Movatterモバイル変換


[0]ホーム

URL:


CN106130700B - Method and device for detecting physical hybrid automatic repeat request (HARQ) indication and user equipment - Google Patents

Method and device for detecting physical hybrid automatic repeat request (HARQ) indication and user equipment
Download PDF

Info

Publication number
CN106130700B
CN106130700BCN201610648902.5ACN201610648902ACN106130700BCN 106130700 BCN106130700 BCN 106130700BCN 201610648902 ACN201610648902 ACN 201610648902ACN 106130700 BCN106130700 BCN 106130700B
Authority
CN
China
Prior art keywords
target parameter
soft bits
network side
phich
determining
Prior art date
Legal status (The legal status is an assumption and is not a legal conclusion. Google has not performed a legal analysis and makes no representation as to the accuracy of the status listed.)
Active
Application number
CN201610648902.5A
Other languages
Chinese (zh)
Other versions
CN106130700A (en
Inventor
袁亮
许百成
刘鹏午
Current Assignee (The listed assignees may be inaccurate. Google has not performed a legal analysis and makes no representation or warranty as to the accuracy of the list.)
Beijing Xiaomi Pinecone Electronic Co Ltd
Original Assignee
Beijing Pinecone Electronics Co Ltd
Priority date (The priority date is an assumption and is not a legal conclusion. Google has not performed a legal analysis and makes no representation as to the accuracy of the date listed.)
Filing date
Publication date
Application filed by Beijing Pinecone Electronics Co LtdfiledCriticalBeijing Pinecone Electronics Co Ltd
Priority to CN201610648902.5ApriorityCriticalpatent/CN106130700B/en
Publication of CN106130700ApublicationCriticalpatent/CN106130700A/en
Application grantedgrantedCritical
Publication of CN106130700BpublicationCriticalpatent/CN106130700B/en
Activelegal-statusCriticalCurrent
Anticipated expirationlegal-statusCritical

Links

Images

Classifications

Landscapes

Abstract

The disclosure provides a method and a device for detecting a physical hybrid automatic repeat request indication and user equipment. The method comprises the following steps: descrambling and despreading an in-phase orthogonal IQ sequence of each symbol carried on a physical hybrid automatic repeat request indicator channel PHICH to obtain a plurality of soft bits; determining a target parameter based on the plurality of soft bits, the target parameter varying with a ratio of a number of soft bits of the plurality of soft bits that are greater than zero to a number of soft bits that are not greater than zero; and under the condition that the target parameter is smaller than the threshold corresponding to the target parameter, determining that the network side does not issue a physical hybrid automatic repeat request (HI) to the UE by utilizing the PHICH. The UE can detect that the network side does not send HI to the UE by utilizing the PHICH by adopting the method, thereby reducing the interference to other UEs or reducing the delay and even failure of random access.

Description

Method and device for detecting physical hybrid automatic repeat request (HARQ) indication and user equipment
Technical Field
The present disclosure relates to the field of communications technologies, and in particular, to a method and an apparatus for detecting a physical hybrid automatic repeat request indicator, and a user equipment.
Background
In an LTE (Long Term Evolution, english, Long Term Evolution) system, a network side issues scheduling control information to a UE (User Equipment, chinese, User Equipment, english, so that the UE knows time-frequency resources authorized by the network side to the UE, and the UE performs uplink data transmission by using the time-frequency resources authorized by the network side.
The uplink data transmission adopts HARQ (Chinese: Hybrid automatic repeat reQuest; English: Hybrid automatic repeat reQuest) mechanism. After the network side issues the scheduling control information to the UE, the network side issues an HI (chinese: Hybrid automatic repeat Indicator; Hybrid ARQ Indicator) to the UE by using a PHICH (chinese: Physical Hybrid automatic repeat Indicator; english: Hybrid ARQ Indicator) to feed back the reception condition of data carried on a PUSCH (chinese: Physical Uplink Shared Channel) by the network side. Wherein, HI is ACK (Chinese: Acknowledge) or NACK (Chinese: non-Acknowledge; English: negative Acknowledge). If the HI is ACK, the UE continues to transmit new data to the network side; if HI is NACK, UE will retransmit data to network side.
Due to the characteristics of the wireless channel, under the condition that the network side does not issue scheduling control information to the UE, the UE utilizes the time-frequency resource which is not authorized by the network side to carry out uplink data transmission. Because the network side does not issue the scheduling control information to the UE, the network side does not issue HI to the UE by using PHICH, and for convenience of expression, DTX (Chinese: Discontinuous Transmission) is used for representing that the network side does not issue HI to the UE by using PHICH. If the UE cannot correctly detect DTX and misinterprets DTX as ACK in HI or NACK in HI, the UE may continue to transmit new data using the time-frequency resource without authorization from the network side or retransmit data using the time-frequency resource without authorization from the network side. The time-frequency resources utilized by the UE and not authorized by the network side may have already been authorized by the network side to other UEs, and therefore, interference to other UEs may be caused.
In addition, in the process of random access of the UE, after the network side successfully decodes the MSG3 sent by the UE using the PUSCH (i.e. the radio resource control establishment request or the reestablishment request sent by the UE to the network side), the network side may not send ACK to the UE using the PHICH, but directly send MSG4 (i.e. the radio resource control establishment or reestablishment command sent by the network side to the UE) using the PDSCH (chinese: Physical Downlink shared channel; english: Physical Downlink shared channel). At this time, if the UE cannot correctly detect DTX and misinterprets DTX as NACK, the UE retransmits MSG3, thereby missing reception of MSG4, and finally causing delay of random access and even failure.
Therefore, in both cases, the UE is required to correctly detect that the network side does not issue the HI to the UE by using the PHICH, so as to reduce interference to other UEs or reduce delay and even failure in random access.
Disclosure of Invention
The purpose of the present disclosure is to provide a method, an apparatus, and a user equipment for detecting a physical hybrid automatic repeat request indication, by which a UE can detect that a network side does not issue a HI to the UE by using a PHICH, thereby reducing interference to other UEs or reducing occurrence of delay or even failure of random access.
A first aspect of the present disclosure provides a method for detecting a physical hybrid automatic repeat request indicator, which is applied to a user equipment UE, and the method includes:
descrambling and despreading an in-phase orthogonal IQ sequence of each symbol carried on a physical hybrid automatic repeat request indicator channel PHICH to obtain a plurality of soft bits;
determining a target parameter based on the plurality of soft bits, the target parameter varying with a ratio of a number of soft bits of the plurality of soft bits that are greater than zero to a number of soft bits that are not greater than zero;
and under the condition that the target parameter is smaller than the threshold corresponding to the target parameter, determining that the network side does not issue a physical hybrid automatic repeat request (HI) to the UE by utilizing the PHICH.
Optionally, the determining a target parameter according to the plurality of soft bits includes:
and determining signal-to-noise ratios (SNRs) corresponding to the plurality of soft bits as the target parameter.
Optionally, the determining a target parameter according to the plurality of soft bits includes:
determining the target parameter according to a first formula or a second formula, wherein the first formula is as follows:
Figure BDA0001073830410000031
the second formula is:
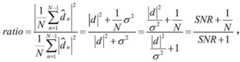
wherein ratio or N ratio represents the target parameter,
Figure BDA0001073830410000033
an estimate value representing any one of the plurality of soft bits, N representing the plurality of soft bitsN is an integer of 0 or more and N is an integer of 0 or more.
Optionally, the determining that the network side does not issue the HI to the UE by using the PHICH under the condition that the target parameter is smaller than the threshold corresponding to the target parameter includes:
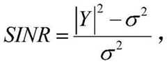
and under the condition that the target parameter is smaller than a threshold corresponding to the target parameter and the signal to interference plus noise ratio (SINR) corresponding to the IQ sequence of each symbol borne on the PHICH is larger than a preset threshold, determining that the network side does not utilize the PHICH to issue HI to the UE.
Optionally, in a case that the network side does not issue the HI to the UE by using the PHICH, the method further includes:
and terminating the data transmission to the network side.
Optionally, in a case that the network side does not issue the HI to the UE by using the PHICH, the method further includes:
and receiving a message sent to the UE by the network side by using a Physical Downlink Shared Channel (PDSCH), wherein the message is used for establishing or reestablishing radio resource control.
Optionally, the method further comprises:
and under the condition that the target parameter is not smaller than a threshold corresponding to the target parameter or the SINR is not larger than the preset threshold, determining that the network side issues HI to the UE.
A second aspect of the present disclosure provides an apparatus for detecting a physical hybrid automatic repeat request indicator, configured in a user equipment UE, the apparatus comprising:
a de-spreading module, which is used for de-scrambling and de-spreading the in-phase orthogonal IQ sequence of each symbol carried on the physical hybrid automatic repeat request indicator channel PHICH to obtain a plurality of soft bits;
a first determining module, configured to determine a target parameter according to the plurality of soft bits, where the target parameter varies with a ratio of the number of soft bits that are greater than zero to the number of soft bits that are not greater than zero in the plurality of soft bits;
a second determining module, configured to determine that the network side does not issue a physical hybrid automatic repeat request (HI) to the UE by using the PHICH, when the target parameter is smaller than a threshold corresponding to the target parameter.
Optionally, the first determining module is configured to:
and determining signal-to-noise ratios (SNRs) corresponding to the plurality of soft bits as the target parameter.
Optionally, the first determining module is configured to:
determining the target parameter according to a first formula or a second formula, wherein the first formula is as follows:
Figure BDA0001073830410000041
the second formula is:
wherein ratio or N ratio represents the target parameter,
Figure BDA0001073830410000043
and an estimation value representing any one of the soft bits, wherein N represents the total number of the soft bits, N is an N integer which is greater than or equal to 0 and less than or equal to 0, and N is any integer which is greater than or equal to 0.
Optionally, the second determining module is configured to:
and under the condition that the target parameter is smaller than a threshold corresponding to the target parameter and the signal to interference plus noise ratio (SINR) corresponding to the IQ sequence of each symbol borne on the PHICH is larger than a preset threshold, determining that the network side does not utilize the PHICH to issue HI to the UE.
Optionally, the apparatus further comprises:
and the control module is used for stopping sending data to the network side under the condition that the network side does not utilize the PHICH to send HI to the UE.
Optionally, the apparatus further comprises:
and the receiving module is used for receiving a message sent by the network side to the UE by using a Physical Downlink Shared Channel (PDSCH) under the condition that the network side does not send HI to the UE by using the PHICH, wherein the message is used for establishing or reestablishing radio resource control.
Optionally, the apparatus further comprises:
a third determining module, configured to determine that the network side issues the HI to the UE when the target parameter is not less than a threshold corresponding to the target parameter, or when the SINR is not greater than the preset threshold.
A third aspect of the present disclosure provides a user equipment, comprising:
a processor;
a memory for storing processor-executable instructions;
wherein the processor is configured to:
descrambling and despreading an in-phase orthogonal IQ sequence of each symbol carried on a physical hybrid automatic repeat request indicator channel PHICH to obtain a plurality of soft bits;
determining a target parameter based on the plurality of soft bits, the target parameter varying with a ratio of a number of soft bits of the plurality of soft bits that are greater than zero to a number of soft bits that are not greater than zero;
and under the condition that the target parameter is smaller than the threshold corresponding to the target parameter, determining that the network side does not issue a physical hybrid automatic repeat request (HI) to the UE by utilizing the PHICH.
By adopting the technical scheme, the characteristics of the soft bits are utilized: if the network side does not send HI to the UE by utilizing the PHICH, the soft bit basically presents randomness; if the network side issues HI to the UE by utilizing PHICH, the soft bits should basically present consistency. And under the condition that the parameter capable of representing the randomness or consistency of the soft bits is smaller than the threshold value, determining that the network side does not send HI to the UE by utilizing the PHICH, namely detecting DTX. Because the threshold is determined by the characteristics of soft bits and is not influenced by the complexity of a wireless channel, the accuracy of detecting that the network side does not send HI to the UE by using the PHICH is improved, and the interference to other UEs or the delay and even failure of random access are reduced.
Additional features and advantages of the disclosure will be set forth in the detailed description which follows.
Drawings
The accompanying drawings, which are included to provide a further understanding of the disclosure and are incorporated in and constitute a part of this specification, illustrate embodiments of the disclosure and together with the description serve to explain the disclosure without limiting the disclosure. In the drawings:
fig. 1 is a schematic diagram of a method of SPS uplink data transmission performed by a UE;
fig. 2 is a schematic diagram of a random access procedure of a UE;
fig. 3 is a flow diagram illustrating a method of detecting a physical hybrid automatic repeat request indication in accordance with an example embodiment;
fig. 4 is another flow chart illustrating a method of detecting a physical hybrid automatic repeat request indication in accordance with an example embodiment;
fig. 5 is another flow chart illustrating a method of detecting a physical hybrid automatic repeat request indication in accordance with an example embodiment;
fig. 6 is a schematic diagram of a process of uplink data transmission by a UE using a method for detecting a physical hybrid automatic repeat request indicator in the present disclosure;
fig. 7 is a schematic diagram of a process of performing random access by a UE using the method for detecting a physical hybrid automatic repeat request indicator in the present disclosure;
fig. 8 is a block diagram illustrating an apparatus for detecting a physical hybrid automatic repeat request indication in accordance with an example embodiment;
fig. 9 is a block diagram illustrating a user device in accordance with an example embodiment.
Detailed Description
The following detailed description of specific embodiments of the present disclosure is provided in connection with the accompanying drawings. It should be understood that the detailed description and specific examples, while indicating the present disclosure, are given by way of illustration and explanation only, not limitation.
Two communication scenarios common in LTE systems are introduced first.
The first communication scenario is as follows:
referring to fig. 1, fig. 1 is a diagram illustrating a method for SPS (Semi-persistent scheduling) uplink data transmission performed by a UE. Firstly, UE receives uplink GRANT (ULGRANT) issued by a network side to UE on a PDCCH (Chinese: Physical Downlink Control Channel), acquires time-frequency resources granted to the UE by the network side through the UL GRANT, and then the UE transmits uplink data by using the time-frequency resources granted by the network side.
If the network side modifies the time-frequency resource authorized to the UE, but due to the characteristics of the wireless channel, the UE may miss the UL GRANT issued by the network side to the UE, so that the UE does not know that the network side modifies the time-frequency resource authorized to the UE, and continues to use the time-frequency resource unauthorized to the UE for uplink data transmission. At this time, since the network side does not grant the time-frequency resource used by the UE for uplink data transmission to the UE, the network side does not issue the HI to the UE by using the PHICH.
The second communication scenario is as follows:
referring to fig. 2, fig. 2 is a diagram illustrating a random access procedure of a UE. The random access process comprises the following steps:
1) the UE utilizes PRACH (chinese: a physical random access channel; english: physical Random access channel) sends a Random access preamble to a network side;
2) the UE receives a random access response sent by the network side to the UE on the PDSCH;
3) the UE sends MSG3 to the network side on PUSCH.
After receiving the MSG3 sent by the UE through the PUSCH, the network side directly sends the MSG4 to the UE through the PDSCH instead of sending ACK to the UE through the PHICH.
In the two communication scenarios, the network side does not issue HI to the UE by using PHICH. Of course, in an actual situation, the case that the network side does not issue the HI to the UE by using the PHICH may not be limited to the above two communication scenarios, which is only exemplified herein.
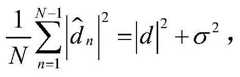
A method for detecting that a network side does not issue a HI to a UE by using a PHICH is proposed at present: first, the IQ sequence of each symbol carried on the PHICH is descrambled and despread to obtain a plurality of soft bits. Then, the total power of the plurality of soft bits is obtained, and the total power of the plurality of soft bits is compared with a preset threshold value. And if the total power of the plurality of soft bits is less than a preset threshold value, determining that the network side does not send HI to the UE by utilizing the PHICH.
The method cannot be suitable for complex wireless channels, a reasonable threshold value is difficult to set, and if the threshold value is set to be too high, a higher false detection risk exists; if the threshold is set too low, there is a higher risk of missed detection.
The utility model provides a method, device and user equipment for detecting physical hybrid automatic repeat request (HARQ) indication, UE adopts this method to detect that the network side does not utilize PHICH to issue HI to UE, has reduced the interference that causes other UE or has reduced random access and has taken place the time delay and even failed.
Referring to fig. 3, fig. 3 is a flow chart illustrating a method of detecting a physical hybrid automatic repeat request indication according to an example embodiment. The method comprises the following steps:
step S31: descrambling and despreading an in-phase orthogonal IQ sequence of each symbol carried on a physical hybrid automatic repeat request indicator channel PHICH to obtain a plurality of soft bits;
step S32: determining a target parameter based on the plurality of soft bits, the target parameter varying with a ratio of a number of soft bits of the plurality of soft bits that are greater than zero to a number of soft bits that are not greater than zero;
step S33: and under the condition that the target parameter is smaller than the threshold corresponding to the target parameter, determining that the network side does not issue a physical hybrid automatic repeat request (HI) to the UE by utilizing the PHICH.
Wherein, step S31 includes the following steps:
firstly, according to a signal carried on a PHICH, a plurality of symbols are obtained:
y0,y1,y2,……,yN-1
then, an IQ sequence is obtained for each symbol:
y0(0),y0(1),y1(0),y1(1),y2(0),y2(1),……,yN-1(0),yN-1(1)
finally, the IQ sequence of each symbol is descrambled and despread to obtain a plurality of soft bits:
d0,d1,d2,……,dN-1
the above process of obtaining a plurality of soft bits can refer to the prior art, and is not described herein again.
The disclosed embodiments consider that soft bits have the following characteristics:
if the network side does not send HI to the UE by using PHICH, the soft bit should basically present randomness: that is, soft bits greater than zero and soft bits not greater than zero occur randomly; if the network side issues HI to UE by PHICH, the soft bits should basically present consistency: that is, the number of soft bits larger than zero is larger than the number of soft bits not larger than zero, or the number of soft bits not larger than zero is larger than the number of soft bits larger than zero.
Therefore, after the step S31 is executed and the plurality of soft bits are obtained, step S32 is executed to determine a target parameter according to the obtained plurality of soft bits, wherein the target parameter is a parameter capable of representing that the soft bits exhibit randomness or consistency because the target parameter varies with the ratio of the number of soft bits greater than zero to the number of soft bits not greater than zero in the plurality of soft bits.
Finally, step S33 is executed to determine the threshold corresponding to the target parameter. Since the method of determining the target parameter in step S32 is different, the target parameter determined by different methods corresponds to different threshold values. A method determines a target parameter corresponding to a threshold. And then comparing the determined target parameter with a corresponding threshold value, and if the target parameter is smaller than the threshold value corresponding to the target parameter, determining that the network side issues HI to the UE by utilizing the PHICH.
By adopting the technical scheme, the characteristic that the soft bits are random or consistent under different conditions is utilized, and the fact that the network side does not send HI to the UE by utilizing the PHICH is determined under the condition that the parameter capable of representing the random or consistent of the soft bits is smaller than the threshold value, namely DTX is detected, the method for detecting that the network side does not send HI to the UE by utilizing the PHICH is provided.
In one possible implementation, step S32 includes:
determining the target parameter according to a first formula or a second formula, wherein the first formula is as follows:the second formula is:
Figure BDA0001073830410000102
wherein,
Figure BDA0001073830410000103
and an estimation value representing any one of the soft bits, wherein N represents the total number of the soft bits, N is an N integer which is greater than or equal to 0 and less than or equal to 0, and N is any integer which is greater than or equal to 0. Optionally, N is 12 symbols, then
Figure BDA0001073830410000104
Representing a sequence of 12 symbol soft bits after descrambling and despreading.
After the step S31 is completed and the plurality of soft bits are obtained, the UE estimates the plurality of soft bits to obtain estimated values of the plurality of soft bits:
Figure BDA0001073830410000105
compared to a plurality of soft bits d0,d1,d2,……,dN-1Multiple soft ratiosSpecific estimated value
Figure BDA0001073830410000106
Is a value estimated by the UE, contains noise, and has a plurality of soft bits d0,d1,d2,……,dN-1Is an ideal value and does not contain noise.
Then according to the first formula
Figure BDA0001073830410000107
Or a second formula
Figure BDA0001073830410000108
A target parameter is determined.
If the target parameter is determined according to the first formula, the threshold value corresponding to the target parameter is rho1(ii) a If the target parameter is determined according to the second formula, the threshold value corresponding to the target parameter is Nrho1
For example, if N is 12, ρ may be set1Set to 0.375 and, accordingly, Np1Is 0.45.
By adopting the technical scheme, the target parameter is determined through the first formula or the second formula, and the network side is determined not to send HI to the UE by utilizing the PHICH under the condition that the target parameter is smaller than the threshold value corresponding to the target parameter, namely DTX is detected, so that the method for detecting that the network side does not send HI to the UE by utilizing the PHICH is provided.
In another possible embodiment, step S32 includes:
and determining signal-to-noise ratios (SNRs) corresponding to the plurality of soft bits as the target parameter.
Signal to noise ratio of multiple soft bits
Figure BDA0001073830410000111
Wherein | d | non-2Representing the signal power, σ2Representing the noise power.
According toAnd is
Figure BDA0001073830410000113
It can be derived that:
Figure BDA0001073830410000114
further, it can be found that the corresponding relationship between ratio and SNR is:
Figure BDA0001073830410000115
accordingly, the threshold ρ corresponds to the ratio1Threshold SNR corresponding to SNRmaxThe corresponding relation between them is
Figure BDA0001073830410000116
Thus, determining the target parameter according to the first formula is equivalent to determining the signal-to-noise ratio, SNR, for the plurality of soft bits.
For example, when N is 12, and ρ is1Set to 0.375, if ratio is equal to its threshold ρ1Then, then
By adopting the technical scheme, the target parameters do not need to be determined by a first formula or a second formula, the signal-to-noise ratios (SNRs) corresponding to a plurality of soft bits can be used as the target parameters, and when the target parameters are smaller than the threshold corresponding to the target parameters, the situation that the network side does not send HI to the UE by using the PHICH is determined, namely DTX is detected, and the method for detecting that the network side does not send HI to the UE by using the PHICH is provided.
Optionally, in order to improve the accuracy of the detection result when the SNR is poor, the detection may be assisted by using an SINR (chinese: Signal to Interference plus noise Ratio) corresponding to the IQ sequence before descrambling and despreading. If the SINR is under the condition that one demodulation result is not credible, the reliability of the detection result is not high; otherwise, the reliability of the detection result is considered to be high. Therefore, the above step S33 includes:
step S33': and under the condition that the target parameter is smaller than a threshold corresponding to the target parameter and the signal to interference plus noise ratio (SINR) corresponding to the IQ sequence of each symbol borne on the PHICH is larger than a preset threshold, determining that the network side does not utilize the PHICH to issue HI to the UE.
Referring to fig. 4, fig. 4 is another flow chart illustrating a method of detecting a physical hybrid automatic repeat request indication according to an example embodiment. The method includes the above-described steps S31, S32, and S33'.
In one possible implementation, the SINR in step S33 conforms to the following formula:
Figure BDA0001073830410000121
wherein,
Figure BDA0001073830410000122
wherein, yn(q)One IQ sequence representing any symbol carried on the PHICH, q being 0 or 1, N being an N integer of 0 or more and not more than 0, N representing the total number of the soft bits, N being any integer of 0 or more, σ2Representing the noise power.
First, the UE may determine the SINR corresponding to the IQ sequence before descrambling and despreading:
wherein,
for convenience of presentation, the preset threshold is expressed as ρ2,ρ2For determining whether the SINR is in a condition where a demodulation result is not reliable, for example: rho2=0dB。
If the first formula is adopted to determine the target parameter, then the ratio is less than rho1And SINR > rho2Under the condition of (3), the UE determines that the network side does not send HI to the UE by using the PHICH, namely the UE detects DTX. If the second formula of the parameter determines the target parameter, then the ratio is less than the Np1And SINR > rho2Under the condition of (3), the UE determines that the network side does not send HI to the UE by using the PHICH, namely the UE detects DTX. If the SNR corresponding to a plurality of soft bits is used as the target parameter, the SNR is less thanmaxAnd SINR > rho2Under the condition of (3), the UE determines that the network side does not send HI to the UE by using the PHICH, namely the UE detects DTX.
Optionally, referring to fig. 5, fig. 5 is another flowchart illustrating a method of detecting a physical hybrid automatic repeat request indicator according to an example embodiment. Besides the steps S31 and S32, the method further includes:
step S34: and under the condition that the target parameter is not smaller than a threshold corresponding to the target parameter or the SINR is not larger than the preset threshold, determining that the network side issues HI to the UE.
Specifically, at ratio ≧ ρ1Or N × ratio is not less than Np1Or SNR ≧ SNRmaxIn the case of (1), or SINR ≦ ρ2Under the condition, the UE determines that the network side issues HI to the UE, and then the UE can analyze the HI, if the analysis result of the HI is ACK, the UE can continue to transmit new data to the network side; and if the HI is analyzed to be NACK, the UE retransmits the data to the network side.
By adopting the technical scheme, the soft bits are utilized to present randomness or consistency under different conditions, and the SINR corresponding to the IQ sequence before descrambling and despreading is combined, under the condition that the parameter capable of representing the randomness or consistency presented by the soft bits is smaller than the threshold value and the SINR is larger than the preset threshold value, the situation that the network side does not send HI to the UE by utilizing the PHICH is determined, namely DTX is detected, the method for detecting HI under the condition of poor signal-to-noise ratio (SNR) is provided, the application scene of the method for detecting HI is expanded, and the accuracy of the method for detecting HI is improved.
Optionally, referring to fig. 6, fig. 6 is a schematic diagram of a process of performing uplink data transmission by a UE using a method for detecting a physical hybrid automatic repeat request indicator in the present disclosure. After the above steps S31-S33 are performed, in case that the network side does not issue HI to the UE by using the PHICH, the UE may further perform the following steps:
step S35: and terminating the data transmission to the network side.
Under the condition that the UE detects HI by adopting the method provided by the embodiment of the disclosure, the process of transmitting SPS uplink data is as follows:
firstly, UE receives UL GRANT issued by a network side to the UE on PDSCH, and then the UE transmits uplink data by using time-frequency resources authorized by the network side.
Then, the network side modifies the time-frequency resource authorized to the UE, but due to the characteristics of the wireless channel, the UE may miss the UL GRANT issued by the network side to the UE, so that the UE does not know that the network side modifies the time-frequency resource authorized to the UE, and continues to use the time-frequency resource unauthorized to the UE for uplink data transmission.
Then, the UE detects HI by using the method provided in the embodiment of the present disclosure, and if DTX is detected, ends the SPS uplink data transmission flow. The method can effectively avoid the interference to other UE caused by the fact that the UE transmits data by using the time-frequency resource which is not authorized by the network side; if the UE determines that the network side issues HI to the UE and the analytic result of the HI is ACK, the UE continues to transmit new data by using time-frequency resources which are not authorized by the network side according to the HARQ mechanism until the SPS uplink data transmission process is finished after the data transmission is finished; if the UE determines that the network side issues HI to the UE and the analytic result of HI is NACK, the UE retransmits data by using time-frequency resources which are not authorized by the network side according to the HARQ mechanism.
Optionally, referring to fig. 7, fig. 7 is a schematic diagram of a process of performing random access by a UE using the method for detecting a physical hybrid automatic repeat request indicator in the present disclosure. Under the condition that the network side does not utilize the PHICH to issue HI to the UE, the UE can further execute the following steps:
step S36: and receiving a message sent to the UE by the network side by using a Physical Downlink Shared Channel (PDSCH), wherein the message is used for establishing or reestablishing radio resource control.
When the UE detects the HI by using the method provided by the embodiment of the present disclosure, the process of performing random access is as follows:
1) UE sends random access preamble to network side by PRACH;
2) UE receives a random access response issued to the UE by a network side by using a PDSCH;
3) the UE sends MSG3 to the network side by using PUSCH;
4) the UE detects HI by adopting the method provided by the embodiment of the disclosure, if DTX is detected, or the network side is determined to send HI to the UE, and the analytic result of HI is ACK, the PDSCH is continuously utilized to receive MSG4, and random access is successful after correct receiving. The delay or failure of random access caused by misdetection of DTX as NACK is avoided; if the UE determines that the network side issues HI to the UE and the HI analysis result is NACK, the UE retransmits the MSG3 by using the PUSCH according to the HARQ mechanism.
In summary, on the one hand, the UE performs SPS uplink data transmission by using the above method for detecting HI, so that interference to other UEs can be effectively reduced, and the overall throughput rate is improved. Under VOLTE (Voice over LTE), the Voice quality of the user is effectively improved. On the other hand, the UE performs random access by adopting the method for detecting HI, so that the success rate of random access can be improved.
Based on the same disclosure, an apparatus for detecting a hybrid automatic repeat request HI is further provided in an embodiment of the present disclosure, configured in a user equipment UE, please refer to fig. 8, where fig. 8 is a block diagram illustrating an apparatus for detecting a physical hybrid automatic repeat request HI according to an exemplary embodiment. As shown in fig. 8, theapparatus 100 includes:
ade-spreading module 121, configured to de-scramble and de-spread an in-phase quadrature IQ sequence of each symbol carried on a physical hybrid automatic repeat request indicator channel PHICH, so as to obtain a plurality of soft bits;
a first determiningmodule 122, configured to determine a target parameter according to the plurality of soft bits, where the target parameter varies with a ratio of the number of soft bits greater than zero to the number of soft bits not greater than zero in the plurality of soft bits;
a second determiningmodule 123, configured to determine that the network side does not issue the HI to the UE by using the PHICH, when the target parameter is smaller than the threshold corresponding to the target parameter.
Optionally, the first determiningmodule 122 is configured to:
and determining signal-to-noise ratios (SNRs) corresponding to the plurality of soft bits as the target parameter.
Optionally, the first determiningmodule 122 is configured to:
determining the target parameter according to a first formula or a second formula, wherein the first formula is as follows:
Figure BDA0001073830410000161
the second formula is:
Figure BDA0001073830410000162
wherein ratio or N ratio represents the target parameter,
Figure BDA0001073830410000163
and an estimation value representing any one of the soft bits, wherein N represents the total number of the soft bits, N is an N integer which is greater than or equal to 0 and less than or equal to 0, and N is any integer which is greater than or equal to 0.
Optionally, the second determiningmodule 123 is configured to:
and under the condition that the target parameter is smaller than a threshold corresponding to the target parameter and the signal to interference plus noise ratio (SINR) corresponding to the IQ sequence of each symbol borne on the PHICH is larger than a preset threshold, determining that the network side does not utilize the PHICH to issue HI to the UE.
Optionally, the apparatus further comprises:
and the control module is used for stopping sending data to the network side under the condition that the network side does not utilize the PHICH to send HI to the UE.
Optionally, the apparatus further comprises:
and the receiving module is used for receiving a message sent by the network side to the UE by using a Physical Downlink Shared Channel (PDSCH) under the condition that the network side does not send HI to the UE by using the PHICH, wherein the message is used for establishing or reestablishing radio resource control.
Optionally, the apparatus further comprises:
a third determining module, configured to determine that the network side issues the HI to the UE when the target parameter is not less than a threshold corresponding to the target parameter, or when the SINR is not greater than the preset threshold.
With regard to the apparatus in the above-described embodiment, the specific manner in which each module performs the operation has been described in detail in the embodiment related to the method, and will not be elaborated here.
Fig. 9 is a block diagram illustrating a user equipment 800 according to an example embodiment. For example, the user device 800 may be a mobile phone, a computer, a digital broadcast terminal, a messaging device, a game console, a tablet device, a medical device, an exercise device, a personal digital assistant, and the like.
Referring to fig. 9,apparatus 900 may include one or more of the following components: aprocessing component 902, amemory 904, apower component 906, amultimedia component 908, anaudio component 910, an input/output (I/O)interface 912, asensor component 914, and acommunication component 916.
Theprocessing component 902 generally controls overall operation of thedevice 900, such as operations associated with display, telephone calls, data communications, camera operations, and recording operations. Theprocessing component 902 may include one ormore processors 920 to execute instructions to perform all or part of the steps of the above-described method of detecting a HI. Further,processing component 902 can include one or more modules that facilitate interaction betweenprocessing component 902 and other components. For example, theprocessing component 902 can include a multimedia module to facilitate interaction between themultimedia component 908 and theprocessing component 902.
Thememory 904 is configured to store various types of data to support operation at theapparatus 900. Examples of such data include instructions for any application or method operating ondevice 900, contact data, phonebook data, messages, pictures, videos, and so forth. Thememory 904 may be implemented by any type or combination of volatile or non-volatile memory devices such as Static Random Access Memory (SRAM), electrically erasable programmable read-only memory (EEPROM), erasable programmable read-only memory (EPROM), programmable read-only memory (PROM), read-only memory (ROM), magnetic memory, flash memory, magnetic or optical disks.
Thepower component 906 provides power to the various components of the device 800. Thepower components 906 may include a power management system, one or more power sources, and other components associated with generating, managing, and distributing power for thedevice 900.
Themultimedia component 908 comprises a screen providing an output interface between thedevice 900 and a user. In some embodiments, the screen may include a Liquid Crystal Display (LCD) and a Touch Panel (TP). If the screen includes a touch panel, the screen may be implemented as a touch screen to receive an input signal from a user. The touch panel includes one or more touch sensors to sense touch, slide, and gestures on the touch panel. The touch sensor may not only sense the boundary of a touch or slide action, but also detect the duration and pressure associated with the touch or slide operation. In some embodiments, themultimedia component 908 includes a front facing camera and/or a rear facing camera. The front camera and/or the rear camera may receive external multimedia data when thedevice 900 is in an operating mode, such as a shooting mode or a video mode. Each front camera and rear camera may be a fixed optical lens system or have a focal length and optical zoom capability.
Theaudio component 910 is configured to output and/or input audio signals. For example,audio component 910 includes a Microphone (MIC) configured to receive external audio signals whenapparatus 900 is in an operating mode, such as a call mode, a recording mode, and a voice recognition mode. The received audio signals may further be stored in thememory 904 or transmitted via thecommunication component 916. In some embodiments,audio component 910 also includes a speaker for outputting audio signals.
I/O interface 912 provides an interface betweenprocessing component 902 and peripheral interface modules, which may be keyboards, click wheels, buttons, etc. These buttons may include, but are not limited to: a home button, a volume button, a start button, and a lock button.
Thesensor component 914 includes one or more sensors for providing status assessment of various aspects of theapparatus 900. For example,sensor assembly 914 may detect an open/closed state ofdevice 900, the relative positioning of components, such as a display and keypad ofdevice 900, the change in position ofdevice 900 or a component ofdevice 900, the presence or absence of user contact withdevice 900, the orientation or acceleration/deceleration ofdevice 900, and the change in temperature ofdevice 900. Thesensor assembly 914 may include a proximity sensor configured to detect the presence of a nearby object in the absence of any physical contact. Thesensor assembly 914 may also include a light sensor, such as a CMOS or CCD image sensor, for use in imaging applications. In some embodiments, thesensor assembly 914 may also include an acceleration sensor, a gyroscope sensor, a magnetic sensor, a pressure sensor, or a temperature sensor.
Thecommunication component 916 is configured to facilitate communications between theapparatus 900 and other devices in a wired or wireless manner. Theapparatus 900 may access a wireless network based on a communication standard, such as WiFi, 2G or 3G, or a combination thereof. In an exemplary embodiment, thecommunication component 916 receives a broadcast signal or broadcast associated information from an external broadcast management system via a broadcast channel. In an exemplary embodiment, thecommunication component 916 further includes a Near Field Communication (NFC) module to facilitate short-range communications. For example, the NFC module may be implemented based on Radio Frequency Identification (RFID) technology, infrared data association (IrDA) technology, Ultra Wideband (UWB) technology, Bluetooth (BT) technology, and other technologies.
In an exemplary embodiment, theapparatus 900 may be implemented by one or more Application Specific Integrated Circuits (ASICs), Digital Signal Processors (DSPs), Digital Signal Processing Devices (DSPDs), Programmable Logic Devices (PLDs), Field Programmable Gate Arrays (FPGAs), controllers, micro-controllers, microprocessors or other electronic components for performing the above-described method of detecting HI.
In an exemplary embodiment, a non-transitory computer readable storage medium comprising instructions, such as thememory 904 comprising instructions, executable by theprocessor 920 of theapparatus 900 to perform the above method of detecting HI is also provided. For example, the non-transitory computer readable storage medium may be a ROM, a Random Access Memory (RAM), a CD-ROM, a magnetic tape, a floppy disk, an optical data storage device, and the like.
Other embodiments of the disclosure will be apparent to those skilled in the art from consideration of the specification and practice of the disclosure. This application is intended to cover any variations, uses, or adaptations of the disclosure following, in general, the principles of the disclosure and including such departures from the present disclosure as come within known or customary practice within the art to which the disclosure pertains. It is intended that the specification and examples be considered as exemplary only, with a true scope and spirit of the disclosure being indicated by the following claims.
It will be understood that the present disclosure is not limited to the precise arrangements described above and shown in the drawings and that various modifications and changes may be made without departing from the scope thereof. The scope of the present disclosure is limited only by the appended claims.

Claims (13)

1. A method for detecting a physical hybrid automatic repeat request (HARQ) indication, applied to a User Equipment (UE), the method comprising:
descrambling and despreading an in-phase orthogonal IQ sequence of each symbol carried on a physical hybrid automatic repeat request indicator channel PHICH to obtain a plurality of soft bits;
determining a target parameter based on the plurality of soft bits, the target parameter varying with a ratio of a number of soft bits of the plurality of soft bits that are greater than zero to a number of soft bits that are not greater than zero;
determining that a network side does not issue a physical hybrid automatic repeat indication (HI) to the UE by using the PHICH under the condition that the target parameter is smaller than a threshold corresponding to the target parameter;
wherein the determining a target parameter according to the plurality of soft bits comprises:
determining the target parameter according to a first formula or a second formula, wherein the first formula is as follows:the second formula is:
Figure FDA0002213382210000012
wherein ratio or N ratio represents the target parameter,
Figure FDA0002213382210000013
and an estimation value representing any one of the soft bits, wherein N represents the total number of the soft bits, N is an N integer which is greater than or equal to 0 and less than or equal to 0, and N is any integer which is greater than or equal to 0.
2. The method of claim 1, wherein determining the target parameter based on the plurality of soft bits comprises:
and determining signal-to-noise ratios (SNRs) corresponding to the plurality of soft bits as the target parameter.
3. The method of any one of claims 1-2, wherein the determining that the network side does not utilize the PHICH to issue the HI to the UE if the target parameter is smaller than the threshold corresponding to the target parameter comprises:
and under the condition that the target parameter is smaller than a threshold corresponding to the target parameter and the signal to interference plus noise ratio (SINR) corresponding to the IQ sequence of each symbol borne on the PHICH is larger than a preset threshold, determining that the network side does not utilize the PHICH to issue HI to the UE.
4. The method of claim 3, wherein in case that the network side does not utilize the PHICH to issue HI to the UE, the method further comprises:
and terminating the data transmission to the network side.
5. The method of claim 3, wherein in case that the network side does not utilize the PHICH to issue HI to the UE, the method further comprises:
and receiving a message sent to the UE by the network side by using a Physical Downlink Shared Channel (PDSCH), wherein the message is used for establishing or reestablishing radio resource control.
6. The method of claim 3, further comprising:
and under the condition that the target parameter is not smaller than a threshold corresponding to the target parameter or the SINR is not larger than the preset threshold, determining that the network side issues HI to the UE.
7. An apparatus for detecting a physical hybrid automatic repeat request indicator (HARQ) configured in a User Equipment (UE), the apparatus comprising:
a de-spreading module, which is used for de-scrambling and de-spreading the in-phase orthogonal IQ sequence of each symbol carried on the physical hybrid automatic repeat request indicator channel PHICH to obtain a plurality of soft bits;
a first determining module, configured to determine a target parameter according to the plurality of soft bits, where the target parameter varies with a ratio of the number of soft bits that are greater than zero to the number of soft bits that are not greater than zero in the plurality of soft bits;
a second determining module, configured to determine that a network side does not issue a physical hybrid automatic repeat request (HI) to the UE by using the PHICH, when the target parameter is smaller than a threshold corresponding to the target parameter;
wherein the first determination module is to:
determining the target parameter according to a first formula or a second formula, wherein the first formula is as follows:
Figure FDA0002213382210000031
the second formula is:
Figure FDA0002213382210000032
wherein ratio or N ratio represents the target parameter,
Figure FDA0002213382210000033
and an estimation value representing any one of the soft bits, wherein N represents the total number of the soft bits, N is an N integer which is greater than or equal to 0 and less than or equal to 0, and N is any integer which is greater than or equal to 0.
8. The apparatus of claim 7, wherein the first determining module is configured to:
and determining signal-to-noise ratios (SNRs) corresponding to the plurality of soft bits as the target parameter.
9. The apparatus of any of claims 7-8, wherein the second determining module is configured to:
and under the condition that the target parameter is smaller than a threshold corresponding to the target parameter and the signal to interference plus noise ratio (SINR) corresponding to the IQ sequence of each symbol borne on the PHICH is larger than a preset threshold, determining that the network side does not utilize the PHICH to issue HI to the UE.
10. The apparatus of claim 9, further comprising: and the control module is used for stopping sending data to the network side under the condition that the network side does not utilize the PHICH to send HI to the UE.
11. The apparatus of claim 9, further comprising:
and the receiving module is used for receiving a message sent by the network side to the UE by using a Physical Downlink Shared Channel (PDSCH) under the condition that the network side does not send HI to the UE by using the PHICH, wherein the message is used for establishing or reestablishing radio resource control.
12. The apparatus of claim 9, further comprising:
a third determining module, configured to determine that the network side issues the HI to the UE when the target parameter is not less than a threshold corresponding to the target parameter, or when the SINR is not greater than the preset threshold.
13. A user equipment, the user equipment comprising:
a processor;
a memory for storing processor-executable instructions;
wherein the processor is configured to:
descrambling and despreading an in-phase orthogonal IQ sequence of each symbol carried on a physical hybrid automatic repeat request indicator channel PHICH to obtain a plurality of soft bits;
determining a target parameter based on the plurality of soft bits, the target parameter varying with a ratio of a number of soft bits of the plurality of soft bits that are greater than zero to a number of soft bits that are not greater than zero;
under the condition that the target parameter is smaller than a threshold value corresponding to the target parameter, determining that a network side does not issue a physical hybrid automatic repeat indication (HI) to User Equipment (UE) by utilizing the PHICH;
wherein the determining a target parameter according to the plurality of soft bits comprises:
determining the target parameter according to a first formula or a second formula, wherein the first formula is as follows:
Figure FDA0002213382210000041
the second formula is:
Figure FDA0002213382210000042
wherein ratio or N ratio represents the target parameter,
Figure FDA0002213382210000043
an estimate value, N, representing any of the plurality of soft bitsRepresents the total number of the soft bits, N is an integer greater than or equal to 0 and less than or equal to N, and N is any integer greater than or equal to 0.
CN201610648902.5A2016-08-092016-08-09Method and device for detecting physical hybrid automatic repeat request (HARQ) indication and user equipmentActiveCN106130700B (en)

Priority Applications (1)

Application NumberPriority DateFiling DateTitle
CN201610648902.5ACN106130700B (en)2016-08-092016-08-09Method and device for detecting physical hybrid automatic repeat request (HARQ) indication and user equipment

Applications Claiming Priority (1)

Application NumberPriority DateFiling DateTitle
CN201610648902.5ACN106130700B (en)2016-08-092016-08-09Method and device for detecting physical hybrid automatic repeat request (HARQ) indication and user equipment

Publications (2)

Publication NumberPublication Date
CN106130700A CN106130700A (en)2016-11-16
CN106130700Btrue CN106130700B (en)2020-02-28

Family

ID=57258439

Family Applications (1)

Application NumberTitlePriority DateFiling Date
CN201610648902.5AActiveCN106130700B (en)2016-08-092016-08-09Method and device for detecting physical hybrid automatic repeat request (HARQ) indication and user equipment

Country Status (1)

CountryLink
CN (1)CN106130700B (en)

Families Citing this family (1)

* Cited by examiner, † Cited by third party
Publication numberPriority datePublication dateAssigneeTitle
CN108075862A (en)*2016-11-162018-05-25深圳市中兴微电子技术有限公司The method and apparatus that ACK/NACK is detected on a kind of Physical Uplink Shared Channel

Family Cites Families (5)

* Cited by examiner, † Cited by third party
Publication numberPriority datePublication dateAssigneeTitle
US8205127B2 (en)*2005-12-302012-06-19Telefonaktiebolaget Lm Ericsson (Publ)Method and arrangement for HARQ in wireless multi-carrier systems
EP2326037A1 (en)*2009-11-182011-05-25Telefonaktiebolaget L M Ericsson (publ)Method and base station for detecting a HARQ-ACK codeword
CN103918194B (en)*2011-10-122016-10-12Zte维创通讯公司 Apparatus and method for eliminating in-band interference
CN105634678B (en)*2012-10-252019-04-05华为技术有限公司A kind of restorative procedure and device of leak-detection control channel
CN103906113B (en)*2012-12-282017-11-10联芯科技有限公司Judge the method for the empty inspection uplink scheduling control information of user terminal

Also Published As

Publication numberPublication date
CN106130700A (en)2016-11-16

Similar Documents

PublicationPublication DateTitle
US12328716B2 (en)Method for transmitting hybrid automatic repeat request acknowledgement information, apparatus, and storage medium
CN106788936B (en)Information feedback method, device, user equipment and base station
CN109156028B (en) Uplink message transmission method, device and storage medium
CN110326353B (en)Control information transmission method and device
CN112204909B (en)Blind retransmission method and device, and blind retransmission indication method and device
US11336397B2 (en)HARQ feedback method and apparatus, device, and computer readable storage medium
CN109196805B (en)Method and device for transmitting retransmission codebook
CN113196854B (en)Beam determining method, beam determining device and storage medium
CN108702775B (en) Information transmission method, device, system and storage medium
WO2018141164A1 (en)Downlink control information transmission method and apparatus
CN113796110B (en) A method, device, equipment and storage medium for executing small data packet transmission and determining random access message transmission mode
CN111200487A (en)Transmission method and device for hybrid automatic repeat request acknowledgement HARQ-ACK
WO2020155108A1 (en)Hybrid automatic repeat request method and device
CN112514294A (en)Feedback information transmission method and device, user equipment and base station
US11589259B2 (en)HARQ feedback method and apparatus, user equipment, and base station thereof
WO2019148465A1 (en)Control signaling transmission method, and terminal and base station
WO2018120779A1 (en)Transmission method and device for downlink data
US20200213042A1 (en)Hybrid automatic repeat request result feedback method and device
CN108702262B (en) Data transmission method, apparatus, system, and computer-readable storage medium
US20210314108A1 (en)Uplink feedback method and apparatus, terminal, base station and storage medium
CN106130700B (en)Method and device for detecting physical hybrid automatic repeat request (HARQ) indication and user equipment
CN110178430B (en) Information transmission methods, devices, systems and storage media
US20220216971A1 (en)Method for feeding back data, method for transmitting data and user equipment
CN112868269A (en)Random access method and device
CN113366906B (en)Feedback method, feedback device and storage medium

Legal Events

DateCodeTitleDescription
C06Publication
PB01Publication
C10Entry into substantive examination
SE01Entry into force of request for substantive examination
GR01Patent grant
GR01Patent grant
CP03Change of name, title or address
CP03Change of name, title or address

Address after:100085 unit C, building C, lin66, Zhufang Road, Qinghe, Haidian District, Beijing

Patentee after:Beijing Xiaomi pinecone Electronic Co., Ltd

Address before:100085 Beijing city Haidian District Qinghe Shun Yip things Park Building 3 unit A

Patentee before:BEIJING PINECONE ELECTRONICS Co.,Ltd.


[8]ページ先頭

©2009-2025 Movatter.jp