Movatterモバイル変換


[0]ホーム

URL:


CN103092947A - A data version control method - Google Patents

A data version control method
Download PDF

Info

Publication number
CN103092947A
CN103092947ACN2013100112303ACN201310011230ACN103092947ACN 103092947 ACN103092947 ACN 103092947ACN 2013100112303 ACN2013100112303 ACN 2013100112303ACN 201310011230 ACN201310011230 ACN 201310011230ACN 103092947 ACN103092947 ACN 103092947A
Authority
CN
China
Prior art keywords
data
data version
library
operator
token
Prior art date
Legal status (The legal status is an assumption and is not a legal conclusion. Google has not performed a legal analysis and makes no representation as to the accuracy of the status listed.)
Granted
Application number
CN2013100112303A
Other languages
Chinese (zh)
Other versions
CN103092947B (en
Inventor
李保福
叶阳东
佘维
姬波
刘�文
卢红星
邵秋华
梁经宛
张静
雍明超
庄益诗
路光辉
Current Assignee (The listed assignees may be inaccurate. Google has not performed a legal analysis and makes no representation or warranty as to the accuracy of the list.)
XJ Electric Co Ltd
Xuchang XJ Software Technology Co Ltd
Chaoyang Power Supply Co of State Grid Liaoning Electric Power Co Ltd
State Grid Corp of China SGCC
Original Assignee
XJ Electric Co Ltd
Xuchang XJ Software Technology Co Ltd
Chaoyang Power Supply Co of Liaoning Electric Power Co Ltd
State Grid Corp of China SGCC
Priority date (The priority date is an assumption and is not a legal conclusion. Google has not performed a legal analysis and makes no representation as to the accuracy of the date listed.)
Filing date
Publication date
Application filed by XJ Electric Co Ltd, Xuchang XJ Software Technology Co Ltd, Chaoyang Power Supply Co of Liaoning Electric Power Co Ltd, State Grid Corp of China SGCCfiledCriticalXJ Electric Co Ltd
Priority to CN201310011230.3ApriorityCriticalpatent/CN103092947B/en
Publication of CN103092947ApublicationCriticalpatent/CN103092947A/en
Application grantedgrantedCritical
Publication of CN103092947BpublicationCriticalpatent/CN103092947B/en
Activelegal-statusCriticalCurrent
Anticipated expirationlegal-statusCritical

Links

Images

Landscapes

Abstract

Translated fromChinese

本发明涉及一种数据版本控制方法,该方法构建一种有色Petri网(CPN)模拟数据版本控制过程,有色Petri网库所包括数据版本库和操作员库,并用不同颜色的托肯表示数据的不同版本,当有操作员更新数据时,触发源变迁,使操作员库获得操作员的信息,并通过触发不同的变迁,模拟数据版本的形成过程,将形成的最新数据版本存放在最新数据版本库中,将历史数据版本都存放在历史数据版本库中,方便以后的查询,且通过触发冗余合并变迁,将冗余数据进行合并,有效地解决了数据版本更新过程中的并发、合并的问题,保证了数据的一致性和完整性,有效提高了历史数据的管理水平。

Figure 201310011230

The invention relates to a data version control method. The method constructs a colored Petri net (CPN) to simulate the data version control process. The colored Petri net library includes a data version library and an operator library, and tokens of different colors are used to represent data For different versions, when an operator updates data, the source transition is triggered, so that the operator library obtains the information of the operator, and by triggering different transitions, the formation process of the data version is simulated, and the latest data version is stored in the latest data version Store the historical data version in the historical data version library, which is convenient for future queries, and by triggering the redundant merge transition, the redundant data is merged, effectively solving the problem of concurrency and merging in the process of updating the data version problems, ensuring the consistency and integrity of data, and effectively improving the management level of historical data.

Figure 201310011230

Description

A kind of versions of data control method
Technical field
The present invention relates to a kind of versions of data control method.
Background technology
In the slip condition database of main equipment, the mismanagement of versions of data can cause the confusion of system even to collapse, so versions of data is controlled particularly important.The versions of data control technology is that each modification is all done to detailed record, especially, when many people develop a data library management and application system simultaneously, adopts the change of the objects such as table, storing process and view in rational method monitor database.The core that versions of data is controlled is change management, and main target and task are to record and preserve each safe and reliable version history, and what guarantee that each client obtains is latest edition.
The main method that at present versions of data is controlled has: differential coding, archives are locked, center system and distributed system etc.Differential coding only retains the archives difference between version in succession, and the method can store the archives of several versions effectively, saves large quantity space, but, while adopting the method, it is cumbersome that version recovers; The archives locking function, to highly difficult merging, is for example significantly changed the mass part of large archives or file group, and some protections are provided, but other developers can walk around version control system, changes archives (this itself is exactly very large problem); The central type system is when a plurality of clients will change same archives simultaneously, " lock " archives in file store by central authoritative management access right, once only allow a developer work, or allow that as distributed system a plurality of file store developers change same archives simultaneously, and not needing the license through the authority of central authorities, distributed system still can have the archives locking function.
Existing several version relationship model neutral line Model of Version can be described the process that version sequentially produces well, but can not distinguish the difference of replacing version and revision version; Although treelike version model has solved the revision version of object model and has replaced the difference between version, can not describe these actual conditions of versions merging; Although directed acyclic graph supports the historical information of versions merging and change to describe, can only generation level and the source of version be described with node ID, can't mean the logical level of this version, and easily produce ambiguity; The Model of Version of polychrome figure has only been considered revision and the modification relation of same version.
Summary of the invention
The purpose of this invention is to provide a kind of versions of data control method, in order to solve the inconsistent problem of database caused due to the concurrent Update Table of many people.
For achieving the above object, the solution of the present invention is: a kind of versions of data control method, and step is as follows:
(1) versions of data of setting up based on colored Petri network is controlled model, included versions of data storehouse, storehouse and the operator storehouse of this Petri net, described versions of data storehouse comprises the latest data version repository, the historical data version repository, versions of data storehouse and the pooled data version repository upgraded, and different versions of data storehouses are agree mean by the holder of different colours, described latest data version repository can only be deposited the Tuo Ken of a latest data version, described historical data version repository can be deposited the Tuo Ken of the versions of data of a plurality of renewals, described holder agree deposit in the storehouse institute of Petri net, for according to its dynamic change library representation the state of versions of data,
(2) model of setting up in step (1) is carried out to initialization, make latest data version repository and historical data version repository respectively obtain a Tuo Ken that color is identical, what this holder agree mean is the information of current latest data version, and other versions of data storehouses are empty;
(3), when having the operator to prepare more new data, the trigger source transition, make the operator storehouse obtain a Tuo Ken who means operator message;
(4) as the operator more during new data, trigger and upgrade the operation transition, and information is agree in the holder of agreeing in information and latest data version repository according to the holder in the operator storehouse, the Tuo Ken that produces the versions of data information after an expression is upgraded leaves in the versions of data storehouse of renewal, simultaneously, the holder in the operator storehouse is agree deleted;
(5) agree information according to the versions of data storehouse of upgrading and the holder in the historical data version repository, judge whether to need to merge the operation of removal redundant data version, if necessary, trigger the transition of redundant data versions merging, the versions of data storehouse of renewal and historical data version repository are merged, and leave the Tuo Ken of the expression pooled data version information that produces after merging in the pooled data version repository, if do not need, trigger and copy transition, Tuo Ken in the versions of data storehouse of the renewal that obtains in step (3) is copied in the pooled data version repository, simultaneously, holder in the versions of data storehouse of upgrading is agree deleted,
(6) trigger and submit the renewal transition to, the Tuo Ken in the pooled data version repository is copied as to two, be stored in respectively in described latest data version repository and historical data version repository, simultaneously, the holder in the pooled data version repository is agree deleted;
(7) if more new data of other operators is arranged, continue execution step (3) ~ (6), so circulation, until in described historical data version repository, holder is agree quantity while reaching the maximum quantity that it can deposit, stop the operation of Petri net.
In the process of carrying out in the arbitrary step in (4) ~ (6), if the more different pieces of information in new database of other operators is arranged, when last operator continues to carry out its data manipulation step, other operators start execution step (3) ~ (6), if the more identical data in new database of other operators is arranged, to execute to submit to after upgrading transition last operator and start again to perform step (3) ~ (6).
The information that in described versions of data storehouse, holder agree mean comprises: the content of version number, father version number, modification time, modification and modification people, the holder in described operator storehouse is agree information and is comprised: operator's numbering, operator's name and the content that will upgrade.
Produce the Tuo Ken of two different colours in step (4) after triggering renewal operation transition, the Tuo Ken of one of them color is willing the copying of former holder, deposit in described latest data version repository, the holder of another color is agree for Xin Tuoken, deposits in the versions of data storehouse of renewal.
When the versions of data based on the Petri net is controlled model initialization, the information version of display number meaned is agree in the holder in described versions of data storehouse, and all the other information fields are sky.
The beneficial effect that the present invention reaches: (1) the present invention has built a kind of colored Petri network (CPN) simulated data Version Control process, agree mean the different editions of data with the holder of different colours, in the Data Control process, when the operator being arranged more during new data, the trigger source transition, make the operator storehouse obtain operator's information, then upgrade the operation transition by triggering, produce new versions of data, and submit to and upgrade transition by triggering, the latest data version of formation is left in the latest data version repository, if judgement has redundant data, can trigger redundancy and merge transition, trigger again after redundant data is merged and submit to the renewal transition that data are stored, effectively solved the problem merged in the versions of data renewal process, guaranteed the integrality of data,
(2) asoperator 1 when database is operated, if also new database more of operator 2 is arranged, if operator 2 is different from the data thatoperator 1 revises, continue the trigger source transition, the operator storehouse regains operator 2 information, nowoperator 1 continues to carry out process afterwards, operator 2 is after the data in database are upgraded, what in the latest data version repository, finally deposit is exactly the versions of data that operator's 2 final updatings are crossed, if operator 2 is identical with the data thatoperator 1 will revise, the data that operator 2 will reviseoperator 1 so just can be carried out its data updating process after submitting to, the inconsistent problem of database with regard to having avoided causing due to the concurrent Update Table of many people like this.
The accompanying drawing explanation
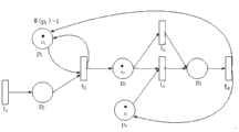
Fig. 1 is the colored Petri net model that versions of data of the present invention is controlled;
Fig. 2 is colored Petri network initialization model of the present invention;
Fig. 3 is the colored Petri net model after triggering for generating operation transition;
Fig. 4 is the colored Petri net model after the present invention triggers renewal operation transition;
Fig. 5 is that the present invention triggers the colored Petri net model copied after transition or the transition of redundant data versions merging;
Fig. 6 is that the present invention triggers the colored Petri net model after transition are upgraded in submission.
Embodiment
Below in conjunction with accompanying drawing, the present invention will be further described in detail.
The colored Petri network ∑ that the present invention sets upcPN=(P, T, F, M, D, C, I, G, K) controls model for building versions of data, and it is defined as follows:
(1) P={p1, p2, p3, p4, p5}, P be storehouse finite set;
(2) T={t1, t2, t3, t4, t5}, T is the finite set of transition;
(3) F=(P * T) ∪ (T * P) is directed arc set in net;
(4) D is color set;
(5) C:P ∪ T → ψ (D), the power set that ψ (D) is color set D;
(6) M:P → DMS, be the sign of net, and the multiset on color set is agree in the holder in sign component Mi (p) the library representation P of institute under sign Mi, and M0 is initial marking;
(7) G: function is escorted in transition, G:T → expression formula;
(8) I is the weight function on F, and I:F → DMS determines the willing variation of transition generation butt;
(9) K is that P goes up to obtain capacity function, and K:P → { 1,2,3...}, if the p of storehouse institute does not define capacity function, gives tacit consent to K (p)=∞.
As Fig. 1, included operator storehouse, storehouse and versions of data storehouse in the present embodiment Petri pessimistic concurrency control, P1 in figure, P3, P4 and P5 are the versions of data storehouse, and different versions of data storehouses agree mean by the holder of different colours, the storehouse in versions of data storehouse in holder to agree color be C (P1)={ c1, c2cn, c1, c2cn∈ D, cithe different information that means version, a tuple by multiparameter forms, and attribute comprises version number, father version number, running time, the content of operation, mode of operation and operator, P1 means the latest data version repository, for depositing up-to-date versions of data, W in figure (p1)=1 mean this storehouse in holder to agree quantity be 1, P4 means historical data version repository, P4the willing information of middle holder is equivalent to set up a Version Control table in database, records the change information of a series of versions of data, is equivalent to a storage of versions storehouse, convenient consulting later.
P2 is the operator storehouse, and for store data operator's information, the storehouse that wherein means the operator storehouse holds in the palm that to agree color be C (P2)={ m1, m2mn, m1, m2mn∈ D, mimean operator message, comprise data manipulation person's numbering, name and the data content that will upgrade.
T1, t2, t3, t4 and t5 are transition, mean the operation of Update Table version repository or operator storehouse status information, t1for the source transition, the operating personnel's of change data information is provided, t2 is for upgrading the operation transition, and the generation color is ciand cjtwo holders agree, cibe willing the copying of former holder, be convenient to the next update operation, i.e. ci=ci, be stored in P1, cjtuo Ken for new color, be stored in P3.T5for copying of versions of data, t3for the merging of redundant data version, for avoiding conflict, t3right of priority higher than t5, the similar t of change color that the holder of generation is willing2, t4to submit to upgrade operation, G (t when submitting to successfully4)=true, by P5in Tuo Ken be copied into 2, one leaves P in1, one leaves P in4for storage, merge relatively simultaneously.
In figure directive camber line library representation and transition between relation.
Each versions of data storehouse and transition t1, t2, t3, t4and t5implication and the operation change procedure as shown in table 1, in table-direction that ID shows arc points to transition by versions of data storehouse or operator storehouse, versions of data storehouse or operator storehouse are the inputs as transition, mean through these transition, versions of data storehouse or operator storehouse lose the Tuo Ken of the color of corresponding transition, the direction of ID explanation arc is pointed to versions of data storehouse or operator storehouse by transition, versions of data storehouse or operator storehouse are the output as transition, mean through these transition, versions of data storehouse or operator storehouse obtain the Tuo Ken of the color of corresponding transition, F1 and F2 respectively mean a directed arc, but transition herein not necessarily trigger.
Table 1
Figure BDA00002729783100051
As Fig. 2, after setting up the Petri pessimistic concurrency control, it is carried out to initialization operation, making in P1 and P4 has the Tuo Ken that color is C1, means initial basic version, and in P2, P3 and P5, holder is not willing, owing to being the primary data version, the holder in P1 and P4 is agree information other fields except version number and is sky.
As Fig. 3, when having the operator to be operated the data in database, trigger source transition t1, produce a holder and agree m in the P2 of operator storehouse1, the Petri net starts to move according to update rule.
As Fig. 4, when new data more, trigger and upgrade operation transition t2, produce the Tuo Ken of two colors, one is c1, be willing the copying of former holder, be stored in p1, another is Xin Tuoken c2, be stored in p3, while p2in holder agree m1deleted.
As Fig. 5, if data, in the continuous renewal process, have been stored a plurality of versions of data in P4, at first to, by relatively judging whether to need to merge to remove the redundant data version, if necessary, trigger transition t3, store the Tuo Ken of the versions of data after merging into p5in, and transition t5do not occur.In the present embodiment, p4in there is no unnecessary versions of data, do not need merge to remove the operation of redundant data version, therefore, transition t3transition t does not occur5p occurs3in holder agree c2the simple p that copies to5, now, p1and p4in Tuo Ken remain unchanged.
As Fig. 6, after Data Update, trigger to submit to and upgrade transition t4, by p5in holder agree c2copy as two, submit to respectively p1and p4, now, p1in original holder agree c1by Xin Tuoken c2replace p4in deposit two holders and agree c1and c2.
Triggering transition t3or transition t5carry out in the process that copies or merge of versions of data, if there are other operators to be upgraded database, and what revise is different data, last operator continues to carry out after, in operation, continues triggering t1transition, continued database is carried out and upgraded operation by a rear operator, and trigger successively by above-mentioned steps, like this, can to database, be modified by a plurality of operators simultaneously.If trigger transition t previous operator3or transition t5before, have other operators to carry out and to upgrade operation database, and that modification is different data, p2can wait until that previous operator executes renewal operation transition t2afterwards, then the information that receives other operators upgrade operation.Along with data are constantly revised, p4in holder agree more and more, M (p4) matrix is increasing, it is that a versions of data is upgraded operation that each holder is agree, until p4in holder agree quantity and reach p4maximum storage the time, this Petri net is out of service.If operator's new data is more again arranged, again the Petri net is carried out to initialization.
But, if other operators and last operator modify to data identical in database, after a rear operator will wait until that last operator submits renewal to, could trigger and upgrade operation transition t2, like this, a rear operator is when modifying to identical data, and a upper up-to-date versions of data has stored p into1in, the versions of data that this operator uses is exactly this up-to-date versions of data.
Above embodiment is the non-limiting technical scheme of the present invention in order to explanation only; although with reference to above-described embodiment, the present invention is had been described in detail; those of ordinary skill in the art is to be understood that; any modification that the present invention is carried out or be equal to replacement; and do not break away from the spirit and scope of the present invention, all should be within protection scope of the present invention.

Claims (5)

Translated fromChinese
1.一种数据版本控制方法,其特征在于,步骤如下:1. A data version control method, characterized in that the steps are as follows:(1)建立基于有色Petri网的数据版本控制模型,该Petri网的库所包括数据版本库和操作员库,所述数据版本库包括最新数据版本库、历史数据版本库、更新的数据版本库和合并数据版本库,且不同的数据版本库由不同颜色的托肯来表示,所述最新数据版本库只能存放一个最新数据版本的托肯,所述历史数据版本库可以存放多个更新过的数据版本的托肯,所述托肯存放于Petri网的库所中,用于根据其动态变化表示库所中数据版本的状态;(1) Establish a data version control model based on the colored Petri net, the repository of the Petri net includes a data version library and an operator library, and the data version library includes the latest data version library, historical data version library, updated data version library and the merged data version library, and different data version libraries are represented by tokens of different colors, the latest data version library can only store one token of the latest data version, and the historical data version library can store multiple updated The Token of the data version, which is stored in the repository of the Petri network, is used to represent the state of the data version in the repository according to its dynamic changes;(2)对步骤(1)中建立的模型进行初始化,使最新数据版本库和历史数据版本库各获得一个颜色相同的托肯,该托肯表示的是目前最新数据版本的信息,其他数据版本库为空;(2) Initialize the model established in step (1), so that the latest data version library and the historical data version library each obtain a Token of the same color, which represents the information of the latest data version, and other data versions library is empty;(3)当有操作员准备更新数据时,触发源变迁,使操作员库得到一个表示操作员信息的托肯;(3) When an operator is ready to update the data, the source transition is triggered, so that the operator library gets a Token representing the operator information;(4)当操作员更新数据时,触发更新操作变迁,并根据操作员库中的托肯信息和最新数据版本库中的托肯信息,产生一个表示更新后的数据版本信息的托肯存放在更新的数据版本库中,同时,操作员库中的托肯被删除;(4) When the operator updates the data, the update operation transition is triggered, and according to the Token information in the operator library and the Token information in the latest data version library, a Token representing the updated data version information is generated and stored in In the updated data version library, at the same time, the Token in the operator library is deleted;(5)根据更新的数据版本库和历史数据版本库中的托肯信息,判断是否需要合并去除冗余数据版本操作,如果需要,则触发冗余数据版本合并变迁,将更新的数据版本库和历史数据版本库进行合并,并将合并后产生的表示合并数据版本信息的托肯存放在合并数据版本库,如果不需要,则触发复制变迁,将步骤(3)中得到的更新的数据版本库中的托肯复制到合并数据版本库中,同时,更新的数据版本库中的托肯被删除;(5) According to the Token information in the updated data version library and the historical data version library, it is judged whether it is necessary to merge and remove redundant data versions. The historical data version library is merged, and the Token representing the merged data version information generated after the merger is stored in the merged data version library. If not needed, the replication transition is triggered, and the updated data version library obtained in step (3) is Tokens in the merged data repository are copied to the merged data repository, and Tokens in the updated data repository are deleted;(6)触发提交更新变迁,将合并数据版本库中的托肯复制为两个,分别存放到所述最新数据版本库和历史数据版本库中,同时,合并数据版本库中的托肯被删除;(6) Trigger the submission of the update transition, copy the Token in the merged data version library into two, and store them in the latest data version library and the historical data version library respectively. At the same time, the Token in the merged data version library is deleted ;(7)若有其他操作员要更新数据,则继续执行步骤(3)~(6),如此循环,直到所述历史数据版本库中托肯数量达到它能存放的最大数量时,终止Petri网的运行。(7) If other operators want to update the data, continue to perform steps (3)~(6), and so on, until the number of Tokens in the historical data version library reaches the maximum number it can store, the Petri network is terminated running.2.根据权利要求1所述的方法,其特征在于,在(4)~(6)任一步骤执行的过程中,若有其他操作员要更新数据库中的不同数据,则在前一操作员继续执行其数据操作步骤的同时,其他操作员开始执行步骤(3)~(6),若有其他操作员要更新数据库中的相同数据,则要在前一操作员执行完提交更新变迁之后再开始执行步骤(3)~(6)。2. The method according to claim 1, characterized in that, during the execution of any step (4)~(6), if other operators want to update different data in the database, the previous operator While continuing to perform its data operation steps, other operators start to perform steps (3)~(6). If other operators want to update the same data in the database, they must submit the update transition after the previous operator completes the execution. Start to execute steps (3)~(6).3.根据权利要求1所述的方法,其特征在于,所述数据版本库中托肯表示的信息包括:版本号、父版本号、修改时间、修改的内容和修改人,所述操作员库中的托肯信息包括:操作员编号、操作员姓名和要更新的内容。3. The method according to claim 1, wherein the information represented by Token in the data version library includes: version number, parent version number, modification time, modified content and modification person, and the operator library The token information in includes: operator number, operator name and content to be updated.4.根据权利要求1所述的方法,其特征在于,步骤(4)中触发更新操作变迁后产生两个不同颜色的托肯,其中一个颜色的托肯是原托肯的复制,存放于所述最新数据版本库中,另一个颜色的托肯为新托肯,存放于更新的数据版本库中。4. The method according to claim 1, characterized in that two tokens of different colors are generated after the update operation transition is triggered in step (4), and one of the tokens of one color is a copy of the original token, which is stored in the In the latest data version database mentioned above, the token of another color is the new token, which is stored in the updated data version database.5.根据权利要求3所述的方法,其特征在于,基于Petri网的数据版本控制模型初始化时,所述数据版本库中的托肯表示的信息只显示版本号,其余信息字段均为空。5. The method according to claim 3, wherein, when the data version control model based on Petri net is initialized, the information represented by the Token in the data version library only shows the version number, and all the other information fields are empty.
CN201310011230.3A2013-01-112013-01-11A kind of data version control methodActiveCN103092947B (en)

Priority Applications (1)

Application NumberPriority DateFiling DateTitle
CN201310011230.3ACN103092947B (en)2013-01-112013-01-11A kind of data version control method

Applications Claiming Priority (1)

Application NumberPriority DateFiling DateTitle
CN201310011230.3ACN103092947B (en)2013-01-112013-01-11A kind of data version control method

Publications (2)

Publication NumberPublication Date
CN103092947Atrue CN103092947A (en)2013-05-08
CN103092947B CN103092947B (en)2016-08-24

Family

ID=48205512

Family Applications (1)

Application NumberTitlePriority DateFiling Date
CN201310011230.3AActiveCN103092947B (en)2013-01-112013-01-11A kind of data version control method

Country Status (1)

CountryLink
CN (1)CN103092947B (en)

Cited By (5)

* Cited by examiner, † Cited by third party
Publication numberPriority datePublication dateAssigneeTitle
CN108733743A (en)*2018-03-232018-11-02山东昭元信息科技有限公司A kind of time series database version management implementing method based on time shaft
CN109358898A (en)*2018-10-242019-02-19网易(杭州)网络有限公司A kind of information processing method, device, electronic equipment and storage medium
CN110245149A (en)*2019-06-252019-09-17北京明略软件系统有限公司 Metadata version management method and device
CN115221165A (en)*2022-06-012022-10-21阿里巴巴(中国)有限公司Metadata storage method and device and metadata query method and device
CN117434883A (en)*2023-11-132024-01-23中国电力工程顾问集团有限公司Visual management method and device for PLC program version

Citations (2)

* Cited by examiner, † Cited by third party
Publication numberPriority datePublication dateAssigneeTitle
JP2001301115A (en)*2000-04-252001-10-30Dainippon Printing Co Ltd Color plate management method and color plate management system for multicolor printed matter
CN101630253A (en)*2009-07-212010-01-20任爱华Method for developing concurrent software based on object-oriented Petri network and system thereof

Patent Citations (2)

* Cited by examiner, † Cited by third party
Publication numberPriority datePublication dateAssigneeTitle
JP2001301115A (en)*2000-04-252001-10-30Dainippon Printing Co Ltd Color plate management method and color plate management system for multicolor printed matter
CN101630253A (en)*2009-07-212010-01-20任爱华Method for developing concurrent software based on object-oriented Petri network and system thereof

Non-Patent Citations (1)

* Cited by examiner, † Cited by third party
Title
赵超 等: "基于CPN的数据版本控制建模与研究", 《物流技术》*

Cited By (8)

* Cited by examiner, † Cited by third party
Publication numberPriority datePublication dateAssigneeTitle
CN108733743A (en)*2018-03-232018-11-02山东昭元信息科技有限公司A kind of time series database version management implementing method based on time shaft
CN108733743B (en)*2018-03-232021-04-23山东昭元信息科技有限公司 A Time-series Database Version Management Implementation Method Based on Timeline
CN109358898A (en)*2018-10-242019-02-19网易(杭州)网络有限公司A kind of information processing method, device, electronic equipment and storage medium
CN109358898B (en)*2018-10-242022-09-13网易(杭州)网络有限公司Information processing method and device, electronic equipment and storage medium
CN110245149A (en)*2019-06-252019-09-17北京明略软件系统有限公司 Metadata version management method and device
CN115221165A (en)*2022-06-012022-10-21阿里巴巴(中国)有限公司Metadata storage method and device and metadata query method and device
CN115221165B (en)*2022-06-012025-09-26阿里巴巴(中国)有限公司 Metadata storage method and device, metadata query method and device
CN117434883A (en)*2023-11-132024-01-23中国电力工程顾问集团有限公司Visual management method and device for PLC program version

Also Published As

Publication numberPublication date
CN103092947B (en)2016-08-24

Similar Documents

PublicationPublication DateTitle
CN108475271B (en)Application container of container database
US10572551B2 (en)Application containers in container databases
US10452646B2 (en)Deploying changes in a multi-tenancy database system
Harbi et al.Accelerating SPARQL queries by exploiting hash-based locality and adaptive partitioning
US8527460B2 (en)Method for carrying out database version control
US10664461B2 (en)Large content file optimization
CN103092947A (en) A data version control method
CN104239439A (en)Selective database replication
CA2726413A1 (en)Design of an assembly modeled by a graph
CN109189778A (en)A kind of method of online modification database table structure
TW201029393A (en)Atomic multiple modification of data in a distributed storage system
CN106547811A (en)The distributed merging of data set
US11860892B2 (en)Offline index builds for database tables
EP4189914B1 (en)Using multiple blockchains for applying transactions to a set of persistent data objects in persistent storage systems
Swierstra et al.The semantics of version control
CN108369601A (en)Promotion attribute in relational structure data
CN113366431A (en)Change set conflict change base
CN119396558B (en) A data migration and upgrade method based on multi-node parallelism
US8121882B2 (en)Standard process and resource reference and instance
US9569461B2 (en)Distributed data authority system
US20130346432A1 (en)Shared data with relationship information
JP7416768B2 (en) Methods, apparatus and systems for non-destructively upgrading distributed coordination engines in distributed computing environments
KR101989074B1 (en)Migration based on replication log in database sharding environment
JP2011522337A (en) Method of synchronizing software modules of computer system distributed to server cluster, application to synchronization system and data storage
KR101623631B1 (en)Cache memory structure and method

Legal Events

DateCodeTitleDescription
C06Publication
PB01Publication
C10Entry into substantive examination
SE01Entry into force of request for substantive examination
C14Grant of patent or utility model
GR01Patent grant

[8]ページ先頭

©2009-2025 Movatter.jp