


技术领域technical field
本发明涉及一种基于建筑外景红外图像的热工区域自动识别方法,更具体的说,尤其涉及一种首先建立直方图、再求取窗户、缺陷和墙体的温度阈值的热工区域自动识别方法。The present invention relates to a thermal region automatic recognition method based on infrared images of exterior scenes of buildings, more specifically, to an automatic thermal region recognition method that first establishes a histogram, and then obtains the temperature thresholds of windows, defects and walls method.
背景技术Background technique
任何温度高于绝对零度的物体都会释放出红外线,其能量与该物体温度的四次方成正比。红外热像仪可将人眼无法看到的红外辐射能量转换为电信号,并以备种不同的颜色来表示不同温度分布的可视图像显示出来。这些可视的数据信号可以协助人们查找温度异常点,从而在故障未发生之前发现故障隐患,识别设备或系统的潜在问题。Any object with a temperature above absolute zero emits infrared light, the energy of which is proportional to the fourth power of the object's temperature. Infrared thermal imaging cameras can convert infrared radiation energy that cannot be seen by human eyes into electrical signals, and display them in visual images with different colors to represent different temperature distributions. These visual data signals can help people find temperature anomalies, so as to discover potential faults before the fault occurs, and identify potential problems of equipment or systems.
自二十世纪70年代以来,欧美一些发达国家先后开始了红外热像仪在建筑结构工程领域诊断维护的探索,使得红外热像技术在该领域的应用日臻完善。国内的红外建筑检测在二十世纪九十年代开始起步,一开始主要集中在外墙饰面砖的粘结质量以及渗漏检测方面。由于这些应用领域没有其它适合的检测手段,而红外热成像技术具有大面积、非接触远距离检测,不影响被测物体,使用安全,检测快速,结果直观可视等优势,使得该技术在建筑领域得到了迅猛的发展。使用红外热像仪,可以检测到空气泄漏、水分积累、管道堵塞、墙壁后面的结构特征以及过热的电气线路等,并对数据进行可视化记录归档。Since the 1970s, some developed countries in Europe and the United States have successively started to explore the diagnosis and maintenance of infrared thermal imaging cameras in the field of building structure engineering, making the application of infrared thermal imaging technology in this field more and more perfect. Infrared building detection in China started in the 1990s. At the beginning, it mainly focused on the bonding quality of exterior wall facing bricks and leakage detection. Since there are no other suitable detection methods in these application fields, and infrared thermal imaging technology has the advantages of large area, non-contact long-distance detection, no influence on the measured object, safe use, fast detection, and intuitive and visual results, etc., making this technology widely used in construction The field has developed rapidly. Using thermal imaging cameras, air leaks, moisture buildup, clogged pipes, structural features behind walls, overheated electrical wiring, etc. can be detected and visualized for archiving.
目前红外热像仪在建筑检测的主要应用有:At present, the main applications of infrared thermal imaging cameras in building inspections are:
(1)建筑节能检测:检测热工缺陷,热桥缺陷,外墙保温节能等,确保建筑性能及质量,避免造成重大损失或危害,并对建筑节能起到评估作用。 (1) Building energy-saving detection: detect thermal defects, thermal bridge defects, external wall insulation and energy saving, etc., to ensure building performance and quality, to avoid major losses or hazards, and to evaluate building energy efficiency. the
(2)建筑质量检测:用于建筑渗漏、电气系统、暖通空调系统、管路系统等检测,例如:渗水、外墙空鼓、管道密封不良、电气故障等。(2) Building quality inspection: used for inspection of building leakage, electrical system, HVAC system, piping system, etc., such as: water seepage, hollowing of external walls, poor sealing of pipes, electrical failures, etc.
由于环境保护和节能的迫切需要,国内外特别是加拿大、美国、日本等发达国家对红外热成像在节能的应用研究,取得了丰富的经验和成果。Due to the urgent need of environmental protection and energy saving, domestic and foreign countries, especially Canada, the United States, Japan and other developed countries, have obtained rich experience and achievements in the application research of infrared thermal imaging in energy saving.
红外热成像检测技术是一种已经成功使用30多年的建筑节能和建筑缺陷的有效检测手段。对于大小建筑的所有方面的预维护,红外检测是一种最为有效的降低能耗和维护费用的方式。随着科学技术的发展,随着我们对红外热像技术的进一步认识和科研思路及理念的转变,红外热像技术将日趋成熟,其在建筑领域的研究与应用将会有更广阔的前景。Infrared thermal imaging detection technology is an effective detection method for building energy saving and building defects that has been successfully used for more than 30 years. For predictive maintenance of all aspects of buildings large and small, infrared inspection is one of the most effective ways to reduce energy consumption and maintenance costs. With the development of science and technology, with our further understanding of infrared thermal imaging technology and the transformation of scientific research ideas and concepts, infrared thermal imaging technology will become more mature, and its research and application in the field of construction will have a broader prospect.
发明内容Contents of the invention
本发明为了克服上述技术问题的缺点,提供了一种基于建筑外景红外图像的热工区域自动识别方法。In order to overcome the disadvantages of the above-mentioned technical problems, the present invention provides an automatic recognition method for thermal regions based on infrared images of exterior scenes of buildings.
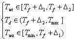
本发明的基于建筑外景红外图像的热工区域自动识别方法,其特别之处在于,包括以下步骤:a).采集红外图像,在室内高于室外10℃的条件下,利用红外热像仪对待检测建筑物进行外景拍摄,以获得原始的红外图像数据;b).获取全外景红外图像,将原始的红外图像进行全景拼接,以获得待检测建筑物完整的全外景红外图像;对于只有一张红外图像的小型建筑物来说,则省略此步骤;c).设定检测主体,在全外景红外图像中将不相关背景和干扰物排除在外,手工设定出待检测建筑物的检测主体;d).建立检测主体的直方图分布,以红外图像中所表征的检测主体的温度为横轴、各温度出现的频率或像素数为纵轴,建立直方图分布;e).获取峰值温度 ,设为直方图的峰值温度,定义为直方图中出现频率或像素数最多的温度值;f).求取各热工区域的温度阈值,定义、和分别为红外图像中窗户、缺陷和合格墙体热工区域的温度阈值;The method for automatic recognition of thermal regions based on infrared images of building exterior scenes according to the present invention is particularly characterized in that it comprises the following steps: a) collecting infrared images, and using an infrared thermal imager to treat them under the condition that the indoor temperature is 10°C higher than that of the outdoor Detect the building for outdoor shooting to obtain the original infrared image data; b). Obtain the full outdoor infrared image, and perform panoramic stitching on the original infrared image to obtain a complete full outdoor infrared image of the building to be detected; for only one For small buildings in the infrared image, this step is omitted; c). Set the detection subject, exclude the irrelevant background and interference objects in the full outdoor infrared image, and manually set the detection subject of the building to be detected; d). Establish the histogram distribution of the detection subject, take the temperature of the detection subject represented in the infrared image as the horizontal axis, and the frequency of occurrence of each temperature or the number of pixels as the vertical axis to establish a histogram distribution; e). Obtain the peak temperature ,set up Be the peak temperature of the histogram, defined as the temperature value with the largest frequency or number of pixels in the histogram; f). Find the temperature threshold of each thermal region, define , and are the temperature thresholds of windows, defects, and qualified wall thermal regions in the infrared image, respectively;
当检测主体中墙体的面积大于窗户的面积时,则直方图峰值温度与合格墙体温度接近,、和温度阈值定义如下:When the area of the wall in the detection subject is larger than the area of the window, the histogram peak temperature Close to the qualified wall temperature, , and The temperature thresholds are defined as follows:
当检测主体中墙体的面积小于窗户的面积时,则直方图峰值温度与窗户温度接近,、和温度阈值定义如下:When the area of the wall in the detection subject is smaller than the area of the window, the histogram peak temperature close to the window temperature, , and The temperature thresholds are defined as follows:
其中,、分别为检测主体内的最低、最高温度值;、根据经验值选取,>;in, , are the minimum and maximum temperature values in the detection body, respectively; , Selected based on experience, > ;
g).将检测主体分类,将待检测主体按照步骤f)中的阈值范围进行区域识别划分,并在红外图像中标记出窗户、缺陷和合格墙体热工区域的所在位置;h).计算各类热工区域的面积,计算出窗户、缺陷和合格墙体热工区域各自的面积;g).计算热工缺陷比,按照:热工缺陷比=(缺陷区域面积)/(检测主体面积-窗户面积),计算出检测主体的热工缺陷比,并将热工缺陷比与国标参数相比较,给出初步的热工缺陷分析结论。g). Classify the detection subject, identify and divide the subject to be detected according to the threshold range in step f), and mark the location of the window, defect and qualified wall thermal area in the infrared image; h). Calculation Calculate the area of various thermal areas, and calculate the respective areas of thermal areas of windows, defects, and qualified walls; g). Calculate the ratio of thermal defects, according to: ratio of thermal defects = (area of defect area) / (area of the main body of the test -window area), calculate the thermal defect ratio of the detection subject, and compare the thermal defect ratio with the national standard parameters, and give a preliminary thermal defect analysis conclusion.
步骤c)中应将天空、树木等不相关背景和干扰物排除在外,以避免其影响检测结果。步骤f)中缺陷热工区域是指墙体的缺陷区域,合格墙体热工区域是指不存在缺陷的墙体部分,墙体的面积应为缺陷区域与合格墙体区域的面积之和。In step c), irrelevant backgrounds and disturbances such as sky and trees should be excluded to avoid them from affecting the detection results. In step f), the defective thermal area refers to the defective area of the wall, and the qualified thermal area of the wall refers to the part of the wall without defects, and the area of the wall should be the sum of the areas of the defective area and the qualified wall area.
本发明的基于建筑外景红外图像的热工区域自动识别方法,步骤f)中、的取值满足:1≤<2;2≤<4。、均根据经验值取得。In the thermal region automatic recognition method based on the infrared image of the building exterior scene of the present invention, in step f) , The value satisfies: 1≤ <2; 2≤ <4. , are obtained based on experience.
本发明的基于建筑外景红外图像的热工区域自动识别方法,步骤g)中所述的区域识别划分采用生长法,其包括以下步骤:g-1).以检测主体的红外图像中符合窗户、缺陷或合格墙体某一温度阈值的点为生长的起点;g-2).获取步骤g-1)中起点周边8个邻域像素的温度值,并判断8个邻域温度值中那些属于当前区域的温度阈值内;g-3).步骤g-2)中,若邻域某点的温度值与当前起点属于同一区域,则以此点为新的起点,继续进行其邻域内的8个像素温度值的判断,依次类推;直到8个邻域温度值中再没有满足条件的像素与起点属于同一区域,停止搜索;g-4).步骤g-2) 和g-3)中,若邻域内的8个像素的温度值与起点不属于同一区域,则该领域温度值所在位置停止搜索。In the thermal region automatic recognition method based on the infrared image of the building exterior scene of the present invention, the region recognition and division described in step g) adopts the growth method, which includes the following steps: g-1). To detect windows, windows, The point of a certain temperature threshold of a defective or qualified wall is the starting point of growth; g-2). Obtain the temperature values of 8 neighborhood pixels around the starting point in step g-1), and determine which of the 8 neighborhood temperature values belong to Within the temperature threshold of the current area; g-3). In step g-2), if the temperature value of a certain point in the neighborhood belongs to the same area as the current starting point, then use this point as a new starting point to continue the 8 steps in its neighborhood. The judgment of the pixel temperature value, and so on; until there is no pixel satisfying the condition in the 8 neighborhood temperature values and the starting point belongs to the same area, stop searching; g-4). In steps g-2) and g-3), If the temperature values of the 8 pixels in the neighborhood do not belong to the same area as the starting point, stop searching for the location of the temperature value in this area.
本发明的有益效果是:本发明的基于建筑外景红外图像的热工区域自动识别方法,首先以温度为横轴、频率或像素为纵轴建立直方图,根据经验值,再给出不同条件下窗户、缺陷和合格墙体热工区域的温度阈值范围,可有效地标定和求出检测主体的窗户、缺陷和合格墙热工区域的面积;通过计算热工缺陷比,可给出初步的热工缺陷分析结论。本发明的热工区域自动识别方法,采集建筑外景的冬季红外热像数据为分析对象,利用该方法可自适应地选择热工区域识别的分类阈值,同时阈值可手工调整,识别效果直观可辨,方法操作灵活简便,检测结果可以存储,且可进行多次分析,可广泛应用于大型建筑物检测。The beneficial effect of the present invention is: the thermal region automatic identification method based on the infrared image of the building exterior scene of the present invention first establishes a histogram with the temperature as the horizontal axis and frequency or pixel as the vertical axis, and then gives The temperature threshold range of windows, defects and qualified wall thermal areas can effectively calibrate and calculate the area of windows, defects and qualified wall thermal areas of the detection subject; by calculating the ratio of thermal defects, a preliminary thermal The conclusion of the defect analysis. The thermal region automatic recognition method of the present invention collects the winter infrared thermal image data of the exterior scene of the building as the analysis object. By using this method, the classification threshold for thermal region recognition can be adaptively selected. At the same time, the threshold can be manually adjusted, and the recognition effect can be intuitively distinguished , the method is flexible and easy to operate, the test results can be stored, and can be analyzed multiple times, and can be widely used in the detection of large buildings.
附图说明Description of drawings
图1为本发明的热工区域自动识别方法的流程图;Fig. 1 is the flow chart of the thermal region automatic identification method of the present invention;
图2为本发明中窗户、缺陷和合格墙体热工区域的识别流程图;Fig. 2 is the flow chart of identification of windows, defects and qualified wall thermal regions in the present invention;
图3为本发明中采用区域生长法进行区域识别划分的原理图。FIG. 3 is a schematic diagram of region identification and division using the region growing method in the present invention.
具体实施方式Detailed ways
下面结合附图与实施例对本发明作进一步说明。The present invention will be further described below in conjunction with the accompanying drawings and embodiments.
如图1和图2所示,给出了本发明的热工区域自动识别方法的流程图,所示的本发明涉及的基于建筑外景红外图像的热工区域自动识别方法包括以下步骤:As shown in Fig. 1 and Fig. 2, provide the flow chart of the thermal region automatic recognition method of the present invention, the shown present invention relates to the thermal region automatic recognition method based on the building exterior infrared image comprising the following steps:
a).采集红外图像,在室内高于室外10℃的条件下,利用红外热像仪对待检测建筑物进行外景拍摄,以获得原始的红外图像数据;a). Collect infrared images, and use an infrared thermal imaging camera to take outdoor shots of the building to be detected under the condition that the indoor temperature is 10°C higher than the outdoor temperature, so as to obtain the original infrared image data;
b).获取全外景红外图像,将原始的红外图像进行全景拼接,以获得待检测建筑物完整的全外景红外图像;对于只有一张红外图像的小型建筑物来说,则省略此步骤;b). Obtain a full exterior infrared image, and perform panoramic splicing of the original infrared images to obtain a complete full exterior infrared image of the building to be detected; for small buildings with only one infrared image, this step is omitted;
c).设定检测主体,在全外景红外图像中将不相关背景和干扰物排除在外,手工设定出待检测建筑物的检测主体;例如天空、树木等均应排除;c). Set the detection subject, exclude the irrelevant background and interference objects in the full outdoor infrared image, and manually set the detection subject of the building to be detected; for example, the sky, trees, etc. should be excluded;
d).建立检测主体的直方图分布,以红外图像中所表征的检测主体的温度为横轴、各温度出现的频率或像素数为纵轴,建立直方图分布;d). Establish the histogram distribution of the detection subject, take the temperature of the detection subject represented in the infrared image as the horizontal axis, and the frequency of occurrence of each temperature or the number of pixels as the vertical axis to establish a histogram distribution;
e).获取峰值温度,设为直方图的峰值温度,定义为直方图中出现频率或像素数最多的温度值;e). Obtain the peak temperature ,set up is the peak temperature of the histogram, defined as the temperature value with the largest frequency or number of pixels in the histogram;
f).求取各热工区域的温度阈值,定义、和分别为红外图像中窗户、缺陷和合格墙体热工区域的温度阈值;缺陷热工区域是指墙体区域的缺陷部分,合格墙体是指墙体区域的非缺陷部分;f). Calculate the temperature threshold of each thermal region and define , and are the temperature thresholds of windows, defects, and qualified wall thermal regions in the infrared image; the defective thermal region refers to the defective part of the wall region, and the qualified wall refers to the non-defective part of the wall region;
当检测主体中墙体的面积大于窗户的面积时,则直方图峰值温度与合格墙体温度接近,、和温度阈值定义如下:When the area of the wall in the detection subject is larger than the area of the window, the histogram peak temperature Close to the qualified wall temperature, , and The temperature thresholds are defined as follows:
当检测主体中墙体的面积小于窗户的面积时,则直方图峰值温度与窗户温度接近,、和温度阈值定义如下:When the area of the wall in the detection subject is smaller than the area of the window, the histogram peak temperature close to the window temperature, , and The temperature thresholds are defined as follows:
其中,、分别为检测主体内的最低、最高温度值;、根据经验值选取,>;根据经验值,、可取:1≤<2;2≤<4;in, , are the minimum and maximum temperature values in the detection body, respectively; , Selected based on experience, > ; According to the empirical value, , Desirable: 1≤ <2; 2≤ <4;
g).将检测主体分类,将待检测主体按照步骤f)中的阈值范围进行区域识别划分,并在红外图像中标记出窗户、缺陷和合格墙体热工区域的所在位置;g). Classify the detection subject, identify and divide the subject to be detected according to the threshold range in step f), and mark the positions of windows, defects and qualified wall thermal regions in the infrared image;
此步骤中区域识别划分可采用生长法,如图3所示,其包括以下步骤:In this step, the region identification division can adopt the growth method, as shown in Figure 3, which includes the following steps:
g-1).以检测主体的红外图像中符合窗户、缺陷或合格墙体某一温度阈值的点为生长的起点;g-1). The point in the infrared image of the detection subject that meets a certain temperature threshold of windows, defects or qualified walls is used as the starting point of growth;
g-2).获取步骤g-1)中起点周边8个邻域像素的温度值,并判断8个邻域温度值中那些属于当前区域的温度阈值内;g-2). Obtain the temperature values of 8 neighborhood pixels around the starting point in step g-1), and determine which of the 8 neighborhood temperature values belong to the temperature threshold of the current area;
g-3).步骤g-2)中,若邻域某点的温度值与当前起点属于同一区域,则以此点为新的起点,继续进行其邻域内的8个像素温度值的判断,依次类推;直到8个邻域温度值中再没有满足条件的像素与起点属于同一区域,停止搜索;g-3). In step g-2), if the temperature value of a certain point in the neighborhood belongs to the same area as the current starting point, then use this point as a new starting point to continue judging the temperature values of the 8 pixels in the neighborhood. And so on; until there is no pixel that satisfies the condition among the 8 neighborhood temperature values and the starting point belongs to the same area, stop searching;
g-4).步骤g-2)和g-3)中,若邻域内的8个像素的温度值与起点不属于同一区域,则该邻域位置停止搜索。g-4). In steps g-2) and g-3), if the temperature values of the 8 pixels in the neighborhood do not belong to the same area as the starting point, stop searching for the neighborhood.
h).计算各类热工区域的面积,计算出窗户、缺陷和合格墙体热工区域各自的面积;h). Calculate the area of various thermal areas, and calculate the respective areas of windows, defects and qualified wall thermal areas;
g).计算热工缺陷比,按照:热工缺陷比=(缺陷区域面积)/(检测主体面积-窗户面积),计算出检测主体的热工缺陷比,并将热工缺陷比与国标参数相比较,给出初步的热工缺陷分析结论;如果符合指标,则表明建筑节能,如果不符合指标,则表明建筑不节能。g). Calculate the thermal defect ratio, according to: thermal defect ratio = (defect area area) / (detection body area - window area), calculate the thermal defect ratio of the detection body, and compare the thermal defect ratio with the national standard parameters In comparison, a preliminary thermal defect analysis conclusion is given; if the index is met, it indicates that the building is energy-efficient; if it does not meet the index, it indicates that the building is not energy-efficient.
| Application Number | Priority Date | Filing Date | Title |
|---|---|---|---|
| CN201310091937.XACN103163181B (en) | 2013-03-21 | 2013-03-21 | Automatic thermotechnical area identification method based on outdoor scene infrared image of building |
| PCT/CN2013/000983WO2014146222A1 (en) | 2013-03-21 | 2013-08-22 | Automatic detection method of building thermotechnical indicator based on infrared images |
| Application Number | Priority Date | Filing Date | Title |
|---|---|---|---|
| CN201310091937.XACN103163181B (en) | 2013-03-21 | 2013-03-21 | Automatic thermotechnical area identification method based on outdoor scene infrared image of building |
| Publication Number | Publication Date |
|---|---|
| CN103163181Atrue CN103163181A (en) | 2013-06-19 |
| CN103163181B CN103163181B (en) | 2014-11-05 |
| Application Number | Title | Priority Date | Filing Date |
|---|---|---|---|
| CN201310091937.XAExpired - Fee RelatedCN103163181B (en) | 2013-03-21 | 2013-03-21 | Automatic thermotechnical area identification method based on outdoor scene infrared image of building |
| Country | Link |
|---|---|
| CN (1) | CN103163181B (en) |
| Publication number | Priority date | Publication date | Assignee | Title |
|---|---|---|---|---|
| CN105352963A (en)* | 2015-12-07 | 2016-02-24 | 福州大学 | Device for distinguishing stability of building external wall member and use method of device |
| CN105352988A (en)* | 2015-10-23 | 2016-02-24 | 吉林省智星红外科技有限公司 | System for evaluating thermal insulation performance of exterior wall of building and method thereof |
| CN107271044A (en)* | 2017-05-03 | 2017-10-20 | 北京海顿中科技术有限公司 | A kind of thermal imaging device for detecting temperature and method |
| CN109523544A (en)* | 2018-11-26 | 2019-03-26 | 陕西汉通建设工程质量检测有限公司 | A kind of external wall mass defect detection system and its method |
| CN110956196A (en)* | 2019-10-11 | 2020-04-03 | 东南大学 | An automatic identification method of window-to-wall ratio of urban buildings |
| CN112964370A (en)* | 2021-03-30 | 2021-06-15 | 清华大学 | Method for rapidly acquiring indoor air temperature from outdoor in batch through infrared thermal imaging |
| CN114676861A (en)* | 2022-05-27 | 2022-06-28 | 石家庄星海高科非金属矿业材料有限责任公司 | Energy-saving and environment-friendly maintenance method and system for outer vertical surface of building |
| CN115598178A (en)* | 2022-12-14 | 2023-01-13 | 天津思睿信息技术有限公司(Cn) | Infrared detection method and system for hollowing defects of building wall |
| CN117689660A (en)* | 2024-02-02 | 2024-03-12 | 杭州百子尖科技股份有限公司 | Vacuum cup temperature quality inspection method based on machine vision |
| US12322078B2 (en) | 2023-06-01 | 2025-06-03 | Qeatech Inc. | Method and system for detection and localization of thermal defects |
| Publication number | Priority date | Publication date | Assignee | Title |
|---|---|---|---|---|
| US4768158A (en)* | 1986-01-25 | 1988-08-30 | Kajima Corporation | Apparatus and method for diagnosing deterioration of smokestack |
| JPH06229958A (en)* | 1993-02-04 | 1994-08-19 | Mitsubishi Denki Bill Techno Service Kk | Device for judging peeling of wall surface |
| CN1620603A (en)* | 2002-01-23 | 2005-05-25 | 马雷纳系统有限公司 | Employing infrared thermography for defect detection and analysis |
| CN101806762A (en)* | 2010-05-31 | 2010-08-18 | 哈尔滨工业大学 | Method for identifying thermal defects by means of auxiliary heat source under condition of small temperature difference |
| JP2011099687A (en)* | 2009-11-04 | 2011-05-19 | Daiwa Odakyu Construction Co Ltd | Method for detecting modified part of concrete surface layer by infrared method |
| JP5017507B1 (en)* | 2011-04-08 | 2012-09-05 | 株式会社古田設計 | Image processing method, image processing apparatus, building image diagnosis method, and building image diagnosis apparatus |
| Publication number | Priority date | Publication date | Assignee | Title |
|---|---|---|---|---|
| US4768158A (en)* | 1986-01-25 | 1988-08-30 | Kajima Corporation | Apparatus and method for diagnosing deterioration of smokestack |
| JPH06229958A (en)* | 1993-02-04 | 1994-08-19 | Mitsubishi Denki Bill Techno Service Kk | Device for judging peeling of wall surface |
| CN1620603A (en)* | 2002-01-23 | 2005-05-25 | 马雷纳系统有限公司 | Employing infrared thermography for defect detection and analysis |
| JP2011099687A (en)* | 2009-11-04 | 2011-05-19 | Daiwa Odakyu Construction Co Ltd | Method for detecting modified part of concrete surface layer by infrared method |
| CN101806762A (en)* | 2010-05-31 | 2010-08-18 | 哈尔滨工业大学 | Method for identifying thermal defects by means of auxiliary heat source under condition of small temperature difference |
| JP5017507B1 (en)* | 2011-04-08 | 2012-09-05 | 株式会社古田設計 | Image processing method, image processing apparatus, building image diagnosis method, and building image diagnosis apparatus |
| Title |
|---|
| 杨丽萍: "《红外热成像法探测建筑围护结构热工缺陷研究》", 《中国优秀硕士学位论文全文数据库 工程科技Ⅱ辑》, no. 12, 15 December 2010 (2010-12-15), pages 59 - 70* |
| Publication number | Priority date | Publication date | Assignee | Title |
|---|---|---|---|---|
| CN105352988A (en)* | 2015-10-23 | 2016-02-24 | 吉林省智星红外科技有限公司 | System for evaluating thermal insulation performance of exterior wall of building and method thereof |
| CN105352988B (en)* | 2015-10-23 | 2018-03-27 | 吉林省智星红外科技有限公司 | A kind of skin heat-insulating property assessment system and method |
| CN105352963A (en)* | 2015-12-07 | 2016-02-24 | 福州大学 | Device for distinguishing stability of building external wall member and use method of device |
| CN107271044A (en)* | 2017-05-03 | 2017-10-20 | 北京海顿中科技术有限公司 | A kind of thermal imaging device for detecting temperature and method |
| CN107271044B (en)* | 2017-05-03 | 2020-10-23 | 北京海顿中科技术有限公司 | Thermal imaging temperature monitoring device and method |
| CN109523544B (en)* | 2018-11-26 | 2021-02-26 | 陕西汉通建设工程质量检测有限公司 | Building outer wall quality defect detection system and method thereof |
| CN109523544A (en)* | 2018-11-26 | 2019-03-26 | 陕西汉通建设工程质量检测有限公司 | A kind of external wall mass defect detection system and its method |
| CN110956196B (en)* | 2019-10-11 | 2024-03-08 | 东南大学 | An automatic recognition method for window-to-wall ratio of urban buildings |
| CN110956196A (en)* | 2019-10-11 | 2020-04-03 | 东南大学 | An automatic identification method of window-to-wall ratio of urban buildings |
| CN112964370A (en)* | 2021-03-30 | 2021-06-15 | 清华大学 | Method for rapidly acquiring indoor air temperature from outdoor in batch through infrared thermal imaging |
| CN114676861A (en)* | 2022-05-27 | 2022-06-28 | 石家庄星海高科非金属矿业材料有限责任公司 | Energy-saving and environment-friendly maintenance method and system for outer vertical surface of building |
| CN114676861B (en)* | 2022-05-27 | 2022-08-02 | 石家庄星海高科非金属矿业材料有限责任公司 | Energy-saving and environment-friendly maintenance method and system for outer vertical surface of building |
| CN115598178A (en)* | 2022-12-14 | 2023-01-13 | 天津思睿信息技术有限公司(Cn) | Infrared detection method and system for hollowing defects of building wall |
| US12322078B2 (en) | 2023-06-01 | 2025-06-03 | Qeatech Inc. | Method and system for detection and localization of thermal defects |
| CN117689660A (en)* | 2024-02-02 | 2024-03-12 | 杭州百子尖科技股份有限公司 | Vacuum cup temperature quality inspection method based on machine vision |
| CN117689660B (en)* | 2024-02-02 | 2024-05-14 | 杭州百子尖科技股份有限公司 | Vacuum cup temperature quality inspection method based on machine vision |
| Publication number | Publication date |
|---|---|
| CN103163181B (en) | 2014-11-05 |
| Publication | Publication Date | Title |
|---|---|---|
| CN103163181B (en) | Automatic thermotechnical area identification method based on outdoor scene infrared image of building | |
| WO2014146222A1 (en) | Automatic detection method of building thermotechnical indicator based on infrared images | |
| CN103413139B (en) | Electric equipment abnormal heating detection method based on infrared inspection video data of power line inspection | |
| CN106340009B (en) | A kind of electric power line detecting method and system based on parallel binocular | |
| CN103488988B (en) | Method for extracting insulators in electrical equipment based on unmanned aerial vehicle line patrol visible light image | |
| CN102508110B (en) | Texture-based insulator fault diagnostic method | |
| CN112200178B (en) | Transformer substation insulator infrared image detection method based on artificial intelligence | |
| CN102565625A (en) | Method for intelligently diagnosing thermal defects of high-voltage transmission line based on infrared image | |
| CN103196380B (en) | Transmission line of electricity image collecting device and electric power line ice-covering thickness detection system | |
| CN107491781A (en) | A kind of crusing robot visible ray and infrared sensor data fusion method | |
| CN112686938A (en) | Electric transmission line clear distance calculation and safety warning method based on binocular image ranging | |
| CN102288884B (en) | External insulation discharging detecting method based on ultraviolet light spots | |
| CN110009530A (en) | A neural network system and method suitable for portable power inspection | |
| CN104253482A (en) | Image data base and inspection robot-based equipment trouble detection method | |
| CN107843818B (en) | High-voltage insulation fault diagnosis method based on heterogeneous image temperature rise and partial discharge characteristics | |
| WO2017114439A1 (en) | Image processing-based method and device for measuring growth degree of algae on silicone rubber surface | |
| CN103163151A (en) | Accurate building thermotechnical defect positioning method based on infrared image | |
| CN112013966A (en) | Power equipment infrared image processing method based on measured temperature | |
| CN116773531A (en) | Building thermal performance detection method, system, electronic equipment and medium | |
| CN114792328A (en) | Infrared thermal imaging image processing and analyzing method | |
| CN114663344A (en) | Train wheel set tread defect identification method and device based on image fusion | |
| CN105987665A (en) | Early warning and monitoring device of ultra high voltage transmission line sag point variation range, and method of the same | |
| CN114220084A (en) | A Defect Recognition Method of Power Distribution Equipment Based on Infrared Image | |
| CN107202638A (en) | A kind of building heating and ventilating pipeline detection method based on thermal infrared imaging | |
| CN108898080B (en) | Ridge line neighborhood evaluation model-based crack connection method |
| Date | Code | Title | Description |
|---|---|---|---|
| C06 | Publication | ||
| PB01 | Publication | ||
| C10 | Entry into substantive examination | ||
| SE01 | Entry into force of request for substantive examination | ||
| C14 | Grant of patent or utility model | ||
| GR01 | Patent grant | ||
| CF01 | Termination of patent right due to non-payment of annual fee | Granted publication date:20141105 Termination date:20150321 | |
| EXPY | Termination of patent right or utility model |