




技术领域technical field
本发明涉及油田钻井领域,尤其涉及一种基于连续导向钻井的水平井着陆控制方法。The invention relates to the field of oil field drilling, in particular to a horizontal well landing control method based on continuous steering drilling.
背景技术Background technique
井眼轨迹控制是一个复杂的多扰动控制过程,其中水平井着陆控制方案的技术难点是:需要同时满足入靶位置和入靶方向的双重要求,以实现软着陆。Wellbore trajectory control is a complex multi-disturbance control process. The technical difficulty of the horizontal well landing control scheme is that it needs to meet the dual requirements of the target position and target direction at the same time to achieve a soft landing.
目前在水平钻井施工过程中,钻头距离靶区的距离越近,对于钻头的轨迹控制要求越高。在实际应用过程中,水平井着陆控制的关键阶段在于,钻头距离靶区窗口数十米的范围内。此时控制水平井的着陆轨迹不仅要满足入靶位置和入靶方向的双重要求,还需要应尽量采用最简单的工艺和工序,减少施工难度,提高井身质量。At present, in the process of horizontal drilling, the closer the drill bit is to the target area, the higher the requirement for the trajectory control of the drill bit. In the actual application process, the key stage of horizontal well landing control is that the drill bit is within tens of meters from the target window. At this time, controlling the landing trajectory of the horizontal well not only needs to meet the dual requirements of the target position and direction, but also needs to adopt the simplest process and procedure as much as possible to reduce the difficulty of construction and improve the quality of the wellbore.
目前,现有的软着陆控制方案采用“直线段—曲线段—直线段—曲线段—直线段”井身剖面,在钻进不同井段时需要频繁地更换钻具组合,对于现有技术中的五段式井身剖面,至少需要使用三套钻具组合、起下钻四次,严重影响了钻井速度和井身质量。At present, the existing soft landing control scheme adopts the well profile of "straight section-curve section-straight section-curve section-straight section". When drilling different well sections, the drilling tool assembly needs to be replaced frequently. For the existing technology The five-section wellbore profile requires at least three drilling tool assemblies and four trips, which seriously affects the drilling speed and wellbore quality.
现有的水平井着陆轨迹控制方法存在以下缺陷:(1)没有将水平井的着陆控制方案与靶区有机地结合起来,致使着陆控制方案与入靶要求相脱离;(2)施工工序多,钻井工艺复杂,钻井时效低。The existing horizontal well landing trajectory control methods have the following defects: (1) The landing control plan of the horizontal well is not organically combined with the target area, resulting in the separation of the landing control plan from the target entry requirements; (2) There are many construction procedures, The drilling process is complex and the drilling time efficiency is low.
发明内容Contents of the invention
本发明针对现有的钻井施工过程中出现的水平井着陆控制方法的不足,提出了一种新的水平井的着陆控制方法。Aiming at the deficiency of the horizontal well landing control method in the existing drilling construction process, the invention proposes a new horizontal well landing control method.
本发明提供的基于连续导向钻井的水平井着陆控制方法包括以下步骤:The horizontal well landing control method based on continuous steerable drilling provided by the present invention comprises the following steps:
S101、采用随钻测量仪获取实钻轨迹的测斜数据,按实际使用的导向钻井工艺,采用外推法计算井底点b的轨迹参数,所述轨迹参数包括所述井底点b的井斜角、方位角和井口坐标系下的空间坐标;S101. Obtain the inclination measurement data of the actual drilling trajectory by using the measuring instrument while drilling, and calculate the trajectory parameters of the bottom hole point b by the extrapolation method according to the actually used steering drilling technology, and the trajectory parameters include the well of the bottom hole point b Spatial coordinates under inclination angle, azimuth angle and wellhead coordinate system;
S102、在靶平面上选定入靶点e的位置,基于靶平面的摆放姿态,计算入靶点e在井口坐标系下的空间坐标;S102. Select the position of the entry point e on the target plane, and calculate the spatial coordinates of the entry point e in the wellhead coordinate system based on the placement posture of the target plane;
S103、采用包含两个曲率相等的连续圆弧井段作为井身剖面,实现水平井软着陆的连续导向控制;S103. Adopting two continuous circular-arc well sections with equal curvature as the wellbore section, realizing continuous steering control of soft landing of the horizontal well;
S104、根据水平井的着陆控制要求,选取着陆控制的设计造斜率,进而设计或选择出导向钻井工具;S104. According to the landing control requirements of the horizontal well, select the design build-up rate of the landing control, and then design or select the steering drilling tool;
S105、根据所述井底点b的轨迹参数、入靶点e的轨迹参数以及所述设计造斜率设计水平井着陆控制的工艺技术参数,所述工艺技术参数包括两个圆弧段的工具面角和段长;S105. According to the trajectory parameters of the bottom hole point b, the trajectory parameters of the target point e and the designed build-up rate, design the technical parameters of the horizontal well landing control, the technical parameters include the tool faces of two arc segments angle and segment length;
S106、根据水平井着陆控制方案及井眼轨迹设计要求,计算出着陆轨迹上各节点和分点的轨迹参数,并以图表形式输出设计结果,作为水平井着陆控制施工的依据。S106. According to the horizontal well landing control scheme and the design requirements of the wellbore trajectory, calculate the trajectory parameters of each node and sub-point on the landing trajectory, and output the design results in the form of a graph, as the basis for the horizontal well landing control construction.
根据本发明另一方面的方法,在所述步骤S102中,按照以下方法计算所述入靶点e的空间坐标:According to the method of another aspect of the present invention, in the step S102, the spatial coordinates of the entry point e are calculated according to the following method:
在靶平面上,以靶点t为坐标原点,以铅垂向上为x轴、水平向右为y轴,选定入靶点e的纵横坐标(xe,ye),根据靶点t的空间坐标(Nt,Et,Ht)、入靶点的靶平面坐标(xe,ye)以及靶平面的法线方位角φz,计算入靶点的空间坐标(Ne,Ee,He):On the target plane, take the target point t as the coordinate origin, take the vertical upward as the x-axis, and the horizontal rightward as the y-axis, select the vertical and horizontal coordinates (xe , ye ) of the target point e, according to the target point t Space coordinates (Nt , Et , Ht ), target plane coordinates of the entry point (xe , ye ) and normal azimuth φz of the target plane, calculate the space coordinates of the entry point (Ne , Ee , He ):
根据本发明另一方面的方法,在所述步骤S103中,按照如下方法实现水平井软着陆的连续导向控制:采用“第一直线段—第一圆弧段—第二圆弧段—第二直线段”井身剖面,其中两个圆弧段相邻且曲率相等。According to the method of another aspect of the present invention, in the step S103, the continuous steering control of the soft landing of the horizontal well is realized according to the following method: using "the first straight line segment - the first arc segment - the second arc segment - the second Straight line segment” wellbore profile, in which two arc segments are adjacent and have equal curvature.
根据本发明另一方面的方法,在所述步骤S104中,按照如下方法选取着陆控制的设计造斜率和导向钻井工具:着陆控制的设计造斜率是指在设计着陆轨迹控制方案时所使用的造斜率,即所述井身剖面中两个圆弧段的曲率,导向钻井工具造斜率宜高于设计造斜率10%~20%。According to the method of another aspect of the present invention, in said step S104, the design build-up rate of landing control and the steering drilling tool are selected according to the following method: the design build-up rate of landing control refers to the build-up rate used when designing the landing trajectory control scheme. Slope, that is, the curvature of the two arc segments in the well profile, the build-up rate of the steerable drilling tool should be 10% to 20% higher than the design build-up rate.
根据本发明另一方面的方法,在所述步骤S105中按照如下步骤设计着陆轨迹控制的工艺技术参数:According to the method of another aspect of the present invention, in said step S105, design the technological parameter of landing trajectory control according to the following steps:
S201、第二圆弧段始末点的井眼切线交于点n,且点n到该圆弧始末点的长度相等,其切线长度用u3表示,并选取一个u3的初值u30;S201. The borehole tangent of the start and end points of the second arc section intersects at point n, and the length from point n to the start and end points of the arc is equal. The length of the tangent line is represented by u3 , and an initial value of u3 is selected as u30 ;
S202、根据所述入靶点e的空间坐标、入靶方向、第二圆弧段切线长度初值以及给出的第二直线段的段长,采用如下公式计算第二圆弧段始末点切线交点n的空间坐标:S202. According to the spatial coordinates of the entry point e, the entry direction, the initial value of the tangent length of the second arc segment, and the segment length of the second straight line segment given, the following formula is used to calculate the tangent line of the beginning and end points of the second arc segment Spatial coordinates of the intersection point n:
S203、以井底点b为坐标原点,建立右手坐标系b—ξηζ,其中,ζ轴指向井眼轨迹的切线方向,η轴为空间斜平面的法线方向,ξ轴垂直于ζ轴和η轴并指向着陆轨迹的内法线方向,按如下公式计算所述交点n在井底坐标系下的空间坐标:S203. Taking the bottom-hole point b as the coordinate origin, establish a right-handed coordinate system b—ξηζ, wherein the ζ-axis points to the tangent direction of the wellbore trajectory, the η-axis is the normal direction of the space inclined plane, and the ξ-axis is perpendicular to the ζ-axis and η axis and point to the inner normal direction of the landing trajectory, calculate the spatial coordinates of the intersection point n under the well bottom coordinate system according to the following formula:
其中,
S204、根据所述交点n在井底坐标系下的空间坐标和第二圆弧段始末点的切线长度,对于设计造斜率κ或相应的曲率半径R和第一直线段的段长ΔL1这2个参数,已知其一,可设计出另一个参数:S204. According to the spatial coordinates of the intersection point n in the bottom hole coordinate system and the tangent length of the start and end points of the second arc segment, for the design build-up rate κ or the corresponding curvature radius R and the segment length ΔL1 of the first straight segment 2 parameters, one of which is known, another parameter can be designed:
当已知第一直线段的段长ΔL1时,按以下公式计算设计造斜率When the segment length ΔL1 of the first straight line segment is known, the design build-up rate is calculated according to the following formula
当已知设计造斜率κ或相应的曲率半径R时,按以下公式计算第一直线段的段长When the design build-up rate κ or the corresponding curvature radius R is known, calculate the segment length of the first straight line segment according to the following formula
S205、根据如下公式计算所述第一圆弧段的弯曲角:S205. Calculate the bending angle of the first arc segment according to the following formula:
S206、所述第一圆弧段和第二圆弧段连接点处的井斜角和方位角,按如下公式计算:S206. The inclination angle and azimuth angle at the connection point between the first arc segment and the second arc segment are calculated according to the following formula:
S207、采用如下公式计算所述第二圆弧段新的切线长度:S207. Calculate the new tangent length of the second arc segment by using the following formula:
其中,cosε3=cosαccosαe+sinαcsinαecos(φe-φc);Among them, cosε3 = cosαc cosαe + sinαc sinαe cos(φe -φc );
S208、若所述新切线长度u3及其初值u30满足|u3-u30|<ε,其中,ε为要求的计算精度,则完成迭代计算;否则,令u30=u3,返回到步骤S202,重复上述计算,直到满足精度要求为止;S208. If the new tangent length u3 and its initial value u30 satisfy |u3 -u30 |<ε, where ε is the required calculation accuracy, complete the iterative calculation; otherwise, set u30 = u3 , return to step S202, and repeat the above calculation until the accuracy requirement is met;
当满足精度要求后,按如下公式计算所述第一圆弧段和第二圆弧段的工具面角和段长:After meeting the accuracy requirements, calculate the tool face angle and segment length of the first arc segment and the second arc segment according to the following formula:
根据本发明另一方面的方法,存在一个最简单的井身剖面,所述井身剖面只包含两个圆弧段,其设计方法仍采用所述步骤S201-S208,只需令ΔL1=ΔL4=0;此时所确定出的造斜率也是能实现连续导向着陆控制的最小设计造斜率,可按如下公式计算:According to the method of another aspect of the present invention, there is a simplest wellbore profile, which only includes two arc segments, and its design method still adopts the steps S201-S208, only need to make ΔL1 =ΔL4 =0; the build-up rate determined at this time is also the minimum design build-up rate that can realize continuous guidance and landing control, which can be calculated according to the following formula:
本发明带来了以下有益效果:The present invention has brought following beneficial effect:
(1)本发明提出了水平井着陆控制与靶区有机结合的一体化技术,可同时满足入靶位置和入靶方向的双重要求;(1) The present invention proposes an integrated technology for the organic combination of horizontal well landing control and target area, which can simultaneously meet the dual requirements of the target position and direction;
(2)提出了连续导向着陆控制技术及方案设计方法,具有工艺简单、工序少、效率高、成本低等优点;(2) Proposed the continuous guidance landing control technology and scheme design method, which has the advantages of simple process, less process, high efficiency and low cost;
(3)在适当的条件下,采用一套钻具组合就可实现水平井的准确着陆,是工艺最简单、钻井效率最高的水平井着陆控制方法。(3) Under proper conditions, the accurate landing of horizontal wells can be realized by using a set of drilling tool assemblies, which is the method of horizontal well landing control with the simplest process and the highest drilling efficiency.
本发明的其它特征和优点将在随后的说明书中阐述,并且部分地从说明书中变得显而易见,或者通过实施本发明而了解。本发明的目的和其他优点可通过在说明书、权利要求书以及附图中所特别指出的结构来实现和获得。Additional features and advantages of the invention will be set forth in the description which follows, and in part will be apparent from the description, or may be learned by practice of the invention. The objectives and other advantages of the invention may be realized and attained by the structure particularly pointed out in the written description and claims hereof as well as the appended drawings.
附图说明Description of drawings
图1是本发明的水平井着陆控制原理示意图;Fig. 1 is the schematic diagram of horizontal well landing control principle of the present invention;
图2是本发明一实施例的连续导向着陆控制的原理示意图;Fig. 2 is a schematic diagram of the principle of continuous guidance landing control according to an embodiment of the present invention;
图3是本发明实施例提供的水平井连续导向着陆控制的技术方法流程图;Fig. 3 is a flow chart of a technical method for continuous steering and landing control of a horizontal well provided by an embodiment of the present invention;
图4是本发明的设计连续导向着陆控制工艺技术参数的方法流程图;Fig. 4 is the method flowchart of the design continuous guidance landing control technical parameter of the present invention;
图5是本发明最简洁的连续导向着陆控制井身剖面示意图。Fig. 5 is a schematic diagram of the succinct continuous steering landing control shaft section of the present invention.
具体实施方式Detailed ways
以下将结合附图来详细说明本发明的实施方式,借此对本发明如何应用技术手段来解决技术问题,并达成技术效果的实现过程能充分理解并据以实施。需要说明的是,只要不构成冲突,本发明各实施例以及各实施例中的各个特征可以相互结合,所形成的技术方案均在本发明的保护范围之内。The embodiments of the present invention will be described in detail below in conjunction with the accompanying drawings, so as to fully understand and implement the process of how to apply technical means to solve technical problems and achieve technical effects in the present invention. It should be noted that, as long as there is no conflict, each embodiment of the present invention and each feature in each embodiment can be combined with each other, and the formed technical solutions are all within the protection scope of the present invention.
另外,在附图的流程图示出的步骤可以在诸如一组计算机可执行指令的计算机系统中执行,并且,虽然在流程图中示出了逻辑顺序,但是在某些情况下,可以以不同于此处的顺序执行所示出或描述的步骤。In addition, the steps shown in the flow diagrams of the figures may be performed in a computer system, such as a set of computer-executable instructions, and, although a logical order is shown in the flow diagrams, in some cases, the sequence may be different. The steps shown or described are performed in the order herein.
本发明提供了在水平井施工过程中基于连续导向钻井的着陆轨迹控制方法。图1显示了本发明的水平井着陆控制原理示意图。如图1所示,水平井的设计轨道往往要求通过靶点t,实钻轨迹已钻达井底点b,即当前的钻头位置,而着陆轨迹是从井底点b开始钻达入靶点e的待钻轨迹。水平井的着陆控制方案就是要设计出着陆轨迹及其钻井工艺技术参数,使其同时满足入靶位置和入靶方向的双重要求,即实现软着陆。The invention provides a landing trajectory control method based on continuous steering drilling in the horizontal well construction process. Fig. 1 has shown the schematic diagram of the horizontal well landing control principle of the present invention. As shown in Figure 1, the design trajectory of a horizontal well often requires passing the target point t, the actual drilling trajectory has reached the bottom point b, which is the current drill bit position, and the landing trajectory starts from the bottom point b and reaches the target point e's trajectory to be drilled. The landing control scheme of a horizontal well is to design the landing trajectory and its drilling technical parameters so that it can meet the dual requirements of the target position and direction at the same time, that is, to achieve a soft landing.
图2是本发明的连续导向着陆控制的原理示意图。如图2所示,要同时满足入靶位置和入靶方向的双重要求,其井身剖面至少需包含2个曲线井段。本发明采用“直线段—圆弧段—圆弧段—直线段”井身剖面,来实现水平井软着陆的连续导向控制。其中两个圆弧段相邻且曲率相等,因此无需中途更换导向钻井工具就可以完成对井眼方向(包括井斜角和方位角)的连续调控,减少了更换钻具组合和起下钻次数。同时,首尾两个直线段给井眼轨迹控制留有余地,以弥补地层、导向钻井工具等造斜性能不确定性的影响。Fig. 2 is a schematic diagram of the principle of the continuous guidance landing control of the present invention. As shown in Fig. 2, in order to meet the dual requirements of both the target location and the target direction, the well profile must contain at least two curved well sections. The invention adopts the "straight line section-arc section-arc section-straight section" well profile to realize the continuous steering control of the soft landing of the horizontal well. The two arc segments are adjacent and have equal curvature, so the borehole direction (including inclination and azimuth) can be continuously controlled without changing the steering drilling tool midway, reducing the number of drill tool assembly replacements and tripping times. At the same time, the two straight sections at the beginning and the end allow room for wellbore trajectory control, so as to compensate for the influence of the uncertainty of formation, steering drilling tools and other deflection performance.
如图1和2所示,为了便于阐述本发明的内容,建立了如下3个坐标系:As shown in Figures 1 and 2, in order to facilitate the content of the present invention, the following three coordinate systems have been established:
①井口坐标系。以井口作为坐标系的原点,建立O—NEH坐标系。其中,N轴指向正北方向,E轴指向正东方向,H轴铅垂向下指向垂深方向;① Wellhead coordinate system. With the wellhead as the origin of the coordinate system, the O-NEH coordinate system is established. Among them, the N axis points to the true north direction, the E axis points to the true east direction, and the H axis points vertically downward to the vertical depth direction;
②靶点坐标系。以靶点t为原点,以靶平面的外法线(钻头前进方向)为z轴,以过z轴的铅垂平面与靶平面的交线为x轴并取高边方向为正,根据右手法则确定y轴,建立坐标系t—xyz;② Target coordinate system. Take the target point t as the origin, take the outer normal of the target plane (the direction of the drill head) as the z-axis, take the intersection line of the vertical plane passing through the z-axis and the target plane as the x-axis, and take the direction of the high side as positive, according to the right hand Determine the y-axis according to the law, and establish the coordinate system t—xyz;
③井底坐标系。以井底点b为原点,建立右手坐标系b—ξηζ。其中,ζ轴指向井眼轨迹的切线方向,η轴为空间斜平面Ω2的法线方向,ξ轴垂直于ζ轴和η轴并指向着陆轨迹的内法线方向。③Bottom coordinate system. With the bottom point b as the origin, a right-handed coordinate system b—ξηζ is established. Among them, the ζ-axis points to the tangential direction of the wellbore trajectory, the η-axis is the normal direction of the space inclined planeΩ2 , and the ξ-axis is perpendicular to the ζ-axis and the η-axis and points to the inner normal direction of the landing trajectory.
要实施本发明需要以下已知数据:To practice the invention requires the following known data:
①井底点的轨迹参数,包括井底点(b)在井口坐标系下的空间坐标(Nb,Eb,Hb)和井眼方向(αb,φb);①The trajectory parameters of the bottom hole point, including the space coordinates (Nb , Eb , Hb ) of the bottom hole point (b) in the wellhead coordinate system and the borehole direction (αb , φb );
②靶区参数,包括靶点(t)在井口坐标系下的空间坐标(Nt,Et,Ht)和靶平面的法线方位角φz;② Target area parameters, including the space coordinates (Nt , Et , Ht ) of the target point (t) in the wellhead coordinate system and the normal azimuth φz of the target plane;
③入靶参数,包括入靶点(e)在靶点坐标系下的坐标(xe,ye)和入靶方向(αe,φe)以及入靶前直线段(即第二直线段)的段长ΔL4。③Targeting parameters, including the coordinates (xe , ye ) of the target point (e) in the target point coordinate system, the direction of the target (αe , φe ) and the straight line segment before the target (that is, the second straight line segment ) segment length ΔL4 .
本发明将得到基于连续导向钻井的水平井着陆控制方案,其主要技术参数包括:The present invention will obtain the horizontal well landing control scheme based on continuous steerable drilling, and its main technical parameters include:
①两个圆弧段的设计造斜率κ(或曲率半径R)或第一直线段的段长ΔL1;①The design slope κ (or curvature radius R) of the two arc segments or the segment length ΔL1 of the first straight segment;
②两个圆弧段连接点(c)的井斜角αc和方位角φc;② Well inclination αc and azimuth φc of the connecting point (c) of two arc segments;
③两个圆弧段的工具面角(ω2,ω3)和段长(ΔL2,ΔL3)。③ Tool face angle (ω2 , ω3 ) and segment length (ΔL2 , ΔL3 ) of the two arc segments.
此外,本发明在实施过程中还涉及到一些中间参数,包括第一圆弧段和第二圆弧段的弯曲角ε2和ε3、第二圆弧段始末点切线交点n的空间坐标(Nn,En,Hn)、第二圆弧段始末点的切线长度u3等。In addition, the present invention also involves some intermediate parameters in the implementation process, including the bending angles ε2 and ε3 of the first arc segment and the second arc segment, the space coordinates of the intersection point n of the tangent line at the start and end points of the second arc segment ( Nn , En , Hn ), the tangent length u3 of the start and end points of the second arc segment, etc.
实施例一Embodiment one
图3是本发明实施例提供的水平井连续导向着陆控制的技术方法流程图,该方法包括:Fig. 3 is a flow chart of a technical method for continuous steering and landing control of a horizontal well provided by an embodiment of the present invention, the method comprising:
S101、根据实钻轨迹的测斜数据,计算或预测井底点b的轨迹参数,包括所述井底点b的井斜角、方位角和空间坐标。S101. According to the inclination data of the actual drilling trajectory, calculate or predict the trajectory parameters of the bottom hole point b, including the inclination angle, azimuth angle and spatial coordinates of the bottom hole point b.
具体地,可以利用MWD等仪器随钻测量实钻轨迹,根据实际使用的导向钻井工艺选择测斜计算方法,采用外推法计算或预测出井底点的空间坐标(Nb,Eb,Hb)和井眼方向(αb,φb)。Specifically, MWD and other instruments can be used to measure the actual drilling trajectory while drilling, and the calculation method of inclination measurement can be selected according to the actual steering drilling technology, and the spatial coordinates of the bottom hole point (Nb , Eb , Hb ) and borehole direction (αb , φb ).
S102、在靶平面上选定入靶点e在靶点坐标系下的坐标(xe,ye),基于预先设计好的靶区参数,计算入靶点e在井口坐标系下的空间坐标。S102. Select the coordinates (xe , ye ) of the entry point e in the target point coordinate system on the target plane, and calculate the spatial coordinates of the entry point e in the wellhead coordinate system based on the pre-designed target area parameters .
在实际应用过程中,水平井的入靶窗口位于铅垂平面内,该平面称之为靶平面。在本实施例中,靶平面的位置及摆放姿态是事先给定的。由于靶平面通过靶点t,且水平井的靶平面是垂直放置的,所以靶点坐标(Nt,Et,Ht)为已知数据,且靶平面的摆放姿态可用其法线方位角φz来表征。In practical application, the target window of the horizontal well is located in the vertical plane, which is called the target plane. In this embodiment, the position and posture of the target plane are given in advance. Since the target plane passes through the target point t, and the target plane of the horizontal well is placed vertically, the coordinates of the target point (Nt , Et , Ht ) are known data, and the orientation of the target plane can be determined by its normal orientation Angle φz to characterize.
S103、采用包含两个相邻且曲率相等的圆弧段作为井身剖面,实现水平井软着陆的连续导向控制。S103. Using two adjacent circular arc segments with equal curvature as the wellbore profile to realize continuous steering control of the soft landing of the horizontal well.
要同时满足入靶位置和入靶方向的双重要求,其井身剖面至少需包含2个曲线井段。本发明采用“直线段—圆弧段—圆弧段—直线段”井身剖面,来实现水平井软着陆的连续导向控制。其中两个圆弧段相邻且曲率相等,因此无需中途更换导向钻井工具就可以完成对井眼方向(包括井斜角和方位角)的连续调控,减少了更换钻具组合和起下钻次数。同时,首尾两个直线段给井眼轨迹控制留有余地,以弥补地层、导向钻井工具等造斜性能不确定性的影响。To meet the dual requirements of the target position and direction at the same time, the well profile must contain at least two curved well sections. The invention adopts the "straight line section-arc section-arc section-straight section" well profile to realize the continuous steering control of the soft landing of the horizontal well. The two arc segments are adjacent and have equal curvature, so the borehole direction (including inclination and azimuth) can be continuously controlled without changing the steering drilling tool midway, reducing the number of drill tool assembly replacements and tripping times. At the same time, the two straight sections at the beginning and the end allow room for wellbore trajectory control, so as to compensate for the influence of the uncertainty of formation, steering drilling tools and other deflection performance.
S104、根据水平井的着陆控制要求,选取着陆控制的设计造斜率,进而设计或选择出导向钻井工具。S104. According to the landing control requirements of the horizontal well, select the design build-up rate of the landing control, and then design or select the steering drilling tool.
着陆控制的设计造斜率是指在设计着陆轨迹控制方案时所使用的造斜率,即所述井身剖面中两个圆弧段的曲率。若选取的设计造斜率过高,会增大钻柱和套管柱的摩阻和下入难度,且减小导向钻井工具的选择余地;若选取的设计造斜率过低,会减小着陆轨迹的调控余地,甚至无法设计出着陆轨迹的控制方案。The design build-up rate of the landing control refers to the build-up rate used when designing the landing trajectory control scheme, that is, the curvature of the two arc segments in the well profile. If the selected design build-up rate is too high, it will increase the friction and difficulty of running the drill string and casing string, and reduce the choice of steering drilling tools; if the selected design build-up rate is too low, it will reduce the landing trajectory There is little room for regulation, and it is even impossible to design a control scheme for the landing trajectory.
选取设计造斜率还应考虑现有导向钻井工具的准备情况,如果没有合适的导向钻井工具可供选择,会导致无法实施着陆轨迹控制方案。通常,所使用的导向钻井工具造斜率宜高于设计造斜率10%~20%。The preparation of existing steering drilling tools should also be considered when selecting the design build-up rate. If there is no suitable steering drilling tool to choose from, the landing trajectory control scheme will not be implemented. Usually, the build-up rate of the steering drilling tool used should be 10%-20% higher than the design build-up rate.
S105、根据所述井底点b的轨迹参数、入靶点e的轨迹参数以及所述设计造斜率等数据,设计水平井着陆控制的工艺技术参数,所述工艺技术参数包括两个圆弧段的工具面角和段长。S105. According to the trajectory parameters of the bottom hole point b, the trajectory parameters of the target point e, and the design build-up rate and other data, design the technical parameters of the horizontal well landing control, and the technical parameters include two arc segments tool face angle and segment length.
在步骤S105中,轨迹参数包括空间坐标和入靶方向。In step S105, the trajectory parameters include space coordinates and target direction.
S106、根据水平井着陆控制方案及井眼轨迹设计要求,计算出着陆轨迹上各节点和分点的轨迹参数,并以图表形式输出设计结果,作为水平井着陆控制施工的依据。S106. According to the horizontal well landing control scheme and the design requirements of the wellbore trajectory, calculate the trajectory parameters of each node and sub-point on the landing trajectory, and output the design results in the form of a graph, as the basis for the horizontal well landing control construction.
在上述步骤S102中可以具体为:In the above step S102, it may be specifically:
所述入靶点e在靶点坐标系下的坐标为(xe,ye),已知靶平面的法线方位角φz,靶点(t)在井口坐标系下的空间坐标为(Nt,Et,Ht),根据公式The coordinates of the entry point e in the target point coordinate system are (xe , ye ), the normal azimuth angle φz of the target plane is known, and the space coordinates of the target point (t) in the wellhead coordinate system are ( Nt , Et , Ht ), according to the formula
计算入靶点(e)的空间坐标。Calculate the spatial coordinates of the entry point (e).
图4是本发明的设计连续导向着陆控制工艺技术参数的方法流程图,在上述步骤S105可以具体为如下步骤:Fig. 4 is the method flowchart of the present invention's design continuous guidance landing control process technical parameter, can be specifically as follows in above-mentioned step S105:
S201、第二圆弧段始末点的井眼切线交于n点,且n点到该圆弧始末点的长度相等,其切线长度用u3表示。为实施迭代计算,应选取一个u3的初值u30;S201. The borehole tangents of the start and end points of the second arc section intersect at point n, and the length from point n to the start and end points of the arc is equal, and the length of the tangent line is represented by u3 . In order to implement iterative calculation, an initial value u30 of u3 should be selected;
S202、根据所述入靶点的空间坐标、入靶方向、第二圆弧段切线长度初值以及第二直线段的段长,采用如下公式计算第二圆弧段始末点切线交点n的空间坐标:S202. According to the spatial coordinates of the entry point, the entry direction, the initial value of the tangent length of the second arc segment, and the segment length of the second straight line segment, the following formula is used to calculate the space of the intersection point n of the tangent line at the beginning and end points of the second arc segment coordinate:
S203、根据井底坐标系与井口坐标系之间的转换关系,按如下公式计算所述交点n在井底坐标系下的空间坐标:S203. According to the conversion relationship between the bottom-hole coordinate system and the wellhead coordinate system, calculate the spatial coordinates of the intersection point n in the bottom-hole coordinate system according to the following formula:
其中,
S204、根据所述交点n在井底坐标系下的空间坐标和第二圆弧段始末点的切线长度,对于设计造斜率κ(或所对应的曲率半径R)和第一直线段的段长ΔL1这2个参数,已知其一,可设计出另一个参数。S204. According to the spatial coordinates of the intersection point n in the bottom hole coordinate system and the tangent length of the start and end points of the second arc segment, for the design build-up rate κ (or the corresponding curvature radius R) and the segment length of the first straight line segment For the two parameters of ΔL1 , one of them is known, and the other parameter can be designed.
当已知第一直线段的段长ΔL1时,按以下公式计算设计造斜率:When the segment length ΔL1 of the first straight line segment is known, the design build-up slope is calculated according to the following formula:
当已知设计造斜率κ(或所对应的曲率半径R)时,按以下公式计算第一直线段的段长:When the design build-up rate κ (or the corresponding curvature radius R) is known, calculate the segment length of the first straight line segment according to the following formula:
S205、根据如下公式计算所述第一圆弧段的弯曲角:S205. Calculate the bending angle of the first arc segment according to the following formula:
S206、所述第一圆弧段和第二圆弧段连接点处的井斜角和方位角,按如下公式计算:S206. The inclination angle and azimuth angle at the connection point between the first arc segment and the second arc segment are calculated according to the following formula:
S207、采用如下公式计算所述第二圆弧段新的切线长度:S207. Calculate the new tangent length of the second arc segment by using the following formula:
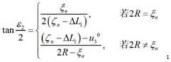
其中,in,
cosε3=cosαccosαe+sinαcsinαecos(φe-φc) (15)cosε3 = cosαc cosαe + sinαc sinαe cos(φe -φc ) (15)
S208、若所述新切线长度u3及其初值u30满足|u3-u30|<ε(其中,ε为要求的计算精度),则完成迭代计算;否则,令u30=u3,返回到步骤S202,重复上述计算,直到满足精度要求为止。S208. If the new tangent length u3 and its initial value u30 satisfy |u3 -u30 |<ε (wherein, ε is the required calculation accuracy), complete the iterative calculation; otherwise, let u30 =u3 , return to step S202, and repeat the above calculation until the accuracy requirement is met.
当满足精度要求后,按如下公式计算所述第一圆弧段和第二圆弧段的工具面角和段长:After meeting the accuracy requirements, calculate the tool face angle and segment length of the first arc segment and the second arc segment according to the following formula:
图5是本发明最简洁的连续导向着陆控制井身剖面示意图。当各种不确定性因素影响较小时,可取消首尾两个直线段,而采用最简单的井身剖面来实现水平井着陆的连续导向控制。这种井身剖面仅包含两个圆弧段,其设计方法仍采用所述步骤S201-S208,只需取ΔL1=ΔL4=0即可。在同时满足入靶位置和入靶方向双重要求的条件下,这种情况所确定出的造斜率也是能实现连续导向着陆控制的最小设计造斜率,可按如下公式计算:Fig. 5 is a schematic diagram of the succinct continuous steering landing control shaft section of the present invention. When the influence of various uncertain factors is small, the first and last two straight line sections can be canceled, and the simplest wellbore profile can be used to realize the continuous steering control of horizontal well landing. This kind of wellbore profile only includes two circular arc segments, and its design method still adopts the above steps S201-S208, and only needs to take ΔL1 =ΔL4 =0. Under the condition that the dual requirements of the target entry position and the target entry direction are satisfied at the same time, the build-up rate determined in this case is also the minimum design build-up rate that can realize continuous guidance and landing control, which can be calculated according to the following formula:
实施例二Embodiment two
下面以某实际水平井为例来具体说明本发明的技术原理和步骤如何实现着陆轨迹控制。Below, an actual horizontal well is taken as an example to specifically illustrate how the technical principle and steps of the present invention realize the landing trajectory control.
某水平井的靶点坐标为:北坐标Nt=140m、东坐标Et=242.5m、垂深Ht=1500m,靶平面的法线方位角φz=60°。当钻进至井深1551.93m时,经实钻轨迹计算知:井底点的井斜角αb=70°、方位角φb=55°、北坐标Nb=99.03m、东坐标Eb=160.63m、垂深Hb=1478.88m。若要求入靶点坐标xe=1m、ye=-3m,即入靶点位于靶点上方1m、左侧3m,入靶井斜角αe=88°、入靶方位角φe=61°,造斜后直接着陆,即第二直线段的段长ΔL4=0,试设计适用于连续导向钻进的着陆轨迹控制方案。The target coordinates of a horizontal well are: north coordinate Nt =140m, east coordinate Et =242.5m, vertical depth Ht =1500m, and the normal azimuth of the target plane φz =60°. When the well is drilled to a depth of 1551.93m, the actual drilling trajectory is calculated: the inclination angle αb =70°, the azimuth angle φb =55°, the north coordinate Nb =99.03m, and the east coordinate Eb = 160.63m, vertical depth Hb =1478.88m. If the coordinates of the target point xe =1m, ye =-3m are required, that is, the target point is located 1m above the target point and 3m to the left, the target well inclination angle αe =88°, and the target azimuth angle φe =61 °, landing directly after build-up, that is, the segment length of the second straight line ΔL4 =0, try to design a landing trajectory control scheme suitable for continuous directional drilling.
选取设计造斜率κ=9°/30m,所对应的曲率半径R=190.99m。按工具造斜率宜Select the design slope κ=9°/30m, and the corresponding curvature radius R=190.99m. The slope should be made according to the tool
高于设计造斜率10%~20%的原则,应选用造斜率为10°/30m左右甚至更高的导向钻井工具。The principle of 10%-20% higher than the designed deflection rate should be selected with a deflection rate of about 10°/30m or even higher.
由公式(1),算得入靶点的空间坐标(Ne,Ee,He):From the formula (1), the space coordinates (Ne , Ee , Hee ) of the target point can be calculated:
选取第二圆弧段切线长度的初值u30=15.00m,按照实施例一中公式(2)~(15),算得:第一圆弧段的段长ΔL2=9.99m,第一圆弧段和第二圆弧段的连接点的井斜角αc=80.00°和方位角φc=67.00°,两圆弧段的弯曲角ε2=15.29°、ε3=9.98°,以及ξ轴的单位坐标向量aN=-0.5124、aE=0.6219、aH=-0.5922。Select the initial value of the tangent length of the second arc segment u30 =15.00m, according to the formulas (2) to (15) in the first embodiment, calculate: the segment length of the first arc segment ΔL2 =9.99m, the first The inclination angle αc =80.00° and the azimuth angle φc =67.00° at the connection point between the circular arc segment and the second circular arc segment, the bending angles of the two circular arc segments ε2 =15.29°, ε3 =9.98°, and The unit coordinate vectors of the ξ axis are aN =-0.5124, aE =0.6219, and aH =-0.5922.
然后,根据公式(16)和公式(17),算得第一圆弧段的工具面角和段长:Then, according to formula (16) and formula (17), calculate the tool face angle and segment length of the first arc segment:
以及第二圆弧段的工具面角和段长:and the tool face angle and segment length of the second arc segment:
最后,根据井眼轨迹的空间圆弧模型可计算出着陆轨迹的节点及分点数据,进而可绘制着陆轨迹的垂直剖面图和水平投影图。其中,着陆轨迹的节点数据见表1。Finally, according to the space arc model of the borehole trajectory, the node and subpoint data of the landing trajectory can be calculated, and then the vertical profile and horizontal projection diagram of the landing trajectory can be drawn. Among them, the node data of the landing trajectory are shown in Table 1.
表1实施例着陆轨迹的节点数据The node data of table 1 embodiment landing track
若取ΔL1=0,按本发明的技术方法流程,算得:最小设计造斜率κmin=7.61°/30m。如果采用该造斜率来设计着陆控制方案,将得到如图5所示的井身剖面,其着陆轨迹的节点数据见表2。该井身剖面仅包含两个圆弧段,因此只需使用一套钻具组合就可实现水平井的连续导向着陆控制,是工艺最简单、工序最少、效率最高的水平井着陆控制方案。If ΔL1 =0, according to the technical process flow of the present invention, it is calculated: the minimum design build-up slope κmin =7.61°/30m. If this build-up rate is used to design the landing control scheme, the well profile shown in Fig. 5 will be obtained, and the node data of the landing trajectory are shown in Table 2. The wellbore profile only includes two circular arc segments, so only one drilling tool assembly can be used to realize the continuous steering landing control of the horizontal well, which is the horizontal well landing control scheme with the simplest process, the least process and the highest efficiency.
表2实施例最简洁着陆轨迹的节点数据The node data of the most concise landing trajectory of the embodiment of table 2
虽然本发明所揭露的实施方式如上,但所述的内容只是为了便于理解本发明而采用的实施方式,并非用以限定本发明。任何本发明所属技术领域内的技术人员,在不脱离本发明所揭露的精神和范围的前提下,可以在实施的形式上及细节上作任何的修改与变化,但本发明的专利保护范围,仍须以所附的权利要求书所界定的范围为准。Although the embodiments disclosed in the present invention are as above, the described content is only an embodiment adopted for the convenience of understanding the present invention, and is not intended to limit the present invention. Anyone skilled in the technical field to which the present invention belongs can make any modifications and changes in the form and details of the implementation without departing from the spirit and scope disclosed by the present invention, but the patent protection scope of the present invention, The scope defined by the appended claims must still prevail.
| Application Number | Priority Date | Filing Date | Title |
|---|---|---|---|
| CN201310254183.5ACN103883255B (en) | 2013-06-24 | 2013-06-24 | A kind of horizontal well landing path control method based on continuous steerable drilling well |
| Application Number | Priority Date | Filing Date | Title |
|---|---|---|---|
| CN201310254183.5ACN103883255B (en) | 2013-06-24 | 2013-06-24 | A kind of horizontal well landing path control method based on continuous steerable drilling well |
| Publication Number | Publication Date |
|---|---|
| CN103883255Atrue CN103883255A (en) | 2014-06-25 |
| CN103883255B CN103883255B (en) | 2016-04-20 |
| Application Number | Title | Priority Date | Filing Date |
|---|---|---|---|
| CN201310254183.5AActiveCN103883255B (en) | 2013-06-24 | 2013-06-24 | A kind of horizontal well landing path control method based on continuous steerable drilling well |
| Country | Link |
|---|---|
| CN (1) | CN103883255B (en) |
| Publication number | Priority date | Publication date | Assignee | Title |
|---|---|---|---|---|
| CN104405284A (en)* | 2014-12-10 | 2015-03-11 | 中国石油化工股份有限公司 | Design method of three dimensional horizontal well pilot rail |
| CN105114059A (en)* | 2015-08-03 | 2015-12-02 | 中国地质大学(武汉) | Three-dimensional directional well trajectory design and control parameter discrimination method |
| CN105888551A (en)* | 2016-05-13 | 2016-08-24 | 国家电网公司 | Well digging process for drilling long inclined well at one step by aid of reverse well method |
| CN106121539A (en)* | 2016-06-27 | 2016-11-16 | 中国石油天然气股份有限公司 | Method and device for optimally taking value of deflecting rate of deflecting section of horizontal well |
| CN106152609A (en)* | 2015-03-26 | 2016-11-23 | 郑州大学 | A kind of well factory earth source heat pump well spacing line method |
| CN109653728A (en)* | 2019-02-27 | 2019-04-19 | 四川轻化工大学 | Borehole trajectory pre-drilling simulation method based on vector similarity |
| CN112065281A (en)* | 2020-09-10 | 2020-12-11 | 中国石油天然气股份有限公司 | Drilling tool combination structure parameter determination method based on composite drilling proportion target |
| CN112065277A (en)* | 2020-09-10 | 2020-12-11 | 中国石油天然气股份有限公司 | Method and device for determining drilling tool assembly in borehole trajectory continuous control drilling operation |
| CN115142791A (en)* | 2022-08-02 | 2022-10-04 | 中国石油天然气集团有限公司 | Automatic curvature control method and system for rotary guide system and computer equipment |
| CN115142837A (en)* | 2022-07-08 | 2022-10-04 | 陕西延长石油(集团)有限责任公司 | Track design method for horizontal well vector window entry |
| Publication number | Priority date | Publication date | Assignee | Title |
|---|---|---|---|---|
| US5339913A (en)* | 1991-10-09 | 1994-08-23 | Rives Allen K | Well orienting tool and method of use |
| US20090090555A1 (en)* | 2006-12-07 | 2009-04-09 | Nabors Global Holdings, Ltd. | Automated directional drilling apparatus and methods |
| EP2182165A2 (en)* | 2008-11-03 | 2010-05-05 | Halliburton Energy Service, Inc. | Drilling apparatus and method |
| CN102162355A (en)* | 2011-03-09 | 2011-08-24 | 邱世军 | Geosteering method for landing horizontal well |
| CN102493766A (en)* | 2011-11-30 | 2012-06-13 | 中国石油集团钻井工程技术研究院 | Borehole track control method and borehole track control system |
| Publication number | Priority date | Publication date | Assignee | Title |
|---|---|---|---|---|
| US5339913A (en)* | 1991-10-09 | 1994-08-23 | Rives Allen K | Well orienting tool and method of use |
| US20090090555A1 (en)* | 2006-12-07 | 2009-04-09 | Nabors Global Holdings, Ltd. | Automated directional drilling apparatus and methods |
| EP2182165A2 (en)* | 2008-11-03 | 2010-05-05 | Halliburton Energy Service, Inc. | Drilling apparatus and method |
| CN102162355A (en)* | 2011-03-09 | 2011-08-24 | 邱世军 | Geosteering method for landing horizontal well |
| CN102493766A (en)* | 2011-11-30 | 2012-06-13 | 中国石油集团钻井工程技术研究院 | Borehole track control method and borehole track control system |
| Publication number | Priority date | Publication date | Assignee | Title |
|---|---|---|---|---|
| CN104405284B (en)* | 2014-12-10 | 2016-08-17 | 中国石油化工股份有限公司 | A kind of three-dimensional horizontal well leads a rail design method |
| CN104405284A (en)* | 2014-12-10 | 2015-03-11 | 中国石油化工股份有限公司 | Design method of three dimensional horizontal well pilot rail |
| CN106152609A (en)* | 2015-03-26 | 2016-11-23 | 郑州大学 | A kind of well factory earth source heat pump well spacing line method |
| CN105114059A (en)* | 2015-08-03 | 2015-12-02 | 中国地质大学(武汉) | Three-dimensional directional well trajectory design and control parameter discrimination method |
| CN105114059B (en)* | 2015-08-03 | 2017-10-13 | 中国地质大学(武汉) | A kind of three-dimensional orientation well Trajectory Design and control parameter method of discrimination |
| CN105888551A (en)* | 2016-05-13 | 2016-08-24 | 国家电网公司 | Well digging process for drilling long inclined well at one step by aid of reverse well method |
| CN105888551B (en)* | 2016-05-13 | 2018-11-06 | 国家电网公司 | Anti- well method is once drilled to long inclined shaft sinking shaft technique |
| CN106121539A (en)* | 2016-06-27 | 2016-11-16 | 中国石油天然气股份有限公司 | Method and device for optimally taking value of deflecting rate of deflecting section of horizontal well |
| CN109653728A (en)* | 2019-02-27 | 2019-04-19 | 四川轻化工大学 | Borehole trajectory pre-drilling simulation method based on vector similarity |
| CN112065281A (en)* | 2020-09-10 | 2020-12-11 | 中国石油天然气股份有限公司 | Drilling tool combination structure parameter determination method based on composite drilling proportion target |
| CN112065277A (en)* | 2020-09-10 | 2020-12-11 | 中国石油天然气股份有限公司 | Method and device for determining drilling tool assembly in borehole trajectory continuous control drilling operation |
| CN112065281B (en)* | 2020-09-10 | 2022-06-03 | 中国石油天然气股份有限公司 | Drilling tool combination structure parameter determination method based on composite drilling proportion target |
| CN115142837A (en)* | 2022-07-08 | 2022-10-04 | 陕西延长石油(集团)有限责任公司 | Track design method for horizontal well vector window entry |
| CN115142837B (en)* | 2022-07-08 | 2024-05-14 | 陕西延长石油(集团)有限责任公司 | A trajectory design method for vector window entry in horizontal wells |
| CN115142791A (en)* | 2022-08-02 | 2022-10-04 | 中国石油天然气集团有限公司 | Automatic curvature control method and system for rotary guide system and computer equipment |
| Publication number | Publication date |
|---|---|
| CN103883255B (en) | 2016-04-20 |
| Publication | Publication Date | Title |
|---|---|---|
| CN103883255A (en) | Horizontal well landing path control method based on continuously-oriented well drilling | |
| CN104481398B (en) | A kind of three-dimensional horizontal well drilling construction method | |
| CN103883312B (en) | Universal method for forecasting in-target situation of guide drilling | |
| CN104481400B (en) | A kind of three-dimensional horizontal well track control method | |
| CN103883250B (en) | A kind of horizontal well orientation preferentially Landing Control method based on slide-and-guide drilling well | |
| CN102425374B (en) | Wellbore trajectory control method | |
| CN103883249B (en) | A kind of horizontal well Landing Control method based on rotary steerable drilling | |
| CN108571287B (en) | The hole trajectory control system of Kernel-based methods control | |
| CN107676038B (en) | While-drilling geosteering method for horizontal well trajectory in inclined thin reservoir | |
| CN101983276A (en) | Systems and methods for modeling wellbore trajectories | |
| CN103883311A (en) | Composite oriented drilling target-entering situation prediction method | |
| CN103967479B (en) | A kind of rotary steerable drilling enters target prediction of situation method | |
| CN111119855A (en) | Borehole trajectory prediction method based on formation and drilling tool characteristics | |
| CN110513043B (en) | A control method for inclination correction in vertical drilling process based on automatic steerable drilling tools | |
| CN107869346B (en) | Borehole trajectory prediction method based on working characteristics of guide drilling tool | |
| CN105095540A (en) | Normal plane scanning analytical method for inter-well relative position relations | |
| CN103883307B (en) | Universal steering drilling method employing target-hitting priority landing control | |
| CN103967480A (en) | Slide-and-guide drilling based target-entering situation predicting method | |
| CN107060642A (en) | Horizontal well track control method being connected trona deep-thin layer more | |
| CN103883306B (en) | A kind of horizontal well orientation preferentially Landing Control method based on compound direction drilling well | |
| CN106761685B (en) | Method for recognizing borehole trajectory mode by using tool face angle | |
| CN103883251B (en) | A kind of horizontal well orientation preferentially Landing Control method based on rotary steerable drilling | |
| CN103883253B (en) | A kind of horizontal well Landing Control method based on compound direction drilling well | |
| CN115075796B (en) | Fishbone well track determining method and device | |
| CN103883252B (en) | A kind of horizontal well Landing Control method based on slide-and-guide drilling well |
| Date | Code | Title | Description |
|---|---|---|---|
| C06 | Publication | ||
| PB01 | Publication | ||
| C10 | Entry into substantive examination | ||
| SE01 | Entry into force of request for substantive examination | ||
| C14 | Grant of patent or utility model | ||
| GR01 | Patent grant |