Movatterモバイル変換


[0]ホーム

URL:


CN103259662A - Novel procuration signature and verification method based on integer factorization problems - Google Patents

Novel procuration signature and verification method based on integer factorization problems
Download PDF

Info

Publication number
CN103259662A
CN103259662ACN2013101574422ACN201310157442ACN103259662ACN 103259662 ACN103259662 ACN 103259662ACN 2013101574422 ACN2013101574422 ACN 2013101574422ACN 201310157442 ACN201310157442 ACN 201310157442ACN 103259662 ACN103259662 ACN 103259662A
Authority
CN
China
Prior art keywords
signature
proxy
attorney
signer
power
Prior art date
Legal status (The legal status is an assumption and is not a legal conclusion. Google has not performed a legal analysis and makes no representation as to the accuracy of the status listed.)
Granted
Application number
CN2013101574422A
Other languages
Chinese (zh)
Other versions
CN103259662B (en
Inventor
禹勇
夏琦
倪剑兵
黄可
Current Assignee (The listed assignees may be inaccurate. Google has not performed a legal analysis and makes no representation or warranty as to the accuracy of the list.)
University of Electronic Science and Technology of China
Original Assignee
University of Electronic Science and Technology of China
Priority date (The priority date is an assumption and is not a legal conclusion. Google has not performed a legal analysis and makes no representation as to the accuracy of the date listed.)
Filing date
Publication date
Application filed by University of Electronic Science and Technology of ChinafiledCriticalUniversity of Electronic Science and Technology of China
Priority to CN201310157442.2ApriorityCriticalpatent/CN103259662B/en
Publication of CN103259662ApublicationCriticalpatent/CN103259662A/en
Application grantedgrantedCritical
Publication of CN103259662BpublicationCriticalpatent/CN103259662B/en
Expired - Fee Relatedlegal-statusCriticalCurrent
Anticipated expirationlegal-statusCritical

Links

Images

Landscapes

Abstract

The invention discloses a novel procuration signature and verification method based on integer factorization problems. The novel procuration signature and verification method based on the integer factorization problems includes the steps: before a network operates, firstly generating personal public keys and private keys by original signature people and procuration signature people, and issuing the public keys; when signature requests are provided, generating authorization letters by the original signature people, and calculating signature authorization based on a chameleon hash function and an ordinary digital signature algorithm, sending the signature authorization to the procuration signature people, carrying out validity verification on the received signature authorization by the procuration signature people, if the signature authorization is effective, generating the procuration signature based on collision property of the chameleon hash function, and digital signature does not need to be carried out on information, when a verifier receives the authorization letters and the procuration signature, firstly, verifying whether the authorization letters are effective or not, after the authorization letters are verified to be effective, and then verifying validity of the procuration signature. According to the application of the novel procuration signature and verification method based on the integer factorization problems, processing efficiency of the procuration signature is high, and the length of the procuration signature is short. The novel procuration signature and verification method based on the integer factorization problems is suitable for environments such as mobile networks and the wireless networks where computing power and network bandwidth are limited.

Description

A kind of new allograph and verification method based on the integer resolution problem
Technical field
The invention belongs to the network security technology field, relate to public key cryptography and digital signature, be specifically related to a kind of new allograph and verification method based on the integer resolution problem.
Background technology
Along with development of computer network with popularize, information security issue also becomes the social concern that common people pay close attention to, and in information world, how to realize authenticating, data integrity and non-repudiation become the emphasis that numerous scholars explore.Digital signature is as the digital substitute of handwritten signature, the natural broad research that has obtained password educational circles.Need based on different application in people's real life, numerous have the digital signature scheme of special purpose to be proposed in succession, and allograph is the important means that solves the signature authorises problem in the digital signature.To be an entity or colony entrust to a kind of behavior that another one entity or colony implement to some the signature rights of oneself to signature authorises, and this mandate is needing the occasion of commission order that important application is arranged such as mobile agent, Distributed Calculation, grid computing and wireless network etc.
In existing allograph method based on the integer resolution problem, adopt the string data mode to realize: original signature people is the certificate of entrustment (PKI that comprises the original signature people to generating at first, allograph people's PKI, the term of validity of authorizing and allograph message etc.) carry out digital signature, obtain signature authorises and (comprise certificate of entrustment, certificate of entrustment is signed) and send to the allograph people, the allograph people utilizes signature authorises and the private key of oneself, message in the certificate of entrustment is carried out digital signature, produce final allograph, and this allograph is made up of to information signature two parts signature authorises and the allograph people of original signature.
During the last ten years, Chinese scholars has been carried out deep research to allograph, has obtained great successes, comprises the discussion to security model, proposes new departure, to the analysis of existing scheme and improvement etc.Yet also there are following problem in the research of allograph and application:
(1) present allograph mostly utilizes bilinearity to designing, and the operand that bilinearity is right is big, and is many to the consumption of computational resource, can't be applied to the computing capability constrained environment;
(2) existing allograph based on the integer resolution problem is the signature authorises of original signature and allograph people two signatures of signature of message to be made of in essence, this makes that final allograph length is long, the transmission of allograph can consume more bandwidth, is not suitable for the limited network environment of bandwidth;
(3) existing several allograph method based on the integer resolution problem proves because rational security model and fail safe are not provided, cause to resist a kind of or two kinds of attacks in outside opponent, malicious agent signer, three types of attacks of malice original signature people, so existing several allograph method based on the integer resolution problem is generally dangerous.
Summary of the invention
Goal of the invention of the present invention is: at the problem of above-mentioned existence, provide the new allograph method based on the integer resolution problem that a kind of processing speed is fast, allograph length is short.
A kind of new allograph method based on the integer resolution problem of the present invention comprises the following steps:
Step 1: generate original signature people's private key, PKI, allograph people's private key, PKI;
Step 2: the allograph people generates interim PKI r according to its private key, PKI1, and send to the original signature people;
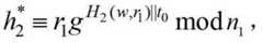
Step 3: original signature people receives interim PKI r1After, at first generating certificate of entrustment w, this certificate of entrustment w comprises original signature people's PKI, allograph people's PKI, the term of validity of mandate and the message m of allograph, selects integer t more at random0, based on the cryptographic Hash h of the certificate of entrustment w calculating chameleon hash function that generates2, and to described cryptographic Hash h2Carry out digital signature, obtain certificate of entrustment w signature; And by safe lane signature authorises being sent to the allograph people, described signature authorises comprises certificate of entrustment w, certificate of entrustment signature, integer t0
Step 4: the allograph people carries out validation verification to the signature authorises of receiving, if effectively, then execution in step 5;
Step 5: the allograph people verifies whether the allograph message m meets certificate of entrustment w, if, then:
Private key, PKI according to the allograph people generate interim PKI r2
According to described interim PKI r2, based on collision (certificate of entrustment w, the integer t of chameleon hash function0Chameleon hash functional value and message m, random number t1The chameleon hash functional value equate, be cryptographic Hash h2) generation message m random number corresponding t1
By certificate of entrustment signature, interim PKI r2, random number t1Constitute the allograph of message m under certificate of entrustment w.
Realize allograph of the present invention owing to the present invention is based on the collision of chameleon hash function, guaranteeing under the prerequisite that no key is revealed, its processing speed is fast, resource consumption is few, and final allograph is shorter than the length of existing Proxy Signature Scheme based on the integer resolution problem, allograph people of the present invention is based on the collision of chameleon hash function, only need find out the collision of given chameleon hash value (based on the cryptographic Hash of the chameleon hash function of certificate of entrustment w), just can generate allograph, and need not to calculate again signature to message m, shorten the length of existing allograph based on the integer resolution problem, reduced the amount of calculation of allograph generative process; And because the length of allograph of the present invention is short, the bandwidth that its transmission consumes is few, is specially adapted to the signature authorises business of resource-constrained wireless network environment.
Simultaneously, by the generative process of allograph of the present invention as can be known, its allograph has unforgeable, and this has just resisted malicious agent signer's attack; And under the prerequisite of the trapdoor of not knowing chameleon hash function of the present invention (trap door information), original signature people can't forge allograph, and this has just prevented malice original signature people's attack; The attack resource that has because of outside opponent is far fewer than malicious agent signer and malice original signature people, so since the present invention can resist malicious agent signer and malice original signature people's attack, then also can resist outside opponent's attack.
Further, in order to ensure allograph method validation of the present invention fail safe, in step 1, select the p that satisfies condition at random according to security parameter k0≡ 3mod8, q0The prime number p of ≡ 7mod80, q0As original signature people's private key, and with p0, q0Product n0As original signature people PKI.
In order further to improve fail safe of the present invention, allograph people's of the present invention private key, PKI can be:
Select two safe prime p at random according to security parameter k1, q1Private key for the allograph people; Get p1, q1Product beN1, select the multiplication group of integers
Figure BDA00003133921600031
On an integer λ (n1) the element g on rank, described
Figure BDA00003133921600032
Integer
Figure BDA00003133921600033
Figure BDA00003133921600034
Then with described n1, g is as allograph people's PKI.
The invention allows for a kind of signature verification method at allograph method of the present invention, comprise the following steps:
Whether the checking message m meets certificate of entrustment w, if not, then stops; Otherwise,
Based on message m, certificate of entrustment w, allograph, and whether allograph people's PKI, original signature people's PKI surveying agent signature is effective.
In sum, owing to adopted technique scheme, the invention has the beneficial effects as follows:
(1) length of allograph of the present invention is short, and the allograph processing speed is fast, and resource consumption is few;
(2) because the length of allograph of the present invention is short, the bandwidth that its transmission consumes is few, is specially adapted to the authorization activities of resource-constrained wireless network environment;
(3) the present invention is because Proxy Signature Scheme can be resisted original signature people's the attack of allograph people, the malice of outside opponent, malice, the theoretical proof fail safe of the present invention of deriving can be foretelling under the machine model stipulations at random to the integer resolution problem, and is safe.
Description of drawings
To illustrate by example and with reference to the mode of accompanying drawing, wherein:
Fig. 1 is allograph process flow diagram of the present invention;
Fig. 2 is that signature authorises of the present invention generates-verify flow chart;
Fig. 3 is that allograph of the present invention generates-verify flow chart.
Embodiment
Disclosed all features in this specification, or the step in disclosed all methods or the process except mutually exclusive feature and/or step, all can make up by any way.
Disclosed arbitrary feature in this specification (comprising any accessory claim, summary and accompanying drawing) is unless special narration all can be replaced by other equivalences or the alternative features with similar purpose.That is, unless special narration, each feature is an example in a series of equivalences or the similar characteristics.
With reference to Fig. 1, specific implementation process of the present invention is as follows:
Process 1, the key of original signature people Alice and allograph people Bob generates
(1.1) before the network operation, Alice selects the p that satisfies condition at random according to security parameter k0≡ 3mod8 and q0The prime number p of ≡ 7mod80And q0, i.e. p0For divided by 8 remainders being arbitrary prime number of 3, q0For divided by 8 remainders being arbitrary prime number of 7, with p0And q0As the long-term private of Alice, and calculate prime number p0And q0Product n0=p0q0PKI as Alice;
(1.2) Bob selects two safe prime p at random according to security parameter k1, q1And group
Figure BDA00003133921600041
On an integer λ (n1) the element g on rank, the computationally secure prime number p0And q0Product n1=p1q1, integer
Figure BDA00003133921600042
Figure BDA00003133921600048
With the Ka Mixieer function
Figure BDA00003133921600043
Select the group then
Figure BDA00003133921600044
Last element g.The PKI of Bob and private key are respectively (n1, g) with (p1, q1).
So-called safe prime namely requires the prime number of selection according to security parameter, and security parameter is the security requirement that obtains agreement according to scheme, and a pre-determined parameter of describing fail safe is binary bits how long in order to determine safe prime.Security parameter is made as k among the present invention, and value is generally 512,768,1024 or 2048 etc.
Process 2, original signature people Alice licenses to allograph people Bob with signature capabilities
When Alice has the demand of signature information, but when busier or own need limited in one's ability license to Bob with signature capabilities because of self, the Alice calculating and sending gives its signature authorises to give Bob, and whether Bob mandate of checking Alice earlier before generating allograph is effective.With reference to Fig. 2, being implemented as follows of this process:
(2.1) when Alice need license to Bob with signature capabilities, at first generate certificate of entrustment w, this certificate of entrustment comprises the PKI of Alice, the PKI of Bob, the term of validity of mandate and the message m of allograph etc.;
(2.2) Bob selects temporary private
Figure BDA00003133921600045
And calculate interim PKI
Figure BDA00003133921600046
Interim PKI r1Send to Alice;
(2.3) Alice receives interim PKI r1After, utilize certificate of entrustment w and the private key (p of oneself0, q0) generate its signature authorises (w, t0, s0, a0, b0), and by safe lane signature authorises is sent to Bob; The implementation procedure that Alice generates signature authorises is as follows:
(2.3a) Alice selects integer t at random0, the hash value of calculating chameleon hash (hash) function:H wherein2(w, r1) be to be input as w||r1Hash function, operation is appended in symbol " || " expression, namely r1Append after w; Again with hash value h2The certificate of entrustment w that generates with Alice is as part territory hash function H1Input, calculating section territory hash value hw=H1(h2, w);
(Partial-Domain Hash, PDH) size that refers to the hash function is a factor of modulus to so-called part territory hash function.Part territory hash function H among the present invention1: { 0,1}*→ [h1, h'1) and
Figure BDA00003133921600049
Can be based on the consequence devised of Gentry, the distortion of the proposition of Gentry sees for details: C.Gentry.How to compress Rabin ciphertexts and signatures.In:Advances in Cryptology Crypto2004, LNCS3152, Springer-Verlag, 2004:179-200.
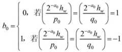
(2.3b) Alice calculates the Jacobi symbol, determines parameter a by the Jacobi symbol0And b0Value:
Figure BDA00003133921600051
Figure BDA00003133921600052
(2.3c) Alice utilizes the private key (p of oneself0, q0) to part territory hash value hwSign, obtain the signature value:
s0≡(2-a0hw)n0-p0-q0+58modn0
(2.3d) Alice by safe lane with its signature authorises (w, t0, s0, a0, b0) send to allograph people Bob.
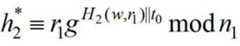
(2.4) Bob receives signature authorises (w, the t of Alice0, s0, a0, b0) after, at first utilize certificate of entrustment w to calculate the hash value of chameleon hash function again
Figure BDA00003133921600054
, with the hash value
Figure BDA00003133921600055
With certificate of entrustment w as part territory hash function H1Input, calculating section territory hash valuehw*=h1(h2*,w), formula is verified in check thens02≡2-a02hw*(-1)b0modn0Whether set up, if the checking formula is set up, represent that then signature authorises is effective, enter process 3; Otherwise signature authorises is invalid.
Process 3, Bob generates allograph
Allograph people Bob verifies at first whether message m meets certificate of entrustment w, if do not meet, then stops, otherwise utilizes message m, the private key (p of oneself1, q1) and certificate of entrustment w calculate the allograph σ=(a of message m based on the collision of chameleon hash function0, b0, s0, r2, t1).Last Bob sends to the verifier to certificate of entrustment w and allograph σ.With reference to Fig. 3, the specific implementation process that generates allograph σ is as follows:
(3.1) Bob at first checks message m whether to meet certificate of entrustment w, if do not meet, then exports engineering noise and termination; Otherwise, enter step (3.2);
(3.2) Bob selects random value
Figure BDA00003133921600058
With temporary private k1Be updated to k2, and calculate new interim PKIr2≡gk2modn1;
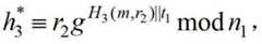
(3.3) Bob generates message m random number corresponding t based on the collision of the chameleon hash functional value of certificate of entrustment w and message m1:
t1≡t0+(k2-k1)+2λ(n1)(H2(w,r1)-H3(m,r2))modλ(n1),
Wherein, t0In step (2.3a), the integer that Alice selects at random, λ (n1) be the Ka Mixieer function, by (the p of Bob1, q1) determine H2(w, r1) refer to be input as message w and interim PKI r1General hash function, H3(m, r2) refer to be input as m||r2Hash function;
(3.4) allograph of message m under certificate of entrustment w is σ=(a0, b0, s0, r2, t1).
Process 4, the verifier verifies the validity of allograph σ
The verifier receives allograph σ=(a of Bob0, b0, s0, r2, t1) after, whether surveying agent's signature sigma is the effective allograph of message m under certificate of entrustment w.With reference to Fig. 3, being implemented as follows of this process:
(4.1) verifier at first checks message m whether to meet certificate of entrustment w, if do not meet, then exports engineering noise and termination; Otherwise, enter step (4.2);
(4.2) verifier utilizes allograph σ to calculate chameleon hash function
Figure BDA00003133921600061
With the hash valueWith certificate of entrustment w as part territory hash function H1Input, calculating section territory hash value
Figure BDA00003133921600063
(4.3) verifier checks the checking formula
Figure BDA00003133921600064
Whether set up, if set up, represent that then allograph is effective; Otherwise allograph is invalid.
The present invention is not limited to aforesaid embodiment.The present invention expands to any new feature or any new combination that discloses in this manual, and the arbitrary new method that discloses or step or any new combination of process.

Claims (7)

Translated fromChinese
1.一种新的基于整数分解问题的代理签名方法,其特征在于,包括下列步骤:1. A new proxy signature method based on integer decomposition problem, is characterized in that, comprises the following steps:步骤1:生成原始签名人的私钥、公钥,代理签名人的私钥、公钥;Step 1: Generate the private key and public key of the original signer, and the private key and public key of the proxy signer;步骤2:代理签名人根据其私钥、公钥生成临时公钥r1,并发送给原始签名人;Step 2: The proxy signer generates a temporary public key r1 according to its private key and public key, and sends it to the original signer;步骤3:原始签名人收到临时公钥r1后,首先生成委托书w,再随机选择整数t0,基于所生成的委托书w计算变色龙哈希函数的哈希值h2,并对所述哈希值h2进行数字签名,得到委托书w签名;并通过安全信道将签名授权发送给代理签名人,所述签名授权包含委托书w、委托书签名、整数t0Step 3: After receiving the temporary public key r1 , the original signer first generates a power of attorney w, then randomly selects an integer t0 , calculates the hash value h2 of the chameleon hash function based on the generated power of attorney w, and calculates the The above hash value h2 is digitally signed to obtain the power of attorney w signature; and the signature authorization is sent to the proxy signer through a secure channel, and the signature authorization includes power of attorney w, power of attorney signature, and integer t0 ;步骤4:代理签名人对收到的签名授权进行有效性验证,若有效,则执行步骤5;Step 4: The proxy signer verifies the validity of the received signature authorization, and if it is valid, go to Step 5;步骤5:代理签名人验证代理签名消息m是否符合委托书w,若是,则:Step 5: The proxy signer verifies whether the proxy signature message m complies with the power of attorney w, if so, then:根据代理签名人的私钥、公钥生成临时公钥r2Generate a temporary public key r2 according to the private key and public key of the proxy signer;根据所述临时公钥r2,基于变色龙哈希函数的碰撞生成消息m对应的随机数t1,所述变色龙哈希函数的碰撞为:委托书w、整数t0的变色龙哈希函数值和消息m、随机数t1的变色龙哈希函数值相等,均为哈希值h2According to the temporary public key r2 , the random number t1 corresponding to the message m is generated based on the collision of the chameleon hash function, the collision of the chameleon hash function is: power of attorney w, the chameleon hash function value of the integer t0 and the message The chameleon hash function values of m and random numbert1 are equal, both of which are hash valueh2 ;由委托书签名、临时公钥r2,随机数t1构成消息m在委托书w下的代理签名。The signature of the power of attorney, the temporary public key r2 , and the random number t1 constitute the proxy signature of the message m under the power of attorney w.2.如权利要求1所述的方法,其特征在于,所述步骤1中,2. the method for claim 1 is characterized in that, in described step 1,根据安全参数k随机选择满足条件p0≡3mod8、q0≡7mod8的素数p0、q0作为原始签名人的私钥,并将p0、q0的乘积n0作为原始签名人公钥。According to the security parameter k, the prime numbers p0 and q 0 satisfying the conditions p0 ≡ 3mod8 and q0 ≡ 7mod8 are randomly selected as the private key of the original signer, and the product n0 of p0 andq 0is used as the public key of the original signer.3.如权利要求1或2所述的方法,其特征在于,所述步骤1中,3. The method according to claim 1 or 2, characterized in that, in the step 1,根据安全参数k随机选择两个素数p1、q1为代理签名人的私钥;Randomly select two prime numbers p1 and q1 as the private key of the proxy signer according to the security parameter k;取所述p1、q1的乘积为n1,选择乘法整数群
Figure FDA00003133921500011
上的一个整数λ(n1)阶的元素g,所述λ(n1)=2p1*q1*,整数p1*=p1-12,q1*=q1-12,则将所述n1、g作为代理签名人的公钥。Take the product of p1 and q1 as n1 , and select the multiplicative integer group
Figure FDA00003133921500011
An element g of order λ(n1 ) on an integer, the λ ( no 1 ) = 2 p 1 * q 1 * , integer p 1 * = p 1 - 1 2 , q 1 * = q 1 - 1 2 , Then, the n1 and g are used as the public key of the proxy signer.4.如权利要求3所述的方法,其特征在于,所述步骤2中,代理签名人从加法整数群
Figure FDA00003133921500015
中选择随机数k1作为临时私钥,并计算临时公钥
Figure FDA00003133921500016
4. The method according to claim 3, characterized in that, in said step 2, the proxy signer selects from the additive integer group
Figure FDA00003133921500015
Select the random number k1 as the temporary private key, and calculate the temporary public key
Figure FDA00003133921500016
5.如权利要求3所述的方法,其特征在于,步骤3中,得到所述委托书w签名包括下列步骤:5. The method according to claim 3, wherein in step 3, obtaining the power of attorney w signature comprises the following steps:原始签名人根据整数t0,计算变色龙哈希函数的哈希值,其中H2(w,r1)是输入为w||r1的哈希函数,符号“||”表示追加操作;再将哈希值h2和委托书w作为部分域哈希函数H0的输入,得到部分域哈希值hw=H1(h2,w);The original signer calculates the hash value of the chameleon hash function according to the integer t0 , where H2 (w,r1 ) is a hash function whose input is w||r1 , and the symbol "||" indicates an append operation; then the hash value h2 and the power of attorney w are used as the partial domain hash function H0 input, get partial domain hash value hw =H1 (h2 ,w);原始签名人基于雅克比符号来确定参数a0和b0的值:The original signer determines the values of parameters a0 and b0 based on the Jacobian sign:
Figure FDA00003133921500021
Figure FDA00003133921500021
原始签名人基于其私钥(p0,q0)对部分域哈希值hw进行签名,得到签名值s0s0≡(2-a0hw)n0-p0-q0+58modn0;The original signer signs the partial domain hash value hw based on its private key (p0 ,q0 ), and obtains the signature value s0 : the s 0 ≡ ( 2 - a 0 h w ) no 0 - p 0 - q 0 + 5 8 mod no 0 ;由参数a0、b0、s0构成所述委托书w签名;The power of attorney w signature is composed of parameters a0 , b0 , and s0 ;则所述步骤4中,有效性验证为:Then in the step 4, the validity verification is:代理签名人基于委托书w再次计算变色龙哈希函数的哈希值
Figure FDA00003133921500024
将所述哈希值
Figure FDA00003133921500025
和委托书w作为部分域哈希函数H1的输入,计算部分域哈希值hh*=H1(h2*,w),通过检验验证公式s02≡2-a02hw*(-1)b0modn0是否成立来完成有效性验证;
The proxy signer calculates the hash value of the chameleon hash function again based on the power of attorney w
Figure FDA00003133921500024
the hash value
Figure FDA00003133921500025
and the power of attorney w as the input of the partial domain hash function H1 to calculate the partial domain hash value h h * = h 1 ( h 2 * , w ) , Validate the formula by checking the s 0 2 ≡ 2 - a 0 2 h w * ( - 1 ) b 0 mod no 0 Whether it is established to complete the validity verification;
在所述步骤5中,生成消息m对应的随机数t1具体为:In the step 5, the random numbert1 corresponding to the generated message m is specifically:代理签名人选择随机数
Figure FDA00003133921500028
将临时私钥k1更新为k2,生成新的临时公钥r2≡gk2modn1,则随机数t1为:
The proxy signer chooses the random number
Figure FDA00003133921500028
Update the temporary private key k1 to k2 to generate a new temporary public key r 2 ≡ g k 2 mod no 1 , Then the random numbert1 is:
tt11≡≡tt00++((kk22--kk11))++22λλ((nno11))((Hh22((ww,,rr11))--Hh33((mm,,rr22))))modmodλλ((nno11)),,其中H3(m,r2)是输入为m||r2的哈希函数。Where H3 (m,r2 ) is a hash function whose input is m||r2 .
6.基于权利要求1的代理签名方法的签名验证方法,其特征在于,包括下列步骤:6. The signature verification method based on the proxy signature method of claim 1, characterized in that, comprising the following steps:验证消息m是否符合委托书w,若否,则终止;否则,Verify whether the message m conforms to the power of attorney w, if not, terminate; otherwise,基于委托书w,代理签名,以及代理签名人的公钥、原始签名人的公钥检验代理签名是否有效。Based on the power of attorney w, the proxy signature, and the public key of the proxy signer and the public key of the original signer, check whether the proxy signature is valid.7.基于权利要求6的代理签名方法的签名验证方法,其特征在于,包括下列步骤:7. The signature verification method based on the proxy signature method of claim 6, characterized in that, comprising the following steps:步骤S1:检验消息m是否符合委托书w,若是,则终止;否则,执行步骤S2;Step S1: Check whether the message m conforms to the power of attorney w, if so, terminate; otherwise, execute step S2;步骤S2:根据消息m、代理签名中的变色龙哈希函数的随机数t1,以及代理签名人的公钥n1,g、临时公钥r2计算变色龙哈希函数
Figure FDA000031339215000211
将所述哈希值
Figure FDA000031339215000212
和委托书w作为部分域哈希函数H1的输入,计算部分域哈希值
Figure FDA000031339215000213
Step S2: Calculate the chameleon hash function according to the message m, the random number t1 of the chameleon hash function in the proxy signature, and the public key n1 of the proxy signer, g, and the temporary public key r2
Figure FDA000031339215000211
the hash value
Figure FDA000031339215000212
and the power of attorney w as the input of the partial domain hash function H1 to calculate the partial domain hash value
Figure FDA000031339215000213
再基于原始签名人的公钥n0和代理签名,检验验证公式
Figure FDA00003133921500031
是否成立,若是,则表示代理签名有效;否则,代理签名无效。
Then, based on the public key n0 of the original signer and the proxy signature, verify the verification formula
Figure FDA00003133921500031
Whether it is established, if so, it means that the proxy signature is valid; otherwise, the proxy signature is invalid.
CN201310157442.2A2013-05-022013-05-02A kind of new allograph based on Integer Decomposition problem and verification methodExpired - Fee RelatedCN103259662B (en)

Priority Applications (1)

Application NumberPriority DateFiling DateTitle
CN201310157442.2ACN103259662B (en)2013-05-022013-05-02A kind of new allograph based on Integer Decomposition problem and verification method

Applications Claiming Priority (1)

Application NumberPriority DateFiling DateTitle
CN201310157442.2ACN103259662B (en)2013-05-022013-05-02A kind of new allograph based on Integer Decomposition problem and verification method

Publications (2)

Publication NumberPublication Date
CN103259662Atrue CN103259662A (en)2013-08-21
CN103259662B CN103259662B (en)2016-08-10

Family

ID=48963379

Family Applications (1)

Application NumberTitlePriority DateFiling Date
CN201310157442.2AExpired - Fee RelatedCN103259662B (en)2013-05-022013-05-02A kind of new allograph based on Integer Decomposition problem and verification method

Country Status (1)

CountryLink
CN (1)CN103259662B (en)

Cited By (14)

* Cited by examiner, † Cited by third party
Publication numberPriority datePublication dateAssigneeTitle
CN103475487A (en)*2013-09-222013-12-25国家电网公司Electronic check generating and verifying method based on chameleon hash function
CN103825739A (en)*2014-01-142014-05-28西安电子科技大学Authorization revocable directed proxy signature method
WO2015035861A1 (en)*2013-09-162015-03-19华为终端有限公司Certificateless multi-agent signature method and apparatus
CN106296184A (en)*2015-06-052017-01-04地气股份有限公司Electronic money management method and electronic-monetary system
CN103825882B (en)*2014-01-142017-04-26西安电子科技大学High non-camouflage realization method of revocable proxy signature
CN108200108A (en)*2018-04-112018-06-22吕航宇A kind of rivest, shamir, adelman and its application
CN110086631A (en)*2019-04-292019-08-02电子科技大学A kind of method of renewable chameleon hash function
CN110086599A (en)*2019-04-242019-08-02电子科技大学Hash calculation method and label decryption method based on homomorphism chameleon hash function
CN110175473A (en)*2019-05-222019-08-27西安电子科技大学Digital signature method based on difficult problem on lattice
CN111294379A (en)*2018-12-102020-06-16北京沃东天骏信息技术有限公司Block chain network service platform, authority hosting method thereof and storage medium
CN111556020A (en)*2020-03-272020-08-18江苏大学NDN access control method based on interest package signature edge verification
CN112703702A (en)*2018-06-152021-04-23艾欧特可有限公司Distributed authentication
CN114329618A (en)*2021-09-242022-04-12江苏海洋大学Proxy signature method based on Mambo
CN117094012A (en)*2023-08-212023-11-21中胜信用管理有限公司Intelligent verification method and system for electronic authorization order

Citations (3)

* Cited by examiner, † Cited by third party
Publication numberPriority datePublication dateAssigneeTitle
CN101051901A (en)*2006-06-152007-10-10上海交通大学Method and system for agent signature
US20080126801A1 (en)*2006-11-292008-05-29Samsung Electronics Co., LtdMethod and apparatus for generating proxy-signature on right object and issuing proxy signature certificate
KR20120065818A (en)*2010-12-132012-06-21한국전자통신연구원Identity-based proxy signature from lattices

Patent Citations (3)

* Cited by examiner, † Cited by third party
Publication numberPriority datePublication dateAssigneeTitle
CN101051901A (en)*2006-06-152007-10-10上海交通大学Method and system for agent signature
US20080126801A1 (en)*2006-11-292008-05-29Samsung Electronics Co., LtdMethod and apparatus for generating proxy-signature on right object and issuing proxy signature certificate
KR20120065818A (en)*2010-12-132012-06-21한국전자통신연구원Identity-based proxy signature from lattices

Non-Patent Citations (3)

* Cited by examiner, † Cited by third party
Title
FANGGUO ZHANG等: "An Efficient Signature Scheme from Bilinear Pairings and Its Applications", 《7TH INTERNATIONAL WORKSHOP ON THEORY AND PRACTICE IN PUBLIC KEY CRYPTOGRAPHY》*
周孟创等: "一种前向安全的定向代理签名方案", 《计算机工程》*
夏琦等: "对一种代理签名方案的密码学分析和改进", 《计算机应用》*

Cited By (23)

* Cited by examiner, † Cited by third party
Publication numberPriority datePublication dateAssigneeTitle
WO2015035861A1 (en)*2013-09-162015-03-19华为终端有限公司Certificateless multi-agent signature method and apparatus
CN104468476A (en)*2013-09-162015-03-25华为终端有限公司Method and device for certificateless multi-proxy signature
US9641340B2 (en)2013-09-162017-05-02Huawei Device Co., Ltd.Certificateless multi-proxy signature method and apparatus
CN104468476B (en)*2013-09-162017-12-05华为终端(东莞)有限公司Method and apparatus without certificate multi-proxy signature
CN103475487A (en)*2013-09-222013-12-25国家电网公司Electronic check generating and verifying method based on chameleon hash function
CN103825739A (en)*2014-01-142014-05-28西安电子科技大学Authorization revocable directed proxy signature method
CN103825739B (en)*2014-01-142017-03-22西安电子科技大学Authorization revocable directed proxy signature method
CN103825882B (en)*2014-01-142017-04-26西安电子科技大学High non-camouflage realization method of revocable proxy signature
CN106296184A (en)*2015-06-052017-01-04地气股份有限公司Electronic money management method and electronic-monetary system
CN108200108B (en)*2018-04-112021-02-05吕航宇Asymmetric encryption algorithm and application thereof
CN108200108A (en)*2018-04-112018-06-22吕航宇A kind of rivest, shamir, adelman and its application
CN112703702A (en)*2018-06-152021-04-23艾欧特可有限公司Distributed authentication
CN111294379A (en)*2018-12-102020-06-16北京沃东天骏信息技术有限公司Block chain network service platform, authority hosting method thereof and storage medium
CN111294379B (en)*2018-12-102022-06-07北京沃东天骏信息技术有限公司Block chain network service platform, authority hosting method thereof and storage medium
CN110086599A (en)*2019-04-242019-08-02电子科技大学Hash calculation method and label decryption method based on homomorphism chameleon hash function
CN110086631A (en)*2019-04-292019-08-02电子科技大学A kind of method of renewable chameleon hash function
CN110175473A (en)*2019-05-222019-08-27西安电子科技大学Digital signature method based on difficult problem on lattice
CN110175473B (en)*2019-05-222022-12-27西安电子科技大学Digital signature method based on lattice difficulty problem
CN111556020A (en)*2020-03-272020-08-18江苏大学NDN access control method based on interest package signature edge verification
CN111556020B (en)*2020-03-272022-09-16江苏大学 An NDN Access Control Method Based on Interest Packet Signature Edge Verification
CN114329618A (en)*2021-09-242022-04-12江苏海洋大学Proxy signature method based on Mambo
CN117094012A (en)*2023-08-212023-11-21中胜信用管理有限公司Intelligent verification method and system for electronic authorization order
CN117094012B (en)*2023-08-212024-04-30中胜信用管理有限公司Intelligent verification method and system for electronic authorization order

Also Published As

Publication numberPublication date
CN103259662B (en)2016-08-10

Similar Documents

PublicationPublication DateTitle
CN103259662A (en)Novel procuration signature and verification method based on integer factorization problems
CN103023648B (en)Based on elliptic curves discrete logarithm problem without certificate signature method
Zhou et al.An efficient identity authentication scheme with dynamic anonymity for VANETs
CN102420691B (en)Certificate-based forward security signature method and system thereof
CN102983971B (en)Certificateless signature algorithm for user identity authentication in network environment
CN106027262B (en)Multi-variable signing method resisting key recovery attack
CN104780050B (en)A kind of member of the forward secrecy based on elliptic curve is revocable without certificate group signature method
CN104219047B (en)A kind of method and apparatus of signature verification
CN104038493B (en)Bilinear pairing-free cloud storage data security audit method
CN106487786B (en)Cloud data integrity verification method and system based on biological characteristics
Qiao et al.An anonymous and efficient certificate-based identity authentication protocol for VANET
CN102883321A (en)Digital signature authentication method facing mobile widget
CN109861826A (en) A method and device for realizing bidirectional proxy re-signature
CN103220146B (en)Zero Knowledge digital signature method based on multivariate public key cryptosystem
CN104320259A (en)Certificateless signature method based on Schnorr signature algorithm
Zhou et al.An anonymous and efficient multimessage and multireceiver certificateless signcryption scheme for VANET
CN103220147A (en)Strongly designated verifier signature method based on multivariate public key cryptosystem
Li et al.An Efficient Certificateless Aggregate Signature Scheme Designed for VANET.
Wu et al.Cryptanalysis and improvement of a new certificateless signature scheme in the standard model
CN108390866B (en)Trusted remote certification method and system based on double-agent bidirectional anonymous authentication
Xu et al.Group authentication for cloud-to-things computing: Review and improvement
CN116346328A (en) A digital signature method, system, device and computer-readable storage medium
Ye et al.Designing anonymous signature-based identity authentication scheme for ocean multilevel transmission
CN105187208B (en)The unauthorized strong designated verifier signature system based on no certificate
CN111147240B (en) A privacy protection method and system with traceability

Legal Events

DateCodeTitleDescription
C06Publication
PB01Publication
C10Entry into substantive examination
SE01Entry into force of request for substantive examination
C14Grant of patent or utility model
GR01Patent grant
CF01Termination of patent right due to non-payment of annual fee
CF01Termination of patent right due to non-payment of annual fee

Granted publication date:20160810

Termination date:20200502


[8]ページ先頭

©2009-2025 Movatter.jp