
技术领域technical field
本发明专利涉及一种为高等院校材料力学实验教学而研制的实验装置,尤其涉及一种用电测法测试等强度梁弯扭组合梁内应力实验装置。The patent of the present invention relates to an experimental device developed for the experimental teaching of material mechanics in colleges and universities, in particular to an experimental device for testing the internal stress of bending-torsion composite beams of equal strength beams by electrical measurement.
背景技术Background technique
等强度梁实验和弯扭组合梁实验是国家教委批准颁布的材料力学课程实验教学大纲规定的必做实验之一,并且要求每个实验的人数为1-2人一组实施,目前开展这些实验所用设备组件都离不开力传感器、测力显示仪器,力传感器和测力显示仪器是设备的核心关键部分,费用成本很高,为此需要为材料力学实验研制出一种不通过力传感器加载,不用测力显示仪器,操作简便,一机多用,成本低的实验装置。The equal strength beam experiment and the bending and torsion composite beam experiment are one of the compulsory experiments stipulated in the experimental syllabus of material mechanics course approved and promulgated by the State Education Commission, and each experiment is required to be carried out in a group of 1-2 people. Currently, these experiments are carried out The equipment components used are inseparable from the force sensor and the force-measuring display instrument. The force sensor and the force-measuring display instrument are the core and key parts of the equipment, and the cost is very high. Therefore, it is necessary to develop a method for material mechanics experiments that does not load through the force sensor. , no force measuring and display instrument, easy to operate, multi-purpose, low-cost experimental device.
发明内容Contents of the invention
本发明专利的目的在于提供了一种不通过力传感器加载,不用测力显示仪器,用电测法测试等强度梁和弯扭组合梁内应力实验装置,该实验装置克服现有实验设备通过力传感器加载,测力显示仪器显示力值,一机不能多用的缺陷,采用通用底座通过换装二种梁,可完成材料力学实验教学大纲的多个实验内容,载荷大小直接用砝码加载,测试梁表面粘贴电阻应变片或电阻应变花,电阻应变片或电阻应变花的信号输入静态电阻应变仪,梁受力后静态电阻应变仪测出应变值,把应变值代入实测计算公式算出梁截面上应力大小,再与理论值比较,具有操作简单,加载准确,成本低等优点。The purpose of the patent of the present invention is to provide an experimental device for testing the internal stress of equal-strength beams and bending-torsion composite beams by electrical measurement without loading by a force sensor and without a force-measuring display instrument. The sensor is loaded, the force measurement display instrument displays the force value, the defect that one machine cannot be used for multiple purposes, and the universal base is used to replace two types of beams, and multiple experimental contents of the material mechanics experiment syllabus can be completed. The load size is directly loaded with weights, and the test Paste resistance strain gauges or resistance strain rosettes on the surface of the beam, and input the signal of the resistance strain gauges or resistance strain gauges into the static resistance strainmeter. After the beam is stressed, the static resistance strainmeter measures the strain value, and substitutes the strain value into the actual measurement calculation formula to calculate the stress on the beam section. , and compared with the theoretical value, it has the advantages of simple operation, accurate loading and low cost.
本发明是这样来实现的,它包括通用底座、立柱、梁安装位置、螺纹孔、等强度梁、弯扭组合梁、定位块、安装孔、电阻应变片、加载杆、砝码座、弯扭组合梁、电阻应变花、加载臂、静态电阻应变仪,其特征是通用底座左端中间垂直固定连接立柱,立柱上端是梁安装位置,梁安装位置平面上设有四个螺纹孔用于安装等强度梁(变截面梁)和弯扭组合梁(薄壁圆管截面);等强度梁左端固定连接定位块,定位块上设有四个安装孔,等强度梁中端位置上下表面粘贴了四枚电阻应变片,等强度梁右端垂直连接活动加载杆,加载杆的下端连接砝码座;弯扭组合梁左端固定连接定位块,定位块上设有四个安装孔,弯扭组合梁左端与轴线互相垂直的四个方向的圆周表面上粘贴了四枚电阻应变花,弯扭组合梁右端垂直固定连接加载臂,加载臂的另一端垂直连接活动加载杆,加载杆的下端连接砝码座。等强度梁上电阻应变片和弯扭组合梁上电阻应变花的信号输入静态电阻应变仪,梁受力后静态电阻应变仪显示不同梁上应变值的大小。The present invention is realized in this way, which includes a general base, a column, a beam installation position, a threaded hole, an equal-strength beam, a bending-torsion composite beam, a positioning block, a mounting hole, a resistance strain gauge, a loading rod, a weight seat, a bending-torsion Composite beams, resistance strain rosettes, loading arms, and static resistance strain gauges are characterized in that the middle of the left end of the universal base is vertically fixed and connected to the column, and the upper end of the column is the installation position of the beam. There are four threaded holes on the plane of the installation position of the beam for installation and other strength. Beams (variable cross-section beams) and bending-torsion composite beams (thin-walled circular tube cross-sections); the left end of the equal-strength beam is fixedly connected to the positioning block, and there are four mounting holes on the positioning block, and four resistance strain gauges are pasted on the upper and lower surfaces of the middle end of the equal-strength beam. The right end of the equal-strength beam is vertically connected to the movable loading rod, and the lower end of the loading rod is connected to the weight seat; the left end of the bending-torsion composite beam is fixedly connected to the positioning block, and there are four installation holes on the positioning block. The left end of the bending-torsion composite beam is perpendicular to the axis. Four resistance strain rosettes are pasted on the circumferential surface in three directions, the right end of the bending-torsion composite beam is vertically fixedly connected to the loading arm, the other end of the loading arm is vertically connected to the movable loading rod, and the lower end of the loading rod is connected to the weight seat. The signals of the resistance strain gauges on the equal-strength beam and the resistance strain rosettes on the bending-torsion composite beam are input to the static resistance strain gauge, and the static resistance strain gauge displays the strain values on different beams after the beam is stressed.
本发明的技术效果是:该实验装置不通过力传感器加载,不用测力显示仪器,在测试梁上粘贴电阻应变片或电阻应变花,用电测法测试出等强度梁和弯扭组合梁截面上应力大小,再与理论值比较。该实验装置克服现有实验设备一机不能多用的缺陷,采用通用底座通过换装二种梁,可完成材料力学实验教学大纲的多个实验内容,载荷大小直接用砝码加载,最大加载负荷500N,更具有体积小、结构简单,加载准确,易于拆卸,成本低等优点。The technical effect of the present invention is: the experimental device is not loaded by a force sensor, and does not need a force measuring display instrument, and a resistance strain gauge or a resistance strain rosette is pasted on the test beam, and the cross-section of the equal-strength beam and the bending-torsion composite beam is tested by the electric measurement method The magnitude of the upper stress is compared with the theoretical value. The experimental device overcomes the defect that the existing experimental equipment cannot be used for multiple purposes. It adopts a general base and can complete multiple experimental contents in the material mechanics experiment syllabus by replacing two types of beams. The load is directly loaded with weights, and the maximum load is 500N. , and has the advantages of small size, simple structure, accurate loading, easy disassembly and low cost.
附图说明Description of drawings
图1为本发明的结构示意图。Fig. 1 is a structural schematic diagram of the present invention.
在图中,1.电阻应变花 2.弯扭组合梁 3.加载臂 4.电阻应变片 5.等强度梁 6.加载杆 7.砝码座 8.立柱 9.通用底座 10.调平螺杆 11.螺纹孔 12.梁安装位置 13.安装孔 14.定位块。 In the figure, 1. Resistance strain flower 2. Bending and torsion combined
具体实施方式Detailed ways
如图1所示,通用底座(9)左端中间垂直固定连接立柱(8),立柱(8)上端是梁安装位置(12),梁安装位置(12)平面上设有四个螺纹孔(11)用于安装等强度梁(5)和弯扭组合梁(2);等强度梁(5)左端固定连接定位块(14),定位块(14)上设有四个安装孔(13),等强度梁(5)中端位置上下表面粘贴了四枚电阻应变片(4),等强度梁(5)右端垂直连接活动加载杆(6),加载杆(6)的下端连接砝码座(7);弯扭组合梁(2)左端固定连接定位块(14),定位块(14)上设有四个安装孔(13),弯扭组合梁(2)左端与轴线互相垂直的四个方向的圆周表面上粘贴了四枚直角电阻应变花(1),弯扭组合梁(2)右端垂直固定连接加载臂(3),加载臂(3)的另一端垂直连接活动加载杆(6),加载杆(6)的下端连接砝码座(7),通用底座(9)下端连有四个调平螺杆(10),调平螺杆(10)将通用底座(9)调至水平位置,使用时,将等强度梁(5)左端定位块(14)用四个六角螺栓安装固定在梁安装位置(12)上,将电阻应变片(4)按不同桥路接入静态电阻应变仪,在砝码座(7)上加上标准砝码,每次加100N,最大加到500N,等强度梁(5)受力变形后就有应力,等强度梁(5)上电阻应变片(4)就有应变产生,应变值大小在静态电阻应变仪显示出来,将应变值代入计算公式,得到等强度梁(5)上变截面处内应力实测值。将弯扭组合梁(2)左端定位块用四个六角螺栓安装固定在梁安装位置(12)上,将四组电阻应变花(1)按四分之一桥路分别接入静态电阻应变仪,在砝码座(7)上加上标准砝码,每次加100N,最大加到500N,弯扭组合梁(2)受力变形后就有应力,弯扭组合梁(2)上电阻应变花(1)就有应变产生,应变值大小在静态电阻应变仪显示出来,将应变值代入计算公式,得到弯扭组合梁(2)上四个点主应力大小和方向实测值。将弯扭组合梁(2)左端定位块用四个六角螺栓安装固定在梁安装位置(12)上,用上下两测点的 片组成半桥,用左右两测点的和片组成全桥,用左右两测点的和片组成全桥,分别接入静态电阻应变仪,在砝码座(7)上加上标准砝码,每次加100N,最大加到500N,弯扭组合梁(2)受力变形后横截面上就有内力素,弯扭组合梁(2)上就有应变产生,应变值大小在静态电阻应变仪显示出来,将应变值代入计算公式,得到弯扭组合梁(2)粘贴电阻应变花(1)处横截面上弯矩、扭矩、剪力实测值。As shown in Figure 1, the middle of the left end of the universal base (9) is vertically fixedly connected to the column (8), and the upper end of the column (8) is the beam installation position (12), and the plane of the beam installation position (12) is provided with four threaded holes (11 ) is used to install the equal-strength beam (5) and the bending-torsion composite beam (2); the left end of the equal-strength beam (5) is fixedly connected to the positioning block (14), and the positioning block (14) is provided with four installation holes (13), Four resistance strain gauges (4) are pasted on the upper and lower surfaces of the middle end of the equal-strength beam (5), the right end of the equal-strength beam (5) is vertically connected to the movable loading rod (6), and the lower end of the loading rod (6) is connected to the weight seat ( 7); the left end of the bending-torsion composite beam (2) is fixedly connected to the positioning block (14), and the positioning block (14) is provided with four installation holes (13), and the left end of the bending-torsion composite beam (2) is perpendicular to the axis. Four right-angle resistance strain rosettes (1) are pasted on the circumferential surface of the direction, the right end of the bending-torsion composite beam (2) is vertically fixedly connected to the loading arm (3), and the other end of the loading arm (3) is vertically connected to the movable loading rod (6) , the lower end of the loading rod (6) is connected to the weight base (7), the lower end of the universal base (9) is connected to four leveling screws (10), and the leveling screw (10) adjusts the universal base (9) to a horizontal position, When in use, install and fix the left end positioning block (14) of the equal-strength beam (5) on the beam installation position (12) with four hexagonal bolts, connect the resistance strain gauges (4) to the static resistance strain gauges according to different bridges, Add standard weights on the weight base (7), add 100N each time, and add up to 500N at most. After the equal strength beam (5) is stressed and deformed, there will be stress, and the resistance strain gauge (4) on the equal strength beam (5) will ) will generate strain, and the strain value will be displayed on the static resistance strain gauge, and the strain value will be substituted into the calculation formula to obtain the measured value of the internal stress at the upper variable section of the equal-strength beam (5). Install and fix the positioning block at the left end of the bending-torsion composite beam (2) on the beam installation position (12) with four hexagonal bolts, and connect the four sets of resistance strain rosettes (1) to the static resistance strain gauges according to the quarter bridge , add standard weights on the weight base (7), add 100N each time, and add up to 500N at most, the bending-torsion composite beam (2) will have stress after being deformed by force, and the resistance strain on the bending-torsion composite beam (2) The flower (1) has a strain, and the strain value is displayed on the static resistance strain gauge, and the strain value is substituted into the calculation formula to obtain the measured values of the principal stress magnitude and direction of the four points on the bending-torsion composite beam (2). Install and fix the positioning block at the left end of the bending-torsion composite beam (2) on the beam installation position (12) with four hexagonal bolts, and use the upper and lower measuring points The slices form a half bridge, using the left and right measuring points and The slices form a full bridge, using the left and right measuring points and The pieces form a full bridge, respectively connected to static resistance strain gauges, adding standard weights on the weight base (7), adding 100N each time, up to 500N at the most, and the cross-section of the bending-torsion composite beam (2) after stress deformation There is an internal force element on it, and there is strain on the bending-torsion composite beam (2), and the strain value is displayed on the static resistance strain gauge. Substituting the strain value into the calculation formula, the bending-torsion composite beam (2) is pasted with resistance strain flowers ( 1) Measured values of bending moment, torque, and shear force on the cross section.
本发明的工作原理是:本发明的一种不通过力传感器加载,不用测力显示仪器,用电测法测试等强度梁(变截面梁)上应力分布和弯扭组合梁上主应力大小、方向、内力素测定。所谓电测法是用电阻应变片作为传感元件,将被测构件表面指定点的应变转换成电阻变化,再通过电阻应变仪将此电阻变化转换成电压(或电流)的变化并加以放大,然后以应变的标度给出指示,将得到的应变代入实测计算公式,就可得到等强度梁和弯扭组合梁上内应力实测值,用实测值跟理论值相比较,验证实测值的误差。The working principle of the present invention is: one of the present invention does not load through a force sensor, does not use a force measuring display instrument, and uses an electrical measurement method to test the stress distribution on the equal-strength beam (variable cross-section beam) and the magnitude of the principal stress on the bending-torsion composite beam, Direction, determination of internal forces. The so-called electrical measurement method uses a resistance strain gauge as a sensing element to convert the strain at a specified point on the surface of the component under test into a change in resistance, and then converts the change in resistance into a change in voltage (or current) through the resistance strain gauge and amplifies it. Then use the strain scale to give an indication, and substitute the obtained strain into the measured calculation formula to obtain the measured value of the internal stress on the equal-strength beam and the bending-torsion composite beam, and compare the measured value with the theoretical value to verify the error of the measured value .
当等强度梁上定位块用螺栓安装固定在梁安装位置后,等强度梁上的应变片接入静态电阻应变仪(按要求接成四分之一桥、半桥、全桥),在砝码座上放上标准砝码后,等强度梁上电阻应变片的应变在静态电阻应变仪显示出来,可做等强度梁变截面上的应力测试实验并证实此梁是等强度梁;电阻应变片灵敏系数K值的标定实验;根据电桥原理,电桥三种桥路(四分之一桥、半桥、全桥)的组桥练习实验。理论计算等强度梁上应力公式: 实测计算等强度梁上应力公式为应变仪读数。当弯扭组合梁上定位块用螺栓安装固定在梁安装位置后,弯扭组合梁上的应变花分别接入静态电阻应变仪,在砝码座上放上标准砝码后,弯扭组合梁上电阻应变花的应变在静态电阻应变仪显示出来,可做弯扭组合梁上四个点主应力大小和方向的测定实验;弯扭组合梁变形下横截面上内力素(弯矩、扭矩、剪力)的测定实验;扭转剪切弹性常数G的测定实验。After the positioning block on the equal-strength beam is installed and fixed at the installation position of the beam with bolts, the strain gauge on the equal-strength beam is connected to a static resistance strain gauge (connected into a quarter bridge, half bridge, or full bridge as required). After the standard weight is placed on the code base, the strain of the resistance strain gauge on the constant strength beam is displayed on the static resistance strain gauge, and the stress test experiment on the variable section of the constant strength beam can be done to confirm that the beam is a constant strength beam; the resistance strain Calibration experiment of sheet sensitivity coefficient K value; according to the principle of electric bridge, bridge practice experiment of three bridge circuits (quarter bridge, half bridge, full bridge). Theoretical calculation formula of stress on equal strength beam: Measured and Calculated Stress Formulas on Equal Strength Beams is the strain gauge reading. After the positioning block on the bending-torsion composite beam is installed and fixed at the installation position of the beam with bolts, the strain rosettes on the bending-torsion composite beam are respectively connected to the static resistance strain gauge, and after standard weights are placed on the weight base, the bending-torsion composite beam The strain of the upper resistance strain flower is displayed on the static resistance strain gauge, which can be used to measure the magnitude and direction of the principal stress at four points on the bending-torsion composite beam; the internal forces (bending moment, torque, Determination experiment of shear force); Determination experiment of torsional shear elastic constant G.
理论计算主应力大小公式: Theoretical calculation principal stress formula:
实测计算主应力大小公式:Measured and calculated principal stress formula:
为电阻应变花在应变仪的读数 The strain gauge readings for the resistive strain
理论计算主应力方向公式: 为主应力方向角度Theoretical calculation principal stress direction formula: principal stress direction angle
实测计算主应力方向公式: 为主应力方向角度Measured and calculated principal stress direction formula: principal stress direction angle
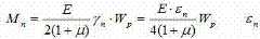
理论计算弯矩公式:为力臂长度Theoretical calculation bending moment formula: is the arm length
实测计算弯矩公式: 为应变仪读数Measured and calculated bending moment formula: for the strain gauge reading
理论计算扭矩公式:为扭转半径Theoretical calculation torque formula: is the twist radius
实测计算扭矩公式: 为应变仪读数Measured and calculated torque formula: for the strain gauge reading
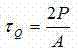
理论计算弯曲剪应力公式: 为横截面积Theoretical calculation bending shear stress formula: is the cross-sectional area
实测计算弯曲剪应力公式: 为应变仪读数Measured and calculated bending shear stress formula: for the strain gauge reading
理论计算剪切弹性常数公式: 为泊松比Theoretical calculation shear elastic constant formula: Poisson's ratio
实测计算剪切弹性常数公式: 为扭矩引起的剪应变。Measured and calculated shear elastic constant formula: is the shear strain induced by torque.
| Application Number | Priority Date | Filing Date | Title |
|---|---|---|---|
| CN201310141591XACN103247209A (en) | 2013-04-23 | 2013-04-23 | Experimental device for testing internal stress of constant strength beam and torsion combination beam with electric measurement method |
| Application Number | Priority Date | Filing Date | Title |
|---|---|---|---|
| CN201310141591XACN103247209A (en) | 2013-04-23 | 2013-04-23 | Experimental device for testing internal stress of constant strength beam and torsion combination beam with electric measurement method |
| Publication Number | Publication Date |
|---|---|
| CN103247209Atrue CN103247209A (en) | 2013-08-14 |
| Application Number | Title | Priority Date | Filing Date |
|---|---|---|---|
| CN201310141591XAPendingCN103247209A (en) | 2013-04-23 | 2013-04-23 | Experimental device for testing internal stress of constant strength beam and torsion combination beam with electric measurement method |
| Country | Link |
|---|---|
| CN (1) | CN103247209A (en) |
| Publication number | Priority date | Publication date | Assignee | Title |
|---|---|---|---|---|
| CN103761910A (en)* | 2014-01-13 | 2014-04-30 | 河海大学 | Structural mechanics displacement method experimental device and structural mechanics displacement method presentation method |
| CN103791827A (en)* | 2014-02-25 | 2014-05-14 | 哈尔滨工业大学(威海) | Strain structure inside cross section corner sensor and calibration method thereof |
| CN104050848A (en)* | 2014-06-10 | 2014-09-17 | 安徽农业大学 | Material mechanics multi-experiment synchronous measuring device |
| CN104269088A (en)* | 2014-10-25 | 2015-01-07 | 安徽工程大学 | Mechanical experimental device and method for conducting experiment by applying same |
| CN104316230A (en)* | 2014-11-18 | 2015-01-28 | 大连海事大学 | Method and device for measuring vector force borne by cylindrical beam |
| CN106205310A (en)* | 2016-08-23 | 2016-12-07 | 安徽理工大学 | Simple resistance strain type sensor calibration system device and scaling method are made in a kind of experimental teaching by oneself |
| CN107633743A (en)* | 2017-10-20 | 2018-01-26 | 昆明理工大学 | A kind of easy combination beam comprehensive experimental device |
| CN114184495A (en)* | 2021-12-09 | 2022-03-15 | 中国船舶科学研究中心 | Ship equivalent beam sensitivity coefficient calibration fixing device and measuring method |
| Publication number | Priority date | Publication date | Assignee | Title |
|---|---|---|---|---|
| JPS62188784U (en)* | 1986-05-23 | 1987-12-01 | ||
| CN201421416Y (en)* | 2009-04-03 | 2010-03-10 | 天津商业大学 | A Simple Experimental Device Applicable to the Course of Mechanics of Materials in Colleges and Universities |
| CN201464278U (en)* | 2009-08-31 | 2010-05-12 | 龚健 | Multi-function laboratory table for material mechanics |
| CN201853397U (en)* | 2010-11-19 | 2011-06-01 | 南昌航空大学 | Multifunctional Experimental Device for Mechanics of Materials |
| Publication number | Priority date | Publication date | Assignee | Title |
|---|---|---|---|---|
| JPS62188784U (en)* | 1986-05-23 | 1987-12-01 | ||
| CN201421416Y (en)* | 2009-04-03 | 2010-03-10 | 天津商业大学 | A Simple Experimental Device Applicable to the Course of Mechanics of Materials in Colleges and Universities |
| CN201464278U (en)* | 2009-08-31 | 2010-05-12 | 龚健 | Multi-function laboratory table for material mechanics |
| CN201853397U (en)* | 2010-11-19 | 2011-06-01 | 南昌航空大学 | Multifunctional Experimental Device for Mechanics of Materials |
| Title |
|---|
| 耿运贵: "等强度悬臂梁实验装置的设计和应用", 《焦作矿业学院学报》* |
| 赵巍: "应用等强度梁测定电阻应变片灵敏系数", 《唐山高等专科学校学报》* |
| 邢世建等: ""电测应力实验"的实验教学改革与实践", 《改革与探索》* |
| Publication number | Priority date | Publication date | Assignee | Title |
|---|---|---|---|---|
| CN103761910A (en)* | 2014-01-13 | 2014-04-30 | 河海大学 | Structural mechanics displacement method experimental device and structural mechanics displacement method presentation method |
| CN103761910B (en)* | 2014-01-13 | 2016-05-25 | 河海大学 | A kind of structural mechanics displacement method experimental provision and structural mechanics displacement method demenstration method |
| CN103791827A (en)* | 2014-02-25 | 2014-05-14 | 哈尔滨工业大学(威海) | Strain structure inside cross section corner sensor and calibration method thereof |
| CN103791827B (en)* | 2014-02-25 | 2016-06-08 | 哈尔滨工业大学(威海) | A kind of strain-type inside configuration sectional twisting angle sensor and scaling method thereof |
| CN104050848A (en)* | 2014-06-10 | 2014-09-17 | 安徽农业大学 | Material mechanics multi-experiment synchronous measuring device |
| CN104269088A (en)* | 2014-10-25 | 2015-01-07 | 安徽工程大学 | Mechanical experimental device and method for conducting experiment by applying same |
| CN104316230A (en)* | 2014-11-18 | 2015-01-28 | 大连海事大学 | Method and device for measuring vector force borne by cylindrical beam |
| CN106205310A (en)* | 2016-08-23 | 2016-12-07 | 安徽理工大学 | Simple resistance strain type sensor calibration system device and scaling method are made in a kind of experimental teaching by oneself |
| CN107633743A (en)* | 2017-10-20 | 2018-01-26 | 昆明理工大学 | A kind of easy combination beam comprehensive experimental device |
| CN114184495A (en)* | 2021-12-09 | 2022-03-15 | 中国船舶科学研究中心 | Ship equivalent beam sensitivity coefficient calibration fixing device and measuring method |
| CN114184495B (en)* | 2021-12-09 | 2024-01-26 | 中国船舶科学研究中心 | Ship equivalent Liang Lingmin degree coefficient calibration fixing device and determination method |
| Publication | Publication Date | Title |
|---|---|---|
| CN103247209A (en) | Experimental device for testing internal stress of constant strength beam and torsion combination beam with electric measurement method | |
| CN201421416Y (en) | A Simple Experimental Device Applicable to the Course of Mechanics of Materials in Colleges and Universities | |
| CN203758495U (en) | Clamping device suitable for rock deformation testing sensor calibration | |
| CN102519652A (en) | Bolt pre-tightening force testing device and control method thereof | |
| CN204202812U (en) | The caliberating device of simple and easy force cell | |
| CN103278399A (en) | Experimental device for testing elasticity modulus G of material | |
| CN108801205A (en) | A kind of sensitivity calibration device and scaling method of strain transducer | |
| CN102735539B (en) | Resistance strain type eccentric-eliminating extensometer and use method thereof | |
| CN106353183B (en) | Internal force measurement and calibration device and calibration method thereof | |
| CN103592216B (en) | The stress-strain test instrument of a kind of sealing strip and spring and method of testing thereof | |
| CN106813816B (en) | Load balance measurement | |
| Watson | Bonded electrical resistance strain gages | |
| CN103091192B (en) | A calibration device and method for an electromagnetic micro-torque material testing machine | |
| CN201653642U (en) | Calibration device for miniature pressure sensor | |
| NO125688B (en) | ||
| CN204029218U (en) | A kind of Comprehensive Experiment equipment for Design of Experimental Teaching Mode of Mechanics | |
| CN207396254U (en) | A kind of auxiliary device based on the calibrating of bolt torsion tester torque | |
| CN102507055B (en) | A method for measuring fracture energy in crack test of small sample pin tester | |
| CN206161429U (en) | Internal force is measured and calibration device thereof | |
| CN202485991U (en) | Rigid material strain test instrument | |
| CN104299483A (en) | Bridge type Young modulus combined instrument | |
| CN210155944U (en) | Simple teaching experiment device for measuring internal force of structure | |
| Suryana et al. | Strain gage for mass sensor using cantilever beam | |
| CN103419165A (en) | High-precision torque wrench and checkout, installation and detection method thereof | |
| Raguž et al. | Designing and calibration of the system for remote strain control |
| Date | Code | Title | Description |
|---|---|---|---|
| C06 | Publication | ||
| PB01 | Publication | ||
| C10 | Entry into substantive examination | ||
| SE01 | Entry into force of request for substantive examination | ||
| C02 | Deemed withdrawal of patent application after publication (patent law 2001) | ||
| WD01 | Invention patent application deemed withdrawn after publication | Application publication date:20130814 |