






技术领域technical field
本发明涉及电子技术领域,尤其涉及一种定位方法及电子设备。The invention relates to the field of electronic technology, in particular to a positioning method and electronic equipment.
背景技术Background technique
当前,电子技术领域的发展使得越来越多的电子设备能够与用户实现交互,因此,现有技术中就出现了投影交互设备,也就是说用户能够通过投影交互设备实现用户直接控制与投影设备连接的电子设备,从而可以方便用户在电子设备上的控制。At present, the development of the field of electronic technology enables more and more electronic devices to interact with users. Therefore, projection interaction devices have appeared in the prior art, that is to say, users can directly control and interact with projection devices through projection interaction devices. Connected electronic devices, which can facilitate the user's control on electronic devices.
现有技术中的投影交互设备都是通过用户使用激光笔在投影区域中进行操作,然后该投影交互设备通过确定激光笔在投影区域中的激光点来确定用户所对应的操作,因此,对于投影交互设备来讲,在投影区域中的确定激光点的准确性就直接决定了该投影交互设备的交互效果。The projection interaction devices in the prior art all use the laser pointer to operate in the projection area, and then the projection interaction device determines the corresponding operation of the user by determining the laser point of the laser pointer in the projection area. Therefore, for the projection In terms of interactive equipment, the accuracy of determining the laser point in the projection area directly determines the interactive effect of the projection interactive equipment.
第一、在现有技术中投影交互设备都是通过摄像头采集投影区域图像,然后在投影区域图像中解析出激光点的位置,但是在现有技术中摄像头包括长焦镜头以及短焦镜头,当该摄像头为短焦镜头时,就需要对摄像头采集到的图像进行畸变调整,在畸变调整之前该投影交互设备需要对该图像进行标定确定,然后进行畸变参数的计算,即采用Opencv标定方法获取畸变参数K1、K2、K3、P1、P2,该畸变参数的方法需要基于Matlab平台,另外在畸变参数计算的过程中需要对图像进行手动的标定,并且需要用户手动的点击图像角点边界进行图像标定,这样就是使得操作过程复杂,另外基于Matlab平台以及Opencv标定方法计算畸变参数较多时,会导致图像标定不稳定的问题。First, in the prior art, the projection interaction device collects the image of the projection area through the camera, and then analyzes the position of the laser point in the image of the projection area, but in the prior art, the camera includes a telephoto lens and a short-focus lens. When the camera is a short-focus lens, it is necessary to adjust the distortion of the image collected by the camera. Before the distortion adjustment, the projection interactive device needs to calibrate the image, and then calculate the distortion parameters, that is, use the Opencv calibration method to obtain the distortion. Parameters K1 , K2 , K3 , P1 , P2 , the method of the distortion parameters needs to be based on the Matlab platform, in addition, the image needs to be manually calibrated during the calculation of the distortion parameters, and the user needs to manually click on the corner of the image The point boundary is used for image calibration, which makes the operation process complicated. In addition, when there are many distortion parameters calculated based on the Matlab platform and the Opencv calibration method, it will lead to unstable image calibration.
第二、由于在现有技术中投影交互设备是通过基于Matlab平台以及Opencv标定方法计算畸变参数,因此会导致图像标定不稳定,进而在该不稳定的标定图像中确定图像坐标与投影坐标之间的映射关系,就导致图像坐标与投影坐标之间映射关系的不准确的技术问题。Second, since the projection interactive device in the prior art calculates the distortion parameters based on the Matlab platform and the Opencv calibration method, it will cause the image calibration to be unstable, and then determine the distance between the image coordinates and the projection coordinates in the unstable calibration image. The mapping relationship between the image coordinates and the projected coordinates leads to an inaccurate technical problem of the mapping relationship between the image coordinates and the projection coordinates.
第三、在现有技术中进行激光点的检测时,都是通过如下特征进行判断:亮度、形状、面积、长宽以及运动轨迹,因此现有的方法不适合于摄像头有仰角的情况,在有仰角的情况下,容易发射激光点检测错误,以及导致对激光点检测的误差较大的技术问题。The 3rd, when carrying out the detection of laser spot in the prior art, all judge by the following characteristics: brightness, shape, area, length and width and trajectory, so existing method is not suitable for the situation that camera has elevation angle, in In the case of an elevation angle, it is easy to emit laser point detection errors, as well as technical problems that lead to large errors in laser point detection.
第四、在现有技术中在进行图像标定时,都需要进行连通域计算,现有技术中的连通域计算是要求对所有的连通域进行准确按顺序标号计算,这样就导致对图像循环操作太多,从而使得投影交互设备对图像的处理速度以及处理效率较低的技术问题。Fourth, when performing image calibration in the prior art, it is necessary to perform connected domain calculation. The connected domain calculation in the prior art requires that all connected domains be accurately and sequentially labeled, which leads to cyclic operation of the image There are too many, which makes the processing speed and processing efficiency of the image of the projection interactive device lower.
第五、在现有技术中的在进行图像标定的过程中,都需要对图像中的投影区域图像进行边缘检测,也就是说该投影交互设备需要在摄像头采集到的图像中确定出投影区域对应的图像,因此在现有技术中是采用Canny算子边缘检测方法,但是Canny算子方法受到选取阈值的约束,从而导致在实际应用中会出现边缘无法检测的问题。Fifth, in the process of image calibration in the prior art, it is necessary to perform edge detection on the projection area image in the image, that is to say, the projection interaction device needs to determine the corresponding projection area in the image collected by the camera. Therefore, the Canny operator edge detection method is used in the prior art, but the Canny operator method is constrained by the selected threshold, which leads to the problem that the edge cannot be detected in practical applications.
发明内容Contents of the invention
本发明提供了一种定位方法及电子设备,用以解决现有技术中投影交互设备的是通过基于Matlab平台以及Opencv标定方法计算畸变参数,因此会导致图像标定不稳定,进而在该不稳定的标定图像中的确定图像坐标与映射坐标之间的映射关系,就导致图像坐标与映射关系之间映射关系的不准确的技术问题,其具体的技术方案如下:The present invention provides a positioning method and electronic equipment, which are used to solve the problem of projection interaction equipment in the prior art by calculating distortion parameters based on the Matlab platform and the Opencv calibration method, which will lead to unstable image calibration, and then in this unstable Determining the mapping relationship between the image coordinates and the mapping coordinates in the calibration image will lead to the inaccurate technical problem of the mapping relationship between the image coordinates and the mapping relationship. The specific technical solution is as follows:
一种定位方法,应用于一电子设备,所述电子设备包含一投影装置以及一图像采集装置,所述图像采集装置为装有短焦镜头的图像采集装置,所述投影装置能够投影一投影图像在投影区域中,所述图像采集装置能够采集包括所述投影图像的第一图像,当在所述投影区域中存在第一光斑点时,所述方法包括:A positioning method, applied to an electronic device, the electronic device includes a projection device and an image acquisition device, the image acquisition device is an image acquisition device equipped with a short-focus lens, and the projection device can project a projection image In the projection area, the image acquisition device can acquire a first image including the projection image, and when there is a first light spot in the projection area, the method includes:
根据第一畸变校正规则对所述第一图像进行第一次畸变校正,获得第一次畸变校正后的第二图像;performing a first distortion correction on the first image according to a first distortion correction rule, to obtain a second image after the first distortion correction;
根据第二畸变调整规则对所述第二图像进行第二次畸变校正,获得第二次畸变校正后的第三图像;performing a second distortion correction on the second image according to a second distortion adjustment rule to obtain a second distortion-corrected third image;
获取所述第三图像中的M个图像标定坐标以及所述投影区域中的N个投影标定坐标;Acquiring M image calibration coordinates in the third image and N projection calibration coordinates in the projection area;
根据所述M个图像标定坐标以及所述N个投影标定坐标确定图像坐标与投影坐标之间的映射关系,M和N皆为大于等于1的正整数;Determine the mapping relationship between image coordinates and projection coordinates according to the M image calibration coordinates and the N projection calibration coordinates, where M and N are both positive integers greater than or equal to 1;
解析所述第三图像,获得所述第一光斑点在所述第三图像中第一光斑点图像坐标;Analyzing the third image to obtain image coordinates of the first light spot in the third image;
通过所述图像坐标与所述投影坐标之间的映射关系,获取所述第一光斑点对应在所述投影区域中第一光斑点投影坐标。Through the mapping relationship between the image coordinates and the projection coordinates, the projection coordinates of the first light spot corresponding to the first light spot in the projection area are acquired.
一种电子设备,所述电子设备投影装置以及图像采集装置,所述投影装置能够投影一投影图像在投影区域中,所述图像采集装置能够采集包括所述投影图像的第一图像,所述电子设备还包括:An electronic device, the electronic device projection device and an image acquisition device, the projection device can project a projection image in a projection area, the image acquisition device can capture a first image including the projection image, the electronic Equipment also includes:
第一校正单元,用于根据第一畸变校正规则对所述第一图像进行第一次畸变校正,获得第一次畸变校正后的第二图像;a first correction unit, configured to perform a first distortion correction on the first image according to a first distortion correction rule, and obtain a second image after the first distortion correction;
第二校正单元,用于根据第二畸变调整规则对所述第二图像进行第二次畸变校正,获得第二次畸变校正后的第三图像;A second correction unit, configured to perform a second distortion correction on the second image according to a second distortion adjustment rule, to obtain a second distortion-corrected third image;
获取单元,用户获取所述第三图像中的M个图像标定坐标以及投影区域中的N个投影标定坐标;an acquisition unit, the user acquires M image calibration coordinates in the third image and N projection calibration coordinates in the projection area;
确定单元,用于根据所述M个图像标定坐标以及所述N个投影标定坐标确定图像坐标与投影坐标之间的映射关系,M和N皆为大于等于1的正整数;A determining unit, configured to determine a mapping relationship between image coordinates and projection coordinates according to the M image calibration coordinates and the N projection calibration coordinates, where M and N are both positive integers greater than or equal to 1;
解析单元,用于解析所述第三图像,获得所述第一光斑点在所述第三图像中第一光斑点图像坐标;An analysis unit, configured to analyze the third image, and obtain image coordinates of the first light spot in the third image;
坐标定位单元,用于通过所述图像坐标与所述投影坐标之间的映射关系,获取所述第一光斑点对应在所述投影区域中第一光斑点投影坐标。The coordinate positioning unit is configured to acquire the projection coordinates of the first light spot corresponding to the first light spot in the projection area through the mapping relationship between the image coordinates and the projection coordinates.
本发明所提供的一个或者多个实施例至少存在如下技术效果或优点:One or more embodiments provided by the present invention have at least the following technical effects or advantages:
在本发明实施例中通过对投影交互设备采集到的图像进行畸变调整,该畸变调整包括两次畸变调整,在第一次进行矩阵畸变调整之后,再进行第二次畸变参数调整,从而解决了现有技术中手动标定进行矫正时,在畸变参数较多时,会导致图像标定不稳定的技术问题,进而有效的提高了图像标定的稳定性,也提高了投影交互设备的坐标定位准确性。In the embodiment of the present invention, the distortion adjustment is performed on the image collected by the projection interaction device. The distortion adjustment includes two distortion adjustments. After the matrix distortion adjustment is performed for the first time, the second distortion parameter adjustment is performed, thereby solving the problem of In the prior art, when correcting by manual calibration, when there are many distortion parameters, it will lead to a technical problem of unstable image calibration, thereby effectively improving the stability of image calibration, and also improving the coordinate positioning accuracy of the projection interaction device.
在本发明实施例中通过在畸变调整之后,该图像中获取到对应的坐标,并根据获取到的坐标以及映射变换矩阵获取到对应的映射参数,然后根据该映射参数确定出图像坐标与投影坐标之间的映射关系,从而能够解决现有技术中图像坐标与投影坐标之间映射关系不准确的技术问题,进而提高了图像坐标到投影坐标的映射准确性,并且有效的提升了投影交互设备的对第一光斑点的响应速度。In the embodiment of the present invention, after the distortion adjustment, the corresponding coordinates are obtained from the image, and the corresponding mapping parameters are obtained according to the obtained coordinates and the mapping transformation matrix, and then the image coordinates and projection coordinates are determined according to the mapping parameters The mapping relationship between image coordinates and projection coordinates can solve the technical problem of inaccurate mapping relationship between image coordinates and projection coordinates in the prior art, thereby improving the mapping accuracy of image coordinates to projection coordinates, and effectively improving the projection interaction equipment. The response speed to the first light spot.
在本发明实施例中通过使用对激光点蓝色分量信息以及激光点亮度对激光点进行跟踪定位,从而解决了现有技术中不适合于摄像头有仰角的情况,在有仰角的情况下,容易发射激光点检测错误,以及导致对激光点检测的误差较大的技术问题,进而实现了在不同的拍摄角度下对激光点的准确定位,降低了投影交互设备对激光点的误检以及漏检。In the embodiment of the present invention, the laser point is tracked and positioned by using the blue component information of the laser point and the brightness of the laser point, thereby solving the situation that the camera has an elevation angle that is not suitable for the prior art. In the case of an elevation angle, it is easy to Laser point detection error, and the technical problems that lead to large errors in laser point detection, thus realizing accurate positioning of laser points at different shooting angles, reducing false detection and missed detection of laser points by projection interactive equipment .
在本发明实施例中采用分块进行连通域计算,因此,采用本发明实施例中的连通域算法可以有效的避免现有技术中连通域算法的循环次数,使得该投影交互设备能够更加快速的处理图像数据,并且也提升了激光点的跟踪速度,提升了用户在交互时的体验度。In the embodiment of the present invention, blocks are used to calculate the connected domain. Therefore, the connected domain algorithm in the embodiment of the present invention can effectively avoid the number of cycles of the connected domain algorithm in the prior art, so that the projection interaction device can be faster. Image data is processed, and the tracking speed of laser points is also improved, which improves the user experience during interaction.
附图说明Description of drawings
图1所示为本发明实施例中一种定位方法的流程图;Fig. 1 shows the flowchart of a positioning method in the embodiment of the present invention;
图2所示为本发明实施例中短焦镜头图像采集装置采集的第一图像示意图;FIG. 2 is a schematic diagram of the first image collected by the short-focus lens image acquisition device in an embodiment of the present invention;
图3所示为本发明实施例中标定图像示意图;FIG. 3 is a schematic diagram of a calibration image in an embodiment of the present invention;
图4所示为本发明实施例中端点示意图;Figure 4 is a schematic diagram of an endpoint in an embodiment of the present invention;
图5所示为本发明实施例中图像二值化示意图;FIG. 5 is a schematic diagram of image binarization in an embodiment of the present invention;
图6所示为本发明实施例中边缘检测示意图;FIG. 6 is a schematic diagram of edge detection in an embodiment of the present invention;
图7所示为本发明实施例中区域划分示意图;FIG. 7 is a schematic diagram of area division in an embodiment of the present invention;
图8所示为本发明实施例中一种电子设备的具体结构示意图。FIG. 8 is a schematic structural diagram of an electronic device in an embodiment of the present invention.
具体实施方式Detailed ways
本发明实施例提供了一种定位方法及电子设备,首先该电子设备中包含了一投影装置以及一图像采集装置,该投影装置能够投影一投影图像在投影区域中,该图像采集装置能够采集包括该投影图像的第一图像,当该投影区域中存在第一光斑点时,该方法包括:根据第一畸变校正规则对第一图像进行第一次畸变校正,获得第一次畸变校正后的第二图像,然后根据第二畸变校正规则对第二图像进行第二次校正,获得第二次畸变校正后的第三图像,获取在第三图像中M个图像标定坐标以及投影区域中的N个投影标定坐标,根据该M个图像标定坐标以及N个投影标定坐标确定图像坐标与投影坐标之间的映射关系,其中M和N为大于等于1的正整数,解析第三图像,获得第一光斑点在第三图像中的第一光斑点图像坐标,通过该图像坐标与投影坐标之间的映射关系,获取第一光斑点对应在投影区域中第一光斑点的投影坐标,从而解决了现有技术中投影交互设备的是通过基于Matlab平台以及Opencv标定方法计算畸变参数,因此会导致图像标定不稳定,进而在该不稳定的标定图像中的确定图像坐标与映射坐标之间的映射关系,就导致图像坐标与映射关系之间映射关系的不准确的技术问题。Embodiments of the present invention provide a positioning method and electronic equipment. First, the electronic equipment includes a projection device and an image acquisition device. The projection device can project a projected image in the projection area. For the first image of the projection image, when there is a first light spot in the projection area, the method includes: performing a first distortion correction on the first image according to a first distortion correction rule, and obtaining a first distortion correction after the first distortion correction. second image, and then perform a second correction on the second image according to the second distortion correction rule to obtain the third image after the second distortion correction, and obtain M image calibration coordinates in the third image and N in the projection area Projecting the calibration coordinates, determining the mapping relationship between the image coordinates and the projection coordinates according to the M image calibration coordinates and the N projection calibration coordinates, wherein M and N are positive integers greater than or equal to 1, analyzing the third image to obtain the first light The image coordinates of the first light spot of the spot in the third image, through the mapping relationship between the image coordinates and the projection coordinates, the projection coordinates of the first light spot corresponding to the first light spot in the projection area are obtained, thereby solving the existing problem In the technology, the projection interactive device calculates the distortion parameters based on the Matlab platform and the Opencv calibration method, which will cause the image calibration to be unstable, and then determine the mapping relationship between the image coordinates and the mapping coordinates in the unstable calibration image. A technical issue that caused an inaccurate mapping between image coordinates and mapping relationships.
下面通过附图以及具体实施例对本发明技术方案做详细的说明,应当理解本发明实施例以及实施例中的具体技术特征只是对本发明技术方案的详细说明,而并不是对本发明技术方案的限定,因此,在不冲突的情况下,本发明实施例以及实施例中的具体技术特征可以相互组合。The technical solutions of the present invention will be described in detail below through the drawings and specific examples. It should be understood that the embodiments of the present invention and the specific technical features in the examples are only detailed descriptions of the technical solutions of the present invention, rather than limitations to the technical solutions of the present invention. Therefore, the embodiments of the present invention and the specific technical features in the embodiments may be combined with each other under the condition of no conflict.
如图1所示为本发明实施例中一种定位方法的流程图,该方法包括:As shown in Figure 1, it is a flowchart of a positioning method in an embodiment of the present invention, and the method includes:
步骤101,根据第一畸变校正规则对第一图像进行第一次畸变校正,获得第一次畸变校正后的第二图像。In
首先,需要说明的是在本发明实施例中该定位方法能够应用到投影交互设备中,在该投影交互设备中包含了一投影装置以及一图像采集装置,该投影装置能够将一投影图像投影到投影区域中,然后该投影交互设备中的图像采集装置能够采集包含投影区域的第一图像,若是图像采集装置不存在图像畸变时则该投影交互设备就不需要对图像采集装置采集到的图像做任何调整,但是由于现有技术中的图像采集装置中成像传感器自身引起的失真、图像采集装置承载工具的旋转或姿态的偏差,图像采集或传输的过程中受到电磁干扰,或是受景物对象与图像采集装置三维空间相对位置关系等因素的影响,经过图像采集装置采集的图像存在着几何失真或几何畸变,如:透视畸变、枕形畸变、桶形畸变等,并且现有技术中的图像采集装置都包括了长焦镜头以及短焦镜头,长焦镜头与短焦镜头在采集图像时都会出现图像畸变,并且短焦镜头的图像畸变较大,其中,短焦镜头为小于40mm的镜头。First of all, it needs to be explained that in the embodiment of the present invention, the positioning method can be applied to projection interaction equipment, which includes a projection device and an image acquisition device, and the projection device can project a projection image onto In the projection area, then the image acquisition device in the projection interaction device can collect the first image including the projection area. If there is no image distortion in the image acquisition device, the projection interaction device does not need to do the image acquisition by the image acquisition device. Any adjustment, but due to the distortion caused by the imaging sensor itself in the image acquisition device in the prior art, the rotation or attitude deviation of the image acquisition device carrying tool, the process of image acquisition or transmission is subject to electromagnetic interference, or is affected by the scene object and Due to the influence of factors such as the relative positional relationship in three-dimensional space of the image acquisition device, the images collected by the image acquisition device have geometric distortion or geometric distortion, such as: perspective distortion, pincushion distortion, barrel distortion, etc., and the image acquisition in the prior art The devices all include a telephoto lens and a short-focus lens. Both the telephoto lens and the short-focus lens will cause image distortion when collecting images, and the image distortion of the short-focus lens is relatively large. The short-focus lens is a lens smaller than 40mm.
因此,在本发明实施例中提供了对图像采集装置进行畸变调整的方法,首先对于短焦镜头,该投影交互设备需要进行两步标定,其具体的标定方法如下:Therefore, in the embodiment of the present invention, a method for adjusting the distortion of the image acquisition device is provided. First, for the short-focus lens, the projection interaction device needs to be calibrated in two steps. The specific calibration method is as follows:
首先,该投影交互设备中预设有第一预设投影图像,该投影交互设备能够将该第一预设投影图像投影在投影区域中,然后通过短焦镜头图像采集装置获取投影在投影区域中的第一预设投影图像多个拍摄角度的K张预校正图像,其中,K为大于等于2的正整数,然后该投影交互设备获取K张预校正图像中第一预设投影图像的角点对应的角点图像坐标,以及角点对应在投影区域中的角点投影坐标,根据该角点图像坐标以及角点投影坐标以及第一畸变校正规则,获取第一图像校正矩阵,该第一图像校正矩阵中就包含了内参数矩阵以及畸变矩阵,最后根据该第一图像校正矩阵对第一图像进行第一次畸变校正,得到第一次畸变校正后的第二图像,即该电子设备将根据计算得到的内参数矩阵以及畸变矩阵对第一图像进行第一次畸变校正,得到第一次畸变校正后的第二图像。Firstly, the projection interaction device is preset with a first preset projection image, and the projection interaction device can project the first preset projection image in the projection area, and then obtain and project the image in the projection area through a short-focus lens image acquisition device. K pre-corrected images of multiple shooting angles of the first preset projection image, wherein K is a positive integer greater than or equal to 2, and then the projection interaction device obtains the corner points of the first preset projection image in the K pre-corrected images Corresponding corner point image coordinates, and corner point projection coordinates corresponding to the corner point in the projection area, according to the corner point image coordinates, corner point projection coordinates and the first distortion correction rule, obtain the first image correction matrix, the first image The correction matrix includes the internal parameter matrix and the distortion matrix. Finally, the first distortion correction is performed on the first image according to the first image correction matrix, and the second image after the first distortion correction is obtained, that is, the electronic device will be based on The calculated internal parameter matrix and the distortion matrix perform the first distortion correction on the first image to obtain the second image after the first distortion correction.
具体来讲,在本发明实施例中该电子设备需要对短焦镜头采集到的图像进行标定:Specifically, in the embodiment of the present invention, the electronic device needs to calibrate the images collected by the short-focus lens:
由于图像采集装置参数各不相同,对于短焦镜头来说,短焦镜头的参数获取更为重要,原因在于短焦镜头存在更为严重的畸变,另外短焦镜头畸变中心的正确获取也对去除畸变、以至于最终的精度有着重要的影响作用,因此,在本发明实施例中需要对短焦镜头在获取到第一图像(如图2所示)进行标定(即第一图像的畸变调整),其具体的调整的方式如下:Since the parameters of the image acquisition devices are different, for the short-focus lens, the parameter acquisition of the short-focus lens is more important, because the short-focus lens has more serious distortion, and the correct acquisition of the distortion center of the short-focus lens is also important for removing Distortion and even the final accuracy have an important influence. Therefore, in the embodiment of the present invention, it is necessary to calibrate the short-focus lens after acquiring the first image (as shown in Figure 2) (that is, the distortion adjustment of the first image) , the specific adjustment method is as follows:
首先需要在该投影交互设备中预设一标定图像(如图3所示),即棋盘格图像,然后通过该投影交互设备将该棋盘格图像投影到投影区域中,然后需要通过该投影交互设备上的图像采集装置从不同的角度去拍摄该棋盘格图像,根据多次实验结果,将棋盘格图像中棋盘格最大的占有图像采集装置采集画面时所获得的参数矩阵最为准确,所以棋盘格图像中的棋盘格需要最大程度的铺满整个图像采集装置的采集画面,在获取到多个角度的棋盘格图像之后,该电子设备将在棋盘格图像中找到棋盘格角点在图像采集装置采集到的图像中的位置坐标。First, it is necessary to preset a calibration image (as shown in Figure 3) in the projection interaction device, that is, a checkerboard image, and then project the checkerboard image into the projection area through the projection interaction device, and then need to pass the projection interaction device The image acquisition device above takes the checkerboard image from different angles. According to the results of many experiments, the parameter matrix obtained by the image acquisition device with the largest checkerboard in the checkerboard image is the most accurate. Therefore, the checkerboard image The checkerboard in the grid needs to cover the acquisition screen of the entire image acquisition device to the greatest extent. After acquiring the checkerboard images from multiple angles, the electronic device will find the corner points of the checkerboard in the checkerboard image and collect them in the image acquisition device. The location coordinates in the image of .
然后,该投影交互设备需要计算得到该棋盘格图像在投影区域中实际角点间的距离,该距离表征了该棋盘格图像中两角点在投影区域中的实际距离,根据该棋盘格角点在棋盘格图像中的位置坐标以及该角点在投影区域中的实际距离计算内参数矩阵以及畸变矩阵,在获取到该内参数矩阵以及畸变矩阵之后,该投影交互设备对畸变图像点坐标进行矫正,也就是说该图像中的所有像素点所对应的坐标都需要通过内参数矩阵以及畸变矩阵进行调整,即得到第一图像校正矩阵调整后的第二图像。Then, the projection interaction device needs to calculate the distance between the actual corner points of the checkerboard image in the projection area, which represents the actual distance between the two corner points in the checkerboard image in the projection area, according to the checkerboard corner point Calculate the internal parameter matrix and distortion matrix based on the position coordinates in the checkerboard image and the actual distance of the corner point in the projection area. After obtaining the internal parameter matrix and distortion matrix, the projection interaction device corrects the coordinates of the distorted image points , that is to say, the coordinates corresponding to all the pixels in the image need to be adjusted through the internal parameter matrix and the distortion matrix, that is, the second image after adjusting the first image correction matrix is obtained.
在得到第一次畸变校正之后的第二图像时,该电子设备将执行步骤102。When obtaining the second image after the first distortion correction, the electronic device will execute
步骤102,根据第二畸变校正规则对第二图像进行第二次畸变校正,获得第二次畸变校正后的第三图像。
在获取到该第一图像校正矩阵调整后的第二图像之后,该投影交互设备将根据径向畸变校正参数对第二图像进行第二次畸变校正,获取校正后的第三图像,其具体校正方式如下:After obtaining the second image adjusted by the correction matrix of the first image, the projection interaction device will perform a second distortion correction on the second image according to the radial distortion correction parameters to obtain the corrected third image, and the specific correction The way is as follows:
由于短焦镜头产生的图像畸变非常严重,因此简单的校正标定过程获得的畸变参数矩阵进行调整并不能达到高精度的要求,因此,在本发明实施例中当通过第一图像校正矩阵对第一图像进行畸变调整之后,需要对第二图像进行径向畸变校正,首先,该投影交互设备将第二图像进行高斯滤波降噪、拉伸增强处理,然后使用边缘检测方式得到第二图像中的边界,即该投影画面的四条边界,分别是上边缘、下边缘、左边缘以及右边缘,在确定投影画面的边缘之后,该投影交互设备则在该投影画面中确定出适合的径向畸变校正参数K,最后通过径向畸变校正参数K对第二图像进行第二次畸变校正,最后获得第二次畸变校正之后的第三图像。Since the image distortion produced by the short-focus lens is very serious, the adjustment of the distortion parameter matrix obtained by the simple correction calibration process cannot meet the high-precision requirements. Therefore, in the embodiment of the present invention, when the first image correction matrix is used to adjust the first After the distortion adjustment of the image, radial distortion correction needs to be performed on the second image. First, the projection interactive device performs Gaussian filter noise reduction and stretch enhancement processing on the second image, and then uses the edge detection method to obtain the boundary in the second image , that is, the four boundaries of the projection screen are the upper edge, the lower edge, the left edge, and the right edge. After determining the edges of the projection screen, the projection interaction device determines the appropriate radial distortion correction parameters in the projection screen K, finally performing a second distortion correction on the second image by using the radial distortion correction parameter K, and finally obtaining a third image after the second distortion correction.
其具体获取径向畸变校正参数K的方式如下:The specific way to obtain the radial distortion correction parameter K is as follows:
径向畸变校正参数K一般可以表示为X*10-m(其中X为任意实数,m为正实数)表示径向畸变校正参数K的位数,其实计算径向畸变校正参数K就是计算X和m值,按照代数运算方法,该X可以表示为X=x0+0.1x1+0.01x2+…,其实对X的计算就可以转换为对xi的计算,其中xi为0~9之间的数值。The radial distortion correction parameter K can generally be expressed as X*10-m (where X is any real number and m is a positive real number) indicating the number of digits of the radial distortion correction parameter K. In fact, calculating the radial distortion correction parameter K is to calculate X and m value, according to the algebraic operation method, the X can be expressed as X=x0 +0.1x1 +0.01x2 +…, in fact, the calculation of X can be converted into the calculation of xi , where xi is 0~9 value between.
首先确定m值,如图4中,该投影图像的角点为A、B,即该投影图像的两个端点,由于图像畸变的原因,在该图像中A到B之间边缘并不是一条直线,而是一段弧线,确定m值就需要确定弧线中每个点到直线AB的垂直距离,因此,首先就需要确定直线AB的方程,此时弧线上的i点到直线AB之间的距离为di,然后径向畸变校正参数K的获取可以通过公式,在该公式中sum的最小值就确定了径向畸变校正参数K的合适值,当该径向畸变校正参数K为0时,则计算畸变共线点的距离和是sum1,取x0=1,m=5为畸变值的初始值,即此时K为1*10-5。计算此时的距离和为sum2,比较sum1与sum2之间的大小,如果sum1<sum2,说明m过大,须降低一个数位,即sum2变为m=m+1时对应的距离和,重复上述步骤直至出现sum1>sum2,通过迭代得到最终的最小sum2;如果是sum1>sum2可能出现两种情况:一种是此时sum2还在最小值得左侧,则m确定为当前值;第二种情况是此时的sum2在最小值的右侧,但此时仍比sum1小,此时对K加上一个微小值,判定相应的距离差是否增加,如果是,m=m-1,否则m值确定为当前值。First determine the value of m, as shown in Figure 4, the corner points of the projected image are A and B, that is, the two endpoints of the projected image, due to image distortion, the edge between A and B in the image is not a straight line , but an arc. To determine the value of m, it is necessary to determine the vertical distance from each point in the arc to the straight line AB. Therefore, first of all, it is necessary to determine the equation of the straight line AB. At this time, the distance between point i on the arc and the straight line AB The distance is di , and then the radial distortion correction parameter K can be obtained by the formula , the minimum value of sum in this formula determines the appropriate value of the radial distortion correction parameter K, when the radial distortion correction parameter K is 0, the distance sum of the calculated distortion collinear points is sum1, and x0 = 1, m=5 is the initial value of the distortion value, that is, K is 1*10-5 at this time. Calculate the sum of the distance at this time as sum2, compare the size between sum1 and sum2, if sum1<sum2, it means that m is too large, and it must be reduced by one digit, that is, sum2 becomes the corresponding distance sum when m=m+1, repeat the above Step until sum1>sum2 appears, and obtain the final minimum sum2 through iteration; if sum1>sum2, there may be two situations: one is that sum2 is still on the left side of the minimum value at this time, then m is determined as the current value; the second situation At this time, sum2 is on the right side of the minimum value, but it is still smaller than sum1 at this time. At this time, add a small value to K to determine whether the corresponding distance difference increases. If so, m=m-1, otherwise m value determined as the current value.
在确定xi、m之后,即X*10-m中的数位就已经确定,然后需要确定xi,首先x0设定初始值,如初始值为1,此时计算畸变点距离和为sum1,更新x0,如取x0=x0+1,计算距离和为sum2;迭代出最小的值sum2。如果是sum1>sum2可能出现两种情况:一种是此时sum2还在最小值的左侧,则x0确定为当前值;第二种情况是此时的sum2在最小值的右侧,但此时仍比sum1小,此时更新x0,如取:x0=x0+1找到合适的x0。用相同的方法依次计算x1,x2等值,直至满足精度。After determining xi and m, that is, the digits in X*10-m have been determined, and then xi needs to be determined. First, set the initial value of x0. For example, the initial value is 1. At this time, the sum of the distances of the distortion points is calculated as sum1 , update x0 , for example, take x0 =x0 +1, calculate the distance sum as sum2; iterate to get the minimum value sum2. If sum1>sum2, there may be two situations: one is that sum2 is still on the left side of the minimum value at this time, then x0 is determined as the current value; the second case is that sum2 is on the right side of the minimum value at this time, but At this time, it is still smaller than sum1, and x0 is updated at this time, such as taking: x0 =x0 +1 to find a suitable x0 . Use the same method to calculate x1 , x2 and other values sequentially until the accuracy is satisfied.
从而通过上述方式就可以得到xi中的所有值,在得到xi中的所有值之后,该投影交互设备将得到该图像的径向畸变校正参数K,然后根据该径向畸变校正参数K该投影交互设备将根据该径向畸变校正参数K对该第二图像做图像的径向畸变校正,从而得到该畸变校正后的第三图像。Therefore, all the values inxi can be obtained through the above method. After obtaining all the values inxi , the projection interaction device will obtain the radial distortion correction parameter K of the image, and then according to the radial distortion correction parameter K, the The projection interaction device will correct the radial distortion of the second image according to the radial distortion correction parameter K, so as to obtain the third image after the distortion correction.
另外,由于长焦镜头的图像采集装置采集图像时图像的畸变程度较低,因此,在本发明实施例中对于长焦镜头的图像采集装置只需要通过使用畸变参数K进行调整则可以实现很好的还原图像,从而实现对长焦镜头采集图像的畸变调整,当然也可以对长焦镜头进行第一图像校正,但是对于长焦镜头来将第一图像校正作用不是特别明显,因此对于长焦镜头做径向畸变校正就完全可以实现校正的精度。In addition, since the image acquisition device of the telephoto lens has a low degree of image distortion when collecting images, in the embodiment of the present invention, the image acquisition device of the telephoto lens only needs to be adjusted by using the distortion parameter K to achieve a good The restored image, so as to realize the distortion adjustment of the image collected by the telephoto lens, of course, the first image correction can also be performed on the telephoto lens, but the effect of the first image correction on the telephoto lens is not particularly obvious, so for the telephoto lens The accuracy of the correction can be fully realized by doing radial distortion correction.
在对第二图像进行第二次畸变校正得到第三图像之后,该投影交互设备将进行步骤103。After the second distortion correction is performed on the second image to obtain the third image, the projection interaction device will perform
步骤103,获取第三图像中的M个图像标定坐标以及投影区域中的N个投影标定坐标。
步骤104,根据M个图像标定坐标以及N个投影标定坐标确定图像坐标与投影坐标之间的映射关系,M和N皆为大于等于1的正整数。
在步骤102中对第二图像进行畸变校正并得到第三图像之后,该投影交互设备将从第三图像中去获取到M个图像标定坐标,然后在该投影区域中投影图像获取到N个投影标定坐标,其中,该M个图像标定坐标为对应投影图像中的N个投影标定坐标,也就是说选定的M个图像标定坐标就需要对应的确定这M个图像标定坐标对应在投影图像中的投影标定坐标。After performing distortion correction on the second image in
在获取到M个图像标定坐标以及N个投影标定坐标之后,该投影交互设备将根据该M个图像标定坐标以及N个投影标定以及第一预设规则,获取图像坐标与投影坐标之间映射关系中的映射参数。After acquiring M image calibration coordinates and N projection calibration coordinates, the projection interaction device will obtain the mapping relationship between image coordinates and projection coordinates according to the M image calibration coordinates, N projection calibration coordinates and the first preset rule The mapping parameter in .
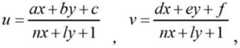
具体来讲,在本发明实施例中,在对第一图像进行畸变调整并得到第二图像之后,该投影交互设备将在第三图像中去确定出4个图像标定坐标(x1,y1)、(x2,y2)、(x3,y3)、(x4,y4),以及4个图像标定坐标对应在投影图像中的4个投影标定坐标(u1、v1)、(u2、v2)、(u3、v3)、(u4、v4),然后将4个图像标定坐标以及4个投影标定坐标代入到映射变换矩阵:
,其中,(u,v)为投影坐标,(x、y)为第三图像中的图像坐标,该映射关系中的a、b、c、d、e、f、n、l为对应的映射参数。 , where (u, v) are projection coordinates, (x, y) are image coordinates in the third image, and a, b, c, d, e, f, n, l in the mapping relationship are corresponding mappings parameter.
另外,需要说明的是,在本发明实施例中4个图像标定点的坐标获取方式需要通过本发明实施例中基于分块的多阈值算法得到第三图像中的4个图像标定点,其具体的方式如下:In addition, it should be noted that in the embodiment of the present invention, the coordinate acquisition method of the 4 image calibration points needs to obtain the 4 image calibration points in the third image through the block-based multi-threshold algorithm in the embodiment of the present invention. The way is as follows:
首先,该投影交互设备将获取投影在投影区域中第二预设投影图像对应的待处理图像,然后通过上述的图像畸变调整方式对待处理图像进行畸变处理,然后获得处理后的第一预设图像,该投影交互设备将调取预存的图像阈值调整规则,对第一预设图像进行至少两次图像阈值调节,并获取至少两张图像阈值调整后的阈值图像,对至少两张阈值图像进行图像二值化以及连通域处理,获取至少两张阈值图像的连通域结果,基于至少两张阈值图像的连通域结果,确定第一预设图像中的J个标定点,其中,对于确定J个标定点具体为:获取至少两张阈值图像的第一连通域结果以及第二连通域结果,将第一连通域结果与第二连通域结果进行比较,获得第一连通域结果与第二连通域结果之间的差值,然后判定该差值是否小于预设差值,并生成一判定结果,当该判定结果表征该差值小于预设差值时,则确定第一预设图像中的J个标定点。First, the projection interaction device will acquire the image to be processed corresponding to the second preset projection image projected in the projection area, and then perform distortion processing on the image to be processed through the above-mentioned image distortion adjustment method, and then obtain the processed first preset image , the projection interaction device will call the pre-stored image threshold adjustment rules, perform at least two image threshold adjustments on the first preset image, obtain at least two threshold images after image threshold adjustment, and perform image processing on at least two threshold images Binarization and connected domain processing, obtaining connected domain results of at least two threshold images, and determining J calibration points in the first preset image based on the connected domain results of at least two threshold images, wherein, for determining the J calibration points Specifically, the fixed point is: obtain the first connected domain result and the second connected domain result of at least two threshold images, compare the first connected domain result with the second connected domain result, and obtain the first connected domain result and the second connected domain result Then determine whether the difference is less than the preset difference, and generate a judgment result, when the judgment result indicates that the difference is less than the preset difference, then determine J in the first preset image calibration point.
例如:在获取到投影区域的图像(如图4所示)之后,该投影交互设备将在采集到的图像中确定出4个目标点,对图像以中心点为基准划分为4块,从而使得这4个目标点分别处于4个独立的矩阵图像中(如图4所示),分别处理4个图像块,使用多阈值融合的图像分割算法对每一块图像进行二值化处理,具体来讲,多阈值融合的图像分割方法包括:首先将图像阈值从大到小进行调整,在调整的同时,对于每一个阈值进行图像二值化,并进行连通域的计算,存储当前阈值下的连通域计算结果,然后从连通域计算的结果中,对于每一块连通域与下一次连通域计算结果进行比较,由于阈值的变大,因此在对图像进行连通域计算时可以得到三种结果:1、连通域面积变大;2、出现新的连通域;3、合并原有的连通域。For example: after acquiring the image of the projection area (as shown in Figure 4), the projection interaction device will determine 4 target points in the acquired image, and divide the image into 4 blocks based on the center point, so that These 4 target points are located in 4 independent matrix images (as shown in Figure 4), and 4 image blocks are processed respectively, and the image segmentation algorithm of multi-threshold fusion is used to perform binary processing on each block of images. Specifically, , the image segmentation method of multi-threshold fusion includes: firstly adjust the image threshold from large to small, while adjusting, image binarization is performed for each threshold, and the connected domain is calculated, and the connected domain under the current threshold is stored Calculate the result, and then compare each connected domain with the next connected domain calculation result from the connected domain calculation result. Since the threshold value becomes larger, three results can be obtained when performing connected domain calculation on the image: 1. The area of the connected domain becomes larger; 2. A new connected domain appears; 3. The original connected domain is merged.
将前后两次的连通域结果比较计算出连通域计算出的图像面积增加速度,对于出现新的连通域或合并的情况也当做面积增大处理,由于背景与前景会在边缘灰度值相差较大,所以判定方式是通过连通域增长速度是否小于一阈值,当连通域结束增长之后,则确定出该连通域面积,并去除掉面积很小的干扰点,从而得到最后的二值化结果(如图5所示)。最后该投影交互设备通过图像处理在该二值化后的图像中获取到该4个图像标定点对应在图像中的坐标。Comparing the results of the two connected domains before and after to calculate the increasing speed of the image area calculated by the connected domains, the case of new connected domains or merging is also treated as an area increase, because the background and the foreground will have a large difference in the edge gray value Large, so the judgment method is whether the growth rate of the connected domain is less than a threshold value. When the connected domain finishes growing, the area of the connected domain is determined, and the interference points with a small area are removed, so as to obtain the final binarization result ( as shown in Figure 5). Finally, the projection interaction device acquires the coordinates in the image corresponding to the four image marking points in the binarized image through image processing.
在得到图像坐标与投影坐标之间的映射关系之后,该电子设备将执行步骤104。After obtaining the mapping relationship between the image coordinates and the projection coordinates, the electronic device will execute
步骤105,解析第三图像,获得第一光斑点在第三图像中的第一光斑点图像坐标。
首先,在现有技术中都是通过检测利用激光点的亮度、形状、面积、长宽比以及运动轨迹进行判定,该方法并不能精确的确定出该激光点在投影图像中的准确位置,并且在图像采集装置有仰角的情况对激光点的定位将出现较大的误差,甚至是出现定位错误,因此,在本发明实施例中对激光点的定位包含了多种方式,具体来讲包含了激光点的颜色特征、运动信息和形状特征等,这样多方式融合来定位激光点可以实现对激光点检测的鲁棒性,并可以减少对激光点的误检概率,其具体的方式如下:First of all, in the prior art, the brightness, shape, area, aspect ratio and motion track of the laser point are all used for judgment. This method cannot accurately determine the exact position of the laser point in the projected image, and When the image acquisition device has an elevation angle, there will be a large error in the positioning of the laser point, or even a positioning error. Therefore, in the embodiment of the present invention, the positioning of the laser point includes a variety of methods, specifically including The color features, motion information and shape features of laser points, etc., such multi-method fusion to locate laser points can achieve the robustness of laser point detection and reduce the probability of false detection of laser points. The specific methods are as follows:
控制图像采集曝光;Control image acquisition exposure;
首先得到该图像采集装置的最大曝光值max和最小曝光值min,然后依次得到曝光值从最大曝光值max到最小曝光值min的图像直方图,当图像直方图中的最大灰度值小于一个固定值M且像素数最大的像素灰度值(即灰度图最高峰处)小于一个固定值N时的曝光值为最终曝光值,然后通过该最终曝光值对投影图像进行采集。First obtain the maximum exposure value max and the minimum exposure value min of the image acquisition device, and then sequentially obtain the image histogram of the exposure value from the maximum exposure value max to the minimum exposure value min, when the maximum gray value in the image histogram is less than a fixed When the value M and the gray value of the pixel with the largest number of pixels (that is, the highest peak of the gray image) is less than a fixed value N, the exposure value is the final exposure value, and then the projection image is collected through the final exposure value.
确定激光点的蓝色分量亮度信息;Determine the brightness information of the blue component of the laser point;
具体在通过最终曝光值对投影区域中的投影图像进行采集时,需要同时获取4次或者4次以上的标定,以4次进行说明,4次标定中每次标定的激光点位置都不相同,然后在该4次标定的图像中获取激光点的蓝色分量亮度的一定比例值,然后在该比例值中将最小值确定为最终的阈值,该阈值就用于在第二图像中确定出光斑点的位置。Specifically, when collecting the projection image in the projection area through the final exposure value, it is necessary to obtain 4 or more calibrations at the same time, and 4 calibrations are used for illustration. The laser point positions of each calibration in the 4 calibrations are different. Then obtain a certain proportional value of the blue component brightness of the laser point in the 4 calibration images, and then determine the minimum value in the proportional value as the final threshold, which is used to determine the light spots in the second image s position.
当然,在本发明实施例中除了能够通过蓝色分量亮度信息之外,在本发明实施例中该投影交互设备还可以使用图像亮度与蓝色分量同时进行确定,从而可以极大的减少检测区域,具体的方式包括:在通过最终曝光值来采集多张投影区域的投影图像之后,该投影交互设备将在采集的图像中确定出激光点,并且得到所有图像中的激光点亮度,将该所有激光点中亮度最小值作为判定激光点的阈值,因此,当图像中有大于该阈值的点时,则判定该点可能为激光点,然后再根据蓝色亮度阈值在可能的激光点中精确的确定出实际的激光点。Of course, in the embodiment of the present invention, in addition to the brightness information of the blue component, in the embodiment of the present invention, the projection interaction device can also use the brightness of the image and the blue component to determine at the same time, so that the detection area can be greatly reduced , the specific method includes: after collecting multiple projection images of the projection area through the final exposure value, the projection interaction device will determine the laser point in the collected image, and obtain the laser point brightness in all images, and combine all The minimum value of the brightness in the laser point is used as the threshold for judging the laser point. Therefore, when there is a point greater than the threshold in the image, it is judged that the point may be a laser point, and then it is accurately selected among the possible laser points according to the blue brightness threshold. Determine the actual laser point.
通过上述的方式可以更加精确的在图像采集装置采集到的图像中确定出激光点位置,减少了投影交互设备对激光点定位过程,提升了投影交互设备对激光点定位的准确性以及效率。Through the above method, the position of the laser point can be determined more accurately in the image collected by the image acquisition device, which reduces the process of positioning the laser point by the projection interaction device, and improves the accuracy and efficiency of the laser point positioning by the projection interaction device.
另外,对于投影交互设备来讲,若激光点的定位检测速度不够快,则会造成激光点出现滞后的现象,这样会使得投影交互设备会出现延迟响应,这样也使得用户的体验度较低,因此,在本发明实施例中为了提高对激光点检测速度提供了两种方式:一是采集剪切区域的方法提取激光点;二是使用改进的连通域算法。In addition, for the projection interactive device, if the detection speed of the laser point is not fast enough, it will cause the laser point to lag behind, which will cause the projection interactive device to respond with a delay, which also makes the user's experience low. Therefore, in the embodiment of the present invention, two methods are provided to improve the detection speed of the laser point: one is to extract the laser point by collecting the clipping region; the other is to use the improved connected domain algorithm.
剪切区域提取激光点:解析的第三图像,在第三图像中查找出光斑点检测区域,然后在光斑点检测区域中获得第一光斑点图像坐标。Cutting out the area to extract the laser point: analyze the third image, find out the light spot detection area in the third image, and then obtain the first light spot image coordinates in the light spot detection area.
具体来讲,首先是对图像进行全局搜索得到激光点坐标,然后依据上一次确定出的激光点坐标为中心划分出原图像的一定比例的面积作为搜索范围进行搜索,每隔一预设时间或是在缩小范围内未搜索到激光点,则需要重新进行一次全局搜索,简单的来说就是在第一次确定出激光点坐标之后,就以第一次确定出的激光点坐标为中心划分一检测区域,然后第二次检测激光点时则在该检测区域中检测激光点,在一段时间内未检测到激光点或者是缩小检测区域之后未检测到激光点时,则需要对图像进行全局搜索,并再次确定出激光点的位置。这样避免了每次对图像进行全局搜索来定位激光点的位置,从而减少了投影交互设备对激光点的定位时间,提高了定位速度,避免了投影交互设备对激光点的定位延迟。Specifically, firstly, a global search is performed on the image to obtain the laser point coordinates, and then a certain proportion of the original image area is divided as the search range based on the last determined laser point coordinates as the center for searching. If the laser point is not found within the narrowed range, it is necessary to perform a global search again. Simply put, after the laser point coordinates are determined for the first time, divide a circle with the first determined laser point coordinates as the center. The detection area, and then detect the laser point in the detection area when the laser point is detected for the second time. When the laser point is not detected for a period of time or the laser point is not detected after the detection area is reduced, it is necessary to perform a global search on the image , and determine the position of the laser point again. This avoids the global search of the image each time to locate the position of the laser point, thereby reducing the time for the projection interaction device to locate the laser point, improving the positioning speed, and avoiding the delay in positioning the laser point by the projection interaction device.
连通域算法:Connected domain algorithm:
在激光点检测时,需要对获得图像进行二值化操作,二值化操作之后要对连通的区域进行连通域标号,现有技术中的连通域算法需要进行多次循环,目的在于准确的对连通域进行标号,但是会使得连通域算法的过程复杂效率较低。When detecting laser points, it is necessary to perform a binarization operation on the obtained image. After the binarization operation, it is necessary to carry out connected domain labels on the connected areas. The connected domain algorithm in the prior art needs to perform multiple cycles, and the purpose is to accurately Connected domains are labeled, but it will make the process of connected domain algorithm complex and inefficient.
因此,在本发明实施例中所使用的连通域算法则不需要对各个连通域进行准确的按顺序标号,只需要能够识别出一块区域是连通域即可,因此对于错误标号的区域进行标号也可以。只要在后续的操作中,在众多标号的连通域(有正确的标号也有错误的标号)中选取符合所需面积的连通域即可。Therefore, the connected domain algorithm used in the embodiment of the present invention does not need to accurately label the connected domains in sequence, but only needs to be able to identify a region as a connected domain, so it is also necessary to label the wrongly labeled regions. Can. It is only necessary to select the connected domain that meets the required area among the connected domains with many labels (there are correct labels and wrong labels) in the subsequent operation.
例如,检测到了一块连通域标号为1。进而,如果图像中出现例如“U”字形的区域,则我们检测到“U”字形左上角区域时将其标号为2;但当又检测到“U”字形右上角区域时会将其标号为3;此时要更改整个“U”字形区域为统一标号3。因此在此图像中就缺少了标号为2的区域。在之前的连通域算法中,需要在循环一遍图像标完号之后再进行一边循环用意更正错误的标号。而在本发明实施例的算法中,认为此标号过程为正确的过程(例如上例可以允许标号2缺失),只需在后续的操作中按面积准则对标号的区域进行筛选即可,而并不需要确定出该标号。For example, a piece of connected domain labeled 1 is detected. Furthermore, if there is an area in the shape of "U" in the image, we will label it as 2 when we detect the area at the upper left corner of the "U" shape; but when we detect the area at the upper right corner of the "U" shape, we will label it as 3; At this time, the entire "U"-shaped area should be changed to a
这样,避免了在寻找连通域算法中,对图像的重复循环操作,使得激光点的检测的速度更快,也使得投影交互设备之间的交互更加流畅,使激光点的操作更具体验感。In this way, it avoids repeated loop operations on the image in the search for connected domain algorithm, which makes the detection of laser points faster, and also makes the interaction between projection interaction devices more smooth, making the operation of laser points more experiential.
进一步,为了降低投影交互设备在激光点检测上的错误率,因此,在本发明实施例中需要在畸变调整后的图像中确定出投影图像的边缘,也就是投影区域在图像的所包含的范围,该投影区域就包括了:上边缘、下边缘、左边缘以及右边缘,在本发明实施例中其具体的边缘检测方式为:Further, in order to reduce the error rate of the projection interaction device in laser point detection, therefore, in the embodiment of the present invention, it is necessary to determine the edge of the projection image in the distortion-adjusted image, that is, the range of the projection area included in the image , the projection area includes: upper edge, lower edge, left edge and right edge. In the embodiment of the present invention, its specific edge detection method is:
当投影交互设备检测到投影图像的四个边角对应的映射点时(如图5所示),该4个边角映射点作为四条边缘线的端点,然后需要在该端点上设置一特定大小的窗口,窗口的中心列为端点,在窗口内部依次求得相邻灰度值的差值,差值最大的列为边缘,然后以求得的该边缘值作为窗口中心水平或是垂直滑动。例如如图6所示。在确定左下角标定坐标与右下角标定坐标之后,从左下角标定坐标开始,向右步进,设置该窗口的高度为n,即在上下n个像素内寻找边界,判断的条件为:两像素点间的灰度值差值最大,则确定该处为该投影图像的边缘,按照此种步进方式,该投影交互设备将确定出左边缘、右边缘、上边缘以及下边缘,从而该投影交互设备将在整个采集到的图像中确定出投影区域所占有的图像位置。When the projection interaction device detects the mapping points corresponding to the four corners of the projected image (as shown in Figure 5), the four corner mapping points are used as the endpoints of the four edge lines, and then a specific size needs to be set on the endpoints window, the center of the window is listed as the endpoint, and the difference between adjacent gray values is calculated sequentially inside the window, and the column with the largest difference is the edge, and then the calculated edge value is used as the center of the window to slide horizontally or vertically. For example, as shown in Figure 6. After determining the calibration coordinates of the lower left corner and the lower right corner, start from the lower left corner calibration coordinates, step to the right, set the height of the window to n, that is, search for the boundary within the upper and lower n pixels, and the judgment condition is: two pixels If the gray value difference between the points is the largest, then it is determined to be the edge of the projection image. According to this stepping method, the projection interactive device will determine the left edge, right edge, upper edge and lower edge, so that the projection The interactive device will determine the image position occupied by the projection area in the entire collected image.
通过本发明实施例中的图像边缘检测方式,可以在不使用Canny算法,而是通过简单的梯度检测实现对图像边缘的检测,从而提高了图像边缘检测的效率以及提高了图像边缘检测速度以及精确度。Through the image edge detection method in the embodiment of the present invention, the detection of the image edge can be realized through simple gradient detection without using the Canny algorithm, thereby improving the efficiency of image edge detection and improving the speed and accuracy of image edge detection. Spend.
在获取到图像坐标到投影坐标之间的映射关系以及对激光点进行准确定位之后,该投影交互设备将执行步骤106。After obtaining the mapping relationship between image coordinates and projection coordinates and accurately positioning the laser point, the projection interaction device will execute
步骤106,通过图像坐标与投影坐标之间的映射关系,获取第一光斑点对应在所述投影区域中第一光斑点投影坐标。Step 106: Acquire the projection coordinates of the first light spot corresponding to the first light spot in the projection area through the mapping relationship between the image coordinates and the projection coordinates.
也就是说当该投影交互设备精确获取到该激光点坐标之后,直接将该激光点坐标代入到该映射关系中就可以直接确定该激光点在投影区域中的坐标位置,从而该投影交互设备将对应的进行响应。That is to say, after the projection interaction device accurately acquires the coordinates of the laser point, it can directly determine the coordinate position of the laser point in the projection area by directly substituting the coordinates of the laser point into the mapping relationship, so that the projection interaction device will respond accordingly.
通过上述的方式,本发明实施例中通过对图像的畸变调整以及对图像的边缘检测以及激光点的精确跟踪定位实现了对投影交互设备的对于产生畸变的图像进行精确的调整,使得对于图像的标定过程更加稳定,并且可以实现对激光点的准确定位,有效的防止了对激光点的误检以及错检,另外通过本发明实施例中对图像的连通域计算,可以有效的减少现有技术中连通域计算的循环次数,使得激光点的跟踪速度更快,提升了用户的体验度。Through the above method, in the embodiment of the present invention, the distortion adjustment of the image, the edge detection of the image and the precise tracking and positioning of the laser point are realized to accurately adjust the distorted image of the projection interaction device, so that the image The calibration process is more stable, and the accurate positioning of the laser point can be realized, which effectively prevents the false detection and false detection of the laser point. In addition, through the connected domain calculation of the image in the embodiment of the present invention, the existing technology can be effectively reduced. The number of cycles calculated in the connected domain makes the tracking speed of the laser point faster and improves the user experience.
为了提高图像坐标到投影坐标之间的映射准确性,因此,在本发明实施例中除了通过标定坐标来实现映射关系的获取之外,在本发明实施例中还可以是通过多个辅助点来实现图像的区域划分,从而在每个小区域中去确定出对应的映射函数,进而可以实现图像坐标到投影坐标之间的精确映射,其具体的方式包括:In order to improve the mapping accuracy between image coordinates and projected coordinates, in addition to realizing the acquisition of the mapping relationship through calibration coordinates in the embodiment of the present invention, in the embodiment of the present invention, multiple auxiliary points can also be used to Realize the area division of the image, so as to determine the corresponding mapping function in each small area, and then realize the accurate mapping between image coordinates and projected coordinates. The specific methods include:
首先,该投影交互设备将对畸变调整后的第三图像进行灰度线性拉伸,从而得到灰度线性拉伸后的第四图像,然后该投影交互设备将从第四图像中精确定位出4个图像标定坐标、4个投影标定坐标、5个辅助图像标定坐标,其中,5个辅助图像标定坐标位于4个图像标定坐标所围成的区域内,在确定5个辅助图像标定坐标之后,该投影交互设备将对应的获取到5个辅助图像标定坐标对应在投影图像中的5个辅助投影标定坐标,然后根据4个图像标定坐标以及5个辅助图像标定坐标确定出4个映射区域(如图7所示),然后根据4个图像标定坐标、4个投影标定坐标、5个辅助图像标定坐标以及5个辅助投影标定坐标以及映射变换矩阵,确定4个预设区域中每个区域对应的区域映射参数,其具体获取映射参数的方式如下:First, the projection interaction device will linearly stretch the third image after distortion adjustment, so as to obtain the fourth image after linear grayscale stretching, and then the projection interaction device will precisely locate the 4th image from the fourth image image calibration coordinates, 4 projection calibration coordinates, and 5 auxiliary image calibration coordinates, wherein, the 5 auxiliary image calibration coordinates are located in the area surrounded by the 4 image calibration coordinates, after determining the 5 auxiliary image calibration coordinates, the The projection interaction device will correspondingly obtain the 5 auxiliary image calibration coordinates corresponding to the 5 auxiliary projection calibration coordinates in the projection image, and then determine 4 mapping areas according to the 4 image calibration coordinates and the 5 auxiliary image calibration coordinates (as shown in the figure 7), and then according to the 4 image calibration coordinates, 4 projection calibration coordinates, 5 auxiliary image calibration coordinates, 5 auxiliary projection calibration coordinates and the mapping transformation matrix, determine the area corresponding to each of the 4 preset areas Mapping parameters, the specific way to obtain mapping parameters is as follows:
首先对于投影区域1中,需要获取到图像标定坐标1坐标以及辅助图像标定坐标a、b、e的坐标,然后该获取该图像标定坐标1以及辅助图像标定坐标a、b、e对应在投影区域中的投影坐标,最后将确定出的坐标代入到映射变换矩阵中就可以得到投影区域1中的所有映射参数,然后根据得到的映射参数就可以确定出投影区域1中的映射关系。First, in the
对于投影区域2、投影区域3以及投影区域4中也使用同样的方式来实现每个区域的映射关系获取,最终可以实现划分多个区域来对激光点进行精确定位。For
当然,在本发明实施例中只是提及了5个辅助点,当然本领域技术人员可以通过本发明实施例所提供的方案衍生出9个辅助点或者是其他更多或者是更少的辅助点来实现图像区域的划分,因此,通过多个辅助点来划分区域进行图像处理都是在本发明技术方案所包括的范围内。Of course, only 5 auxiliary points are mentioned in the embodiment of the present invention, of course, those skilled in the art can derive 9 auxiliary points or other more or less auxiliary points through the solution provided by the embodiment of the present invention To achieve the division of the image area, therefore, dividing the area by multiple auxiliary points for image processing is within the scope of the technical solution of the present invention.
对应本发明实施例中一种定位的方法,本发明实施例还提供了一种电子设备,如图8所示为本发明实施例中一种电子设备的具体结构示意图,该电子设备包括:Corresponding to a positioning method in the embodiment of the present invention, the embodiment of the present invention also provides an electronic device, as shown in FIG. 8 is a schematic structural diagram of an electronic device in the embodiment of the present invention. The electronic device includes:
投影装置801,用于投影一投影图像在投影区域中;A
图像采集装置802,用于采集包括所述投影图像的第一图像;an
第一校正单元803,用于根据第一畸变校正规则对所述第一图像进行第一次畸变校正,获得第一次畸变校正后的第二图像;The
第二校正单元804,用于根据第二畸变调整规则对所述第二图像进行第二次畸变校正,获得第二次畸变校正后的第三图像;The
获取单元805,用于用户获取所述第三图像中的M个图像标定坐标以及投影区域中的N个投影标定坐标;An acquiring
确定单元806,用于根据所述M个图像标定坐标以及所述N个投影标定坐标确定图像坐标与投影坐标之间的映射关系,M和N皆为大于等于1的正整数;A determining
解析单元807,用于解析所述第三图像,获得所述第一光斑点在所述第三图像中第一光斑点图像坐标;An analyzing
坐标定位单元808,用于通过所述图像坐标与所述投影坐标之间的映射关系,获取所述第一光斑点对应在所述投影区域中第一光斑点投影坐标。The coordinate
首先,需要说明的是在本发明实施例中当图像采集装置采集到第一图像之后需要对第一图像进行第一次畸变校正得到第二图像,然后第二校正单元803根据第二畸变校正规则对第二图像进行第二次畸变校正,获得第二次畸变校正后的第三图像。First of all, it needs to be explained that in the embodiment of the present invention, after the first image is captured by the image acquisition device, it is necessary to perform the first distortion correction on the first image to obtain the second image, and then the
其中,该第一校正单元803包括了:Wherein, the
校准图像获取模块,用于通过所述短焦镜头图像采集装置获取投影在所述投影区域中的第一预设投影图像多个角度的K张预校正图像;A calibration image acquisition module, configured to acquire K pre-corrected images of multiple angles of the first preset projection image projected in the projection area through the short-focus lens image acquisition device;
坐标获取模块,用于获取所述K张预校正图像中所述第一预设投影图像的角点对应的角点图像坐标,以及所述角点对应在所述投影区域中的角点投影坐标;A coordinate acquisition module, configured to acquire corner image coordinates corresponding to corner points of the first preset projection image in the K pre-corrected images, and corner projection coordinates corresponding to the corner points in the projection area ;
矩阵确定模块,用于根据所述角点图像坐标以及所述角点投影坐标以及第一畸变校正规则,获取所述第一图像校正矩阵;A matrix determination module, configured to obtain the first image correction matrix according to the corner image coordinates, the corner projection coordinates, and the first distortion correction rule;
第一调整子模块,用于根据所述第一图像校正矩阵校正所述第一图像,获取校正后的所述第一临时图像。The first adjustment sub-module is configured to correct the first image according to the first image correction matrix, and obtain the corrected first temporary image.
该第二校正单元804包括了:The
预设图像采集模块,用于获取投影在所述投影区域中的第二预设投影图像对应的待处理图像;A preset image acquisition module, configured to acquire an image to be processed corresponding to the second preset projection image projected in the projection area;
处理模块,用于对所述待处理图像进行预设图像处理,获取图像处理后的第一预设图像;A processing module, configured to perform preset image processing on the image to be processed, and obtain a first preset image after image processing;
边缘检测模块,用于对所述第一预设图像进行图像边缘检测,获取所述第一预设图像的边缘信息;An edge detection module, configured to perform image edge detection on the first preset image, and acquire edge information of the first preset image;
校正参数获取模块,用于根据所述边缘信息,获取所述径向畸变校正参数;A correction parameter acquisition module, configured to acquire the radial distortion correction parameter according to the edge information;
第二调整子模块,用于基于所述径向畸变校正参数,对所述第一临时图像进行图像校正,获取校正后的所述第二图像。The second adjustment sub-module is configured to perform image correction on the first temporary image based on the radial distortion correction parameter, and obtain the corrected second image.
在完成图像调整之后,该确定单元806包括了参数获取模块以及映射关系确定模块,该参数获取模块用于根据所述M个图像标定坐标、所述N个投影标定坐标以及一第一预设规则,获取所述映射关系中的映射参数;映射关系确定模块,用于根据所述映射参数,确定所述图像坐标与所述投影坐标之间的映射关系。After the image adjustment is completed, the
该参数获取模块具体用于基于4个图像标定坐标(x1,y1)、(x2,y2)、(x3,y3)、(x4,y4),4个投影标定坐标(u1、v1)、(u2、v2)、(u3、v3)、(u4、v4),以及映射变换矩阵:
然后该映射关系确定模块根据获取到的映射参数获取到图像坐标与投影坐标之间的映射关系:其中,(u,v)为投影坐标,(x、y)为第三图像中的图像坐标。Then the mapping relationship determination module obtains the mapping relationship between the image coordinates and the projection coordinates according to the obtained mapping parameters: Wherein, (u, v) are projection coordinates, and (x, y) are image coordinates in the third image.
另外,该电子设备中的获取单元805具体用于获取所述4个图像标定坐标、所述4个投影标定坐标以及5个辅助图像标定坐标,具体来讲,该获取单元中的图像处理模块首先对畸变调整后的第三图像进行图像灰度线性拉伸,生成第四图像,然后获取模块将在第四图像中确定并获取5个辅助图像标定坐标,其中,该5个辅助图像标定坐标位于4个图像标定坐标所围成的区域内。In addition, the
在获取到上述坐标之后,该电子设备中的参数获取模块具体通过获取子模块、映射区域确定子模块、区域映射参数获取子模块来对图像进行区域划分,其中,获取子模块用于获取在所述第四图像中5个辅助图像标定坐标对应在所述投影区域中的5个辅助投影标定坐标;映射区域确定子模块,用于根据所述4个图像标定坐标以及所述5个辅助图像标定坐标确定4个映射区域;区域映射参数获取子模块,用于根据所述4个图像标定坐标、所述4个投影标定坐标、所述5个辅助图像标定坐标、所述5个辅助投影标定坐标以及映射变换矩阵,确定所述4个映射区域中每个区域对应的区域映射参数。After the above coordinates are acquired, the parameter acquisition module in the electronic device specifically divides the image into regions through the acquisition submodule, the mapping area determination submodule, and the area mapping parameter acquisition submodule, wherein the acquisition submodule is used to acquire the The 5 auxiliary image calibration coordinates in the fourth image correspond to the 5 auxiliary projection calibration coordinates in the projection area; the mapping area determination submodule is used to calibrate the coordinates according to the 4 images and the 5 auxiliary image calibration coordinates The coordinates determine 4 mapping areas; the area mapping parameter acquisition submodule is used to calibrate coordinates according to the 4 images, the 4 projection calibrated coordinates, the 5 auxiliary image calibrated coordinates, and the 5 auxiliary projection calibrated coordinates and a mapping transformation matrix, determining region mapping parameters corresponding to each region in the four mapping regions.
在将采集到的图像划分成4个不同的区域之后,该电子设备将确定出每个区域对应的映射关系,从而在第一光斑点位于任何区域中时,该电子设备都能够对该电第一光斑点进行准确的定位,从而实现了第一光斑点的精确定位以及及时响应。After dividing the collected image into 4 different areas, the electronic device will determine the mapping relationship corresponding to each area, so that when the first light spot is located in any area, the electronic device can Accurate positioning of the first light spot, thus realizing the precise positioning of the first light spot and timely response.
另外,在本发明实施例中该解析单元807包括:In addition, in the embodiment of the present invention, the
第一比较模块,用于将所述第三图像包含的所有点的亮度信息与预设点亮度信息进行比较,并生成一比较结果;A first comparison module, configured to compare the brightness information of all points included in the third image with the brightness information of preset points, and generate a comparison result;
色度信息获取模块,用于当所述比较结果表征所述所有点中的第一点的亮度信息满足预设亮度信息时,则获取所述第一点的第一色度信息;A chromaticity information acquisition module, configured to acquire the first chromaticity information of the first point when the comparison result indicates that the luminance information of the first point of all the points satisfies the preset luminance information;
第二比较模块,用于将所述第一色度信息与预设色度信息进行比较,并生成第二比较结果;A second comparison module, configured to compare the first chromaticity information with preset chromaticity information, and generate a second comparison result;
光斑点确定模块,用于当所述第二比较结果表征所述第一色度信息满足预设色度信息时,则确定所述第一点为所述第三图像中的第一光斑点。A light spot determining module, configured to determine that the first point is the first light spot in the third image when the second comparison result indicates that the first chromaticity information satisfies preset chromaticity information.
通过该解析单元807能够对第一光斑点的位置进行准确的定位,从而使得电子设备能够精确的根据第一光斑点的位置进行响应。The analyzing
本发明所提供的一个或者多个实施例至少存在如下技术效果或优点:One or more embodiments provided by the present invention have at least the following technical effects or advantages:
在本发明实施例中通过对投影交互设备采集到的图像进行畸变调整,该畸变调整包括两次畸变调整,在第一次进行矩阵畸变调整之后,再进行第二次畸变参数调整,从而解决了现有技术中手动标定进行矫正时,在畸变参数较多时,会导致图像标定不稳定的技术问题,进而有效的提高了图像标定的稳定性,也提高了投影交互设备的坐标定位准确性。In the embodiment of the present invention, the distortion adjustment is performed on the image collected by the projection interaction device. The distortion adjustment includes two distortion adjustments. After the matrix distortion adjustment is performed for the first time, the second distortion parameter adjustment is performed, thereby solving the problem of In the prior art, when correcting by manual calibration, when there are many distortion parameters, it will lead to a technical problem of unstable image calibration, thereby effectively improving the stability of image calibration, and also improving the coordinate positioning accuracy of the projection interaction device.
在本发明实施例中通过在畸变调整之后,该图像中获取到对应的坐标,并根据获取到的坐标以及映射变换矩阵获取到对应的映射参数,然后根据该映射参数确定出图像坐标与投影坐标之间的映射关系,从而能够解决现有技术中图像坐标与投影坐标之间映射关系不准确的技术问题,进而提高了图像坐标到投影坐标的映射准确性,并且有效的提升了投影交互设备的对第一光斑点的响应速度。In the embodiment of the present invention, after the distortion adjustment, the corresponding coordinates are obtained from the image, and the corresponding mapping parameters are obtained according to the obtained coordinates and the mapping transformation matrix, and then the image coordinates and projection coordinates are determined according to the mapping parameters The mapping relationship between image coordinates and projection coordinates can solve the technical problem of inaccurate mapping relationship between image coordinates and projection coordinates in the prior art, thereby improving the mapping accuracy of image coordinates to projection coordinates, and effectively improving the projection interaction equipment. Response speed to the first light spot.
在本发明实施例中通过使用对激光点蓝色分量信息以及激光点亮度对激光点进行跟踪定位,从而解决了现有技术中不适合于摄像头有仰角的情况,在有仰角的情况下,容易发射激光点检测错误,以及导致对激光点检测的误差较大的技术问题,进而实现了在不同的拍摄角度下对激光点的准确定位,降低了投影交互设备对激光点的误检以及漏检。In the embodiment of the present invention, the laser point is tracked and positioned by using the blue component information of the laser point and the brightness of the laser point, thereby solving the situation that the camera has an elevation angle that is not suitable for the prior art. In the case of an elevation angle, it is easy to Laser point detection error, and the technical problems that lead to large errors in laser point detection, thus realizing accurate positioning of laser points at different shooting angles, reducing false detection and missed detection of laser points by projection interactive equipment .
在本发明实施例中采用分块进行连通域计算,因此,采用本发明实施例中的连通域算法可以有效的避免现有技术中连通域算法的循环次数,使得该投影交互设备能够更加快速的处理图像数据,并且也提升了激光点的跟踪速度,提升了用户在交互时的体验度。In the embodiment of the present invention, blocks are used to calculate the connected domain. Therefore, the connected domain algorithm in the embodiment of the present invention can effectively avoid the number of cycles of the connected domain algorithm in the prior art, so that the projection interaction device can be faster. Image data is processed, and the tracking speed of laser points is also improved, which improves the user experience during interaction.
本领域内的技术人员应明白,本发明的实施例可提供为方法、系统、或计算机程序产品。因此,本发明可采用完全硬件实施例、完全软件实施例、或结合软件和硬件方面的实施例的形式。而且,本发明可采用在一个或多个其中包含有计算机可用程序代码的计算机可用存储介质(包括但不限于磁盘存储器、CD-ROM、光学存储器等)上实施的计算机程序产品的形式。Those skilled in the art should understand that the embodiments of the present invention may be provided as methods, systems, or computer program products. Accordingly, the present invention can take the form of an entirely hardware embodiment, an entirely software embodiment, or an embodiment combining software and hardware aspects. Furthermore, the present invention may take the form of a computer program product embodied on one or more computer-usable storage media (including but not limited to disk storage, CD-ROM, optical storage, etc.) having computer-usable program code embodied therein.
本发明是参照根据本发明实施例的方法、设备(系统)、和计算机程序产品的流程图和/或方框图来描述的。应理解可由计算机程序指令实现流程图和/或方框图中的每一流程和/或方框、以及流程图和/或方框图中的流程和/或方框的结合。可提供这些计算机程序指令到通用计算机、专用计算机、嵌入式处理机或其他可编程数据处理设备的处理器以产生一个机器,使得通过计算机或其他可编程数据处理设备的处理器执行的指令产生用于实现在流程图一个流程或多个流程和/或方框图一个方框或多个方框中指定的功能的装置。The present invention is described with reference to flowchart illustrations and/or block diagrams of methods, apparatus (systems), and computer program products according to embodiments of the invention. It should be understood that each procedure and/or block in the flowchart and/or block diagram, and a combination of procedures and/or blocks in the flowchart and/or block diagram can be realized by computer program instructions. These computer program instructions may be provided to a general purpose computer, special purpose computer, embedded processor, or processor of other programmable data processing equipment to produce a machine such that the instructions executed by the processor of the computer or other programmable data processing equipment produce a Means for realizing the functions specified in one or more steps of the flowchart and/or one or more blocks of the block diagram.
这些计算机程序指令也可存储在能引导计算机或其他可编程数据处理设备以特定方式工作的计算机可读存储器中,使得存储在该计算机可读存储器中的指令产生包括指令装置的制造品,该指令装置实现在流程图一个流程或多个流程和/或方框图一个方框或多个方框中指定的功能。These computer program instructions may also be stored in a computer-readable memory capable of directing a computer or other programmable data processing apparatus to operate in a specific manner, such that the instructions stored in the computer-readable memory produce an article of manufacture comprising instruction means, the instructions The device realizes the function specified in one or more procedures of the flowchart and/or one or more blocks of the block diagram.
这些计算机程序指令也可装载到计算机或其他可编程数据处理设备上,使得在计算机或其他可编程设备上执行一系列操作步骤以产生计算机实现的处理,从而在计算机或其他可编程设备上执行的指令提供用于实现在流程图一个流程或多个流程和/或方框图一个方框或多个方框中指定的功能的步骤。These computer program instructions can also be loaded onto a computer or other programmable data processing device, causing a series of operational steps to be performed on the computer or other programmable device to produce a computer-implemented process, thereby The instructions provide steps for implementing the functions specified in the flow chart flow or flows and/or block diagram block or blocks.
显然,本领域的技术人员可以对本发明进行各种改动和变型而不脱离本发明的精神和范围。这样,倘若本发明的这些修改和变型属于本发明权利要求及其等同技术的范围之内,则本发明也意图包含这些改动和变型在内。Obviously, those skilled in the art can make various changes and modifications to the present invention without departing from the spirit and scope of the present invention. Thus, if these modifications and variations of the present invention fall within the scope of the claims of the present invention and their equivalent technologies, the present invention also intends to include these modifications and variations.
| Application Number | Priority Date | Filing Date | Title | 
|---|---|---|---|
| CN2013100461978ACN103116889A (en) | 2013-02-05 | 2013-02-05 | Positioning method and electronic device | 
| Application Number | Priority Date | Filing Date | Title | 
|---|---|---|---|
| CN2013100461978ACN103116889A (en) | 2013-02-05 | 2013-02-05 | Positioning method and electronic device | 
| Publication Number | Publication Date | 
|---|---|
| CN103116889Atrue CN103116889A (en) | 2013-05-22 | 
| Application Number | Title | Priority Date | Filing Date | 
|---|---|---|---|
| CN2013100461978APendingCN103116889A (en) | 2013-02-05 | 2013-02-05 | Positioning method and electronic device | 
| Country | Link | 
|---|---|
| CN (1) | CN103116889A (en) | 
| Publication number | Priority date | Publication date | Assignee | Title | 
|---|---|---|---|---|
| CN103971352A (en)* | 2014-04-18 | 2014-08-06 | 华南理工大学 | Rapid image splicing method based on wide-angle lenses | 
| CN104270571A (en)* | 2014-10-20 | 2015-01-07 | 联想(北京)有限公司 | Image processing method and electronic equipment | 
| CN104954714A (en)* | 2015-06-24 | 2015-09-30 | 福州瑞芯微电子有限公司 | Method and device for performing projection on back of hand | 
| CN106426165A (en)* | 2016-09-29 | 2017-02-22 | 陕西科技大学 | Man-machine five-in-a-row playing robot control method | 
| CN108573468A (en)* | 2017-03-07 | 2018-09-25 | 伊鲁米那股份有限公司 | Optical distortion correction for imaged samples | 
| WO2018214365A1 (en)* | 2017-05-26 | 2018-11-29 | 广州视源电子科技股份有限公司 | Image correction method, apparatus, device, and system, camera device, and display device | 
| CN109147469A (en)* | 2018-07-09 | 2019-01-04 | 安徽慧视金瞳科技有限公司 | A kind of calligraphy exercising method | 
| CN109272552A (en)* | 2018-08-29 | 2019-01-25 | 浙江大丰实业股份有限公司 | Laser positioning control system based on image analysis | 
| CN109360236A (en)* | 2018-10-26 | 2019-02-19 | 郑州轻工业学院 | A method for measuring the size of a sunflower flower plate | 
| CN109493288A (en)* | 2018-10-23 | 2019-03-19 | 安徽慧视金瞳科技有限公司 | A kind of interactive mode Teaching System hot spot self organizing maps algorithm | 
| CN110869979A (en)* | 2017-07-05 | 2020-03-06 | 智动科技有限公司 | Method, system, and computer readable medium for camera calibration | 
| CN111243028A (en)* | 2018-11-09 | 2020-06-05 | 杭州海康威视数字技术股份有限公司 | Electronic equipment and lens association method and device | 
| CN111579561A (en)* | 2020-05-07 | 2020-08-25 | 维嘉数控科技(苏州)有限公司 | Position point compensation method, device, equipment and storage medium | 
| CN113284189A (en)* | 2021-05-12 | 2021-08-20 | 深圳市格灵精睿视觉有限公司 | Distortion parameter calibration method, device, equipment and storage medium | 
| CN114302121A (en)* | 2021-12-28 | 2022-04-08 | 深圳市火乐科技发展有限公司 | Image correction inspection method, device, electronic equipment and storage medium | 
| CN115032468A (en)* | 2022-08-10 | 2022-09-09 | 广东电网有限责任公司佛山供电局 | Device and method for identifying direction of charged body | 
| CN115440159A (en)* | 2022-08-22 | 2022-12-06 | 杭州海康威视数字技术股份有限公司 | Image correction method, and correction method and device for LED display screen image | 
| Publication number | Priority date | Publication date | Assignee | Title | 
|---|---|---|---|---|
| EP1055954A1 (en)* | 1999-05-28 | 2000-11-29 | University of Liege | Optical device for projecting display system | 
| CN101025656A (en)* | 2007-01-19 | 2007-08-29 | 清华大学 | Embedded screen spot positioning device | 
| CN101098462A (en)* | 2007-07-12 | 2008-01-02 | 上海交通大学 | Video Moving Object Detection Method Combining Chroma Deviation and Luminance Deviation | 
| CN101814186A (en)* | 2010-02-04 | 2010-08-25 | 上海交通大学 | Method utilizing curve-fitting to calibrate radial distortion of camera | 
| CN101840062A (en)* | 2009-08-21 | 2010-09-22 | 深圳先进技术研究院 | Interactive projection system and interactive method | 
| CN102663727A (en)* | 2012-03-09 | 2012-09-12 | 天津大学 | Method for calibrating parameters by dividing regions in a camera based on CMM moving target | 
| Publication number | Priority date | Publication date | Assignee | Title | 
|---|---|---|---|---|
| EP1055954A1 (en)* | 1999-05-28 | 2000-11-29 | University of Liege | Optical device for projecting display system | 
| CN101025656A (en)* | 2007-01-19 | 2007-08-29 | 清华大学 | Embedded screen spot positioning device | 
| CN101098462A (en)* | 2007-07-12 | 2008-01-02 | 上海交通大学 | Video Moving Object Detection Method Combining Chroma Deviation and Luminance Deviation | 
| CN101840062A (en)* | 2009-08-21 | 2010-09-22 | 深圳先进技术研究院 | Interactive projection system and interactive method | 
| CN101814186A (en)* | 2010-02-04 | 2010-08-25 | 上海交通大学 | Method utilizing curve-fitting to calibrate radial distortion of camera | 
| CN102663727A (en)* | 2012-03-09 | 2012-09-12 | 天津大学 | Method for calibrating parameters by dividing regions in a camera based on CMM moving target | 
| Title | 
|---|
| 郭斌: "计算机视觉尺寸检测中物体边缘精确参数提取方法研究与应用", 《中国优秀硕士学位论文全文数据库信息科技辑》* | 
| Publication number | Priority date | Publication date | Assignee | Title | 
|---|---|---|---|---|
| CN103971352A (en)* | 2014-04-18 | 2014-08-06 | 华南理工大学 | Rapid image splicing method based on wide-angle lenses | 
| CN104270571A (en)* | 2014-10-20 | 2015-01-07 | 联想(北京)有限公司 | Image processing method and electronic equipment | 
| CN104954714A (en)* | 2015-06-24 | 2015-09-30 | 福州瑞芯微电子有限公司 | Method and device for performing projection on back of hand | 
| CN104954714B (en)* | 2015-06-24 | 2017-12-19 | 福州瑞芯微电子股份有限公司 | The back of the hand projecting method and device | 
| CN106426165A (en)* | 2016-09-29 | 2017-02-22 | 陕西科技大学 | Man-machine five-in-a-row playing robot control method | 
| US10909666B2 (en) | 2017-03-07 | 2021-02-02 | Illumina, Inc. | Optical distortion correction for imaged samples | 
| US11816816B2 (en) | 2017-03-07 | 2023-11-14 | Illumina, Inc. | Optical distortion correction for imaged samples | 
| US12100125B2 (en) | 2017-03-07 | 2024-09-24 | Illumina, Inc. | Optical distortion correction for imaged samples | 
| US11568522B2 (en) | 2017-03-07 | 2023-01-31 | Illumina, Inc. | Optical distortion correction for imaged samples | 
| CN108573468A (en)* | 2017-03-07 | 2018-09-25 | 伊鲁米那股份有限公司 | Optical distortion correction for imaged samples | 
| CN108573468B (en)* | 2017-03-07 | 2020-06-09 | 伊鲁米那股份有限公司 | Optical distortion correction method for imaged sample | 
| WO2018214365A1 (en)* | 2017-05-26 | 2018-11-29 | 广州视源电子科技股份有限公司 | Image correction method, apparatus, device, and system, camera device, and display device | 
| CN110869979A (en)* | 2017-07-05 | 2020-03-06 | 智动科技有限公司 | Method, system, and computer readable medium for camera calibration | 
| CN110869979B (en)* | 2017-07-05 | 2023-03-21 | 智动科技有限公司 | Method, system, and computer readable medium for camera calibration | 
| CN109147469A (en)* | 2018-07-09 | 2019-01-04 | 安徽慧视金瞳科技有限公司 | A kind of calligraphy exercising method | 
| CN109272552A (en)* | 2018-08-29 | 2019-01-25 | 浙江大丰实业股份有限公司 | Laser positioning control system based on image analysis | 
| CN109272552B (en)* | 2018-08-29 | 2022-02-18 | 浙江大丰实业股份有限公司 | Laser positioning control system based on image analysis | 
| CN109493288A (en)* | 2018-10-23 | 2019-03-19 | 安徽慧视金瞳科技有限公司 | A kind of interactive mode Teaching System hot spot self organizing maps algorithm | 
| CN109360236A (en)* | 2018-10-26 | 2019-02-19 | 郑州轻工业学院 | A method for measuring the size of a sunflower flower plate | 
| CN109360236B (en)* | 2018-10-26 | 2022-05-17 | 郑州轻工业学院 | A method for measuring the size of a sunflower flower plate | 
| CN111243028A (en)* | 2018-11-09 | 2020-06-05 | 杭州海康威视数字技术股份有限公司 | Electronic equipment and lens association method and device | 
| CN111243028B (en)* | 2018-11-09 | 2023-09-08 | 杭州海康威视数字技术股份有限公司 | Electronic equipment and lens association method and device | 
| CN111579561A (en)* | 2020-05-07 | 2020-08-25 | 维嘉数控科技(苏州)有限公司 | Position point compensation method, device, equipment and storage medium | 
| CN113284189A (en)* | 2021-05-12 | 2021-08-20 | 深圳市格灵精睿视觉有限公司 | Distortion parameter calibration method, device, equipment and storage medium | 
| CN114302121A (en)* | 2021-12-28 | 2022-04-08 | 深圳市火乐科技发展有限公司 | Image correction inspection method, device, electronic equipment and storage medium | 
| CN115032468B (en)* | 2022-08-10 | 2022-10-21 | 广东电网有限责任公司佛山供电局 | Device and method for identifying direction of charged body | 
| CN115032468A (en)* | 2022-08-10 | 2022-09-09 | 广东电网有限责任公司佛山供电局 | Device and method for identifying direction of charged body | 
| CN115440159A (en)* | 2022-08-22 | 2022-12-06 | 杭州海康威视数字技术股份有限公司 | Image correction method, and correction method and device for LED display screen image | 
| Publication | Publication Date | Title | 
|---|---|---|
| CN103116889A (en) | Positioning method and electronic device | |
| US11164323B2 (en) | Method for obtaining image tracking points and device and storage medium thereof | |
| JP5699788B2 (en) | Screen area detection method and system | |
| CN105069799B (en) | Angular point positioning method and apparatus | |
| US11170528B2 (en) | Object pose tracking method and apparatus | |
| CN107071376B (en) | A kind of projection tiled display bearing calibration and device | |
| CN105957041B (en) | A kind of wide-angle lens infrared image distortion correction method | |
| CN109784250B (en) | Positioning method and device of automatic guide trolley | |
| CN110390677B (en) | A method and system for defect localization based on sliding self-matching | |
| US10861173B2 (en) | Hole-based 3D point data alignment | |
| CN105760826A (en) | Face tracking method and device and intelligent terminal. | |
| KR100996897B1 (en) | Circumferential Distortion Image Correction Method of Wide Angle Lens by Linear Fitting | |
| CN107270810A (en) | The projector calibrating method and device of multi-faceted projection | |
| JP6115214B2 (en) | Pattern processing apparatus, pattern processing method, and pattern processing program | |
| CN109583365A (en) | Method for detecting lane lines is fitted based on imaging model constraint non-uniform B-spline curve | |
| CN106911921A (en) | The infrared touch-control of projecting apparatus and Atomatic focusing method based on single camera | |
| JP2013113600A (en) | Stereo three-dimensional measuring apparatus | |
| CN110996083A (en) | Trapezoidal correction method and device, electronic equipment and readable storage medium | |
| CN112288049B (en) | Pointer meter reading method based on template matching and limitation of connected domain pointer positioning | |
| CN113723432B (en) | Intelligent identification and positioning tracking method and system based on deep learning | |
| US9319666B1 (en) | Detecting control points for camera calibration | |
| CN114170319A (en) | Method and device for adjusting test target | |
| CN103176668B (en) | A kind of shooting method for correcting image for camera location touch system | |
| CN113920196A (en) | Visual positioning method, device and computer equipment | |
| WO2024146317A1 (en) | Image processing method, apparatus, and electronic device | 
| Date | Code | Title | Description | 
|---|---|---|---|
| C06 | Publication | ||
| PB01 | Publication | ||
| C10 | Entry into substantive examination | ||
| SE01 | Entry into force of request for substantive examination | ||
| RJ01 | Rejection of invention patent application after publication | Application publication date:20130522 | |
| RJ01 | Rejection of invention patent application after publication |