Movatterモバイル変換


[0]ホーム

URL:


CN106146482B - Bruton's tyrosine kinase inhibitors - Google Patents

Bruton's tyrosine kinase inhibitors
Download PDF

Info

Publication number
CN106146482B
CN106146482BCN201510175762.XACN201510175762ACN106146482BCN 106146482 BCN106146482 BCN 106146482BCN 201510175762 ACN201510175762 ACN 201510175762ACN 106146482 BCN106146482 BCN 106146482B
Authority
CN
China
Prior art keywords
compound
formula
cancer
btk
pharmaceutically acceptable
Prior art date
Legal status (The legal status is an assumption and is not a legal conclusion. Google has not performed a legal analysis and makes no representation as to the accuracy of the status listed.)
Active
Application number
CN201510175762.XA
Other languages
Chinese (zh)
Other versions
CN106146482A (en
Inventor
王能辉
Current Assignee (The listed assignees may be inaccurate. Google has not performed a legal analysis and makes no representation or warranty as to the accuracy of the list.)
Zhejiang Wenda Pharmaceutical Technology Co., Ltd.
Original Assignee
Ningbo Wenda Pharma Technology Ltd
Priority date (The priority date is an assumption and is not a legal conclusion. Google has not performed a legal analysis and makes no representation as to the accuracy of the date listed.)
Filing date
Publication date
Application filed by Ningbo Wenda Pharma Technology LtdfiledCriticalNingbo Wenda Pharma Technology Ltd
Priority to CN201510175762.XApriorityCriticalpatent/CN106146482B/en
Publication of CN106146482ApublicationCriticalpatent/CN106146482A/en
Application grantedgrantedCritical
Publication of CN106146482BpublicationCriticalpatent/CN106146482B/en
Activelegal-statusCriticalCurrent
Anticipated expirationlegal-statusCritical

Links

Classifications

Landscapes

Abstract

The invention provides Bruton's tyrosine kinase inhibitors, and particularly provides compounds capable of being used as Btk inhibitors through extensive and intensive research. The invention also provides a preparation method of the compound and application of the compound in preparing medicaments.

Description

Bruton's tyrosine kinase inhibitors
Technical Field
The invention belongs to the field of pharmaceutical chemicals, and particularly relates to a Bruton's tyrosine kinase inhibitor.
Background
Protein kinases constitute one of the largest families of human enzymes, and regulate many different signaling processes by adding phosphate groups to proteins (T Hunter, Cell, 198750: 823-829). In particular, tyrosine kinases phosphorylate proteins on the phenol portion of tyrosine residues. The tyrosine kinase family includes members that control cell growth, migration, and differentiation. Abnormal kinase activity has been implicated in a number of human diseases including cancer, autoimmune and inflammatory diseases.
There is good evidence for the critical role of B cells in the pathogenesis of autoimmune and/or inflammatory diseases. Protein-based therapeutics against B cells, such as Rituxan, are effective against autoantibody-induced inflammatory diseases such as rheumatoid arthritis (Rastetter et al, Annu. Rev. Med. 200455: 477). Therefore, inhibitors of protein kinases that play a role in B cell activation should be useful therapeutics for B cell mediated disease pathologies such as autoantibody production.
Signaling through the B Cell Receptor (BCR) controls a range of cellular responses, including proliferation and differentiation into mature antibody producing cells. BCR is a key regulatory point for B cell activity, and aberrant signaling can lead to deregulated B cell proliferation and the formation of pathogenic autoantibodies, which lead to a variety of autoimmune and/or inflammatory diseases. Bruton's tyrosine protein kinase (Btk) is a non-BCR-related kinase proximal to and immediately downstream of the membrane of BCR. Deficiency of Btk has been shown to block BCR signaling, so inhibition of Btk can be an effective therapeutic approach to block B-cell mediated disease processes.
The present invention aims at developing a drug having both an excellent antitumor effect and an autoimmune disease therapeutic effect, and a highly selective Btk inhibitor is found.
Disclosure of Invention
The invention aims to provide a Bruton's tyrosine kinase inhibitor and application thereof.
In a first aspect of the present invention, there is provided a compound having the structure shown in formula I or a pharmaceutically acceptable salt, deuterated derivative, or prodrug thereof:
Figure BDA0000699011070000021
in the formula (I), the compound is shown in the specification,
R1selected from hydrogen, halogen, C1-8Alkyl radical, C2-8Alkenyl radical, C2-8Alkynyl, C3-10Cycloalkyl, heterocyclyl, aryl, heteroaryl, CN, NO2
R2Selected from hydrogen, halogen, C1-8Alkyl radical, C2-8Alkenyl radical, C2-8Alkynyl, C3-10Cycloalkyl, heterocyclyl, aryl, heteroaryl, CN, NO2
R3Selected from hydrogen, halogen, C1-8Alkyl radical, C2-8Alkenyl radical, C2-8Alkynyl, C3-10Cycloalkyl, heterocyclyl, aryl, heteroaryl, CN, NO2
Or R2And R3May together form a 4-8 membered ring comprising 0-3 heteroatoms selected from N, O and S, said 4-8 membered ring being saturated or unsaturated;
R4selected from hydrogen, halogen, C1-8Alkyl radical, C2-8Alkenyl radical, C2-8Alkynyl, C3-10Cycloalkyl, heterocyclyl, aryl, heteroaryl, CN, NO2、C(O)R5,R5Is selected from C1-8Alkyl radical, C2-8Alkenyl radical, C2-8Alkynyl, C3-10Cycloalkyl, heterocyclyl, aryl, heteroaryl;
the alkyl, alkenyl, alkynyl, cycloalkyl, heterocyclyl, aryl, heteroaryl are substituted or unsubstituted.
In another preferred embodiment, the compound has the structure of formula Ia:
Figure BDA0000699011070000031
in the formula (I), the compound is shown in the specification,
R1selected from hydrogen, halogen, C1-8Alkyl radical, C2-8Alkenyl radical, C2-8Alkynyl, C3-10Cycloalkyl, heterocyclyl, aryl, heteroaryl, CN, NO2
R2Selected from hydrogen, halogen, C1-8Alkyl radical, C2-8Alkenyl radical, C2-8Alkynyl, C3-10Cycloalkyl, heterocyclyl, aryl, heteroaryl, CN, NO2
R3Selected from hydrogen, halogen, C1-8Alkyl radical, C2-8Alkenyl radical, C2-8Alkynyl, C3-10Cycloalkyl, heterocyclyl, aryl, heteroaryl, CN, NO2
Or R2And R3May together form a 4-8 membered ring comprising 0-3 heteroatoms selected from N, O and S, said 4-8 membered ring being saturated or unsaturated;
the alkyl, alkenyl, alkynyl, cycloalkyl, heterocyclyl, aryl, heteroaryl are substituted or unsubstituted.
In another preferred embodiment, the 4-8 membered ring is saturated.
In another preferred embodiment, the 4-8 membered ring is unsaturated.
In another preferred embodiment, the 4-8 membered ring is substituted or unsubstituted.
In another preferred embodiment, the unsaturated 4-8 membered ring comprises an aromatic ring or a non-aromatic ring.
In another preferred embodiment, R is2And R3May together form a 5-6 membered ring containing 0-3 heteroatoms selected from N, O and S, the 5-6 membered ring being saturated or unsaturated.
In another preferred embodiment, R is1Selected from hydrogen, halogen, C1-4An alkyl group.
In another preferred embodiment, R is1Selected from hydrogen, F, Cl, methyl.
In another preferred embodiment, R is2Is methyl.
In another preferred embodiment, R is3Is methyl.
In another preferred embodiment, R is2And R3Together form a 4-8 membered ring containing 0-3 heteroatoms selected from N, O and S.
In another preferred embodiment, R is2And R3Together form a 6 membered ring, which 6 membered ring is saturated or unsaturated.
In another preferred embodiment, R is2And R3Together form an aromatic ring.
In another preferred embodiment, the compound is selected from:
Figure BDA0000699011070000041
in a second aspect of the invention, there is provided a process for the preparation of a compound according to the first aspect of the invention, said process comprising the steps of:
reacting the compound of formula II with the compound of formula III and the compound of formula IV to produce the compound of formula I,
Figure BDA0000699011070000042
in another preferred example, the method further comprises the steps of:
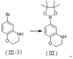
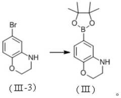
reacting a compound shown as a formula III-3 with bis (pinacolato) borate in an inert solvent to prepare a compound shown as a formula III;
Figure BDA0000699011070000043
in a third aspect of the invention, there is provided the use of a compound according to the first aspect of the invention, or a pharmaceutically acceptable salt or solvate thereof, (1) for the preparation of a protein kinase inhibitor; and/or (2) for the preparation of a medicament for the treatment of a protein kinase related disorder.
In another preferred embodiment, the protein kinase is bruton's tyrosine protein kinase (Btk).
In another preferred embodiment, the protein kinase related disease comprises tumor, autoimmune disease, pathological mast cell reaction.
In another preferred embodiment, the tumor includes, but is not limited to: chronic lymphocytic leukemia, small lymphocytic lymphoma, multiple myeloma, liver cancer, lung cancer (including mediastinal cancer), oral epithelial cancer, nasopharyngeal cancer, thyroid cancer, esophageal cancer, lymphoma, thoracic cancer, digestive tract cancer, pancreatic cancer, intestinal cancer, breast cancer, ovarian cancer, uterine cancer, kidney cancer, gall bladder cancer, bile duct cancer, central nervous system cancer, testicular cancer, bladder cancer, prostate cancer, skin cancer, melanoma, meat cancer, brain cancer, leukemia (leukemia), cervical cancer, glioma, gastric cancer, or ascites tumor.
In another preferred embodiment, the autoimmune disease comprises systemic lupus erythematosus, rheumatoid arthritis.
In a fourth aspect of the present invention, there is provided a pharmaceutical composition comprising a safe and effective amount of a compound according to the first aspect of the present invention, or a pharmaceutically acceptable salt or solvate thereof; and, a pharmaceutically acceptable carrier.
In a fifth aspect of the invention, there is provided an in vitro non-therapeutic method of inhibiting a protein kinase, the method comprising the steps of: contacting a compound according to the first aspect of the invention with the protein kinase, thereby inhibiting the activity of the protein kinase.
It is to be understood that within the scope of the present invention, the above-described features of the present invention and those specifically described below (e.g., in the examples) may be combined with each other to form new or preferred embodiments. Not to be reiterated herein, but to the extent of space.
Detailed Description
The inventor obtains a compound capable of being used as a Btk inhibitor through extensive and intensive research, and experimental results show that the compound has good Btk inhibition effect. The invention also provides a preparation method of the compound and application of the compound in preparing medicaments.
Term(s) for
Herein, unless otherwise specified, the term "substituted" means that one or more hydrogen atoms on a group are replaced with a substituent selected from the group consisting of: c1-8Alkyl radical, C2-8Alkenyl radical, C2-8Alkynyl, C3-10Cycloalkyl radical, C1-8Alkoxy, halogen, hydroxy, carboxyl (-COOH), C1-8Aldehyde group, C2-10Acyl radical, C2-10Ester group, amino group, phenyl group; the phenyl group includes an unsubstituted phenyl group or a substituted phenyl group having 1 to 3 substituents selected from: halogen, C1-10Alkyl, cyano, OH, nitro, C3-10Cycloalkyl radical, C1-8Alkoxy, amino.
Unless otherwise specified, each chiral carbon atom (chiral center) in all compounds of the invention may optionally be in the R configuration or the S configuration, or a mixture of the R configuration and the S configuration.
As used herein, the term "C1-8Alkyl "means a straight or branched chain alkyl group having 1 to 8 carbon atoms, such as methyl, ethyl, propyl, isopropyl, butyl, isobutyl, sec-butyl, tert-butyl, or the like.
As used herein, the term "C2-8Alkenyl "means a straight or branched chain alkenyl group having 2 to 8 carbon atoms, such as ethenyl, propenyl, 1, 2-butenyl, 2, 3-butenyl, butadienyl, or the like.
As used herein, the term "C2-8Alkynyl means having 2 to 8 carbon atomsStraight-chain or branched alkynyl groups such as ethynyl, propynyl, isopropynyl, butynyl, isobutynyl, sec-butynyl, tert-butynyl, or the like.
As used herein, the term "C3-10Cycloalkyl "refers to a cycloalkyl group having 3 to 10 carbon atoms, such as cyclopropyl, cyclobutyl, cyclopentyl, cycloheptyl, or the like.
As used herein, the term "C1-8Alkoxy "means a straight or branched chain alkoxy group having 1 to 8 carbon atoms, such as methoxy, ethoxy, propoxy, isopropoxy, butoxy, isobutoxy, sec-butoxy, tert-butoxy, or the like.
As used herein, the term "halogen" refers to F, Cl, Br and I.
As used herein, the term "C1-4Alkoxycarbonyl "means having" C1-4Alkoxy radical-A group of the structure C ═ O ", such as methoxycarbonyl, ethoxycarbonyl, tert-butoxycarbonyl, or the like. Wherein, C1-4Alkoxy groups are as defined above.
As used herein, the term "aryl", preferably "C6-12Aryl "means a monocyclic or bicyclic aromatic group having 6 to 12 carbon atoms in the ring interior, for example: phenyl, biphenyl, naphthyl, or the like, each of which may be optionally substituted.
As used herein, the term "heteroaryl" includes azaaryl, oxaaryl, thiaaryl, and the like.
The pharmaceutically acceptable salts of the present invention may be salts of anions with positively charged groups on the compounds of formula I. Suitable anions include chloride, bromide, iodide, sulfate, nitrate, phosphate, citrate, methylsulfonate, trifluoroacetate, acetate, malate, tosylate, tartrate, fumarate, glutamate, glucuronate, lactate, glutarate, and maleate. Similarly, salts may be formed from cations with negatively charged groups (e.g., carboxylate) on the compounds of formula I. Suitable cations include sodium, potassium, magnesium, calcium, and ammonium ions, such as tetramethylammonium. In another preferred embodiment, "pharmaceutically acceptable salt" refers to a salt formed with an acid selected from the group consisting of: hydrofluoric acid, hydrochloric acid, hydrobromic acid, phosphoric acid, acetic acid, oxalic acid, sulfuric acid, methanesulfonic acid, salicylic acid, trifluoromethanesulfonic acid, naphthalenesulfonic acid, maleic acid, citric acid, acetic acid, tartaric acid, succinic acid, oxalic acid syrup, malic acid and glutamic acid.
The present invention relates to a series of indole derivatives which are irreversible inhibitors of selective Bruton's Tyrosine Kinase (BTK), and can be used alone or in combination with other therapeutic agents for the treatment of inflammation, autoimmune diseases associated with abnormal B cell proliferation (e.g., rheumatoid arthritis), cancer, and the like. The invention also relates to a pharmaceutical composition containing the compound shown in the formula (I) and a preparation method thereof, application of the compound in pharmacy, and a method for preventing or treating diseases related to excessive Btk activity in mammals (particularly human beings) by using the compound.
Active ingredient and pharmaceutically acceptable salts thereof
The invention provides a compound with a structure shown in a general formula I or a pharmaceutically acceptable salt, a deuterated derivative or a prodrug thereof:
Figure BDA0000699011070000071
in the formula (I), the compound is shown in the specification,
R1selected from hydrogen, halogen, C1-8Alkyl radical, C2-8Alkenyl radical, C2-8Alkynyl, C3-10Cycloalkyl, heterocyclyl, aryl, heteroaryl, CN, NO2
R2Selected from hydrogen, halogen, C1-8Alkyl radical, C2-8Alkenyl radical, C2-8Alkynyl, C3-10Cycloalkyl, heterocyclyl, aryl, heteroaryl, CN, NO2
R3Selected from hydrogen, halogen, C1-8Alkyl radical, C2-8Alkenyl radical, C2-8Alkynyl, C3-10Cycloalkyl, heterocyclyl, aryl, heteroaryl, CN, NO2
Or R2And R3May together form a 4-8 membered ring comprising 0-3 heteroatoms selected from N, O and S, said 4-8 membered ring being saturated or unsaturated;
R4selected from hydrogen, halogen, C1-8Alkyl radical, C2-8Alkenyl radical, C2-8Alkynyl, C3-10Cycloalkyl, heterocyclyl, aryl, heteroaryl, CN, NO2、C(O)R5,R5Is selected from C1-8Alkyl radical, C2-8Alkenyl radical, C2-8Alkynyl, C3-10Cycloalkyl, heterocyclyl, aryl, heteroaryl;
the alkyl, alkenyl, alkynyl, cycloalkyl, heterocyclyl, aryl, heteroaryl are substituted or unsubstituted.
In a preferred embodiment, the compounds of the present invention have the structure shown in formula Ia:
Figure BDA0000699011070000081
in the formula (I), the compound is shown in the specification,
R1selected from hydrogen, halogen, C1-8Alkyl radical, C2-8Alkenyl radical, C2-8Alkynyl, C3-10Cycloalkyl, heterocyclyl, aryl, heteroaryl, CN, NO2
R2Selected from hydrogen, halogen, C1-8Alkyl radical, C2-8Alkenyl radical, C2-8Alkynyl, C3-10Cycloalkyl, heterocyclyl, aryl, heteroaryl, CN, NO2
R3Selected from hydrogen, halogen, C1-8Alkyl radical, C2-8Alkenyl radical, C2-8Alkynyl, C3-10Cycloalkyl, heterocyclyl, aryl, heteroaryl, CN, NO2
Or R2And R3May together form a 4-8 membered ring containing 0-3 heteroatoms selected from N, O and S, the 4-8 membered ring being saturated or unsaturated.
Preparation method
The preparation method of the compound shown in the formula I comprises the following steps:
reacting the compound of formula II with the compound of formula III and the compound of formula IV to produce the compound of formula I,
Figure BDA0000699011070000091
in another preferred example, the method further comprises the steps of:
reacting a compound shown as a formula III-3 with bis (pinacolato) borate in an inert solvent to prepare a compound shown as a formula III;
Figure BDA0000699011070000092
pharmaceutical compositions and methods of administration
The compounds of the invention are useful as kinase inhibitors, particularly as inhibitors of Btk, and thus have good therapeutic effects against Btk-associated diseases.
In one aspect, the present invention provides a pharmaceutical composition comprising (a) a safe and effective amount of a compound of the present invention or a pharmaceutically acceptable salt thereof; and (b) a pharmaceutically acceptable carrier or excipient. The amount of the compound of the present invention is usually 10. mu.g to 100 mg per dose, preferably 100. mu.g to 1000. mu.g per dose.
For the purposes of the present invention, an effective dose is about 0.01 mg/kg to 1000 mg/kg, preferably 0.1 mg/kg to 500 mg/kg, of a compound of the present invention to a subject. In addition, the compounds of the present invention may be used alone or in combination with other therapeutic agents (e.g., formulated in the same pharmaceutical composition).
The pharmaceutical composition may further comprise a pharmaceutically acceptable carrier. The term "pharmaceutically acceptable carrier" refers to a carrier for administration of a therapeutic agent. The term refers to such pharmaceutical carriers: they do not themselves induce the production of antibodies harmful to the individual receiving the composition and are not unduly toxic after administration. Such vectors are well known to those of ordinary skill in the art. A full discussion of pharmaceutically acceptable excipients can be found in Remington's Pharmaceutical Sciences (Mack pub. co., n.j. 1991). Such vectors include (but are not limited to): saline, buffer, glucose, water, glycerol, ethanol, adjuvants, and combinations thereof.
Pharmaceutically acceptable carriers in therapeutic compositions can comprise liquids such as water, saline, glycerol and ethanol. In addition, auxiliary substances, such as wetting or emulsifying agents, pH buffering substances and the like may also be present in these carriers.
Generally, the therapeutic compositions can be prepared as injectables, e.g., as liquid solutions or suspensions; solid forms suitable for constitution with a solution or suspension, or liquid carrier, before injection, may also be prepared.
Once formulated, the compositions of the present invention may be administered by conventional routes including, but not limited to: intramuscular, intravenous, subcutaneous, intradermal, or topical administration. The subject to be prevented or treated may be an animal; especially a human.
When the pharmaceutical composition of the present invention is used for practical treatment, various dosage forms of the pharmaceutical composition may be used depending on the use case. Preferably an injection.
These pharmaceutical compositions may be formulated by mixing, dilution or dissolution according to a conventional method, and occasionally, suitable pharmaceutical additives such as excipients, disintegrants, binders, lubricants, diluents, buffers, isotonic agents (isotonicities), preservatives, wetting agents, emulsifiers, dispersants, stabilizers and solubilizing agents are added, and the formulation process may be carried out in a conventional manner according to the dosage form. The pharmaceutical compositions of the present invention may also be administered in the form of sustained release formulations.
When the pharmaceutical composition of the present invention is used for prophylaxis or treatment, the dose of the compound of the present invention or a pharmaceutically acceptable salt thereof as an active ingredient can be appropriately determined according to the body weight, age, sex, degree of symptoms of each subject (patient) to be prevented or treated.
The compounds and pharmaceutical compositions according to the invention can be used for the treatment of cancer, autoimmune diseases and the like.
The term "cancer" is meant to include all types of cancer cell growth or carcinogenic processes, metastatic or malignantly transformed cells, tissues or organs, regardless of the type of pathology or the stage of infection. Examples of cancer diseases include, but are not limited to: solid tumors, soft tissue tumors, and metastatic lesions. Examples of solid tumors include: malignancies of different organ systems, such as sarcomas, squamous carcinomas of the lung and cancers. For example: infected prostate, lung, breast, lymph, gastrointestinal (e.g., colon), and genitourinary tract (e.g., kidney, epithelial cells), pharynx. Squamous carcinoma of the lung includes malignant tumors, such as, for example, most cancers of the colon, rectum, renal cell, liver, lung, small cell, small intestine and esophagus. Metastatic lesions of the above-mentioned cancers can likewise be treated and prevented using the methods and compositions of the present invention.
The above method is useful in the treatment of malignancies of different organ systems, such as: infected lung, breast, lymph, gastrointestinal (e.g., colon), bladder, genitourinary tract (e.g., prostate), pharynx, and squamous cell carcinoma of the lung, including malignancies such as most cancers, renal cell carcinoma, prostate cancer and/or tumor, lung non-small cell carcinoma, small bowel cancer, and esophageal cancer.
Bruton's tyrosine protein kinase (Btk)
Evidence for a role for Btk in autoimmune and inflammatory diseases has been provided via Btk-deficient mouse models. In a preclinical murine model of Systemic Lupus Erythematosus (SLE), Btk deficient mice show significant improvement in disease progression. Furthermore, Btk-deficient mice are resistant to collagen-induced arthritis (Jasson and Holmdahl, Clin. exp. Immunol. 1993, 94: 459). Dose-dependent efficacy of selective Btk inhibitors in mouse models of arthritis has been demonstrated (Pan et al, chem.med.chem.20072: 58-61).
Btk is also expressed by cells other than B cells that may be involved in disease processes. For example, Btk is expressed by mast cells and Btk-deficient bone marrow-derived mast cells exhibit damaged antigen-induced granules (Iwaki et al, j.biol.chem.2005280: 40261). This shows that Btk can be effectively used to treat pathological mast cell responses, such as allergy and asthma. Furthermore, monocytes from XLA patients in which Btk activity is absent show reduced TNFa production after stimulation (Horwood et al, j.exp. med.2003197: 1603). TNFa mediated inflammation can therefore be inhibited by small molecule inhibitors of Btk. In addition, Btk has been reported to play a role in apoptosis (Islam and Smith, Immunol. Rev.2000178:49), and therefore Btk inhibitors will be effective for the treatment of certain B-cell lymphomas and leukemias (Feldhahn et al, J.Exp. Med.2005201: 1837).
The Btk inhibitor is applied to treating chronic lymphocytic leukemia and small lymphocytic lymphoma, simultaneously achieves good effect when being used for treating multiple myeloma in clinical test, and has excellent clinical result and wide application prospect, thus showing that the high-selectivity small molecular inhibitor of the Btk kinase is a hot spot in the field of global new drug research and development.
The main advantages of the invention are:
(1) a compound which has a novel structure and can be used as a Btk inhibitor is obtained for the first time, and experimental results show that the compound has a good inhibition effect on Btk;
(2) the compounds of the present invention have significant therapeutic effects on autoimmune diseases and inflammatory diseases.
The present invention will be described in further detail with reference to the following examples. It should be understood that these examples are for illustrative purposes only and are not intended to limit the scope of the present invention. Experimental procedures without specifying the detailed conditions in the following examples are generally carried out under the usual conditions. Unless otherwise indicated, percentages and parts are by weight. The test materials and reagents used in the following examples are commercially available without specific reference.
EXAMPLE 1 preparation of a Compound of formula A
Figure BDA0000699011070000121
Step A:
Figure BDA0000699011070000122
compound 7-1(25g,0.12mol) was dissolved in CH3CN (250ml), and K2CO3(42g, 0.23mol) and ethyl 2-bromoacetate (30g,0.18mol) were added. The mixture is stirred and refluxed for 2 hours, and then filtered, and the filtrate is concentrated to obtain a crude product. The crude product was dissolved in acetic acid (250ml) and Fe (20g,0.36mol) was added. The mixture was stirred at 80 ℃ for 2h, then poured into water, extracted with ethyl acetate (3 × 200ml), then washed with aq. nahco3(6N) and purified by column chromatography on silica gel (EtOAc/PE ═ 1:1) to give compound 7-2(22.2g, 85%) as a yellow solid. HNMR (400MHz, DMSO-d6)10.8(s,1H),7.0-7.1(M,2H),6.9-7.0(M, 1H),4.6(s,2H). MS (ESI) M/z 227.9/229.9(M + H) +.
And B:
Figure BDA0000699011070000131
compound 7-2(22g,0.1mol) was dissolved in tetrahydrofuran (200ml) and a BH 3/tetrahydrofuran solution (1.0M, 200ml) was added drop by drop at 0 ℃. The mixture was then stirred under reflux overnight. The reaction was then quenched slowly with methanol at 0 ℃. The mixture was concentrated to give a crude product which was used directly in the next reaction.
And C:
Figure BDA0000699011070000132
the crude product from the previous step was dissolved in dioxane (200ml), KOAc (15g,0.15mol), Pd (dppf) were added2Cl2(8.2g,0.01mol) and 4,4,4',4', 5' -Octamethyl-2,2-bi (1, 3, 2-dioxaborolane) (38g, 0.15mol), and the mixture was stirred at reflux overnight. Concentrating to obtain crude product, and purifying with silica gel column chromatography (PE: EtOAc 1:1) to obtain oily compound 7(17.1g, 70%). HNMR (400MHz, CDCl3)7.0-7.2(M,2H), 6.7-6.8(M,1H),4.2-4.4(M,2H),3.3-3.5(M,2H),1.2-1.4(M,12H). MS (ESI) M/z 262.1(M + H) +.
Step D:
Figure BDA0000699011070000133
compound 1(75g,342.5mmol) was dissolved in sulfuric acid (500ml) at room temperature and nitric acid (103.8g, 1027mmol) was added slowly. After stirring for 18h, pour slowly into more than 3 kg of ice, stir, filter the solid, wash with water, and dry under reduced pressure at 45 ℃ to give compound 2(90g, 99.5%). HNMR (400MHz, DMSO-d6)8.4-8.6(m,1H),7.8-8.0(m,1H). MS (ESI) m/z 262.0/264.0.
Step E:
Figure BDA0000699011070000141
compound 2(4-bromo-5-fluoro-2-nitrobenzoic acid) (90g,340mmol) and hydrochloric acid (37%, 630ml) were mixed in 630ml of water, tin (II) chloride (230.2g,1020mmol) was added, and then heated to 90 ℃ for 3 h. After cooling to room temperature, a precipitate formed, which was filtered, washed with water and dried to give compound 3(60g, 76%). HNMR (400MHz, DMSO-d6)7.4-7.6(m,1H),7.0-7.2(m,1H). MS (ESI) m/z:233.9/235.9.
Step F:
Figure BDA0000699011070000142
to a mixture of salt and ice water containing compound 3(2-amino-4-bromo-5-fluorobenzoic acid) (50g,214mmol), hydrochloric acid (240ml,1M), water (74ml) was added 79 ml of an aqueous solution of sodium nitrite (16.5g,236mmol) drop by drop (temperature below 0 ℃ C.). After the addition was complete, the turbid solution was stirred in a salt and ice water bath for 20 minutes. A7M solution of tin (II) chloride (145g, 641mmol) in hydrochloric acid (37%, 92ml) was then added drop by drop (temperature below 0 ℃). The reaction mixture was stirred at room temperature for 1h, the mixture was filtered under reduced pressure, the solid was washed with water and dried at 45 ℃ under reduced pressure to give compound 4 as a white solid (30g, 48.4%). HNMR (400MHz, DMSO-d6) 7.7-7.8(M,1H),7.5-7.7(M,1H). MS (ESI) M/z:248.9/250.9(M + H) +.
Step G:
Figure BDA0000699011070000151
to a stirred solution of (4-bromo-2-hydroxyphenyl-5-fluorobenzoic acid) (8g, 28.1mmol) in acetic acid (100mL) was added butanone (4.6g,63.8 mmol). The mixture was then heated to 70 ℃ and stirred for 30 minutes, then warmed to 110 ℃ and stirred overnight to form a black liquid. The mixture was filtered to give a filtrate, the filtrate was concentrated to give a solid, which was purified by silica gel column chromatography (EtOAc: PE: AcOH 55:40:5) to give Compound 5(2.34g, 29.3%) as a pale yellow solid, HNMR (400MHz, DMSO-d6)11.0(s,1H),7.4-7.5(M,1H),2.5(s,3H),2.4(s,3H). MS (ESI) M/z: 285.9/287.9[ M + H ] M/z: 285.9/287.9]+.
Step H:
Figure BDA0000699011070000152
compound 5(4-bromo-5-fluoro-2,3-dimethyl-1H-indole-7-carboxylic acid) (2.0g,7.0mmol), HATU (3.8g,10.5mmol), NH4Cl (526mg,10.5mmol) was dissolved in dichloromethane (85ml), stirred at 0 ℃ for 10 min, then DIPEA (3.9g,30mmol) was added, stirred at 0 ℃ for 15 min, then stirred at room temperature for 2H. The mixture was concentrated to give a solid, then water was added and stirred for 10 minutes to give a cloudy solution, which was filtered and dried to give compound 6(0.9g, 45%). HNMR (400MHz, DMSO-d6)11.0(s,1H),8.4-8.5(M,1H),2.5(s,3H),2.4(s,3H). MS (ESI) M/z 285.0/287.0[ M + H ] +.
Step I:
Figure BDA0000699011070000161
4-Bromo-5-fluoro-2, 3-dimethyl-1H-indole-7-carboxamide (800mg,2.806mmol), Compound 7(783 mg,3.0mmol), and Pd (dppf)2cl2(230mg,0.28mmol) were dissolved in DMA (15ml), stirred, and degassed with N2 for half an hour. 2M sodium bicarbonate (2.8ml) was added and degassed again for half an hour before heating at 120 ℃ for 2h under N2. The mixture was then poured into 150 ml of water, extracted with dichloromethane, the organic phase washed with water, then with saturated brine, dried over Na2SO4, filtered and concentrated to give the crude product.
The crude product was dissolved in dichloromethane (40ml) and cooled to-30 ℃ and acryloyl chloride (0.76g) was added slowly. After the addition, the mixture was stirred at room temperature for 1 hour. The reaction solution was poured into water, extracted with dichloromethane, the organic phase washed with water, washed with saturated brine, dried over Na2SO4, filtered and concentrated to give a crude product. Purification by silica gel column chromatography (EtOAc: PE ═ 1: 5 to 1:1) gave crude product, which was further purified by HPLC to give a (200mg, 18%). HNMR (400MHz, DMSO-d6) 10.5-11(s,1H),8.0-8.1(s,1H),7.4-7.6(m,3H),7.0-7.1(m,2H),6.8-6.9(m, 1H),6.2-6.3(m,1H),5.7-5.8(m,1H),4.3-4.5(m,2H),3.9-4.2(m,2H), 2.4(s,3H), 1.7(s,3H) MS (ESI): 394.1. (M + H) +.
EXAMPLE 2 preparation of the Compound of formula B
Figure BDA0000699011070000162
Figure BDA0000699011070000171
Step A:
Figure BDA0000699011070000172
to a stirred solution of (4-bromo-2-hydroxyphenyl-5-fluorobenzoic acid) (8g, 28.1mmol) in acetic acid (100ml) was added cyclohexanone (6.3g,63.8 mmol). The mixture was then heated to 70 ℃ and stirred for 30 minutes, then warmed to 110 ℃ and stirred overnight to a black liquid. The mixture was filtered to give a filtrate, the filtrate was concentrated to give a solid, which was purified by silica gel column chromatography (EtOAc: PE: AcOH 55:40:5) to give a pale yellow solid compound 8(2.54g, 25.7%). HNMR (400MHz, DMSO-d6)11.0(s,1H), 7.4-7.6(M,1H),3.0(M,2H),2.7(M,2H),1.7(M,4H). MS (ESI) M/z 312.0/314.0[ M + H ], (ESI)]+.
And B:
Figure BDA0000699011070000181
compound 8(5-bromo-6-fluoro-2, 3, 4, 9-tetrahydro-1H-carboxalic acid) (2.0g,6.4mmol), HATU (3.8g,10.5mmol), NH4Cl (526mg,10.5mmol) were dissolved in dichloromethane (85ml), stirred for 10 min at 0 deg.C, then DIPEA (3.9g,30mmol) was added, stirred at 0 deg.C for 15 min, then stirred at room temperature overnight. The mixture is concentrated to obtain a solid, and then water is added to stir for 10 minutes to obtain a turbid liquid. Filtering and drying to obtain a crude compound which is directly used for the next reaction.
The crude compound from the above step, compound 7(2.5g,9.6mmol), and Pd (dppf)2cl2(1g,1.3mmol) were dissolved in DMA (20ml) and degassed with stirring N2 for half an hour. 2M sodium bicarbonate (6ml) was added and after a further half hour degassing, the mixture was heated at 120 ℃ for 12h under N2. The mixture was then poured into water and extracted with dichloromethane, the organic phase washed with water and then with saturated brine, dried over Na2SO4, filtered and concentrated to give the crude product, which was then further purified by HPLC to give compound 9(800mg, 34%). pale yellow solid, HNMR (400MHz, DMSO-d6)10.8(s,1H), 8.0(m,1H),7.4-7.5(m,2H),6.4-6.8(m,3H),5.8(s,1H),4.0-4.2 (m,4H), 2.7(m,2H),2.0(m,2H),1.7(m,2H),1.5(m,2H). MS (ESI) m/z: 365.1. (M + H) +.
Figure BDA0000699011070000182
And C:
compound 9(0.8g,2.2mmol) was dissolved in dichloromethane (10ml), cooled to-30 ℃ and acryloyl chloride (0.25g,2.5mmol) was added slowly. After the addition, the mixture was stirred at room temperature for 1 hour. Concentrating to obtain crude product. Separating and purifying with silica gel column chromatography (EtOAc: PE ═ 20% to 50%) to obtain crude product, and further purifying with HPLC to obtain yellow solid B.HNMR (400MHz, DMSO-d6) 10.9-11(s,1H),8.0-8.1(s,1H),7.4-7.6(M,3H),7.0-7.1(M,2H),6.8-6.9(M,1H),6.2-6.3(M,1H),5.7-5.8(M,1H),4.3-4.5(M,2H),3.9-4.2(M,2H),2.6-2.7 (M,2H), 2.0-2.2(M,2H),1.5-1.7(M,4H), MS (ESI): 420.1(M + H) +.
EXAMPLE 3 preparation of Compound of formula C
Figure BDA0000699011070000191
Step A:
Figure BDA0000699011070000192
compound 8(2.5g,8mmol) was dissolved in methanol (30ml), concentrated sulfuric acid (3ml) was added, and then stirred under reflux for 18 h. Cooling, concentrating to obtain crude product, dissolving the crude product with ethyl acetate, aq. NaHCO3(6N), washing organic phase with water, washing with saturated saline, drying with Na2SO4, filtering, concentrating to obtain crude product, separating and purifying with silica gel column chromatography (EtOAc: PE 1:1) to obtain white solid compound 10(2.4g, 93%). HNMR (400MHz, DMSO-d6)11 (s,1H),7.4(M,1H),3.9(s,3H),2.9(M,2H),2.7(M,2H),1.8(M,4H), MS (ESI) M/z 277.9/279.9(M + H) +.
Figure BDA0000699011070000201
And B:
compound 10(2.0g,7.01mmol) was added DDQ (1.86g,8.4mmol) in toluene (20ml) and then stirred under reflux for 48H, concentrated to give crude, then dissolved in dichloromethane and water, washed the organic phase with water, washed with saturated brine, dried over Na2SO4, filtered, concentrated to give crude which was then further purified by HPLC to give yellow solid 11(0.8g, 36.2%). HNMR (400MHz, DMSO-d6) 11.8(s,1H),8.7(M,1H),7.8-8.0(M,2H),7.6(M,1H),7.4(M,1H),4.0(s,3H). MS: M/z:321.9/323.9[ M + H ] + ] (M,1H) ]
Figure BDA0000699011070000202
And C:
compound 11(0.8g,2.5mmol) was dissolved in a sealed tube containing NH4OH (10ml), blocked and stirred at 130 ℃ for 16 h. After cooling, filtration and washing of the solid with water, drying to give compound 12(0.73g, 95.1%) as a white solid, HNMR (400MHz, MeOD) 8.6(s,1H),7.8(M,1H),7.6(M,1H),7.5(M,1H),7.3(M,1H), MS (ESI) M/z 306.9/308.9(M + H) +.
Step D:
Figure BDA0000699011070000211
compound 12(700mg,2.3mmol), compound 7(780mg,3.0mmol), and Pd (dppf)2cl 2(188mg,0.23mmol) were dissolved in DMA (15ml) and degassed with stirring for half an hour. 2M sodium bicarbonate (2.8ml) was added and degassed again for half an hour before heating at 120 ℃ for 2h under N2. The mixture was then poured into water. Extracting with dichloromethane, washing organic phase with water, washing with saturated saline, drying with Na2SO4, filtering, and concentrating to obtain crude product. The crude product was dissolved in dichloromethane (40ml) and cooled to-30 ℃ and acryloyl chloride (0.7g) was added slowly and after addition was complete, stirred at room temperature for 1 h. The reaction solution was poured into water, extracted with dichloromethane, the organic phase washed with water, washed with saturated brine, dried over Na2SO4, filtered and concentrated to give a crude product. Purification by silica gel column chromatography (EtOAc: PE 20% to 50%) gave crude product, which was then further purified by HPLC to give C (200mg, 20%). HNMR (400MHz, DMSO-d6) 11.5(s,1H),8.2(m,1H),8.0(m,1H),7.6-7.8(m,3H),7.1-7.4(m,4H),6.7-7.0 (m,2H), 6.2(m,1H),5.7(m,1H),4.4(m,2H),4.1(m, 2H): ms esi 416.1. (M + H) +.
Example 4 biological Activity assay
Biological Activity of Compounds
Determination of in vitro inhibitory Activity (IC50 value) of BTK
The half inhibitory concentration (IC50) of the compound on BTK in the invention is measured at both the enzymatic and cellular levels, and the inhibitory ability of the compound on BTK kinase activity is measured in the enzymatic activity reaction, and the inhibitory effect of the compound on BCR-induced calcium flux in cells is measured in the cytological functional assay.
A homogeneous time-resolved fluorescence (HTRF) method is adopted to establish a kinase activity detection platform of BTK, and the activity of the compound is measured. Compounds were diluted in DMSO in 10-fold gradients (9 concentrations) starting at 10uM, 4uL of each concentration was added to 96uL of reaction buffer (50mM HEPES, pH 7.4, 10mM MgCl2, 1mM EGTA, 0.01% Tween-20, 0.005% BAS,2mM DTT), 2.5uL was added to a 384 well plate (potiPlate-384, Perkinelmer), 5uL of BTK kinase (Millipore) was added, the mixture was centrifuged and mixed, and 2.5uL of ATP (final concentration Km) and the total volume of TKpeptide (HTRF, Cisbio) were added to initiate the reaction (10 uL). The 384 well plates were placed in an incubator at 23 ℃ for 120 minutes, and then 5uL of Eu3+ cryptate-labelled anti-phosphotyrosine antibody (Cisbio) and 5uL of Streptavidin-XL-665(HTRF, Cisbio) were added to stop the reaction. After 1 hour incubation in the incubator, fluorescence values (320nm excitation, detecting 665nm and 615nm emission, ratio for enzyme activity) were read on envision (perkinelmer). The activity of the enzyme was measured at 9 concentrations for each compound and the data was calculated using grafit6.0 Software (Erithacus Software) to give the IC50 for this compound.
Calcium flux Assay compounds were tested for their ability to inhibit intracellular Calcium depot release using the Fluo-4direct Calcium Assay kit (Invitrogen). The procedure was carried out on FlexStation III (Molecular Device) according to the instructions of the test kit, as follows. Ramos cells were cultured with RPMI-1640(Invitrogen) plus 10% fetal bovine serum (Hyclone), washed centrifugally, replated with low serum medium into 96-well plates (Corning) (1X105 cells/45 uL), then incubated for 1 hour with 45uL of fluorochrome (Invitrogen)37℃, the compound to be tested was diluted 3-fold with DMSO, then 100-fold with low serum medium, 10uL was added to the 96-well plates (Corning) with the cells plated (final DMSO concentration of 0.1%), and the 96-well plates were placed in an incubator (37 ℃, 5% CO2) for 30 minutes. Compound-treated cells were stimulated with goat anti-human IgM antibody (10ug/ml, southern Biotech) and fluorescence was read on FlexStation III (494nm excitation, 516nm detection for 90 sec). Data for each compound was processed using GraphPad Prism5(GraphPad Software) fitting and calculated to give the corresponding IC 50.
The compounds prepared above were analyzed according to the biological methods described herein. The results are shown in the following table:
Figure BDA0000699011070000221
Figure BDA0000699011070000231
all documents referred to herein are incorporated by reference into this application as if each were individually incorporated by reference. Furthermore, it should be understood that various changes and modifications of the present invention can be made by those skilled in the art after reading the above teachings of the present invention, and these equivalents also fall within the scope of the present invention as defined by the appended claims.

Claims (6)

1. A compound having a structure represented by formula I or a pharmaceutically acceptable salt thereof, wherein:
Figure 703366DEST_PATH_IMAGE001
( I a)
in the formula (I), the compound is shown in the specification,
R1selected from hydrogen, halogen, C1-4An alkyl group;
R2selected from hydrogen, C1-8An alkyl group;
R3selected from hydrogen, C1-8An alkyl group;
or R2And R3Together may form a 6 membered ring comprising 0 heteroatoms selected from N, O and S, the 6 membered ring being saturated or unsaturated.
2. The compound of claim 1, wherein the compound is selected from the group consisting of:
Figure 986579DEST_PATH_IMAGE002
3. a process for the preparation of a compound according to claim 1, comprising the steps of:
reacting the compound of formula II with the compound of formula III and the compound of formula IV to produce the compound of formula I,
Figure 402517DEST_PATH_IMAGE003
4. use of a compound according to claim 1, or a pharmaceutically acceptable salt thereof, (1) for the preparation of a protein kinase inhibitor; and/or (2) for the preparation of a medicament for the treatment of a protein kinase related disorder.
5. A pharmaceutical composition comprising a safe and effective amount of a compound of claim 1, or a pharmaceutically acceptable salt thereof; and, a pharmaceutically acceptable carrier.
6. An in vitro non-therapeutic method of inhibiting a protein kinase, said method comprising the steps of: contacting the compound of claim 1 with the protein kinase, thereby inhibiting the activity of the protein kinase.
CN201510175762.XA2015-04-142015-04-14Bruton's tyrosine kinase inhibitorsActiveCN106146482B (en)

Priority Applications (1)

Application NumberPriority DateFiling DateTitle
CN201510175762.XACN106146482B (en)2015-04-142015-04-14Bruton's tyrosine kinase inhibitors

Applications Claiming Priority (1)

Application NumberPriority DateFiling DateTitle
CN201510175762.XACN106146482B (en)2015-04-142015-04-14Bruton's tyrosine kinase inhibitors

Publications (2)

Publication NumberPublication Date
CN106146482A CN106146482A (en)2016-11-23
CN106146482Btrue CN106146482B (en)2020-06-23

Family

ID=57336948

Family Applications (1)

Application NumberTitlePriority DateFiling Date
CN201510175762.XAActiveCN106146482B (en)2015-04-142015-04-14Bruton's tyrosine kinase inhibitors

Country Status (1)

CountryLink
CN (1)CN106146482B (en)

Families Citing this family (3)

* Cited by examiner, † Cited by third party
Publication numberPriority datePublication dateAssigneeTitle
US20220009920A1 (en)*2020-04-102022-01-13Gb005, Inc.Kinase inhibitors
CN113429427A (en)*2021-07-052021-09-24湖南南新制药股份有限公司Heterocyclic compounds, process for their preparation and their use as pharmaceuticals
CN118084939A (en)*2021-08-252024-05-28杭州禹泓医药科技有限公司 A five-membered heterocyclic compound, a pharmaceutical composition containing the same and its application

Citations (2)

* Cited by examiner, † Cited by third party
Publication numberPriority datePublication dateAssigneeTitle
CN101610676A (en)*2006-09-222009-12-23药品循环公司 Inhibitors of Bruton's tyrosine kinase
CN103848810A (en)*2012-11-302014-06-11北京赛林泰医药技术有限公司Bruton's tyrosine kinases inhibitor

Patent Citations (3)

* Cited by examiner, † Cited by third party
Publication numberPriority datePublication dateAssigneeTitle
CN101610676A (en)*2006-09-222009-12-23药品循环公司 Inhibitors of Bruton's tyrosine kinase
CN101805341A (en)*2006-09-222010-08-18药品循环公司 Inhibitors of Bruton's tyrosine kinase
CN103848810A (en)*2012-11-302014-06-11北京赛林泰医药技术有限公司Bruton's tyrosine kinases inhibitor

Also Published As

Publication numberPublication date
CN106146482A (en)2016-11-23

Similar Documents

PublicationPublication DateTitle
CN112300194B (en)Condensed ring pyridone compounds, preparation method and application
TWI753918B (en) Crystallization of Pyrrolopyrimidine Compounds as JAK Inhibitors
CN112300173B (en)Nitrogen-containing polycyclic compounds, preparation method and application
CN113683616A (en)KRAS G12C mutein inhibitors
CN113527299B (en)Nitrogen-containing condensed ring compound, preparation method and application
CN108341813B (en)Substituted 1- (isoxazol-3-yl) -3- (3-fluoro-4-phenyl) urea derivative and preparation method and application thereof
BRPI0716224A2 (en) RAF INHIBITOR COMPOUNDS AND METHODS OF USE THEREOF.
CN112300153A (en)Heterocyclic compound, pharmaceutical composition and application
CN116265462B (en)Heterocyclic compound with antitumor activity and application thereof
ES2930081T3 (en) Substituted Pyrazolopyrimidines Useful as Kinase Inhibitors
WO2020221006A1 (en)Bet inhibitor, and preparation method and use thereof
CN112920176B (en)Bifunctional compound capable of inducing PRC2 protein complex core subunit degradation, pharmaceutical composition and application
CN115181106A (en)Quinazoline KRAS G12D Preparation and application of mutant protein inhibitor
CN104703599A (en)Aminoisoquinoline derivatives as protein kinase inhibitors
TW202028195A (en)Compound as TGF-[beta] R1 inhibitor and application thereof
WO2021154668A1 (en)1H-PYRAZOLO[4,3-d]PYRIMIDINE COMPOUNDS AS TOLL-LIKE RECEPTOR 7 (TLR7) AGONISTS
CN106146482B (en)Bruton's tyrosine kinase inhibitors
JP2021501215A (en) Amino-substituted nitrogen-containing condensed ring compound, its preparation method and use
CN118221698A (en)KRAS G12D inhibitors
CN115643805A (en)1H-pyrazolo [4,3-d ] pyrimidine compounds as Toll-like receptor 7 (TLR 7) agonists
CN114181208B (en)Tri-fused ring AhR inhibitor and application thereof
CN117843638B (en)Preparation and application of bifunctional molecular compound based on RSL3 induced GPX4 protein degradation
EP4097102A1 (en)1h-pyrazolo[4,3-d]pyrimidine compounds as toll-like receptor 7 (tlr7) agonists
KR20220132594A (en) 1H-pyrazolo[4,3-d]pyrimidine compounds as toll-like receptor 7 (TLR7) agonists
CN116425751B (en)Polycyclic compounds as MAT2A inhibitors

Legal Events

DateCodeTitleDescription
C06Publication
PB01Publication
SE01Entry into force of request for substantive examination
SE01Entry into force of request for substantive examination
GR01Patent grant
GR01Patent grant
CP03Change of name, title or address
CP03Change of name, title or address

Address after:Room 301, Building 3, Yinhai Science and Technology Innovation Center, No. 501, Fucheng Road, Xiasha Street, Qiantang District, Hangzhou City, Zhejiang Province, 310018

Patentee after:Zhejiang Wenda Pharmaceutical Technology Co., Ltd.

Address before:6 / F, science and technology innovation center, 2 Taoyuan North Road, Taoyuan Street, Ninghai County, Ningbo City, Zhejiang Province, 315600

Patentee before:NINGBO WENDA PHARMA TECHNOLOY Ltd.


[8]ページ先頭

©2009-2025 Movatter.jp