Movatterモバイル変換


[0]ホーム

URL:


CN106153647B - Energy spectral CT imaging system and method for data acquisition and reconstruction of energy spectral CT image - Google Patents

Energy spectral CT imaging system and method for data acquisition and reconstruction of energy spectral CT image
Download PDF

Info

Publication number
CN106153647B
CN106153647BCN201510163516.2ACN201510163516ACN106153647BCN 106153647 BCN106153647 BCN 106153647BCN 201510163516 ACN201510163516 ACN 201510163516ACN 106153647 BCN106153647 BCN 106153647B
Authority
CN
China
Prior art keywords
data
data acquisition
pixel address
detector
spectral
Prior art date
Legal status (The legal status is an assumption and is not a legal conclusion. Google has not performed a legal analysis and makes no representation as to the accuracy of the status listed.)
Active
Application number
CN201510163516.2A
Other languages
Chinese (zh)
Other versions
CN106153647A (en
Inventor
邢宇翔
邓智
沈乐
冯初晴
沈淇
张丽
陈志强
康克军
Current Assignee (The listed assignees may be inaccurate. Google has not performed a legal analysis and makes no representation or warranty as to the accuracy of the list.)
Tsinghua University
Nuctech Co Ltd
Original Assignee
Tsinghua University
Nuctech Co Ltd
Priority date (The priority date is an assumption and is not a legal conclusion. Google has not performed a legal analysis and makes no representation as to the accuracy of the date listed.)
Filing date
Publication date
Application filed by Tsinghua University, Nuctech Co LtdfiledCriticalTsinghua University
Priority to CN201510163516.2ApriorityCriticalpatent/CN106153647B/en
Priority to PCT/CN2016/073918prioritypatent/WO2016161844A1/en
Publication of CN106153647ApublicationCriticalpatent/CN106153647A/en
Application grantedgrantedCritical
Publication of CN106153647BpublicationCriticalpatent/CN106153647B/en
Activelegal-statusCriticalCurrent
Anticipated expirationlegal-statusCritical

Links

Images

Classifications

Landscapes

Abstract

The application relates to a spectral CT imaging system, a data acquisition method thereof and a method for reconstructing a spectral CT image. The spectral CT imaging system comprises a photon detector with a plurality of pixels, and the data acquisition method for the spectral CT imaging system can comprise data acquisition of photons passing through an imaged object from the photon detector at a plurality of projection angles, and for each projection angle, the data acquisition method comprises the step of acquiring data from the photon detector according to a plurality of randomly distributed pixel address codes.

Description

Energy spectrum CT imaging system and method for data acquisition and reconstruction of energy spectrum CT image
Technical Field
The present disclosure relates to CT imaging technology, and in particular, to a spectral CT imaging system and a data acquisition method thereof, and a method for reconstructing a spectral CT image.
Background
The X-ray CT imaging technology has very wide application in the fields of medical treatment, security inspection, industrial nondestructive inspection and the like. Spectral CT is a research direction that has received widespread attention and rapid development in recent years. At present, a spectral CT system based on a photon counting detector is one of the main implementation ways of spectral CT. There are internationally many research units and companies working on the study and production of photon counting detectors suitable for X-ray CT.
The photon counting detector processes the received photons and assigns the received photons to corresponding counters according to energy thresholds, thereby enabling selection of energy windows to collect signal data for X-rays at multiple energies passing through the object. Three-dimensional physical information of the object can be obtained through a corresponding energy spectrum CT image reconstruction algorithm, wherein the three-dimensional physical information comprises linear attenuation coefficients, electron density, equivalent atomic number, material distribution and the like. Thus, the spectral CT phase is functionally capable of providing more multi-slice information of the imaged object than conventional CT.
On the other hand, as the counting mode can eliminate the electronic noise in a threshold mode, the reliability and the signal-to-noise ratio of the data are further improved. Thus, images of spectral CT can have higher image quality, or lower dose with equivalent image quality.
The performance of a photon counting detector is one of the key factors affecting the imaging effect of the energy spectrum CT. The pixel resolution of the present pixelized photon counting area array detector applied to X-ray CT is mainly between 50 and 100 microns, and the photon counting rate is 106-108/mm2In the meantime. On one hand, in order to obtain a high-quality reconstructed image, enough photons need to be collected to reduce the influence of quantum noise; on the other hand, the count speed of each pixel counter is limited by the hardware signal processing speed of electronics. Thus, while reducing the pixel size helps to achieve higher count rates per square millimeter, reducing the pixels exacerbates the charge sharing problem between pixels. Furthermore, the increase in the number of pixels also significantly increases the read-out rate requirements of the detector.
Therefore, there is a need for an improved or developed spectral CT system for spectral CT.
The above information disclosed in this background section is only for enhancement of understanding of the background of the disclosure and therefore it may contain information that does not constitute prior art that is already known to a person of ordinary skill in the art.
Disclosure of Invention
The present application discloses a spectral CT imaging system, a data acquisition method thereof, and a method of reconstructing a spectral CT image, which can overcome one or more of the above-mentioned problems.
Additional features and advantages of the disclosure will be set forth in the detailed description which follows, or in part will be obvious from the description, or may be learned by practice of the disclosure.
According to one aspect of the present disclosure, there is provided a data acquisition method of a spectral CT imaging system including a photon counting detector having a plurality of pixels, the data acquisition method including data acquisition of photons passing through an imaged object from the photon counting detector at a plurality of projection angles, the data acquisition method including, for each projection angle: data is acquired from the photon counting detector according to a plurality of randomly distributed pixel address codes.
According to some embodiments of the present disclosure, the pixel address code is generated using a probability density function of a set pixel address distribution.
According to some embodiments of the present disclosure, for a first projection angle, the pixel address code is generated using a probability density function of a set pixel address distribution; the pixel address code is generated using either a probability density function of a pixel address distribution set for a previous projection angle, or a probability density function of a pixel address distribution reset, or the same as the pixel address code for a previous projection angle, for the remaining projection angles except for the first projection angle.
According to some embodiments of the disclosure, the collecting data from the photon counting detector according to a plurality of randomly distributed pixel address codes comprises: selecting data from all data obtained from the photon counting detector according to a plurality of randomly distributed pixel address codes.
According to some embodiments of the disclosure, the collecting data from the photon counting detector according to a plurality of randomly distributed pixel address codes comprises: and acquiring data from all pixels of the photon counting detector according to a plurality of randomly distributed pixel address codes and real-time selection pixels.
According to another invention of the present disclosure, there is provided a data acquisition method of a spectral CT imaging system including a photon counting detector having a plurality of pixels, the data acquisition method including data acquisition of photons passing through an imaged object from the photon counting detector at a plurality of projection angles, the data acquisition method including, for each projection angle: data is collected from the plurality of pixels arranged in accordance with a plurality of randomly distributed pixel address encodings. According to some embodiments of the present disclosure, the photon counting detector is an area array detector or a ring detector.
According to another aspect of the present disclosure, there is provided a method of reconstructing a spectral CT image, comprising: setting a plurality of energy windows for data acquisition; acquiring data from the plurality of energy windows using any of the data acquisition methods described above; generating a corresponding system matrix by using the pixel address coding; carrying out energy spectrum information decomposition on the acquired data in a projection domain to obtain a decomposition coefficient projection; reconstructing the spatial distribution of the decomposition coefficient by using the decomposition coefficient projection through an iteration method to obtain the decomposition coefficient; and synthesizing according to the reconstructed decomposition coefficients to obtain the attenuation coefficient of the single energy and/or estimate the electron density and/or equivalent atomic number distribution diagram of the imaged object.
According to some embodiments of the present disclosure, the dimension of the system matrix is M × N, where N is the number of image domain pixels being reconstructed and M is the product of the number of projection angles and the number of pixel address encodings.
According to some embodiments of the present disclosure, the decomposition coefficient projection is solved according to the following formula:
Figure GDA0001701808150000031
where τ is an integer corresponding to the τ -th decomposition term, wk(E) For the normalized spectral distribution of X-ray energy in the k-th energy window, pkFor an M-dimensional vector, phi, corresponding to data acquired on a photon counting detectorτ(E) Is the τ -th decomposition basis function, AτK ﹦ 1,2,. K, K being the number of energy windows and E being the photon energy, for the projection of the τ -th decomposition coefficient.
According to some embodiments of the present disclosure, the spatial distribution reconstruction of the decomposition coefficients is performed iteratively according to the following formula:
Figure GDA0001701808150000032
where ε is a threshold determined from data noise, Φ (i, j, z) is a prior function with respect to pixel location (i, j, z) of the imaging field of view, aτFor decomposition coefficients, H is the system matrix.
According to some embodiments of the present disclosure, the attenuation coefficient of the single energy is calculated from the reconstruction result by:
Figure GDA0001701808150000033
according to some embodiments of the disclosure, K ═ 2, τ e [1,2, in the case of two energy windows],φτ(E) The photoelectric effect coefficient and the Compton scattering coefficient are respectively taken.
According to some embodiments of the present disclosure, the equivalent atomic number distribution map and the electron density distribution map are respectively estimated by the following formulas:
Figure GDA0001701808150000041
ρe=2a2
wherein a is1、a2Corresponding to a when τ is 1 and 2, respectivelyτThe value is obtained.
According to another aspect of the present disclosure, there is provided a method of reconstructing a spectral CT image, comprising: setting a plurality of energy windows for data acquisition; acquiring data from the plurality of energy windows using any of the data acquisition methods described above; generating a corresponding system matrix by using the pixel address coding; carrying out spatial distribution reconstruction of the attenuation coefficient on the data acquired under each energy window by an iterative method to obtain the attenuation coefficient; performing energy spectrum information decomposition on the reconstructed image domain pixels one by using the reconstruction result of the attenuation coefficient to obtain a decomposition coefficient; an electron density and/or equivalent atomic number distribution map of the imaged object is estimated.
According to some embodiments of the present disclosure, the dimension of the system matrix is M × N, where N is the number of image domain pixels being reconstructed and M is the product of the number of projection angles and the number of pixel address encodings.
According to some embodiments of the present disclosure, the attenuation coefficient reconstruction is performed iteratively according to the following formula:
Figure GDA0001701808150000042
and
Figure GDA0001701808150000043
where k denotes the kth energy window, gkFor projection values, μ, obtained by normalizing and negative logarithm processing of the acquired datakTo be attenuation coefficient, pkIs an M-dimensional vector corresponding to the data acquired on the photon counting detector, epsilon is a threshold determined from the data noise, phi (i, j, z) is a prior function with respect to the pixel position (i, j, z) of the imaging field of view, and H is the system matrix.
According to some embodiments of the disclosure, the reconstruction result μ is used to reconstruct the imagekAnd decomposing the energy spectrum information of the reconstructed image domain pixels one by solving the following linear equation set to obtain decomposition coefficients:
Figure GDA0001701808150000044
where τ is an integer corresponding to the τ -th decomposition term, K1, K is the number of energy windows, phiτ(E) Is the τ -th decomposition basis function, aτ(i, j, z) is the τ th decomposition coefficient, EkRepresenting the equivalent photon energy of the kth energy window.
According to some embodiments of the disclosure, K ═ 2, τ e [1,2, in the case of two energy windows],φτ(E) The photoelectric effect coefficient and the Compton scattering coefficient are respectively taken.
According to some embodiments of the present disclosure, the equivalent atomic number distribution map and the electron density distribution map are respectively estimated by the following formulas:
Figure GDA0001701808150000051
ρe=2a2
wherein a is1、a2Corresponding to a when τ is 1 and 2, respectivelyτThe value is obtained.
According to another aspect of the present disclosure, there is provided a spectral CT imaging system comprising: the ray generating device comprises a ray source; a photon counting detector comprising a plurality of pixels; and the data acquisition system acquires data from the photon counting detector for photons passing through the imaged object, and is characterized in that the data acquisition system acquires data from the photon counting detector according to a plurality of randomly distributed pixel address codes.
According to some embodiments of the present disclosure, the pixel address code is generated using a probability density function of a set pixel address distribution.
According to some embodiments of the present disclosure, the data acquisition system selects data according to a plurality of randomly distributed pixel address codes from all data output by the photon counting detector.
According to some embodiments of the present disclosure, the data acquisition system includes an electronics system configured to read data from a plurality of randomly distributed pixel address encodings of real-time selected pixels from all pixels of the photon counting detector.
According to some embodiments of the present disclosure, the spectral CT imaging system further comprises a data processing system for reconstructing a spectral CT image using data acquired by the data acquisition system according to any of the aforementioned methods for reconstructing a spectral CT image. According to some embodiments of the present disclosure, the photon counting detector is an area array detector or a ring detector.
According to another aspect of the present disclosure, there is provided a spectral CT imaging system comprising: the ray generating device comprises a ray source; a photon counting detector comprising a plurality of pixels; and the data acquisition system acquires data of photons passing through the imaged object from the photon counting detector. The plurality of pixels of the photon counting detector are arranged according to a plurality of randomly distributed pixel address codes.
According to some embodiments of the present disclosure, the pixel address code is generated using a probability density function of a set pixel address distribution.
According to some embodiments of the present disclosure, the spectral CT imaging system further comprises a data processing system for reconstructing a spectral CT image using data acquired by the data acquisition system according to any of the methods for reconstructing a spectral CT image described above. According to some embodiments of the present disclosure, the photon counting detector is an area array detector or a ring detector.
According to the energy spectrum CT imaging system, the data acquisition method thereof and the method for reconstructing the energy spectrum CT image, the charge sharing effect can be effectively controlled, the processing speed of the CT system is increased, and the system cost is reduced.
Drawings
The above and other features and advantages of the present disclosure will become more apparent by describing in detail exemplary embodiments thereof with reference to the attached drawings.
Fig. 1 schematically illustrates a system architecture diagram of a spectral CT imaging system, according to some example embodiments of the present disclosure;
fig. 2 schematically illustrates a data collection flow diagram according to some example embodiments of the present disclosure;
FIGS. 3a and 3b schematically illustrate randomly distributed or randomly selected detector pixels according to some exemplary embodiments of the present disclosure, wherein FIG. 3a is a random uniform distribution pattern, and FIG. 3b is a random distribution pattern with a certain probability density, e.g., a high middle probability and a low edge probability;
FIGS. 4a and 4b schematically illustrate a comparison of projection data according to some example embodiments of the present disclosure, where FIG. 4a illustrates projection data acquired for one energy window of a normal spectral CT and FIG. 4b illustrates projection data under one energy window of the former one-tenth data acquired according to a randomly distributed pixel address code;
fig. 5a and 5b illustrate examples of results of a spectral CT reconstruction according to some exemplary embodiments of the present disclosure, wherein fig. 5a is an electron density distribution plot and fig. 5b is an equivalent atomic number distribution plot; and
fig. 6 shows a schematic energy spectral CT structure comprising a detector with predefined randomly distributed pixels according to an embodiment of the present disclosure.
DETAILED DESCRIPTION OF EMBODIMENT (S) OF INVENTION
Example embodiments will now be described more fully with reference to the accompanying drawings. Example embodiments may, however, be embodied in many different forms and should not be construed as limited to the embodiments set forth herein; rather, these embodiments are provided so that this disclosure will be thorough and complete, and will fully convey the concept of example embodiments to those skilled in the art. The same reference numerals denote the same or similar parts in the drawings, and thus, a repetitive description thereof will be omitted.
Furthermore, the described features, structures, or characteristics may be combined in any suitable manner in one or more embodiments. In the following description, numerous specific details are provided to give a thorough understanding of embodiments of the disclosure. One skilled in the relevant art will recognize, however, that the embodiments of the disclosure can be practiced without one or more of the specific details, or with other methods, components, materials, devices, steps, and so forth. In other instances, well-known structures, methods, devices, implementations, materials, or operations are not shown or described in detail to avoid obscuring aspects of the disclosure.
The block diagrams shown in the figures are functional entities only and do not necessarily correspond to physically separate entities. I.e. these functional entities may be implemented in the form of software, or in one or more hardware modules or integrated circuits, or in different networks and/or processor means and/or microcontroller means.
The flow charts shown in the drawings are merely illustrative and do not necessarily include all of the steps. For example, some steps may be decomposed, and some steps may be combined or partially combined, so that the actual execution sequence may be changed according to the actual situation.
Fig. 1 schematically illustrates a system architecture diagram of a spectralCT imaging system 100, according to some example embodiments of the present disclosure.
As shown in FIG. 1, a spectralCT imaging system 100 may include aradiation generating device 105, amechanical motion system 110, aphoton detector 120, and adata acquisition system 130. The system can be realized by circular orbit scanning and spiral track scanning, and can be used for three-dimensional spectral CT imaging.
Theradiation generating device 105 may comprise a radiation source for emitting, for example, X-rays.
Themechanical motion system 110 is used to move the object to be imaged relative to the radiation source. Themechanical motion system 110 may, for example, include a mechanical motion device and a corresponding control system (not shown). Either theobject 115 being imaged is moving while the source and/ordetector 120 remain stationary (in the manner shown in figure 1) or the source and/or detector are moving while the object remains stationary. Rotation of the patient is generally avoided in the medical field and may be achieved by rotating the source and/or detector. In industrial non-destructive testing, the manner in which objects are rotated and translated is common. For CT imaging, relative motion is contributing, so the two modes are equivalent.
Photon detector 120 may include a plurality of pixels 1202 (shown in fig. 3 a) for receiving and processing photons that pass through an object.
Adata acquisition system 130 performs data acquisition of photons passing through the imagedobject 115 from thephoton detector 120. In accordance with the inventive concepts of the present disclosure, thedata acquisition system 130 acquires data from thephoton detector 120 in accordance with a plurality of randomly distributed pixel address encodings, as will be described in detail below.
According to some embodiments of the present disclosure, thephoton detector 120 includes anelectronics system 125. Thedata acquisition system 130 selects data from the total data output by theelectronics system 125 according to a plurality of randomly distributed pixel address codes.
According to other embodiments of the present disclosure, thedata acquisition system 130 includes anelectronics system 125. Theelectronics system 125 is configured to read data from a plurality of randomly distributed pixel address encodings of real-time selected pixels from all of the pixels of thephoton detector 120.
According to other embodiments of the present disclosure, as shown in fig. 3a, 3b, and 6, a plurality ofpixels 1205 ofphoton detector 120 may be arranged in a plurality of randomly distributed pixel address encodings. In addition, as shown in fig. 3a, 3b and 6, thephoton detector 120 may be, for example, an area array detector or a ring detector.
The spectralCT imaging system 100 may also include amain controller 140 and adata processing device 135. Themain controller 140 is responsible for the main control of the operation process of the energy spectrum CT system, including mechanical rotation, electrical control, safety interlock control, and the like. Thedata processing device 135 processes the data acquired by thedata acquisition system 130 to obtain an attenuation coefficient image at any energy of the spectral CT. In addition, equivalent atomic number and electron density distribution maps can also be calculated therefrom. These maps can be displayed on a display by means of tomography or three-dimensional visualization. Themain controller 140 and thedata processing device 135 may be a single PC or may be a workstation or a cluster of computers.
Fig. 2 schematically illustrates a data collection flow diagram according to some example embodiments of the present disclosure. A method of acquiring data from thephoton detector 120 according to the present disclosure is described below with reference to fig. 2, 3a and 3 b.
According to a data acquisition method of the inventive concept of the present disclosure, for each projection angle, the method comprises: data is acquired from the photon detector according to a plurality of randomly distributed pixel address codes.
According to some embodiments of the present disclosure, thephoton detector 120 includes anelectronics system 125, and the method includes selecting data from the totality of data obtained from the photon detector according to a plurality of randomly distributed pixel address encodings.
According to other embodiments of the present disclosure, thedata acquisition system 130 includes anelectronics system 125. Theelectronics system 125 is configured to read data from a plurality of randomly distributed pixel address encodings of real-time selected pixels from all of the pixels of thephoton detector 120. The method includes acquiring data from a plurality of randomly distributed pixel address codes of real-time selected pixels from all pixels of the photon detector.
Referring to FIG. 2, at each projection angle, N may be generated with a certain probabilitysAnd randomly distributed pixel address codes, and reading values from the detector according to the address codes. This NsThe addresses of individual detector pixels can be controlled in their distribution pattern across the detector by parameter settings, i.e. by setting the probability density function of the pixel addresses.
Specific examples of randomly distributed read pixels are shown in fig. 3a and 3 b. The dashed grid represents the actual detector cell matrix and the dark grey small squares represent the selected data output pixels during a certain angle of data acquisition. Fig. 3a shows random sampling with a uniform distribution. Fig. 3b shows a random sampling performed in a manner such that a certain probability density, e.g., a high middle probability and a low edge probability, is obtained.
The total pixel unit number of the detector is NdetThe number of data read from each view angle in the data acquisition process is Ns≦Ndet. According to the technical scheme of the disclosure, NsCan be much less than NdetE.g. less thanNdet50% of (A), or further, less thanNdet20% of the total.
As shown in fig. 2, a method according to some embodiments of the present disclosure includes the following processes.
After data collection begins 205, a determination is made whether to reset theaddress distribution probability 210.
If so, a probability density function of the address distribution is set 215 and an address code is generated 225, and then the detector cell data is read 230 according to the address code.
If not, it is determined whether to update theaddress code 220. If so, go to 225, otherwise go to 230. For example, for the remaining projection angles except the first projection angle, a pixel address code may be generated using a probability density function of the pixel address distribution set for the previous projection angle (go to 225); or the same as the pixel address code for the previous projection angle (go to 230).
After reading thedetector cell data 230 according to the address code, it is determined whether all angle scans are completed. If not, then a determination is made as to whether to reset the address distribution probability for thenext angle 210. If so, data acquisition is complete 240.
A method of spectral CT image reconstruction using data acquired by the foregoing method according to the present disclosure is described below.
Setting a plurality of energy windows (or spectra) w of the acquired datak(E) K ﹦ 1, 2.. K. K is the number of energy windows, and when K is 2, the system is a dual-energy imaging system. Each wk(E) The energy ranges covered may have overlapping portions or may be completely separated. The data of the multi-energy CT are p respectivelykRepresents:
-ln∫wk(E)exp(-Hμ(E))dE=pk (1)
where E is the photon energy. w is ak(E) The spectral distribution of the X-ray energy in the k-th energy window for normalization can be generated in a number of ways, such as setting the energy window threshold of a photon counting detector, or using different filters at the light source, etc. μ (E) is the attenuation coefficient of the object, H is an M × N dimensional projection matrix, pkThe data for M rays are acquired for an M-dimensional vector, i.e., from randomly distributed pixels of the photon counting detector. In this disclosure, such a photon counting detector may be referred to as a random address Coded photon counting detector Coded-PCD.
Reconstruction of spectral CT can be performed in three ways in the framework (see Y.Xing, et al, "A Reconstruction Method for Dual High-Energy CT With MeV X-Rays," Nuclear Science, IEEE Transactions on, vol.58, pp.537-546,2011): (1) the pretreatment mode comprises the following steps: firstly, performing energy spectrum information decomposition on acquired data in a projection domain, then performing spatial information reconstruction through iteration, and then synthesizing according to the reconstructed spatial information; (2) and (3) post-treatment mode: firstly, reconstructing spatial information of data under each energy spectrum, and then decomposing the energy spectrum information in an image domain; (3) and (3) comprehensive treatment mode: and establishing a comprehensive data model, and simultaneously obtaining energy spectrum related information and spatial position related information through iterative reconstruction.
Spectral CT reconstruction according to the present disclosure can be done under a framework of pre-and post-processing methods. The Energy spectrum information Decomposition and synthesis can be completed by using the existing Technology in the field (see G.Zhang, et al, "A practical reconstruction method for dual Energy analysis" Journal of X-ray Science and Technology, vol.16, pp.67-882008 and Y.Xing, et al, "A General Adaptive Decomposition method for Multi-Energy Spectrum CT," in Nuclear Science symphysis and medical Imaging Conference (NSS/MIC),2011IEEE, Seul, Korea,2013, pp.M 12-15).
The spatial information reconstruction method can be specifically processed as follows in combination with the data distribution of the photon detector.
Recording the projection data of the spatial information distribution as y, the spatial information to be reconstructed as x, and according to the data acquisition mode of the photon detector, the method comprises the following steps:
y=Hx。 (2)
where the dimension of H is M × N, where M is the number of projection angles × NsAnd N is the number of image domain pixels being reconstructed. (2) The spatial information reconstruction method is different from the conventional CT method in that the system matrix H corresponds to randomly distributed detector unit positions and can be sparse sampling, namely M<<And N is added. That is, the number of detector units for data acquisition at each angle may be much smaller than the total number of detector units Ndet. When M is<<And N, (2) is an indeterminate equation set solving problem. In the present disclosure, the solution is limited by the sparsity condition:
Figure GDA0001701808150000101
ε is a constant determined by the data noise case, (i, j, z) is the three-dimensional position coordinates of the reconstructed pixel, and Φ (i, j, z) is a prior function related to the pixel position (i, j, z) of the imaging field of view, which can be preset or calculated by the probability density function of the detector data sample distribution (see E.Y. Sidky, et al., "Accurate image recovery from views and limited-angle data in direct-beam CT," Journal of X-Ray Science and Technology, vol.14, pp.119-139,2006).
Is | is1Norm of order: x | ═ Σ | xi|。
Figure GDA0001701808150000111
According to the lagrange multiplier method, (3) can be solved by:
Figure GDA0001701808150000112
where λ is a factor that adjusts for sparseness conditioning and data fidelity, and can be set empirically to be a constant. When N is presentsAnd NdetThe value of lambda can be increased when approaching. The numerical solution of equations (3) and (4) can be iteratively accomplished by methods using numerical optimization methods known in the ART such as ART-TV (see Y.Sidky, et al, "Accurate image recovery from raw results-views and limited-angle data in direct-beam CT," Journal of X-Ray Science and Technology, vol.14, pp.119-139,2006) or ADMM (see J.Yang and Y.Zhang, "Alternating Direction for l 1-compressing" SIAMJ.Sci.Comp., vol.33, pp.250-278,2011).
Methods of spectral CT image reconstruction using data acquired by the foregoing methods according to some embodiments of the present disclosure are described below.
According to some embodiments, the energy spectrum CT system architecture shown in FIG. 1 is adopted, a common X-ray machine is used for acquiring data of 2 energy windows, and N is acquired in one circleθAngles, each using the probability density function of the Gaussian distribution of the same parameters, but generating different samples, i.e. different address codes, making the detector readings, and Ns﹦Ndet/10。
Fig. 4a and 4b schematically illustrate a comparison of projection data according to some example embodiments of the present disclosure, where fig. 4a illustrates projection data acquired for one energy window by a normal spectral CT and fig. 4b illustrates projection data under one energy window obtained by acquiring one tenth of the former data according to a randomly distributed pixel address code. Fig. 5a and 5b illustrate examples of results of a spectral CT reconstruction according to some exemplary embodiments of the present disclosure, wherein fig. 5a is an electron density distribution diagram and fig. 5b is an equivalent atomic number distribution diagram.
The following describes a method framework for preprocessing energy spectrum CT reconstruction and a method framework for post-processing energy spectrum CT reconstruction, respectively.
Energy spectrum CT reconstruction in preprocessing mode
1) And generating an address code according to the probability density function, and acquiring data according to the address code. And recording the address code to generate a corresponding system matrix H. The present disclosure is not limited thereto, and for example, the values of the elements of the system matrix may be calculated in real time during the reconstruction process according to the recorded address codes. The generation of the system matrix H is well known in the art and will not be described further herein.
2) Calculate Φ (i, j, z). It may be assumed (but is not limited to) that the probability density function defining the distribution of sample points for detector data reads at each projection angle θ is pdf (u, v, θ), where u, v represents the detector position and θ represents the projection angle
Φ(i,j,z)=[H0T×pdf(u,v,θ)]-p,1/3<p<3,
Wherein H0Is a system matrix for the case of collecting all detector data. This step is accomplished by a back projection and resultant exponentiation. In special cases, e.g. no renUnder the condition of which priori knowledge and uniformly distributed random sampling, the prior knowledge can be set
Φ(i,j,z)=1。
3) The decomposition coefficient projections are resolved from all detector data for 2 energy windows. The resulting decomposition coefficient projection is denoted Aτ
Is formulated as solving A according to the following formulaτ
Figure GDA0001701808150000121
Aτ={A1,τ,A2,τ,…,AL,τ}。
τ is an integer corresponding to the τ -th decomposition term, τ e [1,2 ] in the case of 2 energy windows]。φτ(E) Is the τ -th decomposition basis function, AτIs the τ th decomposition coefficient projection. This step can be accomplished using methods known in the art, such as double effect decomposition or decomposition of the base material. Where phi may be selected1,2(E) Photoelectric effect coefficient, compton scattering coefficient, but the disclosure is not so limited.
4) Using the result obtained in 3) to perform decomposition coefficient reconstruction to obtain a decomposition coefficient image, namely for all AτA is reconstructed in the following mannerτ
Figure GDA0001701808150000131
Where epsilon is a small threshold. An example of a specific implementation procedure is given here, but does not exclude other iterative methods from implementing this step. Because for each aτAre obtained using the following procedure, so the subscript τ is omitted in the following description.
a. Setting an initial iteration value as a0
b. Making fidelity item updates, i.e. calculations
Figure GDA0001701808150000132
c. Updating non-negative constraints (this step depends on the method of energy spectrum decomposition, e.g. decomposition of the basis material, and may be omitted)
Figure GDA0001701808150000133
d. Updating prior constraint:
i)
Figure GDA0001701808150000134
ii) Q number of iterations of full variation minimization (gradient descent method can be used here, but is not limited to this method), Q can be a self-selected integer, for example between 5 and 100.
Figure GDA0001701808150000135
e. Order to
Figure GDA0001701808150000136
And c, performing the steps b-e again until the convergence condition is met and stopping iteration.
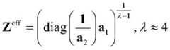
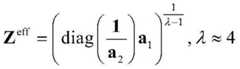
5) According to the above-mentioned reconstruction result aτ,τ ═ 1., Γ, μ (E) for a single energy is synthetically calculated,
Figure GDA0001701808150000137
also can be prepared from mu (E), aτ,τ ═ 1., Γ estimates the electron density, equivalent atomic number distribution map of the imaged object. In the case of using the photoelectric effect coefficient and the compton scattering coefficient as phi (E),
Figure GDA0001701808150000138
ρe=2a2
energy spectrum CT reconstruction in post-processing mode
1) And generating an address code according to the probability density function, and acquiring data according to the address code. And recording the address code to generate a corresponding system matrix H. The present disclosure is not limited thereto, and for example, the values of the elements of the system matrix may be calculated in real time during the reconstruction process according to the recorded address codes. The generation of the system matrix H is well known in the art and will not be described further herein.
2) Calculate Φ (i, j, z). For example, the probability density function defining the distribution of sample points for the probe data reads at each projection angle θ is pdf (u, v, θ), which can be set (but is not limited to)
Φ(i,j,z)=[H0T×pdf(u,v,θ)]-p,1/3<p<3,
Wherein H0Is a system matrix for the case of collecting all detector data. This step is accomplished by a back projection and resultant exponentiation. In special cases, e.g. in the case of uniformly distributed random samples without any a priori knowledge, it may be provided that
Φ(i,j,z)=1。
3) A spatial distribution reconstruction of the two line attenuation coefficients is performed from all detector data of the 2 energy windows. Recording the projection value obtained by normalizing and carrying out negative logarithm processing on the acquired data as follows:
Figure GDA0001701808150000141
for all gkThe following way is used to reconstruct and obtain muk
Figure GDA0001701808150000142
Where epsilon is a small threshold. An example of a specific implementation procedure is given here, but does not exclude other iterative methods from implementing this step. Because for each mukAre obtained using the following procedure, and are therefore described in the followingThe subscript k is omitted.
a. Setting the initial value of iteration to mu0
b. Making fidelity item updates, i.e. calculations
Figure GDA0001701808150000143
c. Non-negative constraint update
Figure GDA0001701808150000144
d. Updating prior constraint:
i)
Figure GDA0001701808150000151
ii) Q number of iterations of full variation minimization (gradient descent method can be used here, but is not limited to this method), Q can be a self-selected integer, for example between 5 and 100.
Figure GDA0001701808150000152
e. Order to
Figure GDA0001701808150000153
And c, performing the steps b-e again until the convergence condition is met and stopping iteration.
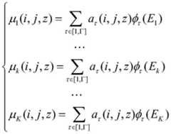
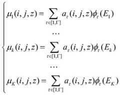
4) According to the above reconstruction result mukAnd performing energy spectrum information decomposition on the reconstructed image domain pixels one by one to obtain a decomposition coefficient aτ(i, j, z), i.e. solving a system of linear equations:
Figure GDA0001701808150000154
τ is an integer corresponding to the τ -th decomposition term. EkRepresenting the equivalent photon energy of the kth energy window. For all pixel pointsAfter the solution is completed, a is obtainedτ。φτ(E) Is the τ -th decomposition basis function. Using, but not limited to, photoelectric effect coefficient, Compton scattering coefficient as phiτ(E) In the case of (2), an equivalent atomic number and electron density distribution diagram can be obtained:
Figure GDA0001701808150000155
ρe=2a2
fig. 6 shows a schematic energy spectral CT structure comprising a detector with predefined randomly distributed pixels according to an embodiment of the present disclosure.
According to the inventive concept of the present disclosure, a detector with predefined randomly distributed pixels may be employed. For example, referring to fig. 3a and 3b, no detector cells (or pixels) may be provided at the dashed grid, only at the dark grey checkered squares. That is, the plurality of pixels of the photon detector may be arranged in a plurality of randomly distributed pixel address encodings. The pixel address code may be generated using a probability density function of the set pixel address distribution, as previously described.
Referring to fig. 6, in this example, a complete area-array photon counting detector is not used for real-time encoded sampling of CT scanning, but encoded acquisition of projection data is implemented in another way. In the CT system configuration shown in fig. 6, the photon counting detectors are distributed on a support of aring detector 605 in a predetermined sampling pattern, for example, generated by using a probability density function of a set pixel address distribution. There is also anannular X-ray source 610 coaxial with the annular detector support. Theannular X-ray source 610 may be formed by arranging a plurality of ordinary X-ray sources along a circular ring, or may be formed by annular targets of a fifth generation electron beam CT. The system structure has no rotating structure, can acquire projection data at a higher speed, overcomes the blurring of object motion, and improves the time resolution of CT reconstructed images.
For this configuration, the data processing is basically the same as described above, and only when calculating Φ (i, j, z), since the photon counting pixels on the detector ring are already predefined, they can be calculated in advance and stored for direct use in reconstruction.
From the foregoing detailed description, those skilled in the art will readily appreciate that the systems and methods according to embodiments of the present disclosure have one or more of the following advantages.
The present disclosure provides a new energy spectrum CT imaging system through a new detector design and a corresponding energy spectrum CT reconstruction method. The pixel data of the photon counting detector is read in a low-sampling-rate random coding mode, and the charge sharing effect of the detector and the data reading rate requirement of the detector are reduced.
The inherent resolution of conventional systems can be obtained by optimized spectral CT reconstruction methods.
High resolution, small data size and large imaging field of view can be achieved simultaneously.
The imaging of different resolution ratios in a scanning visual field can be flexibly realized by adjusting the probability function of the data sampling distribution of the detector.
Through the above description of the embodiments, those skilled in the art will readily understand that the embodiments of the present disclosure may be implemented by hardware, or may be implemented by software in combination with necessary hardware. Therefore, the technical solution of the embodiment of the present disclosure may be embodied in the form of a software product, which may be stored in a non-volatile storage medium (which may be a CD-ROM, a usb disk, a removable hard disk, etc.), and includes several instructions for enabling a computing device (which may be a personal computer, a server, a mobile terminal, or a network device, etc.) to execute the method according to the embodiment of the present disclosure.
It is to be understood by those skilled in the art that the drawings are merely schematic representations of exemplary embodiments, and that the blocks or processes shown in the drawings are not necessarily required to practice the present disclosure and are, therefore, not intended to limit the scope of the present disclosure.
Those skilled in the art will appreciate that the modules described above may be distributed in the apparatus according to the description of the embodiments, and may be correspondingly modified in one or more apparatuses other than the embodiments. The modules of the above embodiments may be combined into one module, or further split into multiple sub-modules.
Exemplary embodiments of the present disclosure are specifically illustrated and described above. It is to be understood that the disclosure is not to be limited to the disclosed embodiments, but on the contrary, is intended to cover various modifications and equivalent arrangements included within the spirit and scope of the appended claims.

Claims (26)

1. A data acquisition method for a spectral CT imaging system including a photon counting detector having a plurality of pixels, the data acquisition method comprising data acquisition of photons traversing an imaged object from the photon counting detector at a plurality of projection angles, the data acquisition method comprising, for each projection angle:
acquiring data from the photon counting detector according to a plurality of randomly distributed pixel address codes;
wherein
The pixel address code is generated by utilizing a probability density function of set pixel address distribution;
or
For a first projection angle, the pixel address code is generated by using a probability density function of a set pixel address distribution; for the rest of projection angles except the first projection angle, the pixel address code is generated by using a probability density function of a pixel address distribution set for the previous projection angle, or is generated by using a probability density function of a reset pixel address distribution, or is the same as the pixel address code for the previous projection angle;
wherein the number of data read per view angle during data acquisition is less than 50% of the total number of pixel cells of the detector.
2. The data acquisition method as claimed in claim 1, wherein said acquiring data from said photon counting detector according to a plurality of randomly distributed pixel address codes comprises: selecting data from all data obtained from the photon counting detector according to a plurality of randomly distributed pixel address codes.
3. The data acquisition method as claimed in claim 1, wherein said acquiring data from said photon counting detector according to a plurality of randomly distributed pixel address codes comprises: and acquiring data from all pixels of the photon counting detector according to a plurality of randomly distributed pixel address codes and real-time selection pixels.
4. A data acquisition method for a spectral CT imaging system including a photon counting detector having a plurality of pixels, the data acquisition method comprising data acquisition of photons traversing an imaged object from the photon counting detector at a plurality of projection angles, the data acquisition method comprising, for each projection angle:
collecting data from the plurality of pixels arranged in accordance with a plurality of randomly distributed pixel address encodings;
wherein
The pixel address code is generated by utilizing a probability density function of set pixel address distribution;
or
For a first projection angle, the pixel address code is generated by using a probability density function of a set pixel address distribution; for the rest of projection angles except the first projection angle, the pixel address code is generated by using a probability density function of a pixel address distribution set for the previous projection angle, or is generated by using a probability density function of a reset pixel address distribution, or is the same as the pixel address code for the previous projection angle;
wherein the number of data read per view angle during data acquisition is less than 50% of the total number of pixel cells of the detector.
5. The data acquisition method of claim 4, wherein the photon counting detector is an area array detector or a ring detector.
6. A method of reconstructing a spectral CT image, comprising:
setting a plurality of energy windows for data acquisition;
performing data acquisition from the plurality of energy windows using a data acquisition method according to any one of claims 1-5;
generating a corresponding system matrix by using the pixel address coding;
carrying out energy spectrum information decomposition on the acquired data in a projection domain to obtain a decomposition coefficient projection;
reconstructing the spatial distribution of the decomposition coefficient by using the decomposition coefficient projection through an iteration method to obtain the decomposition coefficient;
and synthesizing according to the reconstructed decomposition coefficients to obtain the attenuation coefficient of the single energy and/or estimate the electron density and/or equivalent atomic number distribution diagram of the imaged object.
7. The method of claim 6, wherein the dimension of the system matrix is mxn, where N is the number of image domain pixels being reconstructed and M is the product of the number of projection angles and the number of pixel address encodings.
8. The method of claim 7, wherein the decomposition coefficient projection is calculated according to the formula:
Figure FDF0000006970510000021
where τ is an integer corresponding to the τ -th decomposition term, wk(E) For the normalized spectral distribution of X-ray energy in the k-th energy window, pkFor an M-dimensional vector, phi, corresponding to data acquired on a photon counting detectorτ(E) Is the τ -th decomposition basis function, AτK ﹦ 1,2,. K, K being the number of energy windows and E being the photon energy, for the projection of the τ -th decomposition coefficient.
9. The method of claim 8, wherein the spatial distribution reconstruction of the decomposition coefficients is performed iteratively according to the following formula:
Figure FDF0000006970510000031
where ε is a threshold determined from data noise, Φ (i, j, z) is a prior function with respect to pixel location (i, j, z) of the imaging field of view, aτFor decomposition coefficients, H is the system matrix.
10. The method of claim 9, wherein the attenuation coefficient of the single energy is calculated from the reconstruction result by:
Figure FDF0000006970510000032
11. the method of claim 8, wherein K ═ 2, τ e [1,2, in the case of two energy windows],φτ(E) The photoelectric effect coefficient and the Compton scattering coefficient are respectively taken.
12. The method of claim 11, wherein the equivalent atomic number distribution map and the electron density distribution map are respectively estimated by the following equations:
Figure FDF0000006970510000033
ρe=2a2
wherein a is1、a2Corresponding to a when τ is 1 and 2, respectivelyτThe value is obtained.
13. A method of reconstructing a spectral CT image, comprising:
setting a plurality of energy windows for data acquisition;
performing data acquisition from the plurality of energy windows using a data acquisition method according to any one of claims 1-5;
generating a corresponding system matrix by using the pixel address coding;
carrying out spatial distribution reconstruction of the attenuation coefficient on the data acquired under each energy window by an iterative method to obtain the attenuation coefficient;
performing energy spectrum information decomposition on the reconstructed image domain pixels one by using the reconstruction result of the attenuation coefficient to obtain a decomposition coefficient;
an electron density and/or equivalent atomic number distribution map of the imaged object is estimated.
14. The method of claim 13, wherein the dimension of the system matrix is mxn, where N is the number of image domain pixels being reconstructed and M is the product of the number of projection angles and the number of pixel address encodings.
15. The method of claim 14, wherein the attenuation coefficient reconstruction is performed iteratively according to the following equation:
Figure FDF0000006970510000041
and
Figure FDF0000006970510000042
where k denotes the kth energy window, gkFor projection values, μ, obtained by normalizing and negative logarithm processing of the acquired datakTo be attenuation coefficient, pkIs an M-dimensional vector corresponding to the data acquired on the photon counting detector, epsilon is a threshold determined from the data noise, phi (i, j, z) is a prior function with respect to the pixel position (i, j, z) of the imaging field of view, and H is the system matrix.
16. The method of claim 15, wherein the reconstructing is based onResults μkAnd decomposing the energy spectrum information of the reconstructed image domain pixels one by solving the following linear equation set to obtain decomposition coefficients:
Figure FDF0000006970510000043
where τ is an integer corresponding to the τ -th decomposition term, K1, K is the number of energy windows, phiτ(E) Is the τ -th decomposition basis function, aτ(i, j, z) is the τ th decomposition coefficient, EkRepresenting the equivalent photon energy of the kth energy window.
17. The method of claim 16, wherein K ═ 2, τ e [1,2, in the case of two energy windows],φτ(E) The photoelectric effect coefficient and the Compton scattering coefficient are respectively taken.
18. The method of claim 17, wherein the equivalent atomic number distribution map and the electron density distribution map are respectively estimated by the following equations:
Figure FDF0000006970510000044
ρe=2a2
wherein a is1、a2Corresponding to a when τ is 1 and 2, respectivelyτThe value is obtained.
19. A spectral CT imaging system, comprising:
the ray generating device comprises a ray source;
a photon counting detector comprising a plurality of pixels; and
a data acquisition system for acquiring data from the photon counting detector for photons passing through an imaged object,
the data acquisition system is characterized in that the data acquisition system acquires data from the photon counting detector according to a plurality of randomly distributed pixel address codes;
wherein the pixel address code is generated by using a probability density function of a set pixel address distribution;
wherein the number of data read per view angle during data acquisition is less than 50% of the total number of pixel cells of the detector.
20. The spectral CT imaging system of claim 19, wherein said data acquisition system selects data from the total data output by said photon counting detector according to a plurality of randomly distributed pixel address encodings.
21. The spectral CT imaging system of claim 19, wherein the data acquisition system comprises an electronics system configured to select pixels in real time from all pixels of the photon counting detector according to a plurality of randomly distributed pixel address encodings to read data.
22. The spectral CT imaging system of claim 19, further comprising a data processing system for reconstructing a spectral CT image using data acquired by the data acquisition system according to the method of any one of claims 6-18.
23. The spectral CT imaging system of claim 19 wherein the photon counting detector is an area array detector or a ring detector.
24. A spectral CT imaging system, comprising:
the ray generating device comprises a ray source;
a photon counting detector comprising a plurality of pixels; and
a data acquisition system for acquiring data from the photon counting detector for photons passing through an imaged object,
wherein the plurality of pixels of the photon counting detector are arranged according to a plurality of randomly distributed pixel address codes;
wherein the pixel address code is generated by using a probability density function of a set pixel address distribution;
wherein the number of data read per view angle during data acquisition is less than 50% of the total number of pixel cells of the detector.
25. The spectral CT imaging system of claim 24, further comprising a data processing system for reconstructing a spectral CT image using data acquired by the data acquisition system according to the method of any one of claims 6-18.
26. The spectral CT imaging system of claim 24 wherein the photon counting detector is an area array detector or a ring detector.
CN201510163516.2A2015-04-082015-04-08 Energy spectral CT imaging system and method for data acquisition and reconstruction of energy spectral CT imageActiveCN106153647B (en)

Priority Applications (2)

Application NumberPriority DateFiling DateTitle
CN201510163516.2ACN106153647B (en)2015-04-082015-04-08 Energy spectral CT imaging system and method for data acquisition and reconstruction of energy spectral CT image
PCT/CN2016/073918WO2016161844A1 (en)2015-04-082016-02-17Energy-spectrum ct imaging system, data acquisition method and energy-spectrum ct image reconstructing method

Applications Claiming Priority (1)

Application NumberPriority DateFiling DateTitle
CN201510163516.2ACN106153647B (en)2015-04-082015-04-08 Energy spectral CT imaging system and method for data acquisition and reconstruction of energy spectral CT image

Publications (2)

Publication NumberPublication Date
CN106153647A CN106153647A (en)2016-11-23
CN106153647Btrue CN106153647B (en)2021-04-13

Family

ID=57071633

Family Applications (1)

Application NumberTitlePriority DateFiling Date
CN201510163516.2AActiveCN106153647B (en)2015-04-082015-04-08 Energy spectral CT imaging system and method for data acquisition and reconstruction of energy spectral CT image

Country Status (2)

CountryLink
CN (1)CN106153647B (en)
WO (1)WO2016161844A1 (en)

Families Citing this family (10)

* Cited by examiner, † Cited by third party
Publication numberPriority datePublication dateAssigneeTitle
CN106559676A (en)*2016-11-252017-04-05中北大学A kind of ciphered compressed of image and decryption decompression method
CN109924998A (en)*2019-03-222019-06-25上海联影医疗科技有限公司Medical imaging procedure and photon counting power spectrum CT imaging device
CN110051387B (en)*2019-04-112020-05-19华中科技大学Ray theory-based ultrasonic CT image reconstruction method and system
CN111289544A (en)*2020-02-252020-06-16沈阳先进医疗设备技术孵化中心有限公司CT (computed tomography) equipment and parameter configuration method of detector array of CT equipment
CN112529980B (en)*2020-12-142022-11-08重庆师范大学 A Multi-target Finite-Angle CT Image Reconstruction Method Based on Minimization
CN112666194B (en)*2020-12-222022-12-20上海培云教育科技有限公司Virtual digital DR image generation method and DR virtual simulation instrument
CN113358674B (en)*2021-04-012024-05-24西安交通大学Neutron resonance CT imaging system and method designed for reinforced concrete member
CN115541633A (en)*2022-09-202022-12-30明峰医疗系统股份有限公司Energy spectrum CT acquisition device and method
CN116258673B (en)*2022-12-282025-05-27上海联影医疗科技股份有限公司Image reconstruction method, system, electronic equipment and storage medium of energy spectrum CT
CN116125517B (en)*2023-02-132025-06-17成都理工大学 Single-pixel radiation imaging method and system based on rotation measurement

Citations (6)

* Cited by examiner, † Cited by third party
Publication numberPriority datePublication dateAssigneeTitle
US20050271293A1 (en)*2004-06-042005-12-08Zhengrong YingMethod of and system for destreaking the photoelectric image in multi-energy computed tomography
CN102695074A (en)*2012-06-082012-09-26青岛海信电器股份有限公司Three-dimensional image display method and device
CN203149136U (en)*2012-12-312013-08-21清华大学Multi-energy CT imaging system
CN103472074A (en)*2013-06-192013-12-25清华大学CT imaging system and method
CN103559699A (en)*2013-11-182014-02-05首都师范大学Multi-energy-spectrum CT image reconstruction method based on projection estimation
CN103900931A (en)*2012-12-262014-07-02首都师范大学Multi-energy-spectrum CT imaging method and imaging system

Family Cites Families (1)

* Cited by examiner, † Cited by third party
Publication numberPriority datePublication dateAssigneeTitle
US7031425B2 (en)*2002-11-272006-04-18Ge Medical Systems Global Technology Company, LlcMethods and apparatus for generating CT scout images

Patent Citations (6)

* Cited by examiner, † Cited by third party
Publication numberPriority datePublication dateAssigneeTitle
US20050271293A1 (en)*2004-06-042005-12-08Zhengrong YingMethod of and system for destreaking the photoelectric image in multi-energy computed tomography
CN102695074A (en)*2012-06-082012-09-26青岛海信电器股份有限公司Three-dimensional image display method and device
CN103900931A (en)*2012-12-262014-07-02首都师范大学Multi-energy-spectrum CT imaging method and imaging system
CN203149136U (en)*2012-12-312013-08-21清华大学Multi-energy CT imaging system
CN103472074A (en)*2013-06-192013-12-25清华大学CT imaging system and method
CN103559699A (en)*2013-11-182014-02-05首都师范大学Multi-energy-spectrum CT image reconstruction method based on projection estimation

Non-Patent Citations (2)

* Cited by examiner, † Cited by third party
Title
A General Adaptive Decomposition method for Multi-Energy Spectral CT;Yuxiang Xing 等;《IEEE》;20131231;全文*
多能谱X射线成像技术及其在CT中的应用;郝佳 等;《CT理论与应用研究》;20110331;第20卷(第1期);141-150*

Also Published As

Publication numberPublication date
CN106153647A (en)2016-11-23
WO2016161844A1 (en)2016-10-13

Similar Documents

PublicationPublication DateTitle
CN106153647B (en) Energy spectral CT imaging system and method for data acquisition and reconstruction of energy spectral CT image
CN104240270B (en)CT imaging methods and system
CN103472074B (en)Ct imaging system and method
US11307153B2 (en)Method and device for acquiring tomographic image data by oversampling, and control program
JP7631505B2 (en) Methods and systems relating to x-ray imaging
Michael O'Connor et al.Generation of voxelized breast phantoms from surgical mastectomy specimens
Zhang et al.Spectral CT image-domain material decomposition via sparsity residual prior and dictionary learning
Li et al.Multienergy cone-beam computed tomography reconstruction with a spatial spectral nonlocal means algorithm
Geva et al.X-ray computed tomography through scatter
Zhao et al.An oblique projection modification technique (OPMT) for fast multispectral CT reconstruction
Zhang et al.Reconstruction method for DECT with one half-scan plus a second limited-angle scan using prior knowledge of complementary support set (Pri-CSS)
Jumanazarov et al.Significance of the spectral correction of photon counting detector response in material classification from spectral x-ray CT
CN115980104A (en) X-ray diffraction tomographic imaging system and imaging method of multi-angle scanning coding hole
Zhang et al.CT image reconstruction algorithms: A comprehensive survey
Hou et al.Analysis of compressed sensing based CT reconstruction with low radiation
Zhu et al.Photon allocation strategy in region-of-interest tomographic imaging
CN111340127A (en)Energy spectrum CT iterative material decomposition method and device based on material clustering
Meng et al.Non-uniform object-space pixelation (NUOP) for penalized maximum-likelihood image reconstruction for a single photon emission microscope system
WO2016077865A1 (en)Single/limited angle gamma/x-ray tomography
Sato et al.High-statistics image generation from sparse radiation images by four types of machine-learning models
BussyIntegration of a priori data to optimise industrial X-ray tomographic reconstruction
Motta et al.Fast 3D-EM reconstruction using Planograms for stationary planar positron emission mammography camera
Martín et al.Processing of the signal obtained from X-ray fluorescence emissions to estimate localization in biomedical applications
JohnstonThe Development and Application of Novel X-Ray Tomographic Characterisation Methods
CN110044937B (en) A CT imaging method and device based on compressed sensing

Legal Events

DateCodeTitleDescription
C06Publication
PB01Publication
C10Entry into substantive examination
SE01Entry into force of request for substantive examination
GR01Patent grant
GR01Patent grant

[8]ページ先頭

©2009-2025 Movatter.jp