Movatterモバイル変換


[0]ホーム

URL:


CN103872983A - Device and method for detecting defects on surface of solar cell - Google Patents

Device and method for detecting defects on surface of solar cell
Download PDF

Info

Publication number
CN103872983A
CN103872983ACN201410135246.XACN201410135246ACN103872983ACN 103872983 ACN103872983 ACN 103872983ACN 201410135246 ACN201410135246 ACN 201410135246ACN 103872983 ACN103872983 ACN 103872983A
Authority
CN
China
Prior art keywords
image
point
solar cell
detection
binaryzation
Prior art date
Legal status (The legal status is an assumption and is not a legal conclusion. Google has not performed a legal analysis and makes no representation as to the accuracy of the status listed.)
Granted
Application number
CN201410135246.XA
Other languages
Chinese (zh)
Other versions
CN103872983B (en
Inventor
隋修武
肖金林
Current Assignee (The listed assignees may be inaccurate. Google has not performed a legal analysis and makes no representation or warranty as to the accuracy of the list.)
TIANJIN XINDINGYUAN TECHNOLOGY DEVELOPMENT Co Ltd
Original Assignee
TIANJIN XINDINGYUAN TECHNOLOGY DEVELOPMENT Co Ltd
Priority date (The priority date is an assumption and is not a legal conclusion. Google has not performed a legal analysis and makes no representation as to the accuracy of the date listed.)
Filing date
Publication date
Application filed by TIANJIN XINDINGYUAN TECHNOLOGY DEVELOPMENT Co LtdfiledCriticalTIANJIN XINDINGYUAN TECHNOLOGY DEVELOPMENT Co Ltd
Priority to CN201410135246.XApriorityCriticalpatent/CN103872983B/en
Publication of CN103872983ApublicationCriticalpatent/CN103872983A/en
Application grantedgrantedCritical
Publication of CN103872983BpublicationCriticalpatent/CN103872983B/en
Expired - Fee Relatedlegal-statusCriticalCurrent
Anticipated expirationlegal-statusCritical

Links

Images

Classifications

Landscapes

Abstract

The invention relates to a device and method for detecting defects on the surface of a solar cell. The device comprises a structural member and a detection circuit system. The structural member is composed of a display frame, an observation platform and an installation frame. The detection circuit system comprises an illumination unit, an image collection unit, an image processing unit and a display unit. In the detection process, an unfilled corner defect image is obtained by means of a low-angle annular white LED light source and by conducting image segmentation, wavelet transform and two-dimensional 7*7 pixel field median filtering on an image; for a crack, a defect image of the crack is obtained by conducting two-dimensional median filtering, wavelet transform, image binaryzation, edge detection and morphology operator processing on the image, the detection recognition result is obtained, and the image processing unit finally transmits the processing result to an upper computer of the display unit. The method and the device have the advantages that compared with a manual visual detection and infrared scanning detection method, detection efficiency and detection accuracy are greatly improved, the method is easy to operate and practicable, a large amount of labor force is saved, and the labor intensity is lowered.

Description

Solar cell surface defect detection equipment and method
Technical field
The present invention relates to energy field, a kind of particularly solar cell surface defect detection equipment and method, for the defects detection to solar panel surface.
Background technology
The quality of solar cell surface quality is the principal element that affects solar cell power generation efficiency, and therefore the surface quality of solar cell detects becomes a link indispensable in its production process.Checkout equipment and method mainly contain at present:
(1) artificial visual detects.Artificially detect cell panel surface quality by range estimation.The method is only applicable to comparatively significantly solar cell of blemish, is difficult to detect for the small defect of size.And the method human factor is large, defect index disunity, is difficult to adapt to large-scale industrial production demand.
(2) infrared scan detects.Infrared scan detects the architectural feature of the checkout equipment adopting for comprising display rack, observation platform and infraluminescence body, and the below of described observation platform is provided with display rack, and the below of described display rack is provided with infraluminescence body.Light source type is laser, utilizes this light source to take the mode of point by point scanning to scan solar panel, and corresponding light-sensitive element can complete the detection to defect.But the method is only applicable to detecting the less solar panel of size, be not suitable for for detecting size solar panel large or amorphous silicon type, therefore, as industrial production inspection machine, its limitation is larger.
Due to the strong reflection characteristic on solar battery sheet surface, the impact of light illumination technology effects on surface defects detection is very large, and the light source that checkout equipment adopts is in the past generally incandescent lamp, and its working life is short, and light efficiency is low, and job insecurity has stroboscopic phenomenon;
Solar cell surface has strong, the regular feature of grain, the method of the detection in the past adopting is not all for the processing of classifying of the concrete defect of solar cell surface, can not effectively differentiate and identify for the defect that comprises unfilled corner, crackle and electrode, also affect the correctness of the result of check.
In order to overcome the limitation of checkout equipment and method in the past, need design and development novel solar cell surface defect detection equipment and method.
Summary of the invention
Object of the present invention, exactly for overcoming the deficiencies in the prior art, for the problem of prior art existence, provides a kind of design of novel solar cell surface defect detection equipment, and the method for utilizing this equipment to test.For the strong reflection characteristic on solar battery sheet surface, consider the impact of light illumination technology effects on surface defects detection, adopt low angle annular White LED light source.
Consider that solar cell surface has strong, the regular feature of grain, adopted the method detecting for concrete classification of defects.For unfilled corner, by image is carried out, image is cut apart, wavelet transformation and two dimension 7 × 7 pixel field medium filtering processing obtain unfilled corner defect image; For crackle, by being carried out to two dimension median filter, wavelet transformation, image binaryzation and edge detection process, image obtains the defect image that comprises unfilled corner, crackle and electrode.The impact of differentiating in order to eliminate unfilled corner and electrode pair crackle, carries out the region that communicates with border that removes in morphology processing to testing image, obtains only comprising the image of crack defect.Then carry out the identification of defect by choosing corresponding characteristic parameter.
The present invention realizes by such technical scheme: solar cell surface defect detection equipment, comprise structural member and detection circuitry, it is characterized in that, structural member is made up of display rack, observation platform and installing rack, fixedly mounts light source shelf, camera frame, electronic box on observation platform; Mounting testing circuit system in electronic box; Detection circuitry comprises light illuminating unit, image acquisition units, graphics processing unit, display unit;
The AFT-D12 light source controller that light illuminating unit is produced by Ai Feite photoelectricity and white low angle annular LED cold light source connect and compose;
Image acquisition units comprises CCD camera VS078FC and M0814MP model camera lens;
Graphics processing unit comprises self-control V6000 image processor and MV-E1394Dual image pick-up card, self-control V6000 image processor is made up of computer motherboard, internal memory, CPU, hard disk and cabinet, in the computer motherboard bus slot of self-control V6000 image processor, MV-E1394Dual image pick-up card is installed; Display unit is made up of 19 inches of LCDs; Be placed on display rack as the solar cell of detected object;
The white low angle annular LED cold light source of light illuminating unit is by AFT-D12 light-source controller controls, direct irradiation is in the solar cell surface of detected object, the CCD camera VS078FC of image acquisition units collects solar panel surface image information, then CCD camera VS078FC is by connecting the vision cable of MV-E1394Dual image pick-up card, the V6000 image processor that image information is sent to graphics processing unit is processed, V6000 image processor the most at last result is sent to the host computer of display unit, shows result by display.
The method of utilizing described solar cell surface defect detection equipment to detect, it is characterized in that, adopt low angle annular White LED light source, by image is carried out, image is cut apart, wavelet transformation and two dimension 7 × 7 pixel field medium filtering processing obtain unfilled corner defect image; For crackle, by being carried out to two dimension median filter, wavelet transformation, image binaryzation, rim detection and morphological operator processing, image obtains the defect image of crackle, comprise the steps:
Step 1, utilize checkout equipment to obtain solar panel image, open light source, adopt video camera by solar panel IMAQ to processing unit, solar panel image reads in graphics processing unit, and shows at host computer interface;
Step 2, by graphics processing unit, image is converted into gray level image;
Step 3, by image is carried out, image is cut apart, wavelet transformation and two dimension 7 × 7 pixel field medium filtering processing obtain unfilled corner defect image; Comprising:
A) two dimension 7 × 7 neighborhood of pixels medium filtering processing: (7 × 7 pixels are number of pixels)
Be two dimension median filter, be characterized in rejecting abnormalities point in the situation that not reducing contrast, suppress disturbing pulse and spotted noise, keep level and smooth or round and smooth image border;
B) figure image intensifying, image binaryzation, removes electrode processing: utilize wavelet transformation to strengthen image; Carry out afterwards binary conversion treatment, make to demonstrate two kinds of obvious visual effects of black and white; Carry out rim detection with Canny operator again, mark image border; Finally utilize morphological operator by the order of corrosion again that first expands, image is processed, remove image border, so that subsequent detection;
C) unfilled corner feature extraction: adopt 8 connection labelling methods correctly to separate cutting apart the different defects that obtain;
D) unfilled corner defect recognition: chosen area area A, rectangular degree R, elongation L, tetra-kinds of characteristic parameters of decentralization K carry out unfilled corner identification;
Step 4, in carrying out withstep 3, obtain by image is carried out to two dimension median filter, wavelet transformation, image binaryzation and edge detection process the defect image that comprises unfilled corner, crackle and electrode, comprising:
A) twodimension 3 × 3 neighborhood of pixels medium filterings, wavelet transformation: that is two dimension median filter, be characterized in rejecting abnormalities point in the situation that not reducing contrast, suppress disturbing pulse and spotted noise, keep level and smooth or round and smooth image border; (3 × 3 is number of pixels)
B) figure image intensifying, binaryzation, morphology processing, removes the region communicating with border;
Identical with unfilled corner, utilize wavelet transformation to strengthen image; Carry out afterwards binary conversion treatment, make to demonstrate two kinds of obvious visual effects of black and white; Carry out rim detection with Canny operator again, marking image edge; Finally utilize morphological operator (first expand and corrode again) to process image, remove image border, so that subsequent detection;
C) crack extracts: adopt 8 connection labelling methods correctly to separate cutting apart the different defects that obtain;
Step 5, obtain defect recognition result, graphics processing unit the most at last result is sent to the host computer of display unit, shows result by display.
Beneficial effect is: the present invention detects and compares with infrared scan detection method with artificial visual, and detection efficiency and accuracy rate significantly improve.Operation is simple for the method, saves a large amount of labours, alleviated labour intensity.
Accompanying drawing explanation
Fig. 1, solar cell surface defect detection equipment circuit block diagram;
Fig. 2, solar cell surface defects detection flow chart;
Fig. 3, structural member schematic diagram;
In: 1. display rack, 2. light source shelf, 3. camera frame.
Embodiment
For a more clear understanding of the present invention, describe in conjunction with the accompanying drawings and embodiments the present invention in detail:
Solar cell surface defect detection equipment, circuit comprises light illuminating unit, image acquisition units, graphics processing unit, display unit, and light illuminating unit is made up of AFT-D12 type light source controller (direct current 12V power supply adaptor) and white low angle annular LED cold light source.(light source controller is 12V DC power supply)
Image acquisition units is by MV-VS078FC model C CD camera (highest resolution 1024X768, 8 bit data outputs, frame per second 30fps, the colored CCD of lining by line scan), M0814MP model camera lens (image planes size 2/3 ", minimum object distance 0.1m, focal length 8mm), MV-E1394Dual model image pick-up card (adopts the two control chips of professional TSB43AB22A, high speed serialization real time data flow transmission, the every passage of data transmission rate reaches 400Mb/s, 6 core interfaces provide 12V power supply) and IEEE1394A model camera output interface formation, graphics processing unit is by the CPU of Intel (R) Core (TM) I3-2120CPU@3.30GHz, 3.29GHz, 1.98GB internal memory, 500GB hard disk forms, display unit comprises DELL19 inch LCDs.
Be image acquisition units under the effect of light illuminating unit, the solar panel information collecting is sent to graphics processing unit and processes, result is presented at display unit the most at last.
Light illuminating unit: white low angle annular LED cold light source;
Collecting unit: MV-VS078FC model C CD camera, M0814MP model camera lens, MV-E1394Dual model image pick-up card, IEEE1394A model camera output interface;
Processing unit: CPU:Intel (R) Core (TM) I3-2120CPU@3.30GHz;
Internal memory: 3.29GHz, 1.98GB hard disk: 500GB
Display unit: DELL19 inch LCDs;
Utilize described solar cell surface defect detection equipment to carry out detection method, adopt low angle annular White LED light source, by image is carried out, image is cut apart, wavelet transformation and two dimension 7 × 7 pixel field medium filtering processing obtain unfilled corner defect image; For crackle, by being carried out to two dimension median filter, wavelet transformation, image binaryzation, rim detection and morphological operator processing, image obtains the defect image of crackle, comprise the steps:
Step 1, utilize checkout equipment to obtain solar panel image, open light source, adopt video camera by solar panel IMAQ to processing unit, solar panel image reads in graphics processing unit and shows at host computer interface.
Step 2, by graphics processing unit, image is converted into gray level image;
Step 3, by image is carried out, image is cut apart, wavelet transformation and two dimension 7 × 7 pixel field medium filtering processing obtain unfilled corner defect image; Comprising:
A) two dimension 7 × 7 neighborhood of pixels medium filterings:
Be two dimension median filter, be characterized in rejecting abnormalities point in the situation that not reducing contrast, suppress disturbing pulse and spotted noise, keep level and smooth or round and smooth image border.
Two dimensional imagef(x,y) principle of two dimension median filter is:
Figure 201410135246X100002DEST_PATH_IMAGE001
In formula,f(x,y) be two-dimensional data matrix set,g(x,y) be the gray value of window center point after medium filtering.
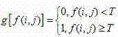
B) figure image intensifying, image binaryzation, remove electrode:
Utilize wavelet transformation to strengthen image; Carry out afterwards binary conversion treatment, make to demonstrate two kinds of obvious visual effects of black and white; Carry out rim detection with Canny operator again, marking image edge; Finally utilize morphological operator (first expand and corrode again) to process image, remove image border, so that subsequent detection.
Orderf(i,j) be original image,g(i,j) be the later image of binaryzation, threshold value ist, its span is 0~255, the expression formula of binaryzation conversion
Figure 160067DEST_PATH_IMAGE002
.
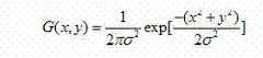
First Canny algorithm is chosen two-dimensional Gaussian function and is carried out smoothing processing:
Figure 201410135246X100002DEST_PATH_IMAGE003
Adopt the finite difference of 2 × 2 neighborhood single order local derviations in Canny algorithm to assign to calculate:
Figure 25868DEST_PATH_IMAGE004
Figure 201410135246X100002DEST_PATH_IMAGE005
Figure 593246DEST_PATH_IMAGE006
In formula,
Figure 201410135246X100002DEST_PATH_IMAGE007
be respectively the filtered device of original imagein the result of row, column effect.
Conventional Mathematical Morphology operator have expansion (dilation), corrosion (erosion), and on this basis development open (opening) and close (closing) computing.Utilize these operators and their combination shape and the structure to image to analyze and process, solve the problem that suppresses noise, rim detection, feature extraction field.Introduce the concept of several operators below.
Making Ω is two-dimentional Euclidean space, and A is image, and B is structural element, and A, B are all subsets of Ω, and Φ is empty set.
Expand:
Figure 201410135246X100002DEST_PATH_IMAGE009
In formula,
Figure 872885DEST_PATH_IMAGE010
the mapping of structural element B about initial point.The meaning of above-mentioned expression formula is owned after image A is expanded by Bxafter translation
Figure 201410135246X100002DEST_PATH_IMAGE011
at least there is the common element of a non-zero with A.Expansion is used for filling hole.
Corrosion:
Figure 725565DEST_PATH_IMAGE012
The result of the implication B corrosion A of above formula is all B translationsxafterwards all by the point of Axset-inclusion.Corrosion is the dual operations of expanding, and its effect is acnode and the spike of removing image.
The definition of opening operation is:
To be A expanded by B the implication of above formula after B corrosion again, and opening operation is used for filtering and is less than the bur of structural element, for suppressing positive pulse noise, and the isolated spot of removal of images and burr;
The definition of closed operation is:
Figure 842557DEST_PATH_IMAGE014
The implication of above formula is that A is corroded by B after B expands again, and closed operation can be filled the breach or the hole that are less than structural element, is usually used in suppressing negative pulse noise, fills up image crack and leak.
C) unfilled corner feature extraction
Adopt 8 connection labelling methods correctly to separate cutting apart the different defects that obtain;
Labeling process is as follows:
1) if four adjoint point values considering are 0, give sopthe mark value that point is new.
2), if only having the value of a point in these four adjoint points is 1, willpthe sign flag Cheng Yuqi of point is identical.
3) if having the value of two or more adjoint points is 1, markpthe symbol of point, with one of them is identical during these are put, is recorded the equivalence of this adjoint point symbol simultaneously.
D) unfilled corner defect recognition
Chosen area area A, rectangular degree R, elongation L, tetra-kinds of characteristic parameters of decentralization K carry out unfilled corner identification.
Unfilled corner defect characteristic parameter area table
Defect typeAreaA(pixel)Rectangular degreeRElongationLDecentralizationK
Unfilled cornerA>30R>0.48L>1.0K>13.2
For crackle, by being carried out to two dimension median filter, wavelet transformation, image binaryzation, rim detection and morphological operator processing, image obtains the defect image of crackle simultaneously, comprising:
A) 3 × 3 neighborhood of pixels medium filterings, wavelet transformation:
That is two dimension median filter, be characterized in rejecting abnormalities point in the situation that not reducing contrast, be used for suppressing disturbing pulse and spotted noise, keep level and smooth or round and smooth image border;
Two dimensional imagef(x,y) principle of two dimension median filter is:
Figure 255696DEST_PATH_IMAGE001
In formula,f(x,y) be two-dimensional data matrix set,g(x,y) be the gray value of window center point after medium filtering.
B) figure image intensifying, binaryzation, morphology processing, removes the region communicating with border;
Identical with unfilled corner, utilize wavelet transformation to strengthen image; Carry out afterwards binary conversion treatment, make to demonstrate two kinds of obvious visual effects of black and white; Carry out rim detection with Canny operator again, mark image border; Finally utilize morphological operator (first expand and corrode again) to process image, remove image border, so that subsequent detection.
Orderf(i,j) be original image,g(i,j) be the later image of binaryzation, threshold value ist, its span is 0~255, the expression formula of binaryzation conversion
Figure 571271DEST_PATH_IMAGE002
.
First Canny algorithm is chosen two-dimensional Gaussian function and is carried out smoothing processing:
Figure 109700DEST_PATH_IMAGE003
Adopt the finite difference of 2 × 2 neighborhood single order local derviations in Canny algorithm to assign to calculate:
Figure 792802DEST_PATH_IMAGE005
Figure 201410135246X100002DEST_PATH_IMAGE015
In formula,
Figure 900567DEST_PATH_IMAGE007
be respectively the filtered device of original image
Figure 601107DEST_PATH_IMAGE008
in the result of row, column effect.
Conventional Mathematical Morphology operator have expansion (dilation), corrosion (erosion), and on this basis development open (opening) and close (closing) computing.Utilize these operators and their combination shape and the structure to image to analyze and process, to solve the problem that suppresses noise, rim detection, feature extraction field.Introduce the concept of several operators below.
Making Ω is two-dimentional Euclidean space, and A is image, and B is structural element, and A, B are all subsets of Ω, and Φ is empty set.
Expand:
Figure 489429DEST_PATH_IMAGE016
In formula,
Figure DEST_PATH_IMAGE017
the mapping of structural element B about initial point.The meaning of above-mentioned expression formula is owned after image A is expanded by Bxafter translation
Figure 184984DEST_PATH_IMAGE018
at least there is the common element of a non-zero with A.Expansion is used for filling hole.
Corrosion:
The result of the implication B corrosion A of above formula is all B translationsxafterwards all by the point of Axset-inclusion.Corrosion is the dual operations of expanding, and its effect is acnode and the spike of removing image.
The definition of opening operation is:
Figure 355382DEST_PATH_IMAGE013
The implication of above formula is that A is expanded by B after B corrosion again.Opening operation is used for filtering and is less than the bur of structural element, is used for suppressing positive pulse noise, the isolated spot of removal of images and burr.
The definition of closed operation is:
Figure DEST_PATH_IMAGE019
The implication of above formula is that A is corroded by B after B expands again.Closed operation is used for filling the breach or the hole that are less than structural element, suppresses negative pulse noise, fills up image crack and leak.
C) crack extracts and adopts 8 connection labelling methods correctly to separate cutting apart the different defects that obtain;
Labeling process is as follows:
1) if four adjoint point values considering are 0, give sopthe mark value that point is new.
2), if only having the value of a point in these four adjoint points is 1, willpthe sign flag Cheng Yuqi of point is identical.
3) if having the value of two or more adjoint points is 1, markpthe symbol of point, with one of them is identical during these are put, is recorded the equivalence of this adjoint point symbol simultaneously.
D) crack defect identification
Chosen area area A, rectangular degree R, elongation L, tetra-kinds of characteristic parameters of decentralization K carry out Identification of Cracks.
Crack defect characteristic parameter scope table
Defect typeAreaA(pixel)Rectangular degreeRElongationLDecentralizationK
Crackle R<0.66L>1.3K>8.5
Step 4, acquisition defect recognition result;
Be applied to the system operation interface of researching and developing a man-machine interaction based on VC++6.0.Enter after this system, region, upper left side can show the image of the solar panel of taking in real time, click operation button, system can be carried out defects detection to current cell panel, defect image after detection completes can be presented at respectively the respective regions of below, interface, and the number of the unfilled corner detecting and crack defect can show by pop-up window.
According to the above description, can realize the solution of the present invention in conjunction with art technology.

Claims (9)

1. solar cell surface defect detection equipment, comprises structural member and detection circuitry, it is characterized in that, structural member is made up of display rack, observation platform and installing rack, fixedly mounts light source shelf, camera frame, electronic box on observation platform; Mounting testing circuit system in electronic box; Detection circuitry comprises light illuminating unit, image acquisition units, graphics processing unit, display unit;
The AFT-D12 light source controller that light illuminating unit is produced by Ai Feite photoelectricity and white low angle annular LED cold light source connect and compose;
Image acquisition units comprises CCD camera VS078FC and M0814MP model camera lens;
Graphics processing unit comprises self-control V6000 image processor and MV-E1394Dual, image pick-up card, self-control V6000 image processor is made up of computer motherboard, internal memory, CPU, hard disk and cabinet, in the computer motherboard bus slot of self-control V6000 image processor, MV-E1394Dual image pick-up card is installed; Display unit is made up of 19 inches of LCDs; Be placed on display rack as the solar cell of detected object;
The white low angle annular LED cold light source of light illuminating unit is by AFT-D12 light-source controller controls, direct irradiation is in the solar cell surface of detected object, the CCD camera VS078FC of image acquisition units collects solar panel surface image information, then CCD camera VS078FC is by connecting the vision cable of MV-E1394Dual image pick-up card, the V6000 image processor that image information is sent to graphics processing unit is processed, V6000 image processor the most at last result is sent to the host computer of display unit, shows result by display.
2. utilize the method that solar cell surface defect detection equipment detects described in claim 1, it is characterized in that, adopt low angle annular White LED light source, by image is carried out, image is cut apart, wavelet transformation and two dimension 7 × 7 pixel field medium filtering processing obtain unfilled corner defect image; For crackle, by being carried out to two dimension median filter, wavelet transformation, image binaryzation, rim detection and morphological operator processing, image obtains the defect image of crackle, and described method comprises the steps:
Step 1, utilize checkout equipment to obtain solar panel image, open light source, adopt video camera by solar panel IMAQ to processing unit, solar panel image reads in graphics processing unit, and shows at host computer interface;
Step 2, by graphics processing unit, image is converted into gray level image;
Step 3, by image is carried out, image is cut apart, wavelet transformation and two dimension 7 × 7 pixel field medium filtering processing obtain unfilled corner defect image; Comprising:
A) two dimension 7 × 7 neighborhood of pixels medium filtering processing:
Be two dimension median filter, be characterized in rejecting abnormalities point in the situation that not reducing contrast, suppress disturbing pulse and spotted noise, keep level and smooth or round and smooth image border;
B) figure image intensifying, image binaryzation, removes electrode processing: utilize wavelet transformation to strengthen image; Carry out afterwards binary conversion treatment, make to demonstrate two kinds of obvious visual effects of black and white; Carry out rim detection with Canny operator again, marking image edge; Finally utilize morphological operator by the order of corrosion again that first expands, image is processed, remove image border, so that subsequent detection;
C), unfilled corner feature extraction: adopt 8 connection labelling methods correctly to separate cutting apart the different defects that obtain;
D), unfilled corner defect recognition: chosen area area A, rectangular degree R, elongation L, tetra-kinds of characteristic parameters of decentralization K carry out unfilled corner identification;
Step 4, by being carried out to two dimension median filter, wavelet transformation, image binaryzation and edge detection process, image obtains the defect image of crackle, comprising:
A) two dimension 3 × 3 neighborhood of pixels medium filterings, wavelet transformation: that is two dimension median filter, be characterized in rejecting abnormalities point in the situation that not reducing contrast, suppress disturbing pulse and spotted noise, keep level and smooth or round and smooth image border;
B) figure image intensifying, binaryzation, morphology processing, removes the region communicating with border;
Identical with unfilled corner, utilize wavelet transformation to strengthen image; Carry out afterwards binary conversion treatment, make to demonstrate two kinds of obvious visual effects of black and white; Carry out rim detection with Canny operator again, mark image border; Finally utilize morphological operator by the order of corrosion again that first expands, image is processed, remove image border, so that subsequent detection;
C) crack extracts: adopt 8 connection labelling methods correctly to separate cutting apart the different defects that obtain;
Step 5, acquisition defect recognition result.
3. the method for utilizing solar cell surface defect detection equipment to detect as claimed in claim 2, is characterized in that,
A) two dimension 7 × 7 neighborhood of pixels medium filtering processing procedures in described step 3 are:
Utilize two dimensional imagef(x,y) principle of two dimension median filter:
Figure 822453DEST_PATH_IMAGE001
In formula,f(x,y) be two-dimensional data matrix set,g(x,y) be the gray value of window center point after medium filtering.
4. the method for utilizing solar cell surface defect detection equipment to detect as claimed in claim 2, is characterized in that,
B) figure image intensifying in described step 3, image binaryzation, removal electrode processing procedure is:
Orderf(i,j) be original image,g(i,j) be the later image of binaryzation, threshold value ist, its span is 0~255,i,=1,2,3 ... n,j=1,2,3 ... n;
:
The expression formula of binaryzation conversion
Figure 257415DEST_PATH_IMAGE002
;
First Canny algorithm is chosen two-dimensional Gaussian function and is carried out smoothing processing:
Figure 411316DEST_PATH_IMAGE003
Adopt the finite difference of 2 × 2 neighborhood single order local derviations in Canny algorithm to assign to calculate:
Figure 169187DEST_PATH_IMAGE004
In formula,
Figure 449624DEST_PATH_IMAGE007
be respectively the filtered device of original image
Figure 73503DEST_PATH_IMAGE008
in the result of row, column effect;
Mathematical Morphology operator has expansion (dilation), corrosion (erosion), and the opening (opening) and close (closing) computing of development on this basis, utilize shape to image of these operators and their combination and structure to analyze and process and solve the problem that suppresses noise, rim detection or extraction field;
Making Ω is two-dimentional Euclidean space, and A is image, and B is structural element, and A, B are all subsets of Ω, and Φ is empty set;
Expand:
Figure 152930DEST_PATH_IMAGE009
In formula,
Figure 204063DEST_PATH_IMAGE010
be the mapping of structural element B about initial point, the meaning of above-mentioned expression formula is owned after image A is expanded by Bxafter translation
Figure 66977DEST_PATH_IMAGE010
at least there is the common element of a non-zero with A, expand and be used for filling hole;
Corrosion:
Figure 228968DEST_PATH_IMAGE011
The result of the implication B corrosion A of above formula is all B translationsxafterwards all by the point of Axset-inclusion, corrosion is the dual operations of expanding, its effect is to remove acnode and the spike of image;
The definition of opening operation is:
Figure 493727DEST_PATH_IMAGE012
To be A expanded by B the implication of above formula after B corrosion again, and opening operation is used for filtering and is less than the bur of structural element, suppresses positive pulse noise, the isolated spot of removal of images and burr;
The definition of closed operation is:
Figure 715761DEST_PATH_IMAGE013
The implication of above formula is that A is corroded by B after B expands again, and closed operation is used for filling the breach or the hole that are less than structural element, suppresses negative pulse noise, fills up image crack and leak.
5. the method for utilizing solar cell surface defect detection equipment to detect as claimed in claim 2, is characterized in that,
In described step 3 c), unfilled corner characteristic extraction procedure is:
Adopt 8 connection labelling methods correctly to separate cutting apart the different defects that obtain;
Labeling process is as follows:
1) if four adjoint point values considering are 0, give sopthe mark value that point is new;
2), if only having the value of a point in these four adjoint points is 1, willpthe sign flag Cheng Yuqi of point is identical;
3) if having the value of two or more adjoint points is 1, markpthe symbol of point, with one of them is identical during these are put, is recorded the equivalence of this adjoint point symbol simultaneously.
6. the method for utilizing solar cell surface defect detection equipment to detect as claimed in claim 2, is characterized in that,
In described step 3 d), unfilled corner defect recognition process is:
Chosen area area A, rectangular degree R, elongation L, tetra-kinds of characteristic parameters of decentralization K carry out unfilled corner identification:
Unfilled corner defect characteristic parameter area table
Figure 741004DEST_PATH_IMAGE014
The method of utilizing solar cell surface defect detection equipment to detect as claimed in claim 2, is characterized in that,
A) two dimension 3 × 3 neighborhood of pixels medium filterings in described step 4, wavelet transform process is:
Utilize two dimensional imagef(x,y) principle of two dimension median filter:
Figure 706686DEST_PATH_IMAGE015
In formula,f(x,y) be two-dimensional data matrix set,g(x,y) be the gray value of window center point after medium filtering.
7. the method for utilizing solar cell surface defect detection equipment to detect as claimed in claim 2, is characterized in that,
B) figure image intensifying, binaryzation, morphology processing in described step 4, the processing procedure that removes the region communicating with border are:
Orderf(i,j) be original image,g(i,j) be the later image of binaryzation, threshold value ist, its span is 0~255, the expression formula of binaryzation conversion
Figure 825952DEST_PATH_IMAGE016
;
First Canny algorithm is chosen two-dimensional Gaussian function and is carried out smoothing processing:
Figure 218887DEST_PATH_IMAGE017
Adopt the finite difference of 2 × 2 neighborhood single order local derviations in Canny algorithm to assign to calculate:
Figure 994076DEST_PATH_IMAGE018
Figure 497870DEST_PATH_IMAGE019
Figure 471642DEST_PATH_IMAGE020
In formula,
Figure 32549DEST_PATH_IMAGE021
be respectively the filtered device of original image
Figure 29455DEST_PATH_IMAGE022
in the result of row, column effect;
Making Ω is two-dimentional Euclidean space, and A is image, and B is structural element, and A, B are all subsets of Ω, and Φ is empty set;
Expand:
Figure 336940DEST_PATH_IMAGE023
In formula,
Figure 430798DEST_PATH_IMAGE024
the mapping of structural element B about initial point; The meaning of above-mentioned expression formula is owned after image A is expanded by Bxafter translation
Figure 165535DEST_PATH_IMAGE024
at least there is the common element of a non-zero with A; Expansion is used for filling hole;
Corrosion:
Figure 649737DEST_PATH_IMAGE025
The result of the implication B corrosion A of above formula is all B translationsxafterwards all by the point of Axset-inclusion; Corrosion is the dual operations of expanding, and its effect is acnode and the spike of removing image;
The definition of opening operation is:
Figure 509982DEST_PATH_IMAGE026
The implication of above formula is that A is expanded by B after B corrosion again; Opening operation is used for filtering and is less than the bur of structural element, suppresses positive pulse noise, the isolated spot of removal of images and burr;
The definition of closed operation is:
Figure 271396DEST_PATH_IMAGE027
The implication of above formula is that A is corroded by B after B expands again, and closed operation is used for filling the breach or the hole that are less than structural element, suppresses negative pulse noise, fills up image crack and leak.
8. the method for utilizing solar cell surface defect detection equipment to detect as claimed in claim 2, is characterized in that,
C) crack leaching process in described step 4 is:
Adopt 8 connection labelling methods correctly to separate cutting apart the different defects that obtain; Labeling process is as follows:
1) if four adjoint point values considering are 0, give sopthe mark value that point is new;
2), if only having the value of a point in these four adjoint points is 1, willpthe sign flag Cheng Yuqi of point is identical;
3) if having the value of two or more adjoint points is 1, markpthe symbol of point, with one of them is identical during these are put, is recorded the equivalence of this adjoint point symbol simultaneously.
9. the method for utilizing solar cell surface defect detection equipment to detect as claimed in claim 2, is characterized in that,
In described step 4 d), crack defect identifying is:
Chosen area area A, rectangular degree R, elongation L, tetra-kinds of characteristic parameters of decentralization K carry out Identification of Cracks;
Crack defect characteristic parameter scope table
Figure 177035DEST_PATH_IMAGE028
CN201410135246.XA2014-04-042014-04-04Solar cell surface defect inspection methodExpired - Fee RelatedCN103872983B (en)

Priority Applications (1)

Application NumberPriority DateFiling DateTitle
CN201410135246.XACN103872983B (en)2014-04-042014-04-04Solar cell surface defect inspection method

Applications Claiming Priority (1)

Application NumberPriority DateFiling DateTitle
CN201410135246.XACN103872983B (en)2014-04-042014-04-04Solar cell surface defect inspection method

Publications (2)

Publication NumberPublication Date
CN103872983Atrue CN103872983A (en)2014-06-18
CN103872983B CN103872983B (en)2016-05-25

Family

ID=50911178

Family Applications (1)

Application NumberTitlePriority DateFiling Date
CN201410135246.XAExpired - Fee RelatedCN103872983B (en)2014-04-042014-04-04Solar cell surface defect inspection method

Country Status (1)

CountryLink
CN (1)CN103872983B (en)

Cited By (47)

* Cited by examiner, † Cited by third party
Publication numberPriority datePublication dateAssigneeTitle
CN104701207A (en)*2015-03-042015-06-10通威太阳能(合肥)有限公司Snail track predication method for solar cell pack
CN104978747A (en)*2015-06-262015-10-14清华大学Target extraction method and apparatus for micro-defect detection of spatial light modulator
CN105071772A (en)*2015-08-172015-11-18杨高林Solar cell classification test control system
CN105261019A (en)*2015-10-162016-01-20深圳市浦洛电子科技有限公司Method and system for testing glass integrated circuit (IC)
CN105281665A (en)*2015-09-292016-01-27中国电子科技集团公司第四十一研究所Portable solar cell defect detection device and method
CN105678800A (en)*2016-03-172016-06-15清华大学Mask extraction method and system in stacked structure spatial light modulator defect detection
CN106206357A (en)*2016-09-062016-12-07江苏大学A kind of direction, microchip foot position embedded vision automatic checkout system and detection method thereof
CN106533361A (en)*2016-12-142017-03-22河海大学常州校区Wavelet analysis-based photovoltaic module fault diagnosis method
WO2017113422A1 (en)*2015-12-312017-07-06深圳配天智能技术研究院有限公司Image speckle processing method
CN107014819A (en)*2017-06-092017-08-04杭州电子科技大学A kind of solar panel surface defects detection system and method
CN107274393A (en)*2017-06-122017-10-20郑州轻工业学院The monocrystaline silicon solar cell piece detection method of surface flaw detected based on grid line
CN107490582A (en)*2017-09-202017-12-19深圳市晟达机械设计有限公司A kind of streamline Work Piece Verification System Based
CN107578409A (en)*2017-09-162018-01-12河北工业大学 A method for detecting the appearance of broken grid defects in solar cells
CN107622484A (en)*2017-07-152018-01-23河北工业大学 A detection algorithm for missing corners of photovoltaic cells based on shape matching
CN107742286A (en)*2017-09-282018-02-27河北工业大学 A method for detecting crack defects in EL test of polycrystalline silicon solar cells
CN107749057A (en)*2017-09-162018-03-02河北工业大学A kind of method of solar battery sheet outward appearance spillage defects detection
CN107764829A (en)*2016-08-152018-03-06上海太阳能工程技术研究中心有限公司Solar cell open defect recognition methods
CN107895376A (en)*2017-12-112018-04-10福州大学Based on the solar panel recognition methods for improving Canny operators and contour area threshold value
CN107966454A (en)*2017-12-252018-04-27陕西科技大学A kind of end plug defect detecting device and detection method based on FPGA
CN108445018A (en)*2018-03-202018-08-24苏州巨能图像检测技术有限公司Validity feature curve extracting method applied to the detection of cell piece evil mind
CN108664980A (en)*2018-05-142018-10-16昆明理工大学A kind of sun crown ring structure recognition methods based on guiding filtering and wavelet transformation
CN109324060A (en)*2018-10-112019-02-12广东德尔智慧工厂科技有限公司A kind of lithium electropaining cloth surface defects detection system
CN109668832A (en)*2019-01-302019-04-23江苏理工学院Cellular li-ion battery surface bulge detection device and its method based on subregion light source
CN109685760A (en)*2018-11-052019-04-26华中科技大学A kind of SLM powder bed powder laying image convex closure depression defect detection method based on MATLAB
CN109738454A (en)*2019-03-182019-05-10福建工程学院 A soft pack battery tab welding seam detection device and method
CN109816652A (en)*2019-01-252019-05-28湖州云通科技有限公司A kind of intricate casting defect identification method based on gray scale conspicuousness
CN109946315A (en)*2019-03-142019-06-28镇江苏仪德科技有限公司 Appearance testing device for solar cells
CN110487803A (en)*2019-08-202019-11-22Oppo(重庆)智能科技有限公司The defect inspection method and device of infrared light-emitting component
CN110487821A (en)*2019-08-302019-11-22太原科技大学A kind of clear sheet defect detecting device and its detection method based on machine vision
CN110648330A (en)*2019-11-282020-01-03征图新视(江苏)科技股份有限公司Defect detection method for camera glass
CN110687121A (en)*2019-09-192020-01-14湖北三江航天万峰科技发展有限公司Intelligent online detection and automatic grading method and system for ceramic tiles
CN110766672A (en)*2019-10-212020-02-07郑州迈拓信息技术有限公司 Electrode contamination detection method
CN110926359A (en)*2019-11-052020-03-27长安大学 A three-dimensional crack surface contour detection method for optimized two-phase scanning pavement
CN111353992A (en)*2020-03-102020-06-30塔里木大学Agricultural product defect detection method and system based on textural features
CN112561896A (en)*2020-12-222021-03-26广州大学Method, system and device for detecting defects of glass bottle mouth and storage medium
CN112881407A (en)*2021-01-142021-06-01广州大学Method, system, device and medium for detecting welding quality of LED chip
US11080860B2 (en)2018-12-282021-08-03Chroma Ate Inc.Image inspection method
CN113517877A (en)*2021-04-302021-10-19华中科技大学Steel wire rope online detection signal noise reduction method and system based on generalized morphological filtering
CN114719749A (en)*2022-04-062022-07-08重庆大学 Method and system for metal surface crack detection and real size measurement based on machine vision
CN114820492A (en)*2022-04-182022-07-29北京计算机技术及应用研究所Method for detecting excess on circuit board
CN114937011A (en)*2022-05-122022-08-23北京航空航天大学 An anomaly detection method for photovoltaic cell images based on empirical Garbor wavelet transform
CN115274481A (en)*2022-07-282022-11-01江苏博阳智能装备有限公司 A battery string detection method
CN115407906A (en)*2022-08-232022-11-29湖北星纪时代科技有限公司User interface interaction method, device, medium and equipment
CN115661148A (en)*2022-12-262023-01-31视睿(杭州)信息科技有限公司Wafer crystal grain arrangement detection method and system
CN116051517A (en)*2023-02-072023-05-02中复神鹰碳纤维西宁有限公司 A carbon fiber defect detection method based on dark field
CN116681752A (en)*2023-08-032023-09-01山东墨氪智能科技有限公司Method and device for calculating void ratio of void defects of DBC solder layer
CN119022837A (en)*2024-09-112024-11-26山东腾博塑料科技有限公司 A method and device for detecting the flatness of engineering plastics

Families Citing this family (1)

* Cited by examiner, † Cited by third party
Publication numberPriority datePublication dateAssigneeTitle
CN107563990B (en)*2017-07-152021-05-04河北工业大学 A kind of detection method of photovoltaic cell chip edge and blunt and V-shaped notch

Citations (2)

* Cited by examiner, † Cited by third party
Publication numberPriority datePublication dateAssigneeTitle
CN202712128U (en)*2012-03-022013-01-30杭州乔戈里科技有限公司Surface defect detection equipment of solar cell panel packaging material
CN203012590U (en)*2012-12-062013-06-19东莞市盟拓光电科技有限公司Machine vision system

Patent Citations (2)

* Cited by examiner, † Cited by third party
Publication numberPriority datePublication dateAssigneeTitle
CN202712128U (en)*2012-03-022013-01-30杭州乔戈里科技有限公司Surface defect detection equipment of solar cell panel packaging material
CN203012590U (en)*2012-12-062013-06-19东莞市盟拓光电科技有限公司Machine vision system

Non-Patent Citations (2)

* Cited by examiner, † Cited by third party
Title
盛小春: "基于图像处理的太阳能单晶硅片表面质量检测", 《中国学位论文全文数据库》*
赵慧阳: "基于机器视觉的太阳能电池片表面缺陷的研究", 《中国优秀硕士学位论文全文数据库》*

Cited By (64)

* Cited by examiner, † Cited by third party
Publication numberPriority datePublication dateAssigneeTitle
CN104701207B (en)*2015-03-042017-06-23通威太阳能(合肥)有限公司A kind of snail line Forecasting Methodology for solar cell module
CN104701207A (en)*2015-03-042015-06-10通威太阳能(合肥)有限公司Snail track predication method for solar cell pack
CN104978747A (en)*2015-06-262015-10-14清华大学Target extraction method and apparatus for micro-defect detection of spatial light modulator
CN105071772A (en)*2015-08-172015-11-18杨高林Solar cell classification test control system
CN105281665A (en)*2015-09-292016-01-27中国电子科技集团公司第四十一研究所Portable solar cell defect detection device and method
CN105261019A (en)*2015-10-162016-01-20深圳市浦洛电子科技有限公司Method and system for testing glass integrated circuit (IC)
CN105261019B (en)*2015-10-162018-07-17深圳市浦洛电子科技有限公司A kind of detection method and system of glass IC
WO2017113422A1 (en)*2015-12-312017-07-06深圳配天智能技术研究院有限公司Image speckle processing method
CN105678800A (en)*2016-03-172016-06-15清华大学Mask extraction method and system in stacked structure spatial light modulator defect detection
CN107764829A (en)*2016-08-152018-03-06上海太阳能工程技术研究中心有限公司Solar cell open defect recognition methods
CN106206357B (en)*2016-09-062023-02-17江苏大学Micro-chip pin direction embedded visual automatic detection system and detection method thereof
CN106206357A (en)*2016-09-062016-12-07江苏大学A kind of direction, microchip foot position embedded vision automatic checkout system and detection method thereof
CN106533361A (en)*2016-12-142017-03-22河海大学常州校区Wavelet analysis-based photovoltaic module fault diagnosis method
CN106533361B (en)*2016-12-142018-08-03河海大学常州校区A kind of photovoltaic module method for diagnosing faults based on wavelet analysis
CN107014819A (en)*2017-06-092017-08-04杭州电子科技大学A kind of solar panel surface defects detection system and method
CN107274393B (en)*2017-06-122018-03-23郑州轻工业学院Monocrystaline silicon solar cell piece detection method of surface flaw based on grid line detection
CN107274393A (en)*2017-06-122017-10-20郑州轻工业学院The monocrystaline silicon solar cell piece detection method of surface flaw detected based on grid line
CN107622484A (en)*2017-07-152018-01-23河北工业大学 A detection algorithm for missing corners of photovoltaic cells based on shape matching
CN107749057A (en)*2017-09-162018-03-02河北工业大学A kind of method of solar battery sheet outward appearance spillage defects detection
CN107578409A (en)*2017-09-162018-01-12河北工业大学 A method for detecting the appearance of broken grid defects in solar cells
CN107749057B (en)*2017-09-162021-06-18河北工业大学 A method for detecting the appearance of leakage defects of solar cells
CN107578409B (en)*2017-09-162020-10-16河北工业大学Method for detecting appearance grid breakage defect of solar cell
CN107490582A (en)*2017-09-202017-12-19深圳市晟达机械设计有限公司A kind of streamline Work Piece Verification System Based
CN107742286A (en)*2017-09-282018-02-27河北工业大学 A method for detecting crack defects in EL test of polycrystalline silicon solar cells
CN107742286B (en)*2017-09-282021-01-29河北工业大学Method for detecting EL test crack defects of polycrystalline silicon solar cell
CN107895376A (en)*2017-12-112018-04-10福州大学Based on the solar panel recognition methods for improving Canny operators and contour area threshold value
CN107966454A (en)*2017-12-252018-04-27陕西科技大学A kind of end plug defect detecting device and detection method based on FPGA
CN108445018A (en)*2018-03-202018-08-24苏州巨能图像检测技术有限公司Validity feature curve extracting method applied to the detection of cell piece evil mind
CN108664980A (en)*2018-05-142018-10-16昆明理工大学A kind of sun crown ring structure recognition methods based on guiding filtering and wavelet transformation
CN109324060A (en)*2018-10-112019-02-12广东德尔智慧工厂科技有限公司A kind of lithium electropaining cloth surface defects detection system
CN109685760A (en)*2018-11-052019-04-26华中科技大学A kind of SLM powder bed powder laying image convex closure depression defect detection method based on MATLAB
CN109685760B (en)*2018-11-052022-05-20华中科技大学MATLAB-based SLM powder bed powder laying image convex hull depression defect detection method
US11080860B2 (en)2018-12-282021-08-03Chroma Ate Inc.Image inspection method
CN109816652A (en)*2019-01-252019-05-28湖州云通科技有限公司A kind of intricate casting defect identification method based on gray scale conspicuousness
CN109816652B (en)*2019-01-252022-08-12湖州云通科技有限公司Complex casting defect identification method based on gray level significance
CN109668832A (en)*2019-01-302019-04-23江苏理工学院Cellular li-ion battery surface bulge detection device and its method based on subregion light source
CN109946315A (en)*2019-03-142019-06-28镇江苏仪德科技有限公司 Appearance testing device for solar cells
CN109738454A (en)*2019-03-182019-05-10福建工程学院 A soft pack battery tab welding seam detection device and method
CN110487803A (en)*2019-08-202019-11-22Oppo(重庆)智能科技有限公司The defect inspection method and device of infrared light-emitting component
CN110487821A (en)*2019-08-302019-11-22太原科技大学A kind of clear sheet defect detecting device and its detection method based on machine vision
CN110687121A (en)*2019-09-192020-01-14湖北三江航天万峰科技发展有限公司Intelligent online detection and automatic grading method and system for ceramic tiles
CN110766672A (en)*2019-10-212020-02-07郑州迈拓信息技术有限公司 Electrode contamination detection method
CN110926359A (en)*2019-11-052020-03-27长安大学 A three-dimensional crack surface contour detection method for optimized two-phase scanning pavement
CN110926359B (en)*2019-11-052021-10-29长安大学 A three-dimensional crack surface contour detection method for optimized two-phase scanning pavement
CN110648330A (en)*2019-11-282020-01-03征图新视(江苏)科技股份有限公司Defect detection method for camera glass
CN111353992A (en)*2020-03-102020-06-30塔里木大学Agricultural product defect detection method and system based on textural features
CN111353992B (en)*2020-03-102023-04-07塔里木大学Agricultural product defect detection method and system based on textural features
CN112561896B (en)*2020-12-222023-08-15广州大学 A detection method, system, device and storage medium for glass bottle mouth defects
CN112561896A (en)*2020-12-222021-03-26广州大学Method, system and device for detecting defects of glass bottle mouth and storage medium
CN112881407A (en)*2021-01-142021-06-01广州大学Method, system, device and medium for detecting welding quality of LED chip
CN113517877A (en)*2021-04-302021-10-19华中科技大学Steel wire rope online detection signal noise reduction method and system based on generalized morphological filtering
CN114719749B (en)*2022-04-062023-07-14重庆大学 Metal surface crack detection and real size measurement method and system based on machine vision
CN114719749A (en)*2022-04-062022-07-08重庆大学 Method and system for metal surface crack detection and real size measurement based on machine vision
CN114820492A (en)*2022-04-182022-07-29北京计算机技术及应用研究所Method for detecting excess on circuit board
CN114937011A (en)*2022-05-122022-08-23北京航空航天大学 An anomaly detection method for photovoltaic cell images based on empirical Garbor wavelet transform
CN114937011B (en)*2022-05-122024-05-28北京航空航天大学Photovoltaic cell image anomaly detection method based on empirical Garbor wavelet transformation
CN115274481A (en)*2022-07-282022-11-01江苏博阳智能装备有限公司 A battery string detection method
CN115407906A (en)*2022-08-232022-11-29湖北星纪时代科技有限公司User interface interaction method, device, medium and equipment
CN115661148A (en)*2022-12-262023-01-31视睿(杭州)信息科技有限公司Wafer crystal grain arrangement detection method and system
CN115661148B (en)*2022-12-262023-04-11视睿(杭州)信息科技有限公司Wafer grain arrangement detection method and system
CN116051517A (en)*2023-02-072023-05-02中复神鹰碳纤维西宁有限公司 A carbon fiber defect detection method based on dark field
CN116681752A (en)*2023-08-032023-09-01山东墨氪智能科技有限公司Method and device for calculating void ratio of void defects of DBC solder layer
CN116681752B (en)*2023-08-032023-10-27山东墨氪智能科技有限公司Method and device for calculating void ratio of void defects of DBC solder layer
CN119022837A (en)*2024-09-112024-11-26山东腾博塑料科技有限公司 A method and device for detecting the flatness of engineering plastics

Also Published As

Publication numberPublication date
CN103872983B (en)2016-05-25

Similar Documents

PublicationPublication DateTitle
CN103872983B (en)Solar cell surface defect inspection method
CN107014819A (en)A kind of solar panel surface defects detection system and method
CN103473739B (en)A kind of Leukocyte Image Accurate Segmentation method and system based on support vector machine
CN107389701A (en)A kind of PCB visual defects automatic checkout system and method based on image
CN108662977A (en)A kind of refractory brick geometric dimension measurement method
CN105044114A (en)Electrolytic capacitor appearance package defect image detection system and electrolytic capacitor appearance package defect image detection method
CN104318556B (en)Silicon steel plate surface defect image detection method under oil pollution interference
CN101510295B (en)Design method for machine vision system based on PCIe and Vision Assistan
CN108596873A (en)The recognition methods of refractory brick deep defects based on height histogram divion
CN104392205A (en)Abnormal vehicle license plate recognition method and system
CN106097368A (en)A kind of recognition methods in veneer crack
CN104899879B (en)A kind of method of the online outward appearance detection of electric energy meter
CN110276759B (en) A machine vision-based method for diagnosing defective lines of mobile phone screens
CN113487563B (en) An adaptive detection method for photovoltaic module cracks based on EL images
CN205229061U (en)LCD light guide plate defect detecting system based on line sweep camera
CN113533372B (en)Paper defect detection method, system, device and computer storage medium
CN110349125A (en)A kind of LED chip open defect detection method and system based on machine vision
CN111157532A (en) Device and method for visual detection of scratches on mobile phone casings
CN103149214A (en)Method for detecting flaw on surface of fruit
CN103106663B (en)Realize the method for SIM card defects detection based on image procossing in computer system
CN117830287A (en)Circuit board on-line detection and re-judgment algorithm
CN107545565A (en)A kind of solar energy half tone detection method
KR101779040B1 (en)Method and apparatus for extracting panel area from thermal infrared images of photovoltaic array
CN110766675B (en)Solar cell panel defect detection method
CN102901735A (en)System for carrying out automatic detections upon workpiece defect, cracking, and deformation by using computer

Legal Events

DateCodeTitleDescription
C06Publication
PB01Publication
C10Entry into substantive examination
SE01Entry into force of request for substantive examination
C14Grant of patent or utility model
GR01Patent grant
CF01Termination of patent right due to non-payment of annual fee

Granted publication date:20160525

CF01Termination of patent right due to non-payment of annual fee

[8]ページ先頭

©2009-2025 Movatter.jp