Movatterモバイル変換


[0]ホーム

URL:


CN103716879A - Novel wireless positioning method by adopting distance geometry under NLOS environment - Google Patents

Novel wireless positioning method by adopting distance geometry under NLOS environment
Download PDF

Info

Publication number
CN103716879A
CN103716879ACN201310739248.5ACN201310739248ACN103716879ACN 103716879 ACN103716879 ACN 103716879ACN 201310739248 ACN201310739248 ACN 201310739248ACN 103716879 ACN103716879 ACN 103716879A
Authority
CN
China
Prior art keywords
epsiv
base stations
distance
base station
mobile station
Prior art date
Legal status (The legal status is an assumption and is not a legal conclusion. Google has not performed a legal analysis and makes no representation as to the accuracy of the status listed.)
Granted
Application number
CN201310739248.5A
Other languages
Chinese (zh)
Other versions
CN103716879B (en
Inventor
赵军辉
张�浩
王娇
刘旭
Current Assignee (The listed assignees may be inaccurate. Google has not performed a legal analysis and makes no representation or warranty as to the accuracy of the list.)
Beijing Jiaotong University
Original Assignee
Beijing Jiaotong University
Priority date (The priority date is an assumption and is not a legal conclusion. Google has not performed a legal analysis and makes no representation as to the accuracy of the date listed.)
Filing date
Publication date
Application filed by Beijing Jiaotong UniversityfiledCriticalBeijing Jiaotong University
Priority to CN201310739248.5ApriorityCriticalpatent/CN103716879B/en
Publication of CN103716879ApublicationCriticalpatent/CN103716879A/en
Application grantedgrantedCritical
Publication of CN103716879BpublicationCriticalpatent/CN103716879B/en
Activelegal-statusCriticalCurrent
Anticipated expirationlegal-statusCritical

Links

Images

Landscapes

Abstract

Translated fromChinese

本发明涉及NLOS环境下采用距离几何的无线定位新方法,该方法基于到达时间(TOA)测量值的基础上,提出了二维空间上蜂窝小区环境下基于距离几何理论的两种算法,滤波算法和约束算法。首先利用基站之间、基站与移动台之间的距离几何关系来构造约束函数,滤波算法通过选取多组测量值中误差较小的一组来进行位置估计,而约束算法通过对获取的测量值进行一定程度的非线性约束优化然后进行位置估计。本发明能够在保证在不需要提前进行非视距测量值的鉴别和消除的情况下,有效地抑制非视距误差,提高定位精度。The invention relates to a new wireless positioning method using distance geometry under NLOS environment. The method is based on time of arrival (TOA) measurement value, and proposes two algorithms based on distance geometry theory in a two-dimensional cell environment, and a filtering algorithm and constrained algorithms. First, the constraint function is constructed by using the distance geometric relationship between the base stations and between the base station and the mobile station. The filtering algorithm estimates the position by selecting a group with a smaller error among multiple sets of measurement values, and the constraint algorithm uses the acquired measurement values A degree of nonlinear constrained optimization is performed followed by position estimation. The invention can effectively restrain the non-line-of-sight error and improve the positioning accuracy under the condition that no identification and elimination of the non-line-of-sight measurement values are required in advance.

Description

Under NLOS environment, adopt the wireless location new method of geometric distance
Technical field
The present invention relates to the Cellular Networks location technology under a kind of nlos environment, particularly relate to the wireless location new method that adopts geometric distance under NLOS environment.
Background technology
In Cellular Networks location technology now, TOA model orientation algorithm is a kind of important location algorithm, a plurality of setting circle intersection points of demand solution, but under nlos environment, position error is very large; The method of conventional elimination non line of sight error is to differentiate null method, it certainly will will carry out a large amount of data samplings and data processing is set up required experience database in early stage, by these prior informations, judge whether the measurement data obtaining comprises non line of sight error, and this can cause great amount of calculation.In view of this consideration, a kind of TOA location algorithm based on geometric distance is proposed, the Blumenthal embedding theorems that it be take in distance geometry are got up as Foundation, do not need to differentiate in advance whether measurement data comprises NLOS error, but be optimized according to geometrical-restriction relation value of adjusting the distance of distance between travelling carriage and base station.Existing relevant research has obtained certain result according to geometric distance theory, but also there is no relevant research in Cellular Networks environment.
Summary of the invention
For above the deficiencies in the prior art, the present invention proposes to adopt under a kind of NLOS environment the wireless location new method of geometric distance, suppresses non line of sight error, improves positioning precision to solve under a kind of nlos environment.
Object of the present invention is achieved through the following technical solutions:
Under NLOS environment, adopt the wireless location new method of geometric distance, this new location method comprises geometric distance filtering method DGF and geometric distance constrained procedure DGC,
The step of described DGF algorithm is as follows:
101. travelling carriages obtain the many groups measured value from base station, and each group measured value is the signal propagation time that comes from different base station that travelling carriage receives at synchronization, is designated as (t1, t2, t3, t4), wherein subscript represents different base stations;
102. calculate according to following formula each group measured value,, for each group measured value, all can obtain a calculated value, choose in all measured values and meet the following conditions and make one group of calculating formula value minimum:
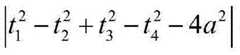
For the signal that can receive four base stations:
min(t12-t22+t32-t42-4a2);
For the signal that can receive three base stations:
min(p12+p22+p32-v4(t12t22+t12t32+t22t32)+4a2),
Whereinp1=v2t12-2a2,p2=v2t22-2a2,p3=v2t32-2a2,A is half of adjacent base station distance, and v is transmission of wireless signals speed;
103. solve one group of following formula of measured value substitution choosing in step 102, and the value of (x, the y) of acquisition is the position coordinates of travelling carriage under the coordinate system of setting:
Four base stations:x=3v2(t12-3t22-t32+3t42)24a+3a2y=v2(t12+t22-t32-t42)8a+3a2
Three base stations:x=3v2(t12-2t22+t32)12a+33ay=v2(t12-t32)4a+a;
The step of described DGC method is as follows:
201. travelling carriages obtain the measured value from base station, and the signal propagation time that comes from different base station for travelling carriage receives at synchronization, is designated as (tm1, tm2, tm3, tm4), wherein subscript represents different base stations;
202. set unknown parameter (ε1, ε2..., εi), the base station number of i for participating in calculating, calculates following nonlinear optimal problem, is met one group of (ε of this nonlinear optimal problem1, ε2..., εi) numerical value, wherein a is half of adjacent base station distance, v is transmission of wireless signals speed:
For the signal that can receive four base stations:
minJ=Σi=14ϵi2
s.t.
ϵ1-ϵ2+ϵ3-ϵ4-tm12+tm22-tm32+tm42+4a2=0ϵi>0,i=0,1,2,3
For the signal that can receive three base stations:
minJ=Σi=13ϵ2
s.t.
ϵTAϵ+ϵTb+c=0ϵi>0,i=0,1,2,3
ε=(ε wherein1, ε2, ε3),A=8a2-4a2-4a2-4a28a2-4a2-4a2-4a28a2,b=-16a28a28a28a2-16a28a28a28a2-16a2v2tm12v2tm22v2tm32+32a232a232a2,
c=128a6+8a2v4(t14+t24+t34-t12t22-t12t32-t22t32)-32a4v2(t12+t22+t32);
203. (the ε that step 202 is obtained1, ε2..., εi) numerical value substitution following formula, try to achieve travelling carriage after optimization to the distance parameter value of each base station:
di=vtmi2-ϵ
204. least square methods solve: X=(Ata)-1aty, the vectorial X calculating is a bivector, is the position coordinates of travelling carriage under the coordinate system of setting,
Wherein
A=-2(x1-xk)(y1-yk)(x2-xk)(y2-yk)LL(xk-1-xk)(yk-1-yk),Y=d12-dk2-x12+xk2-y12+yk2d22-dk2-x22+xk2-y22+yk2Ldk-12-dk2-xk-12+xk2-yk-12+yk2
(xi, yi) be the coordinate figure of base station i, dithe travelling carriage obtaining for step 203 is to the distance parameter value of base station i.
The invention has the advantages that:
The present invention can, guaranteeing in the situation that do not need to carry out in advance discriminating and the elimination of non line of sight measured value, effectively to suppress non line of sight error, improve positioning precision.The present invention has deposited at cellular network base stations cloth, has stronger practicality.
Accompanying drawing explanation
Fig. 1: non line of sight error location schematic diagram;
Fig. 2: location, cellular cell schematic diagram;
Fig. 3: four architecture simulation results;
Fig. 4: three architecture simulation results;
Fig. 5: RMSE simulation result under four base station different N LOS errors;
Fig. 6: RMSE simulation result under three base station different N LOS errors;
Fig. 7: three base stations and four base station simulation result comparisons;
Fig. 8: DGF algorithm flow chart;
Fig. 9: DGC algorithm flow chart.
Embodiment
The present invention adopts signal transmission universal model, consider that between travelling carriage (MS) and base station (BS), barrier stops (being non line of sight error) such as caused signal reflex, refractions, the measured value measuring is so compared with free from error accurate measured value and is had a larger deviation, is shown below:
tm=t+ε (1)
Wherein, tmfor actual measured value, t is measured value under view distance environment, and ε is non line of sight error, is a larger positive deviate.Traditional targeting scheme is due to the impact of non line of sight error in the parameter of using, cause the reduction of positioning precision, as shown in Figure 2, the measured value that travelling carriage obtains from 3 base stations is due to the impact of non line of sight error, cause positioning result not converge, there is deviation with actual position.This programme utilizes geometric distance correlation theory in the many groups measured value obtaining, and finds out one group of one group of measured value approaching most under view distance environment, and deviation is minimum, and it is positioned as locator data.
The Blumenthal embedding theorems that the present invention be take in distance geometry are got up as Foundation, do not need to differentiate in advance whether measurement data comprises non line of sight error, but be optimized according to geometrical-restriction relation value of adjusting the distance of distance between travelling carriage and base station, wherein geometric distance bounding theory is as follows:
If S is r dimension theorem in Euclid space Erin orderly point set, S={P1, P2, LPn, note dijfor Pi, Pjspacing, with dijthe matrix forming for element is Erin the orderly distance matrix on point set S, and have
dij=dji,dij>0(i≠j),dii=0 (2)
Should be noted, not all that meet above-mentioned condition is all the fixed E of dimension simultaneouslyrin distance matrix.
The matrix that meets above-mentioned condition is " semi-metric matrix ", if be just in time Erthe distance matrix of upper one orderly point set, claims it to embed Er; If can embed Erbut can not embed Er-1, claim it to Erembedding can not be degenerated.
Blumenthal embedding theorems[6]to a semi-metric matrix, can not degenerate and embed Erprovided necessary and sufficient condition.Double metric matrix D and in order point set S={P1, P2, L, Pn, can on S, define binary function d (Pi, Pj)=dij(1≤i, j≤n) is Pi, Pjbetween press the semi-metric of D definition.If
Figure BDA0000447287820000054
and it is constant that in S', element retains precedence, i.e. S'={Pi, Pj, L, Pk, 1≤i≤j≤L≤k≤n, the semi-metric matrix on S' is
D′diidijLdikdjidjjLdikMMMdkidkjLdkkD‾′=dii2dij2Ldik21dji2djj2Ldjk21MMMMdki2dkj2Ldkk2111L10---(3)
Its square of edged battle array is
Figure BDA0000447287820000052
and will
Figure BDA0000447287820000053
determinant is designated as Δ (i, j, L, k).
Theorem 1:Blumenthal theorem: establishing D is one n * n semi-metric matrix, it is not degenerated and embeds Ernecessary and sufficient condition be, D is done to an order adjustment, adjust later half metric matrix Dameet following condition:
Condition 1:
(-1)2·Δ(1,2)>0,(-1)3·Δ(1,2,3)>0,L,(-1)r·Δ(1,2,L,r)>0
Condition 2:
For meeting r+1<u, v≤n positive integer u, v has
Δ(1,2,L,r+1,u)=Δ(1,2,L,r+1,v)=Δ(1,2,L,r+1,u,v)=0
In two dimensional surface theorem in Euclid space, for this theorem special case E2situation, has:
Theorem 2: establishing D is one n * n semi-metric matrix, it is not degenerated and embeds E2necessary and sufficient condition be: D is done to an order adjustment, adjusts later half metric matrix Dameet following condition:
Condition one: Δ (1,2) >0, Δ (1,2,3) <0,
Condition two: for meeting r+1<u, v≤n positive integer u, v have Δ (1,2,3, u)=Δ (1,2,3, v)=Δ (1,2,3, u, v)=0.
Wherein:&Delta;(1,2)=0d1221d12201110=2d122>0Inevitable, Δ (1,2,3) <0 represents by Dafront 3 conllinear not after embedding; (1,2,3, (1,2,3, v)=Δ (1,2,3, u, v)=0 represents semi-metric matrix square edged battle array to u)=Δ to Δ
Figure BDA0000447287820000064
order is 4.
In two dimensional surface space, Δ (1,2 in the condition 2 of theorem 2,3, u)=Δ (1,2,3, v)=Δ (1,2,3, u, v)=0, can only draw the distance matrix square edged battle array equation relation of 4 or 5 points, remove travelling carriage, participate in so effective base station that location survey value obtains and only have 3 or 4 most.Therefore,, under the environment of cellular cell, choose 4 adjacent base stations as shown in Figure 2 as position reference base station.
When four reference base station participate in location, choose orderly point set (O, A, B, M, C), Yi Zhiqi meets Blumenthal embedding theorems, can obtain its square of edged battle array
D&OverBar;=04a212a2v2t124a214a204a2v2t224a2112a24a20v2t324a21v1t12v2t22v2t320v2t4214a24a24a2v2t4201111110---(4)
(t wherein1, t2, t3, t4) being respectively (O, A, B, C) to the time measured value of a M, the distance of adjacent base station is 2a.
For three architectures, choose base station O, A, C, for orderly point set (O, A, C, M), Yi Zhiqi meets Blumenthal embedding theorems so, in like manner can obtain its square of edged battle array
D&OverBar;=04a24a2v2t1214a204a2v2t2214a24a20v2t321v2t12v2t22v2t320111110---(5)
(t wherein1, t2, t3) being respectively (O, A, C) to the time measured value of a M, the distance of adjacent base station is 2a.
1, geometric distance filtering algorithm
If can obtain many group measured values, in these measured values, have so and must have one group of measured value to compare deviate minimum with actual value, approach most the measured value under LOS.Geometric distance filtering algorithm (Distance geometric filtering, calls DGF in the following text) will be attempted finding out this group in these measured values and approach one group of measured value in LOS situation most, and it is positioned as locator data.
During four architectures, according to the condition two of Blumenthal theorem, make in (3) formula
Figure BDA0000447287820000071
calculate and abbreviation, can obtain
t12-t22+t32-t42-4a2---(6)
(t wherein1, t2, t3) while being respectively error free (O, A, B, C) to the time measured value of some M, a is half of adjacent base station distance.And actual measured value is owing to having comprised NLOS error, cannot obtain as the equation of (5) formula, therefore, can from many groups measured value, choose
Figure BDA0000447287820000073
one group of value minimum as location survey value.In TOA model, obtain measuring equation group
(x-x1)2+(y-y1)2=v2t12(x-x2)2+(y-y2)2=v2t22(x-x3)2+(y-y3)2=v2t32(x-x4)2+(y-y4)2=v2t42---(7)
Appoint and to get 3 setting circles, its equation subtracts each other between two three straight lines that obtain and intersects at a point (as shown in Figure 2), and 4 setting circles are appointed respectively and got 3, can obtain four intersection points
Figure BDA0000447287820000075
Figure BDA00004472878200000710
according to centroid algorithm, location of mobile station is:
(xM1+xM2+xM3+xM44,yM1+yM2+yM3+yM44)
By base station (O, A, B, C) coordinate substitution (7) formula, solve and can obtain location of mobile station coordinate:
x=3v2(t12-3t22-t32+3t42)24a+3a2y=v2(t12+t22-t32-t42)8a+3a2---(8)
Location survey value substitution (8) formula obtaining is resolved.
In like manner, when adopting three architectures, can obtain and retrain accordingly equation and be
p12+p22+p32-v4(t12t22+t12t32+t22t32)+4a2=0---(9)
Whereinp1=v2t12-2a2,p2=v2t22-2a2,p3=v2t32-2a2
Corresponding position coordinates is
x=3v2(t12-2t22+t32)12a+33ay=v2(t12-t32)4a+a---(10)
2, geometric distance bounding algorithm
Because how NLOS error has compared a larger overgauge with LOS, geometric distance bounding algorithm (Distance geometric constraint, call DGC in the following text) utilize geometrical relationship to make measured value deduct certain deviate, thus make the one group of measured value obtaining can be closer to the measured value under LOS.
During four architectures, known (6) formula:
t12-t22+t32-t42-4a2=0
Due to the existence of NLOS, measured value has a large positive deviation than actual value, therefore can establish measured value
tmi2=ti2+&epsiv;i---(11)
ε whereini>=0.
Obtain
&epsiv;1-&epsiv;2+&epsiv;3-&epsiv;4-tm12+tm22-tm32+tm42+4a2=0---(12)
Therefore measured value optimization problem is converted into following nonlinear optimal problem:
minJ=&Sigma;i=14&epsiv;2
s.t. (13)
&epsiv;1-&epsiv;2+&epsiv;3-&epsiv;4-tm12+tm22-tm32+tm42+4a2=0&epsiv;i>0,i=0,1,2,3
Obtain ε1, ε2, ε3, ε4, show that TOA optimizes measured value
ti&prime;=tmi2-&epsiv;i---(14)
Optimization distance value di=vt 'i
Substitution LS Algorithm for Solving base station coordinates again,
X=(ATA)-1ATY (15)
Wherein
A=-2(x1-xk)(y1-yk)(x2-xk)(y2-yk)LL(xk-1-xk)(yk-1-yk),Y=d12-dk2-x12+xk2-y12+yk2d22-dk2-x22+xk2-y22+yk2Ldk-12-dk2-xk-12+xk2-yk-12+yk2
(xi, yi) be BS coordinate, difor the distance measure after optimizing.
During three architectures, can obtain corresponding nonlinear optimization restricted problem and be:
minJ=&Sigma;i=13&epsiv;2
s.t. (16)
&epsiv;TA&epsiv;+&epsiv;Tb+c=0&epsiv;i>0,i=0,1,2,3
ε=(ε wherein1, ε2, ε3),A=-2(x1-xk)(y1-yk)(x2-xk)(y2-yk)LL(xk-1-xk)(yk-1-yk),Y=d12-dk2-x12+xk2-y12+yk2d22-dk2-x22+xk2-y22+yk2Ldk-12-dk2-xk-12+xk2-yk-12+yk2
c=128a6+8a2v4(t14+t24+t34-t12t22-t12t32-t22t32)-32a4v2(t12+t22+t32);
Geometric distance filtering algorithm (Distance geometric filtering, DGF) and geometric distance bounding algorithm (Distance geometric constraint, DGC) be two kinds of different data processing methods in geometric distance localization method, according to algorithm characteristic and simulation result, known DGF algorithm need be measured multi-group data, has greater probability to obtain the situation of LOS measured value while being applicable to stationary node, NLOS mean error compared with Datong District; DGC algorithm can be used for mobile node location, and when NLOS mean error is little, effect is better.Under as the environment of Fig. 2, the specific implementation method of DGF and DGC is as follows, as Figure 8-9.
1:DGF algorithm:
(1) travelling carriage obtains the many groups measured value from base station, and each group measured value is the signal propagation time that comes from different base station that travelling carriage receives at synchronization, is designated as (t1, t2, t3, t4), wherein subscript represents different base stations;
(2) each group measured value is calculated according to following formula,, for each group measured value, all can obtain a calculated value, choose in all measured values meet the following conditions (making calculating formula value minimum) one group:
Four base stations (can receive the signal of O in Fig. 2, A, B, tetra-base stations of C):
min(t12-t22+t32-t42-4a2);
Three base stations (can receive the signal of O in Fig. 2, A, tri-base stations of C):
min(p12+p22+p32-v4(t12t22+t12t32+t22t32)+4a2),
Whereinp1=v2t12-2a2,p2=v2t22-2a2,p3=v2t32-2a2,A is half of adjacent base station distance, and v is transmission of wireless signals speed;
(3) one group of following formula of measured value substitution choosing in step (2) is solved, the value of (x, the y) of acquisition is the position coordinates of travelling carriage under the coordinate system of setting:
Four base stations:x=3v2(t12-3t22-t32+3t42)24a+3a2y=v2(t12+t22-t32-t42)8a+3a2
Three base stations:x=3v2(t12-2t22+t32)12a+33ay=v2(t12-t32)4a+a;
2, DGC algorithm:
(1) travelling carriage obtains the measured value from base station, and the signal propagation time that comes from different base station for travelling carriage receives at synchronization, is designated as (tm1, tm2, tm3, tm4), wherein subscript represents different base stations;
(2) set unknown parameter (ε1, ε2..., εi), the base station number of i for participating in calculating, calculates following nonlinear optimal problem, is met one group of (ε of this nonlinear optimal problem1, ε2..., εi) numerical value, wherein a is half of adjacent base station distance, v is transmission of wireless signals speed:
Four base stations (can receive the signal of O in Fig. 2, A, B, tetra-base stations of C):
minJ=&Sigma;i=14&epsiv;i2
s.t.
&epsiv;1-&epsiv;2+&epsiv;3-&epsiv;4-tm12+tm22-tm32+tm42+4a2=0&epsiv;i>0,i=0,1,2,3
Three base stations (can receive the signal of O in Fig. 2, A, tri-base stations of C):
minJ=&Sigma;i=13&epsiv;2
s.t.
&epsiv;TA&epsiv;+&epsiv;Tb+c=0&epsiv;i>0,i=0,1,2,3
ε=(ε wherein1, ε2, ε3),A=8a2-4a2-4a2-4a28a2-4a2-4a2-4a28a2,b=-16a28a28a28a2-16a28a28a28a2-16a2v2tm12v2tm22v2tm32+32a232a232a2,
c=128a6+8a2v4(t14+t24+t34-t12t22-t12t32-t22t32)-32a4v2(t12+t22+t32);
(3) (ε step (2) being obtained1, ε2..., εi) numerical value substitution following formula, try to achieve travelling carriage after optimization to the distance parameter value of each base station:
di=vtmi2-&epsiv;
(4) least square method solves: X=(Ata)-1aty, the vectorial X calculating is a bivector, is the position coordinates of travelling carriage under the coordinate system of setting,
Wherein
A=-2(x1-xk)(y1-yk)(x2-xk)(y2-yk)LL(xk-1-xk)(yk-1-yk),Y=d12-dk2-x12+xk2-y12+yk2d22-dk2-x22+xk2-y22+yk2Ldk-12-dk2-xk-12+xk2-yk-12+yk2
(xi, yi) be the coordinate figure of base station i, dithe travelling carriage obtaining for step (3) is to the distance parameter value of base station i.
In order to assess the validity of geometric distance bounding algorithm, with MATLAB, algorithm has been carried out to emulation.For convenient simulation, at this, utilized least-squares algorithm to position DGC algorithm, and compared with positioning performance and the DGF algorithm performance of common least-squares algorithm.The value of adjusting the distance of the present invention simultaneously optimization method improves and compares.Simulation result shows, in cellular network base stations, divides and plants, and supposes that base station spacing is 1000m, when non line of sight error to standard deviation at 50m between 500m time, location mean square error preferably all can reach 25m left and right.
The mean square error of having studied algorithm positioning solution under different NLOS errors in emulation, expression formula is:
RMSE=(x-x0)2+(y-y0)2---(17)
Wherein, (x0, y0) be the physical location of travelling carriage, the estimated position that (x, y) is travelling carriage.
Under the environment of cellular cell, adopt arrangement of base stations as shown in Figure 1, with four base stations of diamond shape or three base stations of equilateral triangle shape, inner travelling carriage is positioned.
In emulation experiment, suppose that two base station spacings are 1000m, NLOS error mean difference is 250m,double counting 1000 times is also averaged, and obtains four base stations and three kinds of three base stations location simulation result as Fig. 3,4 and Fig. 5 shown in.
From positioning result intuitively, DGF algorithm has suppressed NLOS error preferably, and positioning precision has been compared very big raising with LS algorithm, and its position location extremely approaches travelling carriage actual position; Although the precision of DGC algorithm also improves, be not so good as DGF algorithm obvious.
For different NLOS errors (mean difference be 50m to 500m not etc.), carried out 10 location simulations simulations, each emulation double counting is also averaged for 1000 times, in four base stations and three base station situations, obtains simulation result respectively as shown in Fig. 6, Fig. 7, Fig. 8.
From simulation result, increase along with NLOS error, the positioning precision of LS algorithm obviously declines, DGC algorithm is owing to being to adopt LS algorithm to position after measured value is optimized again, therefore similar with LS algorithm, along with NLOS error increases, positioning precision declines also obvious, but general location precision is better than LS algorithm and learns from this point analysis, if adopt other algorithm (as Taylor algorithm, Chan algorithm etc.) also to have similar result.And DGF algorithm fluctuation and NLOS error size do not have obvious relation, positioning precision is obviously better than other two kinds of algorithms.DGC algorithm is better than three base station situations in the situation that of four base stations, because more measured value can better improve positioning precision under NLOS environment, but for DGF algorithm, base station number is on the impact of positioning precision not obvious, if be because can obtain NLOS error unconspicuous one group of measured value, use minimum base station number also can obtain comparatively desirable positioning result.
Through the analysis to emulated data, why DGC method does not obtain particularly preferred effect, because according to the principle of nonlinear optimization process, in calculating, to the optimization of deviate, can not offset real NLOS error completely, can only obtain micro-optimum results, the optimization measured value finally obtaining is compared with corresponding LOS measured value or is had certain error, and precision is lower when NLOS error is larger.But DGC theoretical method only needs an a small amount of measured value just can be optimized location, thus in the less demanding situation of computation complexity and NLOS error compared with hour considering; DGF method needs many group measured values, after algorithm, getting after filtering a class value positions, with NLOS mean error size without obvious relation, but its precision depends on that group of error minimum in obtained measured value, so the suitable NLOS of being applied in error is large and measured value has very large probability acquisition to approach in the situation of measured value under LOS.Compare with three architectures, four architectures can make DGC algorithm obtain higher positioning precision, and its algorithmic formula is more succinct, and while carrying out nonlinear optimization, computation complexity is lower.
Should be appreciated that the above detailed description of technical scheme of the present invention being carried out by preferred embodiment is illustrative and not restrictive.Those of ordinary skill in the art modifies reading the technical scheme that can record each embodiment on the basis of specification of the present invention, or part technical characterictic is wherein equal to replacement; And these modifications or replacement do not make the essence of appropriate technical solution depart from the spirit and scope of various embodiments of the present invention technical scheme.

Claims (1)

Translated fromChinese
1.NLOS环境下采用距离几何的无线定位新方法,其特征在于,该定位新方法包括距离几何滤波方法DGF和距离几何约束方法DGC,1. A new wireless positioning method using distance geometry under the NLOS environment, characterized in that the new positioning method includes a distance geometric filtering method DGF and a distance geometric constraint method DGC,所述DGF算法的步骤如下:The steps of the DGF algorithm are as follows:101.移动台获取来自基站的多组测量值,每一组测量值为移动台在同一时刻接收到的来自于不同基站的信号传播时间,记为(t1,t2,t3,t4),其中下标表示不同的基站;101. The mobile station obtains multiple sets of measurement values from the base station, and each set of measurement values is the signal propagation time received by the mobile station from different base stations at the same time, denoted as (t1 ,t2 ,t3 ,t4 ), where the subscripts represent different base stations;102.对每一组测量值根据以下公式进行计算,则对于每一组测量值,都会得到一个计算值,选取所有测量值中满足以下条件使得计算式取值最小的一组:102. Calculate each group of measured values according to the following formula, then for each group of measured values, a calculated value will be obtained, and select the group of all measured values that meets the following conditions to make the value of the calculation formula the smallest:对于能够接收四个基站的信号:For signals capable of receiving four base stations:minmin((tt1122--tt2222++tt3322--tt4422--44aa22));;对于能够接收三个基站的信号:For signals capable of receiving three base stations:minmin((pp1122++pp2222++pp3322--vv44((tt1122tt2222++tt1122tt3322++tt2222tt3322))++44aa22)),,其中p1=v2t12-2a2,p2=v2t22-2a2,p3=v2t32-2a2,a为相邻基站距离的一半,v为无线信号传输速率;in p 1 = v 2 t 1 2 - 2 a 2 , p 2 = v 2 t 2 2 - 2 a 2 , p 3 = v 2 t 3 2 - 2 a 2 , a is half of the distance between adjacent base stations, and v is the wireless signal transmission rate;103.将步骤102中选取的一组测量值代入以下公式求解,获得的(x,y)的值即为移动台在设定的坐标系下的位置坐标:103. Substituting a group of measured values selected in step 102 into the following formula for solution, the value of (x, y) obtained is the position coordinates of the mobile station under the set coordinate system:四基站:x=3v2(t12-3t22-t32+3t42)24a+3a2y=v2(t12+t22-t32-t42)8a+3a2Four base stations: x = 3 v 2 ( t 1 2 - 3 t 2 2 - t 3 2 + 3 t 4 2 ) twenty four a + 3 a 2 the y = v 2 ( t 1 2 + t 2 2 - t 3 2 - t 4 2 ) 8 a + 3 a 2三基站:x=3v2(t12-2t22+t32)12a+33ay=v2(t12-t32)4a+a;Three base stations: x = 3 v 2 ( t 1 2 - 2 t 2 2 + t 3 2 ) 12 a + 3 3 a the y = v 2 ( t 1 2 - t 3 2 ) 4 a + a ;所述DGC方法的步骤如下:The steps of the DGC method are as follows:201.移动台获取来自基站的测量值,为移动台在同一时刻接收到的来自于不同基站的信号传播时间,记为(tm1,tm2,tm3,tm4),其中下标表示不同的基站;201. The mobile station obtains the measurement value from the base station, which is the signal propagation time received by the mobile station from different base stations at the same time, which is recorded as (tm1 , tm2 , tm3 , tm4 ), where the subscripts indicate different base station;202.设定未知参量(ε12,…,εi),i为参与计算的基站个数,计算以下非线性优化问题,得到满足此非线性优化问题一组(ε12,…,εi)数值,其中a为相邻基站距离的一半,v为无线信号传输速率:202. Set unknown parameters (ε12 ,…,εi ), i is the number of base stations participating in the calculation, calculate the following nonlinear optimization problem, and obtain a set of (ε12 ,…,εi ) values, where a is half of the distance between adjacent base stations, and v is the wireless signal transmission rate:对于能够接收四个基站的信号:For signals capable of receiving four base stations:minminJJ==&Sigma;&Sigma;ii==1144&epsiv;&epsiv;ii22s.t.s.t.&epsiv;&epsiv;11--&epsiv;&epsiv;22++&epsiv;&epsiv;33--&epsiv;&epsiv;44--ttmm1122++ttmm2222--ttmm3322++ttmm4422++44aa22==00&epsiv;&epsiv;ii>>00,,ii==0,1,2,30,1,2,3对于能够接收三个基站的信号:For signals capable of receiving three base stations:minminJJ==&Sigma;&Sigma;ii==1133&epsiv;&epsiv;22s.t.s.t.&epsiv;&epsiv;TTA&epsiv;A&epsiv;++&epsiv;&epsiv;TTbb++cc==00&epsiv;&epsiv;ii>>00,,ii==0,1,2,30,1,2,3其中ε=(ε123),A=8a2-4a2-4a2-4a28a2-4a2-4a2-4a28a2,b=-16a28a28a28a2-16a28a28a28a2-16a2v2tm12v2tm22v2tm32+32a232a232a2,Where ε=(ε123 ), A = 8 a 2 - 4 a 2 - 4 a 2 - 4 a 2 8 a 2 - 4 a 2 - 4 a 2 - 4 a 2 8 a 2 , b = - 16 a 2 8 a 2 8 a 2 8 a 2 - 16 a 2 8 a 2 8 a 2 8 a 2 - 16 a 2 v 2 t m 1 2 v 2 t m 2 2 v 2 t m 3 2 + 32 a 2 32 a 2 32 a 2 ,cc==128128aa66++88aa22vv44((tt1144++tt2244++tt3344--tt1122tt2222--tt1122tt3322--tt2222tt3322))--3232aa44vv22((tt1122++tt2222++tt3322));;203.将步骤202获得的(ε12,…,εi)数值代入下式,求得优化后的移动台到各个基站的距离参数值:203. Substitute the (ε1 , ε2 ,...,εi ) values obtained in step 202 into the following formula to obtain the optimized distance parameter values from the mobile station to each base station:ddii==vvttmimi22--&epsiv;&epsiv;204.最小二乘法求解:X=(ATA)-1ATY,计算得到的向量X为一个二维向量,即为移动台在设定的坐标系下的位置坐标,204. Least square method solution: X=(AT A)-1 AT Y, the calculated vector X is a two-dimensional vector, which is the position coordinate of the mobile station in the set coordinate system,其中inAA==--22((xx11--xxkk))((ythe y11--ythe ykk))((xx22--xxkk))((ythe y22--ythe ykk))LLLL((xxkk--11--xxkk))((ythe ykk--11--ythe ykk)),,YY==dd1122--ddkk22--xx1122++xxkk22--ythe y1122++ythe ykk22dd2222--ddkk22--xx2222++xxkk22--ythe y2222++ythe ykk22LLddkk--1122--ddkk22--xxkk--1122++xxkk22--ythe ykk--1122++ythe ykk22(xi,yi)为基站i的坐标值,di为步骤203获得的移动台到基站i的距离参数值。(xi , yi ) is the coordinate value of base station i, and di is the parameter value of the distance from the mobile station to base station i obtained in step 203 .
CN201310739248.5A2013-12-262013-12-26Using the wireless location new method of geometric distance under NLOS environmentActiveCN103716879B (en)

Priority Applications (1)

Application NumberPriority DateFiling DateTitle
CN201310739248.5ACN103716879B (en)2013-12-262013-12-26Using the wireless location new method of geometric distance under NLOS environment

Applications Claiming Priority (1)

Application NumberPriority DateFiling DateTitle
CN201310739248.5ACN103716879B (en)2013-12-262013-12-26Using the wireless location new method of geometric distance under NLOS environment

Publications (2)

Publication NumberPublication Date
CN103716879Atrue CN103716879A (en)2014-04-09
CN103716879B CN103716879B (en)2017-07-04

Family

ID=50409331

Family Applications (1)

Application NumberTitlePriority DateFiling Date
CN201310739248.5AActiveCN103716879B (en)2013-12-262013-12-26Using the wireless location new method of geometric distance under NLOS environment

Country Status (1)

CountryLink
CN (1)CN103716879B (en)

Cited By (8)

* Cited by examiner, † Cited by third party
Publication numberPriority datePublication dateAssigneeTitle
CN106535124A (en)*2016-11-082017-03-22安徽师范大学TOA-based wireless network positioning method in NLOS environment
CN106937378A (en)*2015-12-292017-07-07中国电信股份有限公司Suppress the localization method and mobile station of non-market value
CN110730502A (en)*2019-10-232020-01-24珠海优特电力科技股份有限公司Positioning method and device
CN110753299A (en)*2018-07-062020-02-04中移物联网有限公司Positioning precision pre-judging method and device, equipment and storage medium
CN111352065A (en)*2019-10-292020-06-30中国科学院测量与地球物理研究所High-precision quick positioning method based on TOA mode in non-line-of-sight environment
CN112954633A (en)*2021-01-262021-06-11电子科技大学Parameter constraint-based dual-network architecture indoor positioning method
CN113794983A (en)*2021-08-272021-12-14北京理工大学Multi-target indoor positioning method based on nonlinear geometric constraint optimization
CN118226375A (en)*2024-05-232024-06-21华信咨询设计研究院有限公司 Wireless positioning method based on iterative least squares weighting and position residual calculation

Citations (5)

* Cited by examiner, † Cited by third party
Publication numberPriority datePublication dateAssigneeTitle
EP1793643A2 (en)*2004-06-092007-06-06NTT DoCoMo, Inc.Wireless positioning approach using time delay estimates of multipath components
US20100150117A1 (en)*2008-12-172010-06-17Nortel Networks LimitedMethod and system for wireless lan-based indoor position location
CN102170658A (en)*2011-04-282011-08-31北京交通大学Geometric positioning improvement method under NLOS (non-line-of-sight) environment
CN102395195A (en)*2011-10-262012-03-28北京交通大学Method for raising indoor positioning precision under non-line-of-sight environment
CN103152826A (en)*2013-03-082013-06-12天津大学Moving target tracking method based on NLOS (non line of sight) state inspection compensation

Patent Citations (5)

* Cited by examiner, † Cited by third party
Publication numberPriority datePublication dateAssigneeTitle
EP1793643A2 (en)*2004-06-092007-06-06NTT DoCoMo, Inc.Wireless positioning approach using time delay estimates of multipath components
US20100150117A1 (en)*2008-12-172010-06-17Nortel Networks LimitedMethod and system for wireless lan-based indoor position location
CN102170658A (en)*2011-04-282011-08-31北京交通大学Geometric positioning improvement method under NLOS (non-line-of-sight) environment
CN102395195A (en)*2011-10-262012-03-28北京交通大学Method for raising indoor positioning precision under non-line-of-sight environment
CN103152826A (en)*2013-03-082013-06-12天津大学Moving target tracking method based on NLOS (non line of sight) state inspection compensation

Non-Patent Citations (2)

* Cited by examiner, † Cited by third party
Title
赵军辉等: "LTE系统中采用干扰消除技术的TDOA定位方法", 《高技术通讯》*
赵军辉等: "提高NLOS环境下室内定位精度的新方法", 《北京邮电大学学报 》*

Cited By (13)

* Cited by examiner, † Cited by third party
Publication numberPriority datePublication dateAssigneeTitle
CN106937378A (en)*2015-12-292017-07-07中国电信股份有限公司Suppress the localization method and mobile station of non-market value
CN106937378B (en)*2015-12-292019-12-03中国电信股份有限公司Inhibit the localization method and mobile station of non-market value
CN106535124B (en)*2016-11-082019-07-19安徽师范大学 A TOA-based wireless network location method in NLOS environment
CN106535124A (en)*2016-11-082017-03-22安徽师范大学TOA-based wireless network positioning method in NLOS environment
CN110753299B (en)*2018-07-062021-04-09中移物联网有限公司 A kind of positioning accuracy prediction method and device, equipment, storage medium
CN110753299A (en)*2018-07-062020-02-04中移物联网有限公司Positioning precision pre-judging method and device, equipment and storage medium
CN110730502A (en)*2019-10-232020-01-24珠海优特电力科技股份有限公司Positioning method and device
CN111352065A (en)*2019-10-292020-06-30中国科学院测量与地球物理研究所High-precision quick positioning method based on TOA mode in non-line-of-sight environment
CN111352065B (en)*2019-10-292021-12-28中国科学院测量与地球物理研究所High-precision quick positioning method based on TOA mode in non-line-of-sight environment
CN112954633A (en)*2021-01-262021-06-11电子科技大学Parameter constraint-based dual-network architecture indoor positioning method
CN113794983A (en)*2021-08-272021-12-14北京理工大学Multi-target indoor positioning method based on nonlinear geometric constraint optimization
CN113794983B (en)*2021-08-272022-08-12北京理工大学 A Multi-objective Indoor Localization Method Based on Nonlinear Geometric Constraint Optimization
CN118226375A (en)*2024-05-232024-06-21华信咨询设计研究院有限公司 Wireless positioning method based on iterative least squares weighting and position residual calculation

Also Published As

Publication numberPublication date
CN103716879B (en)2017-07-04

Similar Documents

PublicationPublication DateTitle
CN103716879A (en)Novel wireless positioning method by adopting distance geometry under NLOS environment
CN103501538B (en)Based on the indoor orientation method of multipath energy fingerprint
CN102209382A (en)Wireless sensor network node positioning method based on received signal strength indicator (RSSI)
CN103885028B (en) A joint centroid localization method based on error correction for wireless sensor network node localization
CN104684081B (en)The Localization Algorithm for Wireless Sensor Networks of anchor node is selected based on distance cluster
CN102395193B (en)Method for locating wireless sensor network (WSN)
CN103945532B (en)A kind of three-dimensional weighted mass center localization method based on Mass-spring Model
CN102395195B (en) A method to improve indoor positioning accuracy in non-line-of-sight environment
CN103796304B (en)One kind is based on virtual training collection and markovian underground coal mine localization method
CN107690184A (en)Joint TDOA AOA wireless sensor network Semidefinite Programming localization methods
CN104469942A (en) An Indoor Positioning Method Based on Hidden Markov Model
CN105635964A (en)Wireless sensor network node localization method based on K-medoids clustering
CN105163385A (en)Localization algorithm based on sector overlapping area of clustering analysis
CN103558602A (en)Simulated annealing locating method for multi-base sonar configuration mode
CN110636436A (en)Three-dimensional UWB indoor positioning method based on improved CHAN algorithm
CN104507097A (en)Semi-supervised training method based on WiFi (wireless fidelity) position fingerprints
CN103929717A (en) A Weighted Voronoi Diagram-Based Localization Method for Wireless Sensor Networks
CN104965189A (en)Indoor personnel positioning method based on maximum likelihood estimation
CN107703482A (en)The AOA localization methods that a kind of closed solutions are combined with iterative algorithm
Su et al.A hybrid indoor-position mechanism based on bluetooth and WiFi communications for smart mobile devices
CN104363649A (en)UKF (unscented Kalman filter)-based WSN (wireless sensor network) node location method with constraint conditions
CN108737952A (en)Based on the improved polygon weighted mass center localization method of RSSI rangings
Li et al.Cramer-rao lower bound analysis of data fusion for fingerprinting localization in non-line-of-sight environments
Zhang et al.Three-dimensional localization algorithm for WSN nodes based on RSSI-TOA and LSSVR method
CN100461969C (en) Method for Positioning a Mobile Station

Legal Events

DateCodeTitleDescription
C06Publication
PB01Publication
C10Entry into substantive examination
SE01Entry into force of request for substantive examination
GR01Patent grant
GR01Patent grant

[8]ページ先頭

©2009-2025 Movatter.jp