Movatterモバイル変換


[0]ホーム

URL:


CN103218254A - Multi-queue automatic fare collection data processing method - Google Patents

Multi-queue automatic fare collection data processing method
Download PDF

Info

Publication number
CN103218254A
CN103218254ACN2013101287273ACN201310128727ACN103218254ACN 103218254 ACN103218254 ACN 103218254ACN 2013101287273 ACN2013101287273 ACN 2013101287273ACN 201310128727 ACN201310128727 ACN 201310128727ACN 103218254 ACN103218254 ACN 103218254A
Authority
CN
China
Prior art keywords
data
thread
formation
pond
fare collection
Prior art date
Legal status (The legal status is an assumption and is not a legal conclusion. Google has not performed a legal analysis and makes no representation as to the accuracy of the status listed.)
Granted
Application number
CN2013101287273A
Other languages
Chinese (zh)
Other versions
CN103218254B (en
Inventor
王子龙
陈朝晖
张少文
Current Assignee (The listed assignees may be inaccurate. Google has not performed a legal analysis and makes no representation or warranty as to the accuracy of the list.)
Guangzhou Huajia Software Co.,Ltd.
Original Assignee
GUANGZHOU PCI TECHNOLOGY Co Ltd
Priority date (The priority date is an assumption and is not a legal conclusion. Google has not performed a legal analysis and makes no representation as to the accuracy of the date listed.)
Filing date
Publication date
Application filed by GUANGZHOU PCI TECHNOLOGY Co LtdfiledCriticalGUANGZHOU PCI TECHNOLOGY Co Ltd
Priority to CN201310128727.3ApriorityCriticalpatent/CN103218254B/en
Publication of CN103218254ApublicationCriticalpatent/CN103218254A/en
Application grantedgrantedCritical
Publication of CN103218254BpublicationCriticalpatent/CN103218254B/en
Activelegal-statusCriticalCurrent
Anticipated expirationlegal-statusCritical

Links

Images

Landscapes

Abstract

The invention discloses a multi-queue automatic fare collection data processing method, which comprises the following steps of firstly establishing a first-level queue and a distribution thread pool as well as a second-level queue and a business processing thread pool corresponding to the second-level queue during a data processing process of computer equipment; utilizing the first-level queue to receive a real-time data packet of front-end station equipment, and putting the data packet in the second-level queue after parsing the data packet and judging the type by using the distribution thread pool; and obtaining the preset type of data packet from the corresponding second-queue and carrying out business processing by the business processing thread pool, so as to complete the data processing process. The method can fully utilize computer hardware resources to enhance the automatic far collection data processing efficiency, has good flexibility and strong scalability, and is especially suitable for use in various automatic fare collection stations.

Description

A kind of AFC (Automatic Fare Collection) data processing method of many formations
Technical field
The present invention relates to data in server disposal route in a kind of distributed system, particularly relate to the many formations AFC (Automatic Fare Collection) data processing method in a kind of AFC system.
Background technology
In the AFC system of subway station, equipment and station computer are formed the distributed system of a sealing, all devices is sent to station computer to the AFC (Automatic Fare Collection) data that produce at any time by network and handles in real time, and in time feed back to the station operating personnel, finish information sharing and monitoring.The AFC system data processing efficiency is normal to the station, high-efficient operation is most important.
Along with the subway business development, traditional AFC (Automatic Fare Collection) data processing method can't satisfy flexibly, the lot of data processing requirements.Its reason is: at first, in the subway line, the scale of each website is inconsistent, causes data volume that the station computer of each website handles and inequality; Secondly, along with updating of subway business, traffic data type constantly changes, and the data volume that equipment produces is also in continuous growth.As changing by increasing number of computers reply data volume, so the hardware input cost and at the software development design cost of many computing machines all than higher, and the computer hardware performance is upgraded and is promoted comparatively fast, makes that later stage HardwareUpgring cost is higher.So under former mentality of designing, the active computer hardware resource can't be given full play to and use to traditional automatic ticketing data processing method, bring adverse effect for the efficient use of hardware resource and ticket sale system, and cause the bigger wasting of resources.
How to make that existing AFC system forms efficiently, low-cost, easy flexible running status, the raising data handling procedure is wanted the problem that solves with regard to becoming the present invention.
Summary of the invention
In view of above-mentioned the deficiencies in the prior art, the present invention aims to provide a kind of AFC (Automatic Fare Collection) data processing method of many formations, the low-cost expansion scheme of software view is provided for computer equipment, guaranteeing on the basis of data-handling efficiency, calculate the phenomenon that realizes that reply AFC system data volume constantly changes by configuration, with operation, the regulatory requirement that satisfies the AFC (Automatic Fare Collection) station.
The present invention is achieved by the following technical solutions:
A kind of AFC (Automatic Fare Collection) data processing method of many formations is characterized in that concrete steps comprise:
Step 1, in the computer equipment data handling procedure, at first set up: one-level formation and dispatch thread pond, and the secondary formation and with secondary formation corresponding service processing threads pond.
Step 2, utilize the real time data bag of described one-level formation receiving front-end station equipment, simultaneously, the one-level formation also provides the CPU that blocks the machine-processed equipment that uses a computer, detailed process is: do not have data in the one-level formation as described, thread in the described dispatch thread pond can block when obtaining data, just continues to carry out after obtaining data; After data packet number reaches the upper limit in the one-level formation as described, will no longer receive packet.
Step 3, obtain data from described one-level formation by described dispatch thread pond, the resolution data bag and judge type after put into described secondary formation.
Step 4, described secondary formation receive the packet that meets preset kind from described dispatch thread pond, simultaneously, the secondary formation also provides the CPU that blocks the machine-processed equipment that uses a computer, detailed process is: do not have data in the secondary formation as described, thread in the corresponding service processing threads pond can block when obtaining data, just continues to carry out after obtaining data; After data packet number reached the upper limit in the secondary formation as described, the dispatch thread pond can send obstruction when depositing data in, up to etc. just continue after the success to be deposited to carry out.
The packet that step 5, described business processing thread pool obtain from the described secondary formation of correspondence carries out business processing, finishes data handling procedure.
If packet requires to return, then the data that business processing is finished are assembled the packet that returns, and send back to by network service.
The quantity in described one-level formation and dispatch thread pond respectively is one, and the thread in dispatch thread pond is carried out with concurrent or parallel mode.
The quantity of described secondary formation is one or more; The quantity of described business processing thread pool is identical with described secondary number of queues and corresponding one by one, the data in the secondary formation of a correspondence of the only responsible processing of corresponding service processing thread pool; The thread of described business processing thread pool is carried out with concurrent or parallel mode.
The capacity of the capacity of described one-level formation and secondary formation calculates from corresponding calculated machine equipment memory size and anticipatory data bag treatment capacity respectively, and formula is as follows:
Figure BSA00000878734200031
Figure BSA00000878734200032
Wherein, N is the number of secondary formation, DT1... DTnBe the data strip number that each formation per second expection is handled, PM is the size of every data of expection, and TM is the computer equipment memory size, and FQ is an one-level queue assignment size, SQiIt is the allocated size of i secondary formation.
In the described dispatch thread pond in number of threads and the described business processing thread pool number of threads calculate from the CPU quantity and the anticipatory data bag treatment effeciency of computer equipment respectively, formula is as follows:
Figure BSA00000878734200033
Figure BSA00000878734200034
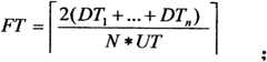
Wherein N is the number of secondary formation, DT1... DTnBe the data strip number that each formation per second expection is handled, UT is a CPU sum in the computer equipment, the number of threads that FT distributes for the dispatch thread pond, STiIt is thread quantity allotted in i the secondary formation business processing thread pool.
Thread in thread in the described dispatch thread pond and the described business processing thread pool, as in the computer equipment of single cpu, thread is carried out in concurrent mode; As in the computer equipment of a plurality of CPU, thread is carried out with parallel or concurrent mode.
Described computer equipment comprises personal computer, server or other network equipment.
By such scheme as can be seen, the capacity of one-level formation and secondary formation among the present invention, and dispatch thread pond and business processing thread pool can change flexibly at data volume and hardware configuration.When data volume changes, need not to adjust number of computers or revise software design, can self make rapid adjustment, satisfy the needs of communication transmission, not only saved the hardware and software cost, also solved the AFC (Automatic Fare Collection) data volume and changed a difficult problem of bringing, concrete beneficial effect comprises:
(1) is convenient to dispose, is easy to realize, effectively reduce cost
The present invention adopts the mode of software arrangements to satisfy the processing requirements of flexible portfolio, need not to increase hardware input or change software design, the cost when having reduced increase of reply portfolio or professional the change.
(2) applied range
Can be widely used in the service end data processing of distributed system under the LAN (Local Area Network) state.
(3) data-handling efficiency height
Adopt the concurrent or parallel mode of a plurality of threads to carry out AFC (Automatic Fare Collection) data distribution and processing, speed is fast, and data-handling efficiency can satisfy business need fully.
Description of drawings
Fig. 1 is the AFC (Automatic Fare Collection) data processing method structural representation of a kind of many formations of the present invention;
Fig. 2 is the data distribution schematic flow sheet of the AFC (Automatic Fare Collection) data processing method of a kind of many formations of the present invention;
Fig. 3 is the flow chart of data processing synoptic diagram of the AFC (Automatic Fare Collection) data processing method of a kind of many formations of the present invention.
Embodiment
The present invention is described in further detail below in conjunction with the drawings and specific embodiments:
The AFC (Automatic Fare Collection) data processing method of a kind of many formations of the present invention, concrete steps comprise:
Step S100, in the data handling procedure of computer equipment, at first set up one-level formation and dispatch thread pond, and the secondary formation and with secondary formation corresponding service processing threads pond.
Computer equipment can be personal computer, server or other network equipment, in the present embodiment, as shown in Figure 1, the quantity in one-level formation 1 anddispatch thread pond 2 respectively is one, the quantity ofsecondary formation 3 is two, the quantity of businessprocessing thread pool 4 is identical withsecondary formation 3 quantity and form annexation one to one, that is, and and the data in thesecondary formation 3 of a correspondence of 4 responsible processing of corresponding service processing thread pool.In the computer equipment of single cpu, the thread of the thread indispatch thread pond 2 and businessprocessing thread pool 4 is carried out in concurrent mode respectively; And in the computer equipment of a plurality of CPU, the thread of the thread indispatch thread pond 2 and businessprocessing thread pool 4 is then carried out with parallel or concurrent mode.
Then, as shown in Figure 2, one-level formation AFC (Automatic Fare Collection) data distribution flow process is as follows:
Step S101, utilize the one-level formation to receive the real time data bag of station equipment, promptly receive the AFC (Automatic Fare Collection) data by the network service thread, trial deposits the one-level formation in.
Step S102, judge whether AFC (Automatic Fare Collection) quantity has reached the upper limit in the one-level formation,, continue to attempt depositing in the one-level formation if then carry out S101; Otherwise carry out S103.
Step S103, AFC (Automatic Fare Collection) data deposit the one-level formation in.
Whether pending datas such as thread block are arranged in step S104, the dispatch thread pond, then carry out S107, otherwise carry out S105 if having.
Thread is attempted obtaining the AFC (Automatic Fare Collection) data from the one-level formation in step S105, the dispatch thread pond.
Step S106, judge that whether the one-level formation is empty,, otherwise carry out S108 if then carry out S107.
Attempt obtaining the thread block of AFC (Automatic Fare Collection) data in step S107, the dispatch thread pond, wait for that having data to deposit the back in the one-level formation continues to carry out.
Step S108, thread is got the AFC (Automatic Fare Collection) data in the dispatch thread pond, and the resolution data bag is put into corresponding secondary formation according to type.
Follow, as shown in Figure 3, described secondary AFC (Automatic Fare Collection) flow chart of data processing is as follows again:
Thread is attempted depositing the AFC (Automatic Fare Collection) data in to the secondary formation in step S201, the above-mentioned dispatch thread pond.
Whether pending datas such as thread block are arranged in step S202, the judgment processing thread pool, then carry out S208, wait for that the secondary queuing data deposits in if having; Otherwise carry out S203.
Whether the AFC (Automatic Fare Collection) data have reached the upper limit in step S203, the secondary formation, if then carry out S204, otherwise carry out S205.
Attempt depositing in the thread block of AFC (Automatic Fare Collection) data in step S204, the dispatch thread pond, wait for the back continuation execution of having living space in the secondary formation.
Step S205, AFC (Automatic Fare Collection) data deposit the secondary formation in.
Thread is attempted obtaining the AFC (Automatic Fare Collection) data from the secondary formation in step S206, the business processing thread pool.
Whether step S207, secondary formation are empty, if then carry out S208, otherwise carry out S209.
Attempt obtaining the thread block of AFC (Automatic Fare Collection) data in step S208, the business processing thread pool, wait for and continue to carry out after data are arranged in the secondary formation.
Thread is got the AFC (Automatic Fare Collection) data and is handled in step S209, the business processing thread pool.
In step S210, the dispatch thread pond whether the obstruction thread is arranged, then carry out S204, otherwise this processing finishes if having.
In the said process, the capacity of the capacity of one-level formation and secondary formation calculates from corresponding calculated machine equipment memory size and anticipatory data bag treatment capacity respectively, and formula is as follows:
Figure BSA00000878734200061
Figure BSA00000878734200062
Wherein, N is the number of secondary formation, DT1... DTnBe the data strip number that each formation per second expection is handled, PM is the size of every data of expection, and TM is the computer equipment memory size, and FQ is an one-level queue assignment size, SQiIt is the allocated size of i secondary formation.
And in the dispatch thread pond in number of threads and the business processing thread pool number of threads calculate from the CPU quantity and the anticipatory data bag treatment effeciency of computer equipment respectively, formula is as follows:
Figure BSA00000878734200063
Wherein N is the number of secondary formation, DT1... DTnBe the data strip number that each formation per second expection is handled, UT is a CPU sum in the computer equipment, the number of threads that FT distributes for the dispatch thread pond, STiIt is thread quantity allotted in i the secondary formation business processing thread pool.
Certainly, after information processing is finished, if packet requires to return, the packet that returns of the data assembling that business processing is finished then, and send back to by network service and to get final product.
By the description of above implementation process, the those skilled in the art can be well understood to the realization of the present invention at software view.Based on such understanding, technical scheme of the present invention embodies in essence or to the contribution of the prior art form with software product, this computer software product is stored in the storage medium, comprises that some instructions are used so that all or part of step of a described method of computer equipment execution each embodiment of the present invention.And aforesaid storage medium comprises: various media that can be program code stored such as ROM (read-only memory) (ROM), random-access memory (ram), magnetic disc or CD.
Obviously, said process only is a specific embodiment of the present invention, rather than whole embodiments.Based on the content that the present invention describes, those of ordinary skills belong to the scope of protection of the invention not making the every other embodiment that is obtained under the creative work prerequisite.

Claims (8)

1. the AFC (Automatic Fare Collection) data processing method of formation more than a kind is characterized in that concrete steps comprise:
Step 1, in the computer equipment data handling procedure, at first set up: one-level formation and dispatch thread pond, and the secondary formation and with secondary formation corresponding service processing threads pond;
Step 2, utilize the real time data bag of described one-level formation receiving front-end station equipment;
Step 3, obtain data from described one-level formation by described dispatch thread pond, the resolution data bag and judge type after put into described secondary formation;
Step 4, described secondary formation receive the packet that meets preset kind from described dispatch thread pond;
The packet that step 5, described business processing thread pool obtain from the described secondary formation of correspondence carries out business processing, finishes data handling procedure;
If packet requires to return, then the data that business processing is finished are assembled the packet that returns, and send back to by network service.
2. the AFC (Automatic Fare Collection) data processing method of a kind of many formations according to claim 1 is characterized in that, the quantity in described one-level formation and dispatch thread pond respectively is one, and the thread in dispatch thread pond is carried out with concurrent or parallel mode;
The quantity of described secondary formation is one or more; The quantity of described business processing thread pool is identical with described secondary number of queues and corresponding one by one, the data in the secondary formation of a correspondence of the only responsible processing of corresponding service processing thread pool; The thread of described business processing thread pool is carried out with concurrent or parallel mode.
3. method according to claim 2 is characterized in that, the capacity of the capacity of described one-level formation and secondary formation calculates from corresponding calculated machine equipment memory size and anticipatory data bag treatment capacity respectively, and formula is as follows:
Wherein, N is the number of secondary formation, DT1... DTnBe the data strip number that each formation per second expection is handled, PM is the size of every data of expection, and TM is the computer equipment memory size, and FQ is an one-level queue assignment size, SQiIt is the allocated size of i secondary formation.
4. method according to claim 2 is characterized in that, in the described dispatch thread pond in number of threads and the described business processing thread pool number of threads calculate from the CPU quantity and the anticipatory data bag treatment effeciency of computer equipment respectively, formula is as follows:
Figure FSA00000878734100021
Figure FSA00000878734100022
Wherein N is the number of secondary formation, DT1... DTnBe the data strip number that each formation per second expection is handled, UT is a CPU sum in the computer equipment, the number of threads that FT distributes for the dispatch thread pond, STiIt is thread quantity allotted in i the secondary formation business processing thread pool.
5. the AFC (Automatic Fare Collection) data processing method of a kind of many formations according to claim 2 is characterized in that, the thread in thread in the described dispatch thread pond and the described business processing thread pool,
As in the computer equipment of single cpu, thread is carried out in concurrent mode;
As in the computer equipment of a plurality of CPU, thread is carried out with parallel or concurrent mode.
6. the AFC (Automatic Fare Collection) data processing method of a kind of many formations according to claim 1 is characterized in that step 2 also comprises: described one-level formation provides blocks the use a computer CPU of equipment of mechanism, and detailed process is:
Do not have data in the one-level formation as described, the thread in the described dispatch thread pond can block when obtaining data, just continues to carry out after obtaining data;
After data packet number reaches the upper limit in the one-level formation as described, will no longer receive packet.
7. the AFC (Automatic Fare Collection) data processing method of a kind of many formations according to claim 1 is characterized in that step 4 also comprises: described secondary formation provides blocks the use a computer CPU of equipment of mechanism, and detailed process is:
Do not have data in the secondary formation as described, the thread in the described corresponding service processing threads pond can block when obtaining data, just continues to carry out after obtaining data;
After data packet number reached the upper limit in the secondary formation as described, described dispatch thread pond can send obstruction when depositing data in, up to etc. just continue after the success to be deposited to carry out.
8. the AFC (Automatic Fare Collection) data processing method of a kind of many formations according to claim 1 is characterized in that, described computer equipment comprises personal computer, server or other network equipment.
CN201310128727.3A2013-04-152013-04-15A kind of AFC (Automatic Fare Collection) data processing method of many queuesActiveCN103218254B (en)

Priority Applications (1)

Application NumberPriority DateFiling DateTitle
CN201310128727.3ACN103218254B (en)2013-04-152013-04-15A kind of AFC (Automatic Fare Collection) data processing method of many queues

Applications Claiming Priority (1)

Application NumberPriority DateFiling DateTitle
CN201310128727.3ACN103218254B (en)2013-04-152013-04-15A kind of AFC (Automatic Fare Collection) data processing method of many queues

Publications (2)

Publication NumberPublication Date
CN103218254Atrue CN103218254A (en)2013-07-24
CN103218254B CN103218254B (en)2016-04-27

Family

ID=48816078

Family Applications (1)

Application NumberTitlePriority DateFiling Date
CN201310128727.3AActiveCN103218254B (en)2013-04-152013-04-15A kind of AFC (Automatic Fare Collection) data processing method of many queues

Country Status (1)

CountryLink
CN (1)CN103218254B (en)

Cited By (6)

* Cited by examiner, † Cited by third party
Publication numberPriority datePublication dateAssigneeTitle
CN106681832A (en)*2016-12-232017-05-17昆明联诚科技股份有限公司Video stream distributing method
CN107688907A (en)*2017-09-052018-02-13江苏电力信息技术有限公司A kind of goods and materials sampling observation method based on queue layered shaping mechanism
CN107908471A (en)*2017-09-262018-04-13聚好看科技股份有限公司A kind of tasks in parallel processing method and processing system
CN109783255A (en)*2019-01-072019-05-21中国银行股份有限公司Data parse diostribution device and high concurrent data processing method
CN113630408A (en)*2021-08-032021-11-09Oppo广东移动通信有限公司Data processing method, data processing device, storage medium and server
CN116302437A (en)*2023-03-282023-06-23重庆长安汽车股份有限公司Data analysis method, device, electronic equipment and storage medium

Citations (3)

* Cited by examiner, † Cited by third party
Publication numberPriority datePublication dateAssigneeTitle
US20030093305A1 (en)*2001-11-152003-05-15Davis Garry L.Radio frequency check-in
JP2004272543A (en)*2003-03-072004-09-30Nippon Signal Co Ltd:TheTicket checking and collecting system
CN101236630A (en)*2007-01-312008-08-06北京宏德信智源信息技术有限公司Railway automatic ticket-selling system

Patent Citations (3)

* Cited by examiner, † Cited by third party
Publication numberPriority datePublication dateAssigneeTitle
US20030093305A1 (en)*2001-11-152003-05-15Davis Garry L.Radio frequency check-in
JP2004272543A (en)*2003-03-072004-09-30Nippon Signal Co Ltd:TheTicket checking and collecting system
CN101236630A (en)*2007-01-312008-08-06北京宏德信智源信息技术有限公司Railway automatic ticket-selling system

Non-Patent Citations (1)

* Cited by examiner, † Cited by third party
Title
赵时旻等: "自动售检票系统大数据量的分类队列传输处理", 《城市轨道交通研究》*

Cited By (10)

* Cited by examiner, † Cited by third party
Publication numberPriority datePublication dateAssigneeTitle
CN106681832A (en)*2016-12-232017-05-17昆明联诚科技股份有限公司Video stream distributing method
CN107688907A (en)*2017-09-052018-02-13江苏电力信息技术有限公司A kind of goods and materials sampling observation method based on queue layered shaping mechanism
CN107688907B (en)*2017-09-052022-01-18江苏电力信息技术有限公司Material sampling inspection method based on queue layering processing mechanism
CN107908471A (en)*2017-09-262018-04-13聚好看科技股份有限公司A kind of tasks in parallel processing method and processing system
CN107908471B (en)*2017-09-262021-06-08聚好看科技股份有限公司Task parallel processing method and processing system
CN109783255A (en)*2019-01-072019-05-21中国银行股份有限公司Data parse diostribution device and high concurrent data processing method
CN109783255B (en)*2019-01-072021-02-23中国银行股份有限公司Data analysis and distribution device and high-concurrency data processing method
CN113630408A (en)*2021-08-032021-11-09Oppo广东移动通信有限公司Data processing method, data processing device, storage medium and server
CN113630408B (en)*2021-08-032023-06-16Oppo广东移动通信有限公司Data processing method, device, storage medium and server
CN116302437A (en)*2023-03-282023-06-23重庆长安汽车股份有限公司Data analysis method, device, electronic equipment and storage medium

Also Published As

Publication numberPublication date
CN103218254B (en)2016-04-27

Similar Documents

PublicationPublication DateTitle
CN103218254A (en)Multi-queue automatic fare collection data processing method
CN102063336B (en) A Distributed Computing Multi-Application Function Asynchronous Concurrent Scheduling Method
CN104657220B (en)Scheduling model and method based on deadline and expense restriction in mixed cloud
CN101448321B (en) Method and device for sharing spectrum resources in heterogeneous wireless networks
CN109167671B (en) A Balanced Load Scheduling Method for Equipped Communication System Oriented to Quantum Key Distribution Service
CN101834786B (en)Queue scheduling method and device
CN108234603A (en)A kind of edge calculations resource allocation methods and system based on price
CN104619029B (en)It is a kind of centralization cellular network architecture under baseband pool resource allocation methods and device
CN108345501A (en)A kind of distributed resource scheduling method and system
CN104391749A (en)Resource allocation method and device
CN103632209A (en)Queuing theory-based data transmission bandwidth prediction method in intelligent power distribution and consumption business
CN103812789A (en)Cloud service resource automatic allocating method and system
CN103257896B (en)A kind of Max-D job scheduling method under cloud environment
CN104584627A (en) A network resource control method, device and system
CN103701894A (en)Method and system for dispatching dynamic resource
CN106125888A (en)The efficient power-economizing method of the utilization of resources based on virtual machine (vm) migration in cloud data center
CN102088719A (en)Method, system and device for service scheduling
CN108595255A (en)Workflow task dispatching method based on shortest path first in geographically distributed cloud
CN104063282B (en)Management method, device and server for IaaS cloud variable scale resource pool
CN104572498A (en)Cache management method for message and device
CN111768133A (en) Item storage method and device
CN115981863A (en)Intelligent cloud resource elastic expansion method and system combining business characteristics
CN102073548A (en)Method for executing task, and system thereof
CN101610220A (en)A kind of method and system of controlling service sending flow rate
CN110677301B (en)Software defined transmission control method for single controller with multiple switches in 5G network

Legal Events

DateCodeTitleDescription
C06Publication
PB01Publication
C10Entry into substantive examination
SE01Entry into force of request for substantive examination
C14Grant of patent or utility model
GR01Patent grant
TR01Transfer of patent right

Effective date of registration:20210825

Address after:511455 room 1009, No. 3, Chenghui street, Nansha District, Guangzhou City, Guangdong Province

Patentee after:Guangzhou Huajia Software Co.,Ltd.

Address before:510000 floor 6, No. 4, Jiangong Road, Tianhe District, Guangzhou City, Guangdong Province

Patentee before:GUANGZHOU XINKE JIADU TECHNOLOGY Co.,Ltd.

TR01Transfer of patent right

[8]ページ先頭

©2009-2025 Movatter.jp