Movatterモバイル変換


[0]ホーム

URL:


CN103665046A - Ruthenium complex as well as preparation method and application thereof - Google Patents

Ruthenium complex as well as preparation method and application thereof
Download PDF

Info

Publication number
CN103665046A
CN103665046ACN201210319799.1ACN201210319799ACN103665046ACN 103665046 ACN103665046 ACN 103665046ACN 201210319799 ACN201210319799 ACN 201210319799ACN 103665046 ACN103665046 ACN 103665046A
Authority
CN
China
Prior art keywords
preparation
ruthenium complex
cancer
aromatic ring
tumor
Prior art date
Legal status (The legal status is an assumption and is not a legal conclusion. Google has not performed a legal analysis and makes no representation as to the accuracy of the status listed.)
Pending
Application number
CN201210319799.1A
Other languages
Chinese (zh)
Inventor
梁国刚
梁曜华
毕葳
Current Assignee (The listed assignees may be inaccurate. Google has not performed a legal analysis and makes no representation or warranty as to the accuracy of the list.)
Macao University of Science and Technology
Original Assignee
Macao University of Science and Technology
Priority date (The priority date is an assumption and is not a legal conclusion. Google has not performed a legal analysis and makes no representation as to the accuracy of the date listed.)
Filing date
Publication date
Application filed by Macao University of Science and TechnologyfiledCriticalMacao University of Science and Technology
Priority to CN201210319799.1ApriorityCriticalpatent/CN103665046A/en
Publication of CN103665046ApublicationCriticalpatent/CN103665046A/en
Pendinglegal-statusCriticalCurrent

Links

Landscapes

Abstract

Translated fromChinese

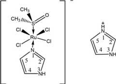
本发明公开了一种含吡啶衍生物的钌配合物及其制备方法和应用。本发明配合物的结构式如式(I)所示。制备方法包括:将反应起始物trans-[RuCl4(SOR1R2)2][(SOR1R2)2H]研磨成细粉;将起始物与配体在反应溶剂中搅拌或超声振荡,起始物与配体的摩尔比为1∶2-1∶8;反应温度25-80℃或回流;超声振荡后形成的沉淀过滤,分别用丙酮和乙醚洗涤,硅胶干燥器干燥过夜。本发明的钌配合物制备方法反应时间短、收率高;制备的NAMI-A衍生物对Lewis实验肺癌小鼠抗转移药效显著、毒性低。

Figure DDA00002085823500011
(I)The invention discloses a ruthenium complex containing pyridine derivatives, a preparation method and application thereof. The structural formula of the complex of the present invention is shown in formula (I). The preparation method comprises: grinding the reaction starting material trans-[RuCl4 (SOR1 R2 )2 ][(SOR1 R2 )2 H] into fine powder; stirring the starting material and the ligand in a reaction solvent or Ultrasonic oscillation, the molar ratio of the starting material to the ligand is 1:2-1:8; the reaction temperature is 25-80°C or reflux; the precipitate formed after ultrasonic oscillation is filtered, washed with acetone and ether respectively, and dried overnight in a silica gel desiccator . The preparation method of the ruthenium complex of the present invention has short reaction time and high yield; the prepared NAMI-A derivative has significant anti-metastasis drug effect on Lewis experimental lung cancer mice and has low toxicity.
Figure DDA00002085823500011
(I)

Description

Translated fromChinese
钌配合物及其制备方法和应用Ruthenium complex and its preparation method and application

技术领域technical field

本发明属于药物化学领域,具体涉及一种以带取代基吡啶钌配合物及其制备方法和应用。 The invention belongs to the field of medicinal chemistry, and specifically relates to a pyridine ruthenium complex with a substituent and its preparation method and application. the

背景技术Background technique

肺癌是我国男性发病率及死亡率最高、女性死亡率次高(发病率最高为乳腺癌)的恶性肿瘤。每年死亡达数十万人,是危害我国健康最大的癌症。而且肺癌早期症状不明显,发现的肺癌患者多为晚期及已转移。目前除早期手术切除外,无有效药物治疗手段。多为安慰性治疗。肿瘤病人主要死于肿瘤的转移及抗肿瘤药的毒性。临床常用抗癌药除可以杀灭癌细胞外,对正常细胞有较大毒性,并伴有骨髓抑制、抗药性等严重副作用。病人多死于癌的转移及抗癌药的毒性(骨髓抑制)。制备具有抗肺癌、乳腺癌转移活性、低毒的新化合物一直是我国研发抗癌药的长期目标。 Lung cancer is a malignant tumor with the highest morbidity and mortality rate among males and the second highest mortality rate among females (breast cancer is the highest incidence rate) in my country. Hundreds of thousands of people die every year, and it is the biggest cancer that endangers our country's health. Moreover, the early symptoms of lung cancer are not obvious, and most of the lung cancer patients found are advanced and have metastasized. At present, there is no effective drug treatment except early surgical resection. Mostly placebo treatment. Cancer patients mainly die from tumor metastasis and the toxicity of antineoplastic drugs. In addition to killing cancer cells, commonly used clinical anticancer drugs are highly toxic to normal cells, accompanied by serious side effects such as bone marrow suppression and drug resistance. Most patients died of cancer metastasis and toxicity of anticancer drugs (bone marrow suppression). The preparation of new compounds with anti-lung cancer, breast cancer metastatic activity and low toxicity has always been a long-term goal of my country's research and development of anticancer drugs. the

Figure BDA00002085823400011
Figure BDA00002085823400011

V2 V2

NAMI-A-trans-[RuCl4(DMSO)HIm][H2Im](DMSO=二甲级亚砜,Im=咪唑)为近年欧洲筛选得到的抗肿瘤转移化合物(V2-NAMI-A的化学结构)。其对小 鼠肺癌及乳腺癌的抗转移率可达80%,而且毒性较低,无抗肿瘤药常见的骨髓抑制副作用,有良好的研发前景。NAMI-A已在荷兰完成I期临床试验并进入II期临床试验[张小年,刘亚楠,杨晓新,刘杰.钌配合物诱导肿瘤细胞凋亡的信号通路及其作用机制.化学进展,2011.23(5):p.983-990.梁曜华,毕葳,梁国刚,含吡啶的抗肿瘤转移NAMI-A衍生物的制备和水解机理动力学.无机化学学报,2011.27(4):p.595-603.]。文献报道的NAMI-A衍生物主要为NAMI-A中的咪唑被N-甲基咪唑、氨、吡嗪等取代及吡嗪或其衍生物桥接的双核化合物等,以上化合物皆申请了相关专利[Sava,G.M.E.A.G.,Ruthenium Dimeric Complexes Stuitable As Antimetastatic and Antineoplastic Agents.2005.Patent No.:US6,921,824,B1]。 NAMI-A-trans-[RuCl4 (DMSO)HIm][H2 Im] (DMSO = dimethyl sulfoxide, Im = imidazole) is an anti-tumor metastatic compound obtained in Europe in recent years (the chemical compound of V2-NAMI-A structure). Its anti-metastatic rate against lung cancer and breast cancer in mice can reach 80%, and its toxicity is low. It has no myelosuppressive side effects common to antineoplastic drugs, and has a good research and development prospect. NAMI-A has completed phase I clinical trial in the Netherlands and entered into phase II clinical trial [Zhang Xiaonian, Liu Yanan, Yang Xiaoxin, Liu Jie. The signaling pathway and mechanism of ruthenium complex-induced tumor cell apoptosis. Advances in Chemistry, 2011.23(5) : p.983-990. Liang Yaohua, Bi Wei, Liang Guogang, Preparation and Hydrolysis Mechanism Kinetics of Anti-metastatic NAMI-A Derivatives Containing Pyridine. Journal of Inorganic Chemistry, 2011.27(4): p.595-603.]. The NAMI-A derivatives reported in the literature are mainly binuclear compounds in which the imidazole in NAMI-A is replaced by N-methylimidazole, ammonia, pyrazine, etc., and pyrazine or its derivatives are bridged. The above compounds have applied for related patents[ Sava, GMEAG, Ruthenium Dimeric Complexes Stuitable As Antimetastatic and Antineoplastic Agents. 2005. Patent No.: US6,921,824, B1].

本发明制备了含有吡啶衍生物的新钌配合物,并提供了上述钌配合物在抗肿瘤及抗肿瘤转移中的应用。 The invention prepares a new ruthenium complex containing pyridine derivatives, and provides the application of the ruthenium complex in anti-tumor and anti-tumor metastasis. the

发明内容Contents of the invention

本发明的目的之一提供一种新的钌配合物。 One of the objectives of the present invention is to provide a new ruthenium complex. the

实现上述目的的技术方案如下。 The technical scheme for realizing the above object is as follows. the

一种具有以下通式(I)的钌配合物, A ruthenium complex having the following general formula (I),

其中, in,

R1、R2各自独立选自: R1 and R2 are each independently selected from:

1)C1-C8烷基, 1) C1-C8 alkyl,

2)1个、2个或3个H被卤素、氰基、巯基、羟基、羧基、甲氧基、酰基、酰氨基、氨基(伯、仲、叔)取代的C1-C8烷基,上述2个或3个取代基可以相同也可以不同, 2) C1-C8 alkyl with 1, 2 or 3 Hs substituted by halogen, cyano, mercapto, hydroxyl, carboxyl, methoxy, acyl, amido, amino (primary, secondary, tertiary), the above 2 One or three substituents can be the same or different,

3)C5-C7芳香环, 3) C5-C7 aromatic ring,

4)1个、2个或3个H可以被卤素、氰基、巯基、羟基、羧基、甲氧基、酰基、酰氨基、氨基(伯、仲、叔)取代的C5-C7芳香环,上述2个或3个取代基可以相同也可以不同; 4) 1, 2 or 3 H can be substituted by halogen, cyano, mercapto, hydroxyl, carboxyl, methoxy, acyl, amido, amino (primary, secondary, tertiary) C5-C7 aromatic ring, the above 2 or 3 substituents can be the same or different;

L选自: L selected from:

1)含氮C1-C8烷基, 1) Nitrogen-containing C1-C8 alkyl,

2)1个、2个或3个H可以被卤素、氰基、巯基、羟基、羧基、甲氧基、酰基、酰氨基、氨基(伯、仲、叔)取代的含氮的C1-C8烷基,上述2个或3个取代基可以相同也可以不同, 2) Nitrogen-containing C1-C8 alkane whose 1, 2 or 3 H can be substituted by halogen, cyano, mercapto, hydroxyl, carboxyl, methoxy, acyl, amido, amino (primary, secondary, tertiary) The above two or three substituents can be the same or different,

3)含氮6元芳香环, 3) Nitrogen-containing 6-membered aromatic ring,

4)1个、2个或3个H可以被卤素、氰基、巯基、羟基、羧基、甲氧基、酰基、酰氨基、氨基(伯、仲、叔)取代的含氮6元芳香环,上述2个或3个取代基可以相同也可以不同, 4) 1, 2 or 3 H can be substituted by halogen, cyano, mercapto, hydroxyl, carboxyl, methoxy, acyl, amido, amino (primary, secondary, tertiary) nitrogen-containing 6-membered aromatic ring, The above 2 or 3 substituents can be the same or different,

5)含氮5元芳香环, 5) Nitrogen-containing 5-membered aromatic ring,

6)1个、2个或3个H可以被卤素、氰基、巯基、羟基、羧基、磺酸基、甲氧基、酰基、酰氨基、氨基(伯、仲、叔)取代的含氮5元芳香环,上述2个或3个取代基可以相同也可以不同。 6) Nitrogen-containing 5 whose 1, 2 or 3 H can be substituted by halogen, cyano, mercapto, hydroxyl, carboxyl, sulfonic acid, methoxy, acyl, amido, amino (primary, secondary, tertiary) For a membered aromatic ring, the above two or three substituents may be the same or different. the

在其中的一个实施例中,R1为C1-C8烷基,R2为C5-C7芳香环。 In one of the embodiments, R1 is a C1-C8 alkyl group, and R2 is a C5-C7 aromatic ring.

在其中的一个实施例中,L为吡啶、吡嗪、或哒嗪。 In one of the embodiments, L is pyridine, pyrazine, or pyridazine. the

在其中的一个实施例中,L为咪唑、或吡唑。 In one of the embodiments, L is imidazole or pyrazole. the

本发明的另一目的是提供多个抗肿瘤转移钌配合物的制备方法。制备的钌配合物水溶液具有与NAMI-A相同的水解机理(包括2步脱氯水解反应及脱DMSO水解反应),但多数化合物的溶液的稳定性比NAMI-A强,而且抗转移活性较高,毒性较低。 Another object of the present invention is to provide a preparation method of multiple anti-tumor metastasis ruthenium complexes. The prepared ruthenium complex aqueous solution has the same hydrolysis mechanism as NAMI-A (including 2-step dechlorination hydrolysis reaction and de-DMSO hydrolysis reaction), but the stability of the solution of most compounds is stronger than that of NAMI-A, and the anti-transfer activity is higher. , with low toxicity. the

本发明的另一目的是提供可以提高钌配合物及其衍生物制备收率、缩短制备时间的制备方法。 Another object of the present invention is to provide a preparation method that can increase the preparation yield and shorten the preparation time of the ruthenium complex and its derivatives. the

上述钌配合物的制备方法包括以下步骤: The preparation method of above-mentioned ruthenium complex comprises the following steps:

1)将反应起始物trans-[RuCl4(SOR1R2)2][(SOR1R2)2H]研磨成细粉; 1) Grinding the reaction starter trans-[RuCl4 (SOR1 R2 )2 ][(SOR1 R2 )2 H] into fine powder;

2)将起始物与具有上述L结构的配体在反应溶剂中搅拌、超声振荡或回流,搅拌、振荡或回流时间为10min-20h;起始物与配体的摩尔比为1:2-1:8;反应温度25-80℃; 2) Stir the starting material and the ligand with the above L structure in the reaction solvent, ultrasonically oscillate or reflux, the stirring, shaking or reflux time is 10min-20h; the molar ratio of the starting material to the ligand is 1:2- 1:8; Reaction temperature 25-80°C;

3)超声振荡后形成的沉淀过滤,分别用丙酮和乙醚洗涤,硅胶干燥过夜,即得所述钌配合物及其衍生物。 3) The precipitate formed after ultrasonic oscillation was filtered, washed with acetone and ether respectively, and dried on silica gel overnight to obtain the ruthenium complex and its derivatives. the

在其中的一个实施例中,所述反应溶剂为甲醇、乙醇、丙酮、氯仿中的一种或多种。 In one of the embodiments, the reaction solvent is one or more of methanol, ethanol, acetone, and chloroform. the

本发明的进一步目的是提供上述钌配合物在抗肿瘤转移中的应用。 A further object of the present invention is to provide the application of the above-mentioned ruthenium complex in anti-tumor metastasis. the

具体技术方案如下: The specific technical scheme is as follows:

上述的钌配合物在制备治疗肿瘤或肿瘤转移的药物中的应用,或在制备预防和治肿瘤转移的药物中的应用。 Application of the above-mentioned ruthenium complex in the preparation of drugs for treating tumor or tumor metastasis, or in the preparation of drugs for preventing and treating tumor metastasis. the

在其中的一个实施例中,所述肿瘤为乳腺癌、肺癌、肠癌、肝癌、胃肠道癌、卵巢癌、胰腺癌、喉癌、睾丸癌、鼻咽癌或白血病。 In one embodiment, the tumor is breast cancer, lung cancer, colon cancer, liver cancer, gastrointestinal tract cancer, ovarian cancer, pancreatic cancer, laryngeal cancer, testicular cancer, nasopharyngeal cancer or leukemia. the

本发明的另一目的是提供一种治疗肿瘤或肿瘤转移的药用组合物。 Another object of the present invention is to provide a pharmaceutical composition for treating tumor or tumor metastasis. the

具体技术方案如下: The specific technical scheme is as follows:

一种治疗肿瘤或肿瘤转移的药用组合物,包括有由上述钌配合物与药学上可接受的载体组成。 A pharmaceutical composition for treating tumor or tumor metastasis, comprising the above-mentioned ruthenium complex and a pharmaceutically acceptable carrier. the

在其中的一个实施例中,所述药用组合物还包括有其它抗癌药或抗氧化剂半胱氨酸、抗坏血酸及蛋白制剂如注射白蛋白。即所述的化合物可以与一种或多种其它抗癌药联合使用。也可以与抗氧化剂半胱氨酸、抗坏血酸及蛋白制剂如注射白蛋白等联合使用,以增加药效。 In one of the embodiments, the pharmaceutical composition also includes other anticancer drugs or antioxidants cysteine, ascorbic acid and protein preparations such as albumin for injection. That is, the compound can be used in combination with one or more other anticancer drugs. It can also be used in combination with antioxidant cysteine, ascorbic acid and protein preparations such as albumin for injection to increase the efficacy. the

上述钌配合物的肿瘤治疗剂量为25-500mg/kg/天,给药方式为口服、注射、靶向注射。所述化合物、药物组合物的剂型为片剂、注射剂、丸剂、粉剂、胶囊剂、微囊剂、栓剂。剂型中可以包含一种或多种抗癌药(如顺铂、紫衫醇及其衍生物、氟脲嘧啶等)。所述的液体剂型可以用添加吐温20-80、司盘20-80、DMSO、甘油或1,2-丙二醇的方法增溶。所述的化合物可以与蛋白制剂如注射白蛋白联合使用,以降低毒性。所述的化合物也可以用于预防肿瘤发生转移。即提前给药以防止肿瘤发生及肿瘤转移。 The tumor treatment dose of the above ruthenium complex is 25-500 mg/kg/day, and the administration method is oral administration, injection, targeted injection. The dosage forms of the compound and the pharmaceutical composition are tablets, injections, pills, powders, capsules, microcapsules and suppositories. The dosage form may contain one or more anticancer drugs (such as cisplatin, paclitaxel and its derivatives, fluorouracil, etc.). The liquid dosage form can be solubilized by adding Tween 20-80, Span 20-80, DMSO, glycerin or 1,2-propanediol. Said compounds can be used in combination with protein preparations such as injectable albumin to reduce toxicity. Said compounds can also be used to prevent tumor metastasis. That is, administration in advance to prevent tumor occurrence and tumor metastasis. the

与现有相关技术相比,本制备方法还有如下有益效果: Compared with existing related technologies, this preparation method also has the following beneficial effects:

1.trans-[RuCl4(SOR1R2)2][(SOR1R2)2H]在丙酮中与Im(咪唑)反应为固液反应,将其研磨成细粉可以使反应更均匀; 1. The reaction of trans-[RuCl4 (SOR1 R2 )2 ][(SOR1 R2 )2 H] with Im (imidazole) in acetone is a solid-liquid reaction. Grinding it into fine powder can make the reaction more uniform ;

2.超声振荡、提高反应温度与室温搅拌的方法相比可以加快反应速度、提高制备收率; 2. Compared with the method of stirring at room temperature, ultrasonic oscillation and raising the reaction temperature can speed up the reaction speed and improve the preparation yield;

3.制备的衍生物水溶液具有与NAMI-A相同的水解机理(包括2步脱氯水解反应及脱SOR1R2水解反应);大部分化合物的脱氯水解速度比NAMI-A慢,即抗肿瘤转移活性物种在溶液中存在时间长。 3. The prepared derivative aqueous solution has the same hydrolysis mechanism as NAMI-A (including 2-step dechlorination hydrolysis reaction and de-SOR1 R2 hydrolysis reaction); the dechlorination hydrolysis rate of most compounds is slower than NAMI-A, that is, the resistance Tumor metastasis active species exist in solution for a long time.

4.部分制备的衍生物的溶液稳定性比NAMI-A强、而且抗转移活性高、毒性低。 4. Partially prepared derivatives have stronger solution stability than NAMI-A, and have high anti-transfer activity and low toxicity. the

具体实施方式Detailed ways

起始物trans-[RuCl4(DMSO)2][(DMSO)2H]按专利文献方法制备[Alessio,E.M.,G.;Pocar,S.;Sava,G.;Spinelli,S.,US Patent 5409893.1995]。得到的物质确认如下: The starting material trans-[RuCl4 (DMSO)2 ][(DMSO)2 H] was prepared according to the patent literature [Alessio, EM, G.; Pocar, S.; Sava, G.; Spinelli, S., US Patent 5409893.1995]. The obtained substances were identified as follows:

物理化学性质如下: The physical and chemical properties are as follows:

外观:红色透明晶体 Appearance: red transparent crystal

分子式:C8H25Cl4O4RuS4Molecular formula: C8 H25 Cl4 O4 RuS4

分子量:556.40 Molecular weight: 556.40

熔点:120℃。 Melting point: 120°C. the

实施例1[H(3-BrPy)][trans-RuCl4(DMSO)(3-BrPy)]的制备(化合物1,L=3-BrPy,3-溴吡啶) Example 1 Preparation of [H(3-BrPy)][trans-RuCl4 (DMSO)(3-BrPy)] (compound 1, L=3-BrPy, 3-bromopyridine)

称取起始物trans-[RuCl4(DMSO)2][(DMSO)2H]0.10g(0.18mmol)研磨成细粉,溶于8ml丙酮中,加入0.07ml(0.72mmol)3-溴吡啶。超声反应3小时,生成的桔黄色粉末过滤后分别用丙酮和乙醚洗涤,硅胶干燥过夜。得到桔黄色粉末:0.10g。产率:87%。 Weigh the starting material trans-[RuCl4 (DMSO)2 ][(DMSO)2 H]0.10g (0.18mmol) and grind it into a fine powder, dissolve it in 8ml of acetone, add 0.07ml (0.72mmol) of 3-bromopyridine . After ultrasonic reaction for 3 hours, the resulting orange powder was filtered, washed with acetone and ether, and dried overnight on silica gel. An orange powder is obtained: 0.10 g. Yield: 87%.

得到的配合物(化合物1)理化性质描述如下:形态:橘黄色针状微晶。分子量:638.01。熔点:181-183℃。分子式:C12H15Cl4Br2N2ORuS。元素分析计算值:C 22.59,H 2.37,N 4.39%;元素分析测定值:C 22.93,H 2.29,N 4.42%。UV/Vis(25℃,H2O)λmax,nm(ε,L·mol-1·cm-1):293(3280),396(3980),462(480)。红外光谱特征峰(cm-1):3091,3047,1616,1556,1514,1462,1448,1417,1200,1144,1107,1076,1022,430。1H-NMR谱(DMSO-d6)δ:8.83ppm,8.65ppm,8.24ppm,7.54ppm,-1.90ppm,-12.86ppm。 The physical and chemical properties of the obtained complex (compound 1) are described as follows: Morphology: orange-yellow needle-like microcrystals. Molecular weight: 638.01. Melting point: 181-183°C. Molecular formula: C12 H15 Cl4 Br2 N2 ORuS. Elemental analysis calculated value: C 22.59, H 2.37, N 4.39%; elemental analysis measured value: C 22.93, H 2.29, N 4.42%. UV/Vis (25°C, H2 O) λmax, nm (ε, L·mol-1 ·cm-1 ): 293 (3280), 396 (3980), 462 (480). Infrared spectrum characteristic peaks (cm-1 ): 3091, 3047, 1616, 1556, 1514, 1462, 1448, 1417, 1200, 1144, 1107, 1076, 1022, 430.1 H-NMR spectrum (DMSO-d6 ) δ: 8.83 ppm, 8.65 ppm, 8.24 ppm, 7.54 ppm, -1.90 ppm, -12.86 ppm.

实施例2[H(4-BrPy)][trans-RuCl4(DMSO)(4-BrPy)]的制备(化合物2,L=4-BrPy,4-溴吡啶) Example 2 Preparation of [H(4-BrPy)][trans-RuCl4 (DMSO)(4-BrPy)] (compound 2, L=4-BrPy, 4-bromopyridine)

4-溴吡啶不稳定,须用4-溴吡啶盐酸盐处理后转化为4-溴吡啶。 4-bromopyridine is unstable and must be converted to 4-bromopyridine after treatment with 4-bromopyridine hydrochloride. the

转化过程:取4-溴吡啶盐酸盐1g溶于5ml水。用0.5mol·L-1NaOH溶液调pH值,使之大于6。用3ml氯仿萃取,取出氯仿层(下层)。再分别使用3ml氯仿重复萃取,将三次萃取液合并,用无水Na2SO4脱水,备用(冰箱保存)。 Conversion process: Dissolve 1 g of 4-bromopyridine hydrochloride in 5 ml of water. Use 0.5mol·L-1 NaOH solution to adjust the pH value to make it greater than 6. It was extracted with 3 ml of chloroform, and the chloroform layer (lower layer) was taken out. Repeat the extraction with 3ml of chloroform respectively, combine the three extracts, dehydrate with anhydrous Na2 SO4 , and set aside (refrigerator storage).

称取起始物trans-[RuCl4(DMSO)2][(DMSO)2H]0.11g(0.20mmol),溶于8ml丙酮中,加入2ml上述备用液。超声反应3小时,最后生成橘黄色固体粉末。过滤,分别用丙酮和乙醚洗涤。硅胶干燥过夜。得橘黄色固体粉末:0.084g。收率:67%。 Weigh 0.11 g (0.20 mmol) of the starting material trans-[RuCl4 (DMSO)2 ][(DMSO)2 H], dissolve it in 8 ml of acetone, and add 2 ml of the above-mentioned reserve solution. After ultrasonic reaction for 3 hours, an orange-yellow solid powder was finally generated. Filter and wash with acetone and ether, respectively. The silica gel was dried overnight. Obtained orange solid powder: 0.084g. Yield: 67%.

配合物理化性质描述如下:形态:橘黄色微晶。分子式:Cl2H15C14Br2N2ORuS。分子量:638.01。熔点:179℃变色,250℃碳化。元素分析计算值:C 22.59,H 2.37,N 4.39%;元素分析测定值:C 22.65,H 2.45,N 4.26%。UV/Vis(25℃,H2O)λmax,nm(ε,L·mol-1·cm-1):288(5210),397(4010),462(540)。红外光谱特征峰(cm-1):3215,3083,3050,1613,1585,1506,1477,1413,1213,1194,1074,1055,1011,429。1H-NMR谱(DMSO-d6)δ:10.08ppm,8.69ppm,8.11ppm,-0.92ppm,-12.83ppm。 The physical and chemical properties are described as follows: Morphology: orange microcrystalline. Molecular formula: Cl2 H15 C14 Br2 N2 ORuS. Molecular weight: 638.01. Melting point: Discoloration at 179°C, carbonization at 250°C. Elemental analysis calculated value: C 22.59, H 2.37, N 4.39%; Elemental analysis determined value: C 22.65, H 2.45, N 4.26%. UV/Vis (25°C, H2 O) λmax, nm (ε, L·mol-1 ·cm-1 ): 288 (5210), 397 (4010), 462 (540). Infrared spectrum characteristic peaks (cm-1 ): 3215, 3083, 3050, 1613, 1585, 1506, 1477, 1413, 1213, 1194, 1074, 1055, 1011, 429.1 H-NMR spectrum (DMSO-d6 ) δ: 10.08 ppm, 8.69 ppm, 8.11 ppm, -0.92 ppm, -12.83 ppm.

实施例3[H(3-ClPy)][trans-RuCl4(DMSO)(3-ClPy)]的制备(化合物3,L=3-ClPy,3-氯吡啶) Preparation of Example 3 [H(3-ClPy)][trans-RuCl4 (DMSO)(3-ClPy)] (compound 3, L=3-ClPy, 3-chloropyridine)

制备方法与实施例1相同。产率:71.37%。 The preparation method is the same as in Example 1. Yield: 71.37%. the

配合物理化性质描述如下:形态:橘黄色微晶;分子式:C12H15Cl6N2ORuS; 分子量:549.11;元素分析计算值:C 26.25,H 2.75,N 5.10%;测定值:C 26.25,H 2.87,N 4.71%。UV/Vis(25℃,H2O)λmax,nm(ε,L·mol-1·cm-1):290(3480),396(4000),462(490)。红外光谱特征峰(cm-1):3089,3050,2916,1516(vs),1465,1452,1421,1073,1022,430(s)。1H-NMR谱(DMSO-d6)δ:8.76ppm,8.62ppm,8.11ppm,7.60ppm,-1.96ppm,-12.85ppm。 The physical and chemical properties of the complex are described as follows: Morphology: orange microcrystalline; Molecular formula: C12 H15 Cl6 N2 ORuS; Molecular weight: 549.11; Calculated value of elemental analysis: C 26.25, H 2.75, N 5.10%; Measured value: C 26.25 , H 2.87, N 4.71%. UV/Vis (25°C, H2 O) λmax, nm (ε, L·mol-1 ·cm-1 ): 290 (3480), 396 (4000), 462 (490). Infrared spectrum characteristic peaks (cm-1 ): 3089, 3050, 2916, 1516 (vs), 1465, 1452, 1421, 1073, 1022, 430 (s).1 H-NMR spectrum (DMSO-d6 ) δ: 8.76ppm, 8.62ppm, 8.11ppm, 7.60ppm, -1.96ppm, -12.85ppm.

实施例4[H(3-IPy)][trans-RuCl4(DMSO)(3-IPy)]的制备(化合物4,L=3-IPy,3-碘吡啶) Example 4 Preparation of [H(3-IPy)][trans-RuCl4 (DMSO)(3-IPy)] (compound 4, L=3-IPy, 3-iodopyridine)

制备方法与实施例1相同。产率:86.47%。 The preparation method is the same as in Example 1. Yield: 86.47%. the

配合物理化性质描述如下:形态:橘黄色微晶。分子式:Cl2H15C14I2N2ORuS。分子量:732.02。熔点:180℃变色,210℃碳化。元素分析计算值:C 19.69,H 2.07,N 3.83%;元素分析测定值:C 19.45,H 1.96,N 3.30%。UV/Vis(25℃,H2O)λmax,nm(ε,L·mol-1·cm-1):280(6340),397(3620),463(470)。红外光谱特征峰(cm-1):3086,1614,1549,1510,1444,1413,1086,1043,1023,428。1H-NMR谱(DMSO-d6)δ:11.98ppm,9.06ppm,8.77ppm,8.59ppm,7.58ppm,-1.93ppm,-12.86ppm。 The physical and chemical properties are described as follows: Morphology: orange microcrystalline. Molecular formula: Cl2 H15 C14 I2 N2 ORuS. Molecular weight: 732.02. Melting point: Discoloration at 180°C, carbonization at 210°C. Elemental analysis calculated value: C 19.69, H 2.07, N 3.83%; elemental analysis measured value: C 19.45, H 1.96, N 3.30%. UV/Vis (25°C, H2 O) λmax, nm (ε, L·mol-1 ·cm-1 ): 280 (6340), 397 (3620), 463 (470). Infrared spectrum characteristic peaks (cm-1 ): 3086, 1614, 1549, 1510, 1444, 1413, 1086, 1043, 1023, 428.1 H-NMR spectrum (DMSO-d6 ) δ: 11.98ppm, 9.06ppm, 8.77ppm, 8.59ppm, 7.58ppm, -1.93ppm, -12.86ppm.

实施例5[H(4-IPy)][trans-RuCl4(DMSO)(4-IPy)]的制备(化合物5,L=4-IPy,4-碘吡啶) Example 5 Preparation of [H(4-IPy)][trans-RuCl4 (DMSO)(4-IPy)] (compound 5, L=4-IPy, 4-iodopyridine)

制备方法与实施例1相同。产率30%。分子式:Cl2H15C14I2N2ORuS。分子量:732.02。熔点:170℃变色,240℃碳化。元素分析计算值:C 19.69,H 2.07,N 3.83%;元素分析测定值:C 19.71,H 1.98,N 3.38%。UV/Vis(25℃,H2O)λmax,nm(ε,L·mol-1·cm-1):396(4450),462(580)。红外光谱特征峰(cm-1): 3004,2917,1614(vs),1584(vs),1475(vs),1410(vs),1359,1316,1220,1196,1076,1056,1031,435。1H-NMR谱(DMSO-d6)δ:13.17ppm,8.56ppm,8.43ppm,-1.03ppm,-12.85ppm。 The preparation method is the same as in Example 1. Yield 30%. Molecular formula: Cl2 H15 C14 I2 N2 ORuS. Molecular weight: 732.02. Melting point: Discoloration at 170°C, carbonization at 240°C. Elemental analysis calculated value: C 19.69, H 2.07, N 3.83%; elemental analysis measured value: C 19.71, H 1.98, N 3.38%. UV/Vis (25°C, H2 O) λmax, nm (ε, L·mol−1 ·cm−1 ): 396 (4450), 462 (580). Infrared spectrum characteristic peaks (cm-1 ): 3004, 2917, 1614(vs), 1584(vs), 1475(vs), 1410(vs), 1359, 1316, 1220, 1196, 1076, 1056, 1031, 435.1 H-NMR spectrum (DMSO-d6 ) δ: 13.17 ppm, 8.56 ppm, 8.43 ppm, -1.03 ppm, -12.85 ppm.

实施例6[H(3-CNPy)][trans-RuCl4(DMSO)(3-CNPy)]的制备(化合物6,L=3-CNPy,3-氰基吡啶) Example 6 Preparation of [H(3-CNPy)][trans-RuCl4 (DMSO)(3-CNPy)] (compound 6, L=3-CNPy, 3-cyanopyridine)

制备方法与实施例1相同。产率:72%。 The preparation method is the same as in Example 1. Yield: 72%. the

配合物理化性质描述如下:形态:橘红色针状微晶。分子式:C14H15Cl4N4ORuS。分子量:530.24。熔点:205℃变色,225℃碳化。元素分析计算值:C 31.71,H 2.85,N 10.57%;元素分析测定值:C 31.87,H 2.78,N10.38%。UV/Vis(25℃,H2O)λmax,nm(ε,L·mol-1·cm-1):294(3130),397(4170),465(490)。红外光谱特征峰(cm-1):3095,3062,2245,1633,1606,1550,1464,1414,1190,1068,1026,432。1H-NMR谱(DMSO-d6)δ:13.78ppm,9.06ppm,8.87ppm,8.40ppm,7.71ppm,-1.36ppm,-12.97ppm。 The physical and chemical properties are described as follows: Morphology: orange-red needle-like microcrystals. Molecular formula: C14 H15 Cl4 N4 ORuS. Molecular weight: 530.24. Melting point: Discoloration at 205°C, carbonization at 225°C. Elemental analysis calculated value: C 31.71, H 2.85, N 10.57%; elemental analysis measured value: C 31.87, H 2.78, N 10.38%. UV/Vis (25°C, H2 O) λmax, nm (ε, L·mol-1 ·cm-1 ): 294 (3130), 397 (4170), 465 (490). Infrared spectrum characteristic peaks (cm-1 ): 3095, 3062, 2245, 1633, 1606, 1550, 1464, 1414, 1190, 1068, 1026, 432.1 H-NMR spectrum (DMSO-d6 ) δ: 13.78ppm, 9.06ppm, 8.87ppm, 8.40ppm, 7.71ppm, -1.36ppm, -12.97ppm.

实施例7[H(4-CNPy)][trans-RuCl4(DMSO)(4-CNPy)]的制备(化合物7,L=4-CNPy,4-氰基吡啶) Example 7 Preparation of [H(4-CNPy)][trans-RuCl4 (DMSO)(4-CNPy)] (compound 7, L=4-CNPy, 4-cyanopyridine)

制备方法与实施例1相同。产率:71%。 The preparation method is the same as in Example 1. Yield: 71%. the

配合物理化性质描述如下:形态:橘红色针状微晶。分子式:C14H15Cl4N4ORuS。分子量:530.24。熔点:185℃(变深),260℃碳化。元素分析计算值:H 2.85,C 31.71,N 10.57;元素分析测定值:H 2.85,C 32.30,N 10.33%。UV/Vis(25℃,H2O)λmax,nm(ε,L·mol-1·cm-1):280(6890),317(3280),396(4380),466(500)。红外光谱特征峰(cm-1):3092,3048,2241,1607,1591,1488, 1414,1222,1196,1067,1022,463,429。1H-NMR谱(DMSO-d6)δ:8.86ppm,7.93ppm,-0.88ppm,-12.55ppm。 The physical and chemical properties are described as follows: Morphology: orange-red needle-like microcrystals. Molecular formula: C14 H15 Cl4 N4 ORuS. Molecular weight: 530.24. Melting point: 185°C (deep), carbonized at 260°C. Elemental analysis calculated value: H 2.85, C 31.71, N 10.57; Elemental analysis determined value: H 2.85, C 32.30, N 10.33%. UV/Vis (25°C, H2 O) λmax, nm (ε, L·mol-1 ·cm-1 ): 280 (6890), 317 (3280), 396 (4380), 466 (500). Infrared spectrum characteristic peaks (cm-1 ): 3092, 3048, 2241, 1607, 1591, 1488, 1414, 1222, 1196, 1067, 1022, 463, 429.1 H-NMR spectrum (DMSO-d6 ) δ: 8.86 ppm, 7.93 ppm, -0.88 ppm, -12.55 ppm.

实施例8[H(3-AcPy)][trans-RuCl4(DMSO)(3-AcPy)]的制备(化合物8,L=3-AcPy,3-乙酰吡啶) Example 8 Preparation of [H(3-AcPy)][trans-RuCl4 (DMSO)(3-AcPy)] (compound 8, L=3-AcPy, 3-acetylpyridine)

制备方法与实施例1相同。产率:70%。 The preparation method is the same as in Example 1. Yield: 70%. the

配合物理化性质描述如下:形态:橘红色针状微晶;分子式:C16H21Cl4N2O3RuS;分子量:564.3;熔点:173-175℃。元素分析计算值:C 34.06,H 3.75,N 4.96;元素分析测定值:C 34.29,H 3.50,N 4.76。UV/Vis(25℃,H2O)λmax,nm(ε,L·mol-1·cm-1):294(2890),396(3980),462(470)。红外光谱特征峰(cm-1):3086,3062,2920,1700,1631,1600,1539,1273,1201,1090,1023,432。1H-NMR谱(DMSO-d6)δ:12.86ppm,9.28ppm,8.97ppm,8.66ppm,7.91ppm,2.71ppm,0.88ppm,-1.45ppm,-12.69ppm。 The physical and chemical properties of the compound are described as follows: shape: orange-red needle-like microcrystal; molecular formula: C16 H21 Cl4 N2 O3 RuS; molecular weight: 564.3; melting point: 173-175°C. Elemental analysis calculated value: C 34.06, H 3.75, N 4.96; Elemental analysis determined value: C 34.29, H 3.50, N 4.76. UV/Vis (25°C, H2 O) λmax, nm (ε, L·mol-1 ·cm-1 ): 294 (2890), 396 (3980), 462 (470). Infrared spectrum characteristic peaks (cm-1 ): 3086, 3062, 2920, 1700, 1631, 1600, 1539, 1273, 1201, 1090, 1023, 432.1 H-NMR spectrum (DMSO-d6 ) δ: 12.86ppm, 9.28ppm, 8.97ppm, 8.66ppm, 7.91ppm, 2.71ppm, 0.88ppm, -1.45ppm, -12.69ppm.

实施例9[H(4-AcPy)][trans-RuCl4(DMSO)(4-AcPy)]的制备(化合物9,L=4-AcPy,4-乙酰吡啶) Example 9 Preparation of [H(4-AcPy)][trans-RuCl4 (DMSO)(4-AcPy)] (compound 9, L=4-AcPy, 4-acetylpyridine)

制备方法与实施例1相同。产率:73%。 The preparation method is the same as in Example 1. Yield: 73%. the

配合物理化性质描述如下:形态:橘黄色针状微晶;分子式:C16H21Cl4N2O3RuS;分子量:564.3;熔点:175-180℃。元素分析计算值:C 34.06,H 3.75,N 4.96%;元素分析测定值:C 34.62,H 3.83,N 4.70%。UV/Vis(25℃,H2O)λmax,nm(ε,L·mol-1·cm-1):283(6660),393(4460),462(570)。红外光谱特征峰(cm-1):3060,3019,2920,1705,1636,1600,1551,1500,1414,1364,1256,1077,1025,435。1H-NMR谱(DMSO-d6)δ:8.96ppm,8.08ppm, 2.68ppm,0.49ppm,-1.30ppm,-12.70ppm。 The physical and chemical properties of the compound are described as follows: Morphology: orange-yellow needle-like microcrystal; Molecular formula: C16 H21 Cl4 N2 O3 RuS; Molecular weight: 564.3; Melting point: 175-180°C. Elemental analysis calculated value: C 34.06, H 3.75, N 4.96%; elemental analysis measured value: C 34.62, H 3.83, N 4.70%. UV/Vis (25°C, H2 O) λmax, nm (ε, L·mol-1 ·cm-1 ): 283 (6660), 393 (4460), 462 (570). Infrared spectrum characteristic peaks (cm-1 ): 3060, 3019, 2920, 1705, 1636, 1600, 1551, 1500, 1414, 1364, 1256, 1077, 1025, 435.1 H-NMR spectrum (DMSO-d6 ) δ: 8.96 ppm, 8.08 ppm, 2.68 ppm, 0.49 ppm, -1.30 ppm, -12.70 ppm.

实施例10[H(iso-nicotinamide)][trans-RuCl4(DMSO)(iso-nicotinamide)]的制备(化合物10,L=iso-nicotinamide,异烟酰胺) Example 10 Preparation of [H(iso-nicotinamide)][trans-RuCl4 (DMSO)(iso-nicotinamide)] (compound 10, L=iso-nicotinamide, isonicotinamide)

制备方法与实施例1相同。产率:87%。 The preparation method is the same as in Example 1. Yield: 87%. the

配合物理化性质描述如下:形态:桔黄色微晶。分子式:C14H19Cl4N4O3RuS。分子量:566.28。熔点:231-237℃(碳化分解)。元素分析计算值:C 29.69,H 3.38,N 9.89%;元素分析测定值:C 29.88,H 3.35,N 9.48%。UV/Vis(25℃,H2O),λmax,nm(ε,L·mol-1·cm-1):300(3820),395(4090),462(520)。红外光谱特征峰(cm-1):3400,3147,1711,1399,1119,1024,427。 The physical and chemical properties are described as follows: Morphology: orange-yellow microcrystalline. Molecular formula: C14 H19 Cl4 N4 O3 RuS. Molecular weight: 566.28. Melting point: 231-237°C (carbonization decomposition). Elemental analysis calculated value: C 29.69, H 3.38, N 9.89%; Elemental analysis determined value: C 29.88, H 3.35, N 9.48%. UV/Vis (25°C, H2 O), λmax, nm (ε, L·mol-1 ·cm-1 ): 300 (3820), 395 (4090), 462 (520). Infrared spectrum characteristic peaks (cm-1 ): 3400, 3147, 1711, 1399, 1119, 1024, 427.

实施例11[H(3,5-Cl2Py)][trans-RuCl4(DMSO)(3,5-Cl2Py)](化合物11,L=3,5-Cl2Py,3,5-二氯吡啶) Example 11[H(3,5-Cl2 Py)][trans-RuCl4 (DMSO)(3,5-Cl2 Py)] (Compound 11, L=3,5-Cl2 Py, 3,5 - dichloropyridine)

制备方法与实施例1相同。收率:85.39%。 The preparation method is the same as in Example 1. Yield: 85.39%. the

配合物理化性质描述如下:形态:橘黄色微晶;分子式:C12H13Cl8N2ORuS;分子量:618;熔点:180-205℃(碳化分解);元素分析计算值:C 23.32,H 2.12,N 4.53;测定值:C 23.17,H 2.12,N 4.54%。UV/Vis(25℃,H2O)λmax,nm(ε,L·mol-1·cm-1):400(4060),467(480)。 The physical and chemical properties of the complex are described as follows: Morphology: orange microcrystal; Molecular formula: C12 H13 Cl8 N2 ORuS; Molecular weight: 618; 2.12, N 4.53; Found: C 23.17, H 2.12, N 4.54%. UV/Vis (25°C, H2 O) λmax, nm (ε, L·mol−1 ·cm−1 ): 400 (4060), 467 (480).

实施例12药理实验 Embodiment 12 pharmacological experiment

药理实验:小鼠品系为C57BL/6,雌、雄各半,体重19±2g。小鼠在隔离动物室内饲养。日光灯照明,12小时明暗交替。温度22±2℃,相对湿度40-60%,送风6-10次/h。小鼠右腋皮下无菌接种小鼠Lewis肺癌瘤细胞悬液0.2ml/ 只,接种24h后按动物体重随机分为5组,并设生理盐水对照组及NAMI-A阳性对照组。NAMI-A组与化合物1组均设25mg·kg-1和35mg·kg-1两个剂量组。模型组为10只小鼠,其余各组均为9只小鼠。定量称取各受试药物(干燥器中避光保存),临用前用生理盐水经超声振荡溶解至澄明药液后经无菌滤膜除菌后供腹腔注射。各组动物均于接种后的第9天,在瘤株的接种部位触及到瘤体后开始给药,给药体积为20ml·kg-1体重。每日给药1次,连续给药6天后再隔日给药3次,共给药9次。模型组腹腔注射等体积的生理盐水。各组小鼠于接种后第21天称重、处死,剥离瘤体和肺脏分别称重。然后将肺脏置Bouin’s液中固定10天后直接观察、统计各组小鼠肺脏表面发生肺癌转移的动物只数和肺癌转移灶数量。计算比较各组原发肿瘤的抑瘤百分率及各组动物的肺脏指数(肺湿重/体重)以及肺转移的抑制率(给药组肺转移灶数量/模型组肺转移灶数量×100%)。抑瘤作用按以下公式计算各组动物的平均瘤重(X±SD)和瘤重抑制率。 Pharmacological experiment: The mouse strain is C57BL/6, half female and half male, body weight 19±2g. Mice were housed in an isolated animal room. Fluorescent lighting, 12 hours of alternating light and dark. The temperature is 22±2°C, the relative humidity is 40-60%, and the air supply is 6-10 times/h. Mice were aseptically inoculated subcutaneously with 0.2ml of Lewis lung cancer cell suspension in the right axilla of the mice. After 24 hours of inoculation, they were randomly divided into 5 groups according to the weight of the animals, and a normal saline control group and a NAMI-A positive control group were set up. Both the NAMI-A group and the compound 1 group had two dose groups of 25 mg·kg-1 and 35 mg·kg-1 . The model group consisted of 10 mice, and the other groups consisted of 9 mice. Quantitatively weigh each test drug (stored in a desiccator away from light), dissolve it with normal saline by ultrasonic vibration until it becomes clear before use, and then sterilize it through a sterile filter membrane before intraperitoneal injection. The animals in each group started to be administered with the tumor after the inoculation site touched the tumor body on the 9th day after the inoculation, and the administration volume was 20ml·kg-1 body weight. Dosing once a day, 6 consecutive days of administration, and then 3 times every other day, a total of 9 administrations. The model group was intraperitoneally injected with an equal volume of normal saline. The mice in each group were weighed and killed on the 21st day after inoculation, and the tumors and lungs were removed and weighed separately. Then the lungs were fixed in Bouin's solution for 10 days, and then directly observed and counted the number of animals with lung cancer metastases on the lung surface of mice in each group and the number of lung cancer metastases. Calculate and compare the tumor inhibition percentage of the primary tumor in each group, the lung index (wet lung weight/body weight) and the inhibition rate of lung metastasis (the number of lung metastases in the drug treatment group/the number of lung metastases in the model group × 100%) . Tumor inhibition The average tumor weight (X±SD) and tumor weight inhibition rate of animals in each group were calculated according to the following formula.

瘤重抑制率(%)=(1-T/C)×100% Tumor weight inhibition rate (%) = (1-T/C) × 100%

T=给药组瘤重    C=模型对照组瘤重 T=Tumor weight of drug administration group C=Tumor weight of model control group

各组瘤重、肺癌转移灶数量和肺脏指数均以均数±标准差表示,给药的各剂量组均分别与模型对照组进行比较,用t-检验进行统计分析,各给药组的抑瘤率和肺转移抑制率均以百分率表示。 The tumor weight, number of lung cancer metastases and lung index in each group were expressed as mean ± standard deviation. Each dose group administered was compared with the model control group respectively, and statistical analysis was carried out by t-test. Tumor rate and lung metastasis inhibition rate were expressed as percentages. the

2.3NAMI-A衍生物的抑瘤率 2.3 Tumor inhibition rate of NAMI-A derivatives

NAMI-A和制备的新化合物的抑瘤率实验结果列于表1。表1中NAMI-A两剂量组的抑瘤率分别为11%、36%。其它制备的新化合物的抑瘤率在11%-40%左右,与NAMI-A的抑瘤率相差不大。NAMI-A衍生物的抑瘤率不高,其主要作用是抗肿瘤转移。 The experimental results of tumor inhibition rate of NAMI-A and the prepared new compounds are listed in Table 1. In Table 1, the tumor inhibition rates of the two dose groups of NAMI-A were 11% and 36%, respectively. The tumor inhibition rate of other prepared new compounds is about 11%-40%, which is not much different from that of NAMI-A. The tumor inhibition rate of NAMI-A derivatives is not high, and its main function is anti-tumor metastasis. the

表1NAMI-A及其衍生物[H(L)][trans-RuCl4(DMSO)(L)]对Lewis肺癌小鼠 的抑瘤作用 Table 1 The tumor inhibitory effect of NAMI-A and its derivatives [H(L)][trans-RuCl4 (DMSO)(L)] on Lewis lung cancer mice

注:与模型组比较,*P<0.05,**P<0.01 Note: Compared with the model group, *P<0.05,**P<0.01

2.4NAMI-A衍生物的抗转移率 2.4 Anti-transfer rate of NAMI-A derivatives

NAMI-A和制备的新化合物的抗转移率实验结果列于表2。 The results of the anti-transfer rate experiments of NAMI-A and the prepared new compounds are listed in Table 2. the

表2NAMI-A及其衍生物[H(L)][trans-RuCl4(DMSO)(L)]对Lewis肺癌小鼠的抗转移作用 Table 2 Anti-metastatic effect of NAMI-A and its derivatives [H(L)][trans-RuCl4 (DMSO)(L)] on Lewis lung cancer mice

Figure 2012103197991100002DEST_PATH_IMAGE002
Figure 2012103197991100002DEST_PATH_IMAGE002

Figure DEST_PATH_IMAGE003
Figure DEST_PATH_IMAGE003

注:与模型组比较,*P<0.05,**P<0.01 Note: Compared with the model group, *P<0.05,**P<0.01

小鼠在接种Lewis肺癌瘤株后21天,模型组100%小鼠发生肺部转移,转移灶均为点状。NAMI-A和化合物1的大、小剂量组均有显著的抗肺部转移作用,结果详见表2。表2中NAMI-A不同剂量的抗转移率分别为81%、86%。制备的新化合物不同剂量的抗转移率在45%到85%。各制备的新化合物的单剂量的最高抗转移率都在70%以上。应该指出,NAMI-A对乳腺癌小鼠(裸鼠)的抗转移率明显高于Lewis肺癌小鼠。而且由于此类化合物的毒性低,无骨髓抑制副作用。发展成新型抗癌药的前景良好。 Twenty-one days after the mice were inoculated with the Lewis lung cancer strain, 100% of the mice in the model group developed lung metastases, and the metastatic lesions were all punctate. Both the large and low dose groups of NAMI-A and compound 1 had significant anti-pulmonary metastasis effects, and the results are shown in Table 2. In Table 2, the anti-metastatic rates of different doses of NAMI-A were 81% and 86%, respectively. The anti-transfer rate of different doses of the prepared new compound ranges from 45% to 85%. The highest single-dose anti-transfer rates of each prepared new compound are all above 70%. It should be noted that the anti-metastatic rate of NAMI-A on breast cancer mice (nude mice) was significantly higher than that of Lewis lung cancer mice. Moreover, due to the low toxicity of these compounds, there is no side effect of myelosuppression. The prospect of being developed into a new type of anticancer drug is good. the

NAMI-A和各制备的另一组新化合物的抑瘤率实验结果列于表3。表3中NAMI-A两剂量组的抑瘤率分别为28%、57%。制备的新化合物1的抑瘤率在20%-31%左右,与NAMI-A的抑瘤率相差不大。NAMI-A衍生物的抑瘤率不高,其主要作用是抗肿瘤转移。 The experimental results of tumor inhibition rate of NAMI-A and another group of new compounds prepared are listed in Table 3. In Table 3, the tumor inhibition rates of the two dose groups of NAMI-A were 28% and 57%, respectively. The tumor inhibition rate of the prepared new compound 1 is about 20%-31%, which is not much different from that of NAMI-A. The tumor inhibition rate of NAMI-A derivatives is not high, and its main function is anti-tumor metastasis. the

表3NAMI-A及其衍生物[H(L)][trans-RuCl4(DMSO)(L)]对Lewis肺癌小 鼠的抑瘤作用 Table 3 NAMI-A and its derivatives [H (L)] [trans-RuCl4 (DMSO) (L)] on the tumor inhibitory effect of Lewis lung cancer mice

注:与模型组比较,*P<0.05,**P<0.01 Note: Compared with the model group, *P<0.05,**P<0.01

表4中NAMI-A不同剂量的抗转移率分别为64%、73%。制备的新化合物不同剂量的抗转移率在28%到75%。制备的2个新化合物的单剂量的抗转移率都在60%以上。 In Table 4, the anti-metastatic rates of different doses of NAMI-A were 64% and 73%, respectively. The anti-transfer rate of different doses of the prepared new compound ranged from 28% to 75%. The single-dose anti-transfer rates of the two new compounds prepared were all above 60%. the

表4NAMI-A及其衍生物[H(L)][trans-RuCl4(DMSO)(L)]对Lewis肺癌小鼠的抗转移作用 Table 4 Anti-metastatic effect of NAMI-A and its derivatives [H(L)][trans-RuCl4 (DMSO)(L)] on Lewis lung cancer mice

Figure DEST_PATH_IMAGE005
Figure DEST_PATH_IMAGE005

Figure DEST_PATH_IMAGE006
Figure DEST_PATH_IMAGE006

注:与模型组比较,*P<0.05,**P<0.01 Note: Compared with the model group, *P<0.05,**P<0.01

表4中除NAMI-A的35mg·kg-1剂量组有一只小鼠死亡外,其余各剂量组匀无死亡。表明NAMI-A和制备的新化合物的毒性均较低。NAMI-A衍生物的低毒性是由于其与靶分子蛋白的结合能力与顺铂相比较弱,而且此结合可逆。NAMI-A的一期临床药理实验结果表明,其主要毒副作用为少数病人手臂出现疱疹(blister),停药后可恢复。与临床常用抗癌药不同,低毒性是NAMI-A及其衍生物的主要优点。 In Table 4, except that one mouse died in the 35 mg·kg-1 dose group of NAMI-A, there was no death in the other dose groups. It shows that the toxicity of NAMI-A and the prepared new compound is low. The low toxicity of NAMI-A derivatives is due to its weaker binding ability to target molecular protein than cisplatin, and this binding is reversible. The results of Phase I clinical pharmacology experiment of NAMI-A show that its main toxic side effect is herpes (blister) in the arms of a small number of patients, which can be recovered after stopping the drug. Unlike commonly used clinical anticancer drugs, low toxicity is the main advantage of NAMI-A and its derivatives.

以上所述实施例仅表达了本发明的几种实施方式,其描述较为具体和详细,但并不能因此而理解为对本发明专利范围的限制。应当指出的是,对于本领域的普通技术人员来说,在不脱离本发明构思的前提下,还可以做出若干变形和改进,这些都属于本发明的保护范围。因此,本发明专利的保护范围应以所附权利要求为准。 The above-mentioned embodiments only express several implementation modes of the present invention, and the description thereof is relatively specific and detailed, but should not be construed as limiting the patent scope of the present invention. It should be pointed out that those skilled in the art can make several modifications and improvements without departing from the concept of the present invention, and these all belong to the protection scope of the present invention. Therefore, the protection scope of the patent for the present invention should be based on the appended claims. the

Claims (10)

Translated fromChinese
1.一种具有以下通式(I)的钌配合物,1. A ruthenium complex having the following general formula (I),
Figure FDA00002085823300011
Figure FDA00002085823300011
其中,in,R1、R2各自独立选自:R1 and R2 are each independently selected from:1)C1-C8烷基,1) C1-C8 alkyl,2)1个、2个或3个H被卤素、氰基、巯基、羟基、羧基、甲氧基、酰基、酰氨基、氨基(伯、仲、叔)取代的C1-C8烷基,上述2个或3个取代基可以相同也可以不同,2) C1-C8 alkyl with 1, 2 or 3 Hs substituted by halogen, cyano, mercapto, hydroxyl, carboxyl, methoxy, acyl, amido, amino (primary, secondary, tertiary), the above 2 One or three substituents can be the same or different,3)C5-C7芳香环,3) C5-C7 aromatic ring,4)1个、2个或3个H可以被卤素、氰基、巯基、羟基、羧基、甲氧基、酰基、酰氨基、氨基(伯、仲、叔)取代的C5-C7芳香环,上述2个或3个取代基可以相同也可以不同;4) 1, 2 or 3 H can be substituted by halogen, cyano, mercapto, hydroxyl, carboxyl, methoxy, acyl, amido, amino (primary, secondary, tertiary) C5-C7 aromatic ring, the above 2 or 3 substituents can be the same or different;L选自:L is selected from:1)含氮C1-C8烷基,1) nitrogen-containing C1-C8 alkyl,2)1个、2个或3个H可以被卤素、氰基、巯基、羟基、羧基、甲氧基、酰基、酰氨基、氨基(伯、仲、叔)取代的含氮的C1-C8烷基,上述2个或3个取代基可以相同也可以不同,2) Nitrogen-containing C1-C8 alkane whose 1, 2 or 3 H can be substituted by halogen, cyano, mercapto, hydroxyl, carboxyl, methoxy, acyl, amido, amino (primary, secondary, tertiary) The above two or three substituents can be the same or different,3)含氮6元芳香环,3) Nitrogen-containing 6-membered aromatic ring,4)1个、2个或3个H可以被卤素、氰基、巯基、羟基、羧基、甲氧基、酰基、酰氨基、氨基(伯、仲、叔)取代的含氮6元芳香环,上述2个或3个取代基可以相同也可以不同,4) 1, 2 or 3 H can be substituted by halogen, cyano, mercapto, hydroxyl, carboxyl, methoxy, acyl, amido, amino (primary, secondary, tertiary) nitrogen-containing 6-membered aromatic ring, The above two or three substituents may be the same or different,5)含氮5元芳香环,5) Nitrogen-containing 5-membered aromatic ring,6)1个、2个或3个H可以被卤素、氰基、巯基、羟基、羧基、磺酸基、甲氧基、酰基、酰氨基、氨基(伯、仲、叔)取代的含氮5元芳香环,上述2个或3个取代基可以相同也可以不同。6) Nitrogen-containing 5 whose 1, 2 or 3 H can be substituted by halogen, cyano, mercapto, hydroxyl, carboxyl, sulfonic acid, methoxy, acyl, amido, amino (primary, secondary, tertiary) For a membered aromatic ring, the above two or three substituents may be the same or different.2.根据权利要求1所述的钌配合物,其特征在于,R1为C1-C8烷基,R2为C5-C7芳香环。2. Ruthenium complex according to claim 1, is characterized in that, R1 is C1-C8 alkyl, R2 is C5-C7 aromatic ring.3.根据权利要求1所述的钌配合物,其特征在于,L为吡啶、吡嗪、或哒嗪。3. The ruthenium complex according to claim 1, wherein L is pyridine, pyrazine, or pyridazine.4.根据权利要求1所述的钌配合物,其特征在于,L为咪唑、或吡唑。4. The ruthenium complex according to claim 1, wherein L is imidazole or pyrazole.5.权利要求1-4所述钌配合物的制备方法,其特征是,包括以下步骤:5. the preparation method of the described ruthenium complex of claim 1-4 is characterized in that, comprises the following steps:1)将反应起始物trans-[RuCl4(SOR1R2)2][(SOR1R2)2H]研磨成细粉;1) Grinding the reaction starter trans-[RuCl4 (SOR1 R2 )2 ][(SOR1 R2 )2 H] into fine powder;2)将起始物与具有权利要求1-4任一所述L结构的配体在反应溶剂中搅拌、超声振荡或回流,搅拌、振荡或回流时间为10min-20h;起始物与配体的摩尔比为1:2-1:8;反应温度25-80°C;2) The starting material and the ligand having the L structure described in any one of claims 1-4 are stirred, ultrasonically oscillated or refluxed in the reaction solvent, and the stirring, oscillating or reflux time is 10min-20h; the starting material and the ligand The molar ratio is 1:2-1:8; 25-80°C of reaction temperature;3)超声振荡后形成的沉淀过滤,分别用丙酮和乙醚洗涤,硅胶干燥器干燥过夜,即得所述钌配合物及其衍生物。3) The precipitate formed after ultrasonic oscillation was filtered, washed with acetone and ether respectively, and dried overnight in a silica gel desiccator to obtain the ruthenium complex and its derivatives.6.根据权利要求5所述的制备方法,所述反应溶剂为甲醇、乙醇、丙酮、氯仿中的一种或多种。6. preparation method according to claim 5, described reaction solvent is one or more in methanol, ethanol, acetone, chloroform.7.权利要求1-4所述的钌配合物在制备治疗肿瘤或肿瘤转移的药物中的应用,或在制备预防和治肿瘤转移的药物中的应用。7. The application of the ruthenium complex described in claims 1-4 in the preparation of medicines for treating tumor or tumor metastasis, or the application in the preparation of medicines for preventing and treating tumor metastasis.8.根据权利要求7所述的应用,其特征在于,所述肿瘤为乳腺癌、肺癌、肠癌、肝癌、胃肠道癌、卵巢癌、胰腺癌、喉癌、鼻咽癌、睾丸癌、或白血病。8. The application according to claim 7, wherein the tumor is breast cancer, lung cancer, intestinal cancer, liver cancer, gastrointestinal tract cancer, ovarian cancer, pancreatic cancer, laryngeal cancer, nasopharyngeal cancer, testicular cancer, or leukemia.9.一种治疗肿瘤或肿瘤转移的药用组合物,包括有权利要求1-4任一项所述钌配合物与药学上可接受的载体。9. A pharmaceutical composition for treating tumor or tumor metastasis, comprising the ruthenium complex according to any one of claims 1-4 and a pharmaceutically acceptable carrier.10.根据权利要求9所述的药用组合物,其特征在于,还包括有其它抗癌药或抗氧化剂半胱氨酸、抗坏血酸及蛋白制剂如注射白蛋白。10. The pharmaceutical composition according to claim 9, characterized in that it also includes other anticancer drugs or antioxidant cysteine, ascorbic acid and protein preparations such as albumin for injection.
CN201210319799.1A2012-08-312012-08-31Ruthenium complex as well as preparation method and application thereofPendingCN103665046A (en)

Priority Applications (1)

Application NumberPriority DateFiling DateTitle
CN201210319799.1ACN103665046A (en)2012-08-312012-08-31Ruthenium complex as well as preparation method and application thereof

Applications Claiming Priority (1)

Application NumberPriority DateFiling DateTitle
CN201210319799.1ACN103665046A (en)2012-08-312012-08-31Ruthenium complex as well as preparation method and application thereof

Publications (1)

Publication NumberPublication Date
CN103665046Atrue CN103665046A (en)2014-03-26

Family

ID=50303907

Family Applications (1)

Application NumberTitlePriority DateFiling Date
CN201210319799.1APendingCN103665046A (en)2012-08-312012-08-31Ruthenium complex as well as preparation method and application thereof

Country Status (1)

CountryLink
CN (1)CN103665046A (en)

Cited By (3)

* Cited by examiner, † Cited by third party
Publication numberPriority datePublication dateAssigneeTitle
CN104744518A (en)*2015-02-112015-07-01中国中医科学院中药研究所Metallic ruthenium complex as well as preparation method and application thereof
CN109126899A (en)*2018-09-262019-01-04上海克琴科技有限公司A method of increasing ruthenium metal olefin metathesis catalyst stability in the solution
CN113150033A (en)*2021-02-102021-07-23中国中医科学院中药研究所Artemisinin ruthenium metal complex and preparation method and medical application thereof

Citations (3)

* Cited by examiner, † Cited by third party
Publication numberPriority datePublication dateAssigneeTitle
WO1990013553A1 (en)*1989-05-051990-11-15Boehringer Mannheim Italia S.P.A.Ruthenium(iii) complexes as antineoplastic agents
US6221905B1 (en)*1996-07-022001-04-24Sigea S.R.L.Salts of anionic complexes of RU(III), as antimetastatic and antineoplastic agents
US6921824B1 (en)*1999-04-192005-07-26Sigea S.R.L.Ruthenium dimeric complexes suitable as antimetastatic and antineoplastic agents

Patent Citations (3)

* Cited by examiner, † Cited by third party
Publication numberPriority datePublication dateAssigneeTitle
WO1990013553A1 (en)*1989-05-051990-11-15Boehringer Mannheim Italia S.P.A.Ruthenium(iii) complexes as antineoplastic agents
US6221905B1 (en)*1996-07-022001-04-24Sigea S.R.L.Salts of anionic complexes of RU(III), as antimetastatic and antineoplastic agents
US6921824B1 (en)*1999-04-192005-07-26Sigea S.R.L.Ruthenium dimeric complexes suitable as antimetastatic and antineoplastic agents

Cited By (4)

* Cited by examiner, † Cited by third party
Publication numberPriority datePublication dateAssigneeTitle
CN104744518A (en)*2015-02-112015-07-01中国中医科学院中药研究所Metallic ruthenium complex as well as preparation method and application thereof
CN104744518B (en)*2015-02-112018-08-07中国中医科学院中药研究所Ruthenium complex and its preparation method and application
CN109126899A (en)*2018-09-262019-01-04上海克琴科技有限公司A method of increasing ruthenium metal olefin metathesis catalyst stability in the solution
CN113150033A (en)*2021-02-102021-07-23中国中医科学院中药研究所Artemisinin ruthenium metal complex and preparation method and medical application thereof

Similar Documents

PublicationPublication DateTitle
CN102241674A (en)Synthesis method and antitumor activity evaluation of 1,1-dimethyl-beta-carboline-3-formacyl amino acid benzyl ester
CN103665046A (en)Ruthenium complex as well as preparation method and application thereof
CA2884832C (en)Means and method for treating solid tumours
US20250152569A1 (en)Treatment of cell proliferation-associated conditions using a combination of a clb-b inhibitor and an additional therapeutic agent
CN106117182B (en) Quinazoline-N-phenethyltetrahydroisoquinoline compound and its preparation method and application
CN110872330A (en) A kind of bipyridine ruthenium o-phenanthroline benzimidazole complex and its preparation method and use
CN105669543A (en)Isoliquiritigenin nicotinamide eutectic crystal and preparation method thereof
CN108084177B (en)A kind of jamaicin 9- pyrazole derivatives and its preparation and application
CN106673988A (en)Benzyl cyclohexenone derivative and preparation method and medical application thereof
US12129265B2 (en)Therapeutic agents and uses thereof
NZ571119A (en)Use of tris(hydroxyquinolinolato)gallium(III) for the treatment of melanomas
CN104940142A (en) Preparation method and application of matrine nanoparticles modified by wheat germ agglutinin
CN113274390B (en)Application of pimavanserin in preparing antitumor drugs
CN104744518B (en)Ruthenium complex and its preparation method and application
CN112209834B (en) A kind of organic nitrite radical donor and its preparation method and medical application
CN105622602A (en)Method for preparing sartans and berberine conjugates and medical application thereof
CN105646354A (en)Imidazole compound
CN105085461A (en)Flavane compound, preparation method thereof and hypoglycemic activity
NZ509529A (en)A pharmaceutical preparation containing platinum complex compounds and the use thereof for treating tumoral diseases
CN106146612B (en) A class of glyoxalase I irreversible inhibitors and their preparation methods and uses
CN114920728B (en)Methylisoindigo derivative and preparation method and application thereof
WO2014047779A1 (en)Pharmaceutical composition containing evodiamine and evodiamine derivative and bcl-2 inhibitor and use thereof
KR101394878B1 (en)Novel hexanuclear Arene-Ruthenium nano prismatic cage compound, preparation method thereof and pharmaceutical composition for preventing and treating cancer as active ingredient
WO2022263556A1 (en)Complexes of cu(i) as antitumor agents
CN105520951A (en)Chitosan derivative containing quinazoline ring as well as preparation method and biological activity

Legal Events

DateCodeTitleDescription
PB01Publication
PB01Publication
C10Entry into substantive examination
SE01Entry into force of request for substantive examination
C12Rejection of a patent application after its publication
RJ01Rejection of invention patent application after publication

Application publication date:20140326


[8]ページ先頭

©2009-2025 Movatter.jp