Movatterモバイル変換


[0]ホーム

URL:


CN105760441B - Event result display method and device - Google Patents

Event result display method and device
Download PDF

Info

Publication number
CN105760441B
CN105760441BCN201610074820.4ACN201610074820ACN105760441BCN 105760441 BCN105760441 BCN 105760441BCN 201610074820 ACN201610074820 ACN 201610074820ACN 105760441 BCN105760441 BCN 105760441B
Authority
CN
China
Prior art keywords
event
account
execution result
client
application
Prior art date
Legal status (The legal status is an assumption and is not a legal conclusion. Google has not performed a legal analysis and makes no representation as to the accuracy of the status listed.)
Active
Application number
CN201610074820.4A
Other languages
Chinese (zh)
Other versions
CN105760441A (en
Inventor
李翠
徐丰
王栋
郭振声
陈平
石铠
那军武
杨木辉
Current Assignee (The listed assignees may be inaccurate. Google has not performed a legal analysis and makes no representation or warranty as to the accuracy of the list.)
Tencent Technology Shenzhen Co Ltd
Original Assignee
Tencent Technology Shenzhen Co Ltd
Priority date (The priority date is an assumption and is not a legal conclusion. Google has not performed a legal analysis and makes no representation as to the accuracy of the date listed.)
Filing date
Publication date
Application filed by Tencent Technology Shenzhen Co LtdfiledCriticalTencent Technology Shenzhen Co Ltd
Priority to CN201610074820.4ApriorityCriticalpatent/CN105760441B/en
Publication of CN105760441ApublicationCriticalpatent/CN105760441A/en
Application grantedgrantedCritical
Publication of CN105760441BpublicationCriticalpatent/CN105760441B/en
Activelegal-statusCriticalCurrent
Anticipated expirationlegal-statusCritical

Links

Images

Classifications

Landscapes

Abstract

The invention discloses a method and a device for displaying event results. Wherein, the method comprises the following steps: sending a query request for querying a first event execution result of a second account of a first application to a server through a client of the first application, wherein the client logs in by using the first account, the second account has an association relation with the first account, the first event execution result of the second account is in a public state, and the public state is used for indicating that the first account is allowed to view the first event execution result obtained by the second account executing the first event in a first event platform; receiving a first event execution result sent by the server in response to the query request; and displaying the received first event execution result in the client of the first application. The invention solves the technical problem that the prior art can not check the event result obtained by executing the event on another platform by the account with the incidence relation from one platform.

Description

Event result display method and device
Technical Field
The invention relates to the field of data processing, in particular to a method and a device for displaying an event result.
Background
Accounts having an association relationship in an application may each execute certain events on certain event platforms. However, since the application and the event platform are completely independent two platforms, the information between the two platforms cannot be intercommunicated. That is, the account having the association relationship in the application cannot establish a contact on the event platform, and cannot view the event result of the event executed by the other party on the event platform.
In view of the above problems, no effective solution has been proposed.
Disclosure of Invention
The embodiment of the invention provides a method and a device for displaying event results, which are used for at least solving the technical problem that the prior art cannot check the event results obtained by executing events on another platform by an account with an association relation from one platform.
According to an aspect of the embodiments of the present invention, there is provided a method for displaying event results, including: sending a query request for querying a first event execution result of a second account of a first application to a server by a client of the first application, wherein the client logs in by using the first account, the second account has an association relationship with the first account, the first event execution result of the second account is in a public state, and the public state is used for indicating that the first account is allowed to view the first event execution result obtained by the second account executing a first event in a first event platform; receiving the first event execution result sent by the server in response to the query request; presenting the received first event execution result in the client of the first application.
According to an aspect of the embodiments of the present invention, there is provided a method for displaying event results, including: receiving a query request sent by a client of a first application, wherein the query request is used for requesting to query a first event execution result of a second account in the client of the first application, the client logs in by using the first account, and the second account has an association relation with the first account; detecting whether the second account is in a public state, wherein the public state is used for indicating that the second account allows the first account to check a first event execution result obtained by the second account executing a first event in a first event platform; issuing the first event execution result to the client to show the first event execution result in the client of the first application when the second account is in the public state
According to another aspect of the embodiments of the present invention, there is also provided an event result display apparatus, including: a sending unit, configured to send, by a client of a first application, to a server, a query request for querying a first event execution result of a second account of the first application, where the client logs in by using a first account, the second account has an association relationship with the first account, the first event execution result of the second account is in a public state, and the public state is used to indicate that the first account is allowed to view the first event execution result obtained by the second account executing a first event in a first event platform; a receiving unit, configured to receive the first event execution result sent by the server in response to the query request; a first presentation unit, configured to present, in the client of the first application, the received first event execution result.
According to another aspect of the embodiments of the present invention, there is also provided an event result display apparatus, including: a request receiving unit, configured to receive a query request sent by a client of a first application, where the query request is used to request to query a first event execution result of a second account in the client of the first application, where the client logs in by using the first account, and the second account has an association relationship with the first account; a state detection unit, configured to detect whether the second account is in a public state, where the public state is used to indicate that the second account allows the first account to view a first event execution result obtained by the second account executing a first event in a first event platform; a result sending unit, configured to send the first event execution result to the client when the second account is in the public state, so as to display the first event execution result in the client of the first application.
In the embodiment of the invention, a query request for querying a first event execution result of a second account of a first application is sent to a server through a client of the first application, wherein the client logs in by using the first account, the second account has an association relationship with the first account, the first event execution result of the second account is in a public state, and the public state is used for indicating that the first account is allowed to view the first event execution result obtained by the second account executing the first event in a first event platform; receiving a first event execution result sent by the server in response to the query request; the received first event execution result is displayed in the client of the first application, so that the technical effect of cross-platform viewing of the first event execution result obtained by executing the first event on the first event platform by the second account having the association relation with the first account is achieved, and the technical problem that in the prior art, the event result obtained by executing the event on the other platform by the account having the association relation cannot be viewed from one platform is solved.
Drawings
The accompanying drawings, which are included to provide a further understanding of the invention and are incorporated in and constitute a part of this application, illustrate embodiment(s) of the invention and together with the description serve to explain the invention without limiting the invention. In the drawings:
FIG. 1 is a schematic diagram of a hardware environment according to an embodiment of the present invention;
FIG. 2 is a flowchart of a presentation method of event results according to embodiment 1 of the present invention;
FIG. 3 is a diagram showing the result of a first event execution according to an embodiment of the invention;
FIG. 4 is a flowchart of a presentation method of event results according toembodiment 2 of the present invention;
FIG. 5 is a block diagram of a framework of a server according to an embodiment of the invention;
FIG. 6 is a schematic view of a display device of event results according to embodiment 3 of the present invention;
FIG. 7 is a schematic view of a display device of event results according to embodiment 4 of the present invention;
fig. 8 is a structural diagram of a terminal according to an embodiment of the present invention.
Detailed Description
In order to make the technical solutions of the present invention better understood, the technical solutions in the embodiments of the present invention will be clearly and completely described below with reference to the drawings in the embodiments of the present invention, and it is obvious that the described embodiments are only a part of the embodiments of the present invention, and not all of the embodiments. All other embodiments, which can be derived by a person skilled in the art from the embodiments given herein without making any creative effort, shall fall within the protection scope of the present invention.
It should be noted that the terms "first," "second," and the like in the description and claims of the present invention and in the drawings described above are used for distinguishing between similar elements and not necessarily for describing a particular sequential or chronological order. It is to be understood that the data so used is interchangeable under appropriate circumstances such that the embodiments of the invention described herein are capable of operation in sequences other than those illustrated or described herein. Furthermore, the terms "comprises," "comprising," and "having," and any variations thereof, are intended to cover a non-exclusive inclusion, such that a process, method, system, article, or apparatus that comprises a list of steps or elements is not necessarily limited to those steps or elements expressly listed, but may include other steps or elements not expressly listed or inherent to such process, method, article, or apparatus.
Example 1
In accordance with an embodiment of the present invention, there is provided an embodiment of a method that may be performed by an embodiment of the apparatus of the present application, it being noted that the steps illustrated in the flowchart of the drawings may be performed in a computer system such as a set of computer-executable instructions and that, although a logical order is illustrated in the flowchart, in some cases the steps illustrated or described may be performed in an order different than here.
According to the embodiment of the invention, the method for displaying the event result is provided.
Optionally, in this embodiment, the method for displaying the event result may be applied to a hardware environment formed by theterminal 102 and theserver 104 shown in fig. 1. As shown in fig. 1, aterminal 102 is connected to aserver 104 via a network including, but not limited to: theterminal 102 may be a mobile phone terminal, or may also be a PC terminal, a notebook terminal, or a tablet terminal.
The main operating principles of the hardware environment system shown in fig. 1 are: a first application in theterminal 102 requests theserver 104 to query a first event execution result obtained by executing a first event on a first event platform by a second account. The first application sending the query request logs in by using the first account. The second account is an account having an association with the first account in the first application. Theserver 104 acquires a second account from the first event platform to execute a first event, obtains a first event execution result, and sends the first event execution result in theserver 104 to the first application logged in through the first account after the first application sends a query request.
According to an embodiment of the present invention, a method for displaying an event result is provided, where the method for displaying an event result may be executed by a client of a first application. As shown in fig. 2, the method includes:
step S202, sending, by a client of a first application, a query request for querying a first event execution result of a second account of the first application to a server, where the client logs in by using the first account, the second account has an association relationship with the first account, the first event execution result of the second account is in a public state, and the public state is used to indicate that the first account is allowed to view the first event execution result obtained by the second account executing the first event in a first event platform.
The client of the first application is a client installed in theterminal 102 and sends a query request to theserver 104. The client logs in by using a first account, the second account is an account which has an association relationship with the first account in the first application, and the second account is displayed in the client which logs in by using the first account and is even a communication application, for example, the second account and the first account are in a friend relationship in the first application, or the second account and the first account participate in a member of a certain activity in the first application together. The public state of the second account refers to a first event execution result obtained by the first account being capable of viewing, at the client of the first application, the first event executed by the second account in the first event platform. That is, the second account authorizes the first account to view the first event execution result at the client of the first application. The first event platform and the client of the first application can realize different functions, and the first event platform can be two platforms which are completely independent from the first application, or the first event platform and the first application can be the same platform. When the first application and the first event platform are the same platform, the platform can simultaneously realize the functions of the first application and the functions of the first event platform. The first event platform may also be a function in the first application, e.g. as a functional plug-in to the first application.
Step S204, receiving the first event execution result sent by the server in response to the query request.
The server inquires a first event execution result obtained by executing the first event in the first event platform by the second account, and sends the first event execution result to the client. The result of the first event execution may be calculated by the server or provided by the first event platform.
Step S206, the received first event execution result is displayed in the client of the first application.
By the embodiment, a first event execution result obtained by the second account executing the first event in the first event platform can be displayed in the client of the first application, so that the technical effect of cross-platform viewing of the first event execution result obtained by the second account having the association relation with the first account executing the first event on the first event platform is realized, and the technical problem that event results obtained by the account having the association relation in another platform cannot be viewed from one platform in the prior art is solved. Because the first account can only view the first event execution result of the second account when the first event execution result of the second account is in a public state, the client of the first application displays the first event execution result and simultaneously protects the privacy of the second account, thereby improving the privacy security of the second account in executing the first event on the first event platform.
Optionally, the second account includes a plurality of accounts, and presenting, in the client of the first application, the received execution result of the first event includes: and arranging and displaying each account in the plurality of accounts and the first event execution result corresponding to each account in the client according to the changed size sequence of the event resource corresponding to the first event indicated by the first event execution result.
The client of the first application logged in by using the first account can display the first event execution results of the multiple accounts, and the first event execution results of the multiple accounts are all in a public state. The first event execution result indicates the size of the change of the event resource corresponding to the first event, and therefore, the event resources are arranged and displayed in the client according to the size sequence of the change of the event resource in the client, specifically, the event resources can be arranged and displayed in the sequence from large to small or in the sequence from small to large. When the change of the event resources corresponding to the first event indicated by the first event execution result is displayed in the sequence, the change range of the event resources indicated by the first event execution result corresponding to each account in the plurality of accounts can be conveniently embodied.
In a specific example, the client of the first application is an instant messaging client (QQ, MSN, to-coming, rice chat, etc.), a social client (e.g., microblog), a game client (e.g., network game), an instrument client (e.g., popular comment), and a financial payment client (e.g., pay treasure, money and money), the first event platform is a securities trader platform (e.g., recruiter securities, interest securities, etc.), the first event is buying and selling stocks (e.g., fund, future securities, etc.), and the execution result of the first event is an profit-loss ratio of buying and selling stocks by the second account. The first event platform can also be an e-commerce platform, a game platform and the like, and the corresponding first event execution results can also be transaction amount on the e-commerce platform and game credits on the game platform and the like respectively.
In the WeChat client, the second account is a friend of the first account and is displayed in the WeChat client logged in by using the first account. The second account number is a stock buying and selling account on the securities trader platform, and the second account number is a profit-loss ratio that allows the first account number in a friend relationship with the second account number to view the transactions on the securities trader platform. Then, when the first account requests to view the profit-loss ratio of the second account, the profit-loss ratio of the second account for buying and selling stocks is displayed in the client which logs in by using the first account.
In the game client, the second account is a friend of the first account and is displayed on the game client logged in by using the first account. The second account number is a transaction amount that allows the first account number in a friend relationship to view transactions conducted on the e-commerce platform. Then, when the first account number requests to view the transaction amount of the second account number, the transaction amount of the second account number is displayed in the client logged in by using the first account number.
In the microblog client, the second account is a friend of the first account and is displayed on the microblog client logged in by using the first account. And the second account performs game operation on the game client to obtain game credits. The second account allows the first account with which it is a friend to view the game credits that it obtained on the game client. Then, when the first account requests to view the game credits of the second account, the game credits of the second account are displayed in the microblog client logged in by using the first account.
When the first application and the first event platform are used as a client, the first event execution result can be displayed on the first application or the first event platform because the calculation of the profit-loss ratio is completed in the server.
In the example that the first application client is a WeChat client and the first event platform is a dealer platform, when the second accounts are multiple accounts and all have a friend relationship with the first account, and the execution result of the first event of each account is in a public state, when the first account requests to view the profit-loss ratio of the friend buying and selling stocks, the profit-loss ratios of the multiple accounts are displayed in the client logged in by using the first account, and are displayed in an arrangement manner according to the profit-loss ratio from large to small or from small to large. The first account number may be selected to be displayed in a descending order or a descending order.
In the example that the first application client is a game client and the first event platform is an e-commerce platform, when the execution results of the first events corresponding to a plurality of accounts of which the first account is in a friend relationship are all in a public state, the first account can request to check the transaction amount of the friend in the e-commerce platform. The transaction amounts of the account numbers are displayed in the game client according to a certain arrangement sequence.
In the example that the first application client is a microblog client and the first event platform is a game client, when the execution results of the first events corresponding to the accounts of which the first account is a friend relationship are all in a public state, the first account can request to view game credits acquired by the friends in the game client. The game integrals of the account numbers are displayed in the microblog client according to a certain arrangement sequence.
Optionally, presenting, in the client of the first application, the received execution result of the first event includes: and updating a first event execution result obtained by the second account executing the first event in the first event platform in a client of the first application within a first time period when the first event platform allows the second account to execute the first event and/or within a second time period with a preset time relationship with the first time period.
Since the first event execution result obtained by the second account executing the first event in the first event platform changes with the action of the first event executed by the second account on the first event platform, the first event execution result needs to be updated in the client of the first application in time.
In a specific example, the first event platform allows the second account to execute the first event for a first period of time within the opening time for which a stock exchange is allowed; the second time period having a preset time relationship with the first time period is a time period before the stock exchange is opened or a time period after the stock exchange is stopped. The duration of this time period may be half an hour or one hour.
The frequency of updating the execution result of the first event may be updated every half hour or every hour, and may also be adjusted according to the fluctuation frequency of the stock market, which is not specifically limited herein. The first event execution result of the second account in the first event platform changes more in one hour after the market break, so the updating frequency in the time period can be higher than that when the stock market is opened.
Optionally, presenting, in the client of the first application, the received execution result of the first event includes: and displaying a first event execution result and a second event execution result in a client of the first application, wherein the second event execution result is an event execution result obtained by a first account executing a second event on a second event platform, and the first account is set to allow the second account to view the second event execution result obtained by the first account executing the second event on the second event platform.
When a client of a first application logged in by using a first account views a first event execution result of a second account, a second event execution result obtained by the first account executing a second event on a second event platform can allow or prohibit the second account from viewing. When the first account number is set to allow the second account number to view the second event execution result, the second event execution result of the first account number can be displayed on the client side of the first application logged in by using the second account number to participate in ranking. And if the first account is not set to allow the second account to view the second event execution result, the second event execution result of the first account is not displayed in the client logged in by other accounts.
The client of the first application which uses the first account to log in displays a first event execution result of a second account which has a relationship with the first account, the client of the first application which uses the second account to log in displays a first event execution result of an account which has a relationship with the second account, and the second account which has a relationship with the first account and the account which has a relationship with the second account contain different accounts.
Optionally, the query request carries a query time period, and sending, by the client of the first application, the query request for querying the first event execution result of the second account of the first application to the server includes: and sending a query request for querying a first event execution result obtained by executing the first event by a second account of the first application within the query time period to the server through the client of the first application.
The first event execution result in a certain time period may be presented in the client logged in by using the first account, for example, the ranking of the first event execution result in the present week, the ranking of the first event execution result in the present month, and the ranking of the first event execution result in the year. Historical first event execution results may also be exposed in the client, e.g., ranking of first event execution results for the last week, month, and quarter, etc.
Optionally, after presenting the received first event execution result in the client of the first application, the method further includes: detecting a click operation of clicking a first event execution result; and after the click operation is detected, displaying a first event object of a first event executed by a second account on the first event platform in the client, wherein the first event execution result is subjected to the click operation under the condition that the second account is set to allow the first account to view the first event object.
And if the second account allows the first account to view the first event object, displaying the first event object in the client after the first event execution result of the second account receives the click operation. That is, a client logged in using a first account may display the first event execution result and not equal to simultaneously presenting the first event object. It can only be exposed on the client if the first event object is also allowed to be viewed by the first account number.
In one specific example, the first event platform is a dealer platform (e.g., a recruiter security, a prosperous security, etc.), the first event is a buying and selling stock (which may also be a fund, a future, etc.), and the first event object is a name of the stock that is bought and sold by the second account.
Through the embodiment, the first event execution result of the second account is displayed on the client logged in by using the first account, the first event execution results of a plurality of accounts in the second account can be displayed in an arrayed manner, and further, the first event object can be displayed, so that the technical effect of cross-platform viewing of the first event execution result obtained by executing the first event on the first event platform by the second account having the association relationship with the first account is realized, and the technical problem that the event result obtained by executing the event on the other platform by the account having the association relationship cannot be viewed from one platform in the prior art is solved.
The present embodiment will be described below with reference to fig. 3.
Fig. 3 shows a client logging in a first application with an account of "user 1" (i.e. a first account), where "user 2" and "user 3" etc. are shown as names of a plurality of accounts (i.e. second accounts) that are in a friend relationship with the account of "user 1". Fig. 3 shows the profit-loss list of the week, i.e., the profit-loss ratio of the accounts of the week (i.e., the first event execution result). And displaying the login account number 'user 1' of the client and the profit-loss ratio of the account number at the top, and then arranging the display according to the profit-loss ratio from high to low. As can be seen from fig. 3, the client displays not only the profit-loss ratio, the rank, and the name of the second account number, but also the number of praise (such as the shape of a hexagon and the numbers below in the figure), which enables social interaction between the accounts having the association relationship.
If the first event object of the second account is allowed to be displayed in the client, the first event object can be displayed when the click operation acts on the second account. For example, the name "user 3" in fig. 3 is clicked, and the first event object of "user 3" is allowed to be presented and viewed, the first event object is presented on the client (not shown in the figure).
The "local week ranking list" shown in fig. 3 may also be a "quarterly ranking list", or a "previous month ranking list", and the like, which are not illustrated one by one.
Example 2
According to the embodiment of the invention, the method for displaying the event result is provided, and can be executed by the server. As shown in fig. 4, the method includes:
step S402, receiving a query request sent by a client of a first application, where the query request is used to request to query a first event execution result of a second account in the client of the first application, where the client logs in by using the first account, and the second account has an association relationship with the first account.
The server receives the query request, and stores a first event execution result of the second account in the server, where the server may be a server corresponding to the client of the first application, may be a server of a first event platform where the second account executes the first event, and may also be a third-party server that is not responsible for the instant messaging service and the first event. The server is connected to both the client of the first application and the first event platform, and is capable of acquiring data (e.g., a first event execution result) from the first event platform and then transmitting the first event execution result to the client of the first application.
The client logs in by using a first account, the second account is an account which has an association relationship with the first account in the first application, and the second account is displayed in the client which logs in by using the first account and is even a communication application, for example, the second account and the first account are in a friend relationship in the first application, or the second account and the first account participate in a member of a certain activity in the first application together. The public state of the second account refers to a first event execution result obtained by the first account being capable of viewing, at the client of the first application, the first event executed by the second account in the first event platform. That is, the second account authorizes the first account to view the first event execution result at the client of the first application. The first event platform and the client of the first application realize different functions, and the first event platform can be two platforms which are completely independent from the first application, or the first event platform and the first application can be the same platform. When the first application and the first event platform are the same platform, the platform can simultaneously realize the functions of the first application and the functions of the first event platform. The first event platform may also be a function in the first application, e.g. as a functional plug-in to the first application.
Step S404, detecting whether the second account is in a public state, where the public state is used to indicate that the second account allows the first account to view a first event execution result obtained by the second account executing the first event in the first event platform.
Step S406, sending the first event execution result to the client when the second account is in the public state, so as to display the first event execution result in the client of the first application.
The server stores a first event execution result of the second account, and when the second account is in a public state, the server sends the first event execution result requested by the first account to the client so as to protect the privacy and the account security of the second account. If the second account is not in the open state, the first event execution result will not be sent even if the first event execution result is stored in the server.
By the embodiment, a first event execution result obtained by the second account executing the first event in the first event platform can be displayed in the client of the first application, so that the technical effect of cross-platform viewing of the first event execution result obtained by the second account having the association relation with the first account executing the first event on the first event platform is realized, and the technical problem that event results obtained by the account having the association relation in another platform cannot be viewed from one platform in the prior art is solved. The server sends the first event execution result to the client of the first application logged in by using the first account only when the first event execution result of the second account is in a public state, so that the privacy of the second account is protected while the client of the first application displays the first event execution result, and the privacy security of the second account in the first event platform in executing the first event is improved.
It should be noted that, when the first application and the first event platform are used as one client, since the calculation of the profit-loss ratio is performed in the server, the result of the execution of the first event may be displayed on the first application or the first event platform.
Optionally, before issuing the first event execution result to the client, the method further includes: acquiring an execution record of a first event executed by a second account in a client of a first application, wherein the second account has an association relation with the first account, and the execution record and the event resource change of the second account are acquired on a first event platform; and calculating a first event execution result of the second account executing the first event according to the execution record and the event resource change.
In a specific example, the execution record of the first event is a transaction record in the dealer platform, and the event resource change of the second account is a profit or loss value in the transaction. And calculating the profit-loss ratio of the second account according to the transaction record and the profit-loss value of each transaction.
It should be noted that, in this embodiment, the first event execution result is calculated in the domain of the server, the first event execution result is stored in the cache outside the domain of the server, and the first event execution result is extracted from the cache outside the domain and sent to the client of the first application. The domain limits the access authority, and data in the domain cannot be accessed by the client, so that interaction with the first event platform and the client of instant messaging is isolated, data and information required for calculating the execution result of the first event in the domain cannot be stored outside the domain, and the client of the first application cannot acquire the information of the second account, so that the information security of the second account acquired in the first event platform is guaranteed.
As shown in fig. 5, the server includes an intra-domain and an extra-domain, the intra-domain includes a logical operation layer for calculating the execution result of the first event, and the extra-domain includes an application layer for communicating with the client (which may also be a web page). In a specific example, the logical operation layer in the domain periodically (for example, updates the ranking list every half hour) acquires the relationship chain of the user (i.e., the relationship chain of the first account, such as the second account having an association relationship with the first account) and the basic information of the user (the basic information of the first account), calculates the profit-loss ratio of the second account, and records the approval, wherein the approved data may be stored in the database. And the logic operation layer sends the calculated arrangement display result to a cache of the server, the cache sends the arrangement display result to an application layer of the server, and the application layer sends the arrangement display result to a web page (a client of the first account) for displaying.
Before this, the authorization information of the second account (i.e. allowing the first account to view the execution result of the first event) is obtained and forwarded to the database for saving through the application layer. The application layer can also receive ranking list settings (such as a display period) sent by the client, and send the ranking list setting information to a ranking list aggregation module of the logical operation layer for calculating the ranking display order. And receiving data of the client through a data interface of an application layer outside the domain, and forwarding the data to a logic operation layer in the domain for calculation so as to ensure the information security of the second account.
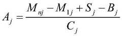
Specifically, calculating a first event execution result of the second account executing the first event according to the execution record and the event resource change includes: the first event execution result a is calculated in the following mannerj
Figure BDA0000920902010000141
Wherein, PijIndicating that the event resource corresponding to the first event of the second account changes in the ith sub-period of the jth period, CjIndicating the second account in the j periodThe sum of the original event resource and the added event resource of the number.
For example, the present week profit-loss ratio is calculated. PijRepresenting the profit and loss of the second account on the ith day of the week (namely, the event resource change corresponding to the first event), wherein the profit and loss of each day can be represented by the difference between the profit and loss after closing the disk and the profit and loss before opening the disk;
Figure BDA0000920902010000142
representing the total profit and loss in the week; cjRepresents the cost of the week (i.e., the sum of the original event resources and the added event resources of the second account number), i.e., the sum of the market value taken prior to the first trading day of the week and the inflow cost of the week. When calculating the present week profit-loss ratio, P1jFor profit or loss on the first trade day of the week, PnjFor profit or loss of the last trade day of the week, AjThe profit-loss ratio of the week. When calculating the monthly profit-loss ratio, P1jFor profit or loss on the first trade day of this month, PnjFor profit or loss of the last trade day of this month, CjThe cost of this month, i.e. the sum of the market value before the first trade day of this month and the inflow cost of this week, is also expressed accordingly.
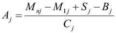
Optionally, calculating a first event execution result of the second account executing the first event according to the execution record and the event resource change includes: the first event execution result a is calculated in the following mannerj
Figure BDA0000920902010000143
Wherein M isnjRepresents the total event resource, M, of the second account in the last sub-period n of the jth period1jRepresents the total event resource S of the second account in the 1 st sub-period of the j period before the second account executes the first eventjRepresenting an event resource obtained by the second account executing the first event in the jth cycle, BjRepresents the event resource consumed by the second account to execute the first event in the jth period, CjRepresenting the original event resource and the added of the second account in the j periodSum of event resources.
In the example of calculating the win-loss ratio, MnjThe total market value (i.e. total event resources) of the second account number after the last trading day of the week is recorded, M1jTotal market value of the second account number before opening for the first trading day of the week, SjThe amount of money to be gained by selling shares in the week for the second account, BjIndicating the amount spent by the second account to buy stock in this week. CjIndicating the weekly inflow cost.
According to the change of the query time period carried by the query request, the calculation period can be adjusted, so that a first event execution result corresponding to the query time period carried by the query request is obtained. The adjustment method is the same as the adjustment method of the period, and is not described again.
In the above embodiment, the circulation inflow cost CjIt can be calculated according to the following rules:
calculating according to the sequence of transaction time, and if the sale transaction is executed, increasing the sale amount of the fund in the fund pool; if a buy transaction is performed and the buy amount is greater than the funds in the fund pool, the weekly inflow cost increases the difference between the buy amount and the fund pool amount; if the purchase amount is less than or equal to the funds in the fund pool, the fund pool amount is subtracted by the purchase amount.
It should be noted that, for simplicity of description, the above-mentioned method embodiments are described as a series of acts or combination of acts, but those skilled in the art will recognize that the present invention is not limited by the order of acts, as some steps may occur in other orders or concurrently in accordance with the invention. Further, those skilled in the art should also appreciate that the embodiments described in the specification are preferred embodiments and that the acts and modules referred to are not necessarily required by the invention.
Through the above description of the embodiments, those skilled in the art can clearly understand that the method according to the above embodiments can be implemented by software plus a necessary general hardware platform, and certainly can also be implemented by hardware, but the former is a better implementation mode in many cases. Based on such understanding, the technical solutions of the present invention may be embodied in the form of a software product, which is stored in a storage medium (e.g., ROM/RAM, magnetic disk, optical disk) and includes instructions for enabling a terminal device (e.g., a mobile phone, a computer, a server, or a network device) to execute the method according to the embodiments of the present invention.
Example 3
According to an embodiment of the present invention, there is also provided an event result display apparatus for implementing the method for displaying an event result according to embodiment 1, where the event result display apparatus is mainly used to execute the method for displaying an event result according to embodiment 1 of the present invention, and the method for displaying an event result according to the embodiment of the present invention is specifically described as follows:
fig. 6 is a schematic diagram of an event result display device according to embodiment 3 of the present invention, and as shown in fig. 6, the event result display device mainly includes: a transmitting unit 50, a receiving unit 52 and a first presentation unit 54.
The sending unit 50 is configured to send, to the server through a client of the first application, a query request for querying a first event execution result of a second account of the first application, where the client logs in by using the first account, the second account has an association relationship with the first account, and a first event execution result of the second account is in a public state, and the public state is used to indicate that the first account is allowed to view the first event execution result obtained by the second account executing the first event in the first event platform.
The client of the first application is a client installed in the terminal 102 and sends a query request to theserver 104. The client logs in by using a first account, the second account is an account which has an association relationship with the first account in the first application, and the second account is displayed in the client which logs in by using the first account and is even a communication application, for example, the second account and the first account are in a friend relationship in the first application, or the second account and the first account participate in a member of a certain activity in the first application together. The public state of the second account refers to a first event execution result obtained by the first account being capable of viewing, at the client of the first application, the first event executed by the second account in the first event platform. That is, the second account authorizes the first account to view the first event execution result at the client of the first application. The first event platform and the client of the first application realize different functions, and the first event platform can be two platforms which are completely independent from the first application, or the first event platform and the first application can be the same platform. When the first application and the first event platform are the same platform, the platform can simultaneously realize the functions of the first application and the functions of the first event platform. The first event platform may also be a function in the first application, e.g. as a functional plug-in to the first application.
The receiving unit 52 is configured to receive a result of the first event execution sent by the server in response to the query request.
The server inquires a first event execution result obtained by executing the first event in the first event platform by the second account, and sends the first event execution result to the client. The result of the first event execution may be calculated by the server or provided by the first event platform.
The first presenting unit 54 is configured to present the received first event execution result in the client of the first application.
By the embodiment, a first event execution result obtained by the second account executing the first event in the first event platform can be displayed in the client of the first application, so that the technical effect of cross-platform viewing of the first event execution result obtained by the second account having the association relation with the first account executing the first event on the first event platform is realized, and the technical problem that event results obtained by the account having the association relation in another platform cannot be viewed from one platform in the prior art is solved. Because the first account can only view the first event execution result of the second account when the first event execution result of the second account is in a public state, the client of the first application displays the first event execution result and simultaneously protects the privacy of the second account, thereby improving the privacy security of the second account in executing the first event on the first event platform.
Optionally, the second account includes a plurality of accounts, and the first display unit includes: and the arranging module is used for arranging and displaying each account in the plurality of accounts and the first event execution result corresponding to each account in the client according to the size sequence of the change of the event resource corresponding to the first event indicated by the first event execution result.
The client of the first application logged in by using the first account can display the first event execution results of the multiple accounts, and the first event execution results of the multiple accounts are all in a public state. The first event execution result indicates the size of the change of the event resource corresponding to the first event, and therefore, the event resources are arranged and displayed in the client according to the size sequence of the change of the event resource in the client, specifically, the event resources can be arranged and displayed in the sequence from large to small or in the sequence from small to large. When the change of the event resources corresponding to the first event indicated by the first event execution result is displayed in the sequence, the change range of the event resources indicated by the first event execution result corresponding to each account in the plurality of accounts can be conveniently embodied.
In a specific example, the client of the first application is an instant messaging client (QQ, MSN, to-coming, rice chat, etc.), a social client (e.g., microblog), a game client (e.g., network game), an instrument client (e.g., popular comment), and a financial payment client (e.g., pay treasure, money and money), the first event platform is a securities trader platform (e.g., recruiter securities, interest securities, etc.), the first event is buying and selling stocks (e.g., fund, future securities, etc.), and the execution result of the first event is an profit-loss ratio of buying and selling stocks by the second account. The first event platform can also be an e-commerce platform, a game platform and the like, and the corresponding first event execution results can also be transaction amount on the e-commerce platform and game credits on the game platform and the like respectively.
In the WeChat client, the second account is a friend of the first account and is displayed in the WeChat client logged in by using the first account. The second account number is a stock buying and selling account on the securities trader platform, and the second account number is a profit-loss ratio that allows the first account number in a friend relationship with the second account number to view the transactions on the securities trader platform. Then, when the first account requests to view the profit-loss ratio of the second account, the profit-loss ratio of the second account for buying and selling stocks is displayed in the client which logs in by using the first account.
In the game client, the second account is a friend of the first account and is displayed on the game client logged in by using the first account. The second account number is a transaction amount that allows the first account number in a friend relationship to view transactions conducted on the e-commerce platform. Then, when the first account number requests to view the transaction amount of the second account number, the transaction amount of the second account number is displayed in the client logged in by using the first account number.
In the microblog client, the second account is a friend of the first account and is displayed on the microblog client logged in by using the first account. And the second account performs game operation on the game client to obtain game credits. The second account allows the first account with which it is a friend to view the game credits that it obtained on the game client. Then, when the first account requests to view the game credits of the second account, the game credits of the second account are displayed in the microblog client logged in by using the first account.
When the first application and the first event platform are used as a client, the first event execution result can be displayed on the first application or the first event platform because the calculation of the profit-loss ratio is completed in the server.
In the example that the first application client is a WeChat client and the first event platform is a dealer platform, when the second accounts are multiple accounts and all have a friend relationship with the first account, and the execution result of the first event of each account is in a public state, when the first account requests to view the profit-loss ratio of the friend buying and selling stocks, the profit-loss ratios of the multiple accounts are displayed in the client logged in by using the first account, and are displayed in an arrangement manner according to the profit-loss ratio from large to small or from small to large. The order of the first account selection arrangement display is from large to small or from small to large.
In the example that the first application client is a game client and the first event platform is an e-commerce platform, when the execution results of the first events corresponding to a plurality of accounts of which the first account is in a friend relationship are all in a public state, the first account can request to check the transaction amount of the friend in the e-commerce platform. The transaction amounts of the account numbers are displayed in the game client according to a certain arrangement sequence.
In the example that the first application client is a microblog client and the first event platform is a game client, when the execution results of the first events corresponding to the accounts of which the first account is a friend relationship are all in a public state, the first account can request to view game credits acquired by the friends in the game client. The game integrals of the account numbers are displayed in the microblog client according to a certain arrangement sequence.
Optionally, the first display unit comprises: and the updating module is used for updating a first event execution result obtained by the second account executing the first event in the first event platform in a first time period when the first event platform allows the second account to execute the first event and/or a second time period with a preset time relationship with the first time period in the client of the first application.
Since the first event execution result obtained by the second account executing the first event in the first event platform changes with the action of the first event executed by the second account on the first event platform, the first event execution result needs to be updated in the client of the first application in time.
In a specific example, the first event platform allows the second account to execute the first event for a first period of time within the opening time for which a stock exchange is allowed; the second time period having a preset time relationship with the first time period is a time period before the stock exchange is opened or a time period after the stock exchange is stopped. The duration of this time period may be half an hour or one hour.
The frequency of updating the execution result of the first event may be updated every half hour or every hour, and may also be adjusted according to the fluctuation frequency of the stock market, which is not specifically limited herein. The first event execution result of the second account in the first event platform changes more in one hour after the market break, so the updating frequency in the time period can be higher than that when the stock market is opened.
Optionally, the first display unit comprises: the display module is used for displaying a first event execution result and a second event execution result in a client of the first application, wherein the second event execution result is an event execution result obtained by the first account executing a second event on the second event platform, and the first account is set to allow the second account to view the second event execution result obtained by the first account executing the second event on the second event platform.
When a client of a first application logged in by using a first account views a first event execution result of a second account, a second event execution result obtained by the first account executing a second event on a second event platform can allow or prohibit the second account from viewing. When the first account number is set to allow the second account number to view the second event execution result, the second event execution result of the first account number can be displayed on the client side of the first application logged in by using the second account number to participate in ranking. And if the first account is not set to allow the second account to view the second event execution result, the second event execution result of the first account is not displayed in the client logged in by other accounts.
The client of the first application which uses the first account to log in displays a first event execution result of a second account which has a relationship with the first account, the client of the first application which uses the second account to log in displays a first event execution result of an account which has a relationship with the second account, and the second account which has a relationship with the first account and the account which has a relationship with the second account contain different accounts.
Optionally, the query request carries a query time period, and the sending unit includes: the sending module is used for sending a query request for querying a first event execution result obtained by executing a first event by a second account of a first application in a query time period to the server through a client of the first application.
The first event execution result in a certain time period may be presented in the client logged in by using the first account, for example, the ranking of the first event execution result in the present week, the ranking of the first event execution result in the present month, and the ranking of the first event execution result in the year. Historical first event execution results may also be exposed in the client, e.g., ranking of first event execution results for the last week, month, and quarter, etc.
Optionally, the apparatus further comprises: the detection unit is used for detecting the click operation of clicking the execution result of the first event after the received execution result of the first event is displayed in the client of the first application; and the second display unit is used for displaying a first event object of a first event executed by the second account on the first event platform in the client after the click operation is detected, wherein the first event execution result receives the click operation under the condition that the second account is set to allow the first account to view the first event object.
And if the second account allows the first account to view the first event object, displaying the first event object in the client after the first event execution result of the second account receives the click operation. That is, a client logged in using a first account may display the first event execution result and not equal to simultaneously presenting the first event object. It can only be exposed on the client if the first event object is also allowed to be viewed by the first account number.
In one specific example, the first event platform is a dealer platform (e.g., a recruiter security, a prosperous security, etc.), the first event is a buying and selling stock (which may also be a fund, a future, etc.), and the first event object is a name of the stock that is bought and sold by the second account.
Through the embodiment, the first event execution result of the second account is displayed on the client logged in by using the first account, the first event execution results of a plurality of accounts in the second account can be displayed in an arrayed manner, and further, the first event object can be displayed, so that the technical effect of cross-platform viewing of the first event execution result obtained by executing the first event on the first event platform by the second account having the association relationship with the first account is realized, and the technical problem that the event result obtained by executing the event on the other platform by the account having the association relationship cannot be viewed from one platform in the prior art is solved.
Example 4
According to an embodiment of the present invention, there is also provided an event result display apparatus for implementing the method for displaying an event result according toembodiment 2, where the event result display apparatus is mainly used to implement the method for displaying an event result according toembodiment 2 of the present invention, and the method for displaying an event result according to embodiment of the present invention is specifically described as follows:
fig. 7 is a schematic diagram of an event result display device according to embodiment 4 of the present invention, and as shown in fig. 7, the event result display device mainly includes: a request receiving unit 60, a status detecting unit 62 and a result transmitting unit 64.
The request receiving unit 60 is configured to receive a query request sent by a client of a first application, where the query request is used to request to query a first event execution result of a second account in the client of the first application, where the client logs in by using the first account, and the second account has an association relationship with the first account.
The server receives the query request, and stores a first event execution result of the second account in the server, where the server may be a server corresponding to the client of the first application, may be a server of a first event platform where the second account executes the first event, and may also be a third-party server that is not responsible for the instant messaging service and the first event. The server is connected to both the client of the first application and the first event platform, and is capable of acquiring data (e.g., a first event execution result) from the first event platform and then transmitting the first event execution result to the client of the first application.
The client logs in by using a first account, the second account is an account which has an association relationship with the first account in the first application, and the second account is displayed in the client which logs in by using the first account and is even a communication application, for example, the second account and the first account are in a friend relationship in the first application, or the second account and the first account participate in a member of a certain activity in the first application together. The public state of the second account refers to a first event execution result obtained by the first account being capable of viewing, at the client of the first application, the first event executed by the second account in the first event platform. That is, the second account authorizes the first account to view the first event execution result at the client of the first application. The first event platform and the client of the first application realize different functions, and the first event platform can be two platforms which are completely independent from the first application, or the first event platform and the first application can be the same platform. When the first application and the first event platform are the same platform, the platform can simultaneously realize the functions of the first application and the functions of the first event platform. The first event platform may also be a function in the first application, e.g. as a functional plug-in to the first application.
The state detection unit 62 is configured to detect whether the second account is in a public state, where the public state is used to indicate that the second account allows the first account to view a first event execution result obtained by the second account executing the first event in the first event platform.
The result sending unit 64 is configured to send the first event execution result to the client if the second account is in the public state, so as to present the first event execution result in the client of the first application.
The server stores a first event execution result of the second account, and when the second account is in a public state, the server sends the first event execution result requested by the first account to the client so as to protect the privacy and the account security of the second account. If the second account is not in the open state, the first event execution result will not be sent even if the first event execution result is stored in the server.
By the embodiment, a first event execution result obtained by the second account executing the first event in the first event platform can be displayed in the client of the first application, so that the technical effect of cross-platform viewing of the first event execution result obtained by the second account having the association relation with the first account executing the first event on the first event platform is realized, and the technical problem that event results obtained by the account having the association relation in another platform cannot be viewed from one platform in the prior art is solved. The server sends the first event execution result to the client of the first application logged in by using the first account only when the first event execution result of the second account is in a public state, so that the privacy of the second account is protected while the client of the first application displays the first event execution result, and the privacy security of the second account in the first event platform in executing the first event is improved.
It should be noted that, when the first application and the first event platform are used as one client, since the calculation of the profit-loss ratio is performed in the server, the result of the execution of the first event may be displayed on the first application or the first event platform.
Optionally, the apparatus further comprises: the system comprises an acquisition unit, a processing unit and a processing unit, wherein the acquisition unit is used for acquiring an execution record of a first event and an event resource change of a second account in a first application client, wherein the second account has an association relation with the first account, and executes the first event on a first event platform; and the calculating unit is used for calculating a first event execution result of the first event executed by the second account according to the execution record and the event resource change.
In a specific example, the execution record of the first event is a transaction record in the dealer platform, and the event resource change of the second account is a profit or loss value in the transaction. And calculating the profit-loss ratio of the second account according to the transaction record and the profit-loss value of each transaction.
It should be noted that, in this embodiment, the first event execution result is calculated in the domain of the server, the first event execution result is stored in the cache outside the domain of the server, and the first event execution result is extracted from the cache outside the domain and sent to the client of the first application. The domain limits the access authority, and data in the domain cannot be accessed by the client, so that interaction with the first event platform and the client of instant messaging is isolated, data and information required for calculating the execution result of the first event in the domain cannot be stored outside the domain, and the client of the first application cannot acquire the information of the second account, so that the information security of the second account acquired in the first event platform is guaranteed.
As shown in fig. 5, the server includes an intra-domain and an extra-domain, the intra-domain includes a logical operation layer for calculating the execution result of the first event, and the extra-domain includes an application layer for communicating with the client (which may also be a web page). In a specific example, the logical operation layer in the domain periodically (for example, updates the ranking list every half hour) acquires the relationship chain of the user (i.e., the relationship chain of the first account, such as the second account having an association relationship with the first account) and the basic information of the user (the basic information of the first account), calculates the profit-loss ratio of the second account, and records the approval, wherein the approved data may be stored in the database. And the logic operation layer sends the calculated arrangement display result to a cache of the server, the cache sends the arrangement display result to an application layer of the server, and the application layer sends the arrangement display result to a web page (a client of the first account) for displaying.
Before this, the authorization information of the second account (i.e. allowing the first account to view the execution result of the first event) is obtained and forwarded to the database for saving through the application layer. The application layer can also receive ranking list settings (such as a display period) sent by the client, and send the ranking list setting information to a ranking list aggregation module of the logical operation layer for calculating the ranking display order. And receiving data of the client through a data interface of an application layer outside the domain, and forwarding the data to a logic operation layer in the domain for calculation so as to ensure the information security of the second account.
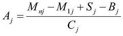
In particular, the calculation unit is configured to operate in the following mannerCalculating a first event execution result Aj
Figure BDA0000920902010000251
Wherein, PijIndicating that the event resource corresponding to the first event of the second account changes in the ith sub-period of the jth period, CjRepresenting the sum of the original event resource and the added event resource of the second account in the j-th period.
For example, the present week profit-loss ratio is calculated. PijRepresenting the profit and loss of the second account on the ith day of the week (namely, the event resource change corresponding to the first event), wherein the profit and loss of each day can be represented by the difference between the profit and loss after closing the disk and the profit and loss before opening the disk;
Figure BDA0000920902010000252
representing the total profit and loss in the week; cjRepresents the cost of the week (i.e., the sum of the original event resources and the added event resources of the second account number), i.e., the sum of the market value taken prior to the first trading day of the week and the inflow cost of the week. When calculating the present week profit-loss ratio, P1jFor profit or loss on the first trade day of the week, PnjFor profit or loss of the last trade day of the week, AjThe profit-loss ratio of the week. When calculating the monthly profit-loss ratio, P1jFor profit or loss on the first trade day of this month, PnjFor profit or loss of the last trade day of this month, CjThe cost of this month, i.e. the sum of the market value before the first trade day of this month and the inflow cost of this week, is also expressed accordingly.
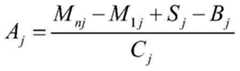
Optionally, the calculating unit is configured to calculate the first event execution result a in the following mannerj
Figure BDA0000920902010000253
Wherein M isnjRepresents the total event resource, M, of the second account in the last sub-period n of the jth period1jRepresents the 1 st sub-period of the jth periodSecond Account Prior to execution of the first event, the second Account' S total event resources, SjRepresenting an event resource obtained by the second account executing the first event in the jth cycle, BjRepresents the event resource consumed by the second account to execute the first event in the jth period, CjRepresenting the sum of the original event resource and the added event resource of the second account in the j-th period.
In the example of calculating the win-loss ratio, MnjThe total market value (i.e. total event resources) of the second account number after the last trading day of the week is recorded, M1jTotal market value of the second account number before opening for the first trading day of the week, SjThe amount of money to be gained by selling shares in the week for the second account, BjIndicating the amount spent by the second account to buy stock in this week. CjIndicating the weekly inflow cost.
According to the change of the query time period carried by the query request, the calculation period can be adjusted, so that a first event execution result corresponding to the query time period carried by the query request is obtained. The adjustment method is the same as the adjustment method of the period, and is not described again.
In the above embodiment, the circulation inflow cost CjIt can be calculated according to the following rules:
calculating according to the sequence of transaction time, and if the sale transaction is executed, increasing the sale amount of the fund in the fund pool; if a buy transaction is performed and the buy amount is greater than the funds in the fund pool, the weekly inflow cost increases the difference between the buy amount and the fund pool amount; if the purchase amount is less than or equal to the funds in the fund pool, the fund pool amount is subtracted by the purchase amount.
It should be noted that, in this embodiment, the first event execution result is calculated in the domain of the server, and is stored in the cache of the server, and the first event execution result is extracted from the cache and is sent to the client of the first application, so that interaction with the first event platform and the client of the instant messaging is isolated, so as to ensure the information security of the second account acquired in the first event platform.
Example 5
According to an embodiment of the present invention, there is also provided a terminal for implementing the method for displaying event results, as shown in fig. 8, the terminal mainly includes aprocessor 701, acamera 702, adisplay 703, adata interface 704, amemory 705, and anetwork interface 706, where:
thecamera 702 is mainly used for shooting an avatar of the first account.
The data interface 704 transmits data (such as picture data and music data) acquired by the third-party tool to theprocessor 701 mainly by means of data transmission.
Thememory 705 is mainly used for storing files required for running the first application and data saved by the first application.
Thenetwork interface 706 is mainly used for performing network communication with the server to obtain the result of the first event execution.
Thedisplay 703 is mainly used for displaying the result of the execution of the first event.
Theprocessor 701 is mainly configured to perform the following operations: sending a query request for querying a first event execution result of a second account of a first application to a server through a client of the first application, wherein the client logs in by using the first account, the second account has an association relation with the first account, the first event execution result of the second account is in a public state, and the public state is used for indicating that the first account is allowed to view the first event execution result obtained by the second account executing the first event in a first event platform; receiving a first event execution result sent by the server in response to the query request; and displaying the received first event execution result in the client of the first application.
Optionally, the specific examples in this embodiment may refer to the examples described in embodiment 1 andembodiment 2, and this embodiment is not described herein again.
Example 6
The embodiment of the invention also provides a storage medium. Optionally, in this embodiment, the storage medium may be located in at least one of a plurality of network devices in a network.
Optionally, in this embodiment, the storage medium is configured to store program code for performing the following steps:
s1, sending a query request for querying a first event execution result of a second account of a first application to a server through a client of the first application, wherein the client logs in by using the first account, the second account has an association relation with the first account, the first event execution result of the second account is in a public state, and the public state is used for indicating that the first account is allowed to view the first event execution result obtained by the second account executing the first event in a first event platform;
s2, receiving the first event execution result sent by the server in response to the query request;
s3, displaying the received first event execution result in the client of the first application.
Optionally, the storage medium may be further configured to store program code for performing the steps of:
s1, receiving a query request sent by a client of a first application, where the query request is used to request query of a first event execution result of a second account in the client of the first application, where the client logs in by using the first account, and the second account has an association relationship with the first account;
s2, detecting whether the second account is in a public state, wherein the public state is used for indicating that the second account allows the first account to check a first event execution result obtained by the second account executing a first event in a first event platform;
s3, sending the first event execution result to the client when the second account is in the public state, so as to display the first event execution result in the client of the first application.
Optionally, in this embodiment, the storage medium may include, but is not limited to: a U-disk, a Read-Only Memory (ROM), a Random Access Memory (RAM), a removable hard disk, a magnetic or optical disk, and other various media capable of storing program codes.
Optionally, the specific examples in this embodiment may refer to the examples described in embodiment 1 andembodiment 2, and this embodiment is not described herein again.
The above-mentioned serial numbers of the embodiments of the present invention are merely for description and do not represent the merits of the embodiments.
The integrated unit in the above embodiments, if implemented in the form of a software functional unit and sold or used as a separate product, may be stored in the above computer-readable storage medium. Based on such understanding, the technical solution of the present invention may be embodied in the form of a software product, which is stored in a storage medium and includes several instructions for causing one or more computer devices (which may be personal computers, servers, network devices, etc.) to execute all or part of the steps of the method according to the embodiments of the present invention.
In the above embodiments of the present invention, the descriptions of the respective embodiments have respective emphasis, and for parts that are not described in detail in a certain embodiment, reference may be made to related descriptions of other embodiments.
In the several embodiments provided in the present application, it should be understood that the disclosed client may be implemented in other manners. The above-described embodiments of the apparatus are merely illustrative, and for example, the division of the units is only one type of division of logical functions, and there may be other divisions when actually implemented, for example, a plurality of units or components may be combined or may be integrated into another system, or some features may be omitted, or not executed. In addition, the shown or discussed mutual coupling or direct coupling or communication connection may be an indirect coupling or communication connection through some interfaces, units or modules, and may be in an electrical or other form.
The units described as separate parts may or may not be physically separate, and parts displayed as units may or may not be physical units, may be located in one place, or may be distributed on a plurality of network units. Some or all of the units can be selected according to actual needs to achieve the purpose of the solution of the embodiment.
In addition, functional units in the embodiments of the present invention may be integrated into one processing unit, or each unit may exist alone physically, or two or more units are integrated into one unit. The integrated unit can be realized in a form of hardware, and can also be realized in a form of a software functional unit.
The foregoing is only a preferred embodiment of the present invention, and it should be noted that, for those skilled in the art, various modifications and decorations can be made without departing from the principle of the present invention, and these modifications and decorations should also be regarded as the protection scope of the present invention.

Claims (12)

1. A method for displaying event results is characterized by comprising the following steps:
sending a query request for querying a first event execution result of a second account of a first application to a server by a client of the first application, wherein the client logs in by using the first account, the second account has an association relationship with the first account, the first event execution result of the second account is in a public state, and the public state is used for indicating that the first account is allowed to view the first event execution result obtained by the second account executing a first event in a first event platform;
receiving the first event execution result sent by the server in response to the query request, wherein the first event execution result A isjExpressed as:
Figure FDA0002721616260000011
wherein, PijIndicating that in the ith sub-period of the jth period, the secondEvent resource change corresponding to the first event of the account, CjRepresenting the sum of the original event resource and the increased event resource of the second account in the j period; or
The first event execution result AjExpressed as:
Figure FDA0002721616260000012
wherein M isnjRepresents the total event resource, M, of the second account in the last sub-period n of the jth period1jRepresenting the total event resource, S, of the second account before the second account executes the first event in the 1 st sub-period of the jth periodjRepresents an event resource obtained by the second account executing the first event in the j period, BjRepresents the event resource consumed by the second account to execute the first event in the j period, CjRepresenting the sum of the original event resource and the increased event resource of the second account in the j period;
arranging and displaying each account in a plurality of accounts and the first event execution result corresponding to each account in the client according to the size sequence of the change of the event resource corresponding to the first event, which is indicated by the first event execution result, wherein the second account comprises the plurality of accounts;
detecting a click operation of clicking the first event execution result on the client; after the click operation is detected, displaying a first event object of the first event executed by the second account on the first event platform in the client, wherein the click operation is accepted as the execution result of the first event under the condition that the second account is set to allow the first account to view the first event object;
the first event platform and the platform where the client of the first application is located are different platforms, and the execution results of the first event displayed by the client of the first application logged in by using the first account and the second account are different.
2. The method of claim 1, wherein presenting the received first event execution result in the client of the first application comprises:
updating, in the client of the first application, the first event execution result obtained by executing the first event in the first event platform by the second account within a first time period in which the first event platform allows the second account to execute the first event, and/or within a second time period having a preset time relationship with the first time period.
3. The method of claim 1, wherein presenting the received first event execution result in the client of the first application comprises:
displaying the first event execution result and a second event execution result in the client of the first application, wherein the second event execution result is an event execution result obtained by the first account executing a second event on a second event platform, and the first account is set to allow the second account to view the second event execution result obtained by the first account executing the second event on the second event platform.
4. The method of claim 1, wherein the query request carries a query time period, and sending, by a client of a first application, a query request for querying an execution result of a first event of a second account of the first application to a server comprises:
sending, by the client of a first application, a query request to the server for querying a result of the first event execution, obtained by executing the first event by the second account of the first application within the query time period.
5. A method for displaying event results is characterized by comprising the following steps:
receiving a query request sent by a client of a first application, wherein the query request is used for requesting to query a first event execution result of a second account in the client of the first application, the client logs in by using the first account, and the second account has an association relation with the first account;
detecting whether the second account is in a public state, wherein the public state is used for indicating that the second account allows the first account to view a first event execution result obtained by the second account executing a first event in a first event platform, and the first event execution result A is obtainedjExpressed as:
Figure FDA0002721616260000031
wherein, PijIndicating that in the ith sub-period of the jth period, the event resource corresponding to the first event of the second account is changed, CjRepresenting the sum of the original event resource and the increased event resource of the second account in the j period; or
The first event execution result AjExpressed as:
Figure FDA0002721616260000032
wherein M isnjRepresents the total event resource, M, of the second account in the last sub-period n of the jth period1jRepresenting the total event resource, S, of the second account before the second account executes the first event in the 1 st sub-period of the jth periodjRepresents an event resource obtained by the second account executing the first event in the j period, BjRepresents the event resource consumed by the second account to execute the first event in the j period, CjIs shown inThe sum of the original event resource and the increased event resource of the second account in the jth period;
sending the first event execution result to the client when the second account is in the public state, so as to arrange and display each account in a plurality of accounts and the first event execution result corresponding to each account in the client of the first application according to the size sequence of the change of the event resource corresponding to the first event, which is indicated by the first event execution result, in the client, wherein the second account comprises the plurality of accounts;
the first event platform and a platform where the client of the first application is located are different platforms, and the execution results of the first event displayed by the client of the first application logged in by using a first account and a second account are different;
the client is used for displaying a first event object of the first event executed by the second account on the first event platform after detecting a click operation of clicking the first event execution result, wherein the first event execution result receives the click operation when the second account is set to allow the first account to view the first event object.
6. The method of claim 5, wherein prior to issuing the first event execution result to the client, the method further comprises:
acquiring an execution record of a first event executed by a second account in the client of the first application, wherein the second account has an association relation with the first account, and the execution record and the event resource change of the second account are acquired on the first event platform;
and calculating the first event execution result of the second account executing the first event according to the execution record and the event resource change.
7. An apparatus for displaying event results, comprising:
a sending unit, configured to send, by a client of a first application, to a server, a query request for querying a first event execution result of a second account of the first application, where the client logs in by using a first account, the second account has an association relationship with the first account, the first event execution result of the second account is in a public state, and the public state is used to indicate that the first account is allowed to view the first event execution result obtained by the second account executing a first event in a first event platform;
a receiving unit, configured to receive the first event execution result sent by the server in response to the query request, where the first event execution result a isjExpressed as:
Figure FDA0002721616260000051
wherein, PijIndicating that in the ith sub-period of the jth period, the event resource corresponding to the first event of the second account is changed, CjRepresenting the sum of the original event resource and the increased event resource of the second account in the j period; or
The first event execution result AjExpressed as:
Figure FDA0002721616260000052
wherein M isnjRepresents the total event resource, M, of the second account in the last sub-period n of the jth period1jRepresenting the total event resource, S, of the second account before the second account executes the first event in the 1 st sub-period of the jth periodjRepresents an event resource obtained by the second account executing the first event in the j period, BjRepresents the event resource consumed by the second account to execute the first event in the j period, CjTo representThe sum of the original event resource and the increased event resource of the second account in the j period;
a first presentation unit, configured to present, in the client of the first application, the received first event execution result;
the first event platform and a platform where the client of the first application is located are different platforms, and the execution results of the first event displayed by the client of the first application logged in by using a first account and a second account are different;
the detection unit is used for detecting a click operation of clicking the first event execution result after the received first event execution result is displayed in the client of the first application;
a second presentation unit, configured to, after the click operation is detected, present, in the client, a first event object of the first event executed by the second account on the first event platform, where in a case where the second account is set to allow the first account to view the first event object, a result of the execution of the first event accepts the click operation;
the first display unit comprises: and the arranging module is used for arranging and displaying each account in a plurality of accounts and the first event execution result corresponding to each account in the client according to the size sequence of the change of the event resource corresponding to the first event indicated by the first event execution result, wherein the second account comprises the plurality of accounts.
8. The apparatus of claim 7, wherein the first presentation unit comprises:
an updating module, configured to update, in the client of the first application, a first event execution result obtained by executing the first event in the first event platform by the second account in a first time period in which the first event platform allows the second account to execute the first event, and/or in a second time period having a preset time relationship with the first time period.
9. The apparatus of claim 7, wherein the first presentation unit comprises:
a display module, configured to display the first event execution result and a second event execution result in the client of the first application, where the second event execution result is an event execution result obtained by the first account executing a second event on a second event platform, and the first account is set to allow the second account to view the second event execution result obtained by the first account executing the second event on the second event platform.
10. The apparatus of claim 7, wherein the query request carries a query time period, and the sending unit comprises:
a sending module, configured to send, to the server through the client of a first application, a query request for querying a first event execution result obtained by executing the first event by the second account of the first application within the query time period.
11. An apparatus for displaying event results, comprising:
a request receiving unit, configured to receive a query request sent by a client of a first application, where the query request is used to request to query a first event execution result of a second account in the client of the first application, where the client logs in by using the first account, and the second account has an association relationship with the first account;
a state detection unit, configured to detect whether the second account is in a public state, where the public state is used to indicate that the second account allows the first account to view a first event execution result obtained by the second account executing a first event in a first event platform, where the first event execution result a is an event execution result ajExpressed as:
Figure FDA0002721616260000071
wherein, PijIndicating that in the ith sub-period of the jth period, the event resource corresponding to the first event of the second account is changed, CjRepresenting the sum of the original event resource and the increased event resource of the second account in the j period; or
The first event execution result AjExpressed as:
Figure FDA0002721616260000072
wherein M isnjRepresents the total event resource, M, of the second account in the last sub-period n of the jth period1jRepresenting the total event resource, S, of the second account before the second account executes the first event in the 1 st sub-period of the jth periodjRepresents an event resource obtained by the second account executing the first event in the j period, BjRepresents the event resource consumed by the second account to execute the first event in the j period, CjRepresenting the sum of the original event resource and the increased event resource of the second account in the j period;
a result sending unit, configured to send the first event execution result to the client when the second account is in the public state, so as to arrange and display, in the client of the first application, each account in a plurality of accounts and the first event execution result corresponding to the each account in the client according to a size order of a change in an event resource corresponding to the first event, where the change is indicated by the first event execution result, and the second account includes the plurality of accounts;
the first event platform and a platform where the client of the first application is located are different platforms, and the execution results of the first event displayed by the client of the first application logged in by using a first account and a second account are different;
the client is used for displaying a first event object of the first event executed by the second account on the first event platform after detecting a click operation of clicking the first event execution result, wherein the first event execution result receives the click operation when the second account is set to allow the first account to view the first event object.
12. The apparatus of claim 11, further comprising:
an obtaining unit, configured to obtain, before sending the first event execution result to the client, an execution record of a first event executed by a second account in the client of the first application, where the second account has an association relationship with the first account, on the first event platform, and an event resource change of the second account;
and the calculating unit is used for calculating the first event execution result of the first event executed by the second account according to the execution record and the event resource change.
CN201610074820.4A2016-02-022016-02-02Event result display method and deviceActiveCN105760441B (en)

Priority Applications (1)

Application NumberPriority DateFiling DateTitle
CN201610074820.4ACN105760441B (en)2016-02-022016-02-02Event result display method and device

Applications Claiming Priority (1)

Application NumberPriority DateFiling DateTitle
CN201610074820.4ACN105760441B (en)2016-02-022016-02-02Event result display method and device

Publications (2)

Publication NumberPublication Date
CN105760441A CN105760441A (en)2016-07-13
CN105760441Btrue CN105760441B (en)2021-01-05

Family

ID=56329668

Family Applications (1)

Application NumberTitlePriority DateFiling Date
CN201610074820.4AActiveCN105760441B (en)2016-02-022016-02-02Event result display method and device

Country Status (1)

CountryLink
CN (1)CN105760441B (en)

Families Citing this family (4)

* Cited by examiner, † Cited by third party
Publication numberPriority datePublication dateAssigneeTitle
CN108777683B (en)*2018-05-302021-08-03腾讯科技(深圳)有限公司Data processing method, device, terminal, application server and storage medium
CN114866852B (en)*2021-01-202024-03-05腾讯科技(北京)有限公司Control showing method and device for interactive video, computer equipment and storage medium
CN113609368B (en)*2021-07-262023-09-01腾讯科技(深圳)有限公司Query result display method, device, equipment and storage medium of game account
CN115422228B (en)*2022-11-032023-01-03四川蜀天信息技术有限公司Account package management system

Citations (5)

* Cited by examiner, † Cited by third party
Publication numberPriority datePublication dateAssigneeTitle
US7512595B1 (en)*2006-01-032009-03-31Emc CorporationMethods and systems for utilizing configuration information
CN101562581A (en)*2009-05-262009-10-21腾讯科技(深圳)有限公司Method and system for achieving web page game
CN102236674A (en)*2010-04-292011-11-09腾讯科技(深圳)有限公司Method and device for updating index page
CN103457986A (en)*2013-02-062013-12-18江苏钱旺智能系统有限公司Method, server and terminal for pushing task event
EP2830262A1 (en)*2012-03-212015-01-28Tencent Technology (Shenzhen) Company LimitedInformation sharing method, device and storage medium

Family Cites Families (5)

* Cited by examiner, † Cited by third party
Publication numberPriority datePublication dateAssigneeTitle
CN101977256B (en)*2010-11-022014-03-05中国电信股份有限公司Method for opening status of coloring ring back tone (CRBT) and CRBT status interface machine
CN102307242B (en)*2011-09-272015-09-30杨维全A kind of implementation method of the address list across social network-i i-platform and system
AU2013217048B2 (en)*2012-02-072017-03-09Visa International Service AssociationMobile human challenge-response test
CN103391237B (en)*2012-05-082016-12-07腾讯科技(深圳)有限公司The method and apparatus showing Twitter message
CN104092597A (en)*2014-07-032014-10-08深圳市富途网络科技有限公司Instant communication method and system for financial transactions

Patent Citations (5)

* Cited by examiner, † Cited by third party
Publication numberPriority datePublication dateAssigneeTitle
US7512595B1 (en)*2006-01-032009-03-31Emc CorporationMethods and systems for utilizing configuration information
CN101562581A (en)*2009-05-262009-10-21腾讯科技(深圳)有限公司Method and system for achieving web page game
CN102236674A (en)*2010-04-292011-11-09腾讯科技(深圳)有限公司Method and device for updating index page
EP2830262A1 (en)*2012-03-212015-01-28Tencent Technology (Shenzhen) Company LimitedInformation sharing method, device and storage medium
CN103457986A (en)*2013-02-062013-12-18江苏钱旺智能系统有限公司Method, server and terminal for pushing task event

Non-Patent Citations (2)

* Cited by examiner, † Cited by third party
Title
《An Analysis of the Variables Predicting Instant Messenger Use》;Chung DH et al;《New Media & Society》;20070401;第9卷(第2期);全文*
《文件运动轨迹追踪技术的研究及实现》;王文宇;《计算机系统应用》;20100526;第19卷(第4期);全文*

Also Published As

Publication numberPublication date
CN105760441A (en)2016-07-13

Similar Documents

PublicationPublication DateTitle
JP5905544B2 (en) Online evaluation system and method
CN110516967B (en)Information evaluation method and related device
US20170193624A1 (en)Personal information certification and management system
US20140358726A1 (en)Inhibiting inappropriate communications between users involving transactions
US8666829B1 (en)Detecting fraudulent event listings
CN105760441B (en)Event result display method and device
US20250259239A1 (en)Banking as a Service Enabled Virtual Exchange Computing Platform
JP6106699B2 (en) Generating device, generating method, and generating program
Jung et al.Dynamics of dark web financial marketplaces: An exploratory study of underground fraud and scam business
US20160180353A1 (en)Analyzing data of cross border transactions within a network trading platform
AU2019419399B2 (en)Risk management system interface
US20170083881A1 (en)System and method for automatically ranking payment promises
JP2002092328A (en)Stock dealing system and stock dealing method
JP6294193B2 (en) Transaction management system and transaction management method
Bian et al.Data as a networked asset
KR102136108B1 (en)Method of providing real estate information for safe transaction using digital ledger with block chain security technology
KR20200138077A (en)System and method for trading crypto currency based on blockchain
US20160379248A1 (en)Presenting opportunities for instant transactions
CN117557390A (en)User identification method and computing device
KR20190099880A (en)Method for providing interface of comparing prices of digital currency therebetween
US20250022059A1 (en)Systems, methods, and apparatus for monitoring, adjusting, and mirroring electronic transactions across transaction environments
US20230306529A1 (en)Systems and methods for providing a social media stock exchange and associated interactions
JP2019023783A (en) Apparatus and method for analyzing virtual currency
Bian et al.The Network Structure of Data Economy
CN113313588A (en)Request response method, device and system, storage medium and electronic device

Legal Events

DateCodeTitleDescription
C06Publication
PB01Publication
C10Entry into substantive examination
SE01Entry into force of request for substantive examination
GR01Patent grant
GR01Patent grant

[8]ページ先頭

©2009-2025 Movatter.jp