Movatterモバイル変換


[0]ホーム

URL:


CN103021176B - Discriminating method based on section detector for urban traffic state - Google Patents

Discriminating method based on section detector for urban traffic state
Download PDF

Info

Publication number
CN103021176B
CN103021176BCN201210507080.0ACN201210507080ACN103021176BCN 103021176 BCN103021176 BCN 103021176BCN 201210507080 ACN201210507080 ACN 201210507080ACN 103021176 BCN103021176 BCN 103021176B
Authority
CN
China
Prior art keywords
traffic
section
speed
congestion index
interval
Prior art date
Legal status (The legal status is an assumption and is not a legal conclusion. Google has not performed a legal analysis and makes no representation as to the accuracy of the status listed.)
Expired - Fee Related
Application number
CN201210507080.0A
Other languages
Chinese (zh)
Other versions
CN103021176A (en
Inventor
王殿海
付凤杰
金盛
马东方
汤月华
Current Assignee (The listed assignees may be inaccurate. Google has not performed a legal analysis and makes no representation or warranty as to the accuracy of the list.)
Zhejiang University ZJU
Original Assignee
Zhejiang University ZJU
Priority date (The priority date is an assumption and is not a legal conclusion. Google has not performed a legal analysis and makes no representation as to the accuracy of the date listed.)
Filing date
Publication date
Application filed by Zhejiang University ZJUfiledCriticalZhejiang University ZJU
Priority to CN201210507080.0ApriorityCriticalpatent/CN103021176B/en
Publication of CN103021176ApublicationCriticalpatent/CN103021176A/en
Application grantedgrantedCritical
Publication of CN103021176BpublicationCriticalpatent/CN103021176B/en
Expired - Fee Relatedlegal-statusCriticalCurrent
Anticipated expirationlegal-statusCritical

Links

Images

Landscapes

Abstract

Translated fromChinese

本发明公开了一种基于断面检测器的城市道路交通状态判别方法。现有交通状态判别方法的精度和可靠性较低。本发明是以交通流量、速度、时间占有率这三项交通流参数构造一个综合拥堵评价指标,即交通拥堵指数,利用交通拥堵指数对路段交通状态进行判别。本发明提出的交通状态判别方法包括信息发布间隔内断面交通流数据获取的步骤交通流参数平滑的步骤、速度拥堵指数和占有率拥堵指数计算的步骤、临界速度拥堵指数计算的步骤、交通拥堵指数计算的步骤、路段交通状态判别的步骤。本发明基于路段上某一个检测断面的交通信息,综合考虑多种交通流参数,自动判别该路段所处交通状态,同时采用尽量少的判别阈值并充分利用现有资源,易于工程实现。

The invention discloses a method for judging urban road traffic state based on a section detector. The accuracy and reliability of existing traffic state discrimination methods are low. The present invention constructs a comprehensive congestion evaluation index, that is, a traffic congestion index, based on three traffic flow parameters of traffic flow, speed and time occupancy, and uses the traffic congestion index to judge the traffic state of a road section. The traffic state discrimination method proposed by the present invention includes the steps of obtaining cross-section traffic flow data in the information release interval, the step of smoothing traffic flow parameters, the step of calculating speed congestion index and occupancy congestion index, the step of calculating critical speed congestion index, and the step of traffic congestion index. Calculation steps and road section traffic state judgment steps. Based on the traffic information of a certain detection section on the road section, the present invention comprehensively considers various traffic flow parameters, automatically judges the traffic state of the road section, adopts as few judgment thresholds as possible and fully utilizes existing resources, and is easy to implement in engineering.

Description

Urban road traffic state method of discrimination based on section detecting device
Technical field
The present invention relates to a kind of urban road traffic state method of discrimination based on section detecting device, for urban traffic control and management, belong to intelligent transportation research field.
Background technology
Road traffic state is carried out to scientific and reasonable estimation, can provide dynamic decision foundation for traffic administration person and traffic participant, the benign development of induction urban transportation.
The at present differentiation of urban road traffic state is mainly taking floating car data as foundation, taking video monitoring and artificial observation for supplementary.As the current only taxi that can support large-scale application floating vehicle data acquisition source, it itself is also a kind of commerial vehicle, cabin factor and bus dispatching rate in the different periods are widely different, and often concentrate on the concentrated region of public activity and important passenger traffic passage, this ride characteristic can have influence on Floating Car sample size and the counting accuracy for calculating section travel speed; Because video monitoring resource is very limited, human factor is larger on the impact of artificial observation and video monitoring result, and therefore the precision of existing traffic state judging method and reliability are lower.Existing traffic state judging method is unique foundation of differentiating mainly with speed simultaneously, and stability and reliability requirement to speed data are higher, and time occupancy is also a key factor weighing traffic behavior.Therefore setting up one is very urgent based on urban road traffic state method of discrimination section detecting device and time of fusion occupation rate.
Summary of the invention
The object of the present invention is to provide a kind of urban road traffic state method of discrimination based on section detecting device.The basic thought of the method is with the magnitude of traffic flow, speed, these three the traffic flow parameter structure evaluation index of comprehensively blocking up---traffic congestion indexes of time occupancy, utilizes traffic congestion index to differentiate section traffic behavior.For achieving the above object, the traffic state judging method that the present invention proposes comprises that information issues section traffic flow data obtains in interval level and smooth step, the speed of step traffic flow parameter block up exponential sum occupation rate block up step, critical velocity that index calculates the block up step that index calculates, the step of traffic congestion index calculating, the step of road section traffic volume condition discrimination.
The traffic state judging method that the present invention proposes, the laying situation that has comprised three kinds of section detecting devices: there is one group of section detecting device traffic state judging, have many group detecting device traffic state judgings, sensorless traffic state judging.
Having one group of section detecting device traffic state judging is a kind of urban road traffic state method of discrimination, differentiate section and only have one group of detecting device, each issue obtains traffic flow data by detecting device in interval, determine traffic congestion index, according to predefined traffic congestion index ranking interval, judge traffic behavior.
Having many group section detecting device traffic state judgings is to differentiate section to have many group detecting devices, according to the each group of detector location COMPREHENSIVE CALCULATING road section traffic volume index that blocks up, according to predefined traffic congestion index ranking interval, carries out traffic behavior judgement.
Sensorless traffic state judging is the one that urban road traffic state is differentiated, and differentiating section does not have detecting device, according to the traffic behavior of upstream and downstream line, realizes the traffic state judging in this section by setting upstream and downstream traffic behavior weight.
The basic step of this method is as follows:
C1, from each track, in each section detecting device, obtain these three traffic flow parameters of the magnitude of traffic flow, speed and time occupancy in this this track of detection section according to the pre-determined sampling interval time; Then obtain the magnitude of traffic flow, speed and time occupancy that information issue interval characterizes this this track traffic stream characteristics of detection section; Traffic flow parameter is carried out to pre-service, and the information that obtains is issued interval and is characterized the magnitude of traffic flow, speed and the time occupancy of this detection section traffic stream characteristics.
C2, traffic flow parameter level and smooth.
C3, according to the pretreated traffic flow parameter computing velocity exponential sum occupation rate index that blocks up that blocks up.
C4, according to dividing the critical velocity corresponding to the critical speed calculation of the category of roads index that blocks up.
C5, calculate according to the speed exponential sum occupation rate index that blocks up that blocks up index---the traffic congestion index that comprehensively blocks up.
C6, the critical velocity obtaining according to the step c4 traffic congestion index that exponential sum c5 obtains that blocks up judges section traffic behavior.
The process of obtaining arithmetic for real-time traffic flow parameter in step c1 comprises:
C11, determine the section of required detection and section section Loop detector layout situation.
C12, specified data sampling interval: choosing sampling interval is 1 minute.
C13, by the magnitude of traffic flow, speed and time occupancy data on every track in each sampling interval of ring section detector acquisition.
C14, the magnitude of traffic flow, speed and time occupancy data by every track in each sampling interval calculate each information and issue the magnitude of traffic flow, speed and the time occupancy data on Nei Meitiao track, interval.
C15, the each track arithmetic for real-time traffic flow parameter obtaining in step c14 is carried out to pre-service, obtain characterizing the traffic flow parameter of this detection section.
In step c13, for the each section detecting device on every track, obtain the magnitude of traffic flow and the time occupancy in corresponding track, and the speed of each car;
From section detecting device, obtaining traffic flow parameter specifically comprises:
C131, obtain traffic flow parameter;
In each sampling interval, the magnitude of traffic flow is passed through the vehicle number of this section detecting device in one minute, and unit is veh;
Figure 2012105070800100002DEST_PATH_IMAGE001
In formula:i---of this sectionibar track;
k---thekindividual sampling interval;
n---in sampling interval by the of this section detecting devicencar;
---thekindividual sampling intervalion bar track, pass through the vehicle number of this section detecting device;
Figure 2012105070800100002DEST_PATH_IMAGE003
---thekindividual sampling intervalithe magnitude of traffic flow in bar track;
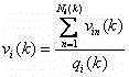
C132, acquisition speed parameter;
In each sampling interval, average velocity passes through the average velocity of all vehicles of this section detecting device in one minute, and unit is km/h;
Figure 761295DEST_PATH_IMAGE004
In formula:
Figure 2012105070800100002DEST_PATH_IMAGE005
---thekindividual sampling intervalithe average velocity of bar track vehicle.
Figure 685258DEST_PATH_IMAGE006
---thenthe car speed during by section detecting device;
C133, acquisition time occupation rate parameter;
In each sampling interval, time occupancy takies the T.T. of detecting device and the number percent of 1 minute by all vehicles of this section detecting device in one minute.
Figure 2012105070800100002DEST_PATH_IMAGE007
In formula:
Figure 333277DEST_PATH_IMAGE008
---thencar occupies the time of detecting device during by section detecting device;
Figure 2012105070800100002DEST_PATH_IMAGE009
---thekindividual sampling intervalithe occupation rate in bar track;
The abnormal data that needs to reject each track section detecting device in step c14, can adopt threshold value screening method, rejects the magnitude of traffic flow, speed and the time occupancy data that exceed certain threshold value; Then also need that the qualified data information of carrying out is issued to interval data synthetic, obtain each information and issue the magnitude of traffic flow, speed and the time occupancy data on Nei Meitiao track, interval, detailed step is as follows:
C141, each information are issued the traffic flow parameter processing on Nei Meitiao track, interval;
In issue interval, the magnitude of traffic flow is issued in interval and is passed through the vehicle number of this section detecting device, and unit is veh, that is:
Figure 890684DEST_PATH_IMAGE010
In formula:k---thekindividual sampling interval,
Figure 2012105070800100002DEST_PATH_IMAGE011
;
m---information is issued interval,m=1,2,3,4,5,10,15 ... Deng;
---theibar lane information is issued the flow in interval;
C142, each information are issued the speed parameter processing on Nei Meitiao track, interval;
Issuing average velocity in interval is, the weighted mean value of each sampling interval average velocity, and taking the flow of each sampling interval as weight, unit is km/h, that is:
In formula:
Figure 469750DEST_PATH_IMAGE014
---theibar lane information is issued the average velocity in interval.
C143, each information are issued the time occupancy parameter processing on Nei Meitiao track, interval
In issue interval, time occupancy is got the mean value of each sampling interval time occupancy, that is:
Figure 2012105070800100002DEST_PATH_IMAGE015
In formula:
Figure 237855DEST_PATH_IMAGE016
---theibar lane information is issued the occupation rate in interval;
5. the traffic flow parameter of in step c15, each information being issued on Nei Meitiao track, interval synthesizes, and obtains the corresponding section magnitude of traffic flow, time occupancy and speed;
C151, the processing of section traffic flow parameter;
Section flow is to issue in interval to pass through the vehicle number of this section, i.e. each track flow sum, and unit is veh, that is:
Figure 2012105070800100002DEST_PATH_IMAGE017
In formula:j---thejindividual information is issued interval;
Figure 697655DEST_PATH_IMAGE018
---thejindividual information is issued the section flow at interval;
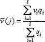
C152, the processing of section speed parameter
Section speed is the weighted mean value of track average velocity, and taking track flow as weight, unit is km/h, that is:
Figure DEST_PATH_IMAGE019
In formula:
Figure 616457DEST_PATH_IMAGE020
---thejindividual information is issued the velocity amplitude at interval.
C152, the processing of section time occupancy parameter;
Section time occupancy is the mean value of Ratio of driveway occupancy time, that is:
Figure 2012105070800100002DEST_PATH_IMAGE021
In formula:---thejindividual information is issued interlude occupation rate.
Step c2 detects to reality the profile data obtaining and carries out smoothing processing, and the stability of guarantee system operation, reduces the interference of enchancement factor, and the continuity and the stability that keep traffic behavior to issue, be calculated as follows in detail:
Figure 2012105070800100002DEST_PATH_IMAGE023
Figure 255566DEST_PATH_IMAGE024
In formula:---the after level and smoothjindividual information is issued time occupancy in interval;
Figure 214164DEST_PATH_IMAGE026
---the after level and smoothjindividual information is issued velocity amplitude in interval;
Figure 102485DEST_PATH_IMAGE018
---thejindividual information is issued the section flow in interval;
Figure 171941DEST_PATH_IMAGE022
---thejindividual information is issued the time occupancy in interval;
Figure 524425DEST_PATH_IMAGE020
---thejindividual information is issued the speed in interval;
β---smoothing factor, hasβ1,β2,β3.
Step c3 is normalized traffic flow data, the speed of the obtaining exponential sum time occupancy index that blocks up that blocks up, and detailed step is as follows.
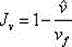
The c31 speed index that blocks up;
Suppose that the block up relation of index of speed and speed is linear, and the minimum value of speed (0) and maximal value (
Figure DEST_PATH_IMAGE027
) the corresponding speed index that blocks up is respectively 1,0.The block up computing formula of index of speed is:
Figure 594537DEST_PATH_IMAGE028
In formula:jv---the speed index that blocks up;
---free stream velocity;
Figure DEST_PATH_IMAGE029
---the section speed after level and smooth.
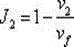
The c32 time occupancy index that blocks up;
Time occupancy and the time occupancy index that blocks up is linear, the minimum value (0) of time occupancy and maximal value (
Figure 577722DEST_PATH_IMAGE030
) the corresponding speed index that blocks up is respectively 0,1.The block up computing formula of index of time occupancy is as follows:
Figure DEST_PATH_IMAGE031
In formula:jo---the time occupancy index that blocks up;
Figure 174926DEST_PATH_IMAGE030
---the historical maximal value of time occupancy;
---the section time occupancy after level and smooth.
Step c4 is according to the critical velocity value of urban road grade classification
Figure DEST_PATH_IMAGE033
,
Figure 338240DEST_PATH_IMAGE034
urban road traffic state is divided into block up, slow and unimpeded three grades, according to critical velocity value
Figure 500231DEST_PATH_IMAGE033
,calculate the corresponding critical velocity index that blocks up:
Figure 273508DEST_PATH_IMAGE036
In formula:j1,j2---the critical value that traffic behavior changes;
Figure 810668DEST_PATH_IMAGE033
,
Figure 966231DEST_PATH_IMAGE034
---the critical velocity that traffic behavior is divided;
vf---free stream velocity.
The step c5 fusion speed exponential sum time occupancy index that blocks up that blocks up, sets up the comprehensive index of blocking up---traffic congestion index, and detailed step is as follows:
Mono-group of detecting device section of c51
Figure DEST_PATH_IMAGE037
In formula,j---the composite target of traffic state judging, is called traffic congestion index;
jv---the speed index that blocks up;
jo---the time occupancy index that blocks up;
η---the weight coefficient of speed index and time occupancy index, value is 0-1, system can be defaulted as 0.5, and adjusts according to actual conditions.
C52 organizes detecting device section more
While there is many group section detecting devices, need to carry out comprehensive distinguishing and calculate according to the position of section detecting device the traffic congestion index of line.
Figure 210130DEST_PATH_IMAGE038
In formula:jdi---detecting deviceitraffic congestion index;
ldi---detecting deviceito the distance of its downstream detector;
ld1---the distance apart from the nearest detecting device of downstream stop line apart from stop line.
C53 is without detecting section
When upstream and downstream section equal sensorless, this road section traffic volume state is grey, unknown.
Upstream or downstream are provided with detecting device, and this road section traffic volume state above downstream road section traffic behavior is foundation, utilize upstream and downstream traffic congestion index to calculate the traffic congestion index in this section.
Figure DEST_PATH_IMAGE039
(18)
In formula:jup---the traffic congestion index of upstream detector;
jdown---the traffic congestion index of downstream detector;
Figure 711388DEST_PATH_IMAGE040
---the weight coefficient of upstream and downstream detecting device traffic congestion index, in the time of downstream road section sensorless,
Figure DEST_PATH_IMAGE041
; In the time of the sensorless of section, upstream,
Figure 676457DEST_PATH_IMAGE042
; When upstream and downstream all has detecting device,.
Step c6 has considered the problem of processing at the critical localisation of traffic behavior variation, the credibility interval that adopts traffic behavior to change.Definition ± Δjfor the normal fluctuation interval of state variation, the detailed step of traffic state judging is as follows.
If c61jin individual issue interval, when traffic behavior is red, judgej+1issue interval traffic state judging according to being:
1. work as
Figure 554152DEST_PATH_IMAGE044
time, traffic behavior is red;
2. work as
Figure DEST_PATH_IMAGE045
time, traffic behavior is yellow;
3. work astime, traffic behavior is green.
If c62jin individual issue interval, when traffic behavior is yellow, judge thej+1issue interval traffic state judging according to being:
1. work as
Figure DEST_PATH_IMAGE047
time, traffic behavior is red;
2. at that time, traffic behavior was yellow;
3. work astime, traffic behavior is green.
If c63jin individual issue interval, when traffic behavior is green, judgej+1issue interval traffic state judging according to being:
1. work as
Figure DEST_PATH_IMAGE051
time, traffic behavior is red;
2. work as
Figure DEST_PATH_IMAGE053
time, traffic behavior is yellow;
3. work as
Figure DEST_PATH_IMAGE055
time, traffic behavior is green.
In above-mentioned rule, Δj1with Δj2value need to be according to actual conditions setting.
Beneficial effect of the present invention: the transport information that the present invention is based on some detection sections on section, consider multiple traffic flow parameter, this section of automatic discrimination traffic behavior of living in, the method adopts and tries one's best few discrimination threshold and make full use of existing resource simultaneously, is easy to Project Realization.
Brief description of the drawings
Fig. 1 is traffic state judging method flow diagram;
Fig. 2 is speed and the speed number mark relation curves that block up;
Fig. 3 is time occupancy and the time occupancy exponential relationship curve that blocks up;
Fig. 4 is line Loop detector layout schematic diagram;
Fig. 5 is traffic state judging.
Embodiment
Below in conjunction with accompanying drawing, the present invention will be described in detail, and as shown in Figure 1, concrete steps of the present invention are:
Step 1 is obtained track sampling interval data:
Certain sectioniin the sampling interval of bar track, the computing formula of flow, average velocity and time occupancy is as follows:
Figure DEST_PATH_IMAGE057
(1)
(2)
(3)
In formula:i---of this sectionibar track;
k---thekindividual sampling interval;
n---in sampling interval by the of this section detecting devicencar;
Figure DEST_PATH_IMAGE063
---thekindividual sampling intervalion bar track, pass through the vehicle number of this section detecting device;
Figure DEST_PATH_IMAGE065
---thencar occupies the time of detecting device during by section detecting device;
Figure DEST_PATH_IMAGE067
---thenthe car speed during by section detecting device;
Figure DEST_PATH_IMAGE069
---thekindividual sampling intervalithe flow in bar track;
---thekindividual sampling intervalithe occupation rate in bar track;
Figure DEST_PATH_IMAGE073
---thekindividual sampling intervalithe average velocity of bar track vehicle.
Step 2 is calculated lane information and is issued interval data:
Suppose that the time interval that information is issued ismminute,m=1,2,3,4,5,10,15 ... Deng,ibar lane information is issued the flow in interval
Figure DEST_PATH_IMAGE075
formthe algebraic sum of individual sampling interval, time occupancy
Figure DEST_PATH_IMAGE077
formthe mean value of individual sampling interval, speedformthe weighted mean value of individual sampling interval, computing formula is as follows.
Figure DEST_PATH_IMAGE081
(4)
Figure DEST_PATH_IMAGE083
(5)
Figure DEST_PATH_IMAGE085
(6)
In formula:k---thekindividual sampling interval,
Figure DEST_PATH_IMAGE087
;
m---information is issued interval,m=1,2,3,4,5,10,15 ... Deng;
---theibar lane information is issued the flow in interval;
Figure DEST_PATH_IMAGE089
---theibar lane information is issued the occupation rate in interval;
Figure 558225DEST_PATH_IMAGE090
---theibar lane information is issued the average velocity in interval.
Step 3 is synthesized section traffic flow data:
Suppose that this detection section haslbar track, the computing formula of section traffic flow data is as follows:
Figure 865710DEST_PATH_IMAGE092
(7)
Figure 756306DEST_PATH_IMAGE094
(8)
Figure 743241DEST_PATH_IMAGE096
(9)
In formula:j---thejindividual information is issued interval;
Figure 289760DEST_PATH_IMAGE098
---thejindividual information is issued the section flow at interval;
Figure 650203DEST_PATH_IMAGE100
---thejindividual information is issued interlude occupation rate;
Figure 598567DEST_PATH_IMAGE102
---thejindividual information is issued the velocity amplitude at interval.
Step 4 is carried out the level and smooth of traffic flow modes parameter:
Section time occupancy and speed adopt following methods to carry out smoothing processing:
Figure 753474DEST_PATH_IMAGE104
(10)
Figure 787289DEST_PATH_IMAGE106
(11)
In formula:
Figure 685844DEST_PATH_IMAGE108
---the after level and smoothjindividual information is issued time occupancy in interval;
---the after level and smoothjindividual information is issued velocity amplitude in interval;
---thejindividual information is issued the section flow in interval;
Figure 743417DEST_PATH_IMAGE112
---thejindividual information is issued the time occupancy in interval;
Figure DEST_PATH_IMAGE113
---thejindividual information is issued the speed in interval;
β---smoothing factor, hasβ1,β2,β3.
Step 5 is determined block up index and interval:
(1) speed index
Suppose that the block up relation of index of speed and speed is linear, as Fig. 2 speed and speed are blocked up as shown in several relation curves.The block up computing formula of index of speed is:
Figure DEST_PATH_IMAGE115
(12)
In formula:jv---the speed index that blocks up;
Figure DEST_PATH_IMAGE117
---free stream velocity;
Figure DEST_PATH_IMAGE119
---the section speed after level and smooth.
(2) the time occupancy index that blocks up
The block up relation curve of index of time occupancy and time occupancy blocks up as shown in exponential relationship curve as Fig. 3 time occupancy and time occupancy, and the block up computing formula of index of time occupancy is as follows:
(13)
In formula:jo---the time occupancy index that blocks up;
Figure DEST_PATH_IMAGE123
---the historical maximal value of time occupancy;
---the section time occupancy after level and smooth.
(3) speed block up index ranking divide
According to practical experience both domestic and external, the division of urban road traffic state should be the travel speed in section according to major parameter.Based on this consideration, the critical velocity value of dividing according to urban road grade and traffic behavior is divided into urban road traffic state and blocks up, slow and unimpeded three grades, as shown in the table.
Table 1 urban road speed divided rank
Figure DEST_PATH_IMAGE127
Can obtain the block up divided rank of index of speed according to the block up normalization formula of index and table 1 of speed, in table 2.
Figure DEST_PATH_IMAGE129
(14)
Figure DEST_PATH_IMAGE131
(15)
In formula:j1,j2---the critical value that traffic behavior changes;
Figure DEST_PATH_IMAGE133
,
Figure DEST_PATH_IMAGE135
---the critical velocity that traffic behavior is divided;
vf---free stream velocity.
The table 2 urban road speed index divided rank of blocking up
Figure DEST_PATH_IMAGE137
Step 6 is set up the comprehensive index of blocking up:
(1) calculate single group detecting device road section traffic volume index that blocks up
Consider the impact of speed and time occupancy, the composite target of setting up traffic state judging is as follows:
Figure DEST_PATH_IMAGE139
(16)
In formula,j---the composite target of traffic state judging, is called traffic congestion index;
jv---the speed index that blocks up;
jo---the time occupancy index that blocks up;
η---the weight coefficient of speed index and time occupancy index, value is 0-1, system can be defaulted as 0.5, and adjusts according to actual conditions.
(2) calculate many group detecting device road section traffic volumes index that blocks up
While there is many group section detecting devices, need to carry out comprehensive distinguishing and calculate according to the position of section detecting device the traffic congestion index of linej.Line Loop detector layout schematic diagram is as shown in Fig. 4 line Loop detector layout schematic diagram.
In figure,xupwithxdownrepresent respectively the coordinate position (with the coordinate replacement of intersection parking line) of upstream and downstream crossing;xd1,xd2,xdi...,xdnrepresent respectively from 1 tonthe coordinate position of individual section detecting device.
The traffic congestion index of line can obtain with the weighting processing of all detecting device traffic congestion indexes in this line, and its computing formula is as follows:
Figure DEST_PATH_IMAGE141
(17)
In formula:jdi---detecting deviceitraffic congestion index;
ldi---detecting deviceito the distance of its downstream detector;
ld1---the distance apart from the nearest detecting device of downstream stop line apart from stop line.
(3) determine without detecting the road section traffic volume index that blocks up
When upstream and downstream section equal sensorless, this road section traffic volume state is grey, unknown.
Upstream or downstream are provided with detecting device, and this road section traffic volume state above downstream road section traffic behavior is foundation, and traffic congestion formula of index is as follows:
Figure DEST_PATH_IMAGE143
(18)
In formula:jup---the traffic congestion index of upstream detector;
jdown---the traffic congestion index of downstream detector;
Figure DEST_PATH_IMAGE145
---the weight coefficient of upstream and downstream detecting device traffic congestion index, in the time of downstream road section sensorless,
Figure DEST_PATH_IMAGE147
; In the time of the sensorless of section, upstream,; When upstream and downstream all has detecting device,
Figure DEST_PATH_IMAGE151
.
Step 7 is carried out traffic state judging:
In the time carrying out traffic state judging, the problem that the critical localisation that needs consideration to change at traffic behavior is especially processed, with the continuous and stable that ensures that traffic behavior changes.Therefore,, in the time carrying out traffic state judging, need to consider the credibility interval of state variation.Definition ± Δjfor the normal fluctuation interval of state variation,jdiscriminate interval can be expressed as traffic state judging figure (Fig. 5).
(1) ifjin individual issue interval, when traffic behavior is red, judgej+1issue interval traffic state judging according to being:
1. work as
Figure DEST_PATH_IMAGE153
time, traffic behavior is red;
2. work as
Figure DEST_PATH_IMAGE155
time, traffic behavior is yellow;
3. work as
Figure 2012105070800100002DEST_PATH_IMAGE156
time, traffic behavior is green.
(2) ifjin individual issue interval, when traffic behavior is yellow, judge thej+1issue interval traffic state judging according to being:
1. work as
Figure 703676DEST_PATH_IMAGE157
time, traffic behavior is red;
2. work astime, traffic behavior is yellow;
3. work as
Figure 66229DEST_PATH_IMAGE156
time, traffic behavior is green.
(3) ifjin individual issue interval, when traffic behavior is green, judgej+1issue interval traffic state judging according to being:
1. work as
Figure 562938DEST_PATH_IMAGE157
time, traffic behavior is red;
2. work as
Figure 2012105070800100002DEST_PATH_IMAGE160
time, traffic behavior is yellow;
3. work astime, traffic behavior is green.
In above-mentioned rule, Δj1with Δj2value need to be according to actual conditions setting.

Claims (10)

Translated fromChinese
1.基于断面检测器的城市道路交通状态判别方法,其特征在于该方法包括以下步骤:1. the urban road traffic state discrimination method based on section detector, it is characterized in that the method comprises the following steps:c1、从各车道上各断面检测器中根据事先确定的采样间隔时间获取检测断面该车道的交通流量、速度和时间占有率这三项交通流参数;继而得到信息发布间隔表征该检测断面该车道交通流特性的交通流量、速度和时间占有率;对交通流参数进行预处理,得到信息发布间隔表征该检测断面交通流特性的交通流量、速度和时间占有率;c1. Obtain the three traffic flow parameters of the traffic flow, speed and time occupancy rate of the lane in the detection section from the detectors of each section on each lane according to the predetermined sampling interval; and then obtain the information release interval to characterize the lane in the detection section The traffic flow, speed and time occupancy rate of the traffic flow characteristics; the traffic flow parameters are preprocessed to obtain the traffic flow, speed and time occupancy rate representing the traffic flow characteristics of the detection section at the information release interval;c2、交通流参数的平滑;c2. Smoothing of traffic flow parameters;c3、根据预处理后的交通流参数计算速度拥堵指数和占有率拥堵指数;c3. Calculate the speed congestion index and occupancy rate congestion index according to the preprocessed traffic flow parameters;c4、根据划分道路等级的临界速度计算对应的临界速度拥堵指数;c4. Calculate the corresponding critical speed congestion index according to the critical speed for dividing road grades;c5、根据速度拥堵指数和占有率拥堵指数计算综合拥堵指标——交通拥堵指数;c5, according to the speed congestion index and the occupancy rate congestion index, calculate the comprehensive congestion index-traffic congestion index;c6、根据步骤c4得到的临界速度拥堵指数和c5得到的交通拥堵指数对路段交通状态进行判断。c6. Judging the road section traffic state according to the critical speed congestion index obtained in step c4 and the traffic congestion index obtained in step c5.2.根据权利要求1所述的基于断面检测器的城市道路交通状态判别方法,其特征在于:步骤c1中获取实时交通流参数的过程包括:2. the urban road traffic state discrimination method based on section detector according to claim 1, is characterized in that: the process of obtaining real-time traffic flow parameters comprises in the step c1:c11、确定所需检测的路段,以及路段断面检测器布设情况;c11. Determine the road section to be detected and the layout of the road section detector;c12、确定数据采样间隔:选取采样间隔为1分钟;c12. Determine the data sampling interval: select the sampling interval as 1 minute;c13、通过环断面检测器获取每一采样间隔内每条车道上的交通流量、速度和时间占有率数据;c13. Obtain the traffic flow, speed and time occupancy data of each lane in each sampling interval through the ring section detector;c14、由每一采样间隔内每条车道上的交通流量、速度和时间占有率数据计算得到每一信息发布间隔内每条车道上的交通流量、速度和时间占有率数据;c14. Calculate the traffic flow, speed and time occupancy data on each lane in each information release interval from the traffic flow, speed and time occupancy data on each lane in each sampling interval;c15、对步骤c14中获得的各车道实时交通流参数进行预处理,得到表征该检测断面的交通流参数。c15. Preprocessing the real-time traffic flow parameters of each lane obtained in step c14 to obtain traffic flow parameters representing the detection section.3.根据权利要求2所述的基于断面检测器的城市道路交通状态判别方法,其特征在于:步骤c13中对于每条车道上的每个断面检测器,获取相应车道的交通流量和时间占有率,以及每辆车的速度;3. the urban road traffic state discrimination method based on section detector according to claim 2, is characterized in that: for each section detector on every lane in the step c13, obtain the traffic flow and the time occupancy rate of corresponding lane , and the speed of each vehicle;从断面检测器中获取交通流参数具体包括:Obtaining traffic flow parameters from section detectors specifically includes:c131、获取交通流量参数;c131. Obtain traffic flow parameters;每一采样间隔内交通流量即一分钟内通过该断面检测器的车辆数,单位为veh;The traffic flow in each sampling interval is the number of vehicles passing through the section detector within one minute, the unit is veh;qi(k)=Ni(k)qi (k)=Ni (k)式中:i——该路段的第i条车道;In the formula: i——the i-th lane of the road section;k——第k个采样间隔;k - the kth sampling interval;n——采样间隔内通过该断面检测器的第n辆车;n——the nth vehicle passing through the section detector within the sampling interval;Ni(k)——第k个采样间隔第i条车道上通过该断面检测器的车辆数;Ni (k)——the number of vehicles passing the cross-section detector on the i-th lane in the k-th sampling interval;qi(k)——第k个采样间隔第i条车道的交通流量;qi (k)——the traffic flow of the i-th lane in the k-th sampling interval;c132、获取速度参数;c132. Get the speed parameter;每一采样间隔内平均速度即一分钟内通过该断面检测器的所有车辆的平均速度,单位为km/h;The average speed in each sampling interval is the average speed of all vehicles passing the section detector within one minute, the unit is km/h;vvii((kk))==ΣΣnno==11NNii((kk))vvinin((kk))qqii((kk))式中:vi(k)——第k个采样间隔第i条车道车辆的平均速度;In the formula: vi (k)——the average speed of the vehicle in the i-th lane at the k-th sampling interval;vin(k)——第n辆车通过断面检测器时的速度;vin (k)——the speed of the nth vehicle passing the section detector;c133、获取时间占有率参数;c133. Obtain the time occupancy parameter;每一采样间隔内时间占有率即一分钟内通过该断面检测器的所有车辆占用检测器的总时间与1分钟的百分比;The time occupancy rate in each sampling interval is the percentage of the total time of all vehicles passing through the cross-section detector within one minute and the percentage of one minute;ooii((kk))==ΣΣnno==11NNii((kk))ttinin((kk))6060式中:tin(k)——第n辆车通过断面检测器时占有检测器的时间;In the formula: tin (k)——the time that the nth vehicle occupies the detector when passing through the section detector;oi(k)——第k个采样间隔第i条车道的占有率。oi (k)——the occupancy rate of the i-th lane in the k-th sampling interval.4.根据权利要求2所述的基于断面检测器的城市道路交通状态判别方法,其特征在于:步骤c14中需剔除各车道断面检测器的异常数据,采用阈值筛选法,即剔除超过一定阈值的交通流量、速度和时间占有率数据;然后对合格数据进行信息发布间隔数据合成,得到每一信息发布间隔内每条车道上的交通流量、速度和时间占有率数据,详细步骤如下:4. the urban road traffic state discriminating method based on section detector according to claim 2, is characterized in that: need to reject the abnormal data of each lane section detector in the step c14, adopts threshold value screening method, promptly rejects exceeding certain threshold value Traffic flow, speed and time occupancy data; and then carry out information release interval data synthesis on qualified data to obtain traffic flow, speed and time occupancy data on each lane in each information release interval, the detailed steps are as follows:c141、每一信息发布间隔内每条车道上的交通流量参数处理c141. Processing of traffic flow parameters on each lane in each information release interval发布间隔内交通流量即发布间隔内通过该断面检测器的车辆数,单位为veh,即:The traffic flow in the release interval is the number of vehicles passing the section detector in the release interval, the unit is veh, that is:qqii==ΣΣkk==11mmqqii((kk))式中:k——第k个采样间隔,k∈(1,m];In the formula: k—the kth sampling interval, k∈(1,m];m——信息发布间隔,m——Information release interval,qi——第i条车道信息发布间隔内的流量;qi ——the flow rate of the i-th lane information release interval;c142、每一信息发布间隔内每条车道上的速度参数处理c142. Speed parameter processing on each lane in each information release interval发布间隔内平均速度为,每个采样间隔平均速度的加权平均值,以每个采样间隔的流量为权重,单位为km/h,即:The average speed in the release interval is the weighted average of the average speed of each sampling interval, with the flow rate of each sampling interval as the weight, and the unit is km/h, that is:vvii==ΣΣkk==11mmvvii((kk))qqii((kk))ΣΣii==11mmqqii((kk))式中:vi——第i条车道信息发布间隔内的平均速度;In the formula: vi ——the average speed of the i-th lane within the information release interval;c143、每一信息发布间隔内每条车道上的时间占有率参数处理c143. Time occupancy parameter processing of each lane in each information release interval发布间隔内时间占有率取每个采样间隔时间占有率的平均值,即:The time occupancy rate in the release interval is the average value of the time occupancy rate of each sampling interval, that is:ooii==11mmΣΣkk==11mmooii((kk))式中:oi——第i条车道信息发布间隔内的占有率。In the formula: oi —— the occupancy rate of the i-th lane within the information release interval.5.根据权利要求2所述的基于断面检测器的城市道路交通状态判别方法,其特征在于:步骤c15中对每一信息发布间隔内每条车道上的交通流参数进行合成,获取相应的断面交通流量、时间占有率和速度;5. the urban road traffic state discrimination method based on section detector according to claim 2, is characterized in that: in the step c15, the traffic flow parameter on each lane in each information release interval is synthesized, obtains corresponding section Traffic flow, time occupancy and speed;c151、断面交通流量参数处理c151, section traffic flow parameter processing断面流量为发布间隔内通过该断面的车辆数,即各个车道流量之和,单位为veh,即:Section flow is the number of vehicles passing through the section within the release interval, that is, the sum of the flow of each lane, the unit is veh, that is:qq‾‾((jj))==ΣΣii==11llqqii式中:j——第j个信息发布间隔;In the formula: j - jth information release interval;
Figure FDA0000457907460000044
——第j个信息发布间隔的断面流量;
Figure FDA0000457907460000044
——the cross-sectional flow of the jth information release interval;c152、断面速度参数处理c152, section velocity parameter processing断面速度为车道平均速度的加权平均值,以车道流量为权重,单位为km/h,即:The section speed is the weighted average of the average lane speed, with the lane flow as the weight, and the unit is km/h, that is:vv‾‾((jj))==ΣΣii==11llvviiqqiiΣΣii==11llqqii式中:
Figure FDA0000457907460000052
——第j个信息发布间隔的速度值;
In the formula:
Figure FDA0000457907460000052
——the speed value of the jth information release interval;
c152、断面时间占有率参数处理c152, section time occupancy parameter processing断面时间占有率为车道时间占有率的平均值,即:The time occupancy rate of the section is the average value of the lane time occupancy rate, namely:oo‾‾((jj))==11llΣΣii==11llooii式中:
Figure FDA0000457907460000054
——第j个信息发布间隔的时间占有率。
In the formula:
Figure FDA0000457907460000054
——the time occupancy rate of the jth information release interval.
6.根据权利要求1所述的基于断面检测器的城市道路交通状态判别方法,其特征在于:步骤c2对实际检测得到的断面数据进行平滑处理,保证系统运行的稳定性,减少随机因素的干扰,保持交通状态发布的连续性与稳定性,详细计算如下:6. The urban road traffic state discrimination method based on the cross-section detector according to claim 1, characterized in that: step c2 smoothes the cross-section data obtained by actual detection to ensure the stability of the system operation and reduce the interference of random factors , to maintain the continuity and stability of traffic status release, the detailed calculation is as follows:oo^^((jj))==ββ11oo‾‾((jj))++ββ22oo‾‾((jj--11))++ββ33oo‾‾((jj--22))ββ11++ββ22++ββ33vv^^((jj))==ββ11qq‾‾((jj))vv‾‾((jj))++ββ22qq‾‾((jj--11))vv‾‾((jj--11))++ββ33qq‾‾((jj--22))vv‾‾((jj--22))ββ11qq‾‾((jj))++ββ22qq‾‾((jj--11))++ββ33qq‾‾((jj--22))式中:
Figure FDA0000457907460000057
——平滑后的第j个信息发布间隔内时间占有率;
In the formula:
Figure FDA0000457907460000057
——the smoothed time occupancy rate in the jth information release interval;
Figure FDA0000457907460000058
——平滑后的第j个信息发布间隔内速度值;
Figure FDA0000457907460000058
——the smoothed speed value in the jth information release interval;
Figure FDA0000457907460000059
——第j个信息发布间隔内的断面流量;
Figure FDA0000457907460000059
——the cross-section flow in the jth information release interval;
Figure FDA00004579074600000510
——第j个信息发布间隔内的时间占有率;
Figure FDA00004579074600000510
——the time occupancy rate in the jth information release interval;
Figure FDA00004579074600000511
——第j个信息发布间隔内的速度;
Figure FDA00004579074600000511
——the speed in the jth information release interval;
β——平滑系数,有β1,β2,β3β——smoothing coefficient, including β1 , β2 , and β3 .
7.根据权利要求1所述的基于断面检测器的城市道路交通状态判别方法,其特征在于:步骤c3将交通流数据进行归一化处理,得到速度拥堵指数和时间占有率拥堵指数,详细步骤如下;7. the urban road traffic state discrimination method based on section detector according to claim 1, is characterized in that: step c3 carries out normalization process with traffic flow data, obtains speed congestion index and time occupancy ratio congestion index, detailed steps as follows;c31速度拥堵指数c31 speed congestion index假定速度与速度拥堵指数的关系呈线性关系,且速度的最小值(0)和最大值(vf)对应速度拥堵指数分别为1、0;速度拥堵指数的计算公式为:Assume that the relationship between speed and speed congestion index is linear, and the minimum value (0) and maximum value (vf ) of the speed correspond to the speed congestion index as 1 and 0 respectively; the calculation formula of the speed congestion index is:JJvv==11--vv^^vvff式中:Jv——速度拥堵指数;In the formula: Jv ——speed congestion index;vf——自由流速度;vf ——free flow velocity;
Figure FDA0000457907460000062
——平滑后的断面速度;
Figure FDA0000457907460000062
— smoothed section velocity;
c32时间占有率拥堵指数c32 time occupancy congestion index时间占有率与时间占有率拥堵指数呈线性关系,时间占有率的最小值(0)和最大值(omax)对应速度拥堵指数分别为0、1;则时间占有率拥堵指数的计算公式如下:There is a linear relationship between the time occupancy rate and the time occupancy rate congestion index, and the minimum value (0) and maximum value (omax ) of the time occupancy rate correspond to the speed congestion index as 0 and 1 respectively; the calculation formula of the time occupancy rate congestion index is as follows:JJoo==oo^^oomaxmax式中:Jo——时间占有率拥堵指数;In the formula: Jo ——time occupancy congestion index;omax——时间占有率的历史最大值;omax - the historical maximum value of time occupancy;
Figure FDA0000457907460000064
——平滑后的断面时间占有率。
Figure FDA0000457907460000064
——Smoothed section time occupancy.
8.根据权利要求1所述的基于断面检测器的城市道路交通状态判别方法,其特征在于:步骤c4依据城市道路等级划分的临界速度值v1、v2将城市道路交通状态划分为拥堵、滞缓和畅通三级,根据临界速度值v1、v2计算出对应的临界速度拥堵指数:8. The urban road traffic state discrimination method based on section detector accordingto claim1 , characterized in that: step c4 divides the urban road traffic state into congested, There are three levels of sluggishness and smoothness, and the corresponding critical speed congestion index is calculated according to the critical speed values v1 and v2 :JJ11==11--vv11vvffJJ22==11--vv22vvff式中:J1、J2——交通状态变化的临界值;In the formula: J1 , J2 ——the critical value of traffic state change;v1、v2——交通状态划分的临界速度;v1 , v2 ——the critical speed of traffic status division;vf——自由流速度。vf ——free flow velocity.9.根据权利要求1所述的基于断面检测器的城市道路交通状态判别方法,其特征在于:步骤c5融合速度拥堵指数和时间占有率拥堵指数,建立综合性拥堵指标——交通拥堵指数,详细步骤如下:9. The urban road traffic state discrimination method based on section detector according to claim 1, characterized in that: step c5 fuses speed congestion index and time occupancy congestion index to set up comprehensive congestion index---traffic congestion index, detailed Proceed as follows:c51单组检测器路段c51 single group detector sectionJ=ηJv+(1-η)JoJ=ηJv +(1-η)Jo式中,J——交通状态判别的综合性指标,称为交通拥堵指数;In the formula, J——a comprehensive index for traffic state discrimination, called traffic congestion index;Jv——速度拥堵指数;Jv ——speed congestion index;Jo——时间占有率拥堵指数;Jo —— time occupancy rate congestion index;η——速度指标与时间占有率指标的权重系数,取值为0-1,并根据实际情况进行调整;η——the weight coefficient of the speed index and the time occupancy index, the value is 0-1, and it should be adjusted according to the actual situation;c52多组检测器路段c52 multi-group detector section存在多组断面检测器时,需要根据断面检测器的位置进行综合判别计算得到连线的交通拥堵指数;When there are multiple groups of cross-section detectors, it is necessary to perform comprehensive discrimination and calculation according to the position of the cross-section detectors to obtain the traffic congestion index of the connection;JJ==ΣΣii==11nnolldidiJJdidiΣΣii==11nnolldidi式中:Jdi——检测器i的交通拥堵指数;In the formula: Jdi - traffic congestion index of detector i;ldi——检测器i到其下游检测器的距离;ldi ——the distance from detector i to its downstream detector;ld1——距离下游停车线最近的检测器距停车线的距离;ld1 ——the distance from the nearest detector to the downstream stop line to the stop line;c53无检测路段c53 no detection section上下游路段均无检测器时,此路段交通状态为灰色,即未知;When there is no detector in the upstream and downstream sections, the traffic status of this section is gray, that is, unknown;上游或下游设有检测器,此路段交通状态则以上下游路段交通状态为依据,利用上下游交通拥堵指数计算得到该路段的交通拥堵指数;There is a detector in the upstream or downstream, and the traffic status of this road section is based on the traffic status of the upstream and downstream sections, and the traffic congestion index of the road section is calculated by using the upstream and downstream traffic congestion index;J=αJup+(1-α)Jdown    (18)J=αJup +(1-α)Jdown (18)式中:Jup——上游检测器的交通拥堵指数;In the formula: Jup —— the traffic congestion index of the upstream detector;Jdown——下游检测器的交通拥堵指数;Jdown - the traffic congestion index of the downstream detector;α——上下游检测器交通拥堵指数的权重系数,当下游路段无检测器时,α=1;当上游路段无检测器时,α=0;上下游均有检测器时,α=0.5。α——The weight coefficient of the traffic congestion index of the upstream and downstream detectors. When there is no detector in the downstream section, α=1; when there is no detector in the upstream section, α=0; when there are detectors in both upstream and downstream, α=0.5.10.根据权利要求1所述的基于断面检测器的城市道路交通状态判别方法,其特征在于:步骤c6考虑了在交通状态变化的临界位置进行处理的问题,即采用交通状态变化的可信区间;定义±ΔJ为状态变化的正常波动区间,则交通状态判别的详细步骤如下;10. the urban road traffic state discrimination method based on section detector according to claim 1, is characterized in that: step c6 considers the problem of processing at the critical position of traffic state change, promptly adopts the credible interval of traffic state change ;Define ±ΔJ as the normal fluctuation interval of state change, then the detailed steps of traffic state discrimination are as follows;c61如果第j个发布间隔内,交通状态为红时,判断第j+1发布间隔交通状态判别依据为:c61 If the traffic status is red in the jth release interval, the basis for judging the traffic status of the j+1th release interval is:①当J∈(J1-ΔJ1,1]时,交通状态为红;①When J∈(J1 -ΔJ1 ,1], the traffic status is red;②当J∈(J2-ΔJ2,J1-ΔJ1]时,交通状态为黄;②When J∈(J2 -ΔJ2 ,J1 -ΔJ1 ], the traffic status is yellow;③当J∈[0,J2-ΔJ2]时,交通状态为绿;③When J∈[0,J2 -ΔJ2 ], the traffic status is green;c62如果第j个发布间隔内,交通状态为黄时,判断第j+1发布间隔交通状态判别依据为:c62 If the traffic status is yellow in the jth release interval, the basis for judging the traffic status of the j+1th release interval is:①当J∈(J1+ΔJ1,1]时,交通状态为红;①When J∈(J1 +ΔJ1 ,1], the traffic status is red;②当J∈(J2-ΔJ2,J1+ΔJ1]时,交通状态为黄;②When J∈(J2 -ΔJ2 ,J1 +ΔJ1 ], the traffic status is yellow;③当J∈[0,J2-ΔJ2]时,交通状态为绿;③When J∈[0,J2 -ΔJ2 ], the traffic status is green;c63如果第j个发布间隔内,交通状态为绿时,判断第j+1发布间隔交通状态判别依据为:c63 If the traffic status is green in the jth release interval, the basis for judging the traffic status of the j+1th release interval is:①当J∈(J1+ΔJ1,1]时,交通状态为红;①When J∈(J1 +ΔJ1 ,1], the traffic status is red;②当J∈(J2+ΔJ2,J1+ΔJ1]时,交通状态为黄;②When J∈(J2 +ΔJ2 ,J1 +ΔJ1 ], the traffic status is yellow;③当J∈[0,J2+ΔJ2]时,交通状态为绿;③When J∈[0,J2 +ΔJ2 ], the traffic status is green;上述判别依据中,ΔJ1与ΔJ2的取值需要根据实际情况设置。In the above discrimination basis, the values of ΔJ1 and ΔJ2 need to be set according to the actual situation.
CN201210507080.0A2012-11-292012-11-29Discriminating method based on section detector for urban traffic stateExpired - Fee RelatedCN103021176B (en)

Priority Applications (1)

Application NumberPriority DateFiling DateTitle
CN201210507080.0ACN103021176B (en)2012-11-292012-11-29Discriminating method based on section detector for urban traffic state

Applications Claiming Priority (1)

Application NumberPriority DateFiling DateTitle
CN201210507080.0ACN103021176B (en)2012-11-292012-11-29Discriminating method based on section detector for urban traffic state

Publications (2)

Publication NumberPublication Date
CN103021176A CN103021176A (en)2013-04-03
CN103021176Btrue CN103021176B (en)2014-06-11

Family

ID=47969731

Family Applications (1)

Application NumberTitlePriority DateFiling Date
CN201210507080.0AExpired - Fee RelatedCN103021176B (en)2012-11-292012-11-29Discriminating method based on section detector for urban traffic state

Country Status (1)

CountryLink
CN (1)CN103021176B (en)

Families Citing this family (37)

* Cited by examiner, † Cited by third party
Publication numberPriority datePublication dateAssigneeTitle
CN103226666B (en)*2013-05-102016-12-28天津市市政工程设计研究院Sophisticated functions intercommunication road crossing system efficacy assessments method
CN103280098B (en)*2013-05-232015-06-10北京交通发展研究中心Traffic congestion index calculation method
CN103593976B (en)*2013-11-282016-01-06青岛海信网络科技股份有限公司Based on the method and system of detecting device determination road traffic state
CN104050803B (en)*2014-06-232016-10-26北京航空航天大学A kind of region highway network evaluation of running status method
CN104408913B (en)*2014-11-032016-03-16东南大学A kind of traffic flow three parameter real-time predicting method considering temporal correlation
CN104484994B (en)*2014-12-172016-08-17合肥革绿信息科技有限公司Urban road network traffic based on array radar runs index number evaluation method
CN105788289A (en)*2014-12-172016-07-20上海宝康电子控制工程有限公司Method and system for realizing traffic condition assessment and analysis based on computer software system
CN104464294B (en)*2014-12-172016-08-31合肥革绿信息科技有限公司A kind of road section traffic volume method for evaluating state based on array radar
CN104766475B (en)*2015-04-092017-01-11银江股份有限公司Urban traffic bottleneck mining method
CN104809869A (en)*2015-04-102015-07-29安徽四创电子股份有限公司Viaduct entrance ramp traffic state identifying method based on lifting height limiting rack
CN104851293B (en)*2015-05-182017-03-29安徽科力信息产业有限责任公司A kind of road section traffic volume congestion index evaluation methodology based on spot spe J
CN105389987B (en)*2015-12-032018-03-23青岛海信网络科技股份有限公司A kind of road traffic condition Forecasting Methodology and device
CN105427600B (en)*2015-12-092017-11-28中兴软创科技股份有限公司A kind of congestion in road real-time identification method and device based on FCD
CN105551241B (en)*2015-12-092018-02-02中兴软创科技股份有限公司A kind of real-time jamming analysis method based on FCD and EP multi-source datas
CN105405294A (en)*2015-12-302016-03-16杭州中奥科技有限公司Early warning method of traffic congestion roads
CN105702031B (en)*2016-03-082018-02-23北京航空航天大学Road network key road segment recognition methods based on macroscopical parent map
CN106781569B (en)*2016-11-182017-10-13姜正The method that intelligent transportation instruction device based on radio communication monitors road traffic state
CN106530700A (en)*2016-11-222017-03-22安徽科力信息产业有限责任公司Method for judging traffic congestion based on fixed detector
CN106960582B (en)*2017-03-122019-05-07浙江大学 A method of regional bottleneck control based on macroscopic fundamental graph
CN107331163A (en)*2017-06-302017-11-07贵阳海信网络科技有限公司A kind of queue length computational methods and device
CN107491420B (en)*2017-07-062020-10-30重庆大学Automatic reference searching method of McMaster event detection algorithm
CN107507421B (en)*2017-08-222019-11-01重庆交通大学Method for rapidly judging traffic state and device
CN107610470A (en)*2017-10-312018-01-19迈锐数据(北京)有限公司A kind of traffic congestion evaluation method and device
CN108765939B (en)*2018-05-112021-02-02贵阳信息技术研究院(中科院软件所贵阳分部)Dynamic traffic congestion index calculation method based on clustering algorithm
CN108777068B (en)*2018-06-132021-03-02西华大学Traffic flow bottleneck identification method based on multi-dimensional detection coil acquisition cycle
CN108922209B (en)*2018-07-202021-06-04江苏永诚交通集团有限公司Cloud intelligent traffic signal lamp system
CN109035775B (en)*2018-08-222020-12-08青岛海信网络科技股份有限公司Method and device for identifying emergency
CN109410597B (en)*2018-11-092021-07-13南京讯飞智慧空间信息科技有限公司Method, device and system for detecting traffic flow at park entrance and exit
CN109255956A (en)*2018-11-122019-01-22长安大学A kind of charge station's magnitude of traffic flow method for detecting abnormality
CN109712394A (en)*2019-01-152019-05-03青岛大学A kind of congestion regions discovery method
CN111489545B (en)*2019-01-282023-03-31阿里巴巴集团控股有限公司Road monitoring method, device and equipment and storage medium
CN111009128A (en)*2020-01-072020-04-14上海宝康电子控制工程有限公司Method for realizing real-time studying and judging treatment of intersection traffic state based on arrival-departure model
CN112590886B (en)*2020-12-302022-08-26卡斯柯信号有限公司Method for judging and alarming running jam of train section
CN114005275B (en)*2021-10-252023-03-14浙江交投高速公路运营管理有限公司Highway vehicle congestion judging method based on multi-data source fusion
CN114862011B (en)*2022-04-292023-04-07上海理工大学Road section time-interval traffic demand estimation method considering congestion state
CN115862335A (en)*2023-02-272023-03-28北京理工大学前沿技术研究院Congestion early warning method, system and storage medium based on vehicle-road information fusion
CN117877273B (en)*2024-03-122024-05-10山东高速股份有限公司 Intelligent highway traffic status identification method and system based on air-ground information fusion

Citations (5)

* Cited by examiner, † Cited by third party
Publication numberPriority datePublication dateAssigneeTitle
US5815093A (en)*1996-07-261998-09-29Lextron Systems, Inc.Computerized vehicle log
CN101833858A (en)*2009-12-172010-09-15南京城际在线信息技术有限公司Method for judging road traffic state based on annular coil of signal lamp system
CN102013171A (en)*2010-12-102011-04-13隋亚刚Traffic control system for improving road capacity
CN102063794A (en)*2011-01-142011-05-18隋亚刚Urban expressway automatic even detecting and synergetic command dispatching system based on occupation ratio data
CN102592451A (en)*2012-02-232012-07-18浙江大学Method for detecting road traffic incident based on double-section annular coil detector

Patent Citations (5)

* Cited by examiner, † Cited by third party
Publication numberPriority datePublication dateAssigneeTitle
US5815093A (en)*1996-07-261998-09-29Lextron Systems, Inc.Computerized vehicle log
CN101833858A (en)*2009-12-172010-09-15南京城际在线信息技术有限公司Method for judging road traffic state based on annular coil of signal lamp system
CN102013171A (en)*2010-12-102011-04-13隋亚刚Traffic control system for improving road capacity
CN102063794A (en)*2011-01-142011-05-18隋亚刚Urban expressway automatic even detecting and synergetic command dispatching system based on occupation ratio data
CN102592451A (en)*2012-02-232012-07-18浙江大学Method for detecting road traffic incident based on double-section annular coil detector

Also Published As

Publication numberPublication date
CN103021176A (en)2013-04-03

Similar Documents

PublicationPublication DateTitle
CN103021176B (en)Discriminating method based on section detector for urban traffic state
CN105825690B (en)A kind of the crossway of the main stem correlation analysis and division methods towards tunable control
CN103593976B (en)Based on the method and system of detecting device determination road traffic state
CN102637357B (en)Regional traffic state assessment method
CN106408943A (en)Road-network traffic jam discrimination method based on macroscopic fundamental diagram
CN105825669B (en)A kind of system and method for identifying urban expressway traffic bottleneck
CN102750824B (en)Urban road traffic condition detection method based on voting of network sorter
CN102737508B (en)Urban road traffic state detection method combined with support vector machine (SVM) and back propagation (BP) neural network
CN102750825B (en)Urban road traffic condition detection method based on neural network classifier cascade fusion
CN108629973A (en)Road section traffic volume congestion index computational methods based on fixed test equipment
CN101599217A (en) A method for judging the traffic status of expressways
CN102968901A (en)Method for acquiring regional congestion information and regional congestion analyzing device
CN107742432A (en) Active warning system and control method for expressway operating speed based on vehicle-road coordination
CN105654720B (en)Loop detector layout method based on urban road congestion identification
CN101308604A (en) Coordinated control method for large-scale strategic traffic
CN104794919A (en)Real-time optimal configuration method for lane resources of multi-lane expressway
CN105321347A (en)Hierarchical road network traffic jam evaluation method
CN101739828A (en)Urban traffic area jamming judgment method by combining road traffic and weather state
CN119851488B (en) A smart city traffic signal light control system
CN113160569B (en) Coordinated control system and method for main line and entrance ramp in merging area of urban expressway
CN107170247A (en)One kind determines intersection queue length method and device
CN105869398B (en)A kind of unimpeded degree judgment method of road traffic based on K-means clusters
CN112885088A (en)Multi-turn road coordination control method based on dynamic traffic flow
CN108320535A (en)A kind of passing control method of road merging area weaving vehicles
CN106875703A (en)A kind of highway communication motor vehicle flow detection and accident alarm device

Legal Events

DateCodeTitleDescription
C06Publication
PB01Publication
C10Entry into substantive examination
SE01Entry into force of request for substantive examination
C14Grant of patent or utility model
GR01Patent grant
CF01Termination of patent right due to non-payment of annual fee

Granted publication date:20140611

Termination date:20151129

CF01Termination of patent right due to non-payment of annual fee

[8]ページ先頭

©2009-2025 Movatter.jp