Movatterモバイル変換


[0]ホーム

URL:


CN106557602B - Spatial distance checking three-dimensional simulation method based on GIS - Google Patents

Spatial distance checking three-dimensional simulation method based on GIS
Download PDF

Info

Publication number
CN106557602B
CN106557602BCN201510639472.6ACN201510639472ACN106557602BCN 106557602 BCN106557602 BCN 106557602BCN 201510639472 ACN201510639472 ACN 201510639472ACN 106557602 BCN106557602 BCN 106557602B
Authority
CN
China
Prior art keywords
point
distance
points
linked list
edge
Prior art date
Legal status (The legal status is an assumption and is not a legal conclusion. Google has not performed a legal analysis and makes no representation as to the accuracy of the status listed.)
Active
Application number
CN201510639472.6A
Other languages
Chinese (zh)
Other versions
CN106557602A (en
Inventor
王宪
王景朝
黄彭
马潇
房正刚
金欢
王轶
Current Assignee (The listed assignees may be inaccurate. Google has not performed a legal analysis and makes no representation or warranty as to the accuracy of the list.)
China Electric Power Research Institute Co Ltd CEPRI
State Grid Tianjin Electric Power Co Ltd
State Grid Corp of China SGCC
Original Assignee
China Electric Power Research Institute Co Ltd CEPRI
State Grid Tianjin Electric Power Co Ltd
State Grid Corp of China SGCC
Priority date (The priority date is an assumption and is not a legal conclusion. Google has not performed a legal analysis and makes no representation as to the accuracy of the date listed.)
Filing date
Publication date
Application filed by China Electric Power Research Institute Co Ltd CEPRI, State Grid Tianjin Electric Power Co Ltd, State Grid Corp of China SGCCfiledCriticalChina Electric Power Research Institute Co Ltd CEPRI
Priority to CN201510639472.6ApriorityCriticalpatent/CN106557602B/en
Publication of CN106557602ApublicationCriticalpatent/CN106557602A/en
Application grantedgrantedCritical
Publication of CN106557602BpublicationCriticalpatent/CN106557602B/en
Activelegal-statusCriticalCurrent
Anticipated expirationlegal-statusCritical

Links

Images

Classifications

Landscapes

Abstract

Translated fromChinese

本发明提供一种基于GIS的空间距离校核三维仿真方法,其包括对散乱点按有向角排序,以排序后的点顺序为基础,利用凸壳特性快速将散乱点联结成三角网,再利用拓扑结构快速将其优化为Delaunay三角网。本发明提共的方法将地面及地物模型信息在GIS场景中数字化,有效改进了距离计算方法。本发明提出的方法充分利用了有序点子集的凸壳特性,避免了所有的交点测试,从而保证了对散乱点集生成Delaunay三角网的效率;能够快速地确定哪些点不可能再次参与构成新的三角形,大大的降低了搜索时间;提高了计算速度;保证了空间距离校核的准确性,进而为输变电技术地理空间的研究分析提供了有效且可靠的研究依据。

Figure 201510639472

The invention provides a three-dimensional simulation method for checking spatial distance based on GIS, which comprises sorting scattered points according to directional angles, taking the sorted point order as the basis, using convex hull characteristics to quickly connect the scattered points into a triangular network, and then Use topology to quickly optimize it into a Delaunay triangulation. The method provided by the present invention digitizes the ground and ground object model information in the GIS scene, and effectively improves the distance calculation method. The method proposed by the invention makes full use of the convex hull characteristics of ordered point subsets, avoids all intersection tests, thereby ensuring the efficiency of generating Delaunay triangulation for scattered point sets; it can quickly determine which points are impossible to participate in the formation of new The triangle can greatly reduce the search time; improve the calculation speed; ensure the accuracy of the spatial distance check, and then provide an effective and reliable research basis for the research and analysis of the power transmission and transformation technology geographic space.

Figure 201510639472

Description

Spatial distance checking three-dimensional simulation method based on GIS
Technical Field
The invention relates to the field of space distance checking simulation, in particular to a space distance checking three-dimensional simulation method based on a GIS.
Background
Geospatial in power transmission and transformation technology is a broad-spectrum existence form of the quantity and behavior of materials, energy and information in the geographic domain. The expressed "fragment view" is discussed in terms of the manner and pattern of distribution of the form, structure, process, relationship, function, and distribution pattern simultaneously over a "temporal" duration (static state in an abstract sense). Geospatial research is one of the fundamental cores of geography. The ground surface conditions are extremely complex and comprise natural ground features and human ground features, and the shapes and the relations of various ground features are different and complex; therefore, the space distance check of the lead is a common standard for checking whether the lead normally operates; and the spatial distance checking refers to checking the distance of the maximum arc of the lead to the ground, buildings, trees, railways, roads, rivers, pipelines, cableways and various overhead lines under the condition that the lead runs at 40 ℃ or is covered with ice and no wind. Therefore, the digitization of the ground and ground object model information is the basis of the spatial distance check.
The current space distance check simulation generally uses a grid data model for simulation, and the grid data model uses more space and time to represent the ground surface; it is impossible to accurately represent an abnormally complicated ground surface, and therefore, when a terrain includes a large number of characteristic lines such as break lines and build lines, it is necessary to provide a simulation method capable of accurately simulating an empty distance check using less space and time.
Disclosure of Invention
In view of this, the method for three-dimensional simulation of spatial distance checking based on the GIS provided by the invention fully utilizes the convex hull characteristic of the ordered point subset, and avoids all intersection point tests, thereby ensuring the efficiency of generating the Delaunay triangulation network for the scattered point set; the method can quickly determine which points cannot participate in forming a new triangle again, thereby greatly reducing the search time; the calculation speed is improved; the accuracy of checking the spatial distance is guaranteed, and effective and reliable research basis is provided for the research and analysis of the power transmission and transformation technology geographic space.
The purpose of the invention is realized by the following technical scheme:
a space distance checking three-dimensional simulation method based on a GIS comprises the following steps:
step 1, preprocessing scattered points in a GIS and determining a point sequence;
step 2, initializing a convex shell linked list, an edge linked list and a triangular linked list according to the point sequence;
step 3, adding the unprocessed scattered points into a triangular net;
step 4, optimizing the triangulation network to obtain a Delaunay triangulation network;
and 5, calculating the space distance in the GIS scene according to the Delaunay triangulation network and verifying.
Preferably, the step 1 comprises:
1-1, screening out the point with the minimum y coordinate value in the point set of the scattered points, and judging the number of the points;
if the minimum point of the y coordinate values is only 1, the point is a selected point;
if the minimum points of the y coordinate values are more than 1, selecting the points with the minimum x coordinate values as selected points;
1-2, connecting the selected point with other points in the point set to obtain a directed line segment;
1-3, respectively calculating included angle values and lengths of the directed line segments and the positive half shafts;
and 1-4, carrying out dictionary sorting according to the increment of the included angle value and the decrement of the length to obtain a point sequence.
Preferably, the point set of the scattered points and the point sequence after the preprocessing are stored in an ordered point table.
Preferably, the step 2 comprises:
2-1, sequentially searching points which are not on directed edges in the point sequence, adding the first directed edge into a convex shell linked list and an edge linked list, and enabling the number of convex shell edges in the convex shell linked list and the number of directed edges in the edge linked list to be i-1; wherein i is the total number of point sequences;
2-2, adding the second directed edge into the edge chain table, and enabling the number of the directed edges in the edge chain table to be i-2;
2-3, adding the newly generated triangle into the triangle chain table, and setting the adjacent triangle information of the related edge; the number of triangles in the triangle linked list is set as i-2;
2-4, adding the selected point into the convex shell linked list;
and 2-5, outputting the convex shell linked list, the edge linked list and the triangular linked list, and finishing initialization.
Preferably, the step 3 comprises:
sequentially judging whether the unprocessed scattered points are connected into a triangular net or not;
if yes, continuing to process the next point;
otherwise, searching forwards along the position of the directed edge added at last in the convex shell linked list until the convex shell linked list is finished, modifying the adjacent triangle information of the related edge, enabling the number of the convex shell edges in the convex shell linked list to be + l, and continuously processing the next point until all the scattered points are added in the triangular network.
Preferably, the step 4 comprises:
continuously optimizing the sub-triangulation network in the connection process of the triangulation network, or uniformly performing local optimization on each edge of the edge chain table after connecting point sets into the triangulation network; forming the Delaunay triangulation network.
Preferably, the step 5 comprises:
5-1, calculating the generalized distance d between any point in the line and the terrain and ground object according to the following formula (1)ij(q):
Figure BDA0000814748050000031
Wherein q is any point in the line; x is the number ofilIs the ith coordinate of the ith point; x is the number ofjlJ-dimensional coordinates of the point l; n is the total number of dots; l is any one of 1 to n points;
when q is 2, the value is the euclidean distance;
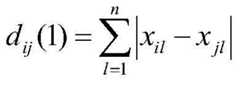
when q is 1, the value is the absolute distance, i.e., the city block distance dij(1):
Figure BDA0000814748050000041
When q → ∞, this value is the chebyshev distance dij(∞):
dij(∞)=max{|xil-xjl|} l=1,2,...,n (3)
Solving the distance between fixed points according to the Chebyshev distance, and solving the minimum distance between a lead and a terrain according to a limit approximation method;
5-2, determining the distance d from the point to the line based on the calculation of the distance from the point to the straight line segment according to the following equation (4)PL
Figure BDA0000814748050000042
Wherein L is a linear object; p is a point-shaped object; dPxThe distance from the point-like object P to any point on the linear object L; x is any point on the linear object L;
5-3, according to two linear objects L1, the distance between L2 can be defined as the minimum value of the distance between the midpoint P1(x1, y1) of L1 and the midpoint P2(x2, y2) of L2, and L1 and L2 are both expressed as broken lines; calculating the distance d between the line and the line object:
Figure BDA0000814748050000047
obtaining a maximum value, and then calculating a variance curve;
5-4. set
Figure BDA0000814748050000043
In degrees of angle P1;
Figure BDA0000814748050000044
in degrees of angle P2; λ 1 is the polar angle at point P1; λ 2 is the polar angle at point P2; p is the pole point, and the two sides and an included angle of the spherical triangle midpoints P1 and P2 in terms of arc degree are known:
Figure BDA0000814748050000045
Figure BDA0000814748050000046
∠P=λ12(8)
wherein, PP1Is one side of a spherical triangle; PP (polypropylene)2∠ P is the included angle of two sides in the spherical triangle;
then according to the cosine theorem of spherical triangle, there are:
Figure BDA0000814748050000051
wherein, P1P2Is radian, and P1P2Actual length of R × cos-1(P1P2) R is the radius of the spherical triangle;
according to the cosine theorem of spherical triangle, there are:
cosPP3=cosPP1cosP1P3+sinPP1sinP1P3cosP1(10)
Figure BDA0000814748050000052
wherein, P3Is composed of P, P1、P3One point in the formed spherical triangle;
Figure BDA0000814748050000053
polar angle at point P3;
if first given
Figure BDA0000814748050000054
Then obtain
Figure BDA0000814748050000055
∠ P is obtained by spherical triangle sine theorem3Wherein ∠ P3Is composed of P, P1、P3P in the composed spherical triangle3The degree of the point;
Figure BDA0000814748050000056
then, the P is calculated by the Nipple formula1P3
Figure BDA0000814748050000057
And 5-5, arranging the square lattice points regularly distributed on the plane in sequence by adopting a rotation function according to the peano rule.
Preferably, the order arrangement in the steps 5-5 comprises:
a. dividing the initial space into subspaces represented by a quadtree according to a Morton order and a Pi order;
b. solving the sequence number and address of any space object from the space coordinates in the Morton sequence and the Row sequence;
c. in the Pi order and the Row-Prime order, the weights of the two are equal.
According to the technical scheme, the invention provides a GIS-based three-dimensional simulation method for checking spatial distance, which comprises the steps of firstly sequencing scattered points according to directed angles, quickly connecting the scattered points into a triangular net by utilizing convex shell characteristics on the basis of the sequence of the sequenced points, and quickly optimizing the triangular net into a Delaunay triangular net by utilizing a topological structure; digitalizing the ground and ground object model information in a GIS scene; the distance calculation method is effectively improved. The method provided by the invention fully utilizes the convex shell characteristic of the ordered point subset, and avoids all intersection point tests, thereby ensuring the efficiency of generating the Delaunay triangulation network for the scattered point set; the method can quickly determine which points cannot participate in forming a new triangle again, thereby greatly reducing the search time; the calculation speed is improved; the accuracy of checking the spatial distance is guaranteed, and effective and reliable research basis is provided for the research and analysis of the power transmission and transformation technology geographic space.
Compared with the closest prior art, the technical scheme provided by the invention has the following excellent effects:
1. according to the technical scheme provided by the invention, scattered points are firstly sequenced according to directed angles, the scattered points are quickly connected into a triangular network by utilizing the convex shell characteristic on the basis of the sequence of the sequenced points, and the triangular network is quickly optimized into a Delaunay triangular network by utilizing a topological structure; digitalizing the ground and ground object model information in a GIS scene; the distance calculation method is effectively improved. The method provided by the invention fully utilizes the convex shell characteristic of the ordered point subset, and avoids all intersection point tests, thereby ensuring the efficiency of generating the Delaunay triangulation network for the scattered point set; the method can quickly determine which points cannot participate in forming a new triangle again, thereby greatly reducing the search time; the calculation speed is improved; the accuracy of checking the spatial distance is guaranteed, and effective and reliable research basis is provided for the research and analysis of the power transmission and transformation technology geographic space.
2. Compared with a triangulation network growing algorithm, the technical scheme provided by the invention has the greatest advantage that in the triangulation network growing process, which points cannot participate in forming a new triangle again can be quickly determined, because when one point is positioned in a formed convex hull, the point cannot form the new triangle again. After the points are sequenced according to a certain sequence, the convex hull formed by the points arranged in front of the current point is dynamically modified, so that the points can be easily determined not to participate in other newly inserted points to form a new triangular net again. Therefore, the search time is greatly reduced compared with the triangulation growth algorithm. And the edges of the triangulation inside the convex hull are absolutely impossible to participate in the triangulation generation again. Thereby increasing the calculation speed.
3. The technical scheme provided by the invention is widely applied in the technical field of power transmission and transformation, and has remarkable social benefit and economic benefit.
Drawings
FIG. 1 is a flow chart of a GIS-based spatial distance checking three-dimensional simulation method according to the present invention;
FIG. 2 is a flow chart of step 1 of a simulation method of an embodiment of the present invention;
FIG. 3 is a flow chart of step 2 of the simulation method of an application example of the present invention;
fig. 4 is a schematic diagram of a method for measuring the shortest distance by using a rotation function in a specific application example of the space distance checking three-dimensional simulation method based on the GIS of the present invention.
Detailed Description
The technical solutions in the embodiments of the present invention will be clearly and completely described below with reference to the drawings in the embodiments of the present invention, and it is obvious that the described embodiments are only a part of the embodiments of the present invention, and not all of the embodiments. All other embodiments, which can be derived by a person skilled in the art from the embodiments of the present invention without making any creative effort, shall fall within the protection scope of the present invention.
As shown in fig. 1, the present invention provides a space distance checking three-dimensional simulation method based on a GIS, wherein the GIS is a Geographic Information System (GIS); the Delaunay triangulation network is used for triangulating a point set, and is an extremely important preprocessing technology for numerical analysis (such as finite element analysis) and graphics; the peano rule is a five axiom system of natural numbers proposed by mathematician peano (peaaro). According to the five axioms, a first-order arithmetic system, also called a peano arithmetic system, can be established; the Morton order, the Row-Prime order and the Hilbert-Peano order are four scanning orders of a complete grid structure; pi order is the scanning order of the grid structure;
the method comprises the following steps:
step 1, preprocessing scattered points in a GIS to obtain a point sequence;
step 2, initializing a convex shell linked list, an edge linked list and a triangular linked list according to the point sequence;
step 3, adding the unprocessed scattered points into a triangular net;
step 4, optimizing the triangulation network to obtain a Delaunay triangulation network;
and 5, calculating the space distance in the GIS scene according to the Delaunay triangulation network and verifying.
As shown in fig. 2, step 1 includes:
1-1, screening out the point with the minimum y coordinate value in the point set of the scattered points, and judging the number of the points;
if only 1 point with the minimum y coordinate value is present, the point is a selected point;
if the minimum points of the y coordinate values are more than 1, selecting the points with the minimum x coordinate values as selected points;
1-2, connecting the selected point with other points in the point set to obtain a directed line segment;
1-3, respectively calculating included angle values and lengths of all the directed line segments and the positive half shaft;
and 1-4, carrying out dictionary sorting according to the increment of the included angle value and the decrement of the length to obtain a point sequence.
Wherein, the point set of the scattered points and the point sequence after the pretreatment are both stored in the ordered point table.
As shown in fig. 3, step 2 includes:
2-1, in the point sequence, sequentially searching points which are not on directed edges, adding a first directed edge into the convex shell chain table and the edge chain table, and enabling the number of the convex shell edges in the convex shell chain table and the number of the directed edges in the edge chain table to be i-1; wherein i is the total number of point sequences;
2-2, adding the second directed edge into the edge chain table, and enabling the number of the directed edges in the edge chain table to be i-2;
2-3, adding the newly generated triangle into the triangle chain table, and setting the adjacent triangle information of the related edge; the number of triangles in the triangle linked list is set as i-2;
2-4, adding the selected point into the convex shell linked list;
and 2-5, outputting the convex shell linked list, the side linked list and the triangular linked list, and finishing initialization.
Wherein, step 3 includes:
sequentially judging whether unprocessed scattered points are connected into a triangular net or not;
if yes, continuing to process the next point;
if not, searching forward along the position of the directed edge added last in the convex shell linked list until the convex shell linked list is finished, modifying the adjacent triangle information of the related edge, enabling the number of the convex shell edges in the convex shell linked list to be + l, and continuously processing the next point until all scattered points are added into the triangular network.
Wherein, step 4 includes:
continuously optimizing the sub-triangulation network in the connection process of the triangulation network, or uniformly performing local optimization on each edge of the edge chain table after connecting point sets into the triangulation network; forming a Delaunay triangulation network.
Wherein, step 5 includes:
5-1, calculating the generalized distance d between any point in the line and the terrain and ground objectij(q):
Figure BDA0000814748050000091
Wherein q is any point in the line; x is the number ofilIs the ith coordinate of the ith point; x is the number ofjlJ-dimensional coordinates of the point l; n is the total number of dots;lany one of 1 to n points;
when q is 2, the value is the euclidean distance;
when q is 1, the value is the absolute distance, i.e., the city block distance dij(1):
Figure BDA0000814748050000092
When q → ∞, this value is the chebyshev distance dij(∞):
dij(∞)=max{|xil-xjl|} l=1,2,...,n (3)
Solving the distance between the fixed points according to the Chebyshev distance, and solving the minimum distance between the conducting wire and the terrain according to a limit approximation method;
5-2, determining the distance d from the point to the line according to the calculation of the distance from the point to the straight line segmentPL
Figure BDA0000814748050000101
Wherein L is a linear object; p is a point-shaped object; dPxThe distance from the point-like object P to any point on the linear object L; x is any point on the linear object L;
5-3, according to two linear objects L1, the distance between L2 can be defined as the minimum value of the distance between the midpoint P1(x1, y1) of L1 and the midpoint P2(x2, y2) of L2, and L1 and L2 are both expressed as broken lines; calculating the distance d between the line and the line object:
Figure BDA0000814748050000106
obtaining a maximum value, and then calculating a variance curve;
5-4. set
Figure BDA0000814748050000102
In degrees of angle P1;
Figure BDA0000814748050000103
in degrees of angle P2; λ 1 is the polar angle at point P1; λ 2 is the polar angle at point P2; p is the pole point, and the two sides and an included angle of the spherical triangle midpoints P1 and P2 in terms of arc degree are known:
Figure BDA0000814748050000104
Figure BDA0000814748050000105
∠P=λ12(8)
wherein, PP1Is one side of a spherical triangle; PP (polypropylene)2∠ P is the included angle of two sides in the spherical triangle;
then according to the cosine theorem of spherical triangle, there are:
Figure BDA0000814748050000111
wherein, P1P2Is radian, and P1P2Actual length of R × cos-1(P1P2) R is the radius of the spherical triangle;
according to the cosine theorem of spherical triangle, there are:
cosPP3=cosPP1cosP1P3+sinPP1sinP1P3cosP1(10)
Figure BDA0000814748050000112
wherein, P3Is composed of P, P1、P3One point in the formed spherical triangle;
Figure BDA0000814748050000113
polar angle at point P3;
if first given
Figure BDA0000814748050000114
Then obtain
Figure BDA0000814748050000115
∠ P is obtained by spherical triangle sine theorem3Wherein ∠ P3Is composed of P, P1、P3P in the composed spherical triangle3The degree of the point;
Figure BDA0000814748050000116
then, the P is calculated by the Nipple formula1P3
Figure BDA0000814748050000117
And 5-5, arranging the square lattice points regularly distributed on the plane in sequence by adopting a rotation function according to the peano rule.
Wherein, the sequence arrangement mode in the step 5-5 comprises the following steps:
the Morton order and the Pi order divide the initial space into subspaces represented by quadtrees;
b. solving the sequence number and address of any space object from the space coordinates in the Morton sequence and the Row sequence;
c. in the Pi order and the Row-Prime order, the weights of the two are equal.
The invention provides a specific application example of a space distance checking three-dimensional simulation method based on a GIS, which specifically comprises the following steps:
firstly, sorting scattered points according to directed angles;
based on the sequence of the sorted points, the convex hull characteristic is utilized to quickly connect the scattered points into a triangular net;
and finally, rapidly optimizing the network into a Delaunay triangulation network by using a topological structure.
In the networking process, the convex hull characteristic of the ordered point subset is fully utilized, and all intersection point tests are avoided, so that the efficiency of generating the Delaunay triangulation network for the scattered point set is ensured.
In order to improve the efficiency of optimization processing, the algorithm uses a topological principle in the aspect of data structure by reference, adopts a simplified GIS (geographic information System) diverse topological structure, can realize the quick mutual index among points, edges and triangles in the optimization process, and simultaneously can be used as an output data structure of TIN (triangulated irregular network) so as to facilitate the application of the GIS, wherein the execution efficiency of the algorithm and the data structure have the following four data formats:
(1) an ordered list of points. The table stores the set of scattered points and the preprocessed point sequence.
(2) There is a table of edges. The table holds the triangle's edges and triangle information adjacent to the edges, where the triangle information is used for local optimization calculations.
(3) A triangular table. The table stores side information and vertex information of each triangle generated. Based on the above topology data structure, the triangle can find the point of the directed edge forming the triangle and which one or two triangles the edge is used with, and the optimization processing of the triangle usually focuses on the edge, so the data structure is very suitable for the optimization processing of the triangle network. In addition, for the quick connection of the triangular net, the following convex shell linked list is also needed.
(4) Convex shell edge surface. The table stores the position of the edge of the convex hull of the point set in the edge set.
The Delaunay triangulation network can be formed by utilizing the four data structures through four steps of preprocessing, initializing, connecting triangles and optimizing the triangles.
(1) Pretreatment: and finding out a point p with the minimum y coordinate in the point set, and if the point is not unique, selecting the point with the minimum x coordinate. Connecting the point with other points in the point set to obtain a directed line segment, calculating the included angle and the length between the line segment and the positive half axis, and then carrying out dictionary-type sequencing according to the increasing of the included angle value and the decreasing of the length. And obtaining a sequence, wherein the directed edge is certainly one edge of the convex hull of the point set according to the definition of the convex hull, namely the point p is certainly outside the convex hull of the point sequence or outside the convex hull formed by the directed edge.
(2) Initialization: firstly, according to a point sequence obtained after preprocessing, sequentially searching a first point which is not on the directed edge, adding the directed edge to the convex shell chain list cList and the side chain list EList, and making sure context be i-1 and edge be i-1; the directed edge is added to the edge chain table EList. Let edge be i-2; and adding the newly generated triangle into a triangle chain table TList, and setting the adjacent triangle information of the relevant edge. Let triangle be i-2; and adding p to the convex shell linked list CList, outputting CList, EList and TList, and finishing initialization.
(3) Connecting triangles: the triangles are joined to add unprocessed scatter points to the triangulation network so that all points form a triangulation network. Assuming that the currently processed point is p and is connected into a triangular network, searching forward the position of the directed edge added into the convex shell linked list finally until the linked list is finished, modifying the adjacent triangle information of the related edge to make triangle equal to triangle + l, and continuously processing the next point until all scattered points are processed.
From the above, it can be seen that the number of judgments required to join a reasonable triangle with a point join is equal to the number of reasonable triangles produced by the point join
The number of the angles is increased by 1, and the convex shell linked list is easy to maintain, thereby greatly reducing the time required for connecting the triangular net.
(4) Triangle optimization: since the triangles joined by the above technique do not meet the conditions of the Delaunay triangulation network, a local optimization process needs to be employed. The optimization process can continuously perform optimization processing on the sub-triangulation network in the triangulation network connection process, and can also perform local optimization processing on each side of the side chain table uniformly after the point sets are connected into the triangulation network.
After the Delaunay triangulation network is formed, the terrain and ground feature information is vectorized and digitized, the surface coordinates of all triangles can be directly extracted, and the distance from the maximum sag point of the lead to the terrain and ground feature can be calculated and verified by using a three-dimensional distance calculation formula.
The common distance calculation adopts a three-dimensional Euclidean distance formula
Figure BDA0000814748050000131
D (AB) is the shortest distance between two triangles;
the method is improved by firstly calculating the generalized distance between any point in the line and the terrain and ground object
Figure BDA0000814748050000141
When q is 2, the value is the euclidean distance; when q is 1, the value is absolute distance (city block distance)
Figure BDA0000814748050000142
When q → ∞ is said to be the chebyshev distance
dij(∞)=max{|xil-xjl|} l=1,2,...,n
The distance between the fixed points can be solved by utilizing the Chebyshev distance, and the minimum distance between the conducting wire and the terrain feature can be solved by using a limit approximation method.
The point-line object is defined as the minimum of the distance between the point-like object (P) and a point on the line-like object (L). In GIS, linear objects are generally represented by broken lines, having a finite number of points, and therefore the point-to-line distance can be determined by calculation of the point-to-straight line segment distance.
Figure BDA0000814748050000143
The distance between the two linear objects L1, L2 can be defined as the minimum of the distance between the L1 midpoint P1(x1, y1) and the L2 midpoint P2(x2, y 2). Since both L1 and L2 appear as polylines, d can be calculated by first calculating the distance between the polyline segment pairs in L1 and L2, and then picking the minimum value from them.
Figure BDA0000814748050000146
The maxima can be solved in the same way and then the variance curve can be calculated.
Is provided with
Figure BDA0000814748050000144
P is the pole point, and two sides (in radians) and an included angle in the spherical triangles P1 and P2 are known:
Figure BDA0000814748050000145
Figure BDA0000814748050000151
∠P=λ12
according to the cosine theorem of spherical triangle, there are
Figure BDA0000814748050000152
P in the principle of spherical triangle calculation1P2Is radian and actual length is R multiplied by cos-1(P1P2);
cosPP3=cosPP1cosP1P3+sinPP1sinP1P3cosP1
Figure BDA0000814748050000153
As given first
Figure BDA0000814748050000154
Then can be found out first
Figure BDA0000814748050000155
∠ P is obtained by spherical triangle sine theorem3
Figure BDA0000814748050000156
Then, P is obtained from the following formula (Nipple formula)1P3:
Figure BDA0000814748050000157
There may be a variety of transformation (permutation) orders according to the peano rule, i.e. for regularly distributed square grid points on a plane.
(1) The Morton order and the Pi order divide the initial space into subspaces that can be represented by quadtrees;
(2) the sequence number and the address of any space object can be easily obtained from the space coordinates in the Morton sequence and the Row sequence;
(3) in the Pi order and the Row-Prime order, the weights of the two are equal.
And a rotation function is adopted to change according to the rule, so that the rotation function is ensured not to change along with the translation of the curve.
The shortest distance between the two curves can be measured after the conversion is carried out according to the method of converting the polysemous line by the rotating function;
as shown in fig. 4, according to the method of measuring the shortest distance by using the rotation function, the difference between the vertical coordinates along the direction of the dotted line is the required distance.
Although the present invention has been described in detail with reference to the above embodiments, those skilled in the art can make modifications and equivalents to the embodiments of the present invention without departing from the spirit and scope of the present invention, which is set forth in the claims of the present application.

Claims (5)

1. A GIS-based three-dimensional simulation method for checking spatial distance is characterized by comprising the following steps:
step 1, preprocessing scattered points in a GIS and determining a point sequence;
step 2, initializing a convex shell linked list, an edge linked list and a triangular linked list according to the point sequence;
step 3, adding the unprocessed scattered points into a triangular net;
step 4, optimizing the triangulation network to obtain a Delaunay triangulation network;
step 5, according to the Delaunay triangulation network, calculating the space distance in a GIS scene and verifying the space distance;
the step 1 comprises the following steps:
1-1, screening out the point with the minimum y coordinate value in the point set of the scattered points, and judging the number of the points;
if the minimum point of the y coordinate values is only 1, the point is a selected point;
if the minimum points of the y coordinate values are more than 1, selecting the points with the minimum x coordinate values as selected points;
1-2, connecting the selected point with other points in the point set to obtain a directed line segment;
1-3, respectively calculating included angle values and lengths of the directed line segments and the positive half shafts;
1-4, carrying out dictionary-type sequencing according to the increasing of the included angle value and the decreasing of the length to obtain a point sequence;
the step 2 comprises the following steps:
2-1, sequentially searching points which are not on directed edges in the point sequence, adding the first directed edge into a convex shell linked list and an edge linked list, and enabling the number of convex shell edges in the convex shell linked list and the number of directed edges in the edge linked list to be i-1; wherein i is the total number of point sequences;
2-2, adding the second directed edge into the edge chain table, and enabling the number of the directed edges in the edge chain table to be i-2;
2-3, adding the newly generated triangle into the triangle chain table, and setting the adjacent triangle information of the related edge; the number of triangles in the triangle linked list is set as i-2;
2-4, adding the selected point into the convex shell linked list;
2-5, outputting the convex shell linked list, the edge linked list and the triangular linked list, and finishing initialization;
the step 3 comprises the following steps:
sequentially judging whether the unprocessed scattered points are connected into a triangular net or not;
if yes, continuing to process the next point;
otherwise, searching forwards along the position of the directed edge added at last in the convex shell linked list until the convex shell linked list is finished, modifying the adjacent triangle information of the related edge, enabling the number of the convex shell edges in the convex shell linked list to be + l, and continuously processing the next point until all the scattered points are added in the triangular network.
2. The method of claim 1, wherein the set of scattered points and the preprocessed sequence of points are stored in an ordered point table.
3. The method of claim 1, wherein step 4 comprises:
continuously optimizing the sub-triangulation network in the connection process of the triangulation network, or uniformly performing local optimization on each edge of the edge chain table after connecting point sets into the triangulation network; forming the Delaunay triangulation network.
4. The method of claim 1, wherein the step 5 comprises:
5-1, calculating the generalized distance d between any point in the line and the terrain and ground object according to the following formula (1)ij(q):
Figure FDA0002134210560000021
Wherein q is any point in the line; x is the number ofilIs the ith coordinate of the ith point; x is the number ofjlJ-dimensional coordinates of the point l; n is the total number of dots; l is any one of 1 to n points;
when q is 2, the value is the euclidean distance;
when q is 1, the value is the absolute distance, i.e., the city block distance dij(1):
Figure FDA0002134210560000031
When q → ∞, this value is the chebyshev distance dij(∞):
dij(∞)=max{|xil-xjl|}l=1,2,...,n (3)
Solving the distance between fixed points according to the Chebyshev distance, and solving the minimum distance between a lead and a terrain according to a limit approximation method;
5-2, determining the distance d from the point to the line based on the calculation of the distance from the point to the straight line segment according to the following equation (4)PL
Figure FDA0002134210560000032
Wherein L is a linear object; p is a point-shaped object; dPxThe distance from the point-like object P to any point on the linear object L; x is any point on the linear object L;
5-3, according to two linear objects L1, the distance between L2 can be defined as the minimum value of the distance between the midpoint P1(x1, y1) of L1 and the midpoint P2(x2, y2) of L2, and L1 and L2 are both expressed as broken lines; calculating the distance d between the line and the line object:
Figure FDA0002134210560000033
obtaining a maximum value, and then calculating a variance curve;
5-4. set
Figure FDA0002134210560000034
Figure FDA0002134210560000035
In degrees of angle P1;
Figure FDA0002134210560000036
in degrees of angle P2; λ 1 is the polar angle at point P1; λ 2 is the polar angle at point P2; p is the pole point, and the two sides and an included angle of the spherical triangle midpoints P1 and P2 in terms of arc degree are known:
Figure FDA0002134210560000037
Figure FDA0002134210560000038
∠P=λ12(8)
wherein, PP1Is one side of a spherical triangle; PP (polypropylene)2∠ P is the included angle of two sides in the spherical triangle;
then according to the cosine theorem of spherical triangle, there are:
Figure FDA0002134210560000041
wherein, P1P2Is radian, and P1P2Actual length of R × cos-1(P1P2) R is the radius of the spherical triangle;
according to the cosine theorem of spherical triangle, there are:
cosPP3=cosPP1cosP1P3+sinPP1sinP1P3cosP1(10)
Figure FDA0002134210560000042
wherein, P3Is composed of P, P1、P3One point in the formed spherical triangle is,
Figure FDA0002134210560000043
polar angle at point P3;
if first given
Figure FDA0002134210560000044
Then obtain
Figure FDA0002134210560000045
∠ P is obtained by spherical triangle sine theorem3Wherein ∠ P3Is composed of P, P1、P3P in the composed spherical triangle3The degree of the point;
Figure FDA0002134210560000046
then, the P is calculated by the Nipple formula1P3
Figure FDA0002134210560000047
And 5-5, arranging the square lattice points regularly distributed on the plane in sequence by adopting a rotation function according to the peano rule.
5. The method of claim 4, wherein the ordering in steps 5-5 comprises:
a. dividing the initial space into subspaces represented by a quadtree according to a Morton order and a Pi order;
b. solving the sequence number and address of any space object from the space coordinates in the Morton sequence and the Row sequence;
c. in the Pi order and the Row-Prime order, the weights of the two are equal.
CN201510639472.6A2015-09-302015-09-30Spatial distance checking three-dimensional simulation method based on GISActiveCN106557602B (en)

Priority Applications (1)

Application NumberPriority DateFiling DateTitle
CN201510639472.6ACN106557602B (en)2015-09-302015-09-30Spatial distance checking three-dimensional simulation method based on GIS

Applications Claiming Priority (1)

Application NumberPriority DateFiling DateTitle
CN201510639472.6ACN106557602B (en)2015-09-302015-09-30Spatial distance checking three-dimensional simulation method based on GIS

Publications (2)

Publication NumberPublication Date
CN106557602A CN106557602A (en)2017-04-05
CN106557602Btrue CN106557602B (en)2020-03-27

Family

ID=58417364

Family Applications (1)

Application NumberTitlePriority DateFiling Date
CN201510639472.6AActiveCN106557602B (en)2015-09-302015-09-30Spatial distance checking three-dimensional simulation method based on GIS

Country Status (1)

CountryLink
CN (1)CN106557602B (en)

Families Citing this family (1)

* Cited by examiner, † Cited by third party
Publication numberPriority datePublication dateAssigneeTitle
CN107507279A (en)*2017-09-052017-12-22东南大学Triangle network generating method based on quick Convex Hull Technology

Family Cites Families (3)

* Cited by examiner, † Cited by third party
Publication numberPriority datePublication dateAssigneeTitle
US7978192B2 (en)*2005-10-042011-07-12Rdv Systems Ltd.Method and apparatus for evaluating sight distance
CN102193998B (en)*2011-05-052012-11-14河南理工大学Arc scanning type construction scheme of triangular irregular network containing edge topological information
CN104318342A (en)*2014-09-282015-01-28丁昊Distance-based work task recommendation and undertaking system and method

Also Published As

Publication numberPublication date
CN106557602A (en)2017-04-05

Similar Documents

PublicationPublication DateTitle
CN102609898B (en)Method for simplifying shoreline of drowned valley by taking geographical features into account
CN115661374A (en)Rapid retrieval method based on space division and model voxelization
CN102938018B (en)Partitioning method of equal-area global discrete grids based on warp and weft
CN101192307B (en)Point cloud triangular topological relations construction method
CN108053477A (en)The Numerical Methods of deformation in a kind of pipeline
CN107228673A (en)Route planner and device
CN103646156A (en)Ball target detection-based automatic registration method for laser point cloud data
CN113806947A (en) Offshore wind farm layout processing method, device and equipment
CN106530397A (en)Geological surface three-dimensional reconstruction method based on sparse profile geological contours
CN113609691B (en)Intersection modeling processing method oriented to intelligent traffic simulation
CN105469445A (en)Step size changeable map generation method
CN105427177A (en)Automatic farmland four-boundary calculation method based on GIS (Geographic Information System)
CN108563915B (en)Vehicle digital simulation test model construction system and method, and computer program
CN103473420B (en)The automatic positioning method of statistical graph in a kind of statistical maps
CN103017749B (en)Method, apparatus and navigator for converting narrow and long water system surface element into line element
CN106557602B (en)Spatial distance checking three-dimensional simulation method based on GIS
CN106097408B (en) A method and system for continuous multi-scale expression of coastline elements
Tang et al.Height information aided 3D real‐time large‐scale underground user positioning
CN107872766A (en) A method for intersecting sensing areas of directed sensor network nodes
CN101848229A (en)Method for solving minimum generated network problem in distributed network computing
TWI406189B (en)Method for constructing triangular grids of point clouds
CN114610027B (en) A method for ship navigation path planning
CN113903016B (en)Bifurcation point detection method, bifurcation point detection device, computer equipment and storage medium
Jin et al.Marker points 3D matching based on Delaunay triangfulation structure and error dispersion
CN113836674B (en) Three-dimensional interference detection of pipeline segments and algorithm for obtaining the shortest distance point

Legal Events

DateCodeTitleDescription
PB01Publication
PB01Publication
SE01Entry into force of request for substantive examination
SE01Entry into force of request for substantive examination
GR01Patent grant
GR01Patent grant
CP03Change of name, title or address
CP03Change of name, title or address

Address after:100192 Beijing city Haidian District Qinghe small Camp Road No. 15

Patentee after:CHINA ELECTRIC POWER RESEARCH INSTITUTE Co.,Ltd.

Country or region after:China

Patentee after:STATE GRID CORPORATION OF CHINA

Patentee after:STATE GRID TIANJIN ELECTRIC POWER Co.

Address before:100192 Beijing city Haidian District Qinghe small Camp Road No. 15

Patentee before:CHINA ELECTRIC POWER RESEARCH INSTITUTE Co.,Ltd.

Country or region before:China

Patentee before:State Grid Corporation of China

Patentee before:STATE GRID TIANJIN ELECTRIC POWER Co.

Address after:100192 Beijing city Haidian District Qinghe small Camp Road No. 15

Patentee after:CHINA ELECTRIC POWER RESEARCH INSTITUTE Co.,Ltd.

Country or region after:China

Patentee after:State Grid Corporation of China

Patentee after:STATE GRID TIANJIN ELECTRIC POWER Co.

Address before:100192 Beijing city Haidian District Qinghe small Camp Road No. 15

Patentee before:China Electric Power Research Institute

Country or region before:China

Patentee before:State Grid Corporation of China

Patentee before:STATE GRID TIANJIN ELECTRIC POWER Co.


[8]ページ先頭

©2009-2025 Movatter.jp