Movatterモバイル変換


[0]ホーム

URL:


CN106459675B - Ultraviolet-curable resin composition for touch panel, and bonding method and article using same - Google Patents

Ultraviolet-curable resin composition for touch panel, and bonding method and article using same
Download PDF

Info

Publication number
CN106459675B
CN106459675BCN201580030877.8ACN201580030877ACN106459675BCN 106459675 BCN106459675 BCN 106459675BCN 201580030877 ACN201580030877 ACN 201580030877ACN 106459675 BCN106459675 BCN 106459675B
Authority
CN
China
Prior art keywords
resin composition
acrylate
meth
curable resin
ultraviolet
Prior art date
Legal status (The legal status is an assumption and is not a legal conclusion. Google has not performed a legal analysis and makes no representation as to the accuracy of the status listed.)
Expired - Fee Related
Application number
CN201580030877.8A
Other languages
Chinese (zh)
Other versions
CN106459675A (en
Inventor
水口贵文
龟谷英照
本桥隼
饭塚真之
Current Assignee (The listed assignees may be inaccurate. Google has not performed a legal analysis and makes no representation or warranty as to the accuracy of the list.)
Nippon Kayaku Co Ltd
Original Assignee
Nippon Kayaku Co Ltd
Priority date (The priority date is an assumption and is not a legal conclusion. Google has not performed a legal analysis and makes no representation as to the accuracy of the date listed.)
Filing date
Publication date
Application filed by Nippon Kayaku Co LtdfiledCriticalNippon Kayaku Co Ltd
Publication of CN106459675ApublicationCriticalpatent/CN106459675A/en
Application grantedgrantedCritical
Publication of CN106459675BpublicationCriticalpatent/CN106459675B/en
Expired - Fee Relatedlegal-statusCriticalCurrent
Anticipated expirationlegal-statusCritical

Links

Images

Classifications

Landscapes

Abstract

Translated fromChinese

本发明提供一种生产率良好、挥发性低、介电常数低、能够得到固化性和粘附性良好的显示体单元等光学构件、作业性和保存稳定性优良的触控面板用紫外线固化型树脂组合物。一种用于将至少两个光学基材贴合的树脂组合物,其特征在于,含有:具备具有支链的碳原子数10~30的脂肪链的单官能(甲基)丙烯酸酯(A)、软化成分(B)、可光聚合低聚物(C)、光聚合引发剂(E)。

Figure 201580030877

The present invention provides a UV-curable resin composition for touch panels that has good productivity, low volatility, a low dielectric constant, and excellent curability and adhesion, enabling the production of optical components such as display units, and excellent workability and storage stability. A resin composition for bonding at least two optical substrates, characterized by comprising: a monofunctional (meth)acrylate (A) having a branched aliphatic chain with 10 to 30 carbon atoms; a softening component (B); a photopolymerizable oligomer (C); and a photopolymerization initiator (E).

Figure 201580030877

Description

Ultraviolet-curable resin composition for touch panel, and bonding method and article using same
Technical Field
The present invention relates to an ultraviolet-curable resin composition for bonding at least two optical substrates together and a method for producing an optical member using the same.
Background
In recent years, display devices capable of performing screen input by attaching a touch panel to a display screen of a display device such as a liquid crystal display, a plasma display, or an organic Electroluminescence (EL) display have been widely used. The touch panel has the following structure: the glass plate or the resin film on which the transparent electrodes are formed is bonded to face each other with a minute gap therebetween, and a transparent protective plate made of glass or resin is bonded to the touch surface thereof as necessary.
There is a technique of using a double-sided adhesive sheet for bonding a glass plate or film having a transparent electrode formed thereon in a touch panel to a transparent protective plate made of glass or resin, or for bonding a touch panel to a display unit. However, when a double-sided pressure-sensitive adhesive sheet is used, air bubbles are liable to enter. As a technique to replace the double-sided adhesive sheet, a technique of bonding with a flexible ultraviolet curable resin composition has been proposed.
On the other hand, it is known that: as an ultraviolet-curable resin composition for a touch panel used in a technique of bonding a touch panel and a display unit with an ultraviolet-curable adhesive, various photopolymerizable monomers are used. For example,patent document 1 proposes the use of isobornyl acrylate, dihydrodicyclopentadienyloxyethyl methacrylate, 2-hydroxybutyl methacrylate, and the like. However, for these photopolymerizable monomers, there are problems as follows: the volatility is high, and these compounds volatilize with time during use under vacuum in a touch panel manufacturing process, and the component ratio is changed, and constant physical properties cannot be secured.
On the other hand,patent document 2 describes the use of lauryl (meth) acrylate as a long-chain (meth) acrylate in an ultraviolet-curable resin composition for a touch panel. However, such a long-chain (meth) acrylate having no branch cannot exhibit sufficient compatibility when used in combination with a photopolymerizable oligomer and a softening component, and insoluble components may precipitate due to long-term standing, and the viscosity of the resin composition is difficult to decrease.
Documents of the prior art
Patent document
Patent document 1: japanese patent No. 5470735
Patent document 2: japanese patent No. 5563983
Disclosure of Invention
Problems to be solved by the invention
The purpose of the present invention is to provide an ultraviolet-curable resin composition for a touch panel, which has good productivity, low volatility, low dielectric constant, good curability, good adhesion, and excellent workability and storage stability, and which can provide an optical member such as a display unit.
Means for solving the problems
The present inventors have conducted intensive studies to solve the above problems, and as a result, have completed the present invention. That is, the present invention relates to the following (1) to (17).
(1) An ultraviolet-curable resin composition for a touch panel, which is a resin composition for bonding at least two optical substrates, characterized by comprising: the composition comprises a monofunctional (meth) acrylate (A) having a branched aliphatic chain having 10 to 30 carbon atoms, a softening component (B), a photopolymerizable oligomer (C), and a photopolymerization initiator (E).
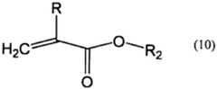
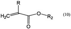
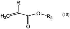
(2) The ultraviolet-curable resin composition for touch panels as described in (1), wherein the monofunctional (meth) acrylate (A) having a branched aliphatic chain having 10 to 30 carbon atoms is represented by the following formula (10).
[ solution 1]
Figure GDA0002000678840000021
(in the formula, R represents H or CH3,R2Represents an alkyl group having 10 to 20 carbon atoms. )
(3) The ultraviolet curable resin composition for a touch panel according to the item (1) or (2), wherein the photopolymerizable oligomer (C) contains at least one selected from the group consisting of urethane (meth) acrylate, (meth) acrylate having a polyisoprene or hydrogenated polyisoprene skeleton, and (meth) acrylate having a polybutadiene or hydrogenated polybutadiene skeleton.
(4) The ultraviolet curable resin composition for touch panels according to (3), wherein the photopolymerizable oligomer (C) is a urethane (meth) acrylate having at least one skeleton selected from the group consisting of polypropylene, polybutadiene, hydrogenated polybutadiene, polyisoprene, and hydrogenated polyisoprene.
(5) The ultraviolet curable resin composition for a touch panel according to any one of (1) to (4), further comprising a photopolymerizable monomer (D) other than the component (A), wherein the component (D) is represented by the following formula (1).
[ solution 2]
Figure GDA0002000678840000031
(in the formula, R1Represents a hydrogen atom or CH3And n represents an integer of 1 to 3)
(6) The ultraviolet-curable resin composition for a touch panel according to (5), wherein the formula (1) is 4-hydroxybutyl acrylate.
(7) The ultraviolet curable resin composition for a touch panel according to any one of (1) to (6), which contains either one or both of a hydroxyl group-containing polymer and a liquid terpene-based resin as a softening component (B).
(8) The ultraviolet curable resin composition for touch panels as described in any one of (1) to (7), which contains 1 to 30 wt% of a monofunctional (meth) acrylate (A) having a branched aliphatic chain of 10 to 30 carbon atoms.
(9) The ultraviolet-curable resin composition for a touch panel according to any one of (1) to (7), further comprising a photopolymerizable monomer (D) other than the component (A), wherein the component (D) comprises a photopolymerizable monomer having no hydroxyl group.
(10) The ultraviolet-curable resin composition for a touch panel according to any one of (1) to (9), which contains isostearyl acrylate as the monofunctional (meth) acrylate (A) having 10 to 30 carbon atoms and a branched chain.
(11) A method for manufacturing an optical member by bonding at least two optical substrates, comprising thefollowing steps 1 to 2,
(step 1) applying the ultraviolet curable resin composition for touch panels according to any one of (1) to (11) onto at least one optical substrate to form a coating layer, and irradiating the coating layer with ultraviolet light to obtain an optical substrate having a cured layer;
(step 2) a step of bonding another optical substrate to the cured layer of the optical substrate obtained instep 1, or a step of bonding a cured layer of another optical substrate obtained instep 1.
(12) The production method according to (11), wherein the cured product layer obtained in thestep 1 has a cured portion existing on the optical substrate side and an uncured portion existing on the side opposite to the optical substrate side.
(13) The production method according to (12), further comprising, after thesteps 1 to 2, astep 3,
(step 3) a step of irradiating the cured product layer having an uncured portion of the bonded optical substrate with ultraviolet rays to cure the cured product layer.
(14) The method for producing an optical member according to any one of (12) to (13), wherein the maximum illuminance in the range of 200 to 320nm is 30 or less, assuming that the maximum illuminance in the range of 320nm to 450nm of the ultraviolet ray irradiated to the ultraviolet curable resin composition in thestep 1 is 100.
(15) The method for producing an optical member according to any one of (12) to (13), wherein the maximum illuminance in the range of 200 to 320nm is 10 or less, assuming that the maximum illuminance in the range of 320nm to 450nm of the ultraviolet ray irradiated to the ultraviolet curable resin composition in thestep 1 is 100.
(16) A cured product obtained by irradiating the ultraviolet-curable resin composition described in any one of (1) to (10) with an active energy ray.
(17) A touch panel comprising the ultraviolet curable resin composition according to any one of (1) to (10).
Drawings
Fig. 1 is a process diagram showing a first embodiment of the production method of the present invention.
Fig. 2 is a process diagram showing a second embodiment of the production method of the present invention.
Fig. 3 is a process diagram showing a third embodiment of the production method of the present invention.
Fig. 4 is a process diagram showing a fourth embodiment of the production method of the present invention.
Fig. 5 is a schematic view of an optical member obtained by the present invention.
Detailed Description
First, the ultraviolet curable resin composition of the present invention will be explained. The phrase "may be added to the ultraviolet-curable resin composition for optical use" means that the composition does not contain an additive which reduces the transparency of a cured product to such an extent that the cured product cannot be used for optical use. In the present specification, "(meth) acrylate" means either or both of methacrylate and acrylate. The same applies to "(meth) acrylic acid" and the like. In addition, "acrylate" means only acrylate, and does not include methacrylate.
When a sheet of a cured product having a thickness of 200 μm after curing is produced from the ultraviolet-curable resin composition used in the present invention, the sheet preferably has an average transmittance of at least 90% under light having a wavelength of 400 to 800 nm.
The ultraviolet curable resin composition for a touch panel of the present invention is a resin composition for bonding at least two optical substrates, and is characterized by containing: a monofunctional (meth) acrylate (A) having a branched aliphatic chain having 10 to 30 carbon atoms. The number of carbon atoms is more preferably 16 to 25.
Specific examples of (meth) acrylates that can be used as the monofunctional (meth) acrylate (a) having a branched aliphatic chain having 10 to 30 carbon atoms include: isolauryl (meth) acrylate, isostearyl (meth) acrylate, isocetyl (meth) acrylate, isobehenyl (meth) acrylate, and the like. Examples of commercially available products include: isostearyl acrylate, manufactured by new Zhongcun chemical industries; LIGHT-ACRYLATEIS-A manufactured by Kyoeisha chemical Co.
By using a (meth) acrylate having a long-chain aliphatic chain having a branch chain in this manner, it is possible to function as a medium for improving the compatibility with the softening component (B) or the polymerizable oligomer (C), and to effectively prevent the precipitation of insoluble components even when left for a long time. Further, a resin composition having a low dielectric constant while ensuring flexibility can be obtained.
The monofunctional (meth) acrylate (a) having an aliphatic chain having 10 to 30 carbon atoms and a branched chain, which is contained in the ultraviolet-curable resin composition for a touch panel of the present invention, is preferably a monofunctional (meth) acrylate represented by the following formula (10) [ formula 3]
Figure GDA0002000678840000051
(in the formula, R represents H or CH3,R2Represents an alkyl group having 10 to 20 carbon atoms, and n represents an integer of 10 to 25). Herein, R is2The number of carbon atoms of (2) is more preferably 15 to 20.
By using the monofunctional (meth) acrylate of the above formula (10), flexibility and reactivity can be improved. Among them, isostearyl (meth) acrylate is more preferable from the viewpoint of low volatility, reactivity and flexibility.
Two or more types of the monofunctional (meth) acrylate (a) having a branched aliphatic chain of 10 to 30 carbon atoms may be mixed and used.
The ultraviolet-curable resin composition for touch panels of the present invention is preferably used in combination with the monofunctional (meth) acrylate (a) having a branched aliphatic chain having 10 to 30 carbon atoms and a monofunctional (meth) acrylate (F) having an unbranched (linear) aliphatic chain having 8 to 30 carbon atoms. The monofunctional (meth) acrylate (F) having a linear aliphatic chain having 8 to 30 carbon atoms can be represented by the following formula (11).
[ solution 4]
Figure GDA0002000678840000061
It is preferable to use a monofunctional (meth) acrylate represented by the formula (11) (in the above formula, R represents H or CH)3,R3Represents an alkyl group having 8 to 20 carbon atoms, and n represents an integer of 10 to 25). Herein, R is3The number of carbon atoms of (2) is more preferably 15 to 20.
By using the monofunctional (meth) acrylate of the above formula (11), flexibility and reactivity can be improved. Among them, lauryl (meth) acrylate is more preferable from the viewpoint of low volatility, reactivity and flexibility.
Here, from the viewpoint of avoiding white turbidity of the resin composition itself to secure transparency and improving compatibility, R of the above formula (10) and/or the above formula (11)2Or R3It is preferable that the number of alkyl groups (b) in (b) is a constant ratio when the number of alkyl groups (b) is MR, the total number of carbon atoms other than acryloyl groups in the compound represented by the following formula (1) is MC, and the number of branched carbon groups is MB. Specifically, a resin composition containing two compounds having an MR/(MC + MB) (hereinafter referred to as a specific ratio) of 5.5 or less is preferable, and the specific ratio is particularly preferably 5 or less. From the viewpoint of providing a resin composition having particularly excellent whitening resistance, a resin composition containing the low-volatility whitening-resistant acrylate and the two compounds in a specific ratio of 5.5 or less is preferable, and a specific ratio of 5 or less is particularly preferable.
The content of the component (a) in the composition is usually about 1 to about 90% by weight, preferably about 1 to about 80% by weight.
The content is preferably 1 to 40 wt% or less, and more preferably 1 to 30 wt% or less. This is because, when the amount is within this range, the resin composition can exhibit a function of improving compatibility with the softening component (B) and the photopolymerizable oligomer (C) described later, imparting flexibility and suppressing an increase in dielectric constant, and can effectively prevent precipitation or precipitation of insoluble components, thereby suppressing an excessively low polarity of the resin composition.
It is preferable to use the component (A) and the component (F) in combination, and in this case, the content of the component (A) is preferably not less than the content of the component (F). And, in terms of the weight ratio in the resin composition, the component (a): (F) the component (B) is preferably 9.9:0.1 to 0.1:9.9, more preferably 9:1 to 3:7, still more preferably 9:1 to 5:5, and particularly preferably 9:1 to 6: 4.
In the present invention, as the photopolymerizable monomer (D) to be used in combination with the component (a), a photopolymerizable monomer having no hydroxyl group is preferably used. In this way, the use of a photopolymerizable monomer having no hydroxyl group can suppress the polarity from being excessively high, and the polarity can be suppressed to a certain extent. Further, the present invention is intended to facilitate the production of a resin composition which does not easily contain moisture. As such a photopolymerizable monomer having no hydroxyl group, a photopolymerizable monomer other than the photopolymerizable monomer having a hydroxyl group among the photopolymerizable monomers (D) described later can be used.
The ultraviolet curable resin composition for a touch panel of the present invention contains a softening component (B). The softening component (B) does not crosslink by ultraviolet rays, and is interposed between crosslinks of the photopolymerizable oligomer or the photopolymerizable monomer, thereby having a function of imparting flexibility and reducing shrinkage. In addition, the adhesive agent also has a function of improving adhesiveness by imparting tackiness or the like.
Examples of such a softening component (B) include: compatible polymers, oligomers, phthalates, phosphates, glycol esters, citrates, aliphatic dibasic acid esters, fatty acid esters, epoxy plasticizers, castor oils, terpene-based resins, hydrogenated terpene-based resins, liquid terpenes, and the like in the composition. Examples of the oligomer and polymer include: oligomers or polymers having a polyisoprene skeleton, a hydrogenated polyisoprene skeleton, a polybutadiene skeleton, a hydrogenated polybutadiene skeleton or a xylene skeleton, and esters thereof, adipate oligomers, polybutenes, and the like. From the viewpoint of transparency, hydrogenated terpene resins, hydrogenated polyisoprene, hydrogenated polybutadiene, polybutene, and liquid terpene are preferable. In addition, from the viewpoint of adhesive strength and compatibility with other materials, a hydrogenated terpene resin having a hydroxyl group at a terminal or in a side chain, a hydrogenated polyisoprene having a hydroxyl group at a terminal or in a side chain, a hydroxyl group-containing polymer such as a hydrogenated polybutadiene having a hydroxyl group at a terminal or in a side chain, or a liquid terpene resin is particularly preferable.
The weight ratio of the softening component in the ultraviolet curable resin composition may be any of solid and liquid softening components (B), and the softening component is usually 5 to 70% by weight, preferably 10 to 60% by weight. The solid softening component is usually 5 to 40% by weight, preferably 10 to 35% by weight, and the liquid softening component is usually 10 to 70% by weight, preferably 20 to 60% by weight.
The ultraviolet-curable resin composition of the present invention contains a photopolymerizable oligomer (C). The photopolymerizable oligomer (C) in the ultraviolet curable resin composition of the present invention is not particularly limited, and any one selected from the group consisting of urethane (meth) acrylates, (meth) acrylates having a polyisoprene or hydrogenated polyisoprene skeleton, and (meth) acrylates having a polybutadiene or hydrogenated polybutadiene skeleton is preferably used. Among them, urethane (meth) acrylates are preferred from the viewpoint of adhesive strength, and urethane (meth) acrylates having at least one or more skeletons selected from the group consisting of polybutadiene, hydrogenated polybutadiene, polyisoprene, and hydrogenated polyisoprene are more preferred from the viewpoint of moisture resistance.
The urethane (meth) acrylate can be obtained by reacting a polyol, a polyisocyanate, and a hydroxyl group-containing (meth) acrylate.
Examples of the polyhydric alcohol include: an alkylene glycol having 1 to 10 carbon atoms such as polybutadiene glycol, hydrogenated polybutadiene glycol, polyisoprene glycol, hydrogenated polyisoprene glycol, neopentyl glycol, 3-methyl-1, 5-pentanediol, ethylene glycol, propylene glycol, 1, 4-butanediol, 1, 6-hexanediol, a triol such as trimethylolpropane or pentaerythritol, an alcohol having a cyclic skeleton such as tricyclodecane dimethanol or bis [ hydroxymethyl ] -cyclohexane, or the like; and polyester polyols obtained by the reaction of these polyols with polybasic acids (e.g., succinic acid, phthalic acid, hexahydrophthalic anhydride, terephthalic acid, adipic acid, azelaic acid, tetrahydrophthalic anhydride, etc.), caprolactone alcohols obtained by the reaction of polyols with epsilon-caprolactone, polycarbonate polyols (e.g., polycarbonate diols obtained by the reaction of 1, 6-hexanediol with diphenyl carbonate, etc.), polyether polyols (e.g., polyethylene glycol, polypropylene glycol, polybutylene glycol, ethylene oxide-modified bisphenol a, etc.), and the like. From the viewpoint of adhesive strength and moisture resistance, the above polyol is preferably propylene glycol, polybutadiene glycol, hydrogenated polybutadiene glycol, polyisoprene glycol or hydrogenated polyisoprene glycol, and from the viewpoint of transparency and flexibility, propylene glycol, hydrogenated polybutadiene glycol or hydrogenated polyisoprene glycol having a weight average molecular weight of 2000 or more is particularly preferable. Hydrogenated polybutadiene diol is preferred from the viewpoint of discoloration such as thermal coloration resistance and compatibility. The upper limit of the weight average molecular weight in this case is not particularly limited, but is preferably 10000 or less, more preferably 5000 or less. Further, two or more kinds of polyhydric alcohols may be used in combination as required.
Examples of the organic polyisocyanate include: isophorone diisocyanate, hexamethylene diisocyanate, toluene diisocyanate, xylene diisocyanate, diphenylmethane-4, 4' -diisocyanate, or tetrahydrodicyclopentadiene isocyanate, and the like. Among them, isophorone diisocyanate is preferred from the viewpoint of toughness.
In addition, as the hydroxyl group-containing (meth) acrylate, for example: hydroxy C2-C4 alkyl (meth) acrylates such as hydroxyethyl (meth) acrylate, hydroxypropyl (meth) acrylate, hydroxybutyl (meth) acrylate and the like, dimethylolcyclohexyl mono (meth) acrylate, hydroxycaprolactone (meth) acrylate, hydroxy-terminated polyalkylene glycol (meth) acrylate and the like.
The reaction for obtaining the urethane (meth) acrylate is carried out, for example, as follows. That is, the urethane oligomer is synthesized by mixing an organic polyisocyanate in a polyol so that the isocyanate group of the organic polyisocyanate is preferably 1.1 to 2.0 equivalents, more preferably 1.1 to 1.5 equivalents, per 1 equivalent of the hydroxyl group of the polyol, and reacting the mixture at a reaction temperature of preferably 70 to 90 ℃. Next, the hydroxyl (meth) acrylate compound is mixed so that 1 to 1.5 equivalents of hydroxyl group of the hydroxyl (meth) acrylate compound is preferably used per 1 equivalent of isocyanate group of the urethane oligomer, and the mixture is reacted at 70 to 90 ℃.
The weight average molecular weight of the urethane (meth) acrylate is preferably from about 7000 to about 100000, more preferably from about 10000 to about 60000. When the weight average molecular weight is less than 7000, shrinkage becomes large, and when the weight average molecular weight is more than 100000, curability becomes poor.
In the ultraviolet curable resin composition of the present invention, the urethane (meth) acrylate may be used alone or in combination of two or more kinds at an arbitrary ratio. The weight ratio of the urethane (meth) acrylate in the photocurable resin composition of the present invention is usually 5 to 90 wt%, preferably 10 to 50 wt%.
The (meth) acrylate having a polyisoprene skeleton has a (meth) acryloyl group at the end or side chain of a polyisoprene molecule. (meth) acrylates having a polyisoprene skeleton are available in the forms of UC-203, UC102 and UC-1 (manufactured by Coly). The number average molecular weight of the (meth) acrylate having a polyisoprene skeleton in terms of polystyrene is preferably from about 1000 to about 50000, more preferably from about 25000 to about 45000.
The weight ratio of the (meth) acrylate having a polyisoprene skeleton in the photocurable resin composition of the present invention is usually 5 to 90 wt%, preferably 10 to 50 wt%.
The ultraviolet-curable resin composition of the present invention contains a photopolymerizable monomer (D). As the photopolymerizable monomer (D), a (meth) acrylate having one (meth) acryloyl group in the molecule may be preferably used. Here, the photopolymerizable monomer (D) means (meth) acrylate other than urethane (meth) acrylate, (meth) acrylate having a polyisoprene or hydrogenated polyisoprene skeleton, (meth) acrylate having a polybutadiene or hydrogenated polybutadiene skeleton.
As the photopolymerizable monomer (D) contained in the ultraviolet curable resin composition of the present invention, a monofunctional acrylate represented by the following formula (1) can be preferably used.
[ solution 5]
Figure GDA0002000678840000091
(in the formula, R1Represents a hydrogen atom or CH3And n represents an integer of 1 to 3)
The composition ratio of the ultraviolet curable resin composition is preferably 1 to 20 wt% of the monofunctional acrylate represented by the above formula (1), 5 to 90 wt% of the photopolymerizable oligomer (C), 5 to 90 wt% of the photopolymerizable monomer (D) other than the formula (1), 0.1 to 5 wt% of the photopolymerization initiator (E), and the balance of the other components.
The monofunctional acrylate represented by the above formula (1) in the ultraviolet-curable resin composition of the present invention includes: 4-hydroxybutyl acrylate, 2-hydroxypropyl acrylate, 3-hydroxypropyl acrylate, 2-hydroxyethyl acrylate and the like may be used in combination of two or more kinds as required. In the above formula (1), when n is 2 or less (particularly when n is 1 or less), R is1Preferably methyl. When n is 3 or more, R1Preferably a hydrogen atom. In the formula (1), when the total carbon number is 2 or more, a resin composition having low volatility and little white turbidity can be obtained, which is preferable. Wherein the adhesive strength is selected from the group consisting ofFrom the viewpoint of whitening resistance, a monofunctional acrylate represented by the following formula (2) is preferred.
[ solution 6]
Figure GDA0002000678840000101
(wherein n represents an integer of 2 to 4.)
As the monofunctional acrylate represented by the above formula (2), there can be mentioned: 4-hydroxybutyl acrylate, 3-hydroxypropyl acrylate, 2-hydroxyethyl acrylate, and the like. Further, from the viewpoint of low volatility, 4-hydroxybutyl acrylate is particularly preferable. The use of a methacrylate resin is not preferable because the curing rate tends to be slow and the curing time is long when the resin composition is actually used.
In the compound represented by the above formula (1), when the total number of carbon atoms other than the acryloyl group is MC and the number of OH groups is MOH, and the number of branches of carbon is MB, MOH/(MC + MB) is preferably 0.3 or less, particularly preferably 0.28 or less, and particularly preferably 0.25 or less. When the molecular weight is within such a range, a high molecular weight is formed to some extent, and therefore, volatilization and white turbidity can be suppressed, and an advantageous effect for preventing whitening due to hydroxyl groups can be achieved. The monofunctional acrylate represented by the above formula (1) which satisfies this condition is hereinafter referred to as a low-volatility whitening-resistant acrylate.
The content of the photopolymerizable monomer represented by the formula (1) is preferably 1 to 20% by weight, more preferably 2 to 10% by weight, and even more preferably 5.5 to 8% by weight. When the content of the component of formula (1) is less than 1%, whitening resistance is lowered. On the other hand, if the amount is 20% by weight or more, bubbles may easily enter during the application, or compatibility with other components may be deteriorated, and the liquid may become cloudy in white.
In the present invention, the incorporation of a methacrylate ester having a hydroxyl group in the ultraviolet curable resin composition is not preferable because it may partially reduce the curing rate or adversely affect physical properties such as whitening resistance. In the case of containing a methacrylate having a hydroxyl group, the content is preferably 10% by weight or less, and particularly preferably 5% by weight or less.
Specific examples of the (meth) acrylate having one (meth) acryloyl group in the molecule other than the photopolymerizable monomer represented by the above formula (1) include: 5-25 carbon atoms alkyl (meth) acrylates such as isooctyl (meth) acrylate, isoamyl (meth) acrylate, lauryl (meth) acrylate, isodecyl (meth) acrylate, stearyl (meth) acrylate, cetyl (meth) acrylate, isotetradecyl (meth) acrylate, isostearyl (meth) acrylate, tridecyl (meth) acrylate, benzyl (meth) acrylate, tetrahydrofurfuryl (meth) acrylate, acryloylmorpholine, phenylglycidyl (meth) acrylate, tricyclodecane (meth) acrylate, dihydrodicyclopentadienyl oxyethyl (meth) acrylate, isobornyl (meth) acrylate, tetrahydrodicyclopentadienyl (meth) acrylate, 1-adamantyl acrylate, and mixtures thereof, 2-methyl-2-adamantyl acrylate, 2-ethyl-2-adamantyl acrylate, 1-adamantyl methacrylate, polypropylene oxide-modified nonylphenyl (meth) acrylate, (meth) acrylic acid esters having a cyclic skeleton such as dicyclopentadiene oxyethyl (meth) acrylate, C5-7 alkyl (meth) acrylates having a hydroxyl group, ethoxydiglycol (meth) acrylate, polypropylene glycol (meth) acrylate, polyalkylene glycol (meth) acrylates such as polypropylene oxide-modified nonylphenyl (meth) acrylate, ethylene oxide-modified phenoxyated phosphoric acid (meth) acrylate, ethylene oxide-modified butoxylated phosphoric acid (meth) acrylate, ethylene oxide-modified octyloxylated phosphoric acid (meth) acrylate, ethylene oxide-modified butoxylated phosphoric acid (meth) acrylate, and ethylene oxide-modified octyloxylated phosphoric acid (meth) acrylate, Caprolactone-modified tetrahydrofurfuryl (meth) acrylate, and the like.
The composition of the present invention may contain (a (meth) acrylate other than a (meth) acrylate having one (meth) acryloyl group in the molecule) within a range not impairing the characteristics of the present invention. Examples thereof include: trimethylol C2 to C10 alkane polyalkoxy tri (meth) acrylates such as tricyclodecane dimethanol di (meth) acrylate, dioxane diol di (meth) acrylate, polypropylene glycol di (meth) acrylate, polytetramethylene glycol di (meth) acrylate, alkylene oxide-modified bisphenol A type di (meth) acrylate, caprolactone-modified hydroxypivalic acid neopentyl glycol di (meth) acrylate, ethylene oxide-modified phosphoric acid di (meth) acrylate, trimethylolpropane tri (meth) acrylate, trimethyloloctane tri (meth) acrylate and the like, trimethylolpropane polyethoxy tri (meth) acrylate, trimethylolpropane polypropoxy tri (meth) acrylate, trimethylolpropane polyethoxy poly (meth) acrylate and the like,trimethylolpropane 2 to C10 alkane polyalkoxy tri (meth) acrylates, and the like, And alkylene oxide-modified trimethylolpropane tri (meth) acrylate such as tris [ (meth) acryloyloxyethyl ] isocyanurate, pentaerythritol tri (meth) acrylate, ethylene oxide-modified trimethylolpropane tri (meth) acrylate, propylene oxide-modified trimethylolpropane tri (meth) acrylate, pentaerythritol polyethoxy tetra (meth) acrylate, pentaerythritol polypropoxy tetra (meth) acrylate, pentaerythritol tetra (meth) acrylate, ditrimethylolpropane tetra (meth) acrylate, dipentaerythritol penta (meth) acrylate, dipentaerythritol hexa (meth) acrylate, and the like.
In the present invention, when used in combination, a monofunctional or bifunctional (meth) acrylate is preferably used in order to suppress curing shrinkage.
In the ultraviolet curable resin composition of the present invention, these (meth) acrylate monomer components may be used alone or in combination of two or more at an arbitrary ratio. The weight ratio of the photopolymerizable monomer (D) other than the formula (1) in the photocurable transparent resin composition of the present invention is usually 5 to 90% by weight, preferably 10 to 50% by weight. When the amount is less than 5% by weight, curability is poor, and when the amount is more than 90% by weight, shrinkage increases.
In the present invention, the ratio (weight ratio) of the component of formula (1) to the component of formula (10) is preferably in the range of 1:2 to 1:25, and particularly preferably in the range of 1:3 to 1: 15.
In the ultraviolet curable resin composition of the present invention, an epoxy (meth) acrylate may be used within a range not impairing the characteristics of the present invention. Epoxy (meth) acrylates have functions of improving curability and improving hardness and curing speed of cured products. The epoxy (meth) acrylate may be any epoxy (meth) acrylate obtained by reacting a glycidyl ether type epoxy compound with (meth) acrylic acid, and examples of the glycidyl ether type epoxy compound preferably used for obtaining an epoxy (meth) acrylate include: diglycidyl ether of bisphenol a or an alkylene oxide adduct thereof, diglycidyl ether of bisphenol F or an alkylene oxide adduct thereof, diglycidyl ether of hydrogenated bisphenol a or an alkylene oxide adduct thereof, diglycidyl ether of hydrogenated bisphenol F or an alkylene oxide adduct thereof, ethylene glycol diglycidyl ether, propylene glycol diglycidyl ether, neopentyl glycol diglycidyl ether, butanediol diglycidyl ether, hexanediol diglycidyl ether, cyclohexanedimethanol diglycidyl ether, polypropylene glycol diglycidyl ether, and the like.
The epoxy (meth) acrylate can be obtained by reacting these glycidyl ether type epoxy compounds with (meth) acrylic acid under the conditions described below.
The reaction is carried out in a ratio of 0.9 to 1.5 mol, more preferably 0.95 to 1.1 mol, based on 1 equivalent of (meth) acrylic acid to an epoxy group of the glycidyl ether type epoxy compound. The reaction temperature is preferably from 80 ℃ to 120 ℃ and the reaction time is from about 10 hours to about 35 hours. To promote the reaction, a catalyst such as triphenylphosphine, TAP, triethanolamine, tetraethylammonium chloride, or the like is preferably used. In addition, p-methoxyphenol, methylhydroquinone, and the like may be used as a polymerization inhibitor for preventing polymerization during the reaction.
The epoxy (meth) acrylate that can be preferably used in the present invention is a bisphenol a type epoxy (meth) acrylate obtained from a bisphenol a type epoxy compound. The weight average molecular weight of the epoxy (meth) acrylate is preferably 500 to 10000.
The weight ratio of the epoxy (meth) acrylate in the ultraviolet curable resin composition of the present invention is usually 1 to 80% by weight, preferably 5 to 30% by weight.
The photopolymerization initiator (E) contained in the composition of the present invention is not particularly limited, and examples thereof include: 2,4, 6-trimethylbenzoyldiphenylphosphine oxide, 2,4, 6-trimethylbenzoylphenylethoxyphosphine oxide, bis (2,4, 6-trimethylbenzoyl) -phenylphosphine oxide, bis (2, 6-dimethoxybenzoyl) -2,4, 4-trimethylpentylphosphine oxide, 1-hydroxycyclohexylphenylmethanone (Irgacure 184; manufactured by BASF.), 2-hydroxy-2-methyl- [4- (1-methylvinyl) phenyl ] propanol oligomer (ESACURE ONE; manufactured by Ningbodi), 1- [4- (2-hydroxyethoxy) -phenyl ] -2-hydroxy-2-methyl-1-propan-1-ONE (Irgacure 2959; manufactured by BASF), 2-hydroxy-1- {4- [4- (2-hydroxy-2-methylpropanoyl) -benzyl ] -phenyl } -2-methylpropan-1-one (Irgacure 127; manufactured by BASF), 2-dimethoxy-2-phenylacetophenone (Irgacure 651; manufactured by BASF), 2-hydroxy-2-methyl-1-phenylpropan-1-one (Darocur 1173; manufactured by BASF), 2-methyl-1- [4- (methylthio) phenyl ] -2-morpholinopropan-1-one (Irgacure 907; manufactured by BASF), a mixture of 2- [ 2-oxo-2-phenylacetyloxyethoxy ] ethyl oxophenylacetate and 2- [ 2-hydroxyethoxy ] ethyl oxophenylacetate (Irgacure 754; manufactured by BASF), 2-benzyl-2-dimethylamino-1- (4-morpholinylphenyl) -butan-1-one, 2-chlorothioxanthone, 2, 4-dimethylthioxanthone, 2, 4-diisopropylthioxanthone, isopropylthioxanthone, and the like.
In the present invention, it is preferable to use a photopolymerization initiator (E) having a molar extinction coefficient at 302nm or 313nm of 300ml/(g · cm) or more and a molar extinction coefficient at 365nm of 100ml/(g · cm) or less, as measured in acetonitrile or methanol. The use of such a photopolymerization initiator can contribute to improvement in adhesive strength. When the molar extinction coefficient at 302nm or 313nm is 300ml/(g · cm) or more, the curing in the followingstep 3 becomes sufficient. On the other hand, when the molar extinction coefficient at 365nm is 100ml/(g · cm) or less, excessive curing can be appropriately suppressed at the time of curing in the followingstep 1, and adhesiveness can be improved.
Examples of such photopolymerization initiators (E) include: 1-hydroxycyclohexyl phenyl ketone (Irgacure 184; manufactured by BASF), 2-hydroxy-2-methyl-1-phenyl-propan-1-one (Darocur 1173; manufactured by BASF), 1- [4- (2-hydroxyethoxy) -phenyl ] -2-hydroxy-2-methyl-1-propan-1-one (Irgacure 2959; manufactured by BASF), methyl phenylglyoxylate (Darocur MBF; manufactured by BASF) and the like.
In the ultraviolet curable resin composition of the present invention, these photopolymerization initiators (E) may be used singly or in combination of two or more at an arbitrary ratio. The weight ratio of the photopolymerization initiator (E) in the photocurable resin composition of the present invention is usually 0.2 to 5% by weight, preferably 0.3 to 3% by weight. When the amount is more than 5% by weight, there is a possibility that an uncured portion cannot be formed or transparency of the resin cured layer is deteriorated when a cured layer having a cured portion and an uncured portion existing on the side opposite to the optical substrate side is obtained.
The ultraviolet curable resin composition of the present invention may contain additives described later as other components.
Further, amines and the like which are usable as photopolymerization initiation aids may be used in combination with the photopolymerization initiator. Examples of amines that can be used include: 2-dimethylaminoethyl benzoate, dimethylaminoacetophenone, ethyl p-dimethylaminobenzoate, isoamyl p-dimethylaminobenzoate, and the like. When the photopolymerization initiator such as an amine is used, the content of the photopolymerization initiator in the adhesive resin composition of the present invention is usually 0.005 to 5% by weight, preferably 0.01 to 3% by weight.
The ultraviolet-curable resin composition of the present invention may contain additives such as an antioxidant, an organic solvent, a silane coupling agent, a polymerization inhibitor, a leveling agent, an antistatic agent, a surface lubricant, a fluorescent whitening agent, a light stabilizer (e.g., a hindered amine compound), and a filler, if necessary.
Specific examples of the antioxidant include: BHT, 2, 4-bis (n-octylthio) -6- (4-hydroxy-3, 5-di-tert-butylanilino) -1,3, 5-triazine, pentaerythrityl tetrakis [3- (3, 5-di-tert-butyl-4-hydroxyphenyl) propionate ], 2-thiodiethylene bis [3- (3, 5-di-tert-butyl-4-hydroxyphenyl) propionate ], triethylene glycol bis [3- (3-tert-butyl-5-methyl-4-hydroxyphenyl) propionate ], 1, 6-hexanediol bis [3- (3-tert-butyl-5-methyl-4-hydroxyphenyl) propionate ], octadecyl 3- (3, 5-di-tert-butyl-4-hydroxyphenyl) propionate, poly (ethylene glycol) hydrochloride), poly (ethylene glycol hydrochloride), poly, N, N-hexamethylenebis (3, 5-di-tert-butyl-4-hydroxyhydrocinnamamide), 1,3, 5-trimethyl-2, 4, 6-tris (3, 5-di-tert-butyl-4-hydroxybenzyl) benzene, tris (3, 5-di-tert-butyl-4-hydroxybenzyl) isocyanurate, octylated diphenylamine, 2, 4-bis [ (octylthio) methyl ] o-cresol, isooctyl 3- (3, 5-di-tert-butyl-4-hydroxyphenyl) propionate, dibutylhydroxytoluene, and the like.
Specific examples of the organic solvent include: alcohols such as methanol, ethanol, and isopropanol; dimethyl sulfone, dimethyl sulfoxide, tetrahydrofuran, dioxane, toluene, xylene, and the like.
Specific examples of the silane coupling agent include 3-glycidoxypropyltrimethoxysilane, 3-glycidoxypropylmethyldimethoxysilane, 2- (3, 4-epoxycyclohexyl) ethyltrimethoxysilane, N- (2-aminoethyl) 3-aminopropylmethyldimethoxysilane, gamma-mercaptopropyltrimethoxysilane, N- (2-aminoethyl) -3-aminopropylmethyltrimethoxysilane, 3-aminopropyltriethoxysilane, 3-mercaptopropyltrimethoxysilane, vinyltrimethoxysilane, N- (2- (vinylbenzylamino) ethyl) 3-aminopropyltrimethoxysilane hydrochloride, 3-methacryloxypropyltrimethoxysilane, 3-chloropropylmethyldimethoxysilane, 3-chloropropyltrimethoxysilane and 3-chloropropyltrimethoxysilane, isopropyl (N-ethylaminoethylamino) titanate, isopropyltriisostearoyltitanate, bis (dioctylphosphate) oxoacetate titanium tetraisopropylbis (dioctylphosphite) titanate, neoalkoxytris (p-N- (β -aminoethyl) aminophenyl) titanate, zirconium acetylacetonate, aluminum (aluminum) zirconate, zirconium (aluminum) carbonate, zirconium (aluminum) titanate, zirconium (aluminum) acrylate, zirconium (aluminum) zirconate, zirconium (aluminum) carbonate), zirconium (aluminum) zirconate) and zirconium (aluminum) zirconate).
Specific examples of the polymerization inhibitor include: p-methoxyphenol, methylhydroquinone, and the like.
Specific examples of the light stabilizer include a mixed ester of a hindered spiro [2, 2,6, 6-pentamethyl-4-piperidinol ] such as a 1,2, 6, 6-tetramethyl-4-piperidinol, a 1,2,2,6, 6-pentamethyl-4-piperidinol (methyl) acrylate, a tetra (2,2,6, 6-tetramethyl-4-piperidino) 1,2,3, 4-butanetetracarboxylic acid tetra (1,2,2,6, 6-pentamethyl-4-piperidino) ester, a tetra (2,2,6, 6-tetramethyl-4-piperidino) ester such as a 1,2,3, 4-butanetetracarboxylic acid tetra (2,2, 6-tetramethyl-4-piperidyl) ester, a 1,2, 6, 6-pentamethyl-4-piperidyl) ester, a 1,2, 6, 6-butanetetracarboxylic acid tetra (2,2,6, 6-tetramethyl-4-piperidyl) ester, a bis (2,2, 2,6, 6-pentamethyl-4-piperidyl) -2, 8, 10-tetraoxaspiro [5.5] undecane, a bis (2-tetramethyl-4-1, 2,2, 6-tetramethyl-1, 6-4-piperidyl) propane-4, 6-propane-2, 6-propane-2, a bis (2, 6-4-2, 6-propane-2, 6-propane-2, 6-propane-2, 2, 6-propane-2, 6-propane-4-propane-2, 6-propane-2, propane-2, 2, propane-4-propane-2, propane-2, propane-2, propane-2, propane-4-propane-2, propane-4-propane-2, propane-2, propane-2, propane-4-2, propane-2, propane-2, propane-2, propane-2, propane-2, propane-2-propane-2, propane-2, propane-2, propane-2, propane.
Specific examples of the filler include: crystalline silica, fused silica, alumina, zircon, calcium silicate, calcium carbonate, silicon carbide, silicon nitride, boron nitride, zirconia, forsterite, steatite, spinel, titanium dioxide, talc and other powders, or beads obtained by spheroidizing these powders.
When various additives are present in the composition, the weight ratio of the various additives in the photocurable transparent resin composition is 0.01 to 3 wt%, preferably 0.01 to 1 wt%, and more preferably 0.02 to 0.5 wt%.
The ultraviolet curable resin composition of the present invention can be obtained by mixing and dissolving the above components at room temperature to 80 ℃ and, if necessary, removing the inclusions by filtration or the like. In view of coatability, the adhesive resin composition of the present invention is preferably prepared such that the viscosity at 25 ℃ is in the range of 300 to 40000 mPas by appropriately adjusting the blending ratio of the components.
Next, a preferred embodiment of the process for producing an optical member using the ultraviolet curable resin composition of the present invention will be described.
In the method for producing an optical member of the present invention, it is preferable that at least two optical substrates are bonded by the following (step 1) to (step 3). In the case where it is determined that sufficient adhesive strength can be secured in the stage of (step 2) (step 3) can be omitted.
(step 1) a step of applying the ultraviolet curable resin composition on at least one optical substrate to form a coating layer, and irradiating the coating layer with ultraviolet rays to obtain an optical substrate having a cured product layer having a cured part (hereinafter referred to as "cured part of the cured product" or simply as "cured part") present on the optical substrate side (lower side of the coating layer) in the coating layer and an uncured part (hereinafter referred to as "uncured part of the cured product" or simply as "uncured part") present on the side opposite to the optical substrate side (upper side of the coating layer, usually atmospheric side). In thestep 1, the curing rate of the coating layer after the ultraviolet irradiation is not particularly limited as long as an uncured portion is present on the surface on the side opposite to the optical substrate side (the upper side of the coating layer, usually the atmospheric side). After the ultraviolet irradiation, the side opposite to the optical substrate side (the upper side of the coating layer, usually the atmospheric side) was touched with a finger, and when a liquid component was adhered to the finger, it was judged that there was an uncured portion.
(step 2) a step of bonding another optical substrate to the uncured part of the cured layer of the optical substrate obtained instep 1 or bonding the uncured part of the cured layer of the other optical substrate obtained instep 1.
(step 3) a step of irradiating the cured product layer having an uncured portion of the bonded optical substrates with ultraviolet rays through the optical substrate having a light-shielding portion to cure the cured product layer.
Hereinafter, a specific embodiment of the method for manufacturing an optical member according to the present invention throughsteps 1 to 3 will be described with reference to the drawings, taking as an example the attachment of a liquid crystal display cell to a transparent substrate having a light shielding portion.
Here, when two or more substrates are bonded, the ultraviolet-curable resin composition of the present invention is applied to at least one substrate in the state of a liquid resin, and the other substrate is bonded in the state of a liquid resin or in the state of having an uncured portion, and then cured by ultraviolet rays, and in this case, a particularly excellent adhesive effect is exhibited, and inclusion of air can be prevented, and therefore, it is particularly preferable to use it in this case.
(first embodiment)
FIG. 1 is a process diagram showing a first embodiment of a process for producing an optical member using the ultraviolet curable resin composition of the present invention.
This method is a method of obtaining an optical member by bonding the liquidcrystal display unit 1 and thetransparent substrate 2.
The liquidcrystal display unit 1 is a liquid crystal display unit including a polarizing plate, a driving circuit, a signal input cable, and a backlight unit, which are members in which a liquid crystal material is sealed between a pair of substrates on which electrodes are formed.
Thetransparent substrate 2 is a glass plate, a polymethyl methacrylate (PMMA) plate, a Polycarbonate (PC) plate, an alicyclic polyolefin polymer (COP) plate, an acrylic resin, a polyethylene terephthalate, or the like. The transparent substrate may be subjected to hard coat treatment or antireflection treatment on one or both surfaces thereof.
Here, thetransparent substrate 2 may preferably be a transparent substrate having a black frame-shapedlight shielding portion 4 on a surface of the transparent substrate, and thelight shielding portion 4 may be formed by attaching a tape, applying or printing a paint, or the like. The present invention can also be applied to a transparent substrate without thelight shielding portion 4, but in the following description of the first to third embodiments, a case where thelight shielding portion 4 is provided will be described as a specific example. In the case where thelight shielding portion 4 is not provided, if the "transparent substrate having the light shielding portion" is replaced with the "transparent substrate", it can be directly regarded as an example of the case where the light shielding portion is not provided.
(step 1)
First, as shown in fig. 1(a), an ultraviolet curable resin composition is applied to the surface of the display surface of the liquidcrystal display cell 1 and the surface of thetransparent substrate 2 having the light shielding portion on which the light shielding portion is formed. Examples of the coating method include: slit coaters, roll coaters, spin coaters, screen printing methods, and the like. Here, the ultraviolet curable resin compositions applied to the surfaces of the liquidcrystal display unit 1 and thetransparent substrate 2 having the light shielding portion may be the same or different ultraviolet curable resin compositions may be used. Generally, it is preferable that both are the same ultraviolet-curable resin composition. Here, when the light-shielding layer is provided on thetransparent substrate 2, it is preferable that the resin composition reaches the light-shielding layer by eliminating a height difference between the substrate and the light-shielding layer.
The thickness of the cured product of each ultraviolet curable resin is adjusted so that the resin curedlayer 7 after bonding is 50 to 500 μm, preferably 50 to 350 μm, and more preferably 100 to 350 μm. Here, the thickness of the cured product layer of the ultraviolet curable resin present on the surface of thetransparent substrate 2 having the light shielding portion depends on the thickness thereof, but it is generally preferable that the thickness is about the same as or larger than the thickness of the cured product layer of the ultraviolet curable resin present on the surface of the liquidcrystal display unit 1. This is to minimize the remaining uncured portion after the irradiation of ultraviolet rays instep 3 described later, thereby eliminating the possibility of curing failure.
The ultraviolet-curableresin composition layer 5 after coating is irradiated withultraviolet rays 8 to obtain a coating layer having a cured portion (not shown) present on the lower side of the coating layer (the liquid crystal display cell side or the transparent substrate side as viewed from the ultraviolet-curable resin composition) and an upper side (the side opposite to the liquid crystal display cell side or the side opposite to the transparent substrate side) of the coating layer (when performed in the airAtmospheric side) of thelayer 6 of cured material in the uncured portion (not shown in the figure). The irradiation dose is preferably 5 to 2000mJ/cm2Particularly preferably 10 to 1000mJ/cm2. When the irradiation amount is too small, the degree of curing of the resin of the optical member to be finally bonded may be insufficient, and when the irradiation amount is too large, the uncured component may be reduced, and the bonding between the liquidcrystal display unit 1 and thetransparent substrate 2 having the light shielding portion may be poor.
In the present invention, "uncured" means a state having fluidity in an environment of 25 ℃. Further, when the resin composition layer was touched with a finger after the ultraviolet irradiation and a liquid component was attached to the finger, it was judged that there was an uncured portion.
When curing is performed by ultraviolet to near ultraviolet irradiation, the light source is not particularly limited as long as the lamp irradiates ultraviolet to near ultraviolet light. Examples thereof include: low-pressure mercury lamps, high-pressure mercury lamps or ultra-high-pressure mercury lamps, metal halide lamps, (pulsed) xenon lamps or electrodeless lamps, etc.
Instep 1 of the present invention, the wavelength of the ultraviolet ray irradiated to the ultraviolet-curable resin composition is not particularly limited, and when the maximum illuminance in the range of 320nm to 450nm is 100, the ratio of the maximum illuminance (illuminance ratio) in the range of 200nm to 320nm is preferably 30 or less, and particularly preferably the illuminance in the range of 200nm to 320nm is 10 or less.
When the maximum illuminance in the range of 320 to 450nm is set to 100, the adhesive strength of the optical member finally obtained is deteriorated if the ratio of the maximum illuminance in the range of 200 to 320nm (illuminance ratio) is higher than 30. This is believed to be due to: when the illuminance at a low wavelength is high, curing of the ultraviolet-curable resin composition proceeds excessively during curing instep 1, and the contribution of ultraviolet irradiation to the adhesion during curing decreases instep 3.
Here, as a method of irradiating ultraviolet rays so as to achieve the above illuminance ratio, for example, a method of applying a lamp satisfying the condition of the illuminance ratio as a lamp for irradiating ultraviolet to near ultraviolet rays; alternatively, even when the lamp itself does not satisfy the condition of illuminance, irradiation can be performed at the illuminance ratio described above by using a substrate (for example, a short-wavelength ultraviolet ray cut filter, a glass plate, a thin film, or the like) that cuts short-wavelength ultraviolet rays during irradiation instep 1. The base material for adjusting the illuminance ratio of ultraviolet rays is not particularly limited, and examples thereof include: glass plates, soda-lime glass, PET films, etc. subjected to short-wave ultraviolet ray cut treatment. It is not effective to use an attenuation plate or the like having a surface of quartz glass or the like subjected to a rough treatment. These attenuation plates scatter light to reduce illuminance, and therefore, are not suitable for selectively reducing illuminance at short wavelengths of 320nm or less.
Instep 1, it is generally preferable that the irradiation of ultraviolet rays is performed from the upper surface of the coating side (the side opposite to the liquid crystal display cell side or the side opposite to the transparent substrate side when viewed from the ultraviolet curable resin composition) (generally, the atmospheric surface) in the atmosphere. After the vacuum-pumping, the ultraviolet ray may be irradiated while spraying a curing-inhibiting gas on the upper surface of the coating layer. In the case where the resin composition is cured in the atmosphere, the side opposite to the liquid crystal display cell side or the side opposite to the transparent substrate side is the atmosphere side. When it is desired to increase the viscosity of the surface of the coating layer formed instep 1, ultraviolet rays may be irradiated in a vacuum atmosphere or in an atmosphere of a gas such as nitrogen gas in which curing inhibition does not occur.
On the other hand, whenstep 3 is omitted, curing may be performed in a vacuum or while spraying a curing accelerating gas (e.g., nitrogen gas). This enables sufficient adhesion to be performed even ifstep 3 is omitted.
When the ultraviolet ray is irradiated, the state of the uncured part and the film thickness of the uncured part can be adjusted by blowing oxygen or ozone to the surface of the ultraviolet ray curable resin layer (coating layer).
That is, oxygen or ozone is blown to the surface of the coating layer to cause oxygen inhibition of curing of the ultraviolet curable resin composition on the surface, and thus, uncured portions of the surface can be secured or the film thickness of the uncured portions can be increased.
(step 2)
Next, the liquidcrystal display unit 1 and thetransparent substrate 2 having a light shielding portion are bonded so that the uncured portions face each other, as shown in fig. 1 (b). The bonding may be performed in either of the atmosphere and vacuum.
Here, in order to prevent bubbles from being generated at the time of bonding, bonding is preferably performed in vacuum.
In this way, cured products of the ultraviolet curable resin having a cured portion and an uncured portion are obtained on the liquid crystal display cell and the transparent substrate, respectively, and then the cured products are bonded to each other, and improvement of the adhesive strength can be expected.
The bonding can be performed by pressing, or the like.
(step 3)
Next, as shown in fig. 1(c), the optical member obtained by bonding thetransparent substrate 2 and the liquidcrystal display unit 1 is irradiated withultraviolet light 8 from thetransparent substrate 2 side having a light shielding portion, thereby curing the ultraviolet curable resin composition (coating layer).
The dose of the ultraviolet ray is preferably about 100 to 4000mJ/cm in terms of cumulative light amount2Particularly preferably from about 200 to about 3000mJ/cm2. The light source used for curing by irradiation with ultraviolet to near ultraviolet light is not particularly limited as long as it is a lamp that irradiates ultraviolet to near ultraviolet light. Examples thereof include: low-pressure mercury lamps, high-pressure mercury lamps or ultra-high-pressure mercury lamps, metal halide lamps, (pulsed) xenon lamps or electrodeless lamps, etc.
In this manner, an optical member as shown in fig. 5 can be obtained.
(second embodiment)
The optical member of the present invention can also be manufactured by the second embodiment modified as described below in addition to the first embodiment. The same details as those in the first embodiment are applied to the details in each step, and therefore, the description of the same parts is omitted.
(step 1)
First, as shown in fig. 2(a), an ultraviolet curable composition is applied to the surface of thetransparent substrate 2 having the light-shieldingportion 4 formed thereon, and then the resultant coating layer (ultraviolet curable resin composition layer 5) is irradiated withultraviolet light 8, thereby obtaining a curedlayer 6 having a cured portion present on the lower side (transparent substrate side as viewed from the ultraviolet curable resin composition) of the coating layer and an uncured portion present on the upper side (opposite side to the transparent substrate side) of the coating layer. Here, when the light-shielding layer is provided on thetransparent substrate 2, it is preferable that the resin composition reaches the light-shielding layer by eliminating a height difference between the substrate and the light-shielding layer.
In this case, the wavelength of the ultraviolet ray irradiated to the ultraviolet ray curable resin composition is not particularly limited, and when the maximum illuminance in the range of 320nm to 450nm is 100, the ratio of the maximum illuminance in the range of 200nm to 320nm is preferably 30 or less, and particularly preferably the illuminance in the range of 200nm to 320nm is 10 or less. When the maximum illuminance in the range of 320 to 450nm is 100 and the ratio of the maximum illuminance in the range of 200 to 320nm is higher than 30, the adhesive strength of the finally obtained optical member is deteriorated.
(step 2)
Next, as shown in fig. 2(b), the liquidcrystal display unit 1 and thetransparent substrate 2 having a light shielding portion are bonded so that the uncured portion of the obtained curedmaterial layer 6 faces the display surface of the liquidcrystal display unit 1. The bonding may be performed in either of the atmosphere and vacuum.
(step 3)
Next, as shown in fig. 2(c), the optical member obtained by bonding thetransparent substrate 2 and the liquidcrystal display unit 1 is irradiated withultraviolet light 8 from thetransparent substrate 2 side having a light shielding portion, thereby curing the curedlayer 6 having the uncured portion of the ultraviolet curable resin composition.
In this manner, an optical member as shown in fig. 5 can be obtained.
(third embodiment)
FIG. 3 is a process diagram showing a third embodiment of a method for producing an optical member using the ultraviolet curable resin composition of the present invention. The same details as those in the first embodiment are applied to the details in each step, and therefore, the description of the same parts is omitted.
In the drawings, the same members as those in the first embodiment are denoted by the same reference numerals, and the description thereof will not be repeated.
(step 1)
First, as shown in fig. 3(a), an ultraviolet curable composition is applied to the surface of the liquidcrystal display unit 1. Then, the ultraviolet curableresin composition layer 5 is irradiated withultraviolet rays 8, thereby obtaining a curedlayer 6 having a cured portion existing on the lower side (transparent substrate side as viewed from the ultraviolet curable resin composition) of the coating layer and an uncured portion existing on the upper side (opposite side to the transparent substrate side) of the coating layer.
In this case, the wavelength of the ultraviolet ray irradiated to the ultraviolet-curable resin composition is not particularly limited, and when the maximum illuminance in the range of 320nm to 450nm is 100, the maximum illuminance in the range of 200nm to 320nm is preferably 30 or less, and particularly preferably 10 or less. When the maximum illuminance in the range of 320 to 450nm is 100 and the maximum illuminance in the range of 200 to 320nm is higher than 30, the adhesive strength of the finally obtained optical member is deteriorated.
(step 2)
Next, as shown in fig. 3(b), the liquidcrystal display unit 1 and thetransparent substrate 2 having a light-shielding portion are bonded so that the uncured portion of the obtained curedproduct layer 6 faces the surface of thetransparent substrate 2 having a light-shielding portion formed thereon. The bonding may be performed in either of the atmosphere and vacuum.
(step 3)
Next, as shown in fig. 3(c), the optical member obtained by bonding thetransparent substrate 2 and the liquidcrystal display unit 1 is irradiated withultraviolet light 8 from thetransparent substrate 2 side having a light shielding portion, thereby curing the curedlayer 6 having the uncured portion of the ultraviolet curable resin composition.
In this manner, an optical member as shown in fig. 5 can be obtained.
(fourth embodiment)
The optical member of the present invention can also be manufactured by a fourth embodiment modified as follows from the first embodiment. The same details as those in the first embodiment are applied to the details in each step, and therefore, the description of the same parts is omitted. The fourth embodiment is described in the second embodiment in which thestep 3 is omitted, and may be similarly omitted in the first embodiment or the third embodiment.
(step 1)
First, as shown in fig. 4(a), an ultraviolet curable composition is applied to the surface of thetransparent substrate 2 having the light-shieldingportion 4 formed thereon, and then the resultant coating layer (ultraviolet curable resin composition layer 5) is irradiated withultraviolet light 8, thereby obtaining a curedlayer 6 having a cured portion present on the lower side (transparent substrate side as viewed from the ultraviolet curable resin composition) of the coating layer and an uncured portion present on the upper side (opposite side to the transparent substrate side) of the coating layer. Here, when the light-shielding layer is provided on thetransparent substrate 2, it is preferable that the resin composition reaches the light-shielding layer by eliminating a height difference between the substrate and the light-shielding layer.
In this case, the wavelength of the ultraviolet ray irradiated to the ultraviolet ray curable resin composition is not particularly limited, and when the maximum illuminance in the range of 320nm to 450nm is 100, the ratio of the maximum illuminance in the range of 200nm to 320nm is preferably 30 or less, and particularly preferably the illuminance in the range of 200nm to 320nm is 10 or less. When the maximum illuminance in the range of 320 to 450nm is 100 and the ratio of the maximum illuminance in the range of 200 to 320nm is higher than 30, the adhesive strength of the finally obtained optical member is deteriorated.
(step 2)
Next, as shown in fig. 4(b), the liquidcrystal display unit 1 and thetransparent substrate 2 having a light shielding portion are bonded so that the uncured portion of the obtained curedmaterial layer 6 faces the display surface of the liquidcrystal display unit 1. The bonding may be performed in either of the atmosphere and vacuum.
In this manner, an optical member as shown in fig. 5 can be obtained.
In the above embodiments, several embodiments of the method for manufacturing an optical member according to the present invention are described using a specific optical base material. In the embodiments, the liquid crystal display unit and the transparent substrate having the light shielding portion are used for the description, but in the manufacturing method of the present invention, various members described later may be used as the optical base material instead of the liquid crystal display unit, and various members described later may be used as the optical base material for the transparent substrate.
In addition, as optical substrates such as liquid crystal display cells and transparent substrates, other optical substrate layers (for example, films laminated with a cured product layer of an ultraviolet-curable resin composition or layers obtained by laminating other optical substrate layers) can be further used in these various members.
The method for applying the ultraviolet curable resin composition, the film thickness of the cured resin, the irradiation amount and light source during ultraviolet irradiation, and the method for adjusting the film thickness of the uncured portion by blowing oxygen, nitrogen, or ozone onto the surface of the ultraviolet curable resin layer, which are described in the first embodiment, are not limited to the above embodiments, and can be used in any of the production methods included in the present invention.
Specific embodiments of the optical member manufactured according to the first to third embodiments including the liquid crystal display unit are described below.
(i) The following modes are adopted: the optical substrate having a light-shielding portion is at least one optical substrate selected from the group consisting of a transparent glass substrate having a light-shielding portion, a transparent resin substrate having a light-shielding portion, and a glass substrate on which a light-shielding portion and a transparent electrode are formed, the optical substrate bonded thereto is at least one display unit selected from the group consisting of a liquid crystal display unit, a plasma display unit, and an organic EL unit, and the obtained optical member is a display unit provided with the optical substrate having a light-shielding portion.
(ii) The following modes are adopted: one optical substrate is a protective substrate having a light-shielding portion, the other optical substrate bonded to the one optical substrate is a touch panel or a display unit having a touch panel, and an optical member obtained by bonding at least two optical substrates is a touch panel having a protective substrate having a light-shielding portion or a display unit having the touch panel.
In this case, instep 1, it is preferable to coat the ultraviolet curable resin composition on one or both of the surface of the protective substrate having the light shielding portion on which the light shielding portion is provided and the touch surface of the touch panel.
(iii) The following modes are adopted: one optical substrate is an optical substrate having a light shielding portion, the other optical substrate bonded thereto is a display unit, and an optical member obtained by bonding at least two optical substrates is a display unit including an optical substrate having a light shielding portion.
In this case, instep 1, it is preferable to coat the ultraviolet curable resin composition on one or both of the surface of the optical substrate having the light shielding portion on the side where the light shielding portion is provided and the display surface of the display unit.
Specific examples of the optical substrate having a light shielding portion include: a protective plate for a display screen having a light-shielding portion, a touch panel provided with a protective base material having a light-shielding portion, or the like.
For example, when the optical substrate having the light shielding portion is a protective plate for a display screen having the light shielding portion, the surface of the optical substrate having the light shielding portion on the side where the light shielding portion is provided means the surface of the protective plate on the side where the light shielding portion is provided. In addition, when the optical substrate having the light shielding portion is a touch panel including a protective substrate having the light shielding portion, the surface of the protective substrate having the light shielding portion is bonded to the touch surface of the touch panel, and therefore, the surface of the optical substrate having the light shielding portion on the side where the light shielding portion is provided is the substrate surface of the touch panel opposite to the touch surface of the touch panel.
The light shielding portion of the optical substrate having the light shielding portion may be located at any position of the optical substrate, but is generally formed in a frame shape around the transparent plate-like or sheet-like optical substrate, and has a width of about 0.5mm to about 10mm, preferably about 1mm to about 8mm, and more preferably about 2mm to about 8 mm.
The ultraviolet curable resin composition of the present invention can be used in a method for producing an optical member by bonding at least two optical substrates by the above-described (step 1) to (step 2) and, if necessary, (step 3).
The cure shrinkage of the cured product of the ultraviolet curable resin composition of the present invention is preferably 4.0% or less, and particularly preferably 3.0% or less. Thus, when the ultraviolet curable resin composition is cured, the internal stress accumulated in the cured resin can be reduced, and the occurrence of strain at the interface between the substrate and the layer comprising the cured product of the ultraviolet curable resin composition can be effectively prevented.
In addition, when the substrate such as glass is thin, the curing shrinkage ratio is preferably small because the warpage during curing is large and the display performance is greatly adversely affected when the curing shrinkage ratio is large.
The transmittance of a cured product of the ultraviolet curable resin composition of the present invention at 400nm to 800nm is preferably 90% or more. This is because: when the transmittance is less than 90%, light is hardly transmitted, and visibility is reduced when the liquid crystal display device is used.
Further, since a further improvement in visibility can be expected when the transmittance of the cured product is high at 400nm to 450nm, the transmittance at 400nm to 450nm is preferably 90% or more.
The ultraviolet curable resin composition of the present invention can be suitably used as an adhesive for producing an optical member by bonding a plurality of optical substrates through the above-described (step 1) to (step 3).
Examples of the optical base material used in the method for producing an optical member of the present invention include: transparent plates, sheets, touch panels, display units, and the like.
In the present invention, the "optical substrate" refers to both an optical substrate having no light-shielding portion on the surface and an optical substrate having a light-shielding portion on the surface. In the method for producing an optical member according to the present invention, at least one of the plurality of optical substrates used is preferably an optical substrate having a light shielding portion.
The position of the light shielding portion in the optical substrate having the light shielding portion is not particularly limited. A preferable embodiment includes a case where a strip-shaped light shielding portion having a width of 0.05mm to 20mm, preferably a width of about 0.05mm to about 10mm, and more preferably a width of about 0.1mm to about 6mm is formed in a peripheral portion of the optical substrate. The light-shielding portion on the optical substrate can be formed by attaching a tape, coating or printing a paint, or the like.
As a material of the optical substrate used in the present invention, various materials can be used. Specifically, there may be mentioned: PET, PC, PMMA, a composite of PC and PMMA, glass, COC, COP, plastic (acrylic resin, etc.), and the like. As the optical substrate used in the present invention, for example, a transparent plate or sheet, a sheet or transparent plate obtained by stacking a plurality of films or sheets such as polarizing plates; an unstacked sheet or transparent panel; and transparent plates made of inorganic glass (inorganic glass plates and processed products thereof such as lenses, prisms, ITO glass), and the like.
The optical substrate used in the present invention includes, in addition to the polarizing plate and the like, a laminate (hereinafter, also referred to as "functional laminate") including a plurality of functional plates or sheets, such as a touch panel (touch panel input sensor) or a display unit described below.
As the sheet that can be used as the optical substrate used in the present invention, there can be mentioned: icon sheet, decorative sheet, and protective sheet. Examples of the plate (transparent plate) that can be used in the method for producing an optical member according to the present invention include a decorative plate and a protective plate. As the material of these sheets or plates, the material listed as the material of the transparent plate can be applied.
As materials of the touch panel surface that can be used as the optical substrate used in the present invention, there can be mentioned: glass, PET, PC, PMMA, PC/PMMA composite, COC, COP.
The thickness of the plate-like or sheet-like optical substrate such as a transparent plate or sheet is not particularly limited, but is usually about 5 μm to about 5cm, preferably about 10 μm to about 10mm, and more preferably about 50 μm to about 3 mm.
A preferable optical member obtained by the production method of the present invention is an optical member obtained by laminating a plate-like or sheet-like transparent optical substrate having a light-shielding portion and the functional laminate with a cured product of the ultraviolet curable resin composition of the present invention.
In the manufacturing method of the present invention, a display unit (hereinafter also referred to as a display panel) with an optically functional material can be manufactured by using a display unit such as a liquid crystal display device as one optical base material and using an optically functional material as the other optical base material. Examples of the display unit include: display devices such as LCD, EL display, EL lighting, electronic paper, and plasma display, in which a polarizing plate is attached to glass. Further, as the optical functional material, there can be mentioned: transparent plastic plates such as acrylic resin plates, PC plates, PET plates, PEN plates, and the like; tempered glass, touch panel input sensors.
When used as an adhesive material for bonding optical substrates, the refractive index of the cured product is preferably 1.45 to 1.55 to further improve the visibility of a displayed image, in order to improve the visibility.
When the refractive index is within the range, the difference in refractive index between the optical substrate and the substrate used as the optical substrate can be reduced, and diffuse reflection of light can be suppressed to reduce optical loss.
Preferred embodiments of the optical member obtained by the production method of the present invention include the following (i) to (vii).
(i) An optical member obtained by laminating an optical substrate having a light-shielding portion and the functional laminate using a cured product of the ultraviolet curable resin composition of the present invention.
(ii) The optical member according to the above (i), wherein the optical substrate having a light-shielding portion is an optical substrate selected from the group consisting of a transparent glass substrate having a light-shielding portion, a transparent resin substrate having a light-shielding portion, and a glass substrate on which a light-shielding material and a transparent electrode are formed, and the functional laminate is a display unit or a touch panel.
(iii) The optical member according to the above (ii), wherein the display unit is any one of a liquid crystal display unit, a plasma display unit and an organic EL display unit.
(iv) A touch panel (or touch panel input sensor) obtained by bonding a plate-like or sheet-like optical substrate having a light-shielding portion to the surface of the touch surface side of a touch panel using a cured product of an ultraviolet-curable resin composition of the present invention.
(v) A display panel obtained by laminating a plate-like or sheet-like optical substrate having a light-shielding portion on a display screen of a display unit using a cured product of the ultraviolet curable resin composition of the present invention.
(vi) The display panel according to the above (v), wherein the plate-like or sheet-like optical base material having the light shielding portion is a touch panel or a protective base material for protecting a display screen of the display unit.
(vii) The optical member, touch panel, or display panel according to any one of (i) to (vi) above, wherein the ultraviolet curable resin composition is the ultraviolet curable resin composition according to any one of (1) to (10) above.
The optical member of the present invention is obtained by bonding a plurality of optical substrates selected from the optical substrates by the method described in the above (step 1) to (step 3) using the ultraviolet curable resin composition of the present invention. In thestep 1, the ultraviolet curable resin composition may be applied to only one of the surfaces of the two optical substrates to be bonded to each other with the cured product layer interposed therebetween, or may be applied to both surfaces.
For example, in the case where the functional laminate is the optical member described in (ii) above of a touch panel or a display unit, the resin composition may be applied only to any one surface of a protective base material having a light-shielding portion, preferably to any one surface of a surface provided with a light-shielding portion and a touch surface of a touch panel or a display surface of a display unit, or may be applied to both surfaces instep 1.
In the case of the optical member of (vi) above obtained by bonding a protective substrate for protecting a display screen of a display unit or a touch panel to the display unit, the resin composition may be applied to only one surface of the protective substrate on which the light-shielding portion is provided, the surface of the substrate opposite to the touch surface of the touch panel, and the display surface of the display unit, or may be applied to both surfaces instep 1.
The optical member including the display unit and the optical base material having the light shielding portion obtained by the production method of the present invention can be incorporated into electronic devices such as televisions, small-sized game machines, mobile phones, and personal computers.
Examples
The present invention will be described more specifically with reference to the following examples, but the present invention is not limited to these examples.
Synthesis example 1
A reactor equipped with a reflux condenser, a stirrer, a thermometer and a temperature controller was charged with 569.73g (0.24mol) of GI-2000 (iodine value: 12.2, hydroxyl value: 46.8mg KOH/g) manufactured by Kazada corporation as a hydrogenated polybutadiene polyol compound, 7.50g (0.0024mol) of EXCENOL3020 (polypropylene glycol, hydroxyl value: 35.9mg KOH/g) manufactured by Asahi glass compound Co., Ltd as a diol compound, 171.49g of S-1800A (isostearyl acrylate) manufactured by Newzhou chemical corporation as a polymerizable compound and 0.41g of 4-methoxyphenol as a polymerization inhibitor, and the mixture was stirred uniformly to have an internal temperature of 50 ℃. Next, 80.03g (0.36mol) of isophorone diisocyanate as a polyisocyanate compound was added and reacted at 80 ℃ until the target NCO content was reached. Subsequently, 28.70g (0.247mol) of 2-hydroxyethyl acrylate (manufactured by Osaka organic chemical Co., Ltd.) as a (meth) acrylate compound having at least one hydroxyl group and 0.20g of tin octylate as a urethane reaction catalyst were added and reacted at 80 ℃ to obtain a urethane compound (E-1) with NCO content of 0.1% or less as an end point of the reaction.
Synthesis example 2
A reactor equipped with a reflux condenser, a stirrer, a thermometer and a temperature controller was charged with 545.99g (0.23mol) of GI-2000 (iodine value: 12.2, hydroxyl value: 46.8mg KOH/g) manufactured by Kazada corporation as a hydrogenated polybutadiene polyol compound, 7.19g (0.0023mol) of EXCENOL3020 (polypropylene glycol, hydroxyl value: 35.9mg KOH/g) manufactured by Asahi glass compound Co., Ltd as a diol compound, 208.51g of S-1800A (isostearyl acrylate) manufactured by Newzhou chemical corporation as a polymerizable compound and 0.37g of 4-methoxyphenol as a polymerization inhibitor, and the mixture was stirred uniformly to have an internal temperature of 50 ℃. Subsequently, 61.35g (0.28mol) of isophorone diisocyanate as a polyisocyanate compound was added and reacted at 80 ℃ until the target NCO content was reached. Subsequently, 11.00g (0.095mol) of 2-hydroxyethyl acrylate (manufactured by Osaka organic chemical industries, Ltd.) as a (meth) acrylate compound having at least one hydroxyl group and 0.20g of tin octylate as a urethane reaction catalyst were added and reacted at 80 ℃ to obtain a urethane compound (E-2) with NCO content of 0.1% or less as an end point of the reaction.
Synthesis example 3
KRASOL HLBH-P2000 (iodine value: 13.5, hydroxyl value: 0.89meq/g)511.69g (0.23mol) made by CRAY VALLEY (manufactured by hydrogenated polybutadiene polyol, 0.9 mg KOH/g) as a diol compound, EXCENOL3020 (polypropylene glycol, hydroxyl value: 35.9mg KOH/g) made by Asahi glass-Nitri Kasei Co., Ltd. (0.0023mol) as a polymerizable compound, S-1800A (isostearyl acrylate) 197.08g made by shinko chemical Co., Ltd. as a polymerization inhibitor, and 4-methoxyphenol 0.36g as a polymerization inhibitor were added to a reactor equipped with a reflux condenser, a stirrer, a thermometer, and a temperature adjusting device, and stirred until the internal temperature became 50 ℃. Subsequently, 61.35g (0.28mol) of isophorone diisocyanate as a polyisocyanate compound was added and reacted at 80 ℃ until the target NCO content was reached. Subsequently, 11.00g (0.095mol) of 2-hydroxyethyl acrylate (manufactured by Osaka organic chemical industries, Ltd.) as a (meth) acrylate compound having at least one hydroxyl group and 0.20g of tin octylate as a urethane reaction catalyst were added and reacted at 80 ℃ to obtain a urethane compound (E-3) with NCO content of 0.1% or less as an end point of the reaction.
Example 1
20 parts by mass of the polyurethane compound (E-1) of Synthesis example 1, 22 parts by mass of S-1800A (isostearyl acrylate) manufactured by Nippon chemical Co., Ltd., BLEMER LA (lauryl acrylate) manufactured by Nippon oil Co., Ltd., Clearonm-105 (aromatic modified hydrogenated terpene resin) manufactured by YASURACEAHEAL MICAL Co., Ltd., LV-100 (polybutene) 10 parts by mass, GI-2000(1, 2-hydrogenated polybutadiene glycol) 20 parts by mass, Speedcure TPO (2,4, 6-trimethylbenzoyldiphenylphosphine oxide) 0.5 part by mass, IRGACURE184 (1-hydroxycyclohexylphenylketone) manufactured by BASF Co., Ltd., PBD (2- (4-biphenyl) -5- (4-t-butylphenyl) -1 part by photosynthetic corporation, 0.05 part by mass of 3, 4-oxadiazole was heated to 70 ℃ and mixed to obtain a resin composition of the present invention. The viscosity of the resin composition was 3200 mPas.
Example 2
20 parts by mass of the polyurethane compound (E-2) of Synthesis example 2, 22 parts by mass of S-1800A (isostearyl acrylate) manufactured by Nippon chemical Co., Ltd., BLEMER LA (lauryl acrylate) manufactured by Nippon oil Co., Ltd., Clearonm-105 (aromatic modified hydrogenated terpene resin) manufactured by YASURACEAHEAL MICAL Co., Ltd., LV-100 (polybutene) 10 parts by mass, GI-2000(1, 2-hydrogenated polybutadiene glycol) 20 parts by mass, Speedcure TPO (2,4, 6-trimethylbenzoyldiphenylphosphine oxide) 0.5 part by mass, IRGACURE184 (1-hydroxycyclohexylphenylketone) manufactured by BASF Co., Ltd., PBD (2- (4-biphenyl) -5- (4-t-butylphenyl) -1 part by photosynthetic Co., Ltd., 0.05 part by mass of 3, 4-oxadiazole was heated to 70 ℃ and mixed to obtain a resin composition of the present invention. The viscosity of the resin composition was 5000 mPas.
Example 3
20 parts by mass of the polyurethane compound (E-3) of Synthesis example 3, 22 parts by mass of S-1800A (isostearyl acrylate) manufactured by Nippon chemical Co., Ltd, 10 parts by mass of BLEMER LA (lauryl acrylate) manufactured by Nippon oil Co., Ltd, 18 parts by mass of Clearon M-105 (aromatic modified hydrogenated terpene resin) manufactured by YASUHARACEAMICAL Co., Ltd, 10 parts by mass of LV-100 (polybutene) manufactured by JX Nippon Stone energy Co., Ltd, 20 parts by mass of GI-2000(1, 2-hydrogenated polybutadiene diol) manufactured by Nippon Cao Co., Ltd, 0.5 part by mass of Speedcure TPO (2,4, 6-trimethylbenzoyldiphenylphosphine oxide) manufactured by LAMBSON Co., Ltd, 0.5 part by mass of IRGACURE184 (1-hydroxycyclohexylphenylketone) manufactured by BASF Co., Ltd, and PBD (2- (4-biphenyl) -5- (4-t-butylphenyl) -1 manufactured by Wako-to Wako-pure chemical Co., Ltd, 0.05 part by mass of 3, 4-oxadiazole was heated to 70 ℃ and mixed to obtain a resin composition of the present invention. The viscosity of the resin composition was 5500 mPas.
Table 1 shows examples 1 to 3 and the following evaluations were carried out.
[ Table 1]
Figure GDA0002000678840000291
Figure GDA0002000678840000301
(viscosity)
The measurement was carried out at 25 ℃ using an E-type viscometer (TV-200, manufactured by Toyobo industries Co., Ltd.).
(refractive index)
The refractive index (25 ℃) of the resin was measured by an Abbe refractometer (DR-M2, manufactured by Atago, Ltd.).
(curing shrinkage ratio)
Two glass slides coated with a fluorine-containing release agent and having a thickness of 1mm were prepared, and the obtained ultraviolet-curable adhesive composition was coated on the release agent-coated surface of one of the glass slides so that the film thickness was 200 μm. Then, the two glass slides were bonded so that the release agent-coated surfaces thereof faced each other. The resin composition was irradiated with a cumulative light amount of 3000mJ/cm through glass using a high-pressure mercury lamp (80W/cm, ozone-free)2The resin composition is cured by the ultraviolet ray of (1). Then, the two glass slides were peeled off, and a cured product for measuring the film specific gravity was produced. The specific gravity (DS) of the cured product was measured according to JIS K7112B. Further, the liquid specific gravity (DL) of the resin composition was measured at 25 ℃. Determination of junctions based on DS and DLIf the curing shrinkage was calculated by the following formula, the result was less than 2.5%.
Curing shrinkage (%) (DS-DL) ÷ DS × 100
(shear modulus)
Two sheets of the PET film subjected to the mold release treatment were prepared, and the obtained ultraviolet-curable adhesive composition was applied to the release surface of one of the sheets so that the film thickness was 200. mu.m. Then, two PET films were bonded so that their release surfaces faced each other. The resin composition was irradiated with a cumulative light amount of 3000mJ/cm through a PET film using a high-pressure mercury lamp (80W/cm, ozone-free)2The resin composition is cured by the ultraviolet ray of (1). Then, the two PET films were peeled off to prepare a cured product for measuring shear modulus. The shear modulus was measured by ARES (TA Instruments Co., Ltd.).
(transmittance)
Two glass slides having a thickness of 1mm were prepared, and the obtained ultraviolet-curable adhesive composition was applied to one of the two glass slides so that the cured film thickness was 200 μm. Then, the two glass slides were attached. The cumulative quantity of light was irradiated through the glass using a high-pressure mercury lamp (80W/cm, ozone-free) at 3000mJ/cm2The resin composition was cured by ultraviolet light to prepare a cured product for transmittance measurement. The transparency of the resulting cured product was measured by using a spectrophotometer (U-3310, Hitachi technologies Co., Ltd.) for transmittance in the wavelength region of 400 to 800nm and 400 to 450 nm. As a result, the transmittance at 400 to 800nm is 90% or more, and the transmittance at 400 to 450nm is 90% or more.
(Heat-resistant and moisture-resistant tackiness)
A glass slide having a thickness of 1mm and a glass plate having a thickness of 1mm or a glass plate having a thickness of 1mm and having a polarizing film attached to one surface thereof were prepared, the obtained ultraviolet-curable adhesive composition was applied to one of the glass slides to a film thickness of 200 μm, and the other was attached to the coated surface thereof. The resin composition was irradiated with a cumulative light amount of 3000mJ/cm through glass using a high-pressure mercury lamp (80W/cm, ozone-free)2The resin composition was cured by ultraviolet rays to prepare a sample for evaluation of adhesiveness. The product was subjected to a heat resistance test at 85 ℃ and 90% at 60%Humidity resistance test of RH, and left for 100 hours. The evaluation sample was visually checked for the separation of the cured resin from the glass or polarizing film, and as a result, the separation was not observed.
Example 4
20 parts by mass of the polyurethane compound (E-1) of Synthesis example 1, 19 parts by mass of S-1800A (isostearyl acrylate) manufactured by Nippon chemical Co., Ltd., BLEMER LA (lauryl acrylate) manufactured by Nippon oil Co., Ltd., Clearonm-105 (aromatic modified hydrogenated terpene resin) manufactured by YASURACEAHEAL MICAL Co., Ltd., LV-100 (polybutene) 10 parts by mass of JX Nippon Stone energy Co., Ltd., GI-2000(1, 2-hydrogenated polybutadiene diol) 20 parts by mass of Nippon Cao Co., Ltd., 4-HBA (4-hydroxybutyl acrylate) 3 parts by mass of Osaka organic chemical Co., Ltd., SpeedcureTPO (2,4, 6-trimethylbenzoyldiphenylphosphine oxide) 0.5 part by mass of LaMBSON Co., IRGARE 184 (1-hydroxycyclohexylphenyl ketone) manufactured by BASF Co., Ltd., 0.5 part by mass of mixed and heated to 70 ℃, the resin composition of the present invention is obtained.
Example 5
20 parts by mass of the polyurethane compound (E-2) of Synthesis example 2, 19 parts by mass of S-1800A (isostearyl acrylate) manufactured by Nippon chemical Co., Ltd., BLEMER LA (lauryl acrylate) manufactured by Nippon oil Co., Ltd., Clearonm-105 (aromatic modified hydrogenated terpene resin) manufactured by YASURACEAHEAL MICAL Co., Ltd., LV-100 (polybutene) 10 parts by mass of JX Nippon Stone energy Co., Ltd., GI-2000(1, 2-hydrogenated polybutadiene diol) 20 parts by mass of Nippon Cao Co., Ltd., 4-HBA (4-hydroxybutyl acrylate) 3 parts by mass of Osaka organic chemical Co., Ltd., SpeedcureTPO (2,4, 6-trimethylbenzoyldiphenylphosphine oxide) 0.5 part by mass of LaMBSON Co., IRGARE 184 (1-hydroxycyclohexylphenyl ketone) manufactured by BASF Co., Ltd., 0.5 part by mass of mixed and heated to 70 ℃, the resin composition of the present invention is obtained.
Example 6
20 parts by mass of the polyurethane compound (E-3) of Synthesis example 3, 19 parts by mass of S-1800A (isostearyl acrylate) manufactured by Nippon chemical Co., Ltd., BLEMER LA (lauryl acrylate) 10 parts by mass, ClearonM-105 (aromatic modified hydrogenated terpene resin) 18 parts by mass, manufactured by Yasuharehepal Michell, LV-100 (polybutene) 10 parts by mass, manufactured by JX Nippon Stone energy Co., Ltd., T-5652 (polycarbonate polyol) 20 parts by mass, 4-HBA (4-hydroxybutyl acrylate) 3 parts by mass, manufactured by AsMBSON, SpeedcureTPO (2,4, 6-trimethylbenzoyldiphenylphosphine oxide) 0.5 part by mass, manufactured by BASF, IRGARE 184 (1-hydroxycyclohexylphenylketone) 0.5 part by mass, were mixed and heated to 70 ℃, the resin composition of the present invention is obtained.
Table 2 shows examples 4 to 6 and the following evaluations were carried out.
[ Table 2]
Figure GDA0002000678840000321
Figure GDA0002000678840000331
(viscosity)
The measurement was carried out at 25 ℃ using an E-type viscometer (TV-200, manufactured by Toyobo industries Co., Ltd.).
(refractive index)
The refractive index (25 ℃) of the resin was measured by an Abbe refractometer (DR-M2, manufactured by Atago, Ltd.).
(curing shrinkage ratio)
Two glass slides coated with a fluorine-containing release agent and having a thickness of 1mm were prepared, and the obtained ultraviolet-curable resin composition was coated on the release agent-coated surface of one of the glass slides so that the film thickness was 200 μm. Then, the two glass slides were bonded so that the release agent-coated surfaces thereof faced each other. The resin composition was irradiated with a cumulative light amount of 3000mJ/cm through glass using a high-pressure mercury lamp (80W/cm, ozone-free)2The resin composition is cured by the ultraviolet ray of (1). Then, the two glass slides were peeled off, and a cured product for measuring the film specific gravity was produced. The specific gravity (DS) of the cured product was measured according to JIS K7112B. Further, the liquid of the resin composition was measured at 25 ℃Body specific weight (DL). The curing shrinkage was calculated from the measurement results of DS and DL by the following equation.
Curing shrinkage (%) (DS-DL) ÷ DS × 100
(shear modulus)
Two sheets of the PET films subjected to the mold release treatment were prepared, and the obtained ultraviolet-curable resin composition was applied to the mold release surface of one of the sheets so that the film thickness became 200. mu.m. Then, two PET films were bonded so that their release surfaces faced each other. The resin composition was irradiated with a cumulative light amount of 3000mJ/cm through a PET film using a high-pressure mercury lamp (80W/cm, ozone-free)2The resin composition is cured by the ultraviolet ray of (1). Then, the two PET films were peeled off to prepare a cured product for measuring shear modulus. The shear modulus was measured by ARES (TA Instruments Co., Ltd.).
(transmittance)
Two glass slides having a thickness of 1mm were prepared, and the obtained ultraviolet-curable resin composition was applied to one of the two glass slides so that the cured film thickness was 200 μm. Then, the two glass slides were attached. The cumulative quantity of light was irradiated through the glass using a high-pressure mercury lamp (80W/cm, ozone-free) at 3000mJ/cm2The resin composition was cured by ultraviolet light to prepare a cured product for transmittance measurement. The transparency of the resulting cured product was measured by using a spectrophotometer (U-3310, Hitachi technologies Co., Ltd.) for transmittance in the wavelength region of 400 to 800nm and 400 to 450 nm. As a result, the transmittance at 400 to 800nm is 90% or more, and the transmittance at 400 to 450nm is 90% or more.
(Heat-resistant and moisture-resistant tackiness)
A glass slide having a thickness of 1mm and a glass plate having a thickness of 1mm or a glass plate having a thickness of 1mm and having a polarizing film attached to one surface thereof were prepared, the obtained ultraviolet-curable resin composition was applied to one of the glass slides so as to have a film thickness of 200 μm, and the other was attached to the coated surface thereof. The resin composition was irradiated with a cumulative light amount of 3000mJ/cm through glass using a high-pressure mercury lamp (80W/cm, ozone-free)2The resin composition was cured by ultraviolet rays to prepare a sample for evaluation of adhesiveness. Using this, a heat resistance test at 85 ℃ was conductedAnd a humidity resistance test at 60 ℃ and 90% RH, and left for 100 hours. The evaluation sample was visually checked for the separation of the cured resin from the glass or polarizing film, and as a result, the separation was not observed.
The resin compositions of examples 1 to 6 of the present invention thus obtained were used for the following evaluations.
(whitening resistance)
Two glass slides having a thickness of 1mm were prepared, one of the glass slides was coated so as to have a film thickness of 200 μm in examples 4 to 6, and the other glass slide was attached to the coated surface. Then, the composition was irradiated with a cumulative light amount of 4000mJ/cm through glass using a high-pressure mercury lamp (80W/cm, ozone-free/with an IR cut filter)2Ultraviolet rays of (1). The test piece thus obtained was placed in an atmosphere of 80 ℃ and 85% RH for 48 hours, then taken out to an atmosphere of 25 ℃ and 45% RH, and the state of the film 15 minutes after the taking-out and the state of the curedfilm 3 hours after the taking-out were visually confirmed.
A glass slide having a thickness of 1mm was coated so as to have a film thickness of 200 μm in examples 4 to 6, and a peeled PET film was bonded to the coated surface. Then, the composition was irradiated with a cumulative light amount of 4000mJ/cm through a peeled PET film using a high-pressure mercury lamp (80W/cm, ozone-free/with an IR cut filter)2The obtained joined body was put into an environment of 80 ℃ and 85% RH for 48 hours, taken out into an environment of 25 ℃ and 45% RH, and the state of the film 15 minutes after the taking out and the state of the curedfilm 3 hours after the taking out were visually confirmed, and as a result, the compositions of examples 4 to 6 were all ○.
Good: without whitening of the film
△ whitening occurred after 15 minutes, but no whitening occurred after 3 hours
X: whitening occurred after 15 minutes, and also after 3 hours
(adhesive Strength 1)
After the PET film was bonded to a glass plate having a thickness of 1mm so that the cured film thickness of examples 1 to 6 was 200 μm, the composition was irradiated with a cumulative light amount of 40 through the PET film by using a high-pressure mercury lamp (80W/cm, ozone-free/with an IR cut filter)00mJ/cm2Ultraviolet rays of (1). Using the resulting joined body, adhesiveness was measured by the method according to JIS Z0237. In the joined body of the PET film and the glass plate having a thickness of 1mm, the glass plate was fixed horizontally so that the PET film was the upper surface, and the force required for peeling the PET film from the edge thereof in the vertical direction (90 ℃ upward) was measured. The evaluation results and the evaluation results were good.
Good: adhesive strength of 6.0N/cm or more
△ adhesive strength of 1.5N/cm or more and less than 6.0N/cm
X: adhesive strength of less than 1.5N/cm
(curing speed)
Two glass slides having a thickness of 1mm were prepared, coated so as to have a film thickness of 200 μm in examples 1 to 6, and the other glass slide was bonded to the coated surface. Then, the composition was irradiated with a cumulative light amount of 100mJ/cm through glass using a high-pressure mercury lamp (80W/cm, ozone-free/with an IR cut filter)2The slide glass was peeled off, and the condition of the composition was confirmed, and the evaluation results were ○.
Good: has no fluidity
X: insufficient curing and fluidity
(adhesive strength 2) A glass bonded body was obtained in accordance with the following experimental examples.
Experimental example 1: two glass plates having a width of 2cm, a length of 3.5cm and a thickness of 1mm were prepared, and the composition C was applied to the center of one of the glass plates so as to form a circle having a thickness of 200 μm and a diameter of 1 cm. Then, the resultant coating layer was irradiated from the atmosphere side with a cumulative light amount of 100mJ/cm using an electrodeless ultraviolet lamp (D bulb, manufactured by Heraeus Noblelight Fusion UV Co.) through an ultraviolet cut filter for shielding a wavelength of 320nm or less2The ultraviolet rays of (2) form a cured product layer having a cured part existing on the lower side (glass plate side) of the coating layer and an uncured part existing on the upper side (atmosphere side) of the coating layer. In the ultraviolet light irradiated in examples 1 to 6, the ratio of the maximum illuminance in the range of 200nm to 320nm was 3, assuming that the maximum illuminance in the range of 320nm to 450nm was 100.Further, an uncured portion existing on the upper side (atmosphere side) of the coating layer was cross-wise bonded to another glass plate (direction crossing 90 ℃ C.), and the bonded glass was irradiated with a cumulative light amount of 2000mJ/cm2Thereby curing the resin cured layer, thereby obtaining a bonded body.
Experimental example 2: a cured product layer having a cured portion present on the lower side (glass plate side) of the coating layer and an uncured portion present on the upper side (atmosphere side) of the coating layer was formed in the same manner as in experimental example 1, except that the ultraviolet ray cut filter for shielding wavelengths of 320nm or less was changed to a glass plate having a thickness of 0.5 mm. In the ultraviolet light irradiated in examples 1 to 6, the ratio of the maximum illuminance in the range of 200nm to 320nm was 21, assuming that the maximum illuminance in the range of 320nm to 450nm was 100. Further, an uncured portion existing on the upper side (atmosphere side) of the coating layer was cross-wise bonded to another glass plate (direction crossing 90 ℃ C.), and the bonded glass was irradiated with a cumulative light amount of 2000mJ/cm2Thereby curing the resin cured layer, thereby obtaining a bonded body.
Experimental example 3: a cured product layer having a cured portion existing on the lower side (glass plate side) of the coating layer and an uncured portion existing on the upper side (atmosphere side) of the coating layer was formed in the same manner as in experimental example 1, except that an ultraviolet ray cut filter for shielding a wavelength of 320nm or less was not used. In this case, when the maximum illuminance in the range of 320nm to 450nm is 100, the ratio of the maximum illuminance in the range of 200nm to 320nm is 45 with respect to the ultraviolet light irradiated to the composition C. Further, an uncured portion existing on the upper side (atmosphere side) of the coating layer was cross-wise bonded to another glass plate (direction crossing 90 ℃ C.), and the bonded glass was irradiated with a cumulative light amount of 2000mJ/cm2Thereby curing the resin cured layer, thereby obtaining a bonded body.
Experimental example 4: the composition C was coated on a 100. mu.m-thick release PET film of 100mm X100 mm using a coater so that the thickness of the composition C was 200. mu.m, and then the thickness was measuredAnd a peel-off PET film covering the film to a degree of 25 μm. Next, an electrodeless ultraviolet lamp (D bulb, manufactured by Heraeus Noblelight Fusion UV Co.) was used to irradiate the accumulated light amount of 2000mJ/cm2The composition C was cured by the ultraviolet ray of (2) to obtain a transparent pressure-sensitive adhesive sheet having a thickness of 200. mu.m. Then, the adhesive sheet was cut into a circular shape having a diameter of 1cm, and then the peeled PET film having a thickness of 100 μm was peeled. Subsequently, a rubber roll having a mass of 1kg and a width of 20mm was reciprocated once, to thereby attach the transparent adhesive sheet from which the PET film was peeled to the center of a glass plate having a dimension of 2cm in width, 3.5cm in length, and 1mm in thickness. Then, a peeled PET film having a thickness of 25 μm was peeled off, and a glass plate cross (crossing in a direction of 90 ℃ C.) having a width of 2cm, a length of 3.5cm and a thickness of 1mm was bonded to the transparent adhesive sheet to obtain a bonded body.
One glass plate of the bonded bodies obtained in experimental examples 1 to 4 was fixed, the other glass plate was peeled in the vertical direction, and the state of the cured film after peeling was visually confirmed. The evaluation results were good. In addition, the cohesive peeling means that the cured resin material itself is broken and not the interface between the substrate and the cured resin material is peeled, and the interface peeling means that the interface between the substrate and the cured resin material is peeled.
Good: only cohesive peeling occurs
△ simultaneous creation of cohesive and interfacial peel
X: only interfacial peeling occurs
From the above results, it can be seen that: the ultraviolet curable resin composition and the production method of the present invention have good curability, high whitening resistance, and strong adhesive strength to a substrate, and also have high adhesive strength even when the composition is applied directly to a substrate to be bonded, cured by irradiation with ultraviolet light, and bonded to another substrate.
Further, the following evaluations were carried out using the obtained examples 1 to 6 of the present invention.
(curing shrinkage ratio)
Two glass slides coated with a fluorine-containing release agent and having a thickness of 1mm were prepared, and the release agent-coated surface of one of the glass slides was coated with the composition so that the film thickness was 200 μm. Then, two are put intoThe slide glass sheets were bonded so that the release agent-coated surfaces thereof faced each other. The resin composition was irradiated with a cumulative light amount of 2000mJ/cm through glass using a high-pressure mercury lamp (80W/cm, ozone-free)2The resin composition is cured by the ultraviolet ray of (1). Then, the two glass slides were peeled off, and a cured product for measuring the film specific gravity was produced. The specific gravity (DS) of the cured product was measured according to JIS K7112B. Further, the liquid specific gravity (DL) of the resin composition was measured at 25 ℃. The curing shrinkage was calculated from the measurement results of DS and DL by the following formula, and was less than 3.0%.
Curing shrinkage (%) (DS-DL) ÷ DS × 100
(Heat-resistant and moisture-resistant tackiness)
A glass slide having a thickness of 0.8mm and an acrylic resin plate having a thickness of 0.8mm were prepared, the resulting composition was applied to one of the glass slides to give a film thickness of 200 μm, and the other was then bonded to the applied surface. The resin composition was irradiated with a cumulative light amount of 2000mJ/cm through glass using a high-pressure mercury lamp (80W/cm, ozone-free)2The resin composition was cured by ultraviolet rays to prepare a sample for evaluation of adhesiveness. The mixture was left at 85 ℃ and 85% RH for 250 hours. The evaluation sample was visually checked for peeling of the cured resin from the glass slide or the acrylic resin plate, and as a result, no peeling was observed.
(softness)
The obtained composition was sufficiently cured, and the Durometer E hardness was measured by a method in accordance with JIS K7215 using a Durometer (E type) to evaluate flexibility. More specifically, an ultraviolet-curable resin composition was poured into a cylindrical mold so that the film thickness was 1cm, and the resin composition was sufficiently cured by irradiation with ultraviolet light. The hardness of the resulting cured product was measured using a Durometer hardness tester (type E). As a result, the measured value was less than 10, and the flexibility was excellent.
(transparency)
Two glass slides coated with a fluorine-containing release agent and having a thickness of 1mm were prepared, and the obtained composition was coated on the release agent-coated surface of one of the glass slides so that the cured film thickness was 200 μm. Then, two slides were mounted one on eachThe release agent-coated surfaces are bonded so as to face each other. The cumulative quantity of light irradiated through the glass by a high-pressure mercury lamp (80W/cm, ozone-free) was 2000mJ/cm2The resin composition is cured by the ultraviolet ray of (1). Then, the two glass slides were peeled off to prepare a cured product for transparency measurement. The transparency of the resulting cured product was measured by a spectrophotometer (U-3310, Hitachi Kagaku K.K.) for transmittance in the wavelength region of 400nm to 800nm and 400nm to 450 nm. As a result, the transmittance at 400nm to 800nm was 90% or more, and the transmittance at 400nm to 450nm was 90% or more.
(curing of resin under light-shielding portion)
The composition was applied to the display surface of a liquid crystal display cell having an area of 3.5 inches and the surface of a transparent substrate having a light-shielding portion (width 5mm) in the peripheral portion thereof on which the light-shielding portion was formed so that the film thickness was 125 μm on each substrate. Then, the coating layer obtained was irradiated from the atmosphere side with an electrodeless ultraviolet lamp (D bulb, manufactured by Heraeus Noblelight Fusion UV Co., Ltd.) through an ultraviolet cut filter for shielding a wavelength of 320nm or less, and the cumulative light amount was 100mJ/cm2Thereby forming a cured product layer having a cured portion and an uncured portion existing on the atmospheric side. In this case, the ratio of the maximum illuminance in the range of 200nm to 320nm is 3, assuming that the maximum illuminance in the range of 320nm to 450nm is 100 with respect to the ultraviolet light irradiated to the composition.
Then, the liquid crystal display cell and the transparent substrate having the light shielding portion are bonded so that the uncured portions face each other. Finally, an ultra-high pressure mercury lamp (TOSCURE752, manufactured by Harrison Toshiba Lighting Co., Ltd.) was used to irradiate the accumulated light quantity of 2000mJ/cm from the glass substrate side having the light-shielding part2Thereby curing the resin cured layer to produce an optical member. The transparent substrate was detached from the obtained optical member, and the resin cured layer of the light-shielding portion was washed with heptane, and then the cured state was confirmed. As a result, the resin in the light-shielding portion was sufficiently cured without any trace of removal of the uncured resin composition.
The present invention has been described in detail with reference to the specific embodiments, but it is apparent to those skilled in the art that various changes and modifications can be made without departing from the spirit and scope of the present invention.
It should be noted that the present application is based on japanese patent application (2014-120621) filed on 11th 6 th 2014 and japanese patent application (2015-114861) filed on 5th 6 th 2015, the entire contents of which are incorporated by reference. In addition, all references cited herein are incorporated in their entirety into this specification.
Description of the symbols
1 liquid crystal display cell, 2 transparent substrate having light-shielding portion, 3 transparent substrate, 4 light-shielding portion, 5 ultraviolet-curable resin composition (ultraviolet-curable resin composition), 6 cured product layer having uncured portion, 7 cured resin layer, 8 ultraviolet-curable resin composition

Claims (13)

Translated fromChinese
1.一种触控面板用紫外线固化型树脂组合物,其是用于将至少两个光学基材贴合的树脂组合物,其特征在于,含有:具备具有支链的碳原子数10~30的脂肪链的单官能(甲基)丙烯酸酯(A)、软化成分(B)、可光聚合低聚物(C)、光聚合引发剂(E),1. An ultraviolet curable resin composition for a touch panel, which is a resin composition for bonding at least two optical substrates, comprising: a resin composition having a branched chain having 10 to 30 carbon atoms Monofunctional (meth)acrylate (A) of aliphatic chain, softening component (B), photopolymerizable oligomer (C), photopolymerization initiator (E),所述紫外线固化型树脂组合物进一步含有(A)成分以外的可光聚合单体(D),该(D)成分是丙烯酸-4-羟基丁酯;The ultraviolet curable resin composition further contains a photopolymerizable monomer (D) other than the component (A), and the component (D) is 4-hydroxybutyl acrylate;其中,具备具有支链的碳原子数10~30的脂肪链的单官能(甲基)丙烯酸酯(A)为下述式(10),Among them, the monofunctional (meth)acrylate (A) having a branched aliphatic chain having 10 to 30 carbon atoms is represented by the following formula (10),[化1][hua 1]
Figure FDA0002298529810000011
Figure FDA0002298529810000011
上述式中,R表示H或CH3,R2表示碳原子数10~20个的烷基,In the above formula, R represents H or CH3 , and R2 represents an alkyl group having 10 to 20 carbon atoms,丙烯酸-4-羟基丁酯:上述式(10)成分的比率以重量比计为1:3~1:25,4-hydroxybutyl acrylate: the ratio of the above-mentioned formula (10) component is 1:3 to 1:25 in terms of weight ratio,所述可光聚合低聚物(C)包含通过使多元醇、多异氰酸酯和含羟基(甲基)丙烯酸酯反应来得到的氨基甲酸酯(甲基)丙烯酸酯,所述氨基甲酸酯(甲基)丙烯酸酯的重均分子量为10000~60000,所述多元醇为氢化聚丁二烯多元醇,The photopolymerizable oligomer (C) includes a urethane (meth)acrylate obtained by reacting a polyol, a polyisocyanate and a hydroxyl group-containing (meth)acrylate, the urethane ( The weight-average molecular weight of the meth)acrylate is 10,000 to 60,000, and the polyol is a hydrogenated polybutadiene polyol,所述软化成分(B)是:在所述组合物中相容的聚合物、邻苯二甲酸酯类、磷酸酯类、二醇酯类、柠檬酸酯类、脂肪族二元酸酯类、脂肪酸酯类、环氧系增塑剂、蓖麻油类或液态萜烯。The softening component (B) is: polymers, phthalates, phosphoric acid esters, glycol esters, citric acid esters, aliphatic dibasic acid esters, Fatty acid esters, epoxy plasticizers, castor oil or liquid terpenes.2.如权利要求1所述的触控面板用紫外线固化型树脂组合物,其特征在于,所述聚合物是低聚物或萜烯系树脂。2 . The ultraviolet curable resin composition for a touch panel according to claim 1 , wherein the polymer is an oligomer or a terpene-based resin. 3 .3.如权利要求1所述的触控面板用紫外线固化型树脂组合物,其特征在于,所述聚合物是氢化萜烯系树脂。3 . The ultraviolet curable resin composition for a touch panel according to claim 1 , wherein the polymer is a hydrogenated terpene-based resin. 4 .4.如权利要求1所述的触控面板用紫外线固化型树脂组合物,其特征在于,含有含羟基聚合物、液态萜烯系树脂中的任一者或其两者作为软化成分(B)。4 . The ultraviolet curable resin composition for a touch panel according to claim 1 , which contains any one of a hydroxyl-containing polymer and a liquid terpene-based resin or both of them as a softening component (B) 4 . .5.如权利要求1所述的触控面板用紫外线固化型树脂组合物,其中,含有1重量%~30重量%的具备具有支链的碳原子数10~30的脂肪链的单官能(甲基)丙烯酸酯(A)。5 . The ultraviolet curable resin composition for a touch panel according to claim 1 , comprising 1% by weight to 30% by weight of monofunctional (methyl) having a branched aliphatic chain having 10 to 30 carbon atoms. 6 . base) acrylate (A).6.如权利要求1所述的触控面板用紫外线固化型树脂组合物,其特征在于,含有丙烯酸异硬脂酯作为具有支链的碳原子数10~30的单官能(甲基)丙烯酸酯(A)。6 . The ultraviolet curable resin composition for a touch panel according to claim 1 , comprising isostearyl acrylate as a branched monofunctional (meth)acrylate having 10 to 30 carbon atoms. 7 . (A).7.一种光学构件的制造方法,其为将至少两个光学基材贴合而得到的光学构件的制造方法,该制造方法具有下述工序1~2,7. A method for producing an optical member comprising the following steps 1 to 2, comprising the following steps 1 to 2,工序1:在至少一个光学基材上涂布权利要求1~4中任一项所述的触控面板用紫外线固化型树脂组合物而形成涂布层,并对该涂布层照射紫外线,由此得到具有固化物层的光学基材的工序;Step 1: Applying the ultraviolet curable resin composition for a touch panel according to any one of claims 1 to 4 on at least one optical substrate to form a coating layer, irradiating the coating layer with ultraviolet rays, This is a process of obtaining an optical substrate having a cured product layer;工序2:在工序1中得到的光学基材的固化物层上贴合另一个光学基材、或者贴合由工序1得到的另一个光学基材的固化物层的工序。Step 2: A step of bonding another optical base material to the cured product layer of the optical base material obtained in the step 1, or bonding the cured product layer of the other optical base material obtained in the step 1.8.如权利要求7所述的制造方法,其特征在于,所述工序1中得到的固化物层具有存在于光学基材侧的固化部分和存在于与光学基材侧相反的一侧的未固化部分。8 . The method according to claim 7 , wherein the cured product layer obtained in the step 1 has a cured portion present on the side of the optical substrate and a non-volatile portion present on the side opposite to the side of the optical substrate. 9 . curing part.9.如权利要求8所述的制造方法,其特征在于,在所述工序1~2之后,进一步具有下述工序3,9. The manufacturing method according to claim 8, further comprising the following step 3 after the steps 1 to 2:工序3:对贴合后的光学基材中的具有未固化部分的固化物层照射紫外线而使该固化物层固化的工序。Process 3: The process of irradiating an ultraviolet-ray to the hardened|cured material layer which has an uncured part in the optical base material after bonding, and hardening this hardened|cured material layer.10.如权利要求8~9中任一项所述的光学构件的制造方法,其特征在于,将所述工序1中对紫外线固化型树脂组合物照射的紫外线在320nm~450nm的范围的最大照度设为100时,在200nm~320nm的范围的最大照度为30以下。10 . The method for producing an optical member according to claim 8 , wherein the ultraviolet rays irradiated to the ultraviolet curable resin composition in the step 1 have a maximum illuminance in the range of 320 nm to 450 nm. 11 . When 100 is used, the maximum illuminance in the range of 200 nm to 320 nm is 30 or less.11.如权利要求8~9中任一项所述的光学构件的制造方法,其特征在于,将所述工序1中对紫外线固化型树脂组合物照射的紫外线在320nm~450nm的范围的最大照度设为100时,在200nm~320nm的范围的最大照度为10以下。11 . The method for producing an optical member according to claim 8 , wherein the maximum illuminance of the ultraviolet rays irradiated to the ultraviolet curable resin composition in the step 1 is in the range of 320 nm to 450 nm. 12 . When 100 is used, the maximum illuminance in the range of 200 nm to 320 nm is 10 or less.12.一种固化物,其通过对权利要求1~6中任一项所述的紫外线固化型树脂组合物照射活性能量射线而得到。12 . A cured product obtained by irradiating the ultraviolet curable resin composition according to claim 1 with an active energy ray. 13 .13.一种触控面板,其特征在于,使用权利要求1~6中任一项所述的紫外线固化型树脂组合物的固化物将具有遮光部的板状或片状的光学基材贴合在触控面板的触摸面侧的表面而得到。13 . A touch panel, wherein a plate-shaped or sheet-shaped optical base material having a light-shielding portion is bonded together using the cured product of the ultraviolet curable resin composition according to claim 1 . It is obtained on the surface on the touch surface side of the touch panel.
CN201580030877.8A2014-06-112015-06-11Ultraviolet-curable resin composition for touch panel, and bonding method and article using sameExpired - Fee RelatedCN106459675B (en)

Applications Claiming Priority (5)

Application NumberPriority DateFiling DateTitle
JP2014-1206212014-06-11
JP20141206212014-06-11
JP2015-1148612015-06-05
JP20151148612015-06-05
PCT/JP2015/066854WO2015190552A1 (en)2014-06-112015-06-11Uv-curable resin composition for use in touchscreen, and bonding method and article using said uv-curable resin

Publications (2)

Publication NumberPublication Date
CN106459675A CN106459675A (en)2017-02-22
CN106459675Btrue CN106459675B (en)2020-04-10

Family

ID=54833639

Family Applications (1)

Application NumberTitlePriority DateFiling Date
CN201580030877.8AExpired - Fee RelatedCN106459675B (en)2014-06-112015-06-11Ultraviolet-curable resin composition for touch panel, and bonding method and article using same

Country Status (5)

CountryLink
JP (1)JP6778106B2 (en)
KR (1)KR20170017914A (en)
CN (1)CN106459675B (en)
TW (1)TWI638874B (en)
WO (1)WO2015190552A1 (en)

Families Citing this family (8)

* Cited by examiner, † Cited by third party
Publication numberPriority datePublication dateAssigneeTitle
KR101988085B1 (en)*2016-03-162019-06-12주식회사 엘지화학Optically clear adhesive photo curable composition, image display device using the same and method for preparing image display device
JP6502295B2 (en)*2016-08-102019-04-17株式会社有沢製作所 UV curable resin composition
JP2018090683A (en)*2016-12-012018-06-14旭硝子株式会社Curable composition, adhesive layer, adhesive layer-fitted face material, laminated body and image display device
JPWO2019093157A1 (en)*2017-11-132021-01-14日本化薬株式会社 UV-curable adhesive composition, a cured product thereof, and a method for manufacturing an optical member using the UV-curable adhesive composition.
JPWO2019208517A1 (en)*2018-04-232021-05-20日本化薬株式会社 A method for manufacturing an ultraviolet curable adhesive composition, a cured product thereof, and an optical member.
KR102419776B1 (en)*2019-03-152022-07-11닛토덴코 가부시키가이샤 Adhesive, manufacturing method of intermediate laminate and intermediate laminate
JP2021195449A (en)*2020-06-122021-12-27日東電工株式会社Adhesive composition, adhesive layer, adhesive sheet, optical member, and touch panel
KR102229884B1 (en)*2020-07-012021-03-18동우 화인켐 주식회사Adhesive Composition and Adhesive Sheet Using the Same

Citations (8)

* Cited by examiner, † Cited by third party
Publication numberPriority datePublication dateAssigneeTitle
JP2005307082A (en)*2004-04-232005-11-04Three Bond Co LtdPhotocurable resin composition for hard-to-adhere material
CN103052665A (en)*2010-07-302013-04-17电气化学工业株式会社Curable resin composition
WO2013146015A1 (en)*2012-03-282013-10-03昭和電工株式会社Polymerizable composition, polymer, adhesive sheet, method for producing image display device, and image display device
WO2013161812A1 (en)*2012-04-272013-10-31荒川化学工業株式会社Ultraviolet light curing adhesive composition and adhesive layer
WO2013187508A1 (en)*2012-06-152013-12-19昭和電工株式会社Polymerizable composition, polymer, optical adhesive sheet, image display device, and method for manufacturing image display device
JP2014019737A (en)*2012-07-132014-02-03Kaneka CorpActive energy ray-curable compositions for fpd lamination with improved adhesion durability
CN103764701A (en)*2011-08-262014-04-30电气化学工业株式会社Curable resin composition
WO2014069134A1 (en)*2012-10-312014-05-08昭和電工株式会社Polymerizable composition, polymer, optical adhesive sheet, image display device and production method for same

Family Cites Families (3)

* Cited by examiner, † Cited by third party
Publication numberPriority datePublication dateAssigneeTitle
JP5470735B2 (en)2007-04-102014-04-16デクセリアルズ株式会社 Manufacturing method of image display device
TWI485214B (en)2008-09-052015-05-21Kyoritsu Chemical Co Ltd And a photohardenable resin composition for bonding an optical functional material
JP5994618B2 (en)*2012-12-142016-09-21デクセリアルズ株式会社 Photocurable resin composition and method for producing image display device using the same

Patent Citations (8)

* Cited by examiner, † Cited by third party
Publication numberPriority datePublication dateAssigneeTitle
JP2005307082A (en)*2004-04-232005-11-04Three Bond Co LtdPhotocurable resin composition for hard-to-adhere material
CN103052665A (en)*2010-07-302013-04-17电气化学工业株式会社Curable resin composition
CN103764701A (en)*2011-08-262014-04-30电气化学工业株式会社Curable resin composition
WO2013146015A1 (en)*2012-03-282013-10-03昭和電工株式会社Polymerizable composition, polymer, adhesive sheet, method for producing image display device, and image display device
WO2013161812A1 (en)*2012-04-272013-10-31荒川化学工業株式会社Ultraviolet light curing adhesive composition and adhesive layer
WO2013187508A1 (en)*2012-06-152013-12-19昭和電工株式会社Polymerizable composition, polymer, optical adhesive sheet, image display device, and method for manufacturing image display device
JP2014019737A (en)*2012-07-132014-02-03Kaneka CorpActive energy ray-curable compositions for fpd lamination with improved adhesion durability
WO2014069134A1 (en)*2012-10-312014-05-08昭和電工株式会社Polymerizable composition, polymer, optical adhesive sheet, image display device and production method for same

Also Published As

Publication numberPublication date
WO2015190552A1 (en)2015-12-17
JP6778106B2 (en)2020-10-28
KR20170017914A (en)2017-02-15
CN106459675A (en)2017-02-22
JPWO2015190552A1 (en)2017-04-20
TWI638874B (en)2018-10-21
TW201602289A (en)2016-01-16

Similar Documents

PublicationPublication DateTitle
CN106459675B (en)Ultraviolet-curable resin composition for touch panel, and bonding method and article using same
KR101496698B1 (en)Method for producing optical member and use of ultraviolet ray cured resin composition for same
CN103826855B (en)The application of the manufacture method of optical component and the ultraviolet-curing resin composition for this manufacture method
CN106459726B (en)Ultraviolet-curable resin composition for touch panel, and bonding method and article using same
US20160342254A1 (en)Ultraviolet-Curable Adhesive Composition For Touch Panel, Optical Member Producing Method Using Same, Cured Product, And Touch Panel
CN111164170B (en)Ultraviolet-curable adhesive composition, cured product thereof, and method for producing optical member using ultraviolet-curable adhesive composition
CN106459725B (en)Ultraviolet-curable resin composition for touch panel, and bonding method and article using same
KR20160055134A (en)Method for producing optical member and ultraviolet curable resin composition used in same
WO2015190571A1 (en)Uv-curable resin composition for use in touchscreen, and bonding method and article using said uv-curable resin
CN111278937A (en)Ultraviolet-curable adhesive composition, cured product thereof, and method for producing optical member using ultraviolet-curable adhesive composition
KR20180075494A (en) UV-curable resin composition for touch panel, cured product using same and touch panel
WO2019016963A1 (en)Ultraviolet curable adhesive, and lamination method and article using same
WO2019208517A1 (en)Ultraviolet-curable adhesive composition, cured product thereof, and optical member production method
JPWO2018230610A1 (en) UV-curable adhesive composition for touch panel, cured product thereof, and touch panel using the same
JP2019189712A (en)Ultraviolet curable adhesive composition, lamination method and article using the same

Legal Events

DateCodeTitleDescription
C06Publication
PB01Publication
C10Entry into substantive examination
SE01Entry into force of request for substantive examination
GR01Patent grant
GR01Patent grant
CF01Termination of patent right due to non-payment of annual fee
CF01Termination of patent right due to non-payment of annual fee

Granted publication date:20200410


[8]ページ先頭

©2009-2025 Movatter.jp