Movatterモバイル変換


[0]ホーム

URL:


CN103760853A - Extensible floor sweeping multi-robot method and system - Google Patents

Extensible floor sweeping multi-robot method and system
Download PDF

Info

Publication number
CN103760853A
CN103760853ACN201410008678.4ACN201410008678ACN103760853ACN 103760853 ACN103760853 ACN 103760853ACN 201410008678 ACN201410008678 ACN 201410008678ACN 103760853 ACN103760853 ACN 103760853A
Authority
CN
China
Prior art keywords
sweeping
floor
area
robot
remaining area
Prior art date
Legal status (The legal status is an assumption and is not a legal conclusion. Google has not performed a legal analysis and makes no representation as to the accuracy of the status listed.)
Pending
Application number
CN201410008678.4A
Other languages
Chinese (zh)
Inventor
朱定局
Current Assignee (The listed assignees may be inaccurate. Google has not performed a legal analysis and makes no representation or warranty as to the accuracy of the list.)
Shenzhen Institute of Advanced Technology of CAS
Original Assignee
Shenzhen Institute of Advanced Technology of CAS
Priority date (The priority date is an assumption and is not a legal conclusion. Google has not performed a legal analysis and makes no representation as to the accuracy of the date listed.)
Filing date
Publication date
Application filed by Shenzhen Institute of Advanced Technology of CASfiledCriticalShenzhen Institute of Advanced Technology of CAS
Priority to CN201410008678.4ApriorityCriticalpatent/CN103760853A/en
Publication of CN103760853ApublicationCriticalpatent/CN103760853A/en
Pendinglegal-statusCriticalCurrent

Links

Images

Classifications

Landscapes

Abstract

The invention belongs to the technical field of robots, and provides an extensible floor sweeping multi-robot method and system which are applied to a system comprising a plurality of floor sweeping robots. The method comprises the step of obtaining the total area of left floor sweeping areas, wherein the total area of the left floor sweeping areas is the sum of the area of floor sweeping areas not swept by the robots involved in floor sweeping; the step of judging whether the total area of the left floor sweeping areas is increased or decreased; the step of adjusting the area of the left floor sweeping areas of the robots involved in floor sweeping according to the total area of the left floor sweeping and sending the area of the adjusted left floor sweeping areas to the corresponding floor sweeping robots based on the total area of the left floor sweeping areas when the total area of the left floor sweeping areas is increased or decreased. According to the extensible floor sweeping multi-robot method and system, the area of the left floor sweeping areas of the robots can be automatically adjusted according to the change of the total area of the left floor sweeping areas, and therefore a better sweeping effect can be achieved, and the sweeping efficiency can be improved.

Description

A kind of scalable multirobot method and system of sweeping the floor
Technical field
The invention belongs to Robotics field, relate in particular to a kind of scalable multirobot method and system of sweeping the floor.
Background technology
In prior art, there is a kind of scalable patrol multirobot method, the method only considers to readjust beat area in the process of robot quantity adjustment, but patrol and the difference of sweeping the floor, the place of going on patrol still needs to repeat patrol, but the place of being swept by any one robot does not need to repeat to sweep again, therefore in the process of sweeping the floor, residual area is constantly changing, and scalable patrol multirobot method is not suitable for sweeps the floor.
Summary of the invention
The embodiment of the present invention is to provide a kind of scalable multirobot method and system of sweeping the floor, and with when the remaining area area of sweeping the floor changes, automatically adjusts the remaining area area of sweeping the floor of each robot, improves the efficiency of sweeping.
The first aspect of the embodiment of the present invention, provides a kind of scalable multirobot method of sweeping the floor, and is applied to the system that comprises multiple sweeping robots, and described method comprises:
Obtain the remaining area total area of sweeping the floor, described in the remaining area total area of sweeping the floor be the remaining area area sum of sweeping the floor of each participation robot of sweeping the floor;
Whether the remaining area total area of sweeping the floor described in judgement has increases or reduces;
If so, based on the described remaining area total area of sweeping the floor, adjust the remaining area area of sweeping the floor of the robot that described each participation sweeps the floor, and the remaining area area of sweeping the floor after adjusting is sent to corresponding sweeping robot.
The second aspect of the embodiment of the present invention, provides a kind of scalable multi-robot system of sweeping the floor, and described system comprises multiple sweeping robots, and described system also comprises:
Information acquisition unit, for obtaining the remaining area total area of sweeping the floor, described in the remaining area total area of sweeping the floor be the remaining area area sum of sweeping the floor of each participation robot of sweeping the floor;
Whether judging unit, have and increase or reduce for the remaining area total area of sweeping the floor described in judging;
Adjustment unit, for in described judging unit judged result when being, based on the described remaining area total area of sweeping the floor, adjust the remaining area area of sweeping the floor of the robot that described each participation sweeps the floor, and the remaining area area of sweeping the floor after adjusting is sent to corresponding sweeping robot.
The beneficial effect that the embodiment of the present invention compared with prior art exists is: the embodiment of the present invention can be according to the variation of the remaining area total area of sweeping the floor, automatically adjust the remaining area area of sweeping the floor of each robot, to obtain, better sweep effect, improve the efficiency of sweeping.And the embodiment of the present invention is easy to operate, it is simple to realize, lower to hardware requirement, thus be conducive to reduce cost of products, make product applicable surface wider, there is stronger ease for use and practicality.
Accompanying drawing explanation
In order to be illustrated more clearly in the technical scheme in the embodiment of the present invention, to the accompanying drawing of required use in embodiment or description of the Prior Art be briefly described below, apparently, accompanying drawing in the following describes is only some embodiments of the present invention, for those of ordinary skills, do not paying under the prerequisite of creative work, can also obtain according to these accompanying drawings other accompanying drawing.
Fig. 1 is the realization flow figure of the scalable multirobot method of sweeping the floor that first embodiment of the invention provides;
Fig. 2 is the composition structural drawing of the scalable multi-robot system of sweeping the floor that second embodiment of the invention provides.
Embodiment
In order to make object of the present invention, technical scheme and advantage clearer, below in conjunction with drawings and Examples, the present invention is further elaborated.Should be appreciated that specific embodiment described herein, only in order to explain the present invention, is not intended to limit the present invention.
For technical solutions according to the invention are described, below by specific embodiment, describe.
embodiment mono-:
Fig. 1 shows the realization flow of the scalable multirobot method of sweeping the floor that the first embodiment provides, and details are as follows for the method process:
In step S101, obtain the remaining area total area of sweeping the floor, described in the remaining area total area of sweeping the floor be the remaining area area sum of sweeping the floor of each participation robot of sweeping the floor.
In the present embodiment, can first obtain the quantity that participates in the robot of sweeping the floor, then obtain the remaining area area of sweeping the floor of the robot that each participation sweeps the floor, the remaining area area of sweeping the floor of the robot that the each participation based on obtaining is swept the floor, calculates the remaining area total area of sweeping the floor.
Further, also comprise the ability of sweeping the floor of obtaining the robot that each participation sweeps the floor.
It should be noted that, the present embodiment can also be after step S102, obtain the remaining area total area of sweeping the floor before step S103.
In step S102, whether the remaining area total area of sweeping the floor described in judgement has increases or reduces, when judged result is "Yes", and execution step S103, otherwise continue judgement.
In the present embodiment, whether the system remaining area total area of sweeping the floor described in can Real-Time Monitoring has and increases or reduce.
Further, in order to strengthen and user's interactivity, the present embodiment can also provide an interactive operation interface, receive the solicited message that user is increased or reduced by the remaining area total area of sweeping the floor of described interactive operation interface input, described request packets of information is containing the remaining area area of sweeping the floor that increases or reduce.
As another example of the present invention, before showing described interactive operation interface, can also set in advance an enabled instruction, system, when receiving described enabled instruction, shows described interactive operation interface.
Described in the present embodiment, enabled instruction can be preferably: be at 2 and touch and after sliding trace is longitudinal relative sliding monitoring the touch action of user on system touch-screen, whether the speed whether the range difference whether displacement that judge the two longitudinal relative slidings in touch point is greater than default first threshold, the described two final drop points in touch point is simultaneously less than default Second Threshold and described two touch points slips is greater than the 3rd default threshold value simultaneously; Or be that 2 touches and described sliding trace are after reverse direction slides monitoring described touch action, judge whether range difference that whether displacement that two touch point reverse directions slide is greater than default first threshold, the described two final drop points in touch point is simultaneously greater than the speed of the 4th default threshold value and described two touch points sliding and whether is greater than the 3rd default threshold value simultaneously, if (being that above-mentioned three condition judgment results are all "Yes"), is judged to be described enabled instruction; (judged result of above-mentioned three conditions has one at least for "No"), does not carry out if not, finishes current operation.
In step S103, based on the described remaining area total area of sweeping the floor, adjust the remaining area area of sweeping the floor of the robot that described each participation sweeps the floor, and the remaining area area of sweeping the floor after adjusting is sent to corresponding sweeping robot.
Concrete is, when the remaining area total area of sweeping the floor increases, obtain sweep the floor remaining area area and the each ability of sweeping the floor that participates in the robot of sweeping the floor that newly increase, the ability of sweeping the floor of the robot of sweeping the floor based on described each participation, the remaining area area of sweeping the floor of sweeping the floor the remaining area total area and newly increase calculates the remaining area total area of sweeping the floor increases the remaining area area of sweeping the floor of rear each robot, and the remaining area area of sweeping the floor described in calculating is sent to corresponding sweeping robot, the remaining area area of sweeping the floor newly increasing is covered by least a portion sweeping robot,
When the remaining area total area of sweeping the floor reduces, obtain sweep the floor remaining area area and each ability of sweeping the floor that participates in the robot of sweeping the floor of minimizing, the remaining area area of sweeping the floor of the ability of sweeping the floor of the robot of sweeping the floor based on described each participation, sweep the floor the remaining area total area and minimizing calculates the remaining area total area of sweeping the floor reduce after the remaining area area of sweeping the floor of each robot, and the remaining area area of sweeping the floor described in calculating is sent to corresponding sweeping robot.
Further, it is described when the remaining area total area of sweeping the floor increases, obtain sweep the floor remaining area area and the each ability of sweeping the floor that participates in the robot of sweeping the floor that newly increase, the ability of sweeping the floor of the robot of sweeping the floor based on described each participation, sweep the floor the remaining area total area and the remaining area area of sweeping the floor that newly increases calculate the remaining area total area of sweeping the floor and increase after the remaining area area of sweeping the floor of each robot, and send to corresponding sweeping robot to comprise the remaining area area of sweeping the floor described in calculating:
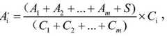
Obtain the ability of sweeping the floor and the remaining area area of sweeping the floor accordingly of the robot that each participation sweeps the floor, wherein, i robot that participates in sweeping the floor is designated as Ri, i the ability of sweeping the floor that participates in the robot of sweeping the floor is designated as Ci, i the remaining area area of sweeping the floor that participates in the robot of sweeping the floor is designated as Ai;
The remaining area area of sweeping the floor newly increasing is designated as S, and after the remaining area total area of sweeping the floor increases, the remaining area area of sweeping the floor of each robot is
Figure BDA0000454511760000051
and by the remaining area area A of sweeping the floor described in calculatingi' send to corresponding sweeping robot Ri, wherein, i=1,2 ... m, m is the quantity that participates in the robot of sweeping the floor.
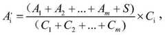
Further, it is described when the remaining area total area of sweeping the floor reduces, obtain sweep the floor remaining area area and each ability of sweeping the floor that participates in the robot of sweeping the floor of minimizing, the remaining area area of sweeping the floor of the ability of sweeping the floor of the robot of sweeping the floor based on described each participation, sweep the floor the remaining area total area and minimizing calculates the remaining area total area of sweeping the floor reduce after the remaining area area of sweeping the floor of each robot, and send to corresponding sweeping robot to comprise the remaining area area of sweeping the floor described in calculating:
Obtain the ability of sweeping the floor of robot and the remaining area area of sweeping the floor of correspondence that each participation is swept the floor, wherein, i robot that participates in sweeping the floor is designated as Ri, i the ability of sweeping the floor that participates in the robot of sweeping the floor is designated as Ci, i the remaining area area of sweeping the floor that participates in the robot of sweeping the floor is designated as Ai;
The remaining area area of sweeping the floor reducing is designated as S, and after the remaining area total area of sweeping the floor reduces, the remaining area area of sweeping the floor of each robot is
Figure BDA0000454511760000053
and by the remaining area area A of sweeping the floor described in calculatingi' send to corresponding sweeping robot Ri, wherein, i=1,2 ... m, m is the quantity that participates in the robot of sweeping the floor.
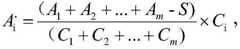
As another example of the present invention, when the area reducing is a certain sweeping the floor during remaining area area, the present embodiment also comprises:
Obtain the ability of sweeping the floor of robot and the remaining area area of sweeping the floor of correspondence that each participation is swept the floor, wherein, i robot that participates in sweeping the floor is designated as Ri, i the ability of sweeping the floor that participates in the robot of sweeping the floor is designated as Ci, i the remaining area area of sweeping the floor that participates in the robot of sweeping the floor is designated as Ai;
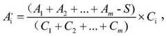
The remaining area area of sweeping the floor reducing is designated as Aj, after the remaining area total area of sweeping the floor reduces, the remaining area area of sweeping the floor of each robot isAi,=(A1+A2+...+Aj-1+Aj+1...+Am)(C1+C2+...+Cm)×Ci,And by the remaining area area A of sweeping the floor described in calculatingi' send to corresponding sweeping robot Ri, wherein, i=1,2 ... m, m is the quantity that participates in the robot of sweeping the floor.
The embodiment of the present invention can be according to the variation of the remaining area total area of sweeping the floor, and automatically adjusts the remaining area area of sweeping the floor of each robot, and the remaining area total area of ought sweeping the floor expands, and existing multirobot further disperses to sweep the floor at once; When the remaining area total area of sweeping the floor dwindles, existing multirobot is further concentrated and is swept the floor at once, can obtain and better sweep effect, improves the efficiency of sweeping.
embodiment bis-:
Fig. 2 shows the composition structure of the scalable multi-robot system of sweeping the floor that second embodiment of the invention provides, and for convenience of explanation, only shows the part relevant to the embodiment of the present invention.
This scalable multi-robot system of sweeping the floor comprises multiple sweeping robots.The described scalable multi-robot system of sweeping the floor also comprisesnumber obtainment unit 21,judging unit 22 and quantity adjustment unit 23.Wherein, the concrete function of each unit is as follows:
Information acquisition unit 21, for obtaining the remaining area total area of sweeping the floor, described in the remaining area total area of sweeping the floor be the remaining area area sum of sweeping the floor of each participation robot of sweeping the floor;
Whetherjudging unit 22, have and increase or reduce for the remaining area total area of sweeping the floor described in judging;
Adjustment unit 23, for in describedjudging unit 22 judged results when being, based on the described remaining area total area of sweeping the floor, adjust the remaining area area of sweeping the floor of the robot that described each participation sweeps the floor, and the remaining area area of sweeping the floor after adjusting is sent to corresponding sweeping robot.
Further, describedadjustment unit 23 comprises:
Thefirst adjusting module 231, for when the remaining area total area of sweeping the floor increases, obtain sweep the floor remaining area area and the each ability of sweeping the floor that participates in the robot of sweeping the floor that newly increase, the ability of sweeping the floor of the robot of sweeping the floor based on described each participation, the remaining area area of sweeping the floor of sweeping the floor the remaining area total area and newly increase calculates the remaining area total area of sweeping the floor increases the remaining area area of sweeping the floor of rear each robot, and the remaining area area of sweeping the floor described in calculating is sent to corresponding sweeping robot, the remaining area area of sweeping the floor newly increasing is covered by least a portion sweeping robot,
The second adjustingmodule 232, for when the remaining area total area of sweeping the floor reduces, obtain sweep the floor remaining area area and each ability of sweeping the floor that participates in the robot of sweeping the floor of minimizing, the remaining area area of sweeping the floor of the ability of sweeping the floor of the robot of sweeping the floor based on described each participation, sweep the floor the remaining area total area and minimizing calculates the remaining area total area of sweeping the floor reduce after the remaining area area of sweeping the floor of each robot, and the remaining area area of sweeping the floor described in calculating is sent to corresponding sweeping robot.
Further, described thefirst adjusting module 231 specifically for:
Obtain the ability of sweeping the floor and the remaining area area of sweeping the floor accordingly of the robot that each participation sweeps the floor, wherein, i robot that participates in sweeping the floor is designated as Ri, i the ability of sweeping the floor that participates in the robot of sweeping the floor is designated as Ci, i the remaining area area of sweeping the floor that participates in the robot of sweeping the floor is designated as Ai;
The remaining area area of sweeping the floor newly increasing is designated as S, and after the remaining area total area of sweeping the floor increases, the remaining area area of sweeping the floor of each robot is
Figure BDA0000454511760000071
and by the remaining area area A of sweeping the floor described in calculatingi' send to corresponding sweeping robot Ri, wherein, i=1,2 ... m, m is the quantity that participates in the robot of sweeping the floor.
Further, described the second adjustingmodule 232 specifically for:
Obtain the ability of sweeping the floor of robot and the remaining area area of sweeping the floor of correspondence that each participation is swept the floor, wherein, i robot that participates in sweeping the floor is designated as Ri, i the ability of sweeping the floor that participates in the robot of sweeping the floor is designated as Ci, i the remaining area area of sweeping the floor that participates in the robot of sweeping the floor is designated as Ai;
The remaining area area of sweeping the floor reducing is designated as S, and after the remaining area total area of sweeping the floor reduces, the remaining area area of sweeping the floor of each robot is
Figure BDA0000454511760000072
and by the remaining area area A of sweeping the floor described in calculatingi' send to corresponding sweeping robot Ri, wherein, i=1,2 ... m, m is the quantity that participates in the robot of sweeping the floor.
Further, described the second adjustingmodule 232 also for:
Obtain the ability of sweeping the floor of robot and the remaining area area of sweeping the floor of correspondence that each participation is swept the floor, wherein, i robot that participates in sweeping the floor is designated as Ri, i the ability of sweeping the floor that participates in the robot of sweeping the floor is designated as Ci, i the remaining area area of sweeping the floor that participates in the robot of sweeping the floor is designated as Ai;
The remaining area area of sweeping the floor reducing is designated as Aj, after the remaining area total area of sweeping the floor reduces, the remaining area area of sweeping the floor of each robot isAi'=(A1+A2+...+Aj-1+Aj+1...+Am)(C1+C2+...+Cm)×Ci,And by the remaining area area A of sweeping the floor described in calculatingi' send to corresponding sweeping robot Ri, wherein, i=1,2 ... m, m is the quantity that participates in the robot of sweeping the floor.
Those skilled in the art can be well understood to, for convenience and simplicity of description, only with the division of above-mentioned each functional unit, module, be illustrated, in practical application, can above-mentioned functions be distributed and by different functional units, module, completed as required, the inner structure that is described system is divided into different functional units or module, to complete all or part of function described above.Each functional unit in embodiment or module can be integrated in a processing unit, also can be that the independent physics of unit exists, also can be integrated in a unit two or more unit, above-mentioned integrated unit or module both can adopt the form of hardware to realize, and also can adopt the form of SFU software functional unit to realize.In addition, the concrete title of each functional unit, module also, just for the ease of mutual differentiation, is not limited to the application's protection domain.The specific works process of unit, module in said system, can, with reference to the corresponding process of preceding method embodiment, not repeat them here.
In sum, the embodiment of the present invention can be according to the variation of the remaining area total area of sweeping the floor, and automatically adjusts the remaining area area of sweeping the floor of each robot, thereby can obtain, better sweeps effect, improves the efficiency of sweeping.And the embodiment of the present invention is easy to operate, it is simple to realize, lower to hardware requirement, thus be conducive to reduce cost of products, make product applicable surface wider, there is stronger ease for use and practicality.
Those of ordinary skills it is also understood that, the all or part of step realizing in above-described embodiment method is can carry out the hardware that instruction is relevant by program to complete, described program can be being stored in a computer read/write memory medium, described storage medium, comprises ROM/RAM, disk, CD etc.
Above content is in conjunction with concrete preferred implementation further description made for the present invention, can not assert that specific embodiment of the invention is confined to these explanations.For general technical staff of the technical field of the invention; make without departing from the inventive concept of the premise some alternative or obvious modification that are equal to; and performance or purposes identical, all should be considered as belonging to the present invention by the definite scope of patent protection of submitted to claims.

Claims (10)

1. the scalable multirobot method of sweeping the floor, is applied to the system that comprises multiple sweeping robots, it is characterized in that, described method comprises:
Obtain the remaining area total area of sweeping the floor, described in the remaining area total area of sweeping the floor be the remaining area area sum of sweeping the floor of each participation robot of sweeping the floor;
Whether the remaining area total area of sweeping the floor described in judgement has increases or reduces;
If so, based on the described remaining area total area of sweeping the floor, adjust the remaining area area of sweeping the floor of the robot that described each participation sweeps the floor, and the remaining area area of sweeping the floor after adjusting is sent to corresponding sweeping robot.
2. the method for claim 1, it is characterized in that, it is described when the remaining area total area of sweeping the floor increases or reduces, based on the described remaining area total area of sweeping the floor, adjust the remaining area area of sweeping the floor of the robot that described each participation sweeps the floor, and send to corresponding sweeping robot to comprise the remaining area area of sweeping the floor after adjusting:
When the remaining area total area of sweeping the floor increases, obtain sweep the floor remaining area area and the each ability of sweeping the floor that participates in the robot of sweeping the floor that newly increase, the ability of sweeping the floor of the robot of sweeping the floor based on described each participation, sweep the floor the remaining area total area and the remaining area area of sweeping the floor that newly increases calculate the remaining area total area of sweeping the floor and increase after the remaining area area of sweeping the floor of each robot, and the remaining area area of sweeping the floor described in calculating is sent to corresponding sweeping robot, the remaining area area of sweeping the floor newly increasing is covered by least a portion sweeping robot;
When the remaining area total area of sweeping the floor reduces, obtain sweep the floor remaining area area and each ability of sweeping the floor that participates in the robot of sweeping the floor of minimizing, the remaining area area of sweeping the floor of the ability of sweeping the floor of the robot of sweeping the floor based on described each participation, sweep the floor the remaining area total area and minimizing calculates the remaining area total area of sweeping the floor reduce after the remaining area area of sweeping the floor of each robot, and the remaining area area of sweeping the floor described in calculating is sent to corresponding sweeping robot.
3. method as claimed in claim 2, it is characterized in that, it is described when the remaining area total area of sweeping the floor increases, obtain sweep the floor remaining area area and the each ability of sweeping the floor that participates in the robot of sweeping the floor that newly increase, the ability of sweeping the floor of the robot of sweeping the floor based on described each participation, sweep the floor the remaining area total area and the remaining area area of sweeping the floor that newly increases calculate the remaining area total area of sweeping the floor and increase after the remaining area area of sweeping the floor of each robot, and send to corresponding sweeping robot to comprise the remaining area area of sweeping the floor described in calculating:
Obtain the ability of sweeping the floor and the remaining area area of sweeping the floor accordingly of the robot that each participation sweeps the floor, wherein, i robot that participates in sweeping the floor is designated as Ri, i the ability of sweeping the floor that participates in the robot of sweeping the floor is designated as Ci, i the remaining area area of sweeping the floor that participates in the robot of sweeping the floor is designated as Ai;
The remaining area area of sweeping the floor newly increasing is designated as S, and after the remaining area total area of sweeping the floor increases, the remaining area area of sweeping the floor of each robot is
Figure FDA0000454511750000021
, and by the remaining area area A of sweeping the floor described in calculatingi' send to corresponding sweeping robot Ri, wherein, i=1,2 ... m, m is the quantity that participates in the robot of sweeping the floor.
4. method as claimed in claim 2, it is characterized in that, it is described when the remaining area total area of sweeping the floor reduces, obtain sweep the floor remaining area area and each ability of sweeping the floor that participates in the robot of sweeping the floor of minimizing, the remaining area area of sweeping the floor of the ability of sweeping the floor of the robot of sweeping the floor based on described each participation, sweep the floor the remaining area total area and minimizing calculates the remaining area total area of sweeping the floor reduce after the remaining area area of sweeping the floor of each robot, and send to corresponding sweeping robot to comprise the remaining area area of sweeping the floor described in calculating:
Obtain the ability of sweeping the floor of robot and the remaining area area of sweeping the floor of correspondence that each participation is swept the floor, wherein, i robot that participates in sweeping the floor is designated as Ri, i the ability of sweeping the floor that participates in the robot of sweeping the floor is designated as Ci, i the remaining area area of sweeping the floor that participates in the robot of sweeping the floor is designated as Ai;
The remaining area area of sweeping the floor reducing is designated as S, and after the remaining area total area of sweeping the floor reduces, the remaining area area of sweeping the floor of each robot isand by the remaining area area A of sweeping the floor described in calculatingi' send to corresponding sweeping robot Ri, wherein, i=1,2 ... m, m is the quantity that participates in the robot of sweeping the floor.
5. method as claimed in claim 2, it is characterized in that, it is described when the remaining area total area of sweeping the floor reduces, obtain sweep the floor remaining area area and each ability of sweeping the floor that participates in the robot of sweeping the floor of minimizing, the remaining area area of sweeping the floor of the ability of sweeping the floor of the robot of sweeping the floor based on described each participation, sweep the floor the remaining area total area and minimizing calculates the remaining area total area of sweeping the floor reduce after the remaining area area of sweeping the floor of each robot, and send to corresponding sweeping robot to comprise the remaining area area of sweeping the floor described in calculating:
Obtain the ability of sweeping the floor of robot and the remaining area area of sweeping the floor of correspondence that each participation is swept the floor, wherein, i robot that participates in sweeping the floor is designated as Ri, i the ability of sweeping the floor that participates in the robot of sweeping the floor is designated as Ci, i the remaining area area of sweeping the floor that participates in the robot of sweeping the floor is designated as Ai;
The remaining area area of sweeping the floor reducing is designated as Aj, after the remaining area total area of sweeping the floor reduces, the remaining area area of sweeping the floor of each robot isAi'=(A1+A2+...+Aj-1+Aj+1...+Am)(C1+C2+...+Cm)×Ci,And by the remaining area area A of sweeping the floor described in calculatingi' send to corresponding sweeping robot Ri, wherein, i=1,2 ... m, m is the quantity that participates in the robot of sweeping the floor.
6. the scalable multi-robot system of sweeping the floor, described system comprises multiple sweeping robots, it is characterized in that, and described system comprises:
Information acquisition unit, for obtaining the remaining area total area of sweeping the floor, described in the remaining area total area of sweeping the floor be the remaining area area sum of sweeping the floor of each participation robot of sweeping the floor;
Whether judging unit, have and increase or reduce for the remaining area total area of sweeping the floor described in judging;
Adjustment unit, for in described judging unit judged result when being, based on the described remaining area total area of sweeping the floor, adjust the remaining area area of sweeping the floor of the robot that described each participation sweeps the floor, and the remaining area area of sweeping the floor after adjusting is sent to corresponding sweeping robot.
7. system as claimed in claim 6, is characterized in that, described adjustment unit comprises:
The first adjusting module, for when the remaining area total area of sweeping the floor increases, obtain sweep the floor remaining area area and the each ability of sweeping the floor that participates in the robot of sweeping the floor that newly increase, the ability of sweeping the floor of the robot of sweeping the floor based on described each participation, the remaining area area of sweeping the floor of sweeping the floor the remaining area total area and newly increase calculates the remaining area total area of sweeping the floor increases the remaining area area of sweeping the floor of rear each robot, and the remaining area area of sweeping the floor described in calculating is sent to corresponding sweeping robot, the remaining area area of sweeping the floor newly increasing is covered by least a portion sweeping robot,
The second adjusting module, for when the remaining area total area of sweeping the floor reduces, obtain sweep the floor remaining area area and each ability of sweeping the floor that participates in the robot of sweeping the floor of minimizing, the remaining area area of sweeping the floor of the ability of sweeping the floor of the robot of sweeping the floor based on described each participation, sweep the floor the remaining area total area and minimizing calculates the remaining area total area of sweeping the floor reduce after the remaining area area of sweeping the floor of each robot, and the remaining area area of sweeping the floor described in calculating is sent to corresponding sweeping robot.
8. system as claimed in claim 7, is characterized in that, described the first adjusting module specifically for:
Obtain the ability of sweeping the floor and the remaining area area of sweeping the floor accordingly of the robot that each participation sweeps the floor, wherein, i robot that participates in sweeping the floor is designated as Ri, i the ability of sweeping the floor that participates in the robot of sweeping the floor is designated as Ci, i the remaining area area of sweeping the floor that participates in the robot of sweeping the floor is designated as Ai;
The remaining area area of sweeping the floor newly increasing is designated as S, and after the remaining area total area of sweeping the floor increases, the remaining area area of sweeping the floor of each robot is
Figure FDA0000454511750000041
and by the remaining area area A of sweeping the floor described in calculatingi' send to corresponding sweeping robot Ri, wherein, i=1,2 ... m, m is the quantity that participates in the robot of sweeping the floor.
9. system as claimed in claim 7, is characterized in that, described the second adjusting module specifically for:
Obtain the ability of sweeping the floor of robot and the remaining area area of sweeping the floor of correspondence that each participation is swept the floor, wherein, i robot that participates in sweeping the floor is designated as Ri, i the ability of sweeping the floor that participates in the robot of sweeping the floor is designated as Ci, i the remaining area area of sweeping the floor that participates in the robot of sweeping the floor is designated as Ai;
The remaining area area of sweeping the floor reducing is designated as S, and after the remaining area total area of sweeping the floor reduces, the remaining area area of sweeping the floor of each robot is
Figure FDA0000454511750000042
and by the remaining area area A of sweeping the floor described in calculatingi' send to corresponding sweeping robot Ri, wherein, i=1,2 ... m, m is the quantity that participates in the robot of sweeping the floor.
10. system as claimed in claim 7, is characterized in that, described the second adjusting module also for:
Obtain the ability of sweeping the floor of robot and the remaining area area of sweeping the floor of correspondence that each participation is swept the floor, wherein, i robot that participates in sweeping the floor is designated as Ri, i the ability of sweeping the floor that participates in the robot of sweeping the floor is designated as Ci, i the remaining area area of sweeping the floor that participates in the robot of sweeping the floor is designated as Ai;
The remaining area area of sweeping the floor reducing is designated as Aj, after the remaining area total area of sweeping the floor reduces, the remaining area area of sweeping the floor of each robot isAi'=(A1+A2+...+Aj-1+Aj+1...+Am)(C1+C2+...+Cm)×Ci,And by the remaining area area A of sweeping the floor described in calculatingi' send to corresponding sweeping robot Ri, wherein, i=1,2 ... m, m is the quantity that participates in the robot of sweeping the floor.
CN201410008678.4A2014-01-082014-01-08Extensible floor sweeping multi-robot method and systemPendingCN103760853A (en)

Priority Applications (1)

Application NumberPriority DateFiling DateTitle
CN201410008678.4ACN103760853A (en)2014-01-082014-01-08Extensible floor sweeping multi-robot method and system

Applications Claiming Priority (1)

Application NumberPriority DateFiling DateTitle
CN201410008678.4ACN103760853A (en)2014-01-082014-01-08Extensible floor sweeping multi-robot method and system

Publications (1)

Publication NumberPublication Date
CN103760853Atrue CN103760853A (en)2014-04-30

Family

ID=50528108

Family Applications (1)

Application NumberTitlePriority DateFiling Date
CN201410008678.4APendingCN103760853A (en)2014-01-082014-01-08Extensible floor sweeping multi-robot method and system

Country Status (1)

CountryLink
CN (1)CN103760853A (en)

Citations (8)

* Cited by examiner, † Cited by third party
Publication numberPriority datePublication dateAssigneeTitle
US6374155B1 (en)*1999-11-242002-04-16Personal Robotics, Inc.Autonomous multi-platform robot system
KR20060110479A (en)*2005-04-202006-10-25엘지전자 주식회사 Sweeping robot system
EP2196882A2 (en)*2008-11-172010-06-16Kabushiki Kaisha Yaskawa DenkiRobot system
CN103176464A (en)*2013-03-202013-06-26深圳先进技术研究院Retractable multirobot patrol method and retractable multirobot patrol system
CN103197555A (en)*2013-03-202013-07-10深圳先进技术研究院Fault-tolerant multi-robot patrol method and system
CN103207602A (en)*2013-03-202013-07-17深圳先进技术研究院Adaptive-scheduling multi-robot patrol method and system
CN103217926A (en)*2012-01-202013-07-24苏州宝时得电动工具有限公司Automatic working equipment and control method thereof
CN103324192A (en)*2012-03-232013-09-25苏州宝时得电动工具有限公司Boundary setting method and boundary setting system

Patent Citations (8)

* Cited by examiner, † Cited by third party
Publication numberPriority datePublication dateAssigneeTitle
US6374155B1 (en)*1999-11-242002-04-16Personal Robotics, Inc.Autonomous multi-platform robot system
KR20060110479A (en)*2005-04-202006-10-25엘지전자 주식회사 Sweeping robot system
EP2196882A2 (en)*2008-11-172010-06-16Kabushiki Kaisha Yaskawa DenkiRobot system
CN103217926A (en)*2012-01-202013-07-24苏州宝时得电动工具有限公司Automatic working equipment and control method thereof
CN103324192A (en)*2012-03-232013-09-25苏州宝时得电动工具有限公司Boundary setting method and boundary setting system
CN103176464A (en)*2013-03-202013-06-26深圳先进技术研究院Retractable multirobot patrol method and retractable multirobot patrol system
CN103197555A (en)*2013-03-202013-07-10深圳先进技术研究院Fault-tolerant multi-robot patrol method and system
CN103207602A (en)*2013-03-202013-07-17深圳先进技术研究院Adaptive-scheduling multi-robot patrol method and system

Similar Documents

PublicationPublication DateTitle
CN202854755U (en)An information processing apparatus
CN102722333B (en)A kind of touch screen unlocking method and terminal
CN103294401A (en)Icon processing method and device for electronic instrument with touch screen
CN103475341B (en)Clock signal generates method and generative circuit, gate driver circuit
CN103809735A (en)Gesture recognition method and gesture recognition device
CN106462310A (en)Touch chip and method of using same to detect touch points of touch screen
CN105260112A (en)Method and device for controlling screen between terminals
CN104182137A (en)Method for erasing electronic handwriting on register plate
CN103064554A (en)Chirography smoothing method of handwriting input method and handwriting input method
CN105959353A (en)Cloud operation access control method based on average reinforcement learning and Gaussian process regression
CN104123027B (en)Touch track smoothing method
CN102402392B (en)Page transmission method and device for touch screen
CN113110419A (en)Method and device for robot secondary docking charging pile, robot and storage medium
CN107767487B (en)Method and device for determining data acquisition route
CN102289318B (en)Method and device for processing writing of touch screen
Ribeiro Jr et al.HARMONIC: Shapley values in market games for resource allocation in vehicular clouds
CN103760853A (en)Extensible floor sweeping multi-robot method and system
CN103617083A (en)Storage scheduling method and system, job scheduling method and system and management node
CN103309581A (en) A method and device for positioning a progress bar
CN206479968U (en)Touch chip and touch apparatus
CN103760854A (en)Fault-tolerable floor sweeping multi-robot method and system
CN205965022U (en)Unmanned aerial vehicle's remote control unit
CN106775539A (en)Synchronous display method, device and tutoring system
CN105302582A (en)Installation interface display method and apparatus
CN107765974A (en)A kind of moving method and device for sliding control

Legal Events

DateCodeTitleDescription
C06Publication
PB01Publication
C10Entry into substantive examination
SE01Entry into force of request for substantive examination
RJ01Rejection of invention patent application after publication

Application publication date:20140430

RJ01Rejection of invention patent application after publication

[8]ページ先頭

©2009-2025 Movatter.jp