







技术领域technical field
本申请涉及无线通信技术领域,尤其涉及一种基于滤波器组的信号发送和接收方法、系统及装置。The present application relates to the field of wireless communication technologies, and in particular, to a method, system and apparatus for transmitting and receiving signals based on filter banks.
背景技术Background technique
随着信息产业的快速发展,特别是来自移动互联网和物联网(IoT,internet ofthings)的增长需求,给未来移动通信技术面带来了前所未有的挑战。如根据国际电信联盟ITU的报告ITU-R M.[IMT.BEYOND 2020.TRAFFIC],可以预计到2020年,移动业务量增长相对2010年(4G时代)将增长近1000倍,用户设备连接数也将超过170亿,随着海量的IoT设备逐渐渗透到移动通信网络,连接设备数将更加惊人。为了应对这前所未有的挑战,通信产业界和学术界已经展开了广泛的第五代移动通信技术研究(5G),面向2020年代。目前在ITU的报告ITU-R M.[IMT.VISION]中已经在讨论未来5G的框架和整体目标,其中对5G的需求展望、应用场景和各项重要性能指标做了详细说明。针对5G中的新需求,ITU的报告ITU-R M.[IMT.FUTURE TECHNOLOGY TRENDS]提供了针对5G的技术趋势相关的信息,旨在解决系统吞吐量显著提升、用户体验一致性、扩展性以支持IoT、时延、能效、成本、网络灵活性、新兴业务的支持和灵活的频谱利用等显著问题。With the rapid development of the information industry, especially the growing demand from the mobile Internet and the Internet of Things (IoT), it has brought unprecedented challenges to the future mobile communication technology. For example, according to the report ITU-R M.[IMT.BEYOND 2020.TRAFFIC] of the International Telecommunication Union ITU, it can be expected that by 2020, the growth of mobile traffic will increase by nearly 1,000 times compared to 2010 (4G era), and the number of user equipment connections will also increase. It will exceed 17 billion, and as massive IoT devices gradually penetrate into mobile communication networks, the number of connected devices will be even more staggering. In order to meet this unprecedented challenge, the communication industry and academia have launched extensive research on fifth-generation mobile communication technology (5G), facing the 2020s. At present, the framework and overall goals of 5G in the future have been discussed in the ITU report ITU-R M.[IMT.VISION], in which the demand outlook, application scenarios and various important performance indicators of 5G have been described in detail. In response to the new requirements in 5G, ITU's report ITU-R M.[IMT.FUTURE TECHNOLOGY TRENDS] provides information on technology trends for 5G, aiming to solve the problem of significantly improved system throughput, consistent user experience, scalability and Significant issues such as IoT support, latency, energy efficiency, cost, network flexibility, support for emerging services and flexible spectrum utilization.
调制波形和多址方式是无线通信空中接口(air-interface)设计的重要基础,在5G也不会例外。当前,多载波调制(Multi-carrier Modulation,MCM)技术家族中的典型代表正交频分复用(Orthogonal Frequency Division Multiplexing,OFDM)被广泛地应用于广播式的音频和视频领域以及民用通信系统中,例如第三代移动通信合作伙伴项目(3rdGeneration Partnership Project,3GPP)制定的Evolved Universal Terrestrial RadioAccess(E-UTRA)协议对应的长期演进(Long Term Evolution,LTE)系统,欧洲的数字视频(Digital Video Broadcasting,DVB)和数字音频广播(Digital Audio Broadcasting,DAB)、甚高速数字用户环路(Very-high-bit-rate Digital Subscriber Loop,VDSL)、IEEE802.11a/g无线局域网(Wireless Local Area,WLAN)、IEEE802.22无线城域网(Wireless Regional Area Network,WRAN)和IEEE802.16全球微波互联接入(WorldInteroperability for Microwave Access,WiMAX)等等。众所周知,OFDM技术的基本思想是将宽带信道划分为多个并行的窄带子信道/子载波,使得在频率选择性信道中传输的高速数据流变为在多个并行的独立平坦子信道上传输的低速数据流,大大增强了系统抵抗多径干扰的能力,且OFDM可以利用快速反傅里叶变换和快速傅里叶变换(IFFT/FFT)简化的调制和解调的实现;其次,通过添加循环前缀(Cyclic Prefix,CP)使跟信道的线性卷积变为圆周卷积,从而根据圆周卷积的性质,当CP长度大于信道最大多径时延时,利用简单的单抽头频域均衡就可实现无符号间干扰(Inter-symbol Interference,ISI),从而降低接收机处理复杂度。虽然基于CP-OFDM调制波形能很好的支持4G时代的移动宽带(Mobilebroadband,MBB)业务需求,不过5G将面临更具挑战和更丰富的场景,这使得其CP-OFDM在5G的场景中出现很大的限制或者不足之处,主要表现在:Modulation waveforms and multiple access methods are an important basis for the design of wireless communication air-interfaces, and 5G will be no exception. At present, Orthogonal Frequency Division Multiplexing (OFDM), a typical representative of the Multi-carrier Modulation (MCM) technology family, is widely used in broadcast audio and video fields and civil communication systems. For example, the Long Term Evolution (LTE) system corresponding to the Evolved Universal Terrestrial RadioAccess (E-UTRA) protocol formulated by the 3rd Generation Partnership Project (3rd Generation Partnership Project, 3GPP), the European Digital Video Broadcasting , DVB) and Digital Audio Broadcasting (DAB), Very-high-bit-rate Digital Subscriber Loop (VDSL), IEEE802.11a/g Wireless Local Area (WLAN) , IEEE802.22 Wireless Regional Area Network (WRAN) and IEEE802.16 World Interoperability for Microwave Access (WiMAX) and so on. As we all know, the basic idea of OFDM technology is to divide a wideband channel into multiple parallel narrowband subchannels/subcarriers, so that the high-speed data stream transmitted in the frequency selective channel becomes transmitted on multiple parallel independent flat subchannels The low-speed data stream greatly enhances the system's ability to resist multipath interference, and OFDM can utilize the fast inverse Fourier transform and the fast Fourier transform (IFFT/FFT) to simplify the realization of modulation and demodulation; secondly, by adding loops The prefix (Cyclic Prefix, CP) changes the linear convolution with the channel into a circular convolution, so according to the nature of the circular convolution, when the CP length is greater than the maximum multipath of the channel, the delay can be achieved by using a simple single-tap frequency domain equalization. To achieve no inter-symbol interference (Inter-symbol Interference, ISI), thereby reducing the receiver processing complexity. Although the modulation waveform based on CP-OFDM can well support the mobile broadband (MBB) service requirements in the 4G era, 5G will face more challenging and richer scenarios, which makes its CP-OFDM appear in 5G scenarios. The major limitations or deficiencies are mainly manifested in:
(1)添加CP来抵抗ISI在5G低时延传输的场景会极大的降低频谱利用率,因为低时延传输将极大缩短OFDM的符号长度,而CP的长度只是受制于信道的冲击响应,那么CP的长度跟OFDM的符号长度之比会大大增加,这样的开销造成频谱效率损失非常大,是难以接受的。(1) Adding CP to resist ISI in 5G low-latency transmission scenarios will greatly reduce spectrum utilization, because low-latency transmission will greatly shorten the symbol length of OFDM, and the length of CP is only limited by the impulse response of the channel , then the ratio of the CP length to the OFDM symbol length will be greatly increased, and such overhead will cause a very large loss of spectral efficiency, which is unacceptable.
(2)严格的时间同步要求在5G的IoT场景中会造成很大的闭环同步维护所需的信令开销,而且严格的同步机制造成帧结构无弹性,不能很好的支持多种业务的不同的同步需求。(2) Strict time synchronization requirements will cause a lot of signaling overhead required for closed-loop synchronization maintenance in 5G IoT scenarios, and the strict synchronization mechanism results in an inelastic frame structure, which cannot well support the difference of various services. synchronization requirements.
(3)OFDM采用矩形脉冲成形(rectangular pulse)造成很大的带外泄露,因为这样的波形导致其频域的旁瓣滚降很慢,这也是为什么OFDM对频偏(CFO,central frequencyoffset)非常敏感的原因,而5G将会有很多的碎片化频谱灵活接入/共享的需求,OFDM的带外泄露极大的限制了频谱接入的灵活性或者说需要很大的频域保护带从而降低了频谱的利用率。(3) OFDM uses rectangular pulse shaping (rectangular pulse) to cause a large out-of-band leakage, because such a waveform leads to a very slow roll-off of its side lobes in the frequency domain, which is why OFDM is very sensitive to frequency offset (CFO, central frequency offset). Sensitive reasons, and 5G will have a lot of fragmented spectrum flexible access/sharing requirements, the out-of-band leakage of OFDM greatly limits the flexibility of spectrum access or requires a large frequency domain guard band to reduce spectrum utilization.
这些不足主要是由其自身的固有特性造成的,尽管通过采取一定的措施,可以降低这些缺点造成的影响,但会增加系统设计的复杂度,且无法从根本上解决问题。These deficiencies are mainly caused by their own inherent characteristics. Although the impact of these shortcomings can be reduced by taking certain measures, it will increase the complexity of the system design and cannot solve the problem fundamentally.
正因为如此,如ITU的报告ITU-R M.[IMT.FUTURE TECHNOLOGY TRENDS]所述,一些新波形调制技术(基于多载波调制)被纳入5G的考虑范围之内。其中,基于滤波器组的多载波(FBMC:Filter Bank Multiple Carrier)调制技术成为热点研究对象之一,由于其提供了成型滤波器(Prototype Filter)设计的自由度,可以采用时频域聚焦性(Time/frequency localization,TFL)很好的滤波器对传输波形进行脉冲成型,使得传输信号能表现出多种较优的特性,包括不需要CP来对抗ISI从而提高频谱效率,较低的带外泄露从而很好的支持灵活的碎片化频谱接入,以及对频偏不敏感。比较典型的FBMC系统通常使用一种叫做偏置正交幅度调制(OQAM:Offset Quadrature Amplitude Modulation)技术来达到频谱效率最大化,所以通常称为FBMC/OQAM系统,也可称作OFDM/OQAM系统。关于FBMC用于数字通信可以参考一篇早期文献“Analysis and design of OFDM/OQAM systems based onfilter bank theory”,IEEE Transactions on Signal Processing,Vol.50,No.5,2002.Because of this, as described in the ITU report ITU-R M.[IMT.FUTURE TECHNOLOGY TRENDS], some new waveform modulation techniques (based on multi-carrier modulation) are being considered for 5G. Among them, filter bank-based multi-carrier (FBMC: Filter Bank Multiple Carrier) modulation technology has become one of the hot research objects. Because it provides the freedom of prototype filter (Prototype Filter) design, it can use time-frequency domain focusing ( Time/frequency localization, TFL) good filter pulse shaping the transmission waveform, so that the transmission signal can show a variety of better characteristics, including no need for CP to counter ISI to improve spectral efficiency, lower out-of-band leakage Thus, flexible fragmented spectrum access is well supported and insensitive to frequency offset. A typical FBMC system usually uses an Offset Quadrature Amplitude Modulation (OQAM: Offset Quadrature Amplitude Modulation) technology to maximize the spectral efficiency, so it is usually called a FBMC/OQAM system, or an OFDM/OQAM system. Regarding the use of FBMC in digital communication, please refer to an early document "Analysis and design of OFDM/OQAM systems based on filter bank theory", IEEE Transactions on Signal Processing, Vol.50, No.5, 2002.
FBMC具有一些OFDM所不具备的好的特性,从而在5G研究中获得关注,不过其本身固有的一些缺点使得其在无线通信系统中应用也存在着不少挑战,这些急需解决的挑战正在被不断的研究中。其中一个显著的问题就是FBMC采用的滤波器会造成时域波形有较长的拖尾效应(tail effect),也叫做转换时间问题(transition period problem)。在上行基于短数据块传输时,如果数据块长度扩展包含拖尾来避免拖尾跟其他数据块的重叠,那么有效时间内传输的符号数就会减少,这会极大的降低频谱效率,所以有说法是FBMC只适合长数据传输,相反如果数据块长度不包含拖尾,那就意味着拖尾部分跟其他数据块会重叠,处理不好就会造成很大的干扰,从而也会限制频谱效率。目前有的方法就是对拖尾部分进行截断,从而避免跟其他数据块重叠,但是对波形进行截断会造成信号失真,同样会影响到频谱效率,此外截断的信号频谱会造成扩展,还会增加子载波间(inter-carrier-interference,ICI)的干扰,这样的截断不是一种有效的方法。FBMC has some good characteristics that OFDM does not have, so it has attracted attention in 5G research, but its inherent shortcomings make its application in wireless communication systems also have many challenges, and these urgent challenges are being solved. in research. One of the obvious problems is that the filter used in FBMC will cause a long tail effect on the time domain waveform, also known as the transition period problem. When the uplink is transmitted based on short data blocks, if the length extension of the data block includes a tail to avoid the overlap of the tail and other data blocks, the number of symbols transmitted in the valid time will be reduced, which will greatly reduce the spectral efficiency, so There is a saying that FBMC is only suitable for long data transmission. On the contrary, if the length of the data block does not include the trailing, it means that the trailing part will overlap with other data blocks. If it is not handled properly, it will cause great interference and limit the spectrum. efficiency. At present, some methods are to truncate the trailing part to avoid overlapping with other data blocks, but truncation of the waveform will cause signal distortion, which will also affect the spectral efficiency. In addition, the truncated signal spectrum will cause expansion and increase the number of Inter-carrier-interference (ICI) interference, such truncation is not an effective method.
综上所述,要提升FBMC在5G候选技术中的竞争力,我们除了利用开发其优势外,还需要解决其自身不足,针对5G中特别是IoT场景下的零散短数据块传输(Sporadic Access)的业务模式,我们非常有必要通过有效的方法来解决FBMC的拖尾效应带来的问题。To sum up, in order to enhance the competitiveness of FBMC in 5G candidate technologies, in addition to exploiting its advantages, we also need to solve its own shortcomings, especially for the sporadic short data block transmission (Sporadic Access) in 5G, especially in IoT scenarios. It is very necessary for us to solve the problems caused by the tailing effect of FBMC through effective methods.
发明内容SUMMARY OF THE INVENTION
本发明所要解决的技术问题是针对上行基于数据块的传输时FBMC系统中的拖尾问题,目前尚未有一种非常有效的方法来减少拖尾带来的影响。为此,本申请提供了一种基于滤波器组的通信系统及其信号发送和接收方法,提供一种有效的可配置的预均衡处理,可以在不截断拖尾的情况下保证性能,最大化FBMC系统的频谱效率。The technical problem to be solved by the present invention is aimed at the smearing problem in the FBMC system during uplink data block-based transmission. Currently, there is no very effective method to reduce the influence of smearing. To this end, the present application provides a filter bank-based communication system and a signal transmission and reception method thereof, providing an effective and configurable pre-equalization process, which can ensure performance without truncating tails, maximize the performance Spectral efficiency of FBMC systems.
本申请提供的一种基于滤波器组的信号发送方法,包括:A filter bank-based signal transmission method provided by this application includes:
发射机获取预均衡配置信息,所述预均衡配置信息指示是否开启预均衡;The transmitter obtains pre-equalization configuration information, where the pre-equalization configuration information indicates whether to enable pre-equalization;
当预均衡配置信息指示开启预均衡时,发射机根据预均衡方式生成预均衡参数,并根据预均衡参数对发送信号进行预均衡操作,然后进行基于滤波器组的调制。When the pre-equalization configuration information indicates that pre-equalization is enabled, the transmitter generates pre-equalization parameters according to the pre-equalization method, performs pre-equalization operations on the transmitted signal according to the pre-equalization parameters, and then performs filter bank-based modulation.
较佳地,所述预均衡配置信息包含在发射机获取的调度控制信令中。Preferably, the pre-equalization configuration information is included in the scheduling control signaling obtained by the transmitter.
较佳地,所述发射机还从所述调度控制信令中获取预均衡开启时和关闭时所采用的子帧类型信息,所述子帧类型信息指示子帧中发送符号的个数和首个符号的发送时刻。Preferably, the transmitter also obtains the subframe type information used when pre-equalization is turned on and off from the scheduling control signaling, and the subframe type information indicates the number of transmitted symbols in the subframe and the header. The transmission time of a symbol.
较佳地,所述预均衡方式为预先规定的或者包含在预均衡配置信息中。Preferably, the pre-equalization manner is predetermined or included in the pre-equalization configuration information.
较佳地,所述预均衡方式包括:对幅度和相位都进行预均衡,或者,只对相位进行预均衡。Preferably, the pre-equalization manner includes: pre-equalizing both the amplitude and phase, or pre-equalizing only the phase.
较佳地,当预均衡方式为对幅度和相位都进行预均衡时,所述根据预均衡方式生成预均衡参数包括:根据获取的信道状态信息和预均衡方式生成预均衡参数,所述预均衡参数和信道频率响应合成的等效信道频率响应为实数或者虚部趋近于0,且等效信道频率响应的模趋近于1。Preferably, when the pre-equalization method is to perform pre-equalization on both the amplitude and the phase, the generating the pre-equalization parameter according to the pre-equalization method includes: generating the pre-equalization parameter according to the acquired channel state information and the pre-equalization method, and the pre-equalization method The equivalent channel frequency response synthesized by the parameters and the channel frequency response is a real number or the imaginary part approaches 0, and the modulus of the equivalent channel frequency response approaches 1.
较佳地,当预均衡方式为只对相位进行预均衡时,所述根据预均衡方式生成预均衡参数包括:根据获取的信道状态信息和预均衡方式生成预均衡参数,所述预均衡参数和信道频率响应合成的等效信道频率响应为实数或者虚部趋近于0,且等效信道频率响应的模趋近于信道频率响应的模。Preferably, when the pre-equalization mode is to perform pre-equalization only on the phase, the generating the pre-equalization parameters according to the pre-equalization mode includes: generating the pre-equalization parameters according to the acquired channel state information and the pre-equalization mode, the pre-equalization parameters and the pre-equalization mode. The equivalent channel frequency response synthesized by the channel frequency response is a real number or the imaginary part approaches 0, and the modulus of the equivalent channel frequency response approaches the modulus of the channel frequency response.
较佳地,所述信道状态信息通过信道互易性获取。Preferably, the channel state information is obtained through channel reciprocity.
较佳地,当预均衡方式为只对相位进行预均衡时,所述根据预均衡方式生成预均衡参数包括:通过接收机的反馈获取相位指示,根据获取的相位指示生成预均衡参数。Preferably, when the pre-equalization mode is to pre-equalize only the phase, the generating the pre-equalization parameter according to the pre-equalization mode includes: obtaining a phase indication through feedback from the receiver, and generating the pre-equalization parameter according to the obtained phase indication.
较佳地,发射机根据所述相位指示获取量化的信道频率响应的相位信息,并根据所述相位信息生成所分配带宽上的频率相位响应系数作为频域预均衡参数。Preferably, the transmitter obtains the phase information of the quantized channel frequency response according to the phase indication, and generates the frequency phase response coefficient on the allocated bandwidth as the frequency domain pre-equalization parameter according to the phase information.
较佳地,该方法还包括:频域划分成若干子带,相位指示是基于子带进行指示的,子带个数大于等于1,发射机根据相位指示和子带的对应关系来生成所分配带宽上的频域预均衡参数。Preferably, the method further includes: dividing the frequency domain into several sub-bands, the phase indication is based on the sub-bands, and the number of sub-bands is greater than or equal to 1, and the transmitter generates the allocated bandwidth according to the corresponding relationship between the phase indication and the sub-bands. The frequency domain pre-equalization parameters on .
较佳地,发射机根据所述相位指示获取量化的信道冲击响应的相位信息,并变换成对应的频率相位响应系数作为频域预均衡参数。Preferably, the transmitter obtains the phase information of the quantized channel impulse response according to the phase indication, and transforms it into a corresponding frequency phase response coefficient as a frequency domain pre-equalization parameter.
较佳地,该方法还包括:所述量化的信道冲击响应的相位信息为多径信道中最强的一条路径的相位信息,或者为多径信道中能量最强的X条路径的相位进行平均而合成的一个相位信息,其中X大于1。Preferably, the method further includes: the phase information of the quantized channel impulse response is the phase information of the strongest path in the multipath channel, or the phase average of the X paths with the strongest energy in the multipath channel. And the synthesized one phase information, where X is greater than 1.
较佳地,在上行调取授权信令中增加相位指示比特域或专门的反馈信道中获取所述反馈。Preferably, the feedback is obtained by adding a phase indication bit field or a dedicated feedback channel in the uplink call grant signaling.
本申请还提供了一种基于滤波器组的信号接收方法,包括:The present application also provides a filter bank-based signal receiving method, comprising:
接收机根据指示给发射机的预均衡配置信息判断是否对基于滤波器组的解调信号进行后均衡;所述预均衡配置信息指示是否开启预均衡;The receiver judges whether to perform post-equalization on the demodulated signal based on the filter bank according to the pre-equalization configuration information indicated to the transmitter; the pre-equalization configuration information indicates whether to enable pre-equalization;
当预均衡配置信息指示开启预均衡,且预均衡方式为对幅度和相位都进行预均衡时,接收机不对基于滤波器组的解调信号进行后均衡;When the pre-equalization configuration information indicates that pre-equalization is enabled, and the pre-equalization mode is to perform pre-equalization on both amplitude and phase, the receiver does not perform post-equalization on the demodulated signal based on the filter bank;
当预均衡配置信息指示开启预均衡,且预均衡方式为只对相位进行预均衡时,接收机对基于滤波器组的解调信号根据预均衡参数和信道频率响应合成的等效信道频率响应进行后均衡;When the pre-equalization configuration information indicates that pre-equalization is enabled, and the pre-equalization method is to perform pre-equalization only on the phase, the receiver performs an equivalent channel frequency response on the demodulated signal based on the filter bank according to the pre-equalization parameters and the channel frequency response synthesis. post-equilibrium;
当预均衡配置信息指示不进行预均衡时,接收机对基于滤波器组的解调信号根据估计的信道频率响应进行幅度和相位后均衡。When the pre-equalization configuration information indicates that no pre-equalization is performed, the receiver performs amplitude and phase post-equalization on the demodulated signal based on the filter bank according to the estimated channel frequency response.
较佳地,所述根据预均衡参数和信道频率响应合成的等效信道频率响应进行后均衡包括:接收机通过接收采用了预均衡的用于信道估计的参考信号直接估计预均衡参数和信道频率响应合成的等效信道频率响应,或者接收机通过对未采用预均衡的参考信号先做信道估计再根据发射机采用的预均衡方式间接估计预均衡参数和信道频率响应合成的等效信道频率响应,所述等效信道频率响应用于对基于滤波器的解调信号进行后均衡。Preferably, performing post-equalization according to the equivalent channel frequency response synthesized by the pre-equalization parameter and the channel frequency response includes: the receiver directly estimates the pre-equalization parameter and the channel frequency by receiving the reference signal used for channel estimation using pre-equalization. Response to the synthesized equivalent channel frequency response, or the receiver first estimates the channel of the reference signal without pre-equalization, and then indirectly estimates the pre-equalization parameters and the channel frequency response according to the pre-equalization method adopted by the transmitter. , the equivalent channel frequency response is used for post-equalization of the filter-based demodulated signal.
较佳地,所述预均衡方式为预先规定的或者包含在预均衡配置信息中。Preferably, the pre-equalization manner is predetermined or included in the pre-equalization configuration information.
本申请还提供了一种基于滤波器组的发射机,包括:控制信令处理模块、预均衡开关、信源、预均衡参数生成模块和发送合成滤波器组,其中:The present application also provides a filter bank-based transmitter, including: a control signaling processing module, a pre-equalization switch, a signal source, a pre-equalization parameter generation module, and a transmit synthesis filter bank, wherein:
控制信令处理模块,用于获取预均衡配置信息,所述预均衡配置信息指示是否开启预均衡;a control signaling processing module, configured to obtain pre-equalization configuration information, the pre-equalization configuration information indicating whether to enable pre-equalization;
当预均衡配置信息指示进行预均衡时,控制信令处理模块控制预均衡开关接通预均衡参数生成模块,信源产生的实数信号由预均衡参数生成模块所生成的预均衡参数进行预均衡处理后,再由发送合成滤波器组进行调制;When the pre-equalization configuration information indicates to perform pre-equalization, the control signaling processing module controls the pre-equalization switch to turn on the pre-equalization parameter generation module, and the real signal generated by the source is pre-equalized by the pre-equalization parameters generated by the pre-equalization parameter generation module. Then, it is modulated by the transmit synthesis filter bank;
当预均衡配置信息指示不进行预均衡时,控制信令处理模块控制预均衡开关接通发送合成滤波器组,信源产生的实数信号直接由发送合成滤波器组进行调制。When the pre-equalization configuration information indicates not to perform pre-equalization, the control signaling processing module controls the pre-equalization switch to turn on the transmit synthesis filter bank, and the real signal generated by the signal source is directly modulated by the transmit synthesis filter bank.
较佳地,所述预均衡配置信息由控制信令处理模块从调度控制信令中获取。Preferably, the pre-equalization configuration information is obtained from the scheduling control signaling by the control signaling processing module.
较佳地,预均衡参数生成模块根据预均衡方式生成所述预均衡参数;所述预均衡方式为预先规定的或者包含在所述预均衡配置信息中。Preferably, the pre-equalization parameter generating module generates the pre-equalization parameters according to a pre-equalization mode; the pre-equalization mode is predetermined or included in the pre-equalization configuration information.
本申请还提供了一种基于滤波器组的接收机,包括:接收分析滤波器组、后均衡开关、后均衡参数生成模块和取实部操作模块;其中:The present application also provides a filter bank-based receiver, comprising: a reception analysis filter bank, a post-equalization switch, a post-equalization parameter generation module, and a real-part operation module; wherein:
所述后均衡开关根据指示给发射机的预均衡配置信息判断是否对接收分析滤波器组的解调信号进行后均衡;所述预均衡配置信息指示是否开启预均衡;The post-equalization switch determines whether to perform post-equalization on the demodulated signal of the received analysis filter bank according to the pre-equalization configuration information indicated to the transmitter; the pre-equalization configuration information indicates whether to enable pre-equalization;
当预均衡配置信息指示开启预均衡,且预均衡方式为对幅度和相位都进行预均衡时,后均衡开关接通接收分析滤波器组和取实部模块;When the pre-equalization configuration information indicates that pre-equalization is turned on, and the pre-equalization mode is to perform pre-equalization on both amplitude and phase, the post-equalization switch turns on the receiving analysis filter bank and the real part acquisition module;
当预均衡配置信息指示开启预均衡,且预均衡方式为只对相位进行预均衡时,后均衡开关将预均衡方式发送给后均衡参数生成模块,并接通接收分析滤波器组和后均衡参数生成模块由后均衡参数生成模块生成均衡参数,并对接收分析滤波器组的解调信号进行幅度后均衡处理后,发送给取实部模块;When the pre-equalization configuration information indicates that pre-equalization is enabled, and the pre-equalization mode is to pre-equalize only the phase, the post-equalization switch sends the pre-equalization mode to the post-equalization parameter generation module, and turns on the receiving analysis filter bank and the post-equalization parameters. The generation module generates the equalization parameters by the post-equalization parameter generation module, and performs amplitude post-equalization processing on the demodulated signal of the received analysis filter bank, and sends it to the real part obtaining module;
当预均衡配置信息指示不进行预均衡时,后均衡开关接通接收分析滤波器组和后均衡参数生成模块,由后均衡参数生成模块生成均衡参数,并对接收分析滤波器组的解调信号进行幅度和相位后均衡处理后,发送给取实部模块。When the pre-equalization configuration information indicates not to perform pre-equalization, the post-equalization switch turns on the receiving analysis filter bank and the post-equalization parameter generation module, and the post-equalization parameter generation module generates equalization parameters, and demodulates the demodulated signal of the reception analysis filter bank. After amplitude and phase post-equalization processing, it is sent to the real part acquisition module.
较佳地,所述预均衡方式为预先规定的或者包含在预均衡配置信息中。Preferably, the pre-equalization manner is predetermined or included in the pre-equalization configuration information.
本申请所述可配置预均衡的OQAM信号发送方案,给网络调度提供了灵活性,在网络高负载的情况下可以通过对发射信号进行预均衡从而尽量保证频谱效率,在网络负载低的时候又可以通过改变子帧的配置来避免拖尾的影响,从而可以尽量保障用户服务质量。The configurable pre-balanced OQAM signal transmission scheme described in this application provides flexibility for network scheduling. In the case of high network load, the transmitted signal can be pre-balanced to ensure the spectral efficiency as much as possible. When the network load is low, the The influence of smearing can be avoided by changing the configuration of the subframe, so that the user service quality can be guaranteed as much as possible.
附图说明Description of drawings
图1为一种FBMC/OQAM的信号生成示意图;Fig. 1 is a kind of signal generation schematic diagram of FBMC/OQAM;
图2(a)为FBMC/OQAM基于burst传输时的拖尾示意图;Fig. 2 (a) is the smear schematic diagram when FBMC/OQAM transmits based on burst;
图2(b)为数据块波形没有重叠的示意图;Fig. 2(b) is a schematic diagram of data block waveforms without overlapping;
图2(c)为数据块波形部分重叠的示意图;Fig. 2 (c) is the schematic diagram that the waveform part of the data block overlaps;
图3为采用本申请的FBMC/OQAM系统示意图;Fig. 3 is the schematic diagram of the FBMC/OQAM system adopting the present application;
图4为本申请实施例一的预均衡OQAM信号发送和接收示意图;4 is a schematic diagram of sending and receiving a pre-equalized OQAM signal according to
图5为本申请实施例一的未配置预均衡的OQAM信号发送和接收示意图;5 is a schematic diagram of sending and receiving an OQAM signal without pre-equalization according to
图6为本申请实施例二的预均衡OQAM信号发送和接收示意图。FIG. 6 is a schematic diagram of sending and receiving a pre-equalized OQAM signal according to
具体实施方式Detailed ways
为使本申请的目的、技术方案及优点更加清楚明白,以下参照附图并举实施例,对本申请作进一步详细说明。In order to make the purpose, technical solutions and advantages of the present application more clearly understood, the present application will be described in further detail below with reference to the accompanying drawings and examples.
采用基于滤波器组技术的调制方式FBMC,可以获得具有更好时频聚焦性的信号波形,例如基于Isotropic Orthogonal Transform Algorithm(IOTA,各向同性正交变换算法)、基于Extended Gaussian Function(高斯函数)和欧洲PHYDYAS等原型滤波器函数。FBMC使用时频域聚焦性(Time/Frequency Localization,TFL)很好的成型滤波器对每个子载波的信号进行脉冲成型(pulse shaping),这使得:Using the modulation method FBMC based on filter bank technology, a signal waveform with better time-frequency focus can be obtained, such as based on Isotropic Orthogonal Transform Algorithm (IOTA, isotropic orthogonal transform algorithm), based on Extended Gaussian Function (Gaussian function) and prototype filter functions such as European PHYDYAS. FBMC uses a shaping filter with good Time/Frequency Localization (TFL) to pulse shape the signal of each subcarrier, which makes:
1)FBMC可以不需要CP也能极大抑制多径带来的ISI,不仅相对OFDM能带来更高的频谱效率和能量效率,同时可以在更大的时间误差下获得良好的接收鲁棒性,从而允许非严格同步的传输;1) FBMC can greatly suppress ISI caused by multipath without CP, not only can bring higher spectral efficiency and energy efficiency compared with OFDM, but also can obtain good receiving robustness under larger time error , thus allowing non-strictly synchronized transfers;
2)得益于良好的频率聚焦性,FBMC可以在极窄的频率资源内传输信号并保持非常低的带外泄露,从而可以较好的抑制由于多普勒或相位噪声等带来的载波间干扰ICI。2) Thanks to good frequency focusing, FBMC can transmit signals in very narrow frequency resources and keep very low out-of-band leakage, so that it can better suppress the inter-carrier caused by Doppler or phase noise. Interfere with ICI.
因此,FBMC在认知无线电、碎片化的频带接入和非同步传输等场景上拥有极大的潜力。Therefore, FBMC has great potential in scenarios such as cognitive radio, fragmented frequency band access, and asynchronous transmission.
为获得在FBMC的最高频谱效率,需要使用偏置正交幅度调制(OQAM:OffsetQuadrature Amplitude Modulation)技术,称为FBMC/OQAM或OFDM/OQAM,后面简称为OQAM。在OQAM中,一个QAM符号被分成两路信号,分别被交替调制到一个子载波的实部和虚部,并通过在时间上交错的方法发送。在接收端,如果没有信道的影响,交替提取每个子载波上信号的实部和虚部,即可恢复发送信号。图1为一种FBMC/OQAM的信号生成示意图,从后面的OQAM信号公式表达很容易理解各模块的作用。时间连续(continuous-time)的多载波FBMC/OQAM信号的基带等同形式可以用下面的公式(1)表达:In order to obtain the highest spectral efficiency in FBMC, an Offset Quadrature Amplitude Modulation (OQAM: OffsetQuadrature Amplitude Modulation) technology is required, which is called FBMC/OQAM or OFDM/OQAM, hereinafter referred to as OQAM. In OQAM, a QAM symbol is divided into two signals, which are alternately modulated into the real part and imaginary part of a subcarrier respectively, and are sent by interleaving in time. At the receiving end, if there is no influence of the channel, the real part and the imaginary part of the signal on each subcarrier can be extracted alternately, and the transmitted signal can be recovered. Figure 1 is a schematic diagram of a FBMC/OQAM signal generation. It is easy to understand the role of each module from the OQAM signal formula expression below. The baseband equivalent of a continuous-time multi-carrier FBMC/OQAM signal can be expressed by the following equation (1):
其中:(·)m,n表示频时点(frequency-time point);Among them: ( )m, n represents the frequency-time point;
am,n为在第n个符号的第m个子载波上发送的实数调制信号,也就是脉冲幅度调制符号(PAM);am,n is a real modulation signal sent on the mth subcarrier of the nth symbol, that is, a pulse amplitude modulation symbol (PAM);
am,n为符号周期为τ=2τ0的复数QAM(Quadrature Amplitude Modulation)符号的实部或虚部值,例如am,n is a complex QAM (Quadrature Amplitude Modulation) symbol with a symbol period of τ=2τ0 value of the real or imaginary part of , e.g.
和分别为取实虚部; and are the real and imaginary parts, respectively;
j是虚数符,jm+n表示实虚交替;j is the imaginary number symbol, and jm+n represents the alternation of real and imaginary;
M为偶数表示子载波个数;M is an even number to indicate the number of subcarriers;
Ζ为发送的符号集合;Z is the set of sent symbols;
ν0为子载波间隔;ν0 is the subcarrier spacing;
τ0为OQAM的符号周期,τ0=τ/2=1/(2v0);τ0 is the symbol period of OQAM, τ0 =τ/2=1/(2v0 );
g是原型滤波器函数,其时域冲击响应长度一般为τ的Κ倍,这样的话导致相邻的(2Κ-1)个符号的时域波形会部分重叠,所以K通常也称作滤波器的重叠因子(OverlappingFactor);g is the prototype filter function, and its time-domain impulse response length is generally K times τ. In this case, the time-domain waveforms of adjacent (2Κ-1) symbols will partially overlap, so K is usually also called the filter's OverlappingFactor;
gm,n(t)为去调制am,n的整体合成滤波器函数(synthesis filter)。gm,n (t) is the overall synthesis filter function to demodulate am,n .
可以看出OQAM的符号率是传统OFDM符号率的2倍,并且不附加循环前缀CP,而因为OQAM的调制是实数的,每个OQAM符号的信息量是传统OFDM的一半。It can be seen that the symbol rate of OQAM is twice the symbol rate of traditional OFDM, and no cyclic prefix CP is added, and because the modulation of OQAM is real, the information amount of each OQAM symbol is half that of traditional OFDM.
OQAM的实数域正交性是通过设计原型滤波器函数g,使得发送时的合成滤波器函数和接收时的分析滤波器函数的内积(Inner Product)满足或者近似满足公式(2)实现的,也就是原型滤波器需要满足:The real-number domain orthogonality of OQAM is achieved by designing the prototype filter function g so that the inner product (Inner Product) of the synthesis filter function when transmitting and the analysis filter function when receiving satisfies or approximately satisfies the formula (2), That is, the prototype filter needs to satisfy:
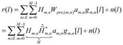
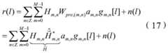
其中,*代表复数共轭,为取实部操作,<·|·>表示内积,如果m=m',n=n'则δm,m'=1,δn,n'=1,否则为0,也就是说如果m≠m'或n≠n',则内积为纯虚数项,为了描述方便把内积用表示。很显然不同子载波和不同符号之间的信号本身造成的是纯虚部干扰,那么FBMC/OQAM调制的信号s(t)经过一个无失真(distortion-free)信道时,对接收的信号用发送合成滤波器(Synthesis Filter,SF)gm,n(t)相匹配的接收分析滤波器组(AnalysisFilter,AF)按照公式(3)进行简单操作,就可以把原始发送的实数信号am,n完美的重构(Perfect Reconstruction,PR)出来,η0是噪声项,紧接着合成复数QAM信号就可以解调出原始数据。Among them, * represents complex conjugate, In order to take the real part operation, <·|·> represents the inner product, if m=m', n=n', then δm,m' =1, δn,n' =1, otherwise it is 0, that is, if m≠m' or n≠n', then the inner product is a pure imaginary term. For the convenience of description, the inner product is used as express. Obviously, the signals between different sub-carriers and different symbols cause pure imaginary interference. Then, when the FBMC/OQAM modulated signal s(t) passes through a distortion-free channel, the received signal is sent by Synthesis Filter (SF) gm, n (t) matched to receive analysis filter bank (AnalysisFilter, AF) According to the simple operation of formula (3), the original transmitted real signal am,n can be perfectly reconstructed (Perfect Reconstruction, PR), η0 is the noise term, and then the complex QAM signal is synthesized The original data can be demodulated.
但实际中信道不是无失真的,众所周知信道通常因为多径而呈现频域选择性衰落和/或因为多普勒呈现时间选择性衰落,简单把信道冲击响应表示为||h||(norm)为幅度变化,为相位变化,假设信道在单位符号周期和单位子载波带宽上不变,用Hm,n表示信道h(t)在符号n时子载波m上的频率响应(frequency response),那么接收到的信号可以表示为:However, in practice the channel is not distortion-free. It is well known that the channel usually exhibits frequency-domain selective fading due to multipath and/or time-selective fading due to Doppler. The channel impulse response is simply expressed as ||h||(norm) is the amplitude change, For the phase change, assuming that the channel is unchanged in the unit symbol period and the unit subcarrier bandwidth, let Hm,n denote the frequency response of the channel h(t) on the subcarrier m at the symbol n, then the received Signals can be represented as:
毫无疑问这个复数的信道会破坏OQAM的实数域正交性,用解调am0,n0为例,如公式(5)所示,直接对ym0,n0进行取实部操作不能还原am0,n0,而必须进行额外的操作以消除或者最大程度地降低Hm,n对实数域正交性的破坏。There is no doubt that this complex channel will destroy the real-number domain orthogonality of OQAM. Taking demodulation am0, n0 as an example, as shown in formula (5), directly fetching the real part of ym0, n0 cannot restore am0 ,n0 , and additional operations must be performed to eliminate or minimize the destruction of the orthogonality of the real number domain by Hm,n .
上面的Im0,n0跟原型滤波器的聚焦特性设计相关,所以也称为固有干扰(intrinsicinterference),原型滤波器g函数的特性使得(m0,n0)上的固有干扰项中,只有周边有限的(m,n)≠(m0,n0)符号会带来不可忽略的影响而不是所有,也就是纯虚数的只有在有限的(m,n)≠(m0,n0)处其绝对值是比较大的不能忽略,其他的则非常小,近似为零或为零,那么相对噪声而言,后面的那部分完全可以忽略而只需要关注周边有限的那些符号。把不可以忽略的周边有限的(m,n)≠(m0,n0)取值用集合ΩΔm,Δn={(p,q),|p-m0|≤Δm,|q-n0|≤Δn}表示(这个集合跟原型滤波器函数的时频聚焦性是对应的),那么Im0,n0可以进一步改写为:The aboveIm0, n0 are related to the design of the focusing characteristics of the prototype filter, so it is also called intrinsic interference. The characteristics of the prototype filter g function make the inherent interference terms on (m0, n0), only the surrounding limited ( m,n)≠(m0,n0) symbols will bring non-negligible effects but not all, that is, pure imaginary numbers Only in the finite (m,n)≠(m0,n0), its absolute value is relatively large and cannot be ignored, and the others are very small, approximately zero or zero, then relative to noise, the latter part is completely It can be ignored and only need to focus on those symbols that are limited around. Use the set Ω Δm,Δn ={(p,q),|p-m0|≤Δm,|q-n0|≤Δn to use the set ΩΔm,Δn ={(p,q),|p-m0|≤Δm,|q-n0|≤Δn } represents (this set corresponds to the time-frequency focus of the prototype filter function), then Im0, n0 can be further rewritten as:
根据公式(5)和(6),可以很清楚的知道,要想通过简单的频域信道均衡来消除ξm0,n0而还原am0,n0,需要满足下面公式(7)条件,也就是虽然经过的是时变多径信道,但在ΩΔm,Δn所代表的局部范围内,需要信道是相关的,这也就是说原型滤波器的设计是要匹配信道特性的,时频聚焦性越好,那么对应的ΩΔm,Δn范围就越小,条件(7)就越容易满足。According to formulas (5) and (6), it can be clearly known that in order to eliminate ξm0,n0 and restore am0,n0 through simple frequency domain channel equalization, the following formula (7) needs to be satisfied, that is, although What passes through is a time-varying multipath channel, but within the local range represented by ΩΔm and Δn , the channel needs to be correlated, which means that the design of the prototype filter is to match the channel characteristics, and the better the time-frequency focus. , then the corresponding range of ΩΔm and Δn is smaller, and the condition (7) is easier to satisfy.
Hmo,no≈Hp,q,(p,q)∈ΩΔm,Δn (7)Hmo,no ≈Hp,q , (p,q)∈ΩΔm,Δn (7)
从而公式(5)所示的经过接收滤波器后的信号,可以近似成公式(8)的形式:Therefore, the signal after the receiving filter shown in formula (5) can be approximated to the form of formula (8):
那么只要对(m0,n0)处的信道频率响应进行均衡,就可以再通过取实部操作把发送的am0,n0还原出来。Then, as long as the channel frequency response at (m0, n0) is equalized, the sent am0, n0 can be restored by taking the real part operation.
综上,虽然FBMC/OQAM符号在时域上是部分重叠的和频域子载波也不像OFDM是复数域正交,OQAM实虚交替和原型滤波器的聚焦性设计使得解调信号输出在满足公式(7)的条件时,也可以通过简单的频域均衡把信道的影响消除,从而恢复实数域正交性,再通过取实部操作就可以解调出发送的信号。典型的OQAM信号均衡检测可用公式(9)来表示,其中SINR表示存在多用户干扰时的信干噪比。To sum up, although the FBMC/OQAM symbols are partially overlapping in the time domain and the frequency domain subcarriers are not quadrature in the complex domain unlike OFDM, the OQAM real-imaginary alternation and the focusing design of the prototype filter make the demodulated signal output meet the When the condition of formula (7) is satisfied, the influence of the channel can also be eliminated by simple frequency domain equalization, so as to restore the orthogonality in the real number domain, and then the transmitted signal can be demodulated by taking the real part operation. Typical OQAM signal equalization detection can be represented by formula (9), where SINR represents the signal-to-interference-to-noise ratio in the presence of multi-user interference.
||·||为取模操作 ||·|| is the modulo operation
对于下行或者上行单个用户传输来说,只要原型滤波器设计能匹配信道的时延拓展(Delay Spread)和/或多普勒频率延展(Doppler Frequency Spread),那么合理的设置子载波间隔和数据传输时间,公式(7)中的条件还是可以基本满足的,从而ICI和ISI可以忽略。然而本发明申请人认为对于FBMC/OQAM的上行多用户数据块传输,公式(7)的条件是比较难以满足的,因为上行不同用户的信号到达基站所经历的信道一般都是不相关的,所以频域上有重叠的不同用户时域相邻的集合ΩΔn={|q-n0|≤Δn}难以认为是相关的,这也正是FBMC/OQAM的拖尾在上行多用户数据块传输时需要有效的方案做特别处理的原因。For downlink or uplink single user transmission, as long as the prototype filter design can match the delay spread (Delay Spread) and/or Doppler Frequency Spread (Doppler Frequency Spread) of the channel, then the subcarrier spacing and data transmission should be set reasonably time, the condition in formula (7) can be basically satisfied, so ICI and ISI can be ignored. However, the applicant of the present invention believes that for the uplink multi-user data block transmission of FBMC/OQAM, the condition of formula (7) is relatively difficult to satisfy, because the channels experienced by the signals of different uplink users reaching the base station are generally irrelevant, so It is difficult to consider that the adjacent sets of different users in the frequency domain that overlap in the time domain ΩΔn = {|q-n0|≤Δn} are related, which is exactly the tailing of FBMC/OQAM when the uplink multi-user data block is transmitted. Reasons for needing an effective program for special treatment.
下面先说明拖尾问题。通信系统资源通常是按照时间频率划分成时间频率单元(resource grid),然后把这些最小的时间频率单元组成易于调度的基本资源块。例如通信标准说的传输时间间隔(transmission time interval,TTI)或者子帧(subframe,也称burst)就是说的时间上以基本资源块传输的概念;频域上则以带宽的大小来定义基本资源块的概念,例如若干个子载波,最终用户的数据块是映射到资源块上传输的。OFDM因为采用的是矩形波形,所以在一个资源块上各符号是紧接着排列的并没有重叠,而FBMC/OQAM因为采用的原型滤波器的长度比较长,虽然是每隔τ0发送一个符号,但是每个符号的长度却不是跟OFDM一样跟符号周期吻合而是超过了许多,这样多个符号组成的数据块就会出现前后各有一部分拖尾。如图2(a)所给出的子载波0上原型滤波器的波形,数据子帧burst1为第一个用户传输的数据块,数据子帧burst 2为第二个用户的数据块,数据子帧burst 3为第三个用户的数据块,长度都为LB,包含若干个OQAM符号,每个burst的拖尾包含了长度都为LT的前尾(pre-tail)和后尾(post-tail)两部份,拖尾长度取决于原型滤波器的长度,可以看到拖尾导致数据块的波形有重叠,那么带来的干扰就需要解决;而图2(b)所给出的是用户的数据块波形没有重叠情况,这个时候就需要减少每个数据块中要发的OQAM符号,那么这样就造成了浪费;图2(c)给出的是用户的数据块波形是部分重叠的情况,在实际设计中可以作为折衷考虑。另外如果通过拖尾截断来避免浪费的话,会导致波形失真从而会额外引入ICI,这种方式需要很好的评估可实现的频谱效率后慎重采用。Next, the tailing problem will be explained first. Communication system resources are usually divided into time-frequency units (resource grids) according to time-frequency, and then these minimum time-frequency units are composed of basic resource blocks that are easy to schedule. For example, in the communication standard, the transmission time interval (TTI) or subframe (subframe, also known as burst) refers to the concept of transmitting basic resource blocks in time; in the frequency domain, basic resources are defined by the size of the bandwidth. The concept of blocks, such as several subcarriers, the data blocks of the end user are mapped to resource blocks for transmission. Because OFDM uses a rectangular waveform, the symbols on a resource block are arranged next to each other and do not overlap, while FBMC/OQAM uses a relatively long prototype filter, although it sends a symbol every τ0 , However, the length of each symbol is not consistent with the symbol period like OFDM, but exceeds a lot, so that a data block composed of multiple symbols will appear with a part of trailing before and after. Figure 2(a) shows the waveform of the prototype filter on
针对上述问题,本发明提出一种可配置预均衡的FBMC/OQAM系统及该系统的信号发送和接收方法,图3给出了本发明的示意图,下面结合图3描述本发明FBMC/OQAM系统的工作原理:In view of the above problems, the present invention proposes a configurable pre-equalization FBMC/OQAM system and a signal transmission and reception method for the system. FIG. 3 shows a schematic diagram of the present invention. The following describes the FBMC/OQAM system of the present invention with reference to FIG. 3 working principle:
a)控制信令处理单元(302)从网络调度器(301)获取调度控制信令,也称为调度授权信令(scheduling grant),所述调度授权信令至少包含资源分配和映射信息以及预均衡配置信息。较佳地,资源分配和映射信息用于指示发送数据时所用的资源块的时间频率位置、单位资源块或者子帧burst上的OQAM符号数以及发送数据到资源块的映射;预均衡配置信息用于指示在相应资源上发送数据时是否开启预均衡,进一步地,如果开启预均衡,还可以配置预均衡方式,或者也可以预先规定预均衡方式。预均衡方式可以包括:基于信道互易性(Channel Reciprocity)对幅度和相位都进行预均衡,或者,基于信道互易性只对相位进行预均衡,或者,基于有限反馈(limited feedback)只对相位进行预均衡;预均衡方式相应地确定了预均衡参数Wpre。进一步地,配置了预均衡和不配置预均衡时单位资源块或者子帧burst上OQAM符号数的设定为不同的,即:可以配置预均衡开启时和关闭时所采用的子帧类型信息,所述子帧类型信息指示子帧中发送符号的个数和首个符号的发送时刻。也就是可设置不同的子帧类型,不同的子帧类型上拖尾伸出子帧外的长度不同,其通过设置单位子帧上传输的OQAM符号数来实现,配置了预均衡和不配置预均衡分别使用不同的子帧类型。a) The control signaling processing unit (302) acquires scheduling control signaling, also called scheduling grant signaling, from the network scheduler (301), where the scheduling grant signaling at least includes resource allocation and mapping information and pre-determined information. Balance configuration information. Preferably, the resource allocation and mapping information is used to indicate the time-frequency position of the resource block used when sending the data, the number of OQAM symbols on the unit resource block or subframe burst, and the mapping of the sent data to the resource block; the pre-equalization configuration information is used for It is used to indicate whether to enable pre-equalization when sending data on the corresponding resource. Further, if pre-equalization is enabled, a pre-equalization mode may also be configured, or a pre-equalization mode may also be pre-specified. The pre-equalization method may include: pre-equalizing both amplitude and phase based on channel reciprocity, or pre-equalizing only phase based on channel reciprocity, or pre-equalizing only phase based on limited feedback (limited feedback) Pre-equalization is performed; the pre-equalization method determines the pre-equalization parameter Wpre accordingly. Further, when pre-equalization is configured and pre-equalization is not configured, the setting of the number of OQAM symbols on the unit resource block or subframe burst is different, that is, the subframe type information used when pre-equalization is turned on and off can be configured, The subframe type information indicates the number of transmitted symbols in the subframe and the transmission moment of the first symbol. That is to say, different subframe types can be set. Different subframe types have different lengths of the trailing out of the subframe. This is achieved by setting the number of OQAM symbols transmitted on a unit subframe. Pre-equalization and no pre-configuration are configured. Equalization uses different subframe types respectively.
b)信号源(303)根据分配的资源准备好待发送的数据,该数据为实数信号,用am,n表示。b) The signal source (303) prepares the data to be sent according to the allocated resources, and the data is a real number signal, which is represented by am,n .
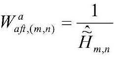
c)预均衡开关(304)根据从302获得的预均衡配置信息来确定是否对303输出的实数信号am,n在进行OQAM调制前进行预均衡。当配置为不开启预均衡时,实数信号通过串/并转换后直接到发送合成滤波器组(306)进行OQAM调制,此时输出s(t)可用公式(1)表示;当配置为开启预均衡时,预均衡参数生成单元(305)根据获取的信道状态信息以及配置的预均衡方式,生成预均衡参数(pre-equalization coefficients)Wpre,先由所述预均衡参数对am,n进行预先处理,然后再到306进行OQAM调制,生成OQAM信号s(t),目的是使该信号s(t)通过信道后还趋近满足OQAM的实数域正交性,也就是针对信道进行预均衡,从而使得他们合成的等效信道频率响应为实数或虚部很小可以忽略,即其中表示实数,≌表示等于或者趋近,H为信道频率响应;或者使得相邻burst上不同用户的等效信道频率响应的相位尽量接近,从而减少拖尾重叠带来的干扰。其中:c) The pre-equalization switch (304) determines, according to the pre-equalization configuration information obtained from 302, whether to perform pre-equalization on the real signal am,n output by 303 before performing OQAM modulation. When the configuration is not to enable pre-equalization, the real signal is directly sent to the transmit synthesis filter bank (306) for OQAM modulation after serial/parallel conversion. At this time, the output s(t) can be represented by formula (1); when the configuration is to enable pre-equalization During equalization, the pre-equalization parameter generation unit (305) generates pre-equalization parameters (pre-equalization coefficients) Wpre according to the acquired channel state information and the configured pre-equalization mode, and first performs the pre-equalization parameters on am and n . Pre-processing, and then go to 306 for OQAM modulation to generate an OQAM signal s(t), the purpose is to make the signal s(t) approach the real number domain orthogonality of OQAM after passing through the channel, that is, pre-equalization for the channel , so that their synthesized equivalent channel frequency response is a real number or the imaginary part is very small and can be ignored, i.e. in Represents a real number, ≌ represents equal to or approaching, H is the channel frequency response; or the equivalent channel frequency response of different users on adjacent bursts The phases are as close as possible to reduce the interference caused by the overlap of the trailing tails. in:
当预均衡方式为对幅度和相位都进行预均衡时,一般需要基于信道互易性获得较全的信道状态信息用于生成预均衡参数Wpre,从而使得预均衡参数和信道频率响应合成的等效信道频率响应为实数或者虚部趋近于0,且等效信道频率响应的模趋近于1,即When the pre-equalization method is to pre-equalize both the amplitude and the phase, it is generally necessary to obtain more complete channel state information based on the channel reciprocity to generate the pre-equalization parameter Wpre , so that the pre-equalization parameter and the channel frequency response are synthesized, etc. The effective channel frequency response is a real number or the imaginary part approaches 0, and the modulus of the equivalent channel frequency response approaches 1, that is,
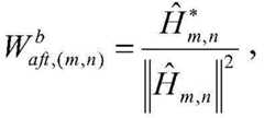
当预均衡方式为只对相位进行预均衡时,实际系统使用中可以基于信道互易性获得较全的信道状态信息用于生成预均衡参数Wpre或者基于有限反馈获取相位调整信息用于生成预均衡参数Wpre,前者可以使得预均衡参数和信道频率响应合成的等效信道频率响应为实数或者虚部趋近于0,且等效信道频率响应的模趋近于信道频率响应的模,即所以能极大消除信道对OQAM实数域正交性的破坏从而获得很好的性能,后者因为实际系统使用只能允许有限的反馈开销,所以只能尽量通过量化的相位调整来使得不同用户之间的等效合成信道的相位趋近相同,从而通过后均衡尽量减小信道对OQAM的实数域正交性的破坏,只获得次优的性能。When the pre-equalization method is to pre-equalize only the phase, in actual system use, relatively complete channel state information can be obtained based on channel reciprocity to generate the pre-equalization parameter Wpre or phase adjustment information can be obtained based on limited feedback to generate the pre-equalization parameter W pre The equalization parameter Wpre , the former can make the equivalent channel frequency response synthesized by the pre-equalization parameter and the channel frequency response be a real number or the imaginary part is close to 0, and the modulus of the equivalent channel frequency response is close to the modulus of the channel frequency response, that is Therefore, it can greatly eliminate the destruction of the orthogonality of the OQAM real number domain by the channel and obtain good performance. The latter can only allow limited feedback overhead due to the actual system use, so it is only possible to use quantized phase adjustment to make different users The phases of the equivalent synthetic channels between the two tend to be the same, so that the destruction of the real-number domain orthogonality of the OQAM by the channel is minimized through post-equalization, and only suboptimal performance is obtained.
预均衡后的s(t)可用公式(10)来表示。其中预均衡所用信道状态信息可以是通过反馈或者信道互易性(Channel Reciprocity)来获取。The pre-equalized s(t) can be expressed by equation (10). The channel state information used for pre-equalization may be obtained through feedback or channel reciprocity (Channel Reciprocity).
d)接收分析滤波器组(307)对接收到的通过了信道的OQAM信号r(t)进行OQAM解调,输出用ym,n表示。d) The reception analysis filter bank (307) performs OQAM demodulation on the received OQAM signal r(t) that has passed the channel, and the output is represented by ym,n .
e)根据网络调度器指示给发射机的预均衡配置信息,判断模块308判断是否对307输出的信号进行后均衡。当配置了在发送数据时进行预均衡,并且预均衡的方式为信道的幅度和相位都进行预均衡,则不对307的输出ym,n进行后均衡,而是直接到310进行取实部操作,从而获得估计出的发送信号当配置了在发送数据时进行预均衡,并且预均衡的方式为只对相位进行预均衡,则对307的输出ym,n还要进行后均衡此时后均衡为根据估计出的预均衡参数和信道频率响应合成的等效信道频率响应H~来生成后均衡参数进行均衡,所用后均衡参数(equalization coefficients)用Waaft表示,等效信道频率响应的估计可以通过接收机接收采用了跟数据相同的预均衡参数进行预均衡后的用于信道估计的参考信号来直接估计获取,或者接收机通过对未采用预均衡的参考信号先做信道估计再根据发射机采用的预均衡方式间接估计获取,均衡后的信号再到310进行取实部操作,从而获得估计出的发送信号当没有配置在发送数据时进行预均衡时,则对307的输出ym,n进行传统的对幅度和相位进行信道均衡,所用均衡参数用Wbaft表示,均衡后的信号再到310进行取实部操作,从而获得估计出的发送信号后均衡所需的信道状态信息可以通过已知的用于信道估计的导频信号来获取。e) According to the pre-equalization configuration information instructed by the network scheduler to the transmitter, the
下面通过几个较佳实施例对本申请技术方案进行进一步详细说明。The technical solution of the present application will be further described in detail below through several preferred embodiments.
具体实施例一Specific embodiment one
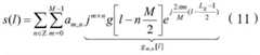
在实际实现中,基带信号是直接生成的离散(discrete-time)形式,其为连续信号在严格的抽样点上的抽样序列,也就是抽样频率满足抽样定理。FBMC/OQAM系统的离散基带信号可以用公式(11)来描述,公式(1)中变量t换成了抽样时刻l:In actual implementation, the baseband signal is a directly generated discrete-time form, which is a sampling sequence of a continuous signal at a strict sampling point, that is, the sampling frequency satisfies the sampling theorem. The discrete baseband signal of the FBMC/OQAM system can be described by formula (11), where the variable t in formula (1) is replaced by the sampling time l:
其中,Lg为原型滤波器的长度,一般Lg=KM,或KM-1或KM+1,K为重叠因子,是为了保证是因果系统。特别说明,本发明不涉及具体的原型滤波器设计,图2(a)示意的原型滤波器波形仅为举例,为近似满足公式(2)的原型滤波器函数,其时域抽头系数为Among them, Lg is the length of the prototype filter, generally Lg =KM, or KM-1 or KM+1, and K is the overlap factor, in order to ensure that it is a causal system. In particular, the present invention does not involve a specific prototype filter design, and the prototype filter waveform shown in Figure 2(a) is only an example, which is a prototype filter function that approximately satisfies the formula (2), and its time domain tap coefficient is
在本实施例中,我们给定FBMC/OQAM系统为时分双工(Time Division Duplex,TDD)系统,其参数为子载波个数M=512,子载波间隔ν0=15khz,抽样频率为7.68Mhz,重复因子K=4,原型滤波器的长度Lg=2048个抽样样点(sample)。另外关于burst类型,我们设定两种不同的类型:分别称为扩展子帧(Extended Burst,EB)和非扩展子帧(Non-extendedburst,NEB),EB和NEB的burst长都为0.4毫秒(ms),也就是3072个samples,另外说明EB和NEB的长度也是可以预设置成不同的,或者说系统可以支持多种子帧长度,本实施例为了方便说明,设置成了相同而已。如图2(a)所示,EB的长度LB=0.4ms=3072s amples,而每个burst前后各一个拖尾,长度都为每个EB包括12个符号,两边的拖尾是伸到burst之外的;而图2(b)中的burst类型就是NEB,burst长度也是LB=0.4ms=3072s amples,不过每个burst包括如图所设的6个符号,因为减少了6个符号,拖尾都在burst内,没有扩展到burst之外。请注意我们也可以按照图2(c)所示来设置burst类型,也就是每个burst包含8个符号,允许一部分拖尾伸展到burst外,因为拖尾部分的干扰已经比较小了,具体burst长度和符号数取决于系统设计的整体考虑。In this embodiment, we assume that the FBMC/OQAM system is a time division duplex (Time Division Duplex, TDD) system, and its parameters are the number of subcarriers M=512, the subcarrier spacing ν0 =15khz, and the sampling frequency is 7.68Mhz , the repetition factor K=4, and the length of the prototype filter Lg =2048 samples. In addition, regarding the burst type, we set two different types: the extended subframe (Extended Burst, EB) and the non-extended subframe (Non-extendedburst, NEB). The burst lengths of EB and NEB are both 0.4 milliseconds ( ms), that is, 3072 samples. In addition, it is indicated that the lengths of EB and NEB can also be preset to be different, or the system can support multiple subframe lengths. This embodiment is set to the same for convenience of description. As shown in Figure 2(a), the length of EB is LB =0.4ms=3072s amples, and there is a trailing tail before and after each burst, and the length is Each EB includes 12 symbols, and the trailing tails on both sides extend beyond the burst; the burst type in Figure 2(b) is NEB, and the burst length is also LB =0.4ms=3072s amples, but each burst includes The 6 symbols as shown in the figure, because the 6 symbols are reduced, the trailing is all within the burst, and does not extend beyond the burst. Please note that we can also set the burst type as shown in Figure 2(c), that is, each burst contains 8 symbols, allowing part of the trailing to extend outside the burst, because the interference of the trailing part is relatively small, the specific burst The length and number of symbols depend on overall system design considerations.
本实施例多用户调度器的调度选择中包含有表一所示的两种选择:The scheduling options of the multi-user scheduler in this embodiment include two options shown in Table 1:
表一Table I
为描述方便,我们假设M个子载波都用于用户数据传输而忽略资源分配和映射过程。For the convenience of description, we assume that all M subcarriers are used for user data transmission and ignore the resource allocation and mapping process.
当上述可配置预均衡的FBMC/OQAM TDD系统在配置为预均衡开启时(调度选项A),基带信号发送和接收分别为:When the above FBMC/OQAM TDD system with configurable pre-equalization is configured with pre-equalization enabled (scheduling option A), the baseband signal transmission and reception are:
发射机从网络调度器发送的调度控制信令获知其发送的信号需要进行预均衡、且采用EB的结构来发送信号,以及发射机根据TDD的信道互易性生成频域预均衡参数Wpre对发送信号进行预均衡再进行OQAM调制,图4给出了带预均衡的OQAM信号发送和接收的一种具体实现示意图。参见图4:The transmitter learns from the scheduling control signaling sent by the network scheduler that the signal it sends needs to be pre-equalized, and uses the EB structure to send the signal, and the transmitter generates the frequency domain pre-equalization parameter Wpre according to the channel reciprocity of TDD. The transmitted signal is pre-equalized and then OQAM modulated. FIG. 4 shows a schematic diagram of a specific implementation of OQAM signal transmission and reception with pre-equalization. See Figure 4:
在发送端,401为OQAM的复数QAM调制符号到实数PAM信号的转换模块,402为预均衡模块,403为OQAM调制采用快速傅里叶逆变换(Inverse Fast Fourier Transform,IFFT)加多相滤波器(Polyphase Filtering)的合成滤波器组实现模块,404为并\串转换模块。有预均衡的OQAM信号可以用公式(12)表示,如图4所示意,在进行IFFT之前,每个子载波上要发送的信号乘了参数Wpre,所述预均衡参数是为了避免时变多径信道破坏OQAM的实数域正交特性,从而发射机根据信道互易性估计得到在符号n时子载波m上的频率响应按照公式(13)生成,公式(13)也可叫做匹配预均衡算法,也就是对估计的信道取共轭然后处于估计信道的模的平方。At the transmitting end, 401 is a conversion module from OQAM complex QAM modulation symbols to real PAM signals, 402 is a pre-equalization module, and 403 is an OQAM modulation using Inverse Fast Fourier Transform (IFFT) plus a polyphase filter (Polyphase Filtering) synthesis filter bank realization module, 404 is a parallel\serial conversion module. The OQAM signal with pre-equalization can be expressed by formula (12), as shown in Figure 4, before performing IFFT, the signal to be sent on each sub-carrier is multiplied by the parameter Wpre , the pre-equalization parameter is to avoid time-varying The path channel destroys the real-number domain orthogonality of OQAM, so that the transmitter estimates the frequency response on subcarrier m at symbol n according to the channel reciprocity. Generated according to formula (13), formula (13) can also be called a matching pre-equalization algorithm, that is, taking the conjugate of the estimated channel and then taking the square of the modulus of the estimated channel.
||·||为取模运算(13) ||·|| is the modulo operation (13)
在接收端,405为串/并转换模块,406为跟403匹配的接收合成滤波组实现模块,407为取实部操作模块,408为实数到复数转换模块,其操作为对应于模块401的逆操作。接收机接收到的通过了信道的OQAM信号r(l)可以用公(14)来表示:At the receiving end, 405 is a serial/parallel conversion module, 406 is a receiving synthesis filter bank implementation module matched with 403, 407 is a real-part operation module, 408 is a real-to-complex conversion module, and its operation is corresponding to the inverse of
根据公式(14)可以知道,在信道估计误差小于某范围的情况下,跟实际信道Hm,n之间可以认为相等,那么合成的等效信道频率响应从而接收机的406模块对接收到的r(l)进行解调,以(m0,n0)上的输出为ym0,n0为例,如公式(15)所示,很显然根据原型滤波器的设计,后面那项我们可以认为是虚数,所以接收机根据网络调度器之前给发射机配置的预均衡信息,直接把从模块406的输出ym,n输入到模块407进行取实部操作,就可以发射信号According to formula (14), it can be known that when the channel estimation error is less than a certain range, can be considered equal to the actual channel Hm,n , then the synthetic equivalent channel frequency response Therefore, the 406 module of the receiver demodulates the received r(l). Taking the output on (m0,n0) as ym0,n0 as an example, as shown in formula (15), it is obvious that according to the prototype filter Design, the latter item can be regarded as an imaginary number, so the receiver directly inputs the output ym,n from the
很显然地,通过上述预均衡方案描述,我们可以看出即使不同的用户采用图2(a)所示的基于EB的多用户时分复用,拖尾也不会因为信道不满足公式(7)而造成严重干扰,也就是说只要各用户的发送信号根据信道做好预均衡,就可以允许拖尾伸展到burst之外,采用EB这样的方式传输,可以保证频谱效率最大化。Obviously, from the description of the above pre-equalization scheme, we can see that even if different users use the EB-based multi-user time division multiplexing shown in Figure 2(a), the tailing will not be caused by the channel not satisfying formula (7) And cause serious interference, that is to say, as long as the transmitted signals of each user are pre-equalized according to the channel, the smear can be allowed to extend beyond the burst, and the EB transmission can ensure maximum spectral efficiency.
当然,预均衡是基于信道估计比较准的情况下,性能可以得到保证。当网络负载比较低的时候,为了保障各用户的服务质量(Quality of service,Qos),网络可以配置基于NEB的不做预均衡的FBMC/OQAM信号发送(调度选项B),此时OQAM信号的发送如图5所示,相比图4,少了一个预均衡模块,多了一个501所示的后均衡模块,发射机发送信号就是公式(11)所示的形式。如图2(b)所示,因为用户采用了NEB传输,不同用户之间没有重叠,所以不需要考虑不同用户间的信道是否满足公式(7)的问题,而对于单个用户来说,自己burst上的重叠信号因为可以满足公式(7)的条件,所以各用户接收机只需要针对自己合成滤波器组的输出ym,n做均衡就可以还原发送信号,以(m0,n0)上的输出为ym0,n0为例,其形式就是公式(8),那么发射机的501模块只要根据估计的信道生成均衡参数即可,此时后均衡方式为传统的信道均衡,可以是最小均方误差(Minimum mean square error,MMSE)均衡或匹配滤波均衡等,以匹配滤波均衡为例,设置然后用该参数对ym,n进行均衡,再进行取实部操作就可以还原发送信号,即Of course, pre-equalization is based on accurate channel estimation, and the performance can be guaranteed. When the network load is relatively low, in order to ensure the quality of service (Qos) of each user, the network can configure NEB-based FBMC/OQAM signal transmission without pre-balancing (scheduling option B). The transmission is shown in Figure 5. Compared with Figure 4, there is one less pre-equalization module and one more post-equalization module shown in 501. The transmitter sends the signal in the form shown in formula (11). As shown in Figure 2(b), because users adopt NEB transmission, there is no overlap between different users, so there is no need to consider whether the channel between different users satisfies the problem of formula (7), and for a single user, its own burst Because the overlapped signal on y can satisfy the condition of formula (7), each user receiver only needs to equalize the output ym,n of its own synthetic filter bank to restore the transmitted signal, and use the output on (m0, n0) to restore the transmitted signal. Take ym0,n0 as an example, its form is formula (8), then the 501 module of the transmitter only needs to be based on the estimated channel It is enough to generate equalization parameters. At this time, the post-equalization method is traditional channel equalization, which can be minimum mean square error (MMSE) equalization or matched filter equalization. Taking matched filter equalization as an example, set Then use this parameter to equalize ym, n , and then perform the real part operation to restore the transmitted signal, that is,
从本实施例我们可以参考,本申请所述可配置预均衡的OQAM信号发送方案给网络调度提供了灵活性,在网络高负载的情况下可以尽量保证频谱效率,在网络负载低的时候又可以改为尽量保障用户服务质量。对于burst不长的情况,例如本实施例中burst为0.4ms,拖尾的长度大约为0.1167ms,占比非常大,如果要完全避免拖尾重叠会带来很大的频谱效率损耗,所以之前普遍认为FBMC系统不适合基于短burst的传输,而通过预均衡完全可以打破之前的技术偏见,进一步拓展FBMC/OQAM的应用范围。From this embodiment, we can refer to that the configurable pre-balanced OQAM signal transmission scheme described in this application provides flexibility for network scheduling, which can ensure the spectral efficiency as much as possible in the case of high network load, and can ensure the spectral efficiency when the network load is low. Instead, try to ensure the quality of user service. For the case where the burst is not long, for example, the burst is 0.4ms in this embodiment, and the length of the trailing is about 0.1167ms, which accounts for a very large proportion. If the overlap of the trailing trails is to be completely avoided, it will bring a great loss of spectral efficiency. Therefore, the previous It is generally believed that the FBMC system is not suitable for transmission based on short bursts, and pre-equalization can completely break the previous technical prejudice and further expand the application scope of FBMC/OQAM.
具体实施例二Specific embodiment two
在本实施例中,我们考虑一种FBMC/OQAM为频分双工(Frequency DivisionDuplex,FDD)系统。同实施例一一样,burst也分成EB和NEB两种,参数设置同实施例一。本实施例中调度器的上行发送调度选择中包含有表二所示的两种选择:In this embodiment, we consider a FBMC/OQAM as a frequency division duplex (Frequency Division Duplex, FDD) system. Like the first embodiment, the burst is also divided into two types: EB and NEB, and the parameter settings are the same as those of the first embodiment. In this embodiment, the uplink transmission scheduling options of the scheduler include two options shown in Table 2:
表二Table II
本实施例中假设发射机可以通过多根发射天线进行波束赋形使得发射的波束具有很好的方向性,从而波准(boresight)方向上为能量最强径且大部分能量集中在这里,在接收机处接收到该条能量最大径时接收机估计的信道冲击响应(时域)可以简化表示为||h||(norm)为幅度,为传播时延引起的相位变化系数,接收机在反馈信道上获取反馈的信道相位指示其为对中θ进行量化,采用有限比特在反馈信道上发送,例如360度的信道方向情况下,6比特和8比特可以表征粒度为5.625度和1.5度的信道方向信息,这个粒度对于大部分波束赋形的空间辨析度来说是足够的。即使该条能量最大径具有反射路径,假设我们存在接收波束赋形,我们还是可以把能接收到的多条主要路径等效成一个角度上接收到的路径,从而还是用来简化表征。In this embodiment, it is assumed that the transmitter can perform beamforming through multiple transmit antennas, so that the transmitted beam has good directivity, so that the boresight direction is the path with the strongest energy and most of the energy is concentrated here. The channel impulse response (time domain) estimated by the receiver when the maximum energy path is received at the receiver can be simplified as ||h||(norm) is the amplitude, is the phase variation coefficient caused by the propagation delay, the receiver obtains the feedback channel phase indication on the feedback channel its right Quantization is carried out in θ, and limited bits are used to send on the feedback channel. For example, in the case of a 360-degree channel direction, 6 bits and 8 bits can represent channel direction information with a granularity of 5.625 degrees and 1.5 degrees. This granularity is used for most beamforming. is sufficient for the spatial resolution. Even if the maximum energy path has a reflection path, assuming we have receive beamforming, we can still equate the multiple main paths that can be received as paths received at an angle, so we can still use to simplify the representation.
当配置为预均衡开启时(调度选项C),基带信号发送和接收分别为:When the configuration is pre-equalization enabled (scheduling option C), the baseband signal transmission and reception are:
发射机从网络调度器发送的调度控制信令获知其发送的信号需要进行预均衡且为只针对相位做预均衡、采用EB的结构来发送信号。The transmitter learns from the scheduling control signaling sent by the network scheduler that the signal it sends needs to be pre-equalized, and uses the EB structure to send the signal in order to perform pre-equalization only for the phase.
发射机根据网络调度器的指示,通过反馈信道获取接收机反馈的量化的得到(时域),发射机把该信道相位信息转换成信道在(m,n)上的频率相位响应系数下面用离散傅里叶变换(DFT)来表示频域转换,注:等效的,这里反馈信道也可以直接反馈信道的频率相位响应来直接生成进一步的,所述反馈信道可以作为传统上行调度授权信令(uplink scheduling request)的一部分,也就是新增一个相位指示比特域;也可以新设立下行反馈信道用于基站把信道相位指示反馈给终端。The transmitter obtains the quantized feedback from the receiver through the feedback channel according to the instructions of the network scheduler. get (time domain), the transmitter converts the channel phase information Converted to the frequency-phase response coefficient of the channel at (m,n) The frequency domain transformation is represented by discrete Fourier transform (DFT) below. Note: Equivalently, the feedback channel can also directly feedback the frequency and phase response of the channel to directly generate Further, the feedback channel may be used as a part of the traditional uplink scheduling request signaling (uplink scheduling request), that is, a new phase indication bit field may be added; a downlink feedback channel may also be newly established for the base station to feed back the channel phase indication to the terminal. .
发射机根据生成频域预均衡参数Wpre对发送信号进行预均衡再进行OQAM调制,图6给出了本实施例的预均衡OQAM信号发送和接收的一种具体实现示意图。跟图4相比,601的均衡模块生成预均衡参数的方式不同,同时增加了602的后均衡模块,其它模块与图4的对应模块相同。发射机生成的预均衡的OQAM信号和601模块生成的预均衡参数可以分别用实施例一中的公式(12)和下面的(16)表示:transmitter according to A frequency domain pre-equalization parameter Wpre is generated to pre-equalize the transmitted signal and then perform OQAM modulation. FIG. 6 shows a schematic diagram of a specific implementation of the pre-equalization OQAM signal transmission and reception in this embodiment. Compared with FIG. 4 , the equalization module of 601 generates pre-equalization parameters in a different manner, and a post-equalization module of 602 is added at the same time, and other modules are the same as the corresponding modules in FIG. 4 . The pre-equalized OQAM signal generated by the transmitter and the pre-equalization parameters generated by the 601 module can be expressed by the formula (12) in the first embodiment and the following (16) respectively:
接收机接收到的通过了信道的OQAM信号r(l)可以用公式(17)来表示:The OQAM signal r(l) received by the receiver through the channel can be expressed by equation (17):
根据公式(17),如果存在一条能量非常集中的主路径,在信道方向信息的估计误差和量化误差小于一定的范围的情况下,估计的信道方向和实际信道的方向近似,从而也就是相位近似,那么合成的等效信道频率响应将趋近实数,也就是虚部很小,可以忽略,接收机对r(l)进行解调,以(m0,n0)上的输出为ym0,n0为例,我们可以知道合成滤波器组的ym,n是近似满足实数域正交的,如公式(18)所示,公式中的第二项可以认为也是虚数了。According to formula (17), if there is a main path with very concentrated energy, when the estimation error and quantization error of the channel direction information are less than a certain range, the estimated channel direction is similar to the actual channel direction, which is the phase approximation , then the synthetic equivalent channel frequency response will approach a real number, that is, the imaginary part is small and can be ignored, The receiver demodulates r(l), taking the output on (m0, n0) as ym0, n0 as an example, we can know that ym, n of the synthetic filter bank is approximately orthogonal to the real number domain, such as As shown in formula (18), the second term in the formula can also be considered as an imaginary number.
接收机知道发射机只对相位做了预均衡,所以接收机的602模块根据估计的信道频率响应对表达形式如公式(18)所示的ym,n根据合成的等效信道频率响应进行后均衡,接收机通过接收采用了预均衡处理的用于信道估计的参考信号直接估计获得等效信道频率响应或者接收机通过接收未采用预均衡处理的参考信号获取以及接收机知道发射机用采用的从而间接知道也就是生成后均衡参数然后跟ym,n相乘,再进行取实部操作就可以得到发射信号The receiver knows that the transmitter only performs pre-equalization on the phase, so the 602 module of the receiver performs a post-processing according to the estimated channel frequency response to ym,n expressed in formula (18) according to the synthesized equivalent channel frequency response. Equalization, the receiver directly estimates the equivalent channel frequency response by receiving the reference signal used for channel estimation with pre-equalization processing Or the receiver obtains by receiving the reference signal without pre-equalization processing and the receiver knows that the transmitter uses to know indirectly That is, the post-generation equalization parameters Then multiply with ym, n , and then perform the real part operation to get the transmitted signal
可以看到预均衡和后均衡分别对相位和幅度进行处理,可以减少反馈量的需求。此外反馈信道方向信息(时域)而不是直接反馈频域的信道相位可以进一步降低反馈开销,只是在发射机需通过傅里叶变换来生成频域上的信道相位,不过这项操作的复杂度很低。It can be seen that the pre-equalization and post-equalization process the phase and amplitude respectively, which can reduce the need for feedback. In addition, feeding back the channel direction information (time domain) instead of directly feeding back the channel phase in the frequency domain can further reduce the feedback overhead, but the transmitter needs to generate the channel phase in the frequency domain through Fourier transform, but the complexity of this operation very low.
当配置为预均衡关闭时(调度选项D),其处理与实施例一的调度选项B的处理相同,在此不重复叙述。When pre-equalization is configured to be disabled (scheduling option D), the processing is the same as the processing of scheduling option B in the first embodiment, and the description is not repeated here.
具体实施例三Specific embodiment three
在本实施例中,我们考虑一种FBMC/OQAM为频分双工(Frequency DivisionDuplex,FDD)系统。同实施例一一样,burst也分成EB和NEB两种,参数设置同实施例一。本实施例中调度器的上行发送调度选择中包含有表三所示的两种选择:In this embodiment, we consider a FBMC/OQAM as a frequency division duplex (Frequency Division Duplex, FDD) system. Like the first embodiment, the burst is also divided into two types: EB and NEB, and the parameter settings are the same as those of the first embodiment. In this embodiment, the uplink transmission scheduling options of the scheduler include two options shown in Table 3:
表三Table 3
本实施例中假设发射机采用全向发射天线过一个时变多径信道,t时刻的信道冲击响应可以简单用公式(19)表示:In this embodiment, it is assumed that the transmitter uses an omnidirectional transmitting antenna to pass through a time-varying multipath channel, and the channel impulse response at time t can be simply expressed by formula (19):
其中,fDn为第n条径的多普勒频移;θn为第n条径的传输时延引起的相移;τn为第n条径相对第一条到达径的相对时延,而Cn(t)为第n条径的复增益;δ为Dirac Delta函数。从这个公式可看出,对于这样的存在能量分散的多径信道,直接反馈时域信道状态信息来重构信道冲击响应相位信息是不现实的,开销特别大。但是根据多径信道时延拓展,我们可以在频域把信道划分成不同的相关子带,每个子带我们可以假设信道的频率响应基本相同,从而可以从频域角度基于子带反馈来量化信道频率相位响应,每个子带可以反馈一个相位指示,该相位指示可以用于重构该子带上相应的各子载波的频率相位响应系数利用基于子带重构的信道频率相位响应系数可以用于生成所分配带宽上使用的预均衡参数举例来说,我们可以把多径信道的信道冲击响应变换到频域,简单用公式(20)来表示:Among them, fDn is the Doppler frequency shift of the n-th path; θn is the phase shift caused by the transmission delay of the n-th path; τn is the relative delay of the n-th path relative to the first arrival path, And Cn (t) is the complex gain of the nth path; δ is the Dirac Delta function. It can be seen from this formula that for such a multipath channel with energy dispersion, it is unrealistic to directly feed back the time-domain channel state information to reconstruct the channel impulse response phase information, and the overhead is particularly large. However, according to the multipath channel delay expansion, we can divide the channel into different correlated subbands in the frequency domain. For each subband, we can assume that the frequency response of the channel is basically the same, so that the channel can be quantified based on the subband feedback from the frequency domain perspective. Frequency phase response, each subband can feed back a phase indication, which can be used to reconstruct the frequency phase response coefficients of the corresponding subcarriers on the subband Channel frequency phase response coefficients using subband based reconstruction can be used to generate pre-equalization parameters for use over the allocated bandwidth For example, we can transform the channel impulse response of a multipath channel to the frequency domain, which is simply expressed by equation (20):
其中,||H(f)||表示频率幅度响应(也称幅频响应),表示频率相位响应(也称相频响应),表示相应的复数频率相位响应系数。根据信道相关带宽把频域划分成N个子带,我们把频率相位影响划分成k段针对每段频率fk,我们认为是线性变化的,从而我们可以用一个量化的相位指示来进行有限反馈,根据这个相位指示我们可以重构属于频段fk内的各子载波的频率相位变化系数该参数用于生成预均衡参数Wpre。Among them, ||H(f)|| represents the frequency amplitude response (also called the amplitude-frequency response), represents the frequency-phase response (also called the phase-frequency response), represents the corresponding complex frequency-phase response coefficient. The frequency domain is divided into N sub-bands according to the channel correlation bandwidth, and we divide the frequency-phase effects into k segments For each frequency fk , we consider is linear, so that we can use a quantized phase indicator For limited feedback, according to this phase indication, we can reconstruct the frequency-phase variation coefficient of each sub-carrier belonging to the frequency band fk This parameter is used to generate the pre-equalization parameter Wpre .
举例说明,当配置为预均衡开启时(调度选项E),基带信号发送和接收分别为:For example, when the configuration is pre-equalization enabled (scheduling option E), the baseband signal transmission and reception are:
发射机从网络调度器发送的调度控制信令获知其发送的信号需要进行预均衡且为只针对相位做预均衡、采用EB的结构来发送信号。The transmitter learns from the scheduling control signaling sent by the network scheduler that the signal it sends needs to be pre-equalized, and uses the EB structure to send the signal in order to perform pre-equalization only for the phase.
发射机机根据网络调度器的指示,从反馈信道获取子带的相位指示发射机根据所分配的带宽包含的子带的情况,根据子带逐步重构频率相位响应系数再把各子带上的频率相位响应系数按照子带位置串起来得到这个所分配带宽上所有子载波的频率相位变化系统进一步的,所述反馈信道可以作为传统上行调度授权信令(uplink scheduling request)的一部分,也就是新增相位指示比特域;也可以新设立下行反馈信道用于基站把信道状态信息反馈给终端。The transmitter obtains the phase indication of the subband from the feedback channel according to the instruction of the network scheduler The transmitter gradually reconstructs the frequency phase response coefficient according to the subbands contained in the allocated bandwidth Then, the frequency phase response coefficients on each subband are concatenated according to the subband position to obtain the frequency phase variation system of all subcarriers in the allocated bandwidth. Further, the feedback channel can be used as a part of the traditional uplink scheduling request signaling (uplink scheduling request), that is, the newly added phase indication Bit field; a downlink feedback channel can also be newly established for the base station to feed back channel state information to the terminal.
发射机根据生成频域预均衡参数,如对发送信号进行预均衡再进行OQAM调制。接收机接收到的通过了信道的OQAM信号r(l)还是用公式(17)来表示:transmitter according to Generate frequency domain pre-equalization parameters such as The transmitted signal is pre-equalized and then OQAM modulated. The OQAM signal r(l) received by the receiver and passed through the channel is still expressed by formula (17):
结合公式(7)的条件和公式(17),只要相邻的符号上预均衡参数和信道频率响应合成的等效信道频率响应的相位变化系数趋近相同,可以减少信道破坏OQAM实数域正交性带来的干扰影响,即其中Δm,n是一个在相邻符号之间变化很小的值。接收机对r(l)进行解调,以(m0,n0)上的输出为ym0,n0为例,如公式(21)所示:Combined with the conditions of formula (7) and formula (17), as long as the phase variation coefficient of the equivalent channel frequency response synthesized by the pre-equalization parameters on adjacent symbols and the channel frequency response is close to the same, the channel damage can be reduced. OQAM real number domain quadrature The disturbing effects of sex, namely where Δm,n is a value that varies little between adjacent symbols. The receiver demodulates r(l), taking the output on (m0,n0) as ym0,n0 as an example, as shown in formula (21):
基于的前提,根据公式(6),我们可以知道相邻符号之间的干扰通过进一步后均衡可以明显减少。我们把公式(21)可以进一步近似写为下面公式(22):based on The premise of , according to formula (6), we can know that the interference between adjacent symbols can be significantly reduced by further post-equalization. We can further approximate formula (21) as the following formula (22):
显然,接收机知道发射机只对相位做了预均衡,所以接收机的602模块根据估计的等效信道频率响应对表达形式如公式(22)所示的ym,n根据后均衡即可还原传输的数据,接收机可通过接收采用了预均衡处理的用于信道估计的参考信号直接估计获得等效信道频率响应从而生成后均衡参数用于后均衡操作,即跟ym,n相乘,再进行取实部操作就可以得到发射信号Obviously, the receiver knows that the transmitter only pre-equalizes the phase, so the 602 module of the receiver responds according to the estimated equivalent channel frequency For ym,n expressed in formula (22), the transmitted data can be restored according to post-equalization, and the receiver can directly estimate the equivalent channel frequency by receiving the reference signal used for channel estimation with pre-equalization processing. response Thereby generating the post-equalization parameters It is used for the post-equalization operation, that is, multiplied by ym, n , and then the real part operation can be performed to obtain the transmitted signal
当配置为预均衡关闭时(调度选项F),其处理与实施例一的调度选项B的处理相同,在此不重复叙述。When pre-equalization is disabled (scheduling option F), the processing is the same as that of scheduling option B in
基于上述具体实施例,本申请提供了一种基于滤波器组的信号发送方法,包括:Based on the above specific embodiments, the present application provides a filter bank-based signal transmission method, including:
发射机获取预均衡配置信息,所述预均衡配置信息指示是否开启预均衡;The transmitter obtains pre-equalization configuration information, where the pre-equalization configuration information indicates whether to enable pre-equalization;
当预均衡配置信息指示开启预均衡时,发射机根据预均衡方式生成预均衡参数,并根据预均衡参数对发送信号进行预均衡操作,然后进行基于滤波器组的调制。When the pre-equalization configuration information indicates that pre-equalization is enabled, the transmitter generates pre-equalization parameters according to the pre-equalization method, performs pre-equalization operations on the transmitted signal according to the pre-equalization parameters, and then performs filter bank-based modulation.
对应于上述方法,本申请提供了一种基于滤波器组的发射机,包括:控制信令处理模块、预均衡开关、信源、预均衡参数生成模块和发送合成滤波器组,其中:Corresponding to the above method, the present application provides a filter bank-based transmitter, comprising: a control signaling processing module, a pre-equalization switch, a signal source, a pre-equalization parameter generation module, and a transmission synthesis filter bank, wherein:
控制信令处理模块,用于获取预均衡配置信息,所述预均衡配置信息指示是否开启预均衡;a control signaling processing module, configured to obtain pre-equalization configuration information, the pre-equalization configuration information indicating whether to enable pre-equalization;
当预均衡配置信息指示进行预均衡时,控制信令处理模块控制预均衡开关接通预均衡参数生成模块,信源产生的实数信号由预均衡参数生成模块所生成的预均衡参数进行预均衡处理后,再由发送合成滤波器组进行调制;When the pre-equalization configuration information indicates to perform pre-equalization, the control signaling processing module controls the pre-equalization switch to turn on the pre-equalization parameter generation module, and the real signal generated by the source is pre-equalized by the pre-equalization parameters generated by the pre-equalization parameter generation module. Then, it is modulated by the transmit synthesis filter bank;
当预均衡配置信息指示不进行预均衡时,控制信令处理模块控制预均衡开关接通发送合成滤波器组,信源产生的实数信号直接由发送合成滤波器组进行调制。When the pre-equalization configuration information indicates not to perform pre-equalization, the control signaling processing module controls the pre-equalization switch to turn on the transmit synthesis filter bank, and the real signal generated by the signal source is directly modulated by the transmit synthesis filter bank.
基于上述具体实施例,本申请还提供了一种基于滤波器组的信号接收方法,包括:Based on the above specific embodiments, the present application also provides a filter bank-based signal receiving method, including:
接收机根据指示给发射机的预均衡配置信息判断是否对基于滤波器组的解调信号进行后均衡;所述预均衡配置信息指示是否开启预均衡;The receiver judges whether to perform post-equalization on the demodulated signal based on the filter bank according to the pre-equalization configuration information indicated to the transmitter; the pre-equalization configuration information indicates whether to enable pre-equalization;
当预均衡配置信息指示开启预均衡,且预均衡方式为对幅度和相位都进行预均衡时,接收机不对基于滤波器组的解调信号进行后均衡;When the pre-equalization configuration information indicates that pre-equalization is enabled, and the pre-equalization mode is to perform pre-equalization on both amplitude and phase, the receiver does not perform post-equalization on the demodulated signal based on the filter bank;
当预均衡配置信息指示开启预均衡,且预均衡方式为只对相位进行预均衡时,接收机对基于滤波器组的解调信号根据预均衡参数和信道频率响应合成的等效信道频率响应进行后均衡;When the pre-equalization configuration information indicates that pre-equalization is enabled, and the pre-equalization method is to perform pre-equalization only on the phase, the receiver performs an equivalent channel frequency response on the demodulated signal based on the filter bank according to the pre-equalization parameters and the channel frequency response synthesis. post-equilibrium;
当预均衡配置信息指示不进行预均衡时,接收机对基于滤波器组的解调信号根据估计的信道频率响应进行幅度和相位后均衡。When the pre-equalization configuration information indicates that no pre-equalization is performed, the receiver performs amplitude and phase post-equalization on the demodulated signal based on the filter bank according to the estimated channel frequency response.
对应于上述方法,本申请提供了一种基于滤波器组的接收机,包括:接收分析滤波器组、后均衡开关、后均衡参数生成模块和取实部操作模块;其中:Corresponding to the above method, the present application provides a filter bank-based receiver, comprising: a reception analysis filter bank, a post-equalization switch, a post-equalization parameter generation module, and a real-part operation module; wherein:
所述后均衡开关根据指示给发射机的预均衡配置信息判断是否对接收分析滤波器组的解调信号进行后均衡;所述预均衡配置信息指示是否开启预均衡;The post-equalization switch determines whether to perform post-equalization on the demodulated signal of the received analysis filter bank according to the pre-equalization configuration information indicated to the transmitter; the pre-equalization configuration information indicates whether to enable pre-equalization;
当预均衡配置信息指示开启预均衡,且预均衡方式为对幅度和相位都进行预均衡时,后均衡开关接通接收分析滤波器组和取实部模块;When the pre-equalization configuration information indicates that pre-equalization is turned on, and the pre-equalization mode is to perform pre-equalization on both amplitude and phase, the post-equalization switch turns on the receive analysis filter bank and the real part acquisition module;
当预均衡配置信息指示开启预均衡,且预均衡方式为只对相位进行预均衡时,后均衡开关将预均衡方式发送给后均衡参数生成模块,并接通接收分析滤波器组和后均衡参数生成模块由后均衡参数生成模块生成均衡参数,并对接收分析滤波器组的解调信号根据预均衡参数和信道频率响应合成的等效信道频率响应进行后均衡处理后,发送给取实部模块;When the pre-equalization configuration information indicates that pre-equalization is enabled, and the pre-equalization mode is to pre-equalize only the phase, the post-equalization switch sends the pre-equalization mode to the post-equalization parameter generation module, and turns on the receiving analysis filter bank and the post-equalization parameters. The generation module generates the equalization parameters from the post-equalization parameter generation module, and performs post-equalization processing on the demodulated signal of the received analysis filter bank according to the equivalent channel frequency response synthesized by the pre-equalization parameters and the channel frequency response, and then sends it to the module for obtaining the real part. ;
当预均衡配置信息指示不进行预均衡时,后均衡开关接通接收分析滤波器组和后均衡参数生成模块,由后均衡参数生成模块生成均衡参数,并对接收分析滤波器组的解调信号根据估计的信道频率响应进行幅度和相位后均衡处理后,发送给取实部模块。When the pre-equalization configuration information indicates not to perform pre-equalization, the post-equalization switch turns on the receiving analysis filter bank and the post-equalization parameter generation module, and the post-equalization parameter generation module generates equalization parameters, and demodulates the demodulated signal of the reception analysis filter bank. After performing amplitude and phase post-equalization processing according to the estimated channel frequency response, it is sent to the module for obtaining the real part.
以上所述仅为本申请的较佳实施例而已,并不用以限制本申请,凡在本申请的精神和原则之内,所做的任何修改、等同替换、改进等,均应包含在本申请保护的范围之内。The above descriptions are only preferred embodiments of the present application, and are not intended to limit the present application. Any modifications, equivalent replacements, improvements, etc. made within the spirit and principles of the present application shall be included in the present application. within the scope of protection.
| Application Number | Priority Date | Filing Date | Title |
|---|---|---|---|
| US14/994,021US10476544B2 (en) | 2015-01-12 | 2016-01-12 | Signal transmission and receiving method, system and apparatus based on filter bank |
| PCT/KR2016/000278WO2016114548A1 (en) | 2015-01-12 | 2016-01-12 | Signal transmission and receiving method, system and apparatus based on filter bank |
| EP16737512.0AEP3245772A4 (en) | 2015-01-12 | 2016-01-12 | Signal transmission and receiving method, system and apparatus based on filter bank |
| Application Number | Priority Date | Filing Date | Title |
|---|---|---|---|
| CN2015100150906 | 2015-01-12 | ||
| CN201510015090 | 2015-01-12 |
| Publication Number | Publication Date |
|---|---|
| CN105991490A CN105991490A (en) | 2016-10-05 |
| CN105991490Btrue CN105991490B (en) | 2020-07-10 |
| Application Number | Title | Priority Date | Filing Date |
|---|---|---|---|
| CN201510083155.0AActiveCN105991490B (en) | 2015-01-12 | 2015-02-15 | Method, system and device for signal transmission and reception based on filter bank |
| Country | Link |
|---|---|
| EP (1) | EP3245772A4 (en) |
| CN (1) | CN105991490B (en) |
| Publication number | Priority date | Publication date | Assignee | Title |
|---|---|---|---|---|
| US20250097079A1 (en)* | 2023-09-19 | 2025-03-20 | Qualcomm Incorporated | Channel estimation reference signals for pre-equalization |
| Publication number | Priority date | Publication date | Assignee | Title |
|---|---|---|---|---|
| CN107968759B (en)* | 2016-10-18 | 2022-04-15 | 中兴通讯股份有限公司 | Data modulation method and device of multi-carrier system |
| CN107070836A (en)* | 2017-04-14 | 2017-08-18 | 蚌埠学院 | The design method of FBMC receive-transmit systems based on FRM technologies in a kind of 5G systems |
| EP3471360B1 (en)* | 2017-10-13 | 2020-03-04 | Institut Mines Telecom - IMT Atlantique - Bretagne - Pays de la Loire | Overlap-save fbmc receiver |
| US10447518B2 (en)* | 2017-12-15 | 2019-10-15 | Huawei Technologies Co., Ltd. | Methods for configurable non-orthogonal multiple access transmission |
| CN108600126A (en)* | 2018-01-18 | 2018-09-28 | 北京大学 | A kind of dual user down space division multiple access technology |
| CN108442969B (en)* | 2018-02-28 | 2019-07-09 | 中国矿业大学 | A joint robot and rescue method for underground rescue based on wireless CSI |
| CN111464472B (en)* | 2019-01-18 | 2022-10-11 | 王晋良 | Filter bank multi-carrier communication system based on discrete Hartley conversion |
| TWI722689B (en)* | 2019-11-29 | 2021-03-21 | 財團法人工業技術研究院 | Detector and interference cancellation method for spatial multiplexing filter bank multicarrier with offset quadrature amplitude modulation |
| CN115776313B (en)* | 2023-02-10 | 2023-07-04 | 极芯通讯技术(南京)有限公司 | Processing method and device for weakening carrier phase shift of broadband shortwave digital baseband signal |
| Publication number | Priority date | Publication date | Assignee | Title |
|---|---|---|---|---|
| EP1207662A1 (en)* | 2000-11-20 | 2002-05-22 | Sony International (Europe) GmbH | OFDM system with antenna diversity in the transmitter and pre-equalisation |
| GB2362077B (en)* | 1999-11-23 | 2004-04-21 | Adaptive Broadband Ltd | Precoder for data transmission |
| US6741551B1 (en)* | 1999-01-11 | 2004-05-25 | International Business Machines Corporation | Hybrid TDMA/CDMA system based on filtered multitone modulation |
| CN1732659A (en)* | 2002-12-31 | 2006-02-08 | 诺基亚公司 | Method and apparatus for filter bank based signal processing |
| CN1764174A (en)* | 2004-10-22 | 2006-04-26 | 三星电子株式会社 | Equalizer with overlapping filter clusters and method thereof |
| CN101242368A (en)* | 2008-03-05 | 2008-08-13 | 中科院嘉兴中心微系统所分中心 | Power distribution system and method in wireless sensor network based on collaborative transmission |
| CN101378380A (en)* | 2007-08-27 | 2009-03-04 | 三星电子株式会社 | Method of estimating inter-carrier interference (ICI) and ici mitigating equalizer |
| CN101536444A (en)* | 2006-09-29 | 2009-09-16 | 意大利电信股份公司 | Scrambled multicarrier transmission |
| CN101743729A (en)* | 2007-03-19 | 2010-06-16 | 先进通信网络股份有限公司 | Method for robust synchronization of a multi-carrier receiver using a filter bank and corresponding receiver and transceiver |
| Publication number | Priority date | Publication date | Assignee | Title |
|---|---|---|---|---|
| US20050201483A1 (en)* | 2004-03-12 | 2005-09-15 | Edmund Coersmeier | Error adjustment for multi-antenna transmitter |
| US7643549B2 (en)* | 2004-09-28 | 2010-01-05 | Broadcom Corporation | Wireless device having a hardware accelerator to support equalization processing |
| CN102870362B (en)* | 2010-01-08 | 2014-07-30 | 华为技术有限公司 | Method and device for reporting channel state information |
| US8693530B2 (en)* | 2010-02-05 | 2014-04-08 | Comcast Cable Communications, Llc | Modulation analysis and distortion identification |
| Publication number | Priority date | Publication date | Assignee | Title |
|---|---|---|---|---|
| US6741551B1 (en)* | 1999-01-11 | 2004-05-25 | International Business Machines Corporation | Hybrid TDMA/CDMA system based on filtered multitone modulation |
| GB2362077B (en)* | 1999-11-23 | 2004-04-21 | Adaptive Broadband Ltd | Precoder for data transmission |
| EP1207662A1 (en)* | 2000-11-20 | 2002-05-22 | Sony International (Europe) GmbH | OFDM system with antenna diversity in the transmitter and pre-equalisation |
| CN1732659A (en)* | 2002-12-31 | 2006-02-08 | 诺基亚公司 | Method and apparatus for filter bank based signal processing |
| CN1764174A (en)* | 2004-10-22 | 2006-04-26 | 三星电子株式会社 | Equalizer with overlapping filter clusters and method thereof |
| CN101536444A (en)* | 2006-09-29 | 2009-09-16 | 意大利电信股份公司 | Scrambled multicarrier transmission |
| CN101743729A (en)* | 2007-03-19 | 2010-06-16 | 先进通信网络股份有限公司 | Method for robust synchronization of a multi-carrier receiver using a filter bank and corresponding receiver and transceiver |
| CN101378380A (en)* | 2007-08-27 | 2009-03-04 | 三星电子株式会社 | Method of estimating inter-carrier interference (ICI) and ici mitigating equalizer |
| CN101242368A (en)* | 2008-03-05 | 2008-08-13 | 中科院嘉兴中心微系统所分中心 | Power distribution system and method in wireless sensor network based on collaborative transmission |
| Publication number | Priority date | Publication date | Assignee | Title |
|---|---|---|---|---|
| US20250097079A1 (en)* | 2023-09-19 | 2025-03-20 | Qualcomm Incorporated | Channel estimation reference signals for pre-equalization |
| Publication number | Publication date |
|---|---|
| CN105991490A (en) | 2016-10-05 |
| EP3245772A1 (en) | 2017-11-22 |
| EP3245772A4 (en) | 2017-12-27 |
| Publication | Publication Date | Title |
|---|---|---|
| CN105991490B (en) | Method, system and device for signal transmission and reception based on filter bank | |
| US10476544B2 (en) | Signal transmission and receiving method, system and apparatus based on filter bank | |
| CN106302300B (en) | Method and device for transmitting and receiving signals based on filter bank multi-carrier system | |
| CN105991257B (en) | Signal generation, transmission and reception method and device based on filter bank | |
| CN107306238B (en) | Receiving and transmitting method of carrier modulated signal and corresponding receiver and transmitter | |
| JP6122154B2 (en) | Pulse shaping orthogonal frequency division multiplexing | |
| CN107222442B (en) | Signal transmitting and receiving method and device in carrier modulation system based on filtering | |
| CN116170264A (en) | Signal transmission and reception method based on filtering and corresponding transmitter and receiver | |
| Zaidi et al. | A preliminary study on waveform candidates for 5G mobile radio communications above 6 GHz | |
| CN101056151B (en) | Multicast Unicast Compatible Orthogonal Frequency Division Time Division Multiplexing Transmitter, Receiver and Method | |
| KR102270405B1 (en) | Method and apparatus for transmitting and receiving preamble based reference signal | |
| Gerzaguet et al. | Comparative study of 5G waveform candidates for below 6 GHz air interface | |
| CN105847209B (en) | Communication method and device based on filter bank multi-carrier modulation | |
| CN107154907A (en) | Signal transmission and reception method based on filtering and corresponding transmitter and receiver | |
| Gerzaguet et al. | Block-filtered OFDM: A new promising waveform for multi-service scenarios | |
| Navita et al. | Performance analysis of OFDMA, MIMO and SC-FDMA technology in 4G LTE networks | |
| CN109565679B (en) | Complexity reduction for OFDM signal transmission | |
| US10128995B2 (en) | Filter bank multicarrier modulation-based signal transmitting method, signal receiving method and device | |
| EP3338421B1 (en) | Filter bank multicarrier modulation-based signal transmitting method, signal receiving method and device | |
| CN108900461A (en) | A kind of wireless communication system broadband signal design method based on extensive MIMO | |
| CN108880777B (en) | Channel detection reference signal sending and receiving method suitable for UFMC waveform | |
| CN106302301A (en) | FBMC signal based on complex modulation send and receive method and device | |
| Arthur et al. | Comparative analysis of orthogonal frequency division modulation and filter bank-based multicarrier modulation | |
| WO2017167386A1 (en) | A transmitter for transmitting and a receiver for receiving a plurality of multicarrier modulation signals | |
| CN108234374B (en) | Uplink multi-carrier transmitting device, system and method |
| Date | Code | Title | Description |
|---|---|---|---|
| C06 | Publication | ||
| PB01 | Publication | ||
| SE01 | Entry into force of request for substantive examination | ||
| SE01 | Entry into force of request for substantive examination | ||
| GR01 | Patent grant | ||
| GR01 | Patent grant |