


技术领域technical field
本发明涉及一种汽车智能控制方法,尤其涉及一种基于驾驶员模型的汽车方向智能控制方法及控制系统,属于自动控制技术领域。The invention relates to an automobile intelligent control method, in particular to an automobile direction intelligent control method and control system based on a driver model, and belongs to the technical field of automatic control.
背景技术Background technique
随着科技的进步和社会水平的提高,人们对汽车的需求越来越大,私家车的拥有量逐年上升,由此引发了交通安全问题也日益突出。这种情况在我国尤为明显,我国因交通安全事故死亡的人数连续十年跃居全球第一。因此,汽车安全性问题变得至关重要。With the advancement of science and technology and the improvement of social level, people's demand for cars is increasing, and the number of private cars has increased year by year, which has caused traffic safety problems to become increasingly prominent. This situation is particularly evident in our country, where the number of deaths due to traffic safety accidents has ranked first in the world for ten consecutive years. Therefore, the issue of vehicle safety becomes critical.
为解决交通安全问题,不仅需要关注各种交通安全法规的制定,对智能交通系统、智能汽车以及其它主动安全技术的研究,也需要被用于改善汽车的驾驶安全性。而驾驶员建模是这些研究的基础,建立一个更精确的、更真实的驾驶员模型不仅可以用于智能车,也可以用于汽车操纵稳定性的检测。In order to solve traffic safety problems, it is not only necessary to pay attention to the formulation of various traffic safety regulations, but also to study intelligent transportation systems, smart cars and other active safety technologies to improve driving safety of cars. Driver modeling is the basis of these studies, and establishing a more accurate and realistic driver model can be used not only for smart cars, but also for the detection of car handling stability.
近年来,国内外研究人员及学者对汽车驾驶员模型进行了大量研究,先后提出了几种驾驶员模型,比如MacAdam的最优预瞄控制模型、郭孔辉的预瞄跟随模型以及Cole等人的LQR模型等。但国内外较常用的驾驶员模型是,我国郭孔辉院士的预瞄跟随模型以及国外Cole等人的LQR模型。预瞄跟随模型因其模型参数的物理含义清晰,便于理解驾驶行为的产生机理,应用方便。但其在高速转向时,跟踪精度不高以及出现转向波动现象,使其在高速下的应用具有一定的局限性;LQR模型采用最优化方法,理论严谨,跟踪精度高。但其物理概念不清晰,同时采用多点预瞄导致优化计算量大,实际应用困难。In recent years, researchers and scholars at home and abroad have conducted a lot of research on car driver models, and have proposed several driver models, such as MacAdam's optimal preview control model, Guo Konghui's preview following model, and Cole et al.'s LQR model etc. However, the more commonly used driver models at home and abroad are the preview-following model of Academician Guo Konghui in my country and the LQR model of Cole et al. Because of the clear physical meaning of the model parameters, the preview-following model is easy to understand the mechanism of driving behavior and easy to apply. However, when it turns at high speed, the tracking accuracy is not high and the steering fluctuation phenomenon occurs, so its application at high speed has certain limitations; the LQR model adopts the optimization method, the theory is rigorous, and the tracking accuracy is high. But its physical concept is not clear, and the use of multi-point preview at the same time leads to a large amount of optimization calculation, which makes it difficult for practical application.
发明内容Contents of the invention
本发明所要解决的技术问题在于克服现有技术不足,提供一种基于驾驶员模型的汽车方向智能控制方法及控制系统,所采用的驾驶员模型的参数由整车参数直接获得,具有参数简单、物理含义清晰的优点,对汽车的控制更加准确和真实。The technical problem to be solved by the present invention is to overcome the deficiencies of the prior art and provide a method and control system for intelligent control of vehicle direction based on the driver model. The parameters of the driver model used are directly obtained from the vehicle parameters, and the parameters are simple, With the advantages of clear physical meaning, the control of the car is more accurate and real.
本发明具体采用以下技术方案:The present invention specifically adopts the following technical solutions:
一种基于驾驶员模型的汽车方向智能控制方法,首先根据汽车当前运行状态预测预瞄周期T时刻后汽车所能到达的位置,并与T时刻后的目标位置进行比较,得到两者的偏差,两者偏差与T的比值即为期望的汽车横向速度,再将期望的汽车横向速度与实际的汽车横向速度进行比较,得到期望的汽车横向速度差;然后按照以下公式得到方向盘转角,并根据得到的方向盘转角对汽车方向盘进行控制:An intelligent control method for vehicle direction based on the driver model. First, according to the current running state of the vehicle, the position that the vehicle can reach after the preview period T is predicted, and compared with the target position after T time, the deviation between the two is obtained. The ratio of the deviation of the two to T is the expected lateral speed of the vehicle, and then compare the expected lateral speed of the vehicle with the actual lateral speed of the vehicle to obtain the expected difference in lateral speed of the vehicle; then obtain the steering wheel angle according to the following formula, and according to the obtained The steering wheel angle controls the steering wheel of the car:
θ(s)=evy(s)×Gd(s)θ(s)=evy (s)×Gd (s)
式中,θ(s)表示方向盘转角;evy(s)表示期望的汽车横向速度差;Gd(s)为传递函数,根据下式得到:In the formula, θ(s) represents the steering wheel angle; evy (s) represents the desired vehicle lateral velocity difference; Gd (s) is the transfer function, which can be obtained according to the following formula:
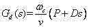
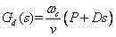
其中,m为汽车整车质量,单位为kg;v为车速,单位为m/s;Iz为汽车横摆转动惯量,单位为kg·m2;L为汽车前后轴距离,单位为m;lf为汽车整车质心到前轴的距离,单位为m;lr为汽车整车质心到后轴的距离,单位为m;cf为汽车前轮的等效侧偏刚度,单位为N/rad;cr为汽车后轮的等效侧偏刚度,单位为N/rad;Th为预设的驾驶员的手臂惯性延时,单位为s;ωc为人车闭环系统的截止频率,单位为rad/s;s为拉布拉斯算子。Among them, m is the mass of the whole vehicle, the unit is kg; v is the vehicle speed, the unit is m/s; Iz is the yaw moment of inertia of the vehicle, the unit is kg m2 ; L is the distance between the front and rear axles of the vehicle, the unit is m; lf is the distance from the center of mass of the vehicle to the front axle, in m; lr is the distance from the center of mass of the vehicle to the rear axle, in m; cf is the equivalent cornering stiffness of the front wheels of the vehicle, in N /rad; cr is the equivalent cornering stiffness of the rear wheel of the car, in N/rad;Th is the preset driver’s arm inertia delay, in s; ωc is the cut-off frequency of the closed-loop system of the vehicle, The unit is rad/s; s is the Laplace operator.
一种基于驾驶员模型的汽车方向智能控制系统,包括:A vehicle direction intelligent control system based on a driver model, comprising:
预瞄模块,利用观测到的道路信息生成预瞄周期T时刻后的目标位置f(t+T);The preview module uses the observed road information to generate the target position f(t+T) after the preview period T moment;
预测模块,根据汽车当前运行状态信息预测出汽车在预瞄周期T时刻后所能到达的位置y(t+T);The prediction module predicts the position y(t+T) that the car can reach after the preview period T according to the current running state information of the car;
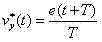
比较模块,将目标位置f(t+T)与汽车在预瞄周期T时刻后所能到达的位置y(t+T)进行比较,输出偏差e(t+T)=f(t+T)-y(t+T);The comparison module compares the target position f(t+T) with the position y(t+T) that the car can reach after the preview period T, and outputs the deviation e(t+T)=f(t+T) -y(t+T);
计算模块,以所述偏差e(t+T)除以预瞄周期T,得到期望的汽车横向速度再与实际的汽车的横向速度vy(t)进行比较,获得期望的汽车横向速度差evy(t)=vy*(t)-vy(t);The calculation module divides the deviation e(t+T) by the preview period T to obtain the desired lateral velocity of the vehicle Then compare it with the actual vehicle's lateral velocity vy (t) to obtain the expected vehicle lateral velocity difference evy (t)=vy* (t)-vy (t);
控制模块,根据期望的汽车横向速度差,按照以下公式得到方向盘转角,并根据得到的方向盘转角对汽车方向盘进行控制:The control module obtains the steering wheel angle according to the following formula according to the expected lateral speed difference of the vehicle, and controls the steering wheel of the vehicle according to the obtained steering wheel angle:
θ(s)=evy(s)×Gd(s)θ(s)=evy (s)×Gd (s)
式中,θ(s)表示方向盘转角;evy(s)表示期望的汽车横向速度差;Gd(s)为传递函数,根据下式得到:In the formula, θ(s) represents the steering wheel angle; evy (s) represents the desired vehicle lateral velocity difference; Gd (s) is the transfer function, which can be obtained according to the following formula:
其中,m为汽车整车质量,单位为kg;v为车速,单位为m/s;Iz为汽车横摆转动惯量,单位为kg·m2;L为汽车前后轴距离,单位为m;lf为汽车整车质心到前轴的距离,单位为m;lr为汽车整车质心到后轴的距离,单位为m;cf为汽车前轮的等效侧偏刚度,单位为N/rad;cr为汽车后轮的等效侧偏刚度,单位为N/rad;Th为预设的驾驶员的手臂惯性延时,单位为s;ωc为人车闭环系统的截止频率,单位为rad/s;s为拉布拉斯算子。Among them, m is the mass of the whole vehicle, the unit is kg; v is the vehicle speed, the unit is m/s; Iz is the yaw moment of inertia of the vehicle, the unit is kg m2 ; L is the distance between the front and rear axles of the vehicle, the unit is m; lf is the distance from the center of mass of the vehicle to the front axle, in m; lr is the distance from the center of mass of the vehicle to the rear axle, in m; cf is the equivalent cornering stiffness of the front wheels of the vehicle, in N /rad; cr is the equivalent cornering stiffness of the rear wheel of the car, in N/rad;Th is the preset driver’s arm inertia delay, in s; ωc is the cut-off frequency of the closed-loop system of the vehicle, The unit is rad/s; s is the Laplace operator.
所述驾驶员的手臂惯性延时Th的取值范围优选为0.1-0.3s。The value range of the driver's arm inertia delayTh is preferably 0.1-0.3s.
所述人车闭环系统的截止频率ωc的取值范围优选为1~6rad/s。The value range of the cut-off frequency ωc of the human-vehicle closed-loop system is preferably 1-6 rad/s.
相比现有技术,本发明具有以下有益效果:Compared with the prior art, the present invention has the following beneficial effects:
本发明所建立的驾驶员模型,其参数由整车参数直接获得,具有参数简单、物理含义清晰的优点,对汽车的控制更加准确和真实。The parameters of the driver model established by the invention are directly obtained from the parameters of the whole vehicle, and have the advantages of simple parameters and clear physical meaning, and the control of the vehicle is more accurate and real.
附图说明Description of drawings
图1为本发明的驾驶员模型的结构原理示意图;Fig. 1 is the structural principle schematic diagram of the driver model of the present invention;
图2为本发明的汽车方向智能控制系统的控制原理示意图;Fig. 2 is the schematic diagram of the control principle of the automobile direction intelligent control system of the present invention;
图3为本发明的驾驶员模型和预瞄跟随驾驶员模型的仿真验证对比图;Fig. 3 is the comparison diagram of simulation verification of driver model of the present invention and preview following driver model;
图4为本发明的驾驶员模型和预瞄跟随驾驶员模型的轨迹跟踪误差对比图。Fig. 4 is a comparison diagram of trajectory tracking errors between the driver model of the present invention and the preview-following driver model.
具体实施方式Detailed ways
下面结合附图对本发明的技术方案进行详细说明:The technical scheme of the present invention is described in detail below in conjunction with accompanying drawing:
本发明的基于驾驶员模型的汽车方向智能控制系统,其核心在于所建立的驾驶员模型,通过观测系统(例如汽车自带的图像采集装置、雷达等)对外部道路状况进行观测,通过汽车的内部传感器/观测器对汽车的自身状态信息进行检测,驾驶员模型根据所观测到的道路信息以及检测到的汽车自身状态计算输出方向盘转角,并根据方向盘转角对汽车方向盘进行控制,从而实现准确反映驾驶员驾驶行为的智能汽车方向闭环控制。The driver model-based intelligent vehicle direction control system of the present invention, its core lies in the established driver model, which observes the external road conditions through the observation system (such as the image acquisition device, radar, etc. The internal sensor/observer detects the car's own state information, and the driver model calculates and outputs the steering wheel angle based on the observed road information and the detected car's own state, and controls the steering wheel of the car according to the steering wheel angle, so as to achieve accurate reflection Smart car direction closed-loop control of driver's driving behavior.
本发明所建立的驾驶员模型如图1所示,包括:The driver model that the present invention establishes is as shown in Figure 1, comprises:
预瞄模块,对观测系统(例如汽车自带的图像采集装置、雷达等数据)观测到的道路信息(也可由外部直接输入数据)进行处理(例如采用多项式拟合的方法)生成预瞄周期T时刻后的目标位置f(t+T)(或者称为预瞄点位置),其中t表示当前时刻;The preview module processes the road information (which can also be directly input from the outside) observed by the observation system (such as the image acquisition device that comes with the car, radar, etc.) (such as using polynomial fitting method) to generate a preview period T The target position f(t+T) after the moment (or called the preview point position), where t represents the current moment;
预测模块,根据汽车当前运行状态信息预测出汽车在预瞄周期T时刻后(即t+T时刻)所能到达的位置y(t+T);The prediction module predicts the position y(t+T) that the car can reach after the preview period T (that is, t+T time) according to the current running state information of the car;
比较模块,将目标位置f(t+T)与汽车在预瞄周期T时刻后所能到达的位置y(t+T)进行比较,输出偏差e(t+T)=f(t+T)-y(t+T);The comparison module compares the target position f(t+T) with the position y(t+T) that the car can reach after the preview period T, and outputs the deviation e(t+T)=f(t+T) -y(t+T);
计算模块,先计算出期望的汽车横向速度再与汽车状态信息的横向速度vy(t)进行比较,求取期望的汽车横向速度差evy(t)=vy*(t)-vy(t);Calculation module, first calculate the expected lateral speed of the vehicle Then compare it with the lateral velocity vy (t) of the vehicle state information to obtain the desired vehicle lateral velocity difference evy (t)=vy* (t)-vy (t);
控制模块,根据期望的汽车横向速度差,按照以下公式得到方向盘转角,并根据得到的方向盘转角对汽车方向盘进行控制:The control module obtains the steering wheel angle according to the following formula according to the expected lateral speed difference of the vehicle, and controls the steering wheel of the vehicle according to the obtained steering wheel angle:
θ(s)=evy(s)×Gd(s)θ(s)=evy (s)×Gd (s)
式中,θ(s)表示方向盘转角;evy(s)表示期望的汽车横向速度差;Gd(s)为传递函数,根据下式得到:In the formula, θ(s) represents the steering wheel angle; evy (s) represents the desired vehicle lateral velocity difference; Gd (s) is the transfer function, which can be obtained according to the following formula:
其中,m为汽车整车质量,单位为kg;v为车速,单位为m/s;Iz为汽车横摆转动惯量,单位为kg·m2;L为汽车前后轴距离,单位为m;lf为汽车整车质心到前轴的距离,单位为m;lr为汽车整车质心到后轴的距离,单位为m;cf为汽车前轮的等效侧偏刚度,单位为N/rad;cr为汽车后轮的等效侧偏刚度,单位为N/rad;Th为预设的驾驶员的手臂惯性延时,单位为s,其取值范围优选为0.1-0.3s;ωc为人车闭环系统的截止频率,单位为rad/s,其取值范围优选为1~6rad/s;s为拉布拉斯算子。Among them, m is the mass of the whole vehicle, the unit is kg; v is the vehicle speed, the unit is m/s; Iz is the yaw moment of inertia of the vehicle, the unit is kg m2 ; L is the distance between the front and rear axles of the vehicle, the unit is m; lf is the distance from the center of mass of the vehicle to the front axle, in m; lr is the distance from the center of mass of the vehicle to the rear axle, in m; cf is the equivalent cornering stiffness of the front wheels of the vehicle, in N /rad; cr is the equivalent cornering stiffness of the rear wheel of the car, in N/rad;Th is the preset driver's arm inertia delay, in s, and its value range is preferably 0.1-0.3s ; ωc is the cut-off frequency of the closed-loop system for people and vehicles, the unit is rad/s, and its value range is preferably 1-6 rad/s; s is the Laplace operator.
本发明的汽车方向智能控制系统的控制原理如图2所示,汽车的内部传感器/观测器对汽车的状态信息进行检测并反馈给驾驶员模型,道路信息由外部直接输入,驾驶员模型根据道路信息以及汽车状态信息计算得到方向盘转角,并根据得到的方向盘转角对被控汽车进行方向控制,从而形成人-车-路闭环系统,达到跟踪道路轨迹的目的,同时可以用于汽车操纵稳定性控制。The control principle of the automobile direction intelligent control system of the present invention is as shown in Figure 2. The internal sensor/observer of the automobile detects the status information of the automobile and feeds it back to the driver model. The road information is directly input from the outside. Information and vehicle state information calculate the steering wheel angle, and control the direction of the controlled vehicle according to the obtained steering wheel angle, thus forming a human-vehicle-road closed-loop system, achieving the purpose of tracking the road trajectory, and can be used for vehicle handling stability control .
为了验证本发明的效果,采用本发明的驾驶员模型和现有的预瞄跟随驾驶员模型分别进行双移线试验的仿真试验。双移线试验是综合测定驾驶员-汽车操纵稳定性的闭环试验,能够更全面地研究和评价汽车的操纵稳定性。试验中所采用的参考道路输入为ISO-3888-1:1999规定的标准双移线工况;为了体现本发明的有效性,现采用相同整车参数和同一预瞄时间,对本发明的驾驶员模型和预瞄跟踪驾驶员模型进行仿真对比分析。仿真采用的验证数据有:m=1715Kg,v=30m/s,Iz=2697Kg·m2,L=2.54m,lf=1.07m,lr=1.47m,cf=2*89733N/rad,cr=2*114100N/rad,Th=0.15s,ωc=2.5rad/s,T=0.8s。验证对比结果如图3、图4所示,其中图4为本发明的驾驶员模型和预瞄跟随驾驶员模型的轨迹跟踪误差对比图。由图4所示的轨迹跟踪误差仿真结果可以看出,本发明的跟踪精度更高,最大跟踪误差较预瞄跟随模型的1.2m减小到0.7m,最大跟踪误差减小了42%。此外,由图4可看出本发明方法的跟踪误差没有较大的起伏,表明本发明的平顺性较好。汽车在变道之后,最终达到稳定的距离由原来的250m减小到220m,表明本发明的稳定时间更小,稳定性和响应性更好。In order to verify the effect of the present invention, the driver model of the present invention and the existing preview-following driver model are used to carry out the simulation test of the double lane change test respectively. The double lane change test is a closed-loop test for comprehensively measuring the driver-vehicle handling stability, which can more comprehensively study and evaluate the handling stability of the vehicle. The reference road input that adopts in the test is the standard double line-changing working condition that ISO-3888-1:1999 stipulates; Simulation and comparative analysis of the model and the preview tracking driver model. The verification data used in the simulation are: m=1715Kg, v=30m/s, Iz =2697Kg·m2 , L=2.54m, lf =1.07m, lr =1.47m, cf =2*89733N/rad , cr =2*114100N/rad, Th =0.15s, ωc =2.5rad/s, T=0.8s. The verification and comparison results are shown in Fig. 3 and Fig. 4, wherein Fig. 4 is a comparison diagram of trajectory tracking errors between the driver model of the present invention and the preview-following driver model. From the trajectory tracking error simulation results shown in Figure 4, it can be seen that the tracking accuracy of the present invention is higher, and the maximum tracking error is reduced to 0.7m compared with 1.2m of the preview following model, and the maximum tracking error is reduced by 42%. In addition, it can be seen from FIG. 4 that the tracking error of the method of the present invention does not have large fluctuations, indicating that the smoothness of the present invention is better. After the car changes lanes, the distance to finally stabilize is reduced from the original 250m to 220m, which shows that the stabilization time of the present invention is shorter, and the stability and responsiveness are better.
| Application Number | Priority Date | Filing Date | Title |
|---|---|---|---|
| CN201310565397.4ACN103640622B (en) | 2013-11-13 | 2013-11-13 | A kind of automobile steering intelligent control method based on pilot model and control system |
| Application Number | Priority Date | Filing Date | Title |
|---|---|---|---|
| CN201310565397.4ACN103640622B (en) | 2013-11-13 | 2013-11-13 | A kind of automobile steering intelligent control method based on pilot model and control system |
| Publication Number | Publication Date |
|---|---|
| CN103640622Atrue CN103640622A (en) | 2014-03-19 |
| CN103640622B CN103640622B (en) | 2016-01-20 |
| Application Number | Title | Priority Date | Filing Date |
|---|---|---|---|
| CN201310565397.4AExpired - Fee RelatedCN103640622B (en) | 2013-11-13 | 2013-11-13 | A kind of automobile steering intelligent control method based on pilot model and control system |
| Country | Link |
|---|---|
| CN (1) | CN103640622B (en) |
| Publication number | Priority date | Publication date | Assignee | Title |
|---|---|---|---|---|
| CN104181923A (en)* | 2014-08-29 | 2014-12-03 | 武汉大学 | Intelligent automobile curve tracking method based on linear controller |
| CN104260725A (en)* | 2014-09-23 | 2015-01-07 | 北京理工大学 | Intelligent driving system with driver model |
| CN104843057A (en)* | 2015-05-26 | 2015-08-19 | 吉林大学 | Steering control method for four-wheel-independence-steering automobile |
| CN105785964A (en)* | 2014-12-25 | 2016-07-20 | 上海机动车检测中心 | Vehicle closed loop test method |
| CN106681327A (en)* | 2017-01-11 | 2017-05-17 | 中南大学 | Method and system for intelligent driving horizontal and vertical decoupling control of great inertia electric motor coach |
| CN107004368A (en)* | 2014-11-28 | 2017-08-01 | 株式会社电装 | Travel controlling system, travel control method and the traveling control program of vehicle |
| WO2018072647A1 (en)* | 2016-10-19 | 2018-04-26 | 中车株洲电力机车研究所有限公司 | Method and system utilized by multi-axle articulated vehicle tracking central lane line |
| CN108791301A (en)* | 2018-05-31 | 2018-11-13 | 重庆大学 | Intelligent automobile driving procedure transverse direction dynamic control method based on driver characteristics |
| CN110006419A (en)* | 2018-01-04 | 2019-07-12 | 郑州宇通客车股份有限公司 | Vehicle track tracking point determination method based on preview |
| CN110329347A (en)* | 2019-07-03 | 2019-10-15 | 南京航空航天大学 | A kind of steering control system and its control method based on driver characteristics |
| CN111391916A (en)* | 2020-03-27 | 2020-07-10 | 南京航空航天大学 | Auxiliary Control Strategy of Steer-by-Wire System Considering Driver's Steering Characteristics |
| WO2020187257A1 (en)* | 2019-03-18 | 2020-09-24 | 长城汽车股份有限公司 | Vehicle abnormal lane change control method, device and system |
| CN111703417A (en)* | 2020-06-24 | 2020-09-25 | 湖北汽车工业学院 | A kind of high and low speed unified preview synovial driving control method and control system |
| CN114728672A (en)* | 2019-12-06 | 2022-07-08 | 日立安斯泰莫株式会社 | Steering hold determination device, steering control device and steering device |
| CN114728671A (en)* | 2019-12-06 | 2022-07-08 | 日立安斯泰莫株式会社 | Steady hold determination device, steering control device, and steering device |
| Publication number | Priority date | Publication date | Assignee | Title |
|---|---|---|---|---|
| JP2004352031A (en)* | 2003-05-28 | 2004-12-16 | Toyota Motor Corp | Vehicle steering control |
| JP2008534361A (en)* | 2005-04-01 | 2008-08-28 | ミシュラン ルシェルシュ エ テクニーク ソシエテ アノニム | Vehicle steering control device having no mechanical coupling means between the steering wheel and the steered wheel |
| CN101618733A (en)* | 2009-08-06 | 2010-01-06 | 上海交通大学 | Front wheel and rear wheel drive steering control system of automobile |
| CN101734252A (en)* | 2009-12-23 | 2010-06-16 | 合肥工业大学 | Preview tracking control unit for intelligent vehicle vision navigation |
| CN102358287A (en)* | 2011-09-05 | 2012-02-22 | 北京航空航天大学 | Trajectory tracking control method used for automatic driving robot of vehicle |
| Publication number | Priority date | Publication date | Assignee | Title |
|---|---|---|---|---|
| JP2004352031A (en)* | 2003-05-28 | 2004-12-16 | Toyota Motor Corp | Vehicle steering control |
| JP2008534361A (en)* | 2005-04-01 | 2008-08-28 | ミシュラン ルシェルシュ エ テクニーク ソシエテ アノニム | Vehicle steering control device having no mechanical coupling means between the steering wheel and the steered wheel |
| CN101618733A (en)* | 2009-08-06 | 2010-01-06 | 上海交通大学 | Front wheel and rear wheel drive steering control system of automobile |
| CN101734252A (en)* | 2009-12-23 | 2010-06-16 | 合肥工业大学 | Preview tracking control unit for intelligent vehicle vision navigation |
| CN102358287A (en)* | 2011-09-05 | 2012-02-22 | 北京航空航天大学 | Trajectory tracking control method used for automatic driving robot of vehicle |
| Title |
|---|
| 沈峘,等: ""驾驶员自适应转向控制行为建模"", 《农业机械学报》* |
| Publication number | Priority date | Publication date | Assignee | Title |
|---|---|---|---|---|
| CN104181923A (en)* | 2014-08-29 | 2014-12-03 | 武汉大学 | Intelligent automobile curve tracking method based on linear controller |
| CN104260725A (en)* | 2014-09-23 | 2015-01-07 | 北京理工大学 | Intelligent driving system with driver model |
| US10286900B2 (en) | 2014-09-23 | 2019-05-14 | Beijing Institute Of Technology | Intelligent driving system with an embedded driver model |
| WO2016045365A1 (en)* | 2014-09-23 | 2016-03-31 | 北京理工大学 | Intelligent driving system with driver model |
| CN107004368A (en)* | 2014-11-28 | 2017-08-01 | 株式会社电装 | Travel controlling system, travel control method and the traveling control program of vehicle |
| CN105785964A (en)* | 2014-12-25 | 2016-07-20 | 上海机动车检测中心 | Vehicle closed loop test method |
| CN105785964B (en)* | 2014-12-25 | 2018-06-29 | 上海机动车检测认证技术研究中心有限公司 | A kind of vehicle closed test method |
| CN104843057A (en)* | 2015-05-26 | 2015-08-19 | 吉林大学 | Steering control method for four-wheel-independence-steering automobile |
| WO2018072647A1 (en)* | 2016-10-19 | 2018-04-26 | 中车株洲电力机车研究所有限公司 | Method and system utilized by multi-axle articulated vehicle tracking central lane line |
| CN106681327A (en)* | 2017-01-11 | 2017-05-17 | 中南大学 | Method and system for intelligent driving horizontal and vertical decoupling control of great inertia electric motor coach |
| CN110006419A (en)* | 2018-01-04 | 2019-07-12 | 郑州宇通客车股份有限公司 | Vehicle track tracking point determination method based on preview |
| CN110006419B (en)* | 2018-01-04 | 2021-11-19 | 郑州宇通客车股份有限公司 | Vehicle track tracking point determination method based on preview |
| CN108791301A (en)* | 2018-05-31 | 2018-11-13 | 重庆大学 | Intelligent automobile driving procedure transverse direction dynamic control method based on driver characteristics |
| WO2020187257A1 (en)* | 2019-03-18 | 2020-09-24 | 长城汽车股份有限公司 | Vehicle abnormal lane change control method, device and system |
| CN110329347B (en)* | 2019-07-03 | 2021-05-11 | 南京航空航天大学 | Steering control system based on driver characteristics and control method thereof |
| CN110329347A (en)* | 2019-07-03 | 2019-10-15 | 南京航空航天大学 | A kind of steering control system and its control method based on driver characteristics |
| CN114728672B (en)* | 2019-12-06 | 2023-07-14 | 日立安斯泰莫株式会社 | Steering hold judging device, steering control device and steering device |
| CN114728672A (en)* | 2019-12-06 | 2022-07-08 | 日立安斯泰莫株式会社 | Steering hold determination device, steering control device and steering device |
| CN114728671A (en)* | 2019-12-06 | 2022-07-08 | 日立安斯泰莫株式会社 | Steady hold determination device, steering control device, and steering device |
| US20220274643A1 (en)* | 2019-12-06 | 2022-09-01 | Hitachi Astemo, Ltd. | Steering holding determination device, steering control device, and steering device |
| US20220281520A1 (en)* | 2019-12-06 | 2022-09-08 | Hitachi Astemo, Ltd. | Steering holding determination device, steering control device, and steering device |
| CN114728671B (en)* | 2019-12-06 | 2023-07-14 | 日立安斯泰莫株式会社 | Steering hold judging device, steering control device and steering device |
| US12168486B2 (en)* | 2019-12-06 | 2024-12-17 | Hitachi Astemo, Ltd. | Steering holding determination device, steering control device, and steering device |
| US12168488B2 (en)* | 2019-12-06 | 2024-12-17 | Hitachi Astemo, Ltd. | Steering holding determination device, steering control device, and steering device |
| CN111391916B (en)* | 2020-03-27 | 2021-05-28 | 南京航空航天大学 | Auxiliary Control Strategy of Steer-by-Wire System Considering Driver's Steering Characteristics |
| CN111391916A (en)* | 2020-03-27 | 2020-07-10 | 南京航空航天大学 | Auxiliary Control Strategy of Steer-by-Wire System Considering Driver's Steering Characteristics |
| CN111703417A (en)* | 2020-06-24 | 2020-09-25 | 湖北汽车工业学院 | A kind of high and low speed unified preview synovial driving control method and control system |
| CN111703417B (en)* | 2020-06-24 | 2023-09-05 | 湖北汽车工业学院 | High-low speed unified pre-aiming sliding film driving control method and control system |
| Publication number | Publication date |
|---|---|
| CN103640622B (en) | 2016-01-20 |
| Publication | Publication Date | Title |
|---|---|---|
| CN103640622B (en) | A kind of automobile steering intelligent control method based on pilot model and control system | |
| Yang et al. | A dynamic lane-changing trajectory planning model for automated vehicles | |
| Ni et al. | Envelope control for four-wheel independently actuated autonomous ground vehicle through AFS/DYC integrated control | |
| CN106926844B (en) | A kind of dynamic auto driving lane-change method for planning track based on real time environment information | |
| CN101837781B (en) | Model-Based Predictive Control of Control Systems for Automatic Lane Alignment or Lane Changing | |
| CN107380161B (en) | A kind of active steering control device for aiding in driver to realize desired ride track | |
| CN107015477B (en) | Vehicle Path Tracking H∞ Control Method Based on State Feedback | |
| CN110286681B (en) | Dynamic automatic driving track-changing planning method for curvature-variable curve | |
| CN104176054B (en) | A kind of vehicle active anti-collision automatic lane change control system and its working method | |
| CN111016893B (en) | An adaptive cruise control system and control method for intelligent vehicle extension game lane keeping in congested environment | |
| CN107315411A (en) | A kind of lane-change method for planning track based on automatic driving vehicle under collaborative truck | |
| CN105835889B (en) | A kind of method of estimation of the vehicle centroid side drift angle based on Second Order Sliding Mode observer | |
| CN105691388A (en) | Vehicle collision avoidance system and track planning method thereof | |
| CN104732066B (en) | The modeling method of vehicle behavior temporal-spatial evolution and its application under path constraints | |
| CN104590253B (en) | A kind of yaw velocity control method of four motorized wheels electric automobile | |
| CN108052100A (en) | A kind of intelligent network connection control system of electric automobile and its control method | |
| CN107358679A (en) | A kind of method of estimation of the vehicle centroid side drift angle based on new Fuzzy Observer | |
| CN114889625A (en) | Establishment method of vehicle following model at road curve based on safety potential field theory | |
| CN113009829A (en) | Longitudinal and transverse coupling control method for intelligent internet motorcade | |
| CN106503398A (en) | A kind of highway alignment safety evaluation methodology based on vehicle dynamics simulation and accident tree | |
| Ying et al. | A sliding mode control approach to longitudinal control of vehicles in a platoon | |
| CN108508899A (en) | A kind of automatic driving vehicle Trajectory Tracking Control driving system | |
| Domina et al. | Comparison of path following controllers for autonomous vehicles | |
| Yue et al. | Automated hazard escaping trajectory planning/tracking control framework for vehicles subject to tire blowout on expressway | |
| CN109001976B (en) | Double-path cooperative extension transverse control method for automatic driving vehicle |
| Date | Code | Title | Description |
|---|---|---|---|
| PB01 | Publication | ||
| PB01 | Publication | ||
| C10 | Entry into substantive examination | ||
| SE01 | Entry into force of request for substantive examination | ||
| C14 | Grant of patent or utility model | ||
| GR01 | Patent grant | ||
| CF01 | Termination of patent right due to non-payment of annual fee | ||
| CF01 | Termination of patent right due to non-payment of annual fee | Granted publication date:20160120 Termination date:20171113 |