Movatterモバイル変換


[0]ホーム

URL:


CN103490410A - Micro-grid planning and capacity allocation method based on multi-objective optimization - Google Patents

Micro-grid planning and capacity allocation method based on multi-objective optimization
Download PDF

Info

Publication number
CN103490410A
CN103490410ACN201310393296.3ACN201310393296ACN103490410ACN 103490410 ACN103490410 ACN 103490410ACN 201310393296 ACN201310393296 ACN 201310393296ACN 103490410 ACN103490410 ACN 103490410A
Authority
CN
China
Prior art keywords
power
microgrid
formula
constraints
grid
Prior art date
Legal status (The legal status is an assumption and is not a legal conclusion. Google has not performed a legal analysis and makes no representation as to the accuracy of the status listed.)
Granted
Application number
CN201310393296.3A
Other languages
Chinese (zh)
Other versions
CN103490410B (en
Inventor
牛涛
窦晓波
钱康
吴在军
赵继超
胡敏强
王作民
刘述军
孙纯军
宗柳
刘代刚
许文超
王震泉
甄宏宁
李桃
Current Assignee (The listed assignees may be inaccurate. Google has not performed a legal analysis and makes no representation or warranty as to the accuracy of the list.)
Southeast University
China Energy Engineering Group Jiangsu Power Design Institute Co Ltd
Original Assignee
Southeast University
Jiangsu Electric Power Design Institute
Priority date (The priority date is an assumption and is not a legal conclusion. Google has not performed a legal analysis and makes no representation as to the accuracy of the date listed.)
Filing date
Publication date
Application filed by Southeast University, Jiangsu Electric Power Design InstitutefiledCriticalSoutheast University
Priority to CN201310393296.3ApriorityCriticalpatent/CN103490410B/en
Publication of CN103490410ApublicationCriticalpatent/CN103490410A/en
Application grantedgrantedCritical
Publication of CN103490410BpublicationCriticalpatent/CN103490410B/en
Activelegal-statusCriticalCurrent
Anticipated expirationlegal-statusCritical

Links

Images

Landscapes

Abstract

The invention discloses a micro-grid planning and capacity allocation method based on multi-objective optimization. The method is characterized in that the method comprises the steps of (1) setting the operation mode of a micro-grid, wherein the operation mode of the micro-grid comprises an independent mode and a grid-connected mode; (2) inputting basic data which comprise the system condition, electrovalence parameters, load parameters, photovoltaic parameters, wind electricity parameters and storage battery parameters; (3) pre-processing the basic data; (4) optimizing a distributed power supply and an energy storage system. According to the micro-grid planning and capacity allocation method, distributed power supply capacity and energy storage system capacity in micro-grid planning can be solved jointly, and optimizing allocation can be carried out at the same time.

Description

A kind of micro-Electric Power Network Planning and capacity collocation method based on multiple-objection optimization
Technical field
The present invention relates to a kind of micro-Electric Power Network Planning and capacity collocation method, belong to micro-electric power network technique field.
Background technology
The proposition of micro-electric power network technique and distributed power generation (Distributed Generation, DG) application of technology is closely related with development, with the conventional power source that relies on the remote conveying distribution, compare, distributed generation technology has the energy form variation, efficiency of energy utilization is high and many-sided advantage such as environmental friendliness.Distributed generation system infield characteristics flexible, that disperse have adapted to dispersion electricity needs and resource distribution admirably, delayed the required huge investment that upgrades of defeated, power distribution network, simultaneously, it and large the electrical network standby power supply reliability that also makes each other are improved, and efficiently solve many potential problems of large-scale centralized electrical network.Yet also there are problems in distributed generation system access electrical network, and as high as distributed power source unit cost of access, control is difficult etc.
For coordinating the contradiction of electrical network and distributed power source, solving a large amount of positions disperses, various informative, the simple grid-connected impact that electrical network and user are caused of the different distributed power source of characteristic, reduce its access to the quality of power supply, system protection, the adverse effect that system operation etc. brings, fully excavating distributed power source is value and the benefit that electrical network and user bring, R.H.Lasseter delivered Microgrids mono-literary composition in 2002 on IEEE Power Engineering Society Winter Meeting, the concept of micro-electrical network has been proposed first, and provided the frame structure of micro-electrical network.Micro-electrical network is from systematic point of view, and distributed power source, load, energy storage device and control device etc. are integrated, forms a controlled unit, simultaneously to user's supply of electrical energy and heat energy.Both can with the operation of large grid network, in the time of also can or needing at electric network fault with major network disconnection isolated operation.The contradiction between large electrical network and distributed power source has effectively been coordinated in the proposition of micro-electrical network concept, and fully having excavated distributed energy is value and the benefit that electrical network and user bring.
The diversity of distributed power source and the uncertainty of exerting oneself thereof, make planning and the capacity configuration problem of micro-electrical network very complicated, and the capacity configuration of distributed power source and energy-storage system is subject to the impact of many-sided conditions such as available energy resources (wind energy, solar energy etc.), load importance, power supply reliability, renewable energy utilization rate and economy.Therefore, how to realize in micro-electrical network that it is the problem that need solve in micro-Electric Power Network Planning that the capacity of distributed power source and energy-storage system is distributed rationally.
Retrieval to existing documents and materials and patent description is found, the paper that the people such as Xiao Jun deliver " micro-Study on Power Grid Planning method and software " (the 32nd the 25th phase of volume of Proceedings of the CSEE) has been realized the distributed power source of independent micro-electrical network and the micro-electrical network of grid type and the capacity collocation method of energy-storage system, and has developed a set of micro-Study on Power Grid Planning software; The paper that the people such as Chen Jian deliver " considering the micro-network optimization configuration of self of different control strategies " (Automation of Electric Systems the 37th volume o. 11th) has been set up the micro-network optimization allocation models of self wind-solar-diesel storage based on different control strategies, take power supply economics and the feature of environmental protection as optimization aim, seek the capacity configuration scheme under Optimal Control Strategy; The paper that the people such as Liu Mengxuan deliver " based on the micro-network optimization method for designing of multiobject independence " (the 36th the 17th phase of volume of Automation of Electric Systems) is for the independent micro-electrical network of wind-solar-diesel storage, proposed to consider the multi-objective optimization design of power model of life cycle management net charge, renewable energy utilization rate and pollutant emission level, realized the capacity configuration of distributed power source and energy-storage system under set control strategy; The paper that the people such as Ma Xiyuan deliver " adopt to improve bacterium look for food the wind/light of algorithm/storage mix micro-electric network source and distribute rationally " (the 31st the 25th phase of volume of Proceedings of the CSEE) has proposed to improve bacterium and has looked for food algorithm in the application of the capacity configuration of distributed power source and energy-storage system, has realized the economy configured.
According to the introduction of above-mentioned technical background, existing article stresses respectively different angles and carries out theoretical research, has obtained a series of achievement in research, but still in various degree have a following problem:
(1) existing micro-Electric Power Network Planning and capacity collocation method are often distributed the distributed power source capacity with energy storage system capacity rationally and are distributed rationally as two and independently optimize computational process.
When carrying out the optimization of distributed power source capacity, energy storage system capacity configures as known conditions; When carrying out energy storage system capacity optimization, the distributed power source capacity is as known conditions.Such computational methods, simplified the control strategy of micro-electrical network in the whole year operation simulation process on the impact of distributed power source and energy storage device, economic benefit that the energy storage device peak load shifting brings, energy storage device whole year discharge and recharge number of times, distributed power source is abandoned wind and is abandoned the situations such as light.Therefore, the optimization of distributed power source capacity and energy storage system capacity optimization independently being optimized to computational process as two, may to cause result of calculation be not optimal solution.
(2) existing micro-Electric Power Network Planning and capacity collocation method are mostly for independent micro-electrical network, to the research of the micro-electrical network of grid type seldom, in the document of the micro-electrical network of a few studies grid type, do not consider the receiving ability of outside large electrical network to distributed power source capacity in micro-electrical network yet.
Existing document great majority are planning and capacity configuration problems of the independent micro-electrical network of research, and in this case, micro-electrical network does not have Power Exchange with the interconnection of outside large electrical network, has simplified simulation model.
The planning of the micro-electrical network of existing a few studies grid type and the document of capacity configuration problem, also simplified the receiving ability of outside large electrical network to distributed power source capacity in micro-electrical network.
(3) existing micro-Electric Power Network Planning and capacity collocation method majority stress simple target optimization, and, using other condition as constraint, finally obtain one group of optimal solution.
Existing document majority has stronger specific aim, for micro-electrical network or certain ad hoc hypothesis condition of certain structure, as need calculate other micro-electric network composition or revise assumed condition, needs corresponding adjustment algorithm.Therefore, there is to a certain extent limitation.
(4) existing micro-Electric Power Network Planning and capacity collocation method research lay particular emphasis on algorithm and theoretical research, are difficult to directly apply to engineering reality.
Summary of the invention
Technical problem to be solved by this invention is: the method for proposition, can consider at the same time to be optimized configuration in the distributed power source capacity in micro-Electric Power Network Planning and energy storage system capacity situation, being combined and solve simultaneously; Independent micro-Electric Power Network Planning and capacity configuration problem both can have been solved, also can solve planning and the capacity configuration problem of the micro-electrical network of grid type, and in the planning and capacity collocation method of the micro-electrical network of grid type, the computational methods of the large electrical network of actual engineering design peripheral to the receiving ability of distributed power source capacity in micro-electrical network have been provided in detail, more incorporation engineering reality; Adopt multiple constraint, multiobject algorithm, can obtain the many groups optimal solution under different condition, for designer's reference; Method of the present invention is to propose on the basis of the wind-powered electricity generation through a large amount of, photovoltaic distributed power station and connecting system design thereof, focuses on engineer's design experiences, and incorporation engineering reality, can be used as aid decision-making system and carry out actual engineering design more.
For solving the problems of the technologies described above, the invention provides a kind of micro-Electric Power Network Planning and capacity collocation method based on multiple-objection optimization, it is characterized in that, comprise the following steps:
One) set micro-operation of power networks pattern: the operational mode of micro-electrical network comprises independent micro-electrical network and the micro-electrical network of grid type;
Two) basic data input: the basic data input comprises system condition, electric price parameter, load parameter, photovoltaic parameter, wind-powered electricity generation parameter and accumulator parameter;
Micro-Electric Power Network Planning and capacity collocation method based on multiple-objection optimization according to claim 1, it is characterized in that: described basic data specifically comprises:
(1) system condition input: only for the micro-electrical network of grid type, comprise the grid-connected electric pressure of micro-electrical network, upper level transformer capacity, interconnection wire type and length, PCC point capacity of short circuit;
(2) electric price parameter input: for independent micro-electrical network, the electric price parameter stoichiometric point is arranged on distributed power station outlet side, and the electric price parameter input comprises all kinds distributed power source generating electricity price; For the micro-electrical network of grid type, be divided into two kinds of electricity price metering methods according to micro-power grid operation pattern, being respectively stoichiometric point is arranged on the interconnection that distributed power station outlet side and stoichiometric point be arranged on micro-electrical network and outside large electrical network, electric price parameter is input as purchase electricity price and sale of electricity electricity price, comprises simultaneously and distinguishes time-of-use tariffs and do not distinguish time-of-use tariffs;
(3) load parameter input: the power and the average short trouble time of electrical network that comprise annual load, sensitive load;
(4) photovoltaic parameter input: the electric parameter, cost parameter, capacity limit and the light resources parameter that comprise photovoltaic module;
(5) wind-powered electricity generation parameter input: the electric parameter, cost parameter, capacity limit and the wind-resources parameter that comprise blower fan;
(6) accumulator parameter input: the electric parameter and the cost parameter that comprise storage battery;
(7) other parameter input, comprise maximum Load Probability, minimum renewable energy utilization rate, the standard year interest rate of losing,
Wherein:
Figure BDA0000375157140000051
Three) basic data preliminary treatment:
(1) system restriction condition:
For the micro-electrical network of grid type:
1) interconnection transmission power limit constraint, the grid-connected circuit that interconnection is the outside large electrical network of micro-electrical network access:
P-Plmin<Plinemaxformula (1)
In formula, the active power sum that P is various distributed power sources in micro-electrical network, Plminfor load minimum power, Plinemaxfor interconnection limit transmission power, wherein, interconnection limit transmission power Plinemaxby the interconnection wire type, determined;
2) PCC point short circuit current retrains with the ratio of micro-interconnecting ties maximum normal current:
IkIe&GreaterEqual;10Formula (2)
In formula, Ikfor system PCC point short circuit current, Ierated current sum for various distributed power sources in micro-electrical network; Wherein, PCC point short circuit current is calculated by capacity of short circuit;
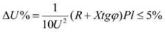
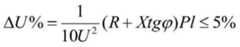
3) voltage loss of transmission line constraint:
Figure BDA0000375157140000061
formula (3)
In formula, the voltage loss that Δ U% is transmission line, U is grid-connected voltage, R, X are respectively resistance and the reactance of interconnection,
Figure BDA0000375157140000062
for photovoltaic plant output voltage and current and phase difference, power factor is got the active power sum that 0.98, P is various distributed power sources in micro-electrical network, and l is interconnection length;
4) voltage fluctuation constraint:
Udmax%=PR+QXU&times;100%&le;Ud_limite%Formula (4)
In formula, Udmax% is the voltage fluctuation that microgrid causes at the PCC point, the active power sum that P is various distributed power sources in micro-electrical network, and the reactive power sum that Q is various distributed power sources in micro-electrical network, R, X are respectively resistance and the reactance of interconnection, and U is grid-connected voltage, Ud_limite% is the voltage fluctuation limit value that PCC is ordered;
(2) an operation year photovoltaic power curve, year blower fan power curve of going into operation:
Photovoltaic power curve, the mathematics model of stable state of year blower fan power curve according to light resources, wind-resources situation and photovoltaic, blower fan of going into operation, by wind-power transfer, light-power transfer, calculated, relevant achievement in research is more, belong to prior art, the paper " photovoltaic cell Utility Simulation Model and photovoltaic generating system emulation " (electric power network technique the 34th volume o. 11th) of delivering as people such as Jiao Yang; The paper that the people such as Chen Jie deliver " speed change is determined the full blast speed power of blade wind power generation unit and controlled " (the 32nd the 30th phase of volume of Proceedings of the CSEE);
(3) storage battery preliminary treatment:
1) input electric price parameter and load data;
2) if in the input data, sensitive load power and the numerical value of average short trouble time of electrical network are arranged,, for ensureing the reliable power supply of sensitive load, battery capacity is retrained:
Battery capacity=the sensitive load of guarantee sensitive load * average short trouble time type of electrical network (5)
3) if there are time-of-use tariffs in purchase electricity price or sale of electricity electricity price, storage battery plays the effect of peak load shifting:
Wherein, Л is coefficient of colligation to unit stored energy capacitance peak load shifting economic benefit=unit capacity * (peak electricity price-paddy electricity price) * 365 * Л formula (6);
4) enter distributed power source after the storage battery preliminary treatment and the energy-storage system optimization system is optimized;
Four) distributed power source and energy-storage system optimization: set up Optimized model, by optimized algorithm, solved, Optimized model comprises target function and constraints, and constraints comprises system restriction, storage battery constraint, reliability constraint and the constraint of renewable energy utilization rate
(1) target function:
Selecting micro-electrical network total cost minimum is target function, and its expression formula is:
Minf=min (Cc+ CoM-Cgs+ Cgp) formula (7)
In formula, f is target function, Ccfor the initial outlay cost of micro-electrical network, CoMfor operation maintenance and the displacement total cost present worth of system, Cgsfor the total revenue present worth of micro-electrical network large electrical network sale of electricity to outside, Cgpfor power purchase total cost present worth;
(2) storage battery constraint:
The state-of-charge of storage battery need meet:
SOCmin≤SOC≤SOCmax (8)
In formula, SoCfor state-of-charge, SoCmin, SoCmaxbe respectively lower limit, the upper limit of storage battery charge state,
The charge rate of storage battery, discharge rate constraint need to meet:
rch&le;rchmaxrdch&le;rdchmax---(9)
In formula, rch, rdchbe respectively charge rate, the discharge rate of storage battery; rchmax, rdchmaxbe respectively charge rate restriction and discharge rate restriction;
The charging and discharging currents constraint of storage battery needs to meet:
Ich&le;IchmaxIdch&le;Idchmax---(10)
In formula, Ich, Idchbe respectively charging current, the discharging current of storage battery; Ichmax, Idchmaxbe respectively charge-current limit and discharging current restriction;
The the discharging and recharging power and need meet of storage battery:
0&le;Pch&le;Pchmax0&le;Pdch&le;Pdchmax---(11)
In formula, Pch, Pdchbe respectively charge power, the discharge power of storage battery; Pchmax, Pdchmaxbe respectively the charge power upper limit, the discharge power upper limit;
Within a dispatching cycle, the charge and discharge cycles number of times of storage battery meets:
NC≤NCmax (12)
In formula, Ncfor the charge and discharge cycles number of times of storage battery, Ncmaxfor the accumulator cell charging and discharging cycle-index upper limit;
(3) system restriction: system restriction refers to the receiving ability of outside large electrical network to micro-electrical network distributed power source, comprise voltage loss constraint and the voltage fluctuation constraint of the constraint of the interconnection transmission power limit, short-circuit current ratio constraint, transmission line, particular content and step 3) in the pretreated system restriction condition of basic data identical, formula (1)~formula (4) has formed system restriction;
(4) reliability constraint: adopt the mistake Load Probability of micro-electrical network as the reliability constraint index, for independent micro-electrical network, when the power supply capacity of distributed power source and energy storage can not meet all workload demands, for ensureing micro-power network safety operation, allow the non-sensitive load of cut-out
fLPSP≤λmax (13)
In formula, flPSPfor the mistake Load Probability of load, λmaxfor the maximum in initial conditions is lost Load Probability,
FlPSPby following formula, calculated:
fLPSP=&Sigma;i=1T[PLPSP(ti)&times;&Delta;t]&Sigma;i=1T[PL(ti)&times;&Delta;t]---(14)
In formula, PlPSP(ti), Pl(ti) be respectively timistake load power constantly and whole load power, Δ t, for calculating step-length, generally gets one hour; T, for optimizing the time of calculating, generally gets 8760 hours 1 year; tibe i hour, flPSPless, mean that the power supply reliability of micro-electrical network is higher;
(5) renewable energy utilization rate constraint: the renewable energy utilization rate refers to that renewable energy power generation amount in micro-electrical network accounts for the ratio of the whole power consumptions of load, wherein to deduct and abandon the energy output that wind is abandoned light,
η≥ηmin (15)
In formula, η is the renewable energy utilization rate, ηminfor renewable energy utilization rate limit value in initial conditions,
η is calculated by following formula:
&eta;=1-&Sigma;i=1T[Pwaste(ti)&times;&Delta;t]&Sigma;i=1T[PL(ti)&times;&Delta;t]---(16)
In formula, Pwaste(ti), Pl(ti) be respectively tithe wind of abandoning is constantly abandoned luminous power and whole load power, and η is larger, means that the renewable energy utilization rate of micro-electrical network is higher;
(6) optimize: according to the Optimized model of setting up, adopt genetic algorithm to be optimized.
Beneficial effect that the present invention reaches:
The method that the present invention proposes, can be combined and be solved the distributed power source capacity in micro-Electric Power Network Planning and energy storage system capacity, is optimized configuration simultaneously; Independent micro-Electric Power Network Planning and capacity configuration problem both can have been solved, also can solve planning and the capacity configuration problem of the micro-electrical network of grid type, in the planning and capacity collocation method of the micro-electrical network of grid type, the computational methods of the large electrical network of actual engineering design peripheral to the receiving ability of distributed power source capacity in micro-electrical network have been provided in detail, more incorporation engineering reality; Adopt multiple constraint, multiobject algorithm, can obtain the many groups optimal solution under different condition, for designer's reference; Method of the present invention is to propose on the basis of the wind-powered electricity generation through a large amount of, photovoltaic distributed power station and connecting system design thereof, and incorporation engineering reality, can be used as aid decision-making system and carry out actual engineering design more.
The accompanying drawing explanation
Fig. 1 is micro-Electric Power Network Planning and the capacity configuration flow chart based on multiple-objection optimization;
Fig. 2 is basic data and the input/output relation figure of input;
Fig. 3 is the storage battery pretreatment process.
Embodiment
Micro-Electric Power Network Planning based on multiple-objection optimization and the signal of the flow process of capacity configuration are as shown in Figure 1.Mainly comprise the steps such as scheme of setting micro-operation of power networks pattern, basic data input, basic data preliminary treatment, distributed power source and energy-storage system optimization, the result that is optimized, the comparison of scheme economic technology, obtaining final satisfaction.
Below will introduce in detail the micro-Electric Power Network Planning shown in Fig. 1 and the flow process of capacity configuration.
The first step: set micro-operation of power networks pattern: the operational mode of micro-electrical network is divided into independent micro-electrical network and the large class of the micro-electrical network two of grid type.
Second step: basic data input: the basic data input comprises system condition, electric price parameter, load parameter, photovoltaic parameter, wind-powered electricity generation parameter, accumulator parameter, 7 parts of other parameter, and the basic data of input and the relation between input and output are as shown in Figure 2.
Wherein:
(1) system condition input, only for the micro-electrical network of grid type, comprise the grid-connected electric pressure of micro-electrical network, upper level transformer capacity, interconnection wire type and length, PCC point capacity of short circuit.
(2) electric price parameter input, for independent micro-electrical network, stoichiometric point is arranged on distributed power station outlet side, and input comprises all kinds distributed power source generating electricity price; For the micro-electrical network of grid type, according to micro-power grid operation pattern, be divided into two kinds of electricity price metering methods, being respectively stoichiometric point is arranged on the interconnection that distributed power station outlet side and stoichiometric point be arranged on micro-electrical network and outside large electrical network, be input as purchase electricity price and sale of electricity electricity price, simultaneously can the selective discrimination time-of-use tariffs and do not distinguish time-of-use tariffs.
(3) load parameter input, comprise power and the average short trouble time of electrical network of annual load (minute hour), sensitive load.
(4) photovoltaic parameter is inputted, and comprises electric parameter, cost parameter, capacity limit, the light resources situation of photovoltaic module.
(5) the wind-powered electricity generation parameter is inputted, and comprises electric parameter, cost parameter, capacity limit, the wind-resources situation of blower fan.
(6) accumulator parameter is inputted, and comprises electric parameter and the cost parameter of storage battery.
(7) other parameter input, comprise maximum Load Probability, minimum renewable energy utilization rate, the standard year interest rate of losing.
Wherein:
Figure BDA0000375157140000111
The 3rd step: basic data preliminary treatment:
(1) system restriction condition: for the micro-electrical network of grid type, the present invention has considered the receiving ability of outside large electrical network to micro-electrical network distributed power source first, from the following aspects, has proposed constraint:
1) interconnection (the grid-connected circuit of the outside large electrical network of micro-electrical network access) transmission power limit constraint
P-PLmin<Plinemax (1)
In formula, the active power sum that P is various distributed power sources in micro-electrical network, Plminfor load minimum power, Plinemaxfor interconnection limit transmission power.Wherein, interconnection limit transmission power Plinemaxby the interconnection wire type, determined.
2) PCC(Point of Conmen Coupling, points of common connection) the ratio constraint of some short circuit current and micro-interconnecting ties maximum normal current
IkIe&GreaterEqual;10---(2)
In formula, Ikfor system PCC point short circuit current, Ierated current sum for various distributed power sources in micro-electrical network.Wherein, PCC point short circuit current can be calculated by capacity of short circuit.
3) voltage loss of transmission line constraint
Figure BDA0000375157140000121
In formula, the voltage loss that Δ U% is transmission line, U is grid-connected voltage, R, X are respectively resistance and the reactance of interconnection,
Figure BDA0000375157140000122
for photovoltaic plant output voltage and current and phase difference, power factor is got the active power sum that 0.98, P is various distributed power sources in micro-electrical network, and l is interconnection length.
4) voltage fluctuation constraint
Udmax%=PR+QXU&times;100%&le;Ud_limite%---(4)
In formula, Udmax% is the voltage fluctuation that microgrid causes at the PCC point, the active power sum that P is various distributed power sources in micro-electrical network, and the reactive power sum that Q is various distributed power sources in micro-electrical network, R, X are respectively resistance and the reactance of interconnection, and U is grid-connected voltage, Ud_limite% is the voltage fluctuation limit value that PCC is ordered.
(2) an operation year photovoltaic power curve, year blower fan power curve of going into operation
The power curve of photovoltaic, blower fan can be calculated by wind-power transfer, light-power transfer according to the mathematics model of stable state of light resources, wind-resources situation and photovoltaic, blower fan, and relevant achievement in research is more, repeats no more herein.
(3) storage battery preliminary treatment
1) if in the input data, sensitive load power and the numerical value of average short trouble time of electrical network are arranged,, for ensureing the reliable power supply of sensitive load, need be retrained battery capacity:
Battery capacity=the sensitive load of guarantee sensitive load * average short trouble time of electrical network (5)
Wherein, ensure that the battery capacity unit of sensitive load is kilowatt hour (kWh), sensitive load unit is kilowatt (kW), and the average short trouble of electrical network chronomere is hour (h).
2) if there are time-of-use tariffs in purchase electricity price or sale of electricity electricity price, storage battery can play the effect of peak load shifting, has certain economic benefit, unit stored energy capacitance peak load shifting economic benefit:
Unit stored energy capacitance peak load shifting economic benefit=unit capacity * (peak electricity price-paddy electricity price) * 365 * Л (6)
Wherein: stored energy capacitance peak load shifting economic benefit unit of unit is unit/year, unit capacity unit is kilowatt hour (kWh), electricity price unit is unit/kWh, and Л is coefficient of colligation, and this coefficient has considered that efficiency for charge-discharge, charge/discharge capacity of storage battery account for the factors such as percentage of total capacity.
The pretreated flow process of storage battery refers to Fig. 3, enters distributed power source and energy-storage system Optimization Steps after the storage battery preliminary treatment.
The 4th step: distributed power source and energy-storage system optimization
Distributed power source and energy storage system capacity allocation problem, be an optimization problem, can set up Optimized model, by optimized algorithm, solved.Optimized model is comprised of target function and constraints, and the model constrained condition that wherein the present invention proposes comprises system restriction, storage battery constraint, reliability constraint, the constraint of renewable energy utilization rate.
(1) target function: selecting micro-electrical network total cost minimum is target function, and its expression formula is:
minf=min(Cc+COM-Cgs+Cgp) (7)
In formula, f is target function, Ccfor the initial outlay cost of micro-electrical network, CoMfor operation maintenance and the displacement total cost present worth of system, Cgsfor the total revenue present worth of micro-electrical network large electrical network sale of electricity to outside, Cgpfor power purchase total cost present worth.Wherein, if electricity price is distinguished time-of-use tariffs, in the situation that configured storage battery in micro-electrical network, in the calculating of sale of electricity cost and power purchase cost, should consider the economic benefit of peak load shifting, specifically referring to Fig. 3.
(2) storage battery constraint: for making storage battery safety stable operation, and guarantee its useful life, need in the microgrid planning and designing discharging and recharging of storage battery in the system running made to strict restriction.
The state-of-charge of storage battery (state of charge, SOC) needs to meet:
SOCmin≤SOC≤SOCmax (8)
In formula, SoCfor state-of-charge, SoCmin, SoCmaxbe respectively lower limit, the upper limit of storage battery charge state.
The charge rate of storage battery, discharge rate constraint need to meet:
rch&le;rchmaxrdch&le;rdchmax---(9)
In formula, rch, rdchbe respectively charge rate, the discharge rate of storage battery; rchmax, rdchmaxbe respectively charge rate restriction and discharge rate restriction.
The charging and discharging currents constraint of storage battery needs to meet:
Ich&le;IchmaxIdch&le;Idchmax---(10)
In formula, Ich, Idchbe respectively charging current, the discharging current of storage battery; Ichmax, Idchmaxbe respectively charge-current limit and discharging current restriction.
The the discharging and recharging power and need meet of storage battery:
0&le;Pch&le;Pchmax0&le;Pdch&le;Pdchmax---(11)
In formula, Pch, Pdchbe respectively charge power, the discharge power of storage battery; Pchmax, Pdchmaxbe respectively the charge power upper limit, the discharge power upper limit.
Within a dispatching cycle, the charge and discharge cycles number of times of storage battery need meet:
NC≤NCmax (12)
In formula, Ncfor the charge and discharge cycles number of times of storage battery, Ncmaxfor the accumulator cell charging and discharging cycle-index upper limit.Formula (8)~formula (12) has formed the storage battery constraint.
(3) system restriction: system restriction refers to the receiving ability of outside large electrical network to micro-electrical network distributed power source, comprises voltage loss constraint and the voltage fluctuation constraint of the constraint of the interconnection transmission power limit, short-circuit current ratio constraint, transmission line.Specifically refer to the 3rd step, the pretreated system restriction condition part of basic data content, formula (1)~formula (4) has formed system restriction.
(4) reliability constraint: adopt the mistake Load Probability of micro-electrical network as the reliability constraint index.For independent micro-electrical network, when the power supply capacity of distributed power source and energy storage can not meet all workload demands, for ensureing micro-power network safety operation, allow the non-sensitive load of cut-out (common load).
fLPSP≤λmax (13)
In formula, flPSPfor the mistake Load Probability of load, λmaxfor the maximum in initial conditions is lost Load Probability.
FlPSPcan be calculated by following formula:
fLPSP=&Sigma;i=1T[PLPSP(ti)&times;&Delta;t]&Sigma;i=1T[PL(ti)&times;&Delta;t]---(14)
In formula, PlPSP(ti), Pl(ti) be respectively timistake load power constantly and whole load power, flPSPless, mean that the power supply reliability of micro-electrical network is higher.
(5) renewable energy utilization rate constraint: the renewable energy utilization rate refers to that renewable energy power generation amount in micro-electrical network accounts for the ratio of the whole power consumptions of load, wherein will deduct and abandon the energy output that wind is abandoned light.
η≥ηmin (15)
In formula, η is the renewable energy utilization rate, ηminfor renewable energy utilization rate limit value in initial conditions.
η can be calculated by following formula:
&eta;=1-&Sigma;i=1T[Pwaste(ti)&times;&Delta;t]&Sigma;i=1T[PL(ti)&times;&Delta;t]---(16)
In formula, Pwaste(ti), Pl(ti) be respectively tithe wind of abandoning is constantly abandoned luminous power and whole load power, and η is larger, means that the renewable energy utilization rate of micro-electrical network is higher.
(6) optimized algorithm: the Optimized model according to above setting up can adopt intelligent algorithm to be optimized.Optimized algorithm of the present invention adopts the genetic algorithm of current extensive use, and relevant achievement in research is more, repeats no more herein.
The 5th step: optimum results, the optimal solution calculated by optimized algorithm, comprise that installed capacity, the configuration capacity of energy-storage system, rate of return on investment, the reality of distributed power source is lost Load Probability.
Further, can also carry out the scheme economic technology and comprehensively compare, after the result that is optimized, engineers and technicians can be according to the engineering actual conditions, in conjunction with individual design experiences, revise certain (or some) condition, then re-start to optimize and calculate.The condition that can revise has certain distributed power source installed capacity, energy-storage system configuration capacity, maximum Load Probability, the renewable energy utilization rate limit value etc. of losing, and finally can obtain satisfied scheme.
Above demonstration and described basic principle of the present invention and principal character and advantage of the present invention.The technical staff of the industry should understand; the present invention is not restricted to the described embodiments; that in above-described embodiment and specification, describes just illustrates principle of the present invention; without departing from the spirit and scope of the present invention; the present invention also has various changes and modifications, and these changes and improvements all fall in the claimed scope of the invention.The claimed scope of the present invention is defined by appending claims and equivalent thereof.

Claims (2)

Translated fromChinese
1.一种基于多目标优化的微电网规划和容量配置方法,其特征在于,包括以下步骤:1. A micro-grid planning and capacity allocation method based on multi-objective optimization, characterized in that, comprising the following steps:一)设定微电网运行模式:微电网的运行模式包括独立微电网和并网型微电网;1) Setting the operation mode of the microgrid: the operation mode of the microgrid includes an independent microgrid and a grid-connected microgrid;二)基础数据输入:基础数据输入包括系统条件、电价参数、负荷参数、光伏参数、风电参数和蓄电池参数;2) Basic data input: Basic data input includes system conditions, electricity price parameters, load parameters, photovoltaic parameters, wind power parameters and storage battery parameters;三)基础数据预处理:3) Basic data preprocessing:(1)系统约束条件:(1) System constraints:对于并网型微电网:For grid-connected microgrids:1)联络线输送功率极限约束,联络线为微电网接入外部大电网的并网线路:1) Tie line transmission power limit constraint, tie line is the grid-connected line connecting the microgrid to the external large power grid:P-PLmin<Plinemax  式(1)PPLmin < Plinemax formula (1)式中,P为微电网内各种分布式电源的有功功率之和,PLmin为负荷最小功率,Plinemax为联络线极限输送功率,其中,联络线极限输送功率Plinemax由联络线导线型号决定;In the formula, P is the sum of the active power of various distributed power sources in the microgrid, PLmin is the minimum power of the load, and Plinemax is the limit transmission power of the tie line, where the limit transmission power Plinemax of the tie line is determined by the type of the tie line conductor ;2)PCC点短路电流与微电网联络线最大正常电流之比约束:2) Constraints on the ratio of the short-circuit current at PCC point to the maximum normal current of the tie-line of the microgrid:IkIe&GreaterEqual;10  式(2)I k I e &Greater Equal; 10 Formula (2)式中,Ik为系统PCC点短路电流,Ie为微电网内各种分布式电源的额定电流之和;其中,PCC点短路电流由短路容量计算得到;In the formula, Ik is the short-circuit current at the PCC point of the system, and Ie is the sum of the rated currents of various distributed power sources in the microgrid; among them, the short-circuit current at the PCC point is calculated from the short-circuit capacity;3)输电线路的电压损耗约束:3) Voltage loss constraints of transmission lines:
Figure FDA0000375157130000012
  式(3)
Figure FDA0000375157130000012
Formula (3)式中,ΔU%为输电线路的电压损耗,U为并网电压,R、X分别为联络线的电阻和电抗,
Figure FDA0000375157130000021
为光伏电站输出电压和电流相位差,功率因数取0.98,P为微电网内各种分布式电源的有功功率之和,l为联络线长度;
In the formula, ΔU% is the voltage loss of the transmission line, U is the grid-connected voltage, R and X are the resistance and reactance of the tie line, respectively,
Figure FDA0000375157130000021
is the phase difference between the output voltage and current of the photovoltaic power station, the power factor is 0.98, P is the sum of the active power of various distributed power sources in the microgrid, and l is the length of the tie line;
4)电压波动约束:4) Voltage fluctuation constraints:Udmax%=PR+QXU&times;100%&le;Ud_limite%  式(4)u d max % = PR + QX u &times; 100 % &le; u d _ limit % Formula (4)式中,Udmax%为微网在PCC点引起的电压波动,P为微电网内各种分布式电源的有功功率之和,Q为微电网内各种分布式电源的无功功率之和,R、X分别为联络线的电阻和电抗,U为并网电压,Ud_limite%为PCC点的电压波动限值;In the formula, Udmax % is the voltage fluctuation caused by the microgrid at the PCC point, P is the sum of active power of various distributed power sources in the microgrid, Q is the sum of reactive power of various distributed power sources in the microgrid, R and X are the resistance and reactance of the tie line respectively, U is the grid-connected voltage, and Ud_limit % is the voltage fluctuation limit of the PCC point;(2)投产年光伏出力曲线、投产年风机出力曲线:(2) The PV output curve of the year put into operation and the fan output curve of the year put into operation:光伏出力曲线、投产年风机出力曲线根据光资源、风资源情况以及光伏、风机的稳态数学模型,通过风-功率转换、光-功率转换进行计算;Photovoltaic output curve and annual fan output curve are calculated through wind-power conversion and light-power conversion according to the light resource, wind resource situation and the steady-state mathematical model of photovoltaic and fan;(3)蓄电池预处理:(3) Battery pretreatment:1)输入电价参数和负荷数据;1) Input electricity price parameters and load data;2)输入数据中若有敏感负荷功率和电网平均短时故障时间的数值,则为保障敏感负荷的可靠供电,对蓄电池容量进行约束:2) If there are values of sensitive load power and grid average short-term fault time in the input data, in order to ensure the reliable power supply of sensitive loads, the battery capacity is restricted:保障敏感负荷的蓄电池容量=敏感负荷×电网平均短时故障时间  式(5)Battery capacity to protect sensitive loads = sensitive loads × average short-term failure time of the power grid Formula (5)3)如果购电电价或售电电价存在峰谷电价,则蓄电池起到削峰填谷的作用:3) If there are peak and valley electricity prices in the electricity purchase price or electricity sales price, the battery will play the role of peak shaving and valley filling:单位储能容量削峰填谷经济效益=单位容量×(峰电价-谷电价)×365×Л式(6)其中,Л为综合系数;The economic benefits of peak shifting and valley filling per unit energy storage capacity = unit capacity x (peak electricity price - valley electricity price) x 365 x Л formula (6) where Л is the comprehensive coefficient;4)蓄电池预处理后进入分布式电源及储能系统优化系统进行优化;4) After the battery is pretreated, it enters the distributed power supply and energy storage system optimization system for optimization;四)分布式电源及储能系统优化:建立优化模型,通过优化算法进行求解,优化模型包括目标函数和约束条件,约束条件包括系统约束、蓄电池约束、可靠性约束和可再生能源利用率约束,4) Optimization of distributed power supply and energy storage system: establish an optimization model and solve it through an optimization algorithm. The optimization model includes objective functions and constraints. The constraints include system constraints, battery constraints, reliability constraints, and renewable energy utilization constraints.(1)目标函数:(1) Objective function:选择微电网总成本最小为目标函数,其表达式为:The minimum total cost of the microgrid is selected as the objective function, and its expression is:minf=min(Cc+COM-Cgs+Cgp)  式(7)minf=min(Cc +COM -Cgs +Cgp ) formula (7)式中,f为目标函数,Cc为微电网的初始投资成本,COM为系统的运行维护和置换总成本现值,Cgs为微电网向外部大电网售电的总收益现值,Cgp为购电总成本现值;In the formula, f is the objective function, Cc is the initial investment cost of the microgrid, COM is the present value of the total cost of operation, maintenance and replacement of the system, Cgs is the present value of the total income of the microgrid selling electricity to the external large grid, and Cgp is the present value of the total cost of electricity purchase;(2)蓄电池约束:(2) Battery constraints:蓄电池的荷电状态需满足:The state of charge of the battery must meet:SOCmin≤SOC≤SOCmax  (8)SOCmin ≤ SOC ≤ SOCmax (8)式中,SOC为荷电状态,SOCmin、SOCmax分别为蓄电池荷电状态的下限、上限,In the formula, SOC is the state of charge, SOCmin and SOCmax are the lower limit and upper limit of the battery state of charge respectively,蓄电池的充电率、放电率约束需满足:The charging rate and discharging rate constraints of the battery need to meet:rrchch&le;&le;rrchchmaxmaxrrdchdch&le;&le;rrdchdchmaxmax------((99))式中,rch、rdch分别为蓄电池的充电率、放电率;rchmax、rdchmax分别为充电率限制和放电率限制;In the formula, rch and rdch are the charge rate and discharge rate of the battery respectively; rchmax and rdchmax are the charge rate limit and discharge rate limit respectively;蓄电池的充放电电流约束需满足:The charging and discharging current constraints of the battery need to meet:IIchch&le;&le;IIchchmaxmaxIIdchdch&le;&le;IIdchdchmaxmax------((1010))式中,Ich、Idch分别为蓄电池的充电电流、放电电流;Ichmax、Idchmax分别为充电电流限制和放电电流限制;In the formula, Ich and Idch are the charge current and discharge current of the battery respectively; Ichmax and Idchmax are the charge current limit and discharge current limit respectively;蓄电池的充放电功率需满足:The charging and discharging power of the battery needs to meet:00&le;&le;PPchch&le;&le;PPchchmaxmax00&le;&le;PPdchdch&le;&le;PPdchdchmaxmax------((1111))式中,Pch、Pdch分别为蓄电池的充电功率、放电功率;Pchmax、Pdchmax分别为充电功率上限、放电功率上限;In the formula, Pch and Pdch are the charging power and discharging power of the battery respectively; Pchmax and Pdchmax are the upper limit of charging power and discharging power respectively;在一个调度周期内,蓄电池的充放电循环次数满足:In a scheduling period, the number of charge and discharge cycles of the battery satisfies:NC≤NCmax  (12)NC ≤ NCmax (12)式中,NC为蓄电池的充放电循环次数,NCmax为蓄电池充放电循环次数上限;In the formula, NC is the number of charge and discharge cycles of the battery, and NCmax is the upper limit of the number of charge and discharge cycles of the battery;(3)系统约束:系统约束指外部大电网对微电网分布式电源的接纳能力,包括联络线输送功率极限约束、短路电流比约束、输电线路的电压损耗约束和电压波动约束,具体约束条件与步骤三)中的基础数据预处理的系统约束条件相同,式(1)~式(4)构成了系统约束;(3) System constraints: system constraints refer to the ability of the external large grid to accept distributed power sources in microgrids, including tie-line transmission power limit constraints, short-circuit current ratio constraints, transmission line voltage loss constraints, and voltage fluctuation constraints. The specific constraints are related to The system constraints of basic data preprocessing in step 3) are the same, and formulas (1) to (4) constitute system constraints;(4)可靠性约束:采用微电网的失负荷概率作为可靠性约束指标,对于独立微电网,当分布式电源和储能的供电能力不能满足所有负荷需求时,为保障微电网安全稳定运行,允许切除部分非敏感负荷,(4) Reliability constraints: The load loss probability of the microgrid is used as the reliability constraint index. For an independent microgrid, when the power supply capacity of the distributed power supply and energy storage cannot meet all load requirements, in order to ensure the safe and stable operation of the microgrid, It is allowed to remove some non-sensitive loads,fLPSP≤λmax  (13)fLPSP ≤ λmax (13)式中,fLPSP为负荷的失负荷概率,λmax为输入条件中的最大失负荷概率,In the formula, fLPSP is the load loss probability of the load, λmax is the maximum load loss probability in the input conditions,fLPSP由下式计算:fLPSP is calculated by:ffLPSPLPSP==&Sigma;&Sigma;ii==11TT[[PPLPSPLPSP((ttii))&times;&times;&Delta;t&Delta;t]]&Sigma;&Sigma;ii==11TT[[PPLL((ttii))&times;&times;&Delta;t&Delta;t]]------((1414))式中,PLPSP(ti)、PL(ti)分别为ti时刻的失负荷功率和全部负荷功率,Δt为计算步长;T为优化计算的时间;ti为第i小时,fLPSP越小,表示微电网的供电可靠性越高;In the formula, PLPSP (ti ) and PL (ti ) are the lost load power and full load power at time ti respectively, Δt is the calculation step size; T is the time of optimization calculation; ti is the i-th hour, The smaller the fLPSP , the higher the power supply reliability of the microgrid;(5)可再生能源利用率约束:可再生能源利用率是指微电网中可再生能源发电量占负荷全部用电量的比例,其中要扣除弃风弃光的发电量,(5) Constraints on the utilization rate of renewable energy: the utilization rate of renewable energy refers to the proportion of renewable energy power generation in the microgrid to the total power consumption of the load, in which the power generation of abandoned wind and light should be deducted,η≥ηmin  (15)η≥ηmin (15)式中,η为可再生能源利用率,ηmin为输入条件中可再生能源利用率限值,In the formula, η is the utilization rate of renewable energy, and ηmin is the limit value of the utilization rate of renewable energy in the input conditions,η由下式计算:η is calculated by the following formula:&eta;&eta;==11--&Sigma;&Sigma;ii==11TT[[PPwastewaste((ttii))&times;&times;&Delta;t&Delta;t]]&Sigma;&Sigma;ii==11TT[[PPLL((ttii))&times;&times;&Delta;t&Delta;t]]------((1616))式中,Pwaste(ti)、PL(ti)分别为ti时刻的弃风弃光功率和全部负荷功率,η越大,表示微电网的可再生能源利用率越高;In the formula, Pwaste (ti ) and PL (ti ) are the power of abandoned wind and light and the total load power at time ti respectively, and the larger η is, the higher the utilization rate of renewable energy in the microgrid is;(6)优化:根据建立的优化模型采用遗传算法进行优化。(6) Optimization: According to the established optimization model, genetic algorithm is used for optimization.2.根据权利要求1所述的基于多目标优化的微电网规划和容量配置方法,其特征在于:所述基础数据具体包括:2. The micro-grid planning and capacity configuration method based on multi-objective optimization according to claim 1, characterized in that: the basic data specifically includes:(1)系统条件输入:只针对并网型微电网,包括微电网并网电压等级、上一级变压器容量、联络线导线型号和长度、PCC点短路容量;(1) System condition input: only for the grid-connected microgrid, including the grid-connected voltage level of the microgrid, the capacity of the upper transformer, the type and length of the connecting wire, and the short-circuit capacity of the PCC point;(2)电价参数输入:对于独立微电网,电价参数计量点设置在分布式电站出口侧,电价参数输入包括各种类型分布式电源发电电价;对于并网型微电网,根据微电网运营模式分为两种电价计量方式,分别为计量点设置在分布式电站出口侧和计量点设置在微电网与外部大电网的联络线上,电价参数输入为购电电价和售电电价,同时包括区分峰谷电价和不区分峰谷电价;(2) Power price parameter input: For an independent microgrid, the power price parameter measurement point is set at the outlet side of the distributed power station, and the power price parameter input includes various types of distributed power generation electricity prices; for a grid-connected microgrid, according to the operating mode of the microgrid There are two electricity price measurement methods, the metering point is set on the outlet side of the distributed power station and the metering point is set on the connection line between the microgrid and the external large power grid. Valley electricity price and no distinction between peak and valley electricity prices;(3)负荷参数输入:包括全年负荷、敏感负荷的功率和电网平均短时故障时间;(3) Input of load parameters: including the annual load, power of sensitive loads and average short-term failure time of the power grid;(4)光伏参数输入:包括光伏组件的电气参数、成本参数、容量限制和光资源参数;(4) Photovoltaic parameter input: including electrical parameters, cost parameters, capacity constraints and light resource parameters of photovoltaic modules;(5)风电参数输入:包括风机的电气参数、成本参数、容量限制和风资源参数;(5) Wind power parameter input: including electrical parameters, cost parameters, capacity constraints and wind resource parameters of wind turbines;(6)蓄电池参数输入:包括蓄电池的电气参数和成本参数;(6) Battery parameter input: including electrical parameters and cost parameters of the battery;(7)其它参数输入,包括最大失负荷概率、最小可再生能源利用率、基准年利率,(7) Input of other parameters, including maximum load loss probability, minimum renewable energy utilization rate, and base annual interest rate,其中:
Figure FDA0000375157130000061
in:
Figure FDA0000375157130000061
CN201310393296.3A2013-08-302013-08-30Micro-grid planning and capacity allocation method based on multi-objective optimizationActiveCN103490410B (en)

Priority Applications (1)

Application NumberPriority DateFiling DateTitle
CN201310393296.3ACN103490410B (en)2013-08-302013-08-30Micro-grid planning and capacity allocation method based on multi-objective optimization

Applications Claiming Priority (1)

Application NumberPriority DateFiling DateTitle
CN201310393296.3ACN103490410B (en)2013-08-302013-08-30Micro-grid planning and capacity allocation method based on multi-objective optimization

Publications (2)

Publication NumberPublication Date
CN103490410Atrue CN103490410A (en)2014-01-01
CN103490410B CN103490410B (en)2014-07-02

Family

ID=49830442

Family Applications (1)

Application NumberTitlePriority DateFiling Date
CN201310393296.3AActiveCN103490410B (en)2013-08-302013-08-30Micro-grid planning and capacity allocation method based on multi-objective optimization

Country Status (1)

CountryLink
CN (1)CN103490410B (en)

Cited By (48)

* Cited by examiner, † Cited by third party
Publication numberPriority datePublication dateAssigneeTitle
CN103761586A (en)*2014-02-112014-04-30东南大学Microgrid cluster concentrated-distributed type coordinated optimization scheduling method
CN103971173A (en)*2014-04-282014-08-06广东电网公司电力科学研究院Method and system for controlling capacity of transformer substations of initiative power distribution network
CN103972915A (en)*2014-05-232014-08-06中国南方电网有限责任公司调峰调频发电公司Energy storage system optimum capacity calculating method for peak load shifting
CN104092209A (en)*2014-06-182014-10-08光一科技股份有限公司Interactional micro-power-grid energy control processing method based on real-time feedback
CN104361405A (en)*2014-10-282015-02-18广东电网有限责任公司电力科学研究院Micro grid energy storage device design method based on capacity limit value constrain
CN104376410A (en)*2014-11-062015-02-25国家电网公司Planning method for distributed power source in power distribution network
CN104537435A (en)*2014-12-182015-04-22国家电网公司Distributed power source optimizing configuration method based on user-side economic indexes
CN104701871A (en)*2015-02-132015-06-10国家电网公司Wind, light and water-containing multi-source complementary micro-grid hybrid energy storage capacity optimal proportion method
CN104795828A (en)*2015-04-242015-07-22清华大学Wind storage capacity configuration method based on genetic algorithm
CN104810861A (en)*2015-04-232015-07-29广西电网有限责任公司电力科学研究院Optimal locating and constant volume method for distributed power supply in low-voltage distribution network
CN104917203A (en)*2015-06-262015-09-16国家电网公司Distributed power supply combined power generation system based on geographical division and coordination control method
CN105098842A (en)*2015-08-122015-11-25国网山东省电力公司电力科学研究院Wind farm integration capacity determination method in consideration of voltage constraints
WO2016004651A1 (en)*2014-07-072016-01-14四川中电启明星信息技术有限公司Management method for connecting distributed power supplies and micro grid to main power grid
CN105279346A (en)*2015-11-202016-01-27国网能源研究院Method for evaluating distributed photovoltaic receiving capability of power distribution network
WO2016061741A1 (en)*2014-10-212016-04-28Accenture Global Services LimitedSystem, method, and apparatus for capacity determination for micro grid, and tangible computer readable medium
CN105656026A (en)*2016-01-152016-06-08中国南方电网有限责任公司电网技术研究中心Equipment construction resource allocation method and system for renewable energy
CN105894108A (en)*2016-03-252016-08-24中国南方电网有限责任公司电网技术研究中心Micro-grid operation planning method and system
CN105894134A (en)*2016-05-202016-08-24甘肃省电力公司风电技术中心New energy power generation right replacement power evaluation method capable of minimizing wind power curtailment and light power curtailment
CN106253335A (en)*2016-06-162016-12-21上海交通大学A kind of distributed power source capacity and on-position uncertain distribution network planning method
CN106329554A (en)*2016-09-072017-01-11中国南方电网有限责任公司电网技术研究中心Method for calculating energy storage rated capacity suitable for park type micro-grid
CN106385053A (en)*2016-11-212017-02-08南方电网科学研究院有限责任公司Wind power limit penetration power optimization method and device
CN106786633A (en)*2017-03-242017-05-31广东电网有限责任公司河源供电局The collocation method and reactive voltage adjusting means of reactive voltage adjusting means
CN106953315A (en)*2017-01-172017-07-14无锡协鑫分布式能源开发有限公司User side grid type light stores up integral system capacity optimization software algorithm
CN107392791A (en)*2017-07-062017-11-24南方电网科学研究院有限责任公司Distributed photovoltaic and gas-electricity hybrid capacity planning method and system for multi-energy complementary system
CN107609632A (en)*2017-09-152018-01-19国家电网公司 Distribution network reconfiguration optimization operation analysis method and device
CN107706893A (en)*2017-10-312018-02-16广东电网有限责任公司惠州供电局A kind of computational methods of DG accesses distribution optimum capacity
CN108039722A (en)*2017-11-212018-05-15中国科学院广州能源研究所A kind of distribution type renewable energy system Optimal Configuration Method suitable for alternating current-direct current mixing
CN108092290A (en)*2017-08-162018-05-29华东理工大学A kind of microgrid energy collocation method for combining stored energy capacitance configuration and optimization operation
CN108667071A (en)*2018-05-162018-10-16国网山东省电力公司泰安供电公司 A Calculation Method for Precise Load Control of Active Distribution Network
CN108988390A (en)*2018-08-132018-12-11国网江西省电力有限公司电力科学研究院A kind of distribution network voltage control method based on best abandoning light rate
CN109510241A (en)*2018-12-202019-03-22中国电建集团河北省电力勘测设计研究院有限公司The grid-connect mode Optimizing Configuration System and method of the industrial park scene combustion energy storage energy
CN109510224A (en)*2018-11-162019-03-22上海交通大学Photovoltaic energy storage and the united capacity configuration of distributed energy and running optimizatin method
CN109711614A (en)*2018-12-242019-05-03新奥数能科技有限公司A kind of the dynamic optimization progress control method and system of distributed busbar protection
CN109823223A (en)*2019-01-232019-05-31国家电网有限公司 Energy storage capacity configuration method and system for electric vehicle charging station
CN110297150A (en)*2018-03-212019-10-01北京金风科创风电设备有限公司 Method and device for detecting short-circuit capacity at grid-connected point of wind turbine
CN110515300A (en)*2019-08-052019-11-29广东电网有限责任公司A kind of regional internet comprehensive energy multiple-objection optimization configuration method
CN110661284A (en)*2019-08-202020-01-07四川大学Capacity optimization configuration method for water-light storage complementary power generation system under multi-target constraint
CN110867883A (en)*2019-12-162020-03-06贵州电网有限责任公司Power distribution network operation method suitable for large-scale application of distributed energy storage
CN110979105A (en)*2019-12-242020-04-10中铁二院工程集团有限责任公司Design method for external power supply access scheme of through bilateral traction power supply system
CN111753431A (en)*2020-06-292020-10-09国网山西省电力公司电力科学研究院 Calculation method and calculation device for optimal configuration in integrated energy system
CN111900734A (en)*2020-08-052020-11-06浙江华云清洁能源有限公司Distributed energy storage capacity configuration method with transformer capacity expansion reduction as target
CN112039067A (en)*2020-09-012020-12-04国网河北省电力有限公司邢台供电分公司 Optimization method and terminal equipment for utilization rate of new energy power generation in distribution network
CN112152257A (en)*2020-09-042020-12-29摩氢科技有限公司Distributed energy system and control method thereof
CN112182907A (en)*2020-10-192021-01-05贵州电网有限责任公司Reliability constraint-based planning method for energy storage device of electric-gas coupling system
CN112736903A (en)*2020-12-252021-04-30国网上海能源互联网研究院有限公司Energy optimization scheduling method and device for island microgrid
CN113196319A (en)*2018-11-232021-07-30道达尔太阳能公司Computer-implemented method for providing technical selection parameters of an energy supply system, computer program product for providing such technical selection parameters, and computer system for providing such an energy supply system
CN113363964A (en)*2021-05-262021-09-07国网天津市电力公司Power distribution network distributed energy storage planning method and device considering important load power supply
CN120073809A (en)*2025-04-282025-05-30国网河南省电力公司新乡供电公司Capacity planning method for energy storage power station

Citations (2)

* Cited by examiner, † Cited by third party
Publication numberPriority datePublication dateAssigneeTitle
CN103094926A (en)*2013-01-092013-05-08清华大学Multi-component energy-storing capacity collocation method applied to micro power grid group
CN103166248A (en)*2013-04-012013-06-19国电联合动力技术有限公司Engineering configuration method of independent wind-diesel-storage micro grid system capacity

Patent Citations (2)

* Cited by examiner, † Cited by third party
Publication numberPriority datePublication dateAssigneeTitle
CN103094926A (en)*2013-01-092013-05-08清华大学Multi-component energy-storing capacity collocation method applied to micro power grid group
CN103166248A (en)*2013-04-012013-06-19国电联合动力技术有限公司Engineering configuration method of independent wind-diesel-storage micro grid system capacity

Non-Patent Citations (1)

* Cited by examiner, † Cited by third party
Title
刘梦璇等: "基于多目标的独立微电网优化设计方法", 《电力系统自动化》*

Cited By (76)

* Cited by examiner, † Cited by third party
Publication numberPriority datePublication dateAssigneeTitle
CN103761586A (en)*2014-02-112014-04-30东南大学Microgrid cluster concentrated-distributed type coordinated optimization scheduling method
CN103971173A (en)*2014-04-282014-08-06广东电网公司电力科学研究院Method and system for controlling capacity of transformer substations of initiative power distribution network
CN103971173B (en)*2014-04-282017-06-16广东电网公司电力科学研究院Active distribution network substation capacity control method and system
CN103972915A (en)*2014-05-232014-08-06中国南方电网有限责任公司调峰调频发电公司Energy storage system optimum capacity calculating method for peak load shifting
CN103972915B (en)*2014-05-232016-05-25中国南方电网有限责任公司调峰调频发电公司A kind of optimum calculation of capacity method of energy-storage system for the peak load shifting of loading
CN104092209A (en)*2014-06-182014-10-08光一科技股份有限公司Interactional micro-power-grid energy control processing method based on real-time feedback
WO2016004651A1 (en)*2014-07-072016-01-14四川中电启明星信息技术有限公司Management method for connecting distributed power supplies and micro grid to main power grid
US10290064B2 (en)2014-10-212019-05-14Accenture Global Services LimitedSystem, method and apparatus for capacity determination for micro grid and tangible computer readable medium
CN107077704A (en)*2014-10-212017-08-18埃森哲环球服务有限公司 Systems, methods, and apparatus and tangible computer readable media for capacity determination for microgrids
WO2016061741A1 (en)*2014-10-212016-04-28Accenture Global Services LimitedSystem, method, and apparatus for capacity determination for micro grid, and tangible computer readable medium
CN104361405A (en)*2014-10-282015-02-18广东电网有限责任公司电力科学研究院Micro grid energy storage device design method based on capacity limit value constrain
CN104376410B (en)*2014-11-062017-08-08国家电网公司A kind of planing method of Distributed Generation in Distribution System
CN104376410A (en)*2014-11-062015-02-25国家电网公司Planning method for distributed power source in power distribution network
CN104537435A (en)*2014-12-182015-04-22国家电网公司Distributed power source optimizing configuration method based on user-side economic indexes
CN104537435B (en)*2014-12-182017-12-15国家电网公司Distributed power source Optimal Configuration Method based on user side economic index
CN104701871A (en)*2015-02-132015-06-10国家电网公司Wind, light and water-containing multi-source complementary micro-grid hybrid energy storage capacity optimal proportion method
CN104810861A (en)*2015-04-232015-07-29广西电网有限责任公司电力科学研究院Optimal locating and constant volume method for distributed power supply in low-voltage distribution network
CN104795828A (en)*2015-04-242015-07-22清华大学Wind storage capacity configuration method based on genetic algorithm
CN104917203A (en)*2015-06-262015-09-16国家电网公司Distributed power supply combined power generation system based on geographical division and coordination control method
CN104917203B (en)*2015-06-262018-08-03国家电网公司Distributed generation resource combined generating system based on geographical zone and control method for coordinating
CN105098842A (en)*2015-08-122015-11-25国网山东省电力公司电力科学研究院Wind farm integration capacity determination method in consideration of voltage constraints
CN105279346A (en)*2015-11-202016-01-27国网能源研究院Method for evaluating distributed photovoltaic receiving capability of power distribution network
CN105279346B (en)*2015-11-202019-01-08国网能源研究院A method of distributed photovoltaic ability is received for assessing power distribution network
CN105656026A (en)*2016-01-152016-06-08中国南方电网有限责任公司电网技术研究中心Equipment construction resource allocation method and system for renewable energy
CN105894108B (en)*2016-03-252017-04-12中国南方电网有限责任公司电网技术研究中心Micro-grid operation planning method and system
CN105894108A (en)*2016-03-252016-08-24中国南方电网有限责任公司电网技术研究中心Micro-grid operation planning method and system
CN105894134B (en)*2016-05-202020-10-16甘肃省电力公司风电技术中心New energy power generation right replacement electric quantity evaluation method for minimizing wind and light abandoning electric quantity
CN105894134A (en)*2016-05-202016-08-24甘肃省电力公司风电技术中心New energy power generation right replacement power evaluation method capable of minimizing wind power curtailment and light power curtailment
CN106253335A (en)*2016-06-162016-12-21上海交通大学A kind of distributed power source capacity and on-position uncertain distribution network planning method
CN106329554B (en)*2016-09-072019-01-25中国南方电网有限责任公司电网技术研究中心Method for calculating energy storage rated capacity suitable for park type micro-grid
CN106329554A (en)*2016-09-072017-01-11中国南方电网有限责任公司电网技术研究中心Method for calculating energy storage rated capacity suitable for park type micro-grid
CN106385053A (en)*2016-11-212017-02-08南方电网科学研究院有限责任公司Wind power limit penetration power optimization method and device
CN106385053B (en)*2016-11-212019-01-15南方电网科学研究院有限责任公司Wind power limit penetration power optimization method and device
CN106953315A (en)*2017-01-172017-07-14无锡协鑫分布式能源开发有限公司User side grid type light stores up integral system capacity optimization software algorithm
CN106786633A (en)*2017-03-242017-05-31广东电网有限责任公司河源供电局The collocation method and reactive voltage adjusting means of reactive voltage adjusting means
CN107392791A (en)*2017-07-062017-11-24南方电网科学研究院有限责任公司Distributed photovoltaic and gas-electricity hybrid capacity planning method and system for multi-energy complementary system
CN107392791B (en)*2017-07-062020-06-30南方电网科学研究院有限责任公司Distributed photovoltaic and gas-electricity hybrid capacity planning method and system for multi-energy complementary system
CN108092290A (en)*2017-08-162018-05-29华东理工大学A kind of microgrid energy collocation method for combining stored energy capacitance configuration and optimization operation
CN108092290B (en)*2017-08-162021-09-24华东理工大学 A microgrid energy allocation method combining energy storage capacity allocation and optimal operation
CN107609632A (en)*2017-09-152018-01-19国家电网公司 Distribution network reconfiguration optimization operation analysis method and device
CN107706893B (en)*2017-10-312019-09-10广东电网有限责任公司惠州供电局A kind of calculation method of DG access distribution optimum capacity
CN107706893A (en)*2017-10-312018-02-16广东电网有限责任公司惠州供电局A kind of computational methods of DG accesses distribution optimum capacity
CN108039722A (en)*2017-11-212018-05-15中国科学院广州能源研究所A kind of distribution type renewable energy system Optimal Configuration Method suitable for alternating current-direct current mixing
US11293402B2 (en)2018-03-212022-04-05Beijing Goldwind Science & Creation Windpower Equipment Co., Ltd.Method and apparatus for detecting a short-circuit capacity at a grid connection point of a wind turbine
CN110297150A (en)*2018-03-212019-10-01北京金风科创风电设备有限公司 Method and device for detecting short-circuit capacity at grid-connected point of wind turbine
CN108667071A (en)*2018-05-162018-10-16国网山东省电力公司泰安供电公司 A Calculation Method for Precise Load Control of Active Distribution Network
CN108667071B (en)*2018-05-162021-04-27国网山东省电力公司泰安供电公司 A calculation method for accurate load control of active distribution network
CN108988390A (en)*2018-08-132018-12-11国网江西省电力有限公司电力科学研究院A kind of distribution network voltage control method based on best abandoning light rate
CN109510224B (en)*2018-11-162021-11-09上海交通大学Capacity allocation and operation optimization method combining photovoltaic energy storage and distributed energy
CN109510224A (en)*2018-11-162019-03-22上海交通大学Photovoltaic energy storage and the united capacity configuration of distributed energy and running optimizatin method
CN113196319B (en)*2018-11-232024-03-22道达尔太阳能公司Computer-implemented method, computer-readable storage medium, and computer system for providing technical selection parameters for energy supply systems
CN113196319A (en)*2018-11-232021-07-30道达尔太阳能公司Computer-implemented method for providing technical selection parameters of an energy supply system, computer program product for providing such technical selection parameters, and computer system for providing such an energy supply system
CN109510241A (en)*2018-12-202019-03-22中国电建集团河北省电力勘测设计研究院有限公司The grid-connect mode Optimizing Configuration System and method of the industrial park scene combustion energy storage energy
CN109711614A (en)*2018-12-242019-05-03新奥数能科技有限公司A kind of the dynamic optimization progress control method and system of distributed busbar protection
CN109823223A (en)*2019-01-232019-05-31国家电网有限公司 Energy storage capacity configuration method and system for electric vehicle charging station
CN109823223B (en)*2019-01-232023-12-08国家电网有限公司Energy storage capacity configuration method and system of electric vehicle charging station
CN110515300A (en)*2019-08-052019-11-29广东电网有限责任公司A kind of regional internet comprehensive energy multiple-objection optimization configuration method
CN110515300B (en)*2019-08-052022-11-29广东电网有限责任公司Multi-objective optimization configuration method for regional interconnection comprehensive energy
CN110661284A (en)*2019-08-202020-01-07四川大学Capacity optimization configuration method for water-light storage complementary power generation system under multi-target constraint
CN110867883A (en)*2019-12-162020-03-06贵州电网有限责任公司Power distribution network operation method suitable for large-scale application of distributed energy storage
CN110979105A (en)*2019-12-242020-04-10中铁二院工程集团有限责任公司Design method for external power supply access scheme of through bilateral traction power supply system
CN110979105B (en)*2019-12-242022-06-14中铁二院工程集团有限责任公司Design method for external power supply access scheme of through bilateral traction power supply system
CN111753431B (en)*2020-06-292023-08-18国网山西省电力公司电力科学研究院 Calculation method and calculation equipment for optimal allocation in integrated energy system
CN111753431A (en)*2020-06-292020-10-09国网山西省电力公司电力科学研究院 Calculation method and calculation device for optimal configuration in integrated energy system
CN111900734A (en)*2020-08-052020-11-06浙江华云清洁能源有限公司Distributed energy storage capacity configuration method with transformer capacity expansion reduction as target
CN111900734B (en)*2020-08-052022-03-11浙江华云清洁能源有限公司Distributed energy storage capacity configuration method with transformer capacity expansion reduction as target
CN112039067A (en)*2020-09-012020-12-04国网河北省电力有限公司邢台供电分公司 Optimization method and terminal equipment for utilization rate of new energy power generation in distribution network
CN112152257B (en)*2020-09-042022-06-14摩氢科技有限公司Distributed energy system and control method thereof
CN112152257A (en)*2020-09-042020-12-29摩氢科技有限公司Distributed energy system and control method thereof
CN112182907B (en)*2020-10-192022-12-27贵州电网有限责任公司Reliability constraint-based planning method for energy storage device of electric-gas coupling system
CN112182907A (en)*2020-10-192021-01-05贵州电网有限责任公司Reliability constraint-based planning method for energy storage device of electric-gas coupling system
CN112736903A (en)*2020-12-252021-04-30国网上海能源互联网研究院有限公司Energy optimization scheduling method and device for island microgrid
CN112736903B (en)*2020-12-252024-12-24国网上海能源互联网研究院有限公司 A method and device for optimizing energy dispatching of island microgrid
CN113363964A (en)*2021-05-262021-09-07国网天津市电力公司Power distribution network distributed energy storage planning method and device considering important load power supply
CN120073809A (en)*2025-04-282025-05-30国网河南省电力公司新乡供电公司Capacity planning method for energy storage power station
CN120073809B (en)*2025-04-282025-07-04国网河南省电力公司新乡供电公司Capacity planning method for energy storage power station

Also Published As

Publication numberPublication date
CN103490410B (en)2014-07-02

Similar Documents

PublicationPublication DateTitle
CN103490410B (en)Micro-grid planning and capacity allocation method based on multi-objective optimization
Acevedo-Arenas et al.MPC for optimal dispatch of an AC-linked hybrid PV/wind/biomass/H2 system incorporating demand response
CN102184475B (en)Optimizing and dispatching method for microgrid economical operation on basis of multiple time scale coordination
CN105207259B (en)Micro-grid system dispatching method under based on energy management and net state
CN105591406B (en)A kind of optimized algorithm of the microgrid energy management system based on non-cooperative game
CN110690702B (en)Active power distribution network optimal scheduling and operation method considering comprehensive bearing capacity
CN108470239A (en)The active distribution network multi objective layered programming method of meter and demand side management and energy storage
CN106327006A (en)Comprehensive benefit analysis-based micro-power-grid optimal configuration method
Yao et al.Energy storage sizing optimization for large-scale PV power plant
CN103151797A (en)Multi-objective dispatching model-based microgrid energy control method under grid-connected operation mode
CN106408131A (en)Photovoltaic microgrid multi-target scheduling method based on demand-side management
CN105207207B (en)Micro-grid system dispatching method under isolated network state based on energy management
El-ZonkolyOptimal scheduling of observable controlled islands in presence of energy hubs
Liu et al.Optimal operation of flexible distribution networks for security improvement considering active management
Javadi et al.Optimal planning and operation of hybrid energy system supplemented by storage devices
Alayi et al.Optimization of Renewable energy consumption in charging electric vehicles using intelligent algorithms
CN103219791B (en)Energy switching device and method
CN115829077A (en) A collaborative optimization method for energy storage configuration and operation in active distribution network
Liu et al.Hierarchical optimal dispatching strategy for microgrid system considering user-side resources
Yi et al.Research on topology of DC distribution network based on power flow optimization
Rahmanzadeh et al.Optimal energy management of microgrid based on fcchp in the presence of electric and thermal loads considering energy storage systems
Sun et al.A fast island partition method of distribution network with energy storage based on electricity sufficiency and power balance information
Malekijavan et al.Stochastic Optimal Operation of a Multi carrier Energy System with Electric Vehicles and Combined Heat and Power Units
CN111668882A (en)Method and device for optimizing output of micro power supply in intelligent energy ring network
Guo et al.Coordinated planning of distributed energy resources and microgrid network

Legal Events

DateCodeTitleDescription
C06Publication
PB01Publication
C10Entry into substantive examination
SE01Entry into force of request for substantive examination
C14Grant of patent or utility model
GR01Patent grant
C56Change in the name or address of the patentee

Owner name:CHINA ENERGY ENGINEERING GROUP JIANGSU ELECTRIC PO

Free format text:FORMER NAME: JIANGSU ELECTRIC POWER DESIGNING INST.

CP01Change in the name or title of a patent holder

Address after:210009 Gulou District, Jiangsu, Nanjing new model road, No. 5

Patentee after:Chinese energy construction group Jiangsu Prov. Power Design Inst Co., Ltd

Patentee after:Southeast University

Address before:210009 Gulou District, Jiangsu, Nanjing new model road, No. 5

Patentee before:Jiangsu Electric Power Designing Institute

Patentee before:Southeast University


[8]ページ先頭

©2009-2025 Movatter.jp