Movatterモバイル変換


[0]ホーム

URL:


CN106651158B - Quantitative evaluation method for water injection development effectiveness degree of ultra-low permeability tight reservoir horizontal well - Google Patents

Quantitative evaluation method for water injection development effectiveness degree of ultra-low permeability tight reservoir horizontal well
Download PDF

Info

Publication number
CN106651158B
CN106651158BCN201611119101.6ACN201611119101ACN106651158BCN 106651158 BCN106651158 BCN 106651158BCN 201611119101 ACN201611119101 ACN 201611119101ACN 106651158 BCN106651158 BCN 106651158B
Authority
CN
China
Prior art keywords
horizontal well
oil
unit length
well
daily
Prior art date
Legal status (The legal status is an assumption and is not a legal conclusion. Google has not performed a legal analysis and makes no representation as to the accuracy of the status listed.)
Active
Application number
CN201611119101.6A
Other languages
Chinese (zh)
Other versions
CN106651158A (en
Inventor
樊建明
屈雪峰
王冲
雷启鸿
成良丙
Current Assignee (The listed assignees may be inaccurate. Google has not performed a legal analysis and makes no representation or warranty as to the accuracy of the list.)
Petrochina Co Ltd
Original Assignee
Petrochina Co Ltd
Priority date (The priority date is an assumption and is not a legal conclusion. Google has not performed a legal analysis and makes no representation as to the accuracy of the date listed.)
Filing date
Publication date
Application filed by Petrochina Co LtdfiledCriticalPetrochina Co Ltd
Priority to CN201611119101.6ApriorityCriticalpatent/CN106651158B/en
Publication of CN106651158ApublicationCriticalpatent/CN106651158A/en
Application grantedgrantedCritical
Publication of CN106651158BpublicationCriticalpatent/CN106651158B/en
Activelegal-statusCriticalCurrent
Anticipated expirationlegal-statusCritical

Links

Images

Classifications

Landscapes

Abstract

The method solves the problem that the conventional effectiveness judgment standard based on the morphological characteristics of the yield curve of the directional oil production well is difficult to popularize to the analysis of effectiveness and effectiveness degree of the horizontal well, introduces two parameters of cumulative oil production per unit length and daily oil production per unit length of the horizontal well, provides a method for developing the cumulative oil production per unit length and daily oil production per unit length of the horizontal well by using natural energy of the same reservoir as the lower limit, and comprehensively applies the increasing methods of the cumulative oil production per unit length and daily oil production per unit length of the horizontal well for water injection development as the upper limit, so as to realize quantitative evaluation of the effectiveness degree of water injection energy supplement of different horizontal wells, thereby providing an important basis for optimization of development technical policies.

Description

Quantitative evaluation method for water injection development effectiveness degree of ultra-low permeability tight reservoir horizontal well
Technical Field
The invention belongs to the field of oilfield development, and particularly relates to a quantitative evaluation method for the effect degree of water injection development of an ultra-low permeability tight reservoir horizontal well.
Background
Along with increasingly prominent contradictions between supply and demand of petroleum in the world and gradual shortage of high-quality petroleum resources, development of ultra-low permeability compact oil resources (the ground air permeability is less than 1.0mD) becomes a new subject for development of petroleum industry in China, and production practices of compact oil reservoirs at home and abroad show that water injection of horizontal wells is an effective development mode for developing the oil reservoirs. The foreign tight reservoir stratum pressure coefficient is high (the stratum pressure coefficient is more than 1.2), the stratum crude oil viscosity is low, the collapse type exploitation of a long horizontal section is basically adopted, although the single well yield is greatly improved, and better economic benefit can be obtained under high oil price, the problems of large decrement and low recovery ratio (5% -8%) exist; compared with the domestic compact oil, the domestic compact oil has the similar characteristics that the physical properties of reservoirs are close, the heterogeneity is strong, natural fractures are relatively developed, the difference is that the formation pressure coefficient is low (between 0.6 and 0.8), according to the Ore field practice of the Ordos basin reservoir, the low-pressure ultra-low-permeability compact reservoir needs to adopt water injection to supplement energy to improve the development effect of the horizontal well, and the accurate evaluation of the effect characteristics and the effect degree of the horizontal well is the basis for further optimization of development technical policies and fracturing modification technological measures.
From literature research, no existing method exists for quantitatively evaluating the effect degree of water injection development of the ultra-low permeability tight reservoir horizontal well. In the past, the analysis of the water injection effect of the ultra-low permeability oil reservoir directional oil production well only stays at the effective and ineffective state, theoretically, the effective effect of the oil well refers to that the formation pressure is continuously transmitted to the oil well along the streamline direction after the water well is opened, and when the formation pressure is transmitted to the oil well along the main streamline with the fastest speed and the shortest path, the oil well starts to take effect and is difficult to apply on site when the formation pressure is influenced by the water injection pressure wave. The method is mainly used for judging according to the change curve of the oil well yield and the water content, generally speaking, the daily oil production rises, the working fluid level keeps stable or rises to form a type I effective well, the daily oil production basically keeps stable, the working fluid level keeps stable or rises to form a type II effective well, the daily oil production falls, and the working fluid level keeps stable or rises to form a type III effective well. The failure of the oil well is mainly judged according to the characteristics of the curve form, and the evaluation on the failure degree of the directional oil production well is only qualitatively described whether the failure is good or not according to the curve form.
Compared with the effectiveness judgment of the water injection development of the directional oil production well, the effectiveness characteristic and the effectiveness degree judgment of the water injection development of the horizontal well have the following difficulties: the method is different from water drive between a water injection well and a single artificial fracture in directional well water injection development, two mechanisms of water drive between the water injection well and a plurality of artificial fractures and dissolved gas drive between the artificial fractures exist in horizontal well water injection development, the water drive is used for improving the yield of the horizontal well artificial fractures influenced by the water drive, the dissolved gas drive is in a state of continuous reduction due to reduction of formation pressure in the development process, and meanwhile, because the scale of horizontal well transformation is large, the amount of liquid which is not returned to the place where the artificial fracturing enters has certain influence on the yield change characteristic of the horizontal well; and secondly, the horizontal sections of injection and production well nets of different horizontal wells have large length difference, the horizontal wells are influenced by oil layer distribution conditions, landforms and landforms in the implementation process, the water injection effect degrees of the different horizontal wells are difficult to compare, and the directional oil production well does not have the problem. And thirdly, compared with a natural energy development well of the horizontal well, the horizontal well developed by water injection is mainly influenced by the energy supplement of the volume fracturing land liquid and the dissolved gas flooding around the artificial fracture due to the fact that the mechanism of energy supplement is similar to that of the horizontal well developed by natural energy before the water injection takes effect, and generally, the characteristic difference of the yield change curves of the two single wells is small. The above difficulties cause that the conventional effectiveness judgment standard based on the yield curve morphological characteristics of the directional oil production well is difficult to be popularized to the analysis of effectiveness and effectiveness degree of the horizontal well.
Disclosure of Invention
The invention aims to solve the problems of effectiveness and effectiveness degree analysis of the horizontal well, introduce two parameters of unit-length accumulated oil production and unit-length daily oil production of the horizontal well, provide a method for comprehensively applying an increasing method of unit-length accumulated oil production and unit-length daily oil production to quantitatively evaluate the effectiveness degree of water injection energy supplementation of different horizontal wells by taking the unit-length accumulated oil production and unit-length daily oil production of the horizontal well developed by natural energy of the same reservoir as a lower limit and the unit-length accumulated oil production and daily oil production of the horizontal well developed by water injection as an upper limit, thereby providing an important basis for development technical policy optimization.
Therefore, the invention provides a quantitative evaluation method for the effectiveness degree of water injection development of an ultra-low permeability tight reservoir horizontal well, which is characterized by comprising the following steps of:
the method comprises the following steps: selecting a block, and counting single-well accumulated oil Q and single-well daily oil Q of the water injection development horizontal well at different time nodes;
step two: calculating the unit length cumulative oil Q 'and the unit length daily oil Q' of the water injection development horizontal well at different time nodes according to the statistical result of the step one;
step three: respectively determining the cumulative oil Q 'in unit length and the daily oil Q' in unit length when other energy is not supplemented to the same horizontal well as the lower cumulative oil limit Q 'for quantitative evaluation of horizontal well effectiveness degree'Lower limit ofAnd quantitative evaluation of daily oil production lower limit q 'of horizontal well effect degree'Lower limit of
Step four: respectively determining the cumulative oil production per unit length Q 'and the daily oil production per unit length Q' of the horizontal well with the best water injection effect as the upper limit Q 'of the cumulative oil production for quantitatively evaluating the effect degree of the horizontal well'Upper limit ofAnd quantitative evaluation of daily oil production upper limit q 'of horizontal well effect degree'Upper limit of
Step five: according to the unit length accumulative oil Q 'and the unit length daily oil Q' of the horizontal well developed by injecting water under different time nodes obtained in the steps, quantitatively evaluating the lower limit Q 'of the accumulative oil according to the effect degree of the horizontal well'Lower limit ofQuantitative evaluation daily oil production lower limit q 'of horizontal well effect degree'Lower limit ofQuantitative evaluation of cumulative oil production upper limit Q 'of horizontal well effect degree'Upper limit ofAnd quantitative evaluation of daily oil production upper limit q 'of horizontal well effect degree'Upper limit ofAnd calculating to obtain the effective degree ED of the horizontal well water injection development under any time node.
And in the second step, the unit length cumulative oil Q 'and the unit length daily oil Q' of the horizontal well developed by water injection under different time nodes are obtained by the following formulas:
taking the unit length as 100m, then:
Figure BDA0001173959140000041
Figure BDA0001173959140000042
q is accumulated oil of a single horizontal well under different time nodes, and t;
q' is the accumulated oil of unit length of the horizontal well under different time nodes, and t/hectometer is obtained;
q is daily oil production of a single well of the horizontal well at different time nodes, and t/d;
q' is the daily oil production per unit length of the horizontal well under different time nodes, (t/d)/hectometer;
and L is the length of the horizontal section of the horizontal well.
Quantitative evaluation of lower limit Q 'of cumulative oil production for desired effect degree of horizontal well in three steps'Lower limit ofAnd the daily oil production of the quantitative evaluation of the effectiveness degree of the horizontal wellQ 'limit'Lower limit ofThe specific process is determined according to the production practice of the mine site as follows:
screening natural energy to normally develop horizontal well
If natural energy is developed for the daily oil production q in the initial stage of a single section (3 months before production) of the horizontal wellSingle stage initial stageIf the time is more than 0.5t, the horizontal well is considered to be a normally developed horizontal well;
Figure BDA0001173959140000043
Figure BDA0001173959140000044
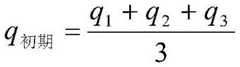
wherein q isInitial stageProducing oil for a single well at the initial stage of the horizontal well every day, t/d;
q1producing oil for the first month of the single well daily, t/d;
q2producing oil for a single well of the horizontal well in the second month in a daily manner, t/d;
q3producing oil for a single well of the horizontal well in the third month in a daily manner, t/d;
qsingle stage initial stageThe method is characterized in that the method is a single-section initial daily oil production (t/d)/section of a horizontal well;
STA is the number of the fracturing modification sections of the horizontal well;
secondly, developing a horizontal well according to the screened natural energy, and considering that the heterogeneity of oil layer distribution and the fracturing modification parameters of the horizontal well cannot be completely consistent, the yield lower limit calculation method for quantitative evaluation of the effect degree of the horizontal well comprises the following steps:
Figure BDA0001173959140000051
Figure BDA0001173959140000052
wherein, Q'Lower limit ofQuantitatively evaluating the lower limit of the accumulative produced oil for the effectiveness degree of the horizontal well, wherein t/hectometer is used;
Figure BDA0001173959140000053
normally developing the arithmetic mean value of the oil produced by a single well of the horizontal well for natural energy, t;
Figure BDA0001173959140000054
normally developing the length arithmetic average value m of the horizontal section of the horizontal well for natural energy;
q'lower limit ofQuantitatively evaluating the daily oil production lower limit (t/d)/hectometer for the effectiveness degree of the horizontal well;
Figure BDA0001173959140000055
normally developing the daily oil production arithmetic mean value, t/d, of a single well of the horizontal well for natural energy;
quantitative evaluation of lower limit Q 'of cumulative oil production for desired effect degree of horizontal well in three steps'Lower limit ofAnd quantitative evaluation of daily oil production lower limit q 'of horizontal well effect degree'Lower limit ofThe method is determined according to the numerical simulation result, and comprises the following specific processes:
by establishing a geological model of a selected block, according to natural energy development well pattern parameters and fracturing transformation parameters of a development test, calculating the unit length of the horizontal well for developing the natural energy by different time nodes through a reservoir numerical simulation theory to accumulate produced oil Q'Lower limit ofAnd daily oil of unit length q'Lower limit ofAnd the lower limit of the yield is used for quantitative evaluation of the effectiveness degree of the horizontal well.
Quantitative evaluation of cumulative oil production upper limit Q 'of effectiveness degree of horizontal well in four steps'Upper limit ofAnd quantitative evaluation of daily oil production upper limit q 'of horizontal well effect degree'Upper limit ofThe specific process is determined according to the production practice of the mine site as follows:
firstly, screening the water injection development horizontal well with best effect
The horizontal well with the best effect is screened according to the following five standards: firstly, the injection and production well pattern is complete; second, the oil q produced in single-stage initial stage of the horizontal wellSingle stage initial stageGreater than 1.5 t/d; thirdly, the production time is longer than the effective time of water injection, and the cumulative oil production Q 'in unit length and the daily oil production Q' in unit length are larger than the quantitative effective degree of the horizontal wellLower yield limit of evaluation; fourthly, the daily oil production q of the single well is kept stable or is reduced to the minimum year by year; fifthly, the unit length accumulative oil production and the unit length daily oil production in the horizontal well for water injection development reach the maximum;
secondly, selecting a water injection development horizontal well with the best effect according to the standard of the first step, taking the unit length accumulated oil Q ' and the unit length daily oil Q ' under each time node of the well as the yield upper limit of quantitative evaluation of the effect degree of the horizontal well, and respectively using the symbol Q 'Upper limit ofAnd q'Upper limit ofExpressed in units of t/hectometer and (t/d)/hectometer, respectively.
Quantitative evaluation of cumulative oil production upper limit Q 'of effectiveness degree of horizontal well in four steps'Upper limit ofAnd quantitative evaluation of daily oil production upper limit q 'of horizontal well effect degree'Upper limit ofThe method is determined according to the numerical simulation result, and comprises the following specific processes:
and (4) on the basis of the geological model of the selected block in the third step, obtaining the unit length cumulative oil Q 'and the unit length daily oil Q' of the horizontal well at different time nodes in a manner of calculating by using an oil reservoir numerical simulation theory according to the injection-production well pattern parameters, the water injection technical policy and the fracturing modification parameters of the horizontal well for water injection development, and taking the obtained unit length cumulative oil Q 'and the unit length daily oil Q' as the yield upper limit of the quantitative evaluation of the effectiveness degree of the horizontal well.
And fifthly, calculating the effectiveness degree ED of the horizontal well water injection development at any time node in the step five by the following calculation:
Figure BDA0001173959140000061
q' is the accumulated oil per unit length of the horizontal well at different time nodes, and is t/hectometer;
q' is the daily oil production per unit length of the horizontal well under different time nodes, (t/d)/hectometer;
Q'lower limit ofQuantitatively evaluating the lower limit of the accumulative produced oil for the effectiveness degree of the horizontal well, wherein t/hectometer is used;
q'lower limit ofQuantitatively evaluating the daily oil production lower limit (t/d)/hectometer for the effectiveness degree of the horizontal well;
Q'upper limit ofQuantitatively evaluating the upper limit of the accumulative produced oil for the effectiveness degree of the horizontal well, wherein t/hectometer is used;
q'upper limit ofThe method is used for quantitatively evaluating the daily oil production upper limit (t/d)/hectometer of the effect degree of the horizontal well.
The invention has the beneficial effects that: the method solves the problem that the conventional effectiveness judgment standard based on the morphological characteristics of the yield curve of the directional oil production well is difficult to popularize to the analysis of effectiveness and effectiveness degree of the horizontal well, introduces two parameters of cumulative oil production per unit length and daily oil production per unit length of the horizontal well, provides a method for developing the cumulative oil production per unit length and daily oil production per unit length of the horizontal well by using natural energy of the same reservoir as the lower limit, and comprehensively applies the increasing methods of the cumulative oil production per unit length and daily oil production per unit length of the horizontal well for water injection development as the upper limit, so as to realize quantitative evaluation of the effectiveness degree of water injection energy supplement of different horizontal wells, thereby providing an important basis for optimization of development technical policies.
Drawings
The present invention will be described in further detail below with reference to the accompanying drawings.
Fig. 1 is a QP13 well map.
Fig. 2 is a QP13 well production curve.
FIG. 3 is a graph of cumulative oil production per unit length versus time node.
FIG. 4 is a graph of daily oil production per unit length versus time node.
Detailed Description
Example 1:
the embodiment provides a quantitative evaluation method for water injection development effectiveness of an ultra-low permeability tight reservoir horizontal well, which is characterized by comprising the following steps of:
the method comprises the following steps: selecting a block, and counting single-well accumulated oil Q and single-well daily oil Q of the water injection development horizontal well at different time nodes;
step two: calculating the unit length cumulative oil Q 'and the unit length daily oil Q' of the water injection development horizontal well at different time nodes according to the statistical result of the step one;
step three: respectively determining the cumulative oil Q 'per unit length and the daily oil Q' per unit length when the same horizontal well is not supplemented with other energy as the quantitative evaluation of the effectiveness degree of the horizontal wellLower limit Q 'of oil production due to price accumulation'Lower limit ofAnd quantitative evaluation of daily oil production lower limit q 'of horizontal well effect degree'Lower limit of
Step four: respectively determining the cumulative oil production per unit length Q 'and the daily oil production per unit length Q' of the horizontal well with the best water injection effect as the upper limit Q 'of the cumulative oil production for quantitatively evaluating the effect degree of the horizontal well'Upper limit ofAnd quantitative evaluation of daily oil production upper limit q 'of horizontal well effect degree'Upper limit of
Step five: according to the unit length accumulative oil Q 'and the unit length daily oil Q' of the horizontal well developed by injecting water under different time nodes obtained in the steps, quantitatively evaluating the lower limit Q 'of the accumulative oil according to the effect degree of the horizontal well'Lower limit ofQuantitative evaluation daily oil production lower limit q 'of horizontal well effect degree'Lower limit ofQuantitative evaluation of cumulative oil production upper limit Q 'of horizontal well effect degree'Upper limit ofAnd quantitative evaluation of daily oil production upper limit q 'of horizontal well effect degree'Upper limit ofAnd calculating to obtain the effective degree ED of the horizontal well water injection development under any time node.
Example 2:
in this embodiment, each step in example 1 is described in detail, and the cumulative oil Q 'per unit length and daily oil Q' per unit length of the horizontal well developed by water injection at different time nodes in step two are obtained by the following formulas:
the general recommended unit length is 100m, then:
Figure BDA0001173959140000081
Figure BDA0001173959140000082
q is accumulated oil of a single horizontal well under different time nodes, and t;
q' is the accumulated oil of unit length of the horizontal well under different time nodes, and t/hectometer is obtained;
q is daily oil production of a single well of the horizontal well at different time nodes, and t/d;
q' is the daily oil production per unit length of the horizontal well under different time nodes, (t/d)/hectometer;
and L is the length of the horizontal section of the horizontal well.
Step three, quantitatively evaluating lower limit Q 'of accumulative oil for determining effect degree of horizontal well'Lower limit ofAnd quantitative evaluation of daily oil production lower limit q 'of horizontal well effect degree'Lower limit ofThe lower yield limit is defined as unit length cumulative oil production and unit length daily oil production when the horizontal well of the same block does not supplement other energy, namely the unit length cumulative oil production and the unit length daily oil production of the natural energy normal development horizontal well, and the lower yield limit is obtained by two modes:
(1) and determining the lower yield limit of quantitative evaluation of the effect degree of the horizontal well according to the production practice of the mine field, wherein the condition is applied to the condition that the horizontal well for natural energy development is more and the production time is longer than the effect time of water injection in the natural energy development test of the mine field. The judgment standard of the effective time is the time point that the unit length accumulative oil of the horizontal well developed by water injection is stably larger than the unit length accumulative oil of the normal horizontal well developed by natural energy under the same reservoir, the same horizontal section and the same modification scale, and the specific process is as follows:
screening natural energy to normally develop horizontal well
If natural energy is developed for the daily oil production q in the initial stage of a single section (3 months before production) of the horizontal wellSingle stage initial stageIf the time is more than 0.5t, the horizontal well is considered to be a normally developed horizontal well;
Figure BDA0001173959140000091
Figure BDA0001173959140000092
wherein q isInitial stageProducing oil for a single well at the initial stage of the horizontal well every day, t/d;
q1producing oil for the first month of the single well daily, t/d;
q2producing oil for a single well of the horizontal well in the second month in a daily manner, t/d;
q3producing oil for a single well of the horizontal well in the third month in a daily manner, t/d;
qsingle stage initial stageFor horizontal wellsSingle-stage initial daily oil production, (t/d)/stage;
STA is the number of the fracturing modification sections of the horizontal well;
secondly, developing a horizontal well according to the screened natural energy, and considering that the heterogeneity of oil layer distribution and the fracturing modification parameters of the horizontal well cannot be completely consistent, the yield lower limit calculation method for quantitative evaluation of the effect degree of the horizontal well comprises the following steps:
Figure BDA0001173959140000093
Figure BDA0001173959140000101
wherein, Q'Lower limit ofQuantitatively evaluating the lower limit of the accumulative produced oil for the effectiveness degree of the horizontal well, wherein t/hectometer is used;
Figure BDA0001173959140000102
normally developing the arithmetic mean value of the oil produced by a single well of the horizontal well for natural energy, t;
Figure BDA0001173959140000103
normally developing the length arithmetic average value m of the horizontal section of the horizontal well for natural energy;
q'lower limit ofQuantitatively evaluating the daily oil production lower limit (t/d)/hectometer for the effectiveness degree of the horizontal well;
normally developing the daily oil production arithmetic mean value, t/d, of a single well of the horizontal well for natural energy;
(2) determining the lower yield limit of quantitative evaluation of the effectiveness degree of the horizontal well according to the numerical simulation result, wherein the lower yield limit is applied to the condition that natural energy development test wells in a mine field are few, or the production time is less than the effectiveness time of water injection or no natural energy is developed to normally develop the horizontal well, and the specific process is as follows:
by creating a geological model of selected blocksAccording to natural energy development well pattern parameters and fracturing transformation parameters of development tests, the oil reservoir numerical simulation theory is applied to calculate the natural energy development horizontal well unit length accumulative produced oil Q 'at different time nodes'Lower limit ofAnd daily oil of unit length q'Lower limit ofAnd the lower limit of the yield is used for quantitative evaluation of the effectiveness degree of the horizontal well.
Step four, quantitatively evaluating the upper limit Q 'of cumulative oil production for determining the effect degree of the horizontal well'Upper limit ofAnd quantitative evaluation of daily oil production upper limit q 'of horizontal well effect degree'Upper limit ofThe upper yield limit is defined as the cumulative oil production per unit length Q 'and daily oil production per unit length Q' of the horizontal well with the best water injection effect, and the production can be obtained in two ways:
(1) determining the yield upper limit of quantitative evaluation of the effect degree of the horizontal well according to the production practice of the mine field, wherein the condition is applied to a block with more horizontal wells and more production time than water injection effect time in water injection development of the mine field, and the specific process comprises the following steps:
firstly, screening the water injection development horizontal well with best effect
The horizontal well with the best effect is screened according to the following five standards: firstly, the injection and production well pattern is complete; second, the oil q produced in single-stage initial stage of the horizontal wellSingle stage initial stageGreater than 1.5 t/d; thirdly, the production time is longer than the water injection effective time, and the cumulative oil Q 'produced in unit length and the daily oil Q' produced in unit length are longer than the lower yield limit of quantitative evaluation of the effective degree of the horizontal well; fourthly, the daily oil production q of the single well is kept stable or is reduced to the minimum year by year; fifthly, the unit length accumulative oil production and the unit length daily oil production in the horizontal well for water injection development reach the maximum;
secondly, selecting a water injection development horizontal well with the best effect according to the standard of the first step, taking the unit length accumulated oil Q ' and the unit length daily oil Q ' under each time node of the well as the yield upper limit of quantitative evaluation of the effect degree of the horizontal well, and respectively using the symbol Q 'Upper limit ofAnd q'Upper limit ofExpressed in units of t/hectometer and (t/d)/hectometer, respectively.
(2) Determining the yield upper limit of quantitative evaluation of the effectiveness degree of the horizontal well according to the numerical simulation result, wherein the condition is applied to the condition that the development test wells of the mine field are few, the production time is short or the horizontal well with the best development effect does not exist, and the specific process comprises the following steps:
and (4) on the basis of the geological model of the selected block in the third step, obtaining the unit length cumulative oil Q 'and the unit length daily oil Q' of the horizontal well at different time nodes in a manner of calculating by using an oil reservoir numerical simulation theory according to the injection-production well pattern parameters, the water injection technical policy and the fracturing modification parameters of the horizontal well for water injection development, and taking the obtained unit length cumulative oil Q 'and the unit length daily oil Q' as the yield upper limit of the quantitative evaluation of the effectiveness degree of the horizontal well.
And fifthly, selecting any time node with the effect time larger than the block, and calculating the water injection development effect degree of the horizontal well at any time node according to the following formula.
Figure BDA0001173959140000111
Q' is the accumulated oil per unit length of the horizontal well at different time nodes, and is t/hectometer;
q' is the daily oil production per unit length of the horizontal well under different time nodes, (t/d)/hectometer;
Q'lower limit ofQuantitatively evaluating the lower limit of the accumulative produced oil for the effectiveness degree of the horizontal well, wherein t/hectometer is used;
q'lower limit ofQuantitatively evaluating the daily oil production lower limit (t/d)/hectometer for the effectiveness degree of the horizontal well;
Q'upper limit ofQuantitatively evaluating the upper limit of the accumulative produced oil for the effectiveness degree of the horizontal well, wherein t/hectometer is used;
q'upper limit ofThe method is used for quantitatively evaluating the daily oil production upper limit (t/d)/hectometer of the effect degree of the horizontal well.
Example 3:
this example describes the present invention in detail with reference to specific implementation data.
83 horizontal wells are arranged in 6 blocks of oil reservoirs in Huaqing, the operation time of the oil reservoirs is more than 36 months, 8 natural energy horizontal wells and 75 water injection development horizontal wells are arranged, and the operation number of the horizontal wells is more, so that a method of mine field practice is adopted when the upper limit and the lower limit of the effectiveness degree of water injection development are calculated. For a more clear example, 4 water flooding development horizontal wells are arbitrarily selected to evaluate the effectiveness of water flooding development.
The method comprises the following steps: and taking months as time nodes, counting the single-well accumulative oil Q and the single-well daily oil Q of 4 water injection development horizontal wells in 6 different months of Chongqing, and showing in table 1 below.
TABLE 1
Step two: and (3) calculating the cumulative oil Q 'per unit length and the daily oil Q' per unit length of the horizontal well developed by water injection at different time nodes according to the statistical result in the step one, and showing in a table 2 below.
TABLE 2
Figure BDA0001173959140000141
Step three: and determining the lower yield limit of the quantitative evaluation of the effectiveness degree of the horizontal well according to the mine field practice.
Screening natural energy to normally develop a horizontal well.
Calculating the daily oil yield q of the single-section initial stage of the 8-port natural energy horizontal wellSingle stage initial stageThe results are shown in Table 3.
Figure BDA0001173959140000142
Figure BDA0001173959140000151
TABLE 3 Natural energy exploitation horizontal well single-stage initial-stage daily oil production
Figure BDA0001173959140000152
It can be seen that the single-section initial-stage daily oil production q of the 8-mouth natural energy horizontal wellSingle stage initial stageAre all larger than 0.5t/d, so the 8 horizontal wells are selected as the natural energy normal development horizontal wells.
And secondly, calculating the oil Q produced by the single well in different months of the 8 horizontal wells and the oil Q produced by the single well in different days, and referring to the attached table 3.
And (3) calculating the lower yield limit of quantitative evaluation of the effectiveness degree of the horizontal well, wherein the calculation result is shown in the following table 4:
Figure BDA0001173959140000153
Figure BDA0001173959140000155
TABLE 4
Step four: and determining the yield upper limit of the quantitative evaluation of the effectiveness degree of the horizontal well according to the mine field practice.
Firstly, screening the water injection development horizontal well with the best effect.
The QP13 well is a five-point water injection development horizontal well, 4 water injection wells are arranged around the horizontal well, and the injection and production well pattern is complete (see figure 1); QP13 initial daily oil yield is 9.41t/d, the number of the reconstruction sections is 6, and the single section initial daily oil yield is 1.56 t/d; since the well is put into production in 5 months in 2011, the well is put into production for 62 months at present, the putting time is far longer than the water injection effective time of Chongqing 6, and the accumulated oil Q ' per unit length is greater than the lower yield limit Q ' of quantitative evaluation of the effective degree of the horizontal well 'Lower limit of(ii) a QP13 shows that daily oil production per well remains stable or decreases progressively over the year (see fig. 2); as can be seen from fig. 3, the cumulative oil production per unit length of QP13 and the daily oil production per unit length are both greater than those of other water-flooding development horizontal wells at the same time node. According to the reasons, the Qingping 13 wells are selected as the yield upper limit of the quantitative evaluation of the effectiveness degree of the horizontal well.
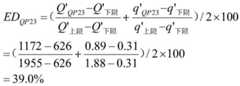
Step five: and calculating the water injection effect degree of the horizontal well produced in the 3 rd year of the water injection development of the 6 th year in Huaqingchang.
The lower limit of yield of quantitative evaluation of the effect degree of the horizontal well of the block 6 in Huaqingchang in 36 th month (3 years): accumulated produced oil Q 'per unit length'Lower limit of626 t/hectometer and daily oil production lower limit q 'per unit length'Lower limit of0.31 (t/d)/hectometer; yield upper limit of quantitative evaluation of effectiveness degree of the horizontal well: accumulated produced oil Q 'per unit length'Upper limit of1955 t/hectometer and daily oil production lower limit q 'per unit length'Upper limit of1.88 (t/d)/hectometer;
the effect degree of each well is as follows:
Figure BDA0001173959140000171
Figure BDA0001173959140000172
the invention realizes quantitative evaluation of the effectiveness degree of water injection supplementary energy of different horizontal wells, and analyzes the successful practice of the horizontal well with good effectiveness in well pattern parameters, water injection technical policies and oil production well working systems according to the calculation result of the effectiveness degree of the horizontal well, thereby providing an important basis for optimizing development technical policies.
The above examples are merely illustrative of the present invention and should not be construed as limiting the scope of the invention, which is intended to be covered by the claims and any design similar or equivalent to the scope of the invention.

Claims (6)

1. A quantitative evaluation method for water injection development effectiveness of an ultra-low permeability tight reservoir horizontal well is characterized by comprising the following steps:
the method comprises the following steps: selecting a block, and counting single-well accumulated oil Q and single-well daily oil Q of the water injection development horizontal well at different time nodes;
step two: calculating the unit length cumulative oil Q 'and the unit length daily oil Q' of the water injection development horizontal well at different time nodes according to the statistical result of the step one;
step three: respectively determining the unit length accumulated oil Q 'and the unit length daily oil Q' of the same horizontal well without supplementing other energy as the effective interval of the horizontal wellQuantitative evaluation of lower limit Q 'of cumulative oil production'Lower limit ofAnd quantitative evaluation of daily oil production lower limit q 'of horizontal well effect degree'Lower limit of
Step four: respectively determining the cumulative oil production per unit length Q 'and the daily oil production per unit length Q' of the horizontal well with the best water injection effect as the upper limit Q 'of the cumulative oil production for quantitatively evaluating the effect degree of the horizontal well'Upper limit ofAnd quantitative evaluation of daily oil production upper limit q 'of horizontal well effect degree'Upper limit of
Step five: according to the unit length accumulative oil Q 'and the unit length daily oil Q' of the horizontal well developed by injecting water under different time nodes obtained in the steps, quantitatively evaluating the lower limit Q 'of the accumulative oil according to the effect degree of the horizontal well'Lower limit ofQuantitative evaluation daily oil production lower limit q 'of horizontal well effect degree'Lower limit ofQuantitative evaluation of cumulative oil production upper limit Q 'of horizontal well effect degree'Upper limit ofAnd quantitative evaluation of daily oil production upper limit q 'of horizontal well effect degree'Upper limit ofCalculating to obtain the effective degree ED of water injection development of the horizontal well at any time node;
and fifthly, calculating the effectiveness degree ED of the horizontal well water injection development at any time node in the step five by the following calculation:
q' is the accumulated oil per unit length of the horizontal well at different time nodes, and is t/hectometer;
q' is the daily oil production per unit length of the horizontal well under different time nodes, (t/d)/hectometer;
Q'lower limit ofQuantitatively evaluating the lower limit of the accumulative produced oil for the effectiveness degree of the horizontal well, wherein t/hectometer is used;
q'lower limit ofQuantitatively evaluating the daily oil production lower limit (t/d)/hectometer for the effectiveness degree of the horizontal well;
Q'upper limit ofQuantitatively evaluating the upper limit of the accumulative produced oil for the effectiveness degree of the horizontal well, wherein t/hectometer is used;
q'upper limit ofThe method is used for quantitatively evaluating the daily oil production upper limit (t/d)/hectometer of the effect degree of the horizontal well.
2. The method for quantitatively evaluating the water injection development effectiveness degree of the ultra-low permeability tight reservoir horizontal well according to claim 1, is characterized by comprising the following steps of: and in the second step, the unit length cumulative oil Q 'and the unit length daily oil Q' of the horizontal well developed by water injection under different time nodes are obtained by the following formulas:
taking the unit length as 100m, then:
Figure FDA0002238574020000022
Figure FDA0002238574020000023
q is accumulated oil of a single horizontal well under different time nodes, and t;
q' is the accumulated oil of unit length of the horizontal well under different time nodes, and t/hectometer is obtained;
q is daily oil production of a single well of the horizontal well at different time nodes, and t/d;
q' is the daily oil production per unit length of the horizontal well under different time nodes, (t/d)/hectometer;
and L is the length of the horizontal section of the horizontal well.
3. The method for quantitatively evaluating the water injection development effectiveness degree of the ultra-low permeability tight reservoir horizontal well according to claim 1, is characterized by comprising the following steps of: quantitative evaluation of lower limit Q 'of cumulative oil production for desired effect degree of horizontal well in three steps'Lower limit ofAnd quantitative evaluation of daily oil production lower limit q 'of horizontal well effect degree'Lower limit ofThe specific process is determined according to the production practice of the mine site as follows:
screening natural energy to normally develop horizontal well
If natural energy is developed into the daily oil q in the single-section initial stage of the horizontal wellSingle stage initial stageIf the time is more than 0.5t, the horizontal well is considered to be a normally developed horizontal well;
Figure FDA0002238574020000031
Figure FDA0002238574020000032
wherein q isInitial stageProducing oil for a single well at the initial stage of the horizontal well every day, t/d;
q1producing oil for the first month of the single well daily, t/d;
q2producing oil for a single well of the horizontal well in the second month in a daily manner, t/d;
q3producing oil for a single well of the horizontal well in the third month in a daily manner, t/d;
qsingle stage initial stageProducing oil for the first 3 months and days of single-section production of the horizontal well, (t/d)/section;
STA is the number of the fracturing modification sections of the horizontal well;
secondly, developing a horizontal well according to the screened natural energy, and considering that the heterogeneity of oil layer distribution and the fracturing modification parameters of the horizontal well cannot be completely consistent, the yield lower limit calculation method for quantitative evaluation of the effect degree of the horizontal well comprises the following steps:
Figure FDA0002238574020000033
Figure FDA0002238574020000041
wherein, Q'Lower limit ofQuantitatively evaluating the lower limit of the accumulative produced oil for the effectiveness degree of the horizontal well, wherein t/hectometer is used;
Figure FDA0002238574020000042
normally developing the arithmetic mean value of the oil produced by a single well of the horizontal well for natural energy, t;
normally developing the length arithmetic average value m of the horizontal section of the horizontal well for natural energy;
q'lower limit ofUnder the condition of daily oil production for quantitatively evaluating effect degree of horizontal wellLimit, (t/d)/hectometer;
and (4) normally developing the daily oil production arithmetic average value, t/d, of the single well of the horizontal well for natural energy.
4. The method for quantitatively evaluating the water injection development effectiveness degree of the ultra-low permeability tight reservoir horizontal well according to claim 1, is characterized by comprising the following steps of: quantitative evaluation of lower limit Q 'of cumulative oil production for desired effect degree of horizontal well in three steps'Lower limit ofAnd quantitative evaluation of daily oil production lower limit q 'of horizontal well effect degree'Lower limit ofThe method is determined according to the numerical simulation result, and comprises the following specific processes:
by establishing a geological model of a selected block, according to natural energy development well pattern parameters and fracturing transformation parameters of a development test, the oil deposit numerical simulation theory is applied to calculate the unit length cumulative oil Q 'and the unit length daily oil Q' of a natural energy development horizontal well at different time nodes, and the cumulative oil Q 'and the unit length daily oil Q' are used as the lower yield limit of quantitative evaluation of the effectiveness degree of the horizontal well.
5. The method for quantitatively evaluating the water injection development effectiveness degree of the ultra-low permeability tight reservoir horizontal well according to claim 1, is characterized by comprising the following steps of: quantitative evaluation of cumulative oil production upper limit Q 'of effectiveness degree of horizontal well in four steps'Upper limit ofAnd quantitative evaluation of daily oil production upper limit q 'of horizontal well effect degree'Upper limit ofThe specific process is determined according to the production practice of the mine site as follows:
firstly, screening the water injection development horizontal well with best effect
The horizontal well with the best effect is screened according to the following five standards: firstly, the injection and production well pattern is complete; second, the oil q produced in single-stage initial stage of the horizontal wellSingle stage initial stageGreater than 1.5 t/d; thirdly, the production time is longer than the water injection effective time, and the cumulative oil Q 'produced in unit length and the daily oil Q' produced in unit length are longer than the lower yield limit of quantitative evaluation of the effective degree of the horizontal well; fourthly, the daily oil production q of the single well is kept stable or is reduced to the minimum year by year; fifthly, the unit length accumulative oil production and the unit length daily oil production in the horizontal well for water injection development reach the maximum;
secondly, selecting a water injection development horizontal well with the best effect according to the standard of the first step, taking the unit length accumulated oil Q ' and the unit length daily oil Q ' under each time node of the well as the yield upper limit of quantitative evaluation of the effect degree of the horizontal well, and respectively using the symbol Q 'Upper limit ofAnd q'Upper limit ofExpressed in units of t/hectometer and (t/d)/hectometer, respectively.
6. The method for quantitatively evaluating the water injection development effectiveness degree of the ultra-low permeability tight reservoir horizontal well according to claim 4 is characterized by comprising the following steps of: quantitative evaluation of cumulative oil production upper limit Q 'of effectiveness degree of horizontal well in four steps'Upper limit ofAnd quantitative evaluation of daily oil production upper limit q 'of horizontal well effect degree'Upper limit ofThe method is determined according to the numerical simulation result, and comprises the following specific processes:
and (4) on the basis of the geological model of the selected block in the third step, obtaining the unit length cumulative oil Q 'and the unit length daily oil Q' of the horizontal well at different time nodes in a manner of calculating by using an oil reservoir numerical simulation theory according to the injection-production well pattern parameters, the water injection technical policy and the fracturing modification parameters of the horizontal well for water injection development, and taking the obtained unit length cumulative oil Q 'and the unit length daily oil Q' as the yield upper limit of the quantitative evaluation of the effectiveness degree of the horizontal well.
CN201611119101.6A2016-12-082016-12-08Quantitative evaluation method for water injection development effectiveness degree of ultra-low permeability tight reservoir horizontal wellActiveCN106651158B (en)

Priority Applications (1)

Application NumberPriority DateFiling DateTitle
CN201611119101.6ACN106651158B (en)2016-12-082016-12-08Quantitative evaluation method for water injection development effectiveness degree of ultra-low permeability tight reservoir horizontal well

Applications Claiming Priority (1)

Application NumberPriority DateFiling DateTitle
CN201611119101.6ACN106651158B (en)2016-12-082016-12-08Quantitative evaluation method for water injection development effectiveness degree of ultra-low permeability tight reservoir horizontal well

Publications (2)

Publication NumberPublication Date
CN106651158A CN106651158A (en)2017-05-10
CN106651158Btrue CN106651158B (en)2020-01-03

Family

ID=58820032

Family Applications (1)

Application NumberTitlePriority DateFiling Date
CN201611119101.6AActiveCN106651158B (en)2016-12-082016-12-08Quantitative evaluation method for water injection development effectiveness degree of ultra-low permeability tight reservoir horizontal well

Country Status (1)

CountryLink
CN (1)CN106651158B (en)

Families Citing this family (5)

* Cited by examiner, † Cited by third party
Publication numberPriority datePublication dateAssigneeTitle
CN107130960B (en)*2017-06-262020-08-18中海石油(中国)有限公司Numerical simulation method considering nonlinear seepage characteristics of tight sandstone reservoir
CN107644289B (en)*2017-09-052021-01-01中国石油天然气股份有限公司Method, device and system for determining oil well effect state
CN109711595A (en)*2018-09-202019-05-03西安石油大学 A method for evaluating the effect of hydraulic fracturing on production based on machine learning
CN110469299B (en)*2019-08-092021-07-30中国石油天然气股份有限公司Evaluation method for effectiveness of water injection development of oil production well
CN112270080A (en)*2020-10-222021-01-26延长油田股份有限公司Method for determining reasonable injection-production ratio of ultra-low permeability reservoir

Citations (5)

* Cited by examiner, † Cited by third party
Publication numberPriority datePublication dateAssigneeTitle
US5826656A (en)*1996-05-031998-10-27Atlantic Richfield CompanyMethod for recovering waterflood residual oil
RU2485290C1 (en)*2011-12-292013-06-20Открытое акционерное общество "Татнефть" имени В.Д. ШашинаDevelopment method by horizontal well of formation with zones of various permeability
CN104408541A (en)*2014-10-212015-03-11中国石油天然气股份有限公司Method for evaluating uniform steam injection effect of steam huff and puff horizontal well
CN104951636A (en)*2014-03-242015-09-30中国石油化工股份有限公司Non-linear relationship characterizing method for A-type water-drive curve of extra-high water-cut period
CN105134144A (en)*2015-09-102015-12-09中国石油化工股份有限公司Single-well nitrogen injection effect evaluating method for fractured-vuggy carbonate reservoir

Patent Citations (5)

* Cited by examiner, † Cited by third party
Publication numberPriority datePublication dateAssigneeTitle
US5826656A (en)*1996-05-031998-10-27Atlantic Richfield CompanyMethod for recovering waterflood residual oil
RU2485290C1 (en)*2011-12-292013-06-20Открытое акционерное общество "Татнефть" имени В.Д. ШашинаDevelopment method by horizontal well of formation with zones of various permeability
CN104951636A (en)*2014-03-242015-09-30中国石油化工股份有限公司Non-linear relationship characterizing method for A-type water-drive curve of extra-high water-cut period
CN104408541A (en)*2014-10-212015-03-11中国石油天然气股份有限公司Method for evaluating uniform steam injection effect of steam huff and puff horizontal well
CN105134144A (en)*2015-09-102015-12-09中国石油化工股份有限公司Single-well nitrogen injection effect evaluating method for fractured-vuggy carbonate reservoir

Non-Patent Citations (1)

* Cited by examiner, † Cited by third party
Title
"L1区水平井开发效果影响因素分析";薛婷;《石油钻采工艺》;20160331;第38卷(第2期);第221-225页*

Also Published As

Publication numberPublication date
CN106651158A (en)2017-05-10

Similar Documents

PublicationPublication DateTitle
CN110334868B (en) A method of coupling fluid flow and geological stress to predict optimal soaking time
CN106651158B (en)Quantitative evaluation method for water injection development effectiveness degree of ultra-low permeability tight reservoir horizontal well
CN110608024B (en)Volume fracturing method for improving filling efficiency of micro-support system by deep shale gas
CN105952432B (en)Quasi-natural energy development staggered well spacing method for ultra-low permeability tight oil reservoir volume fracturing horizontal well
CN107630686B (en)compact oil energy supplementing method for staggered displacement and imbibition displacement between horizontal well sections
CN109958416B (en)Multi-cluster perforation fracturing method for uniformly feeding liquid and sand with variable aperture and variable pore density
CN102865060B (en)Determining method of amount of shale oil deposit hydrofracture propping agent
CN105041277B (en)A kind of method for characterizing fracture-pore reservoir waterflooding behavior effect
CN109577929B (en)Quantitative evaluation method for establishing effective displacement of ultra-low permeability tight reservoir horizontal well
CN106437674A (en)Imitation horizontal well waterflooding well pattern adapting method
CN109751037A (en)A kind of normal pressure shale gas reservoir high frequency change displacement volume fracturing process
CN108661613B (en)Method for increasing injection of water injection development oil reservoir
CN107939357A (en)Improve oilfield development system efficiency method
CN110259421B (en)Fractured compact oil reservoir water injection energy supplementing method
CN105587300B (en)Oil recovery method for horizontal well
CN114183113A (en)Method for simplifying and representing fracturing fracture morphology of shale gas well
Zheng et al.Proppant transport in rough fracture networks using supercritical CO2
CN109522619B (en)Low-permeability oilfield periodic oil extraction method
CN102364041B (en)Oil extraction method for establishing oil permeable water stop sieve by filling fusheng sand in horizontal well fracture
CN114969874B (en)Reasonable well spacing design method under carbon dioxide flooding development mode
CN106845685B (en)Parameter optimization method for reducing horizontal well oil testing fracturing operation cost
CN116066066B (en)Method for screening nitrogen throughput measure well
CN113236219B (en) A coal seam gas fracturing method suitable for multiple sets of high and steep fragmented coal seams
CN114622889B (en)Method for adjusting water injection well pattern of huge-thickness pore type carbonate reservoir with high permeability layer and interlayer channeling
RU2273728C1 (en)Method for further oil field development (variants)

Legal Events

DateCodeTitleDescription
PB01Publication
PB01Publication
SE01Entry into force of request for substantive examination
SE01Entry into force of request for substantive examination
GR01Patent grant
GR01Patent grant

[8]ページ先頭

©2009-2025 Movatter.jp