

【技术领域】【Technical field】
本发明属于视觉测量技术领域,涉及一种可用于单目视觉测量系统快速标定、测量和数据拼接的便携式球靶标。The invention belongs to the technical field of visual measurement and relates to a portable ball target that can be used for rapid calibration, measurement and data splicing of a monocular visual measurement system.
【背景技术】【Background technique】
随着工件外形检测需求的增多,视觉测量技术得到越来越多的应用。较之需要多台摄像机的立体视觉系统,单摄像机无需摄像机同步设备和保持摄像机相对位置的机械装置,因此使用方便、价格低廉、便于实现。然而单纯利用单目视觉系统进行测量时无法恢复三维物体的深度信息,往往需要借助线激光等额外条件构成三角约束、约束测量物体在特定的位置成像或者使用标记点或标定面约束待测量面等方法来确定三维深度信息,测量过程十分复杂,应用受限。同时标定相机内、外部参数的过程费时费力,不利于工件快速测量。另外,单目视觉系统测量范围有限,在测量大型工件时往往只能测量局部信息,采用拼接靶标进行三维数据拼接成为扩大测量范围的有效途径。目前常用的拼接靶标主要是平面靶标,存在相机移动视角过大时畸变过大甚至观测不到的不足。With the increasing demand for workpiece shape inspection, visual measurement technology has been applied more and more. Compared with a stereo vision system that requires multiple cameras, a single camera does not require a camera synchronization device and a mechanical device for maintaining the relative positions of the cameras, so it is easy to use, low in price, and easy to implement. However, the depth information of a three-dimensional object cannot be recovered simply by using a monocular vision system for measurement. It is often necessary to use additional conditions such as line lasers to form a triangle constraint, constrain the measurement object to be imaged at a specific position, or use marker points or calibration surfaces to constrain the surface to be measured, etc. method to determine the three-dimensional depth information, the measurement process is very complicated, and the application is limited. At the same time, the process of calibrating the internal and external parameters of the camera is time-consuming and laborious, which is not conducive to the rapid measurement of the workpiece. In addition, the monocular vision system has a limited measurement range. When measuring large workpieces, it can only measure local information. Using stitching targets for 3D data stitching has become an effective way to expand the measurement range. At present, the commonly used splicing targets are mainly planar targets, which have the disadvantage that the distortion is too large or even invisible when the camera movement angle is too large.
【发明内容】【Content of invention】
针对上述现有单目测量系统的缺陷或不足,本发明的目的在于提供一种更加灵活简便、且视角不受靶标单面约束的单目视觉系统及其使用的便携式球靶标及其测量方法,实现单目测量系统快速标定、测量和数据拼接。由于球具有外轮廓连续性好等优点,可以实现360度空间视场无视角限制、便捷标定,消除了平面靶标在摄像机移动视角太大时畸变过大甚至观测不到的不足。本发明采用球体作为拼接靶标和标定靶标,将标定过程和拼接过程使用球靶标同步完成。Aiming at the defects or deficiencies of the existing monocular measurement system mentioned above, the object of the present invention is to provide a more flexible and simple monocular vision system whose viewing angle is not restricted by one side of the target and the portable ball target and its measurement method used therefor. Realize rapid calibration, measurement and data stitching of the monocular measurement system. Because the ball has the advantages of good continuity of the outer contour, it can realize 360-degree spatial field of view without viewing angle limitation, convenient calibration, and eliminates the problem that the plane target is too distorted or even unobservable when the camera moves too much. The present invention adopts spheres as splicing targets and calibration targets, and the calibration process and splicing process are completed synchronously by using the spherical targets.
为了实现上述目的,本发明采用如下技术方案:In order to achieve the above object, the present invention adopts the following technical solutions:
一种用于单目视觉系统快速标定和测量的便携式球靶标,主要由球体、连接块和一系列不同形状和长度的探针组成;所述连接块用于支撑每个球体以及连接探针,所述探针由连接长杆和测头组成,设计不同的连接杆以适应不同的测量场合;所述球体部分由三个以上非共面圆球组成,所述球体通过螺杆与连接块连接。A portable ball target for rapid calibration and measurement of a monocular vision system, mainly composed of a sphere, a connecting block and a series of probes of different shapes and lengths; the connecting block is used to support each sphere and connect the probes, The probe is composed of a connecting long rod and a measuring head, and different connecting rods are designed to adapt to different measurement occasions; the sphere part is composed of more than three non-coplanar spheres, and the spheres are connected to the connecting block through a screw.
作为本发明的优选实施例,所述连接块为球体形状。As a preferred embodiment of the present invention, the connecting block is in the shape of a sphere.
一种基于所述的便携式球靶标的单目视觉系统,所述单目视觉系统包括便携式球靶标及摄像机,所述摄像机能看见完整的球靶标球体部分。A monocular vision system based on the portable ball target, the monocular vision system includes a portable ball target and a camera, and the camera can see the complete spherical part of the ball target.
一种基于所述的单目视觉系统的测量方法,(1)由单目视觉系统拍摄一幅球靶标图像,根据摄像机透视成像模型和球体投影模型基于绝对二次曲线成像几何标定摄像机内部参数K,所述摄像机内部参数K包括摄像机光心(u0,v0),焦距f以及倾斜因子s;(2)利用标定的摄像机内部参数和球透视成像几何模型确定各个球心在摄像机坐标系下的三维坐标;(3)求取球靶标中每个圆球球心到测头的距离;(4)根据球靶标圆球和测头的位置关系确定测头的位置,即待测点的三维坐标。A measurement method based on the monocular vision system, (1) A spherical target image is captured by the monocular vision system, and the internal parameter K of the camera is calibrated based on the absolute conic imaging geometry according to the camera perspective imaging model and the spherical projection model , the camera internal parameters K include camera optical center (u0 , v0 ), focal length f and tilt factor s; (2) use the calibrated camera internal parameters and spherical perspective imaging geometric model to determine the position of each spherical center in the camera coordinate system (3) Calculate the distance from the center of each sphere in the ball target to the probe; (4) Determine the position of the probe according to the positional relationship between the ball of the ball target and the probe, that is, the three-dimensional position of the point to be measured coordinate.
作为本发明的优选实施例,上述步骤(1)的具体方法包括以下步骤:As a preferred embodiment of the present invention, the specific method of the above step (1) includes the following steps:
(5.1)采用图像处理方法和边缘检测算子提取每个圆球在摄像机内所成的椭圆轮廓,然后采用最小二乘法拟合对应椭圆轮廓的曲线方程Ci,其中,i为圆球的个数;(5.1) Use image processing methods and edge detection operators to extract the elliptical contour formed by each sphere in the camera, and then use the least squares method to fit the curve equation Ci corresponding to the elliptical contour, where i is the number of spheres number;
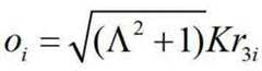
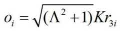
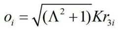
(5.2)根据球体透视投影成像模型,摄像机坐标系OcXcYcZc与第i个圆球的球坐标系OsiXsiYsiZsi之间的单应性矩阵为:Hi=KRidiag{1,1,Λi},其中,Λi=Zi0/ri,Zi0为第i个圆球的球心到摄像机光心之间的距离,ri为第i个圆球的半径,圆球在摄像机内成像椭圆的二次曲线方程Ci在对偶空间中表示形式为:(5.2) According to the spherical perspective projection imaging model, the homography matrix between the camera coordinate system Oc Xc Yc Zc and the spherical coordinate system Osi Xsi Ysi Zsi of the i-th sphere is: Hi =KRi diag{1,1,Λi }, where, Λi =Zi0 /ri , Zi0 is the distance from the center of the i-th sphere to the optical center of the camera, ri is the i-th The radius of the sphere, the quadratic curve equation Ci of the ellipse imaged by the sphere in the camera is expressed in the dual space as:
其中,是第i个圆球的球心成像坐标,r3i为相应的旋转矩阵Ri的第3列,Ri为旋转矩阵,K为摄像机内部参数形成的矩阵。in, is the imaging coordinate of the center of the i-th sphere, r3i is the third column of the corresponding rotation matrix Ri , Ri is the rotation matrix, and K is the matrix formed by the internal parameters of the camera.
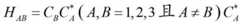
作为本发明的优选实施例,所述步骤(5.2)中,求解摄像机内部参数K时,引入绝对二次曲线,该绝对二次曲线在单应性矩阵下的图像为w=(KKT)-1,在对偶空间中表示为:w*=KKT;球靶标中的每两个圆球的成像椭圆曲线方程之间的单应性矩阵为A,B=1,2,3且A≠B,其中,为圆球A的成像椭圆曲线方程CA在对偶空间中的表示形式,CB为圆球B的成像椭圆无线方程;根据视图几何理论,每一对成像椭圆的单应性矩阵均包括一个穿过相应的椭圆对的特征向量,称为单应性矩阵的极线,表示为lAB,其中,A,B=1,2,3且A≠B,每个特征向量对应的特征值称为极点,表示为vAB,A,B=1,2,3且A≠B.lAB、vAB以及w满足[lAB]×wvAB=0,根据奇异值分解得到w,进而根据公式w*=KKT正交分解即得摄像机内部参数K。As a preferred embodiment of the present invention, in the step (5.2), when solving the internal parameter K of the camera, an absolute conic curve is introduced, and the image of the absolute conic curve under the homography matrix is w=(KKT )− 1 , expressed in the dual space as: w* =KKT ; the homography matrix between the imaging elliptic curve equations of every two spheres in the spherical target is A, B=1,2,3 and A≠B, where, is the expression form of the imaging elliptic curve equation CA of the sphere A in the dual space, and CB is the wireless equation of the imaging ellipse of the sphere B; according to the theory of view geometry, the homography matrix of each pair of imaging ellipses includes a wear The eigenvector passing through the corresponding ellipse pair is called the epipolar line of the homography matrix, expressed as lAB , where A, B=1, 2, 3 and A≠B, and the eigenvalue corresponding to each eigenvector is called Pole, expressed as vAB , A, B=1,2,3 and A≠BlAB , vAB and w satisfy [lAB ]×wvAB =0, obtain w according to singular value decomposition, and then according to the formula w* = The KKT is orthogonally decomposed to obtain the internal parameter K of the camera.
作为本发明的优选实施例,步骤(2)的具体方法为:对步骤(5.2)中的公式(5.1)进行变形得到:
作为本发明的优选实施例,所述待测点的位置坐标(x,y,z)根据以下计算:As a preferred embodiment of the present invention, the position coordinates (x, y, z) of the point to be measured are calculated according to the following:
(xi-x)2+(yi-y)2+(zi-z)2=(di)2, 公式(8.1)(xi -x)2 +(yi -y)2 +(zi -z)2 =(di )2 , formula (8.1)
其中,i为圆球的个数,(xi,yi,zi)为第i个圆球球心坐标,di为圆球与测头之间的距离,i个圆球即得i个公式(8.1),联合即得待测点的位置坐标(x,y,z)。Among them, i is the number of spheres, (xi , yi , zi) is the coordinates of the center of the i-th sphere, di is the distance between the sphere and the probe, i Combined with formula (8.1), the position coordinates (x, y, z) of the point to be measured can be obtained.
作为本发明的优选实施例,测量之前,首先对球靶标进行自标定,得到圆球与测头之间的距离,自标定的方法为:令测头固定在一点不动,球靶标绕测头旋转多个角度拍摄m幅图像,利用同心圆半径不变的约束联合所有球心建立误差最小化函数,通过最小化总距离误差得到待测点空间位置,最后即得得到每个圆球的球心与待测点之间的距离。As a preferred embodiment of the present invention, before the measurement, the ball target is first self-calibrated to obtain the distance between the ball and the probe. The method of self-calibration is: the probe is fixed at one point, and the ball target is around the probe. Rotate multiple angles to shoot m images, use the constraint of constant radius of concentric circles to combine all sphere centers to establish an error minimization function, and obtain the spatial position of the point to be measured by minimizing the total distance error, and finally get the sphere of each sphere The distance between the center and the point to be measured.
一种基于所述的单目视觉系统进行移动标定和数据拼接的方法,(10.1)首先将球靶标放置在合适的位置,保证摄像机能够看到球靶标球体部分;(10.2)建立世界坐标系OwXwYwZw,按照顺序选取球靶标的三个圆球,其中,世界坐标系的原点Ow为第一个圆球的球心,世界坐标系的Xw轴为第二个圆球的球心到第一个圆球的球心的向量世界坐标系的Zw轴为:
与现有技术相比,本发明具有以下有益效果:本发明测量时,对球靶标中的不同圆球进行拍摄,从而得到待测点的位置坐标。由于球具有外轮廓连续性好等优点,可以实现360度空间视场无视角限制、便捷标定,消除了平面靶标在摄像机移动视角太大时畸变过大甚至观测不到的不足。Compared with the prior art, the present invention has the following beneficial effects: when the present invention is measuring, different spheres in the ball target are photographed, so as to obtain the position coordinates of the points to be measured. Because the ball has the advantages of good continuity of the outer contour, it can realize 360-degree spatial field of view without viewing angle limitation, convenient calibration, and eliminates the problem that the plane target is too distorted or even unobservable when the camera moves too much.
【附图说明】【Description of drawings】
图1为本发明球靶标结构及摄像机透视成像模型示意图;Fig. 1 is the schematic diagram of ball target structure and camera perspective imaging model of the present invention;
图2为本发明球靶标球体部分透视成像模型示意图;Fig. 2 is a schematic diagram of a partial perspective imaging model of a ball target sphere of the present invention;
图3为本发明球靶标自标定及测头位置计算原理示意图;Fig. 3 is a schematic diagram of the self-calibration of the ball target and the calculation principle of the probe position of the present invention;
图4为本发明球靶标的摄像机移动位置标定示意图。Fig. 4 is a schematic diagram of camera movement position calibration of the ball target of the present invention.
【具体实施方式】【Detailed ways】
下面结合附图对本发明做进一步详细描述。The present invention will be described in further detail below in conjunction with the accompanying drawings.
图1为本发明球靶标结构及摄像机透视成像模型示意图。其中的标号分别表示:1、测头,2、接长杆,3、圆球,4、螺杆,5、球形连接块。OcXcYcZc为摄像机坐标系,Oc为摄像机光心,Zc轴与摄像机光轴方向重合。Os1、Os2、Os3分别为用于建立靶标坐标系的三个球的球心,OsXsYsZs为靶标坐标系。uv表示图像像素坐标系(即实物在摄像机内成像的图像坐标系),(u0,v0)表示图像中心。Fig. 1 is a schematic diagram of the ball target structure and camera perspective imaging model of the present invention. The labels therein represent respectively: 1. measuring head, 2. extension rod, 3. ball, 4. screw rod, 5. spherical connection block. Oc Xc Yc Zc is the camera coordinate system, Oc is the optical center of the camera, and the Zc axis coincides with the direction of the camera optical axis. Os1 , Os2 , and Os3 are the centers of three spheres used to establish the target coordinate system, respectively, and Os Xs Ys Zs is the target coordinate system. uv represents the image pixel coordinate system (that is, the image coordinate system in which the object is imaged in the camera), and (u0 , v0 ) represents the image center.
本发明以由4个圆球组成的球靶标为例进行具体说明。球靶标的探针由测头1和接长杆2组成,测头1通过接长杆2连接到球形连接块5上,球形连接块5表面打有均布的14个螺纹孔,与接长杆2和圆球3之间采用螺杆连接,螺纹孔的数量保证了可以根据需要确定需要安装的球体数量。每两个移动位置的摄像机要求有重叠的视场。本方法先根据空间球成像和绝对二次曲线的关系标定摄像机内部参数,然后根据球透视成像模型和矩阵分解法求得各个球的球心位置,由此计算测头的空间三维坐标。最后利用球靶标作为拼接靶标,标定摄像机移动位置关系,实现不同位置的数据拼接。The present invention is specifically described by taking a ball target composed of 4 spheres as an example. The probe of the ball target is composed of a
图2为球靶标球体部分透视成像模型示意图。OcXcYcZc为摄像机坐标系,OsiXsiYsiZsi为以摄像机光心为原点、光心与球心连线为Z轴建立的第i个球的球坐标系。球心Oi到摄像机光心Oc的距离为Zi0,球的半径为ri,根据射线跟踪,由出射的射线与球相切的点组成一个圆,即轮廓生成元(轮廓生成元即每一个圆球实际的轮廓),在摄像机像平面上的成像椭圆表示为Ci,uv表示图像像素坐标系。Fig. 2 is a schematic diagram of a perspective imaging model of a spherical part of a spherical target. Oc Xc Yc Zc is the camera coordinate system, Osi Xsi Ysi Zsi is the spherical coordinate system of the i-th ball established with the optical center of the camera as the origin and the line connecting the optical center and the center of the sphere as the Z axis. The distance from the center of the sphere Oi to the optical center of the camera Oc is Zi0 , and the radius of the sphere is ri . According to ray tracing, a circle is formed by the point where the outgoing ray is tangent to the sphere, that is, the contour generating element (The contour generator is the actual contour of each sphere), The imaging ellipse on the camera image plane is represented as Ci , and uv represents the image pixel coordinate system.
图3为球靶标自标定及测头位置计算原理示意图。其中的标号分别表示:P0表示待测点三维坐标,也即靶标测头所在位置,OsXsYsZs表示靶标坐标系,d1~d4表示四个球的球心到测头的距离。Figure 3 is a schematic diagram of the principle of ball target self-calibration and probe position calculation. The labels in it respectively indicate: P0 indicates the three-dimensional coordinates of the point to be measured, that is, the position of the target probe, Os Xs Ys Zs indicates the target coordinate system, and d1 ~ d4 indicate the four balls from the center to the measuring point. head distance.
图4为能同时覆盖球靶标的摄像机移动位置标定示意图。其中的标号分别表示:OciXciYciZci表示摄像机在第i个位置构建的摄像机坐标系,OsXsYsZs表示靶标坐标系,Pos(i)代表摄像机移动位置,[Rab,Tab]代表坐标系a到坐标系b的转换关系,脚标a、b代表各个位置的摄像机坐标系和靶标坐标系。Fig. 4 is a schematic diagram of camera movement position calibration capable of simultaneously covering a ball target. The labels in it represent respectively: Oci Xci Yci Zci represents the camera coordinate system constructed by the camera at the i-th position, Os Xs Ys Zs represents the target coordinate system, Pos(i) represents the moving position of the camera, [ Rab , Tab ] represents the transformation relationship from coordinate system a to coordinate system b, and subscripts a and b represent the camera coordinate system and target coordinate system at each position.
下面,对各步骤进行具体介绍。Each step is described in detail below.
第一阶段:硬件的建立Phase 1: Establishment of the hardware
参见图1,搭建单目视觉测量系统,建立摄像机透视成像模型。球靶标的球体部分包括三个以上由球形连接块5连接的圆球3,所述圆球3通过螺杆4连接在球形连接件5上,圆球半径ri可以不一样,根据测量视场确定球的数量和大小;探针的接长杆2连接在球形连接块5上,其长度和形状根据实际的测量场合确定;测头1设置在接长杆的末端,圆球与测头1的位置可以通过球靶标自标定确定。球靶标置于摄像机视场内合适位置,测头1与被测点接触。拍摄一幅图像。Referring to Figure 1, build a monocular vision measurement system and establish a camera perspective imaging model. The spherical part of the ball target includes more than three balls 3 connected by a spherical connection block 5, and the balls 3 are connected to the spherical connection part 5 through a screw 4. The radius ri of the ball can be different, and it is determined according to the measurement field of view The number and size of the balls; the extension rod 2 of the probe is connected to the spherical connection block 5, and its length and shape are determined according to the actual measurement occasion; the
第二阶段:基于球靶标和绝对二次曲线的摄像机内部参数K的单幅图像标定。The second stage: a single image calibration based on the spherical target and the camera internal parameter K of the absolute conic curve.
参见图2,球体部分透视成像,每个圆球在像平面上成像为椭圆。所述像平面即实际圆球在摄像机内的成像所在的平面。摄像机内部参数K主要是由摄像机光心和焦距形成的矩阵,标定过程如下:Referring to Fig. 2, the sphere is partly imaged in perspective, and each sphere is imaged as an ellipse on the image plane. The image plane is the plane where the image of the actual sphere in the camera is located. The camera internal parameter K is mainly a matrix formed by the camera optical center and focal length, and the calibration process is as follows:
2.1、采用二值化、膨胀、阈值等图像处理方法和边缘检测算子提取球体所成椭圆轮廓,采用最小二乘法拟合椭圆曲线方程Ci(i=1~4),i为球靶标中圆球的个数。将每个圆球的投影二次曲线Ci按一定的顺序保存待用。2.1. Use binarization, expansion, threshold and other image processing methods and edge detection operators to extract the ellipse contour formed by the sphere, and use the least square method to fit the elliptic curve equation Ci (i=1~4), where i is the center of the spherical target The number of balls. Save the projected quadratic curve Ci of each sphere in a certain order for later use.
2.2、根据球体透视投影成像模型,摄像机坐标系OcXcYcZc与第i个圆球的球坐标系OsiXsiYsiZsi之间只存在一个旋转,因此两者之间的单应性矩阵Hi=KRidiag{1,1,Λi},其中,Λi=Zi0/ri,Zi0为第i个圆球的球心到摄像机光心之间的距离,ri为第i个圆球的半径,Ri为旋转矩阵,球的轮廓生成元在像平面上的成像椭圆二次曲线方程为
其中是第i个圆球的球心所成像坐标,r3i为相应的旋转矩阵Ri的第3列。in is the imaging coordinate of the center of the i-th sphere, and r3i is the third column of the corresponding rotation matrix Ri .
绝对二次曲线IAC是无穷远平面π∞=(0,0,0,1)T上的二次曲线,在单应性矩阵H=KR下的图像w=(KKT)-1其在对偶空间中可表示为The absolute conic IAC is a conic on the infinite plane π∞ =(0,0,0,1)T , the image w=(KKT )-1 under the homography matrix H=KR is in the dual in space can be expressed as
w*=KKT (2)w* =KKT (2)
由空间三个球体成像可以得到如(3)所示的三个方程。计算每两个成像椭圆曲线方程之间的单应性矩阵为CA在对偶空间中的表示形式。根据视图几何理论,每一对成像椭圆的单应性矩阵均包括一个穿过相应的椭圆对的特征向量,称为单应性矩阵的极线,表示为lAB(A,B=1,2,3且A≠B),每个特征向量对应的特征值称为极点,表示为vAB(A,B=1,2,3且A≠B).lAB、vAB以及w满足方程(3):The three equations shown in (3) can be obtained by imaging three spheres in space. Compute the homography matrix between every two imaging elliptic curve equations is the representation of CA in the dual space. According to the theory of view geometry, the homography matrix of each pair of imaging ellipses includes an eigenvector passing through the corresponding pair of ellipses, called the epipolar line of the homography matrix, expressed as lAB (A, B=1,2 ,3 and A≠B), the eigenvalue corresponding to each eigenvector is called a pole, expressed as vAB (A,B=1,2,3 and A≠B).lAB , vAB and w satisfy the equation ( 3):
[lAB]×wvAB=0 (3)[lAB ]×wvAB =0 (3)
,根据奇异值分解可以得到w,进而根据式(2)正交分解得到摄像机内部参数K。进而可求取。, according to the singular value decomposition, w can be obtained, and then the internal parameter K of the camera can be obtained according to the orthogonal decomposition of formula (2). and thus obtainable.
第三阶段:基于球靶标成像模型利用矩阵奇异值分解获得每个球心位置Oi,通过球靶标自标定确定球心与测头之间的位置关系;位置参数一旦标定,可以作为已知量,在球靶标在不拆斜(增减球或换测头接长杆等)的情况下用于接下来的工件表面测量。The third stage: Based on the spherical target imaging model, the matrix singular value decomposition is used to obtain the position Oi of each spherical center, and the positional relationship between the spherical center and the probe is determined through the spherical target self-calibration; once the position parameter is calibrated, it can be used as a known quantity , the ball target is used for the next workpiece surface measurement without dismantling the skew (increase or decrease the ball or change the probe extension rod, etc.).
3.1、对步骤2中的公式(1)进行简单变形可得到3.1. Simple deformation of the formula (1) in step 2 can be obtained
其中,βi为第i个圆球的成像比例因子;Among them, βi is the imaging scale factor of the i-th sphere;
等式左边为对称阵,通过奇异值分解可以得到与等式右边一致的形式,从而得到旋转矩阵Ri和Λi,得到各个球心的三维坐标。The left side of the equation is a symmetric matrix, and the form consistent with the right side of the equation can be obtained through singular value decomposition, so that the rotation matrices Ri and Λi can be obtained, and the three-dimensional coordinates of each sphere center can be obtained.
3.2、参见图3,由步骤3.1中的计算可以得到球心的三维坐标,为了得到准确的球心和测头之间的位置关系,在使用靶标进行三维测量之前,对球靶标进行自标定。令测头固定在一点不动,球靶标绕测头旋转多个角度拍摄m幅图像,球靶标中使用的圆球个数n=4,设第j幅图像中球心Oi(i=1~n)的坐标为利用步骤3.1可以确定该坐标。第i个球在第j个位置时到测头的距离和测头位置(x,y,z)为未知量,3.2. Referring to Figure 3, the three-dimensional coordinates of the center of the ball can be obtained from the calculation in step 3.1. In order to obtain an accurate positional relationship between the center of the ball and the probe, the ball target is self-calibrated before using the target for three-dimensional measurement. Let the measuring head stay fixed at one point, and the ball target rotates around the measuring head at multiple angles to shoot m images, the number of balls used in the ball target is n=4, and the center of the j-th image is Oi (i=1 ~n) coordinates are This coordinate can be determined using step 3.1. The distance from the i-th ball to the probe when it is at the j-th position and probe position (x, y, z) are unknown quantities,
对每一个球,均可以利用同心圆半径不变的约束得到m-1个约束方程,联合所有球心建立误差最小化函数For each sphere, m-1 constraint equations can be obtained by using the constraint that the radius of the concentric circle is constant, and the error minimization function can be established by combining all sphere centers
通过最小化总距离误差得到优化的待测点空间位置,然后将该空间位置作为已知量带入(5),每个球的球心与待测点之间距离利用求得。将得到的距离值作为已知量用于后续测量过程中。因为自标定过程只需要一次,后续测量过程只需拍摄单幅图像即可得到待测点三维坐标。The optimized spatial position of the point to be measured is obtained by minimizing the total distance error, and then the spatial position is brought into (5) as a known quantity, and the distance between the center of each ball and the point to be measured is used Get it. The obtained distance value is used as a known quantity in the subsequent measurement process. Because the self-calibration process only needs one time, the subsequent measurement process only needs to take a single image to obtain the three-dimensional coordinates of the point to be measured.
第四阶段:基于球靶标的单目测量系统移动标定和数据拼接The fourth stage: mobile calibration and data splicing of monocular measurement system based on ball target
参见图4,首先基于向量标准正交法以空间球为基准建立世界坐标系OwXwYwZw作为拼接坐标系,然后利用拼接坐标系实现摄像机在不同位置的坐标转化。Referring to Fig. 4, the world coordinate system Ow Xw Yw Zw is established as the splicing coordinate system based on the vector orthonormal method and the space sphere as the reference, and then the coordinate transformation of the camera at different positions is realized by using the splicing coordinate system.
4.1、将球靶标放置在视场中合适的位置,摄像机在位置1拍摄一幅图像,然后移动摄像机到位置i,要求两个位置的摄像机均可以看到球靶标球体部分。若需要更多的位置以实现大型工件表面测量,则要求每个位置均可以看到球靶标球体部分。要求每个位置拍摄的球按相同顺利排列,保证世界坐标系的统一性。4.1. Place the ball target at a suitable position in the field of view. The camera takes an image at
4.2、以不动的空间球为基准建立世界坐标系,三个球即可根据标准正交法建立笛卡尔直角坐标系。选取特定的三个球,如序号1~3的球。首先将世界坐标系原点Ow置于球1的球心位置,确定球2、球3的球心到球心1的向量定义为Xw轴方向,由此可确定Zw轴,
4.3、当摄像机处于位置1时,由步骤2确立世界坐标系,则摄像机坐标系和世界坐标系之间的关系确定[Rw-1,Tw-1],当摄像机移动到第i个位置后,同理可确定第i个位置摄像机坐标系和世界坐标系之间的关系[Rw-i,Tw-i]。选取摄像机在第一个位置时的坐标系为参考坐标系,将所有位置时测量数据统一到参考坐标系下实现数据拼接。第i个摄像机坐标系与第1个位置摄像机坐标系的关系可推出:4.3. When the camera is at
本发明为实现单目测量系统下的深度信息获取提供了一种可行途径,实施快速方便,成本低廉。在实现摄像机标定的同时完成了空间点测量,可以通过增加球体部分圆球数量和保持测尖不动旋转球靶标多幅拍摄的方式优化测量精度。本发明同时为多目系统和单目测量系统移动标定和数据拼接提供了一种可行途径,多目系统标定原理和单目移动标定原理类似,可以通过第四阶段的步骤完成坐标系统一和数据拼接。The invention provides a feasible way for realizing the acquisition of depth information under the monocular measurement system, and the implementation is fast and convenient, and the cost is low. The spatial point measurement is completed while the camera is calibrated, and the measurement accuracy can be optimized by increasing the number of spheres in the sphere part and keeping the measuring tip stationary and rotating the ball target for multiple shots. The present invention provides a feasible way for multi-objective system and monocular measurement system mobile calibration and data splicing at the same time. The principle of multi-objective system calibration is similar to that of monocular mobile calibration. Coordinate
| Application Number | Priority Date | Filing Date | Title |
|---|---|---|---|
| CN201310064021.5ACN103162622B (en) | 2013-02-28 | 2013-02-28 | The Portable ball target of single camera vision system and use thereof and measuring method thereof |
| Application Number | Priority Date | Filing Date | Title |
|---|---|---|---|
| CN201310064021.5ACN103162622B (en) | 2013-02-28 | 2013-02-28 | The Portable ball target of single camera vision system and use thereof and measuring method thereof |
| Publication Number | Publication Date |
|---|---|
| CN103162622Atrue CN103162622A (en) | 2013-06-19 |
| CN103162622B CN103162622B (en) | 2016-06-29 |
| Application Number | Title | Priority Date | Filing Date |
|---|---|---|---|
| CN201310064021.5AActiveCN103162622B (en) | 2013-02-28 | 2013-02-28 | The Portable ball target of single camera vision system and use thereof and measuring method thereof |
| Country | Link |
|---|---|
| CN (1) | CN103162622B (en) |
| Publication number | Priority date | Publication date | Assignee | Title |
|---|---|---|---|---|
| CN103759669A (en)* | 2014-01-03 | 2014-04-30 | 河南科技大学 | Monocular vision measuring method for large parts |
| CN104101301A (en)* | 2014-08-11 | 2014-10-15 | 中铁宝桥集团有限公司 | Close-range photogrammetry drone |
| CN104101299A (en)* | 2014-08-05 | 2014-10-15 | 吉林大学 | Camera three-dimensional truss calibrating target for automotive visual detection system |
| CN104807476A (en)* | 2015-04-23 | 2015-07-29 | 上海大学 | Pose estimation-based quick probe calibration device and method |
| CN105157604A (en)* | 2015-08-07 | 2015-12-16 | 天津大学 | Rapid calibration method of outfield multi-beam line-structured light vision measuring system |
| CN105606025A (en)* | 2016-02-01 | 2016-05-25 | 西安交通大学 | Method for measuring spherical object geometric parameters by use of laser and monocular camera |
| CN106197283A (en)* | 2016-09-23 | 2016-12-07 | 广州汽车集团股份有限公司 | A kind of coordinate evaluator and using method, measurement system |
| CN106426158A (en)* | 2015-08-11 | 2017-02-22 | 冯黎 | Automatic robot operating procedure correcting system applied in combination with three-dimensional measurement |
| CN106442569A (en)* | 2015-08-12 | 2017-02-22 | 业纳工业计量德国公司 | Borehole inspection device |
| CN106846413A (en)* | 2017-01-24 | 2017-06-13 | 太原理工大学 | The device and method that three-dimensional tree-shaped rectangular coordinate system is built and image space is demarcated |
| CN106979748A (en)* | 2017-03-16 | 2017-07-25 | 北京汽车股份有限公司 | Three coordinate detection methods and detecting system based on graphics |
| CN107146254A (en)* | 2017-04-05 | 2017-09-08 | 西安电子科技大学 | Camera Extrinsic Parameter Calibration Method for Multi-camera System |
| CN107756408A (en)* | 2017-11-22 | 2018-03-06 | 浙江优迈德智能装备有限公司 | A kind of robot trajectory's teaching apparatus and method based on active infrared binocular vision |
| CN108007332A (en)* | 2017-11-07 | 2018-05-08 | 中国核工业二三建设有限公司 | Multi-pipe-diameter nozzle sizes measure auxiliary tool |
| CN108268427A (en)* | 2018-01-10 | 2018-07-10 | 中国地质大学(武汉) | A kind of free kick goal probability analysis method, equipment and storage device |
| CN108489398A (en)* | 2018-05-21 | 2018-09-04 | 华南农业大学 | Laser adds the method that monocular vision measures three-dimensional coordinate under a kind of wide-angle scene |
| CN108917646A (en)* | 2018-07-24 | 2018-11-30 | 天津市友发德众钢管有限公司 | A kind of multi-visual sense sensor caliberating device and scaling method |
| CN109079774A (en)* | 2018-05-04 | 2018-12-25 | 南京航空航天大学 | A kind of isotropism visual sensing three-dimensional spherical target and scaling method |
| CN109443206A (en)* | 2018-11-09 | 2019-03-08 | 山东大学 | Mechanical arm tail end pose measurement system and method based on color spherical fishing light source target |
| US10466027B2 (en) | 2017-06-21 | 2019-11-05 | Fujitsu Ten Corp. Of America | System and method for marker placement |
| CN110555902A (en)* | 2019-09-10 | 2019-12-10 | 中国科学院长春光学精密机械与物理研究所 | monocular vision measurement cooperative target vision simulation system |
| CN110793458A (en)* | 2019-10-30 | 2020-02-14 | 成都安科泰丰科技有限公司 | Coplane adjusting method for two-dimensional laser displacement sensor |
| CN111174725A (en)* | 2019-12-31 | 2020-05-19 | 吉林大学 | Shaft-end grounded monocular reconstruction system and method for concentric quadratic epipolar geometry |
| CN111256592A (en)* | 2020-03-13 | 2020-06-09 | 易思维(杭州)科技有限公司 | External parameter calibration device and method for structured light sensor |
| CN111256591A (en)* | 2020-03-13 | 2020-06-09 | 易思维(杭州)科技有限公司 | External parameter calibration device and method for structured light sensor |
| CN111504202A (en)* | 2020-02-29 | 2020-08-07 | 深圳市智信精密仪器有限公司 | Method for high-precision calibration splicing of multiple line lasers |
| CN112365407A (en)* | 2021-01-13 | 2021-02-12 | 西南交通大学 | Panoramic stitching method for camera with configurable visual angle |
| CN112665523A (en)* | 2020-11-24 | 2021-04-16 | 北京星航机电装备有限公司 | Combined measurement method for complex profile |
| CN112815832A (en)* | 2019-11-15 | 2021-05-18 | 中国科学院长春光学精密机械与物理研究所 | Measuring camera coordinate system calculation method based on 3D target |
| CN113119129A (en)* | 2021-04-28 | 2021-07-16 | 吕若罡 | Monocular distance measurement positioning method based on standard ball |
| CN113260482A (en)* | 2018-12-04 | 2021-08-13 | 驱动责任资金投入公司 | System and method for measuring a profile of a part |
| CN113409403A (en)* | 2021-06-29 | 2021-09-17 | 湖南泽塔科技有限公司 | Camera calibration frame, single-image camera calibration method and system based on calibration frame |
| CN113446934A (en)* | 2021-06-03 | 2021-09-28 | 中国人民解放军海军工程大学 | Close-range photogrammetry rotatable code calibration equipment and calibration method |
| CN114353693A (en)* | 2021-12-28 | 2022-04-15 | 中国航空工业集团公司北京长城航空测控技术研究所 | Handheld vector rod special for large-scale three-dimensional space overall measurement positioning instrument |
| CN114396904A (en)* | 2021-11-29 | 2022-04-26 | 北京银河方圆科技有限公司 | Positioning device and positioning system |
| CN114935316A (en)* | 2022-05-20 | 2022-08-23 | 长春理工大学 | Standard depth image generation method based on optical tracking and monocular vision |
| CN120063174A (en)* | 2025-04-28 | 2025-05-30 | 科大讯飞(苏州)科技有限公司 | Object size measuring method and related device, security inspection machine and storage medium |
| CN120063172A (en)* | 2025-04-28 | 2025-05-30 | 科大讯飞(苏州)科技有限公司 | Object size measuring method and related device, security inspection machine and storage medium |
| Publication number | Priority date | Publication date | Assignee | Title |
|---|---|---|---|---|
| CN101216296A (en)* | 2008-01-11 | 2008-07-09 | 天津大学 | Binocular Vision Shaft Calibration Method |
| CN102062578A (en)* | 2010-12-13 | 2011-05-18 | 西安交通大学 | Handheld optical target for measuring visual coordinate and measuring method thereof |
| CN102288106A (en)* | 2010-06-18 | 2011-12-21 | 合肥工业大学 | Large-space visual tracking six-dimensional measurement system and method |
| US20120206716A1 (en)* | 2011-02-14 | 2012-08-16 | Faro Technologies, Inc. | Target apparatus and method |
| CN102663767A (en)* | 2012-05-08 | 2012-09-12 | 北京信息科技大学 | Camera Parameter Calibration Optimization Method for Vision Measurement System |
| US20120293407A1 (en)* | 2011-05-19 | 2012-11-22 | Samsung Electronics Co. Ltd. | Head mounted display device and image display control method therefor |
| Publication number | Priority date | Publication date | Assignee | Title |
|---|---|---|---|---|
| CN101216296A (en)* | 2008-01-11 | 2008-07-09 | 天津大学 | Binocular Vision Shaft Calibration Method |
| CN102288106A (en)* | 2010-06-18 | 2011-12-21 | 合肥工业大学 | Large-space visual tracking six-dimensional measurement system and method |
| CN102062578A (en)* | 2010-12-13 | 2011-05-18 | 西安交通大学 | Handheld optical target for measuring visual coordinate and measuring method thereof |
| US20120206716A1 (en)* | 2011-02-14 | 2012-08-16 | Faro Technologies, Inc. | Target apparatus and method |
| US20120293407A1 (en)* | 2011-05-19 | 2012-11-22 | Samsung Electronics Co. Ltd. | Head mounted display device and image display control method therefor |
| CN102663767A (en)* | 2012-05-08 | 2012-09-12 | 北京信息科技大学 | Camera Parameter Calibration Optimization Method for Vision Measurement System |
| Title |
|---|
| KWAN-YEE WONG,ETC.: "A STRATIFIED APPROACH FOR CAMERA CALIBRATION USING SPHERES", 《IMAGE PROCESSING, IEEE TRANSACTIONS ON》, vol. 20, no. 2, 3 August 2010 (2010-08-03), pages 305 - 316, XP011342063, DOI: 10.1109/TIP.2010.2063035* |
| 谷飞飞: "用于相机标定的球靶标投影误差分析与校正", 《光学学报》, vol. 32, no. 12, 31 December 2012 (2012-12-31), pages 1 - 7* |
| Publication number | Priority date | Publication date | Assignee | Title |
|---|---|---|---|---|
| CN103759669A (en)* | 2014-01-03 | 2014-04-30 | 河南科技大学 | Monocular vision measuring method for large parts |
| CN103759669B (en)* | 2014-01-03 | 2016-11-23 | 河南科技大学 | A kind of monocular vision measuring method of heavy parts |
| CN104101299A (en)* | 2014-08-05 | 2014-10-15 | 吉林大学 | Camera three-dimensional truss calibrating target for automotive visual detection system |
| CN104101301B (en)* | 2014-08-11 | 2016-08-03 | 中铁宝桥集团有限公司 | A kind of close-range photogrammetry target |
| CN104101301A (en)* | 2014-08-11 | 2014-10-15 | 中铁宝桥集团有限公司 | Close-range photogrammetry drone |
| CN104807476A (en)* | 2015-04-23 | 2015-07-29 | 上海大学 | Pose estimation-based quick probe calibration device and method |
| CN105157604B (en)* | 2015-08-07 | 2017-07-11 | 天津大学 | The quick calibrating method of outfield multi beam Vision Measuring System With Structured Light Stripe |
| CN105157604A (en)* | 2015-08-07 | 2015-12-16 | 天津大学 | Rapid calibration method of outfield multi-beam line-structured light vision measuring system |
| CN106426158A (en)* | 2015-08-11 | 2017-02-22 | 冯黎 | Automatic robot operating procedure correcting system applied in combination with three-dimensional measurement |
| CN106442569A (en)* | 2015-08-12 | 2017-02-22 | 业纳工业计量德国公司 | Borehole inspection device |
| CN105606025A (en)* | 2016-02-01 | 2016-05-25 | 西安交通大学 | Method for measuring spherical object geometric parameters by use of laser and monocular camera |
| CN106197283A (en)* | 2016-09-23 | 2016-12-07 | 广州汽车集团股份有限公司 | A kind of coordinate evaluator and using method, measurement system |
| CN106846413A (en)* | 2017-01-24 | 2017-06-13 | 太原理工大学 | The device and method that three-dimensional tree-shaped rectangular coordinate system is built and image space is demarcated |
| CN106979748A (en)* | 2017-03-16 | 2017-07-25 | 北京汽车股份有限公司 | Three coordinate detection methods and detecting system based on graphics |
| CN107146254A (en)* | 2017-04-05 | 2017-09-08 | 西安电子科技大学 | Camera Extrinsic Parameter Calibration Method for Multi-camera System |
| US10466027B2 (en) | 2017-06-21 | 2019-11-05 | Fujitsu Ten Corp. Of America | System and method for marker placement |
| CN108007332A (en)* | 2017-11-07 | 2018-05-08 | 中国核工业二三建设有限公司 | Multi-pipe-diameter nozzle sizes measure auxiliary tool |
| CN107756408B (en)* | 2017-11-22 | 2020-10-23 | 浙江优迈德智能装备有限公司 | Robot track teaching device and method based on active infrared binocular vision |
| CN107756408A (en)* | 2017-11-22 | 2018-03-06 | 浙江优迈德智能装备有限公司 | A kind of robot trajectory's teaching apparatus and method based on active infrared binocular vision |
| CN108268427A (en)* | 2018-01-10 | 2018-07-10 | 中国地质大学(武汉) | A kind of free kick goal probability analysis method, equipment and storage device |
| CN109079774A (en)* | 2018-05-04 | 2018-12-25 | 南京航空航天大学 | A kind of isotropism visual sensing three-dimensional spherical target and scaling method |
| CN109079774B (en)* | 2018-05-04 | 2019-07-09 | 南京航空航天大学 | A kind of isotropic visual sensing stereo spherical target and calibration method |
| CN108489398A (en)* | 2018-05-21 | 2018-09-04 | 华南农业大学 | Laser adds the method that monocular vision measures three-dimensional coordinate under a kind of wide-angle scene |
| CN108917646A (en)* | 2018-07-24 | 2018-11-30 | 天津市友发德众钢管有限公司 | A kind of multi-visual sense sensor caliberating device and scaling method |
| CN108917646B (en)* | 2018-07-24 | 2023-08-22 | 天津市友发德众钢管有限公司 | Global calibration device and method for multi-vision sensor |
| CN109443206A (en)* | 2018-11-09 | 2019-03-08 | 山东大学 | Mechanical arm tail end pose measurement system and method based on color spherical fishing light source target |
| CN113260482A (en)* | 2018-12-04 | 2021-08-13 | 驱动责任资金投入公司 | System and method for measuring a profile of a part |
| CN113260482B (en)* | 2018-12-04 | 2023-09-22 | 谨观股份公司 | Systems and methods for measuring contours of parts |
| CN110555902A (en)* | 2019-09-10 | 2019-12-10 | 中国科学院长春光学精密机械与物理研究所 | monocular vision measurement cooperative target vision simulation system |
| CN110555902B (en)* | 2019-09-10 | 2021-03-16 | 中国科学院长春光学精密机械与物理研究所 | Monocular Vision Measurement Cooperative Target Vision Simulation System |
| CN110793458A (en)* | 2019-10-30 | 2020-02-14 | 成都安科泰丰科技有限公司 | Coplane adjusting method for two-dimensional laser displacement sensor |
| CN110793458B (en)* | 2019-10-30 | 2022-10-21 | 成都安科泰丰科技有限公司 | Coplane adjusting method for two-dimensional laser displacement sensor |
| CN112815832B (en)* | 2019-11-15 | 2022-06-07 | 中国科学院长春光学精密机械与物理研究所 | Measuring camera coordinate system calculation method based on 3D target |
| CN112815832A (en)* | 2019-11-15 | 2021-05-18 | 中国科学院长春光学精密机械与物理研究所 | Measuring camera coordinate system calculation method based on 3D target |
| CN111174725A (en)* | 2019-12-31 | 2020-05-19 | 吉林大学 | Shaft-end grounded monocular reconstruction system and method for concentric quadratic epipolar geometry |
| CN111174725B (en)* | 2019-12-31 | 2024-06-04 | 吉林大学 | Coaxial-earth-connection monocular reconstruction system and method for polar line geometry of concentric secondary curve |
| CN111504202A (en)* | 2020-02-29 | 2020-08-07 | 深圳市智信精密仪器有限公司 | Method for high-precision calibration splicing of multiple line lasers |
| CN111256592A (en)* | 2020-03-13 | 2020-06-09 | 易思维(杭州)科技有限公司 | External parameter calibration device and method for structured light sensor |
| CN111256591A (en)* | 2020-03-13 | 2020-06-09 | 易思维(杭州)科技有限公司 | External parameter calibration device and method for structured light sensor |
| CN112665523A (en)* | 2020-11-24 | 2021-04-16 | 北京星航机电装备有限公司 | Combined measurement method for complex profile |
| CN112665523B (en)* | 2020-11-24 | 2022-04-19 | 北京星航机电装备有限公司 | Combined measurement method for complex profile |
| CN112365407A (en)* | 2021-01-13 | 2021-02-12 | 西南交通大学 | Panoramic stitching method for camera with configurable visual angle |
| CN113119129A (en)* | 2021-04-28 | 2021-07-16 | 吕若罡 | Monocular distance measurement positioning method based on standard ball |
| CN113446934B (en)* | 2021-06-03 | 2022-05-17 | 中国人民解放军海军工程大学 | A close-range photogrammetry rotatable coding calibration device and calibration method |
| CN113446934A (en)* | 2021-06-03 | 2021-09-28 | 中国人民解放军海军工程大学 | Close-range photogrammetry rotatable code calibration equipment and calibration method |
| CN113409403A (en)* | 2021-06-29 | 2021-09-17 | 湖南泽塔科技有限公司 | Camera calibration frame, single-image camera calibration method and system based on calibration frame |
| CN114396904A (en)* | 2021-11-29 | 2022-04-26 | 北京银河方圆科技有限公司 | Positioning device and positioning system |
| CN114353693A (en)* | 2021-12-28 | 2022-04-15 | 中国航空工业集团公司北京长城航空测控技术研究所 | Handheld vector rod special for large-scale three-dimensional space overall measurement positioning instrument |
| CN114353693B (en)* | 2021-12-28 | 2023-11-28 | 中国航空工业集团公司北京长城航空测控技术研究所 | Special handheld vector lever for large-scale three-dimensional space integral measurement positioning instrument |
| CN114935316A (en)* | 2022-05-20 | 2022-08-23 | 长春理工大学 | Standard depth image generation method based on optical tracking and monocular vision |
| CN120063174A (en)* | 2025-04-28 | 2025-05-30 | 科大讯飞(苏州)科技有限公司 | Object size measuring method and related device, security inspection machine and storage medium |
| CN120063172A (en)* | 2025-04-28 | 2025-05-30 | 科大讯飞(苏州)科技有限公司 | Object size measuring method and related device, security inspection machine and storage medium |
| CN120063172B (en)* | 2025-04-28 | 2025-07-18 | 科大讯飞(苏州)科技有限公司 | Object size measurement method and related device, security inspection machine and storage medium |
| CN120063174B (en)* | 2025-04-28 | 2025-07-18 | 科大讯飞(苏州)科技有限公司 | Object size measurement method and related device, security inspection machine and storage medium |
| Publication number | Publication date |
|---|---|
| CN103162622B (en) | 2016-06-29 |
| Publication | Publication Date | Title |
|---|---|---|
| CN103162622B (en) | The Portable ball target of single camera vision system and use thereof and measuring method thereof | |
| CN105783773B (en) | A Numerical Calibration Method for Linear Structured Light Vision Sensors | |
| CN109163657B (en) | Round target pose detection method based on binocular vision three-dimensional reconstruction | |
| CN100562707C (en) | Binocular vision rotating axis calibration method | |
| CN107421465A (en) | A kind of binocular vision joining method based on laser tracker | |
| CN105716542B (en) | A kind of three-dimensional data joining method based on flexible characteristic point | |
| CN104990515B (en) | Large-sized object three-dimensional shape measure system and its measuring method | |
| CN104848801B (en) | A kind of line structured light vision sensor calibration method based on parallel bicylindrical target | |
| TWI489082B (en) | Method and system for calibrating laser measuring apparatus | |
| CN104483664B (en) | Single-linear-array laser radar equipment centering method | |
| CN102072706B (en) | Multi-camera positioning and tracking method and system | |
| CN104197960B (en) | A kind of overall calibration method of laser tracker visual guidance video camera | |
| CN104266608B (en) | Field calibration device for visual sensor and calibration method | |
| CN108444449A (en) | Method for measuring target space attitude with parallel line characteristics | |
| CN108662987A (en) | The scaling method of 2D camera shooting type laser measuring heads | |
| CN104807476A (en) | Pose estimation-based quick probe calibration device and method | |
| CN103559707B (en) | Based on the industrial fixed-focus camera parameter calibration method of motion side's target earnest | |
| CN104807405B (en) | A 3D Coordinate Measurement Method Based on Ray Angle Calibration | |
| CN114066859B (en) | A pipeline measurement method and device | |
| CN108195314B (en) | Reflective striped three dimension profile measurement method based on more field stitchings | |
| US20200007843A1 (en) | Spatiotemporal calibration of rgb-d and displacement sensors | |
| CN107564070B (en) | Large-scene binocular ranging and correcting method in overhead power transmission channel image monitoring | |
| CN105957096A (en) | Camera extrinsic parameter calibration method for three-dimensional digital image correlation | |
| CN106447733A (en) | Method, system and device for determining the range of motion of the cervical spine and the position of the axis of motion | |
| CN105066962A (en) | Multiresolution large visual field angle high precision photogrammetry apparatus |
| Date | Code | Title | Description |
|---|---|---|---|
| C06 | Publication | ||
| PB01 | Publication | ||
| C10 | Entry into substantive examination | ||
| SE01 | Entry into force of request for substantive examination | ||
| C14 | Grant of patent or utility model | ||
| GR01 | Patent grant |