determining method, apparatus and base station
CN105530701A (en)Interference source positioning method and device
EP2232742B1 (en)Carrier detection
JP6507020B2 (en) Cell search method and user apparatus
CN111294183B (en)Transmission beam determination method, user equipment and base station
CN102710285B (en)Cell detecting method and device for interference cancellation
CN111107562B (en)Detection method and detection device
CN109728960B (en)Test method and device
CN104602269A (en) A method and system for locating uplink interference
CN110312321B (en)Method, device and terminal for determining random access resident frequency point
CN101026607B (en) A method and device for detecting downlink synchronization codes of same-frequency cells
JP2017525229A (en) Random access signal detection method, apparatus and system
CN101013900A (en)Method and apparatus for detecting intermediate code of cochannel cell of TD-SCDMA system
Pecoraro et al.LTE signal fingerprinting device-free passive localization robust to environment changes
US20200187139A1 (en)Method for performing uplink synchronization in wireless communication system

Legal Events

DateCodeTitleDescription
PB01Publication
PB01Publication
SE01Entry into force of request for substantive examination
SE01Entry into force of request for substantive examination
TA01Transfer of patent application right

Effective date of registration:20190329

Address after:430205 No. 88, Academy of Posts Road, Hongshan District, Wuhan City, Hubei Province

Applicant after:Wuhan Hongxin Communication Technology Co., ltd.

Address before:100085 No. 1 Building, No. 5 Hospital, Shangdi East Road, Haidian District, Beijing (Beacon Fire Science and Technology Building)

Applicant before:Beifang Fenghuo Tech Co., Ltd., Beijing

TA01Transfer of patent application right
GR01Patent grant
GR01Patent grant
TR01Transfer of patent right

Effective date of registration:20201125

Address after:430205 Hubei city of Wuhan province Jiangxia Hidden Dragon Island Tan lake two Road No. 1

Patentee after:Wuhan Hongxin Technology Development Co.,Ltd.

Address before:430205, No. 88, postal academy road, Hongshan District, Hubei, Wuhan

Patentee before:Wuhan Hongxin Telecommunication Technologies Co.,Ltd.

TR01Transfer of patent right

[8]ページ先頭

©2009-2025 Movatter.jp