Movatterモバイル変換


[0]ホーム

URL:


CN103016948A - Online leak detection device for steam trap of steaming-water pipeline of thermal power plant - Google Patents

Online leak detection device for steam trap of steaming-water pipeline of thermal power plant
Download PDF

Info

Publication number
CN103016948A
CN103016948ACN2012105849311ACN201210584931ACN103016948ACN 103016948 ACN103016948 ACN 103016948ACN 2012105849311 ACN2012105849311 ACN 2012105849311ACN 201210584931 ACN201210584931 ACN 201210584931ACN 103016948 ACN103016948 ACN 103016948A
Authority
CN
China
Prior art keywords
digital temperature
temperature sensor
drain
drain valve
steam
Prior art date
Legal status (The legal status is an assumption and is not a legal conclusion. Google has not performed a legal analysis and makes no representation as to the accuracy of the status listed.)
Granted
Application number
CN2012105849311A
Other languages
Chinese (zh)
Other versions
CN103016948B (en
Inventor
高建强
曲振肖
危日光
Current Assignee (The listed assignees may be inaccurate. Google has not performed a legal analysis and makes no representation or warranty as to the accuracy of the list.)
North China Electric Power University
Original Assignee
North China Electric Power University
Priority date (The priority date is an assumption and is not a legal conclusion. Google has not performed a legal analysis and makes no representation as to the accuracy of the date listed.)
Filing date
Publication date
Application filed by North China Electric Power UniversityfiledCriticalNorth China Electric Power University
Priority to CN201210584931.1ApriorityCriticalpatent/CN103016948B/en
Publication of CN103016948ApublicationCriticalpatent/CN103016948A/en
Application grantedgrantedCritical
Publication of CN103016948BpublicationCriticalpatent/CN103016948B/en
Expired - Fee Relatedlegal-statusCriticalCurrent
Anticipated expirationlegal-statusCritical

Links

Images

Landscapes

Abstract

Translated fromChinese

一种热力发电厂汽水管道疏水阀在线检漏装置,由数字温度传感器、数字温度信号采集器、485通信电缆、光猫、光缆和数据处理计算机组成,所述数字温度传感器采用DS18B20,同一疏水阀下游疏水管道外侧周向上布置的若干个数字温度传感器共用一个数字温度信号采集器;所述数字温度信号采集器采用微处理器ARM7,将采集来的信号通过数据通讯线路传递给数据处理计算机进行处理;根据疏水阀下游壁面温度的数据及其变化率,采用模糊模式识别的原理对疏水阀泄漏等级进行模糊识别。本发明将系统简单、安装维护方便,可在线实时监测,并对疏水阀泄漏做出及时准确的判断。

An online leak detection device for steam-water pipeline traps in thermal power plants, composed of digital temperature sensors, digital temperature signal collectors, 485 communication cables, optical modems, optical cables, and data processing computers. The digital temperature sensors use DS18B20, and the same traps A number of digital temperature sensors arranged circumferentially on the outer side of the downstream drainage pipeline share a digital temperature signal collector; the digital temperature signal collector adopts a microprocessor ARM7, and transmits the collected signal to a data processing computer for processing through a data communication line ;According to the temperature data of the wall surface downstream of the trap and its rate of change, the principle of fuzzy pattern recognition is used to fuzzy identify the leakage level of the trap. The invention has the advantages of simple system, convenient installation and maintenance, online real-time monitoring, and timely and accurate judgment on the leakage of the steam trap.

Description

The online leakage detection apparatus of Thermal Power Station's steam-water pipe drain valve
Technical field
The present invention relates to a kind of for the online in real time device of leak detection of Thermal Power Station's steam-water pipe drain valve, genus detection technique field.
Background technique
Steam is wanted loses heat inevitably in the pipeline transmission process, when being reduced to saturation temperature, its temperature will begin to condense, form water of condensation namely hydrophobic, this part hydrophobic needs passes through timely exhaust steam pipeline of ad hoc drain water piping, in order to avoid produce the water slug of steam line, cause pipeline and device damage.The water of drain water piping reclaims by draining system simultaneously, has also avoided the loss of part working medium and heat.
Usually arrange the drain water piping of some on the steam line of Thermal Power Station, and a hydrophobic valve is installed on each drain water piping at least, by the opening and closing of hydrophobic valve, can control hydrophobic discharging.Unit the start up period, each hydrophobic valve should be opened, can produce a large amount of water of condensation in steam heating coil process this moment, needs in time to discharge from steam line by hydrophobic pipeline.Finish in case start the heating coil process, enter normal working, then hydrophobic valve should be closed, in order to avoid the steam of steam line enters hydrophobic pipeline, causes vapour losses.
All be provided with drain water piping on the main steam line of thermal power generator, reheaing steam pipe, gland steam pipeline, the extraction line etc.In addition, on high temperature, the high-pressure water pipelines such as the feedwater piping of boiler, economizer header, drum emergency blow-off pipe line, boiler periodical blowdown pipeline, also hydrophobic pipeline can be installed.Some hydrophobic valves (10) all are installed on these unrestrained water lines.Drain valve is the key equipment on the hydrophobic pipeline, and wherein a side of most of valve is worked under high-temperature high-pressure state.In drain valve switch process, water of condensation, steam frequent impact, burn into wearing and tearing valve cause that drain valve is not closed completely, leakage failure often occurs.Drain valve is revealed to be divided into and is leaked outside and interior leakage.Leaking outside refers to that outside boundary reveals steam (or hot water) from positions such as valve body or connecting parts after the drain valve fault, and the outside of drain valve is revealed and can be judged by sound and phenomenon, and this fault is easily found.Interior leakage refers to that drain valve lost the function that stops carbonated drink, part steam or hydrophobic internal direct from hydrophobic valve was connected, and drained into draining system through drain pipe.The generation of leaking fault in the drain valve is more general, and is difficult for being found.Under the normal operating condition of unit, hydrophobic valve leaks, and meeting is drain water piping so that the steam of the High Temperature High Pressure in the steam line or water bleed, and the steam that produces and flow and the heat loss of water, the Economy of reduction unit.
In the prior art, drain valve internal leakage inspection method commonly used has:
Whether (1) shutdown inspection method namely behind compressor emergency shutdown, is regularly taken drain valve observation internal component apart and is broken down, and determines with this whether drain valve has interior leakage phenomenon to exist.This method operates pretty troublesome, waste plenty of time and manpower, and can only do rough judgement, and be difficult to determine for less leakage, need carry out continuously if produce, the method also can't be carried out.
(2) observation mirror method, difference main steam and flash-off steam be difficulty relatively, needs enough experiences.This method is only applicable to the low pressure operating mode, also may lose efficacy because of the minute surface fouling simultaneously.
(3) ultrasonic leak detection method can produce turbulent flow near leak source when high pressure steam occur to leak, produce simultaneously ultrasound, and drain valve does not have the ultrasound generation when normally discharging condensed water.Detect drain valve place's ultrasound data and can judge whether to leak in conjunction with the Operational Limits of unit by specialized equipment and occur.This detection system relates to the multiple kens such as machine, light (laser light location leak source), electricity, sound, relates to acoustic signals conversion treatment etc., system complex.And environmental background noise also can disturb the accuracy of its judgement.
(4) thermocouple detection method adopts and measures valve front and back pipeline wall or Temperature of Working, by the relatively variation of the forward and backward temperature of valve, judges whether valve exists leakage.For the pipeline of high temperature, high pressure, adopt the used temperature detection element of the method to need the withstand high temperatures environment, consider from security standpoint, its temperature point must install before unit starting, otherwise behind the unit operation, after steam parameter raise in the pipe, it was installed and used and then has more restriction.
When said method was used for online detections of equipment, also needing special device was digital signal (being that A/D changes) with the analog-signal transitions of measuring, and system complex, equipment investment are larger.The quantity of considering Thermal Power Station's drain valve is many, and space distribution is complicated, and there are the problems such as system complex, the detection facility investment is large, energy consumption is higher in above-mentioned several detecting methods.In order to overcome the problems referred to above, the present invention proposes that a kind of system is simple, stable, line digitizing processed Thermal Power Station steam-water pipe drain valve leakage detection apparatus that can on-line real time monitoring.
Summary of the invention
The object of the present invention is to provide a kind of system simple, stable, can on-line real time monitoring, detect the device that power plant's steam-water pipe hydrophobic valve leaks.
Problem of the present invention realizes with following technical proposals:
The online leakage detection apparatus of a kind of Thermal Power Station's steam-water pipe drain valve, comprise signal picker, data handling machine in the formation and be connected digital temperature sensor on the drain water piping that detected drain valve connects, described digital temperature sensor adopts DS18B20, and its signal output part connects the input port of signal picker; Described signal picker adopts micro-chip processor ARM7, and its PORT COM is connected with data handling machine by optical cable.
The online leakage detection apparatus of above-mentioned Thermal Power Station's steam-water pipe drain valve, the digital temperature sensor corresponding with each detected drain valve all arranges a plurality of, they all are installed on the downstream drain water piping of detected drain valve, and around the axis arranged of drain water piping, corresponding all digital temperature sensors of one or more detected drain valves are connected with the signal input port of same signal picker by bus.
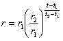
The online leakage detection apparatus of above-mentioned Thermal Power Station's steam-water pipe drain valve, when adopting single thermal insulation layer outside the drain water piping, digital temperature sensor is installed in single thermal insulation layer, and its position is to the distance of drain water piping axis, and namely digital temperature sensor is installed radiusrBe calculated according to the following formula:
Figure 276803DEST_PATH_IMAGE001
Wherein, r1Be the drain pipe exterior radius; r2Be the thermal insulation layer exterior radius; t1Be the drain pipe outside wall temperature; t2Be the thermal insulation layer outside wall temperature;tMaximum permission thermometric value for digital temperature sensor is not more than 120 ℃;
When adopting two thermal insulation layer outside the drain water piping, if two thermal insulation layer separating surface temperature allows the thermometric value greater than the maximum of digital temperature sensor, then digital temperature sensor is installed in the external thermal insulation; If two thermal insulation layer separating surface temperature allow the thermometric value less than the maximum of digital temperature sensor, then digital temperature sensor is installed in the inner thermal insulating layer.
The online leakage detection apparatus of above-mentioned Thermal Power Station's steam-water pipe drain valve, whether the measurement signal of collection digital temperature sensor according to these Temperature numerical and variance ratio thereof, can exist leakage, leakiness situation to analyze judgement to hydrophobic valve;
Described trap leaking judgement is carried out as follows:
Described digital temperature sensor is arranged on the drain water piping in downstream behind the drain valve to be measured, wherein,
If:
Figure 107673DEST_PATH_IMAGE003
And:
Figure 158805DEST_PATH_IMAGE004
,
Figure 21719DEST_PATH_IMAGE005
,
Then can judge trap leaking;
In the formula:
Figure 246027DEST_PATH_IMAGE006
---hydrophobic tube wall average temperature value;
Figure 9321DEST_PATH_IMAGE007
---theiThe measured value of individual digital temperature sensor;
Figure 293672DEST_PATH_IMAGE008
---the number of digital temperature sensor;
Figure 378303DEST_PATH_IMAGE009
---the time;
Figure 406302DEST_PATH_IMAGE010
---be ambient temperature or thermal insulation layer hull-skin temperature;
---for the warning limit value that the user sets, can set according to fluid properties, pipeline configuration situation in the drain water piping; Generally:0.01-0.5 ℃/s,
Figure 818326DEST_PATH_IMAGE013
0.01-0.5 ℃/s,
Figure 384436DEST_PATH_IMAGE014
Without gathering on the temperature difference basis of calculating under the leakage situation, increase 3-15 ℃.
The online leakage detection apparatus of above-mentioned Thermal Power Station's steam-water pipe drain valve, with,
Figure 485827DEST_PATH_IMAGE016
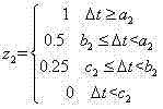
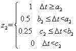
,Three parameters are as the sign parameter of trap leaking fault, and in conjunction with the principle of Fuzzy Pattern Recognition, further judge the trap leaking degree; Concrete steps are: at first with the amplitude of variation of each sign parameter, are converted to the fuzzy expression of sign parameter, represent four intervals that the sign parameter changes with 1,0.5,0.25,0, represent respectively the large and small degree of the amplitude of variation of each sign parameter, as follows:
Figure 914851DEST_PATH_IMAGE018
Figure 946392DEST_PATH_IMAGE019
Figure 788501DEST_PATH_IMAGE021
---the sign parameterCorresponding failure symptom value;
---the sign parameter
Figure 488101DEST_PATH_IMAGE016
Corresponding failure symptom value;
---the sign parameter
Figure 723266DEST_PATH_IMAGE017
Corresponding failure symptom value;
Figure 854033DEST_PATH_IMAGE024
---the limit value that the sign parameter sharply raises, determine according to fluid properties in the drain valve of monitoring;
---the limit value that the sign parameter slowly raises, determine according to fluid properties in the drain valve of monitoring;
---the slight limit value that raises of sign parameter, determine according to fluid properties in the drain valve of monitoring;
The typical fault characteristic vector that makes up the fuzzy diagnosis of trap leaking degree is as follows:
Figure 701400DEST_PATH_IMAGE027
Wherein,
Figure 686674DEST_PATH_IMAGE028
,
Figure 934116DEST_PATH_IMAGE029
,,Respectively correspondingly seriously leak, moderate is leaked, slightly leak and without leaking four kinds of typicalnesses;
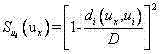
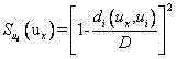
According to the temperature data that gathers, the characteristic vector that arrangement obtains under the current working isux=
Figure 68665DEST_PATH_IMAGE032
, set up its fuzzy membership functions, calculate:
Figure 487008DEST_PATH_IMAGE033
i=1,2,3,4,
Figure 45029DEST_PATH_IMAGE034
i=1,2,3,4,
Figure 574230DEST_PATH_IMAGE035
i=1,2,3,4,
According to maximum membership grade principle, obtain:
Figure 471779DEST_PATH_IMAGE036
Which state that can identify in the current running state of drain valve and the four kinds of typicalnesses approaches, and then makes the judgement of leakiness.
The present invention directly is arranged in the digital temperature signal sensor in the thermal insulation layer of drain water piping in drain valve downstream, connects by a bus between each sensor, and system is simple, convenient for installation and maintenance, investment is less.But this device on-line real time monitoring can be made promptly and accurately judgement to trap leaking.
Description of drawings
The invention will be further described below in conjunction with accompanying drawing.
Fig. 1 is that system of the present invention consists of schematic diagram;
Fig. 2 is the scheme of installation of drain water piping cross section, digital temperature sensor;
Fig. 3, Fig. 4-a, Fig. 4-b are that digital temperature sensor is at drain water piping position estimation schematic diagram radially;
Fig. 5 is the mounting point pipeline local section schematic diagram of digital temperature sensor;
Fig. 6 is the collector electrical schematic diagram.
Each list of reference numerals is among the figure: 1, digital temperature sensor; 2, bus; 3, collector; 4,485 telecommunication cables; 5, light cat; 6, optical cable; 7, data handling machine; 8, information system of power plants (MIS or SIS) server; 9, steam (hot water) pipeline; 10, drain valve; 11, drain water piping; 12, drain pipe tube wall; 13, thermal insulation layer; 14, thermal insulation layer outer wall.
Used symbol inventory is in the literary composition: r1, the drain pipe radius; r2, the thermal insulation layer radius; r3, thermal insulation layer separating surface radius during two thermal insulation layer; R, digital temperature sensor are installed radius; t1, the drain pipe wall temperature; t2The thermal insulation layer outside wall temperature; t3, two thermal insulation layer separating surface temperature; The temperature at t, digital temperature sensor place; Δ r, digital temperature sensor are apart from the distance of thermal insulation layer outer wall;, the internal layer thermal insulating material thermal conductivity;, outer thermal insulating material thermal conductivity;, the axial length of drain pipe.
Embodiment
The present invention relates to Thermal Power Station's drain valve leakage detection apparatus, mainly formed by digital temperature sensor, bus, collector, 485 telecommunication cables, light cat, optical cable, data handling machine etc.Data handling machine is located at the control room, is used for collecting temperature data, carries out data logging and processing, leaks and judge processing, warning sign output etc.
When drain valve occurs to leak, ducted high-temperature steam, water can make the drain pipe wall temperature of valve downstream raise, the digital temperature sensor that is arranged in the tube wall outside can record its temperature variation, can circumferentially be evenly arranged several digital temperature sensors at the drain water piping at drain valve to be checked place, ask the mean value of temperature variation, improve measuring accuracy.The digital temperature sensor at same drain valve place is connected in collector by a bus parallel connection.
Collector passes to data handling machine with it and processes by light cat, optical cable after collecting signal.
Digital temperature sensor adopts DS18B20, and it is the one-line digital temperature sensor that DALLAS company produces, and temperature-measuring range is-55 ℃~+ 125 ℃, is programmed for 9~12 A/D conversion accuracies, and the I of thermometric resolution reaches 0.0625 ℃.DS18B20 is applicable to remote multi-point temp detection system.
On the pipelines such as the main steam line of thermal power generator, reheaing steam pipe, gland steam pipeline, pump-line, the urgent blow-off line of feed water preheater, all be provided with hydrophobic pipeline and some hydrophobic valves.As seen, the steam parameter at different drain valves place is different, even difference is very large, and the highest vapor (steam) temperature can be more than 540 ℃, far above the temperature-measuring range of digital temperature sensor DS18B20.For guaranteeing the safe and stable operation of this power plant's drain valve leakage detection apparatus, digital temperature sensor must be arranged in rational position, is no more than 120 ℃ so that temperature value herein is the highest.Such as Fig. 4, can according to heat transfer principle, estimate the position that digital temperature sensor directly makes progress at pipeline according to following formula:
Put in order:
Figure 311952DEST_PATH_IMAGE041
,
Then digital temperature sensor directly makes progress apart from the distance of thermal insulation layer outer wall at pipeline:
Figure 516669DEST_PATH_IMAGE042
When adopting two thermal insulation layer outside the drain water piping, can estimate the position that digital temperature sensor directly makes progress at pipeline according to following formula:
Figure 715569DEST_PATH_IMAGE043
Establish first
Figure 322131DEST_PATH_IMAGE044
, calculate
Figure 315495DEST_PATH_IMAGE045
, whenThe time, the digital temperature sensor mounting point is,
Figure 508633DEST_PATH_IMAGE047
,
Figure 969702DEST_PATH_IMAGE042
When
Figure 133967DEST_PATH_IMAGE048
The time, the digital temperature sensor mounting point is,
Figure 313275DEST_PATH_IMAGE049
,
Figure 853978DEST_PATH_IMAGE042
, wherein, r1, the drain pipe radius; r2, the thermal insulation layer radius; r3, thermal insulation layer separating surface radius during two thermal insulation layer; R, digital temperature sensor are installed radius; t1, the drain pipe wall temperature; t2The thermal insulation layer outside wall temperature; t3, two thermal insulation layer separating surface temperature; The temperature at t, digital temperature sensor place;, the internal layer thermal insulating material thermal conductivity;
Figure 770299DEST_PATH_IMAGE038
, outer thermal insulating material thermal conductivity;
Figure 672789DEST_PATH_IMAGE039
, the drain pipe external thermal insulation is in the axial length of drain pipe;tBe the maximum permission thermometric value of digital temperature sensor, value is less than 120 ℃.
Gather the measurement signal of these digital temperature sensors, according to these Temperature numerical and variance ratio thereof, can whether exist the situations such as leakage, leakiness to analyze judgement to hydrophobic valve.
Described trap leaking judgement is carried out as follows:
Described digital temperature sensor is arranged on the drain water piping behind the drain valve to be measured, wherein,
Figure 17183DEST_PATH_IMAGE002
If:
Figure 187264DEST_PATH_IMAGE003
And:
Figure 958911DEST_PATH_IMAGE004
,
Figure 847232DEST_PATH_IMAGE005
,
Then can judge trap leaking;
In the formula:
Figure 729738DEST_PATH_IMAGE006
---hydrophobic tube wall average temperature value;
---theiThe measured value of individual digital temperature sensor;
Figure 962453DEST_PATH_IMAGE008
---the number of digital temperature sensor on the section;
Figure 836606DEST_PATH_IMAGE009
---the time;
---be ambient temperature or thermal insulation layer hull-skin temperature;
Figure 667476DEST_PATH_IMAGE050
---for the warning limit value that the user sets, can set according to fluid properties, pipeline configuration situation in the drain water piping.Generally:
Figure 718608DEST_PATH_IMAGE012
0.01-0.5 ℃/s,
Figure 643839DEST_PATH_IMAGE013
0.01-0.5 ℃/s,
Figure 805830DEST_PATH_IMAGE014
Without gathering on the temperature difference basis of calculating under the leakage situation, increase 3-15 ℃.
With
Figure 132906DEST_PATH_IMAGE015
,
Figure 590826DEST_PATH_IMAGE016
,
Figure 3352DEST_PATH_IMAGE017
Three parameters are as the sign parameter of trap leaking fault, and in conjunction with the principle of Fuzzy Pattern Recognition, further judge the trap leaking degree; Concrete steps are: at first with the amplitude of variation of each sign parameter, are converted to the fuzzy expression of sign parameter, represent four intervals that the sign parameter changes with 1,0.5,0.25,0, represent respectively the large and small degree of the amplitude of variation of each sign parameter, as follows:
Figure 150617DEST_PATH_IMAGE019
Figure 543552DEST_PATH_IMAGE020
Figure 177796DEST_PATH_IMAGE021
---the sign parameterCorresponding failure symptom value;
---the sign parameter
Figure 45630DEST_PATH_IMAGE016
Corresponding failure symptom value;
Figure 104852DEST_PATH_IMAGE023
---the sign parameterCorresponding failure symptom value;
Figure 568512DEST_PATH_IMAGE024
---the limit value that the sign parameter sharply raises, determine according to fluid properties in the drain valve of monitoring;
Figure 365567DEST_PATH_IMAGE025
---the limit value that the sign parameter slowly raises, determine according to fluid properties in the drain valve of monitoring;
Figure 912086DEST_PATH_IMAGE026
---the slight limit value that raises of sign parameter, determine according to fluid properties in the drain valve of monitoring;
The typical fault characteristic vector that makes up the fuzzy diagnosis of trap leaking degree is as follows:
Figure 819999DEST_PATH_IMAGE027
Wherein,
Figure 281547DEST_PATH_IMAGE028
Corresponding serious the leakage,
Figure 249503DEST_PATH_IMAGE029
Corresponding moderate is leaked,
Figure 283318DEST_PATH_IMAGE030
Corresponding slight the leakage,
Figure 994922DEST_PATH_IMAGE031
Corresponding to leaking four kinds of typicalnesses;
According to the temperature data that gathers, the characteristic vector that arrangement obtains under the current working isux=
Figure 797793DEST_PATH_IMAGE032
, set up its fuzzy membership functions, calculate:
Figure 936650DEST_PATH_IMAGE033
i=1,2,3,4,
i=1,2,3,4,
Figure 973056DEST_PATH_IMAGE035
i=1,2,3,4,
According to maximum membership grade principle, obtain:
Figure 128969DEST_PATH_IMAGE036
Which state that can identify in the current running state of drain valve and the four kinds of typicalnesses approaches, and then makes the judgement of leakiness.
Determine the mounting point of collector according to on-site actual situations, determine that simultaneously the digital temperature sensor at the drain valve place of some quantity shares a signal picker.For example: some digital temperature sensors at two adjacent drain valve places of signal share a collector among Fig. 1.
Take certain 300MW station boiler as example, its design vapor pressure is 17.5MPa, and temperature is 540 ℃.Superheater outlet leg arranges one road hydrophobic pipeline, and two drain valves are housed, and the drain pipe specification is φ 42 * 5.5, and laying thickness outside drain pipe is the glass wool insulation of 22mm, at the tube wall in hydrophobic valve downstream digital temperature sensor is installed.Through calculating, digital temperature sensor is installed in the thermal insulation layer apart from drain pipe outer wall surface 18mm place, can guarantee under the various operating modes, and its temperature is no more than 120 ℃.Ambient temperature is 30 ℃.Find through simulation calculation, drain valve begins to occur interior leakage by closing tight state, if when leakage flow is 0.084kg/s, experiences after 5 minutes, and relevant parameter tends towards stability.In one period transient time after fault occurs, by the wall surface temperature that digital temperature sensor is measured, its temperature rise rate δ1, difference variation rate δ3, and with the difference δ of ambient temperature2Nonlinear over time, δ wherein1, δ3Changing Pattern consistent, excursion is 0.01-1.36 ℃/s.By the wall surface temperature of digital temperature sensor measurement and the difference δ of ambient temperature2Also be increased to 66.2 ℃ by 9.7 ℃, temperature approach has increased by 56.5 ℃.Therefore, according to the temperature of digital temperature sensor collection, by analyzing wall temperature rise rate δ1, difference variation rate δ3, and with the difference δ of ambient temperature2Changing Pattern, can in time the leakage failure of hydrophobic valve be identified and judge.
The present invention can also have other mode of executions, and all employings are equal to the technological scheme of replacement or equivalent transformation formation, all drop within protection scope of the present invention.

Claims (5)

1. online leakage detection apparatus of Thermal Power Station's steam-water pipe drain valve, it is characterized in that, it comprises signal picker (3), data handling machine (7) and is connected digital temperature sensor (1) on the drain water piping (11) that detected drain valve (10) connects, described digital temperature sensor (1) adopts DS18B20, and its signal output part connects the input port of signal picker (3); Described signal picker (3) adopts micro-chip processor ARM7, and its PORT COM is connected with data handling machine (7) by optical cable (6).
2. the online leakage detection apparatus of described Thermal Power Station's steam-water pipe drain valve according to claim 1, it is characterized in that, the digital temperature sensor (1) corresponding with each detected drain valve (10) all arranges a plurality of, they all are installed on the downstream drain water piping of detected drain valve (10), and along the axis arranged of drain water piping (11), corresponding all digital temperature sensors of one or more detected drain valves (10) (1) are connected by the signal input port of bus with same signal picker (3).
3. the online leakage detection apparatus of described Thermal Power Station's steam-water pipe drain valve according to claim 2, it is characterized in that, when adopting single thermal insulation layer (13) outside the drain water piping (11), digital temperature sensor (1) is installed in single thermal insulation layer (13), its position is to the distance of drain water piping (11) axis, and namely digital temperature sensor is installed radiusrBe calculated according to the following formula:
Figure 2012105849311100001DEST_PATH_IMAGE001
Wherein, r1Be the drain pipe exterior radius; r2Be the thermal insulation layer exterior radius; t1Be the drain pipe outside wall temperature; t2Be the thermal insulation layer outside wall temperature;tMaximum permission thermometric value for digital temperature sensor;
When adopting two thermal insulation layer outside the drain water piping (11), if two thermal insulation layer separating surface temperature allows the thermometric value greater than the maximum of digital temperature sensor (1), then digital temperature sensor (1) is installed in the external thermal insulation (15); If two thermal insulation layer separating surface temperature allow the thermometric value less than the maximum of digital temperature sensor (1), then digital temperature sensor (1) is installed in the inner thermal insulating layer (14).
4. the online leakage detection apparatus of described Thermal Power Station's steam-water pipe drain valve according to claim 3, it is characterized in that, gather the measurement signal of digital temperature sensor, according to these Temperature numerical and variance ratio thereof, can whether exist leakage, leakiness situation to analyze judgement to hydrophobic valve;
Described trap leaking judgement is carried out as follows:
Described digital temperature sensor is arranged on the drain water piping behind the drain valve to be measured, wherein,
Figure 2012105849311100001DEST_PATH_IMAGE002
If:
Figure 2012105849311100001DEST_PATH_IMAGE003
And:
Figure 2012105849311100001DEST_PATH_IMAGE004
,
Figure 2012105849311100001DEST_PATH_IMAGE005
,
Then can judge trap leaking;
In the formula:
Figure 2012105849311100001DEST_PATH_IMAGE006
---hydrophobic tube wall average temperature value;
Figure 2012105849311100001DEST_PATH_IMAGE007
---theiThe measured value of individual digital temperature sensor;
Figure 2012105849311100001DEST_PATH_IMAGE008
---the number of digital temperature sensor on the section;
Figure 2012105849311100001DEST_PATH_IMAGE009
---the time;
Figure 2012105849311100001DEST_PATH_IMAGE010
---be ambient temperature or thermal insulation layer hull-skin temperature;
Figure 2012105849311100001DEST_PATH_IMAGE011
---for the warning limit value that the user sets, can set according to fluid properties, pipeline configuration situation in the drain water piping; Generally:
Figure 2012105849311100001DEST_PATH_IMAGE012
0.01-0.5 ℃/s,0.01-0.5 ℃/s,
Figure 2012105849311100001DEST_PATH_IMAGE014
Without gathering on the temperature difference basis of calculating under the leakage situation, increase 3-15 ℃.
5. the online leakage detection apparatus of described Thermal Power Station's steam-water pipe drain valve according to claim 4 is characterized in that, with
Figure 2012105849311100001DEST_PATH_IMAGE015
,,
Figure 2012105849311100001DEST_PATH_IMAGE017
Three parameters are as the sign parameter of trap leaking fault, and in conjunction with the principle of Fuzzy Pattern Recognition, further judge the trap leaking degree;
Concrete steps are:
At first with the amplitude of variation of each sign parameter, be converted to the fuzzy expression of sign parameter, represent four intervals that the sign parameter changes with 1,0.5,0.25,0, represent respectively the large and small degree of the amplitude of variation of each sign parameter, as follows:
Figure 2012105849311100001DEST_PATH_IMAGE018
Figure 2012105849311100001DEST_PATH_IMAGE019
Figure 2012105849311100001DEST_PATH_IMAGE021
---the sign parameter
Figure 403774DEST_PATH_IMAGE015
Corresponding failure symptom value;
---the sign parameterCorresponding failure symptom value;
---the sign parameter
Figure 412237DEST_PATH_IMAGE017
Corresponding failure symptom value;
Figure 2012105849311100001DEST_PATH_IMAGE024
---the limit value that the sign parameter sharply raises, determine according to fluid properties in the drain valve of monitoring;
Figure 2012105849311100001DEST_PATH_IMAGE025
---the limit value that the sign parameter slowly raises, determine according to fluid properties in the drain valve of monitoring;
Figure 2012105849311100001DEST_PATH_IMAGE026
---the slight limit value that raises of sign parameter, determine according to fluid properties in the drain valve of monitoring;
The typical fault characteristic vector that makes up the fuzzy diagnosis of trap leaking degree is as follows:
Figure 2012105849311100001DEST_PATH_IMAGE027
Wherein,
Figure 2012105849311100001DEST_PATH_IMAGE028
,
Figure 2012105849311100001DEST_PATH_IMAGE029
,
Figure DEST_PATH_IMAGE030
,
Figure DEST_PATH_IMAGE031
Respectively correspondingly seriously leak, moderate is leaked, slightly leak and without leaking four kinds of typicalnesses;
According to the temperature data that gathers, the characteristic vector that arrangement obtains under the current working isux=, set up its fuzzy membership functions, calculate:
i=1,2,3,4,
Figure DEST_PATH_IMAGE034
i=1,2,3,4,
Figure DEST_PATH_IMAGE035
i=1,2,3,4,
According to maximum membership grade principle, obtain:
Which state that can identify in the current running state of drain valve and the four kinds of typicalnesses approaches, and then makes the judgement of leakiness.
CN201210584931.1A2012-12-302012-12-30The online leakage detection apparatus of Thermal Power Station's steam-water pipe drain valveExpired - Fee RelatedCN103016948B (en)

Priority Applications (1)

Application NumberPriority DateFiling DateTitle
CN201210584931.1ACN103016948B (en)2012-12-302012-12-30The online leakage detection apparatus of Thermal Power Station's steam-water pipe drain valve

Applications Claiming Priority (1)

Application NumberPriority DateFiling DateTitle
CN201210584931.1ACN103016948B (en)2012-12-302012-12-30The online leakage detection apparatus of Thermal Power Station's steam-water pipe drain valve

Publications (2)

Publication NumberPublication Date
CN103016948Atrue CN103016948A (en)2013-04-03
CN103016948B CN103016948B (en)2015-10-28

Family

ID=47965868

Family Applications (1)

Application NumberTitlePriority DateFiling Date
CN201210584931.1AExpired - Fee RelatedCN103016948B (en)2012-12-302012-12-30The online leakage detection apparatus of Thermal Power Station's steam-water pipe drain valve

Country Status (1)

CountryLink
CN (1)CN103016948B (en)

Cited By (18)

* Cited by examiner, † Cited by third party
Publication numberPriority datePublication dateAssigneeTitle
CN103937548A (en)*2013-06-252014-07-23贵州宜化化工有限责任公司Gas-making furnace steam leakage detection method
CN104819384A (en)*2015-04-292015-08-05广东公诚设备资产服务有限公司Pipeline connecting pipe fitting seepage detection device and method
CN105004490A (en)*2015-05-262015-10-28龙岩烟草工业有限责任公司Method and system for detecting leakage of drain valve
CN105849766A (en)*2013-12-252016-08-10Tlv有限公司Process system managmenet system, server device, management program, and management method
CN106402641A (en)*2016-11-112017-02-15北京疏水阀门厂Trap leakage monitoring system and method
CN106651634A (en)*2016-10-102017-05-10大连中智精工科技有限责任公司Steam trap data management system
CN107063581A (en)*2017-06-012017-08-18北京京能未来燃气热电有限公司Valves leakage detection means and detection method
CN107580672A (en)*2015-03-132018-01-12森特理克联网家居有限公司 flow determination
CN108050372A (en)*2018-01-122018-05-18浙江华峰氨纶股份有限公司A kind of online leak-checking apparatus based on Free Float Type Steam Trap principle
CN110375924A (en)*2019-08-062019-10-25河南理工大学A kind of power plant valve leakage Quantitative Evaluation System
CN110409089A (en)*2019-07-242019-11-05常州宏大智能装备产业发展研究院有限公司Steam baking tube siphon pipe breakage online test method
CN112197163A (en)*2020-10-292021-01-08河北白沙烟草有限责任公司保定卷烟厂Steam trap state monitoring system and method
CN112212224A (en)*2020-10-152021-01-12海盐于通管件制造有限公司Pipeline water leakage detection method
CN113324700A (en)*2021-05-102021-08-31中国能源建设集团广东省电力设计研究院有限公司Leakage fault detection system and method for drain valve
CN113409969A (en)*2021-02-052021-09-17海南核电有限公司Nuclear power plant valve internal leakage fault diagnosis method
CN114341542A (en)*2019-08-072022-04-12永跃股份有限公司Steam trap monitoring apparatus, system and related techniques
CN114414175A (en)*2022-01-172022-04-29山东电力工程咨询院有限公司 A method and system for detecting internal leakage of a thermal system drain valve
US12415191B2 (en)2021-05-212025-09-16Universal City Studios LlcSteam effect nozzle for entertainment venue

Citations (5)

* Cited by examiner, † Cited by third party
Publication numberPriority datePublication dateAssigneeTitle
CN201844205U (en)*2010-11-122011-05-25河北省电力建设调整试验所Measuring device for drainage leakage of power plant feed water heater emergency drainage pipeline
CN102095083A (en)*2010-12-162011-06-15上海工业自动化仪表研究院Detecting system used for leakage of gas valve
JP2011196997A (en)*2010-02-252011-10-06Tokyo Electric Power Co Inc:TheSystem and method for measuring loss in steam pipe
CN102478445A (en)*2010-11-232012-05-30华东电力试验研究院有限公司Method for detecting internal leakage of valve of thermodynamic system in power plant
CN202582761U (en)*2012-02-232012-12-05华北电力大学(保定)Power plant direct air-cooled condenser temperature field on-line monitoring device

Patent Citations (5)

* Cited by examiner, † Cited by third party
Publication numberPriority datePublication dateAssigneeTitle
JP2011196997A (en)*2010-02-252011-10-06Tokyo Electric Power Co Inc:TheSystem and method for measuring loss in steam pipe
CN201844205U (en)*2010-11-122011-05-25河北省电力建设调整试验所Measuring device for drainage leakage of power plant feed water heater emergency drainage pipeline
CN102478445A (en)*2010-11-232012-05-30华东电力试验研究院有限公司Method for detecting internal leakage of valve of thermodynamic system in power plant
CN102095083A (en)*2010-12-162011-06-15上海工业自动化仪表研究院Detecting system used for leakage of gas valve
CN202582761U (en)*2012-02-232012-12-05华北电力大学(保定)Power plant direct air-cooled condenser temperature field on-line monitoring device

Cited By (22)

* Cited by examiner, † Cited by third party
Publication numberPriority datePublication dateAssigneeTitle
CN103937548A (en)*2013-06-252014-07-23贵州宜化化工有限责任公司Gas-making furnace steam leakage detection method
CN105849766A (en)*2013-12-252016-08-10Tlv有限公司Process system managmenet system, server device, management program, and management method
CN105849766B (en)*2013-12-252021-02-19Tlv有限公司Process system management system, server device, management program, and management method
CN107580672A (en)*2015-03-132018-01-12森特理克联网家居有限公司 flow determination
CN104819384A (en)*2015-04-292015-08-05广东公诚设备资产服务有限公司Pipeline connecting pipe fitting seepage detection device and method
CN104819384B (en)*2015-04-292017-05-10广东公诚设备资产服务有限公司Pipeline connecting pipe fitting seepage detection device and method
CN105004490A (en)*2015-05-262015-10-28龙岩烟草工业有限责任公司Method and system for detecting leakage of drain valve
CN106651634A (en)*2016-10-102017-05-10大连中智精工科技有限责任公司Steam trap data management system
CN106402641B (en)*2016-11-112018-12-28北京疏水阀门厂A kind of trap leaking monitoring system and its method
CN106402641A (en)*2016-11-112017-02-15北京疏水阀门厂Trap leakage monitoring system and method
CN107063581A (en)*2017-06-012017-08-18北京京能未来燃气热电有限公司Valves leakage detection means and detection method
CN108050372A (en)*2018-01-122018-05-18浙江华峰氨纶股份有限公司A kind of online leak-checking apparatus based on Free Float Type Steam Trap principle
CN110409089B (en)*2019-07-242021-08-03常州宏大智能装备产业发展研究院有限公司On-line detection method for damage of siphon tube of steam drying cylinder
CN110409089A (en)*2019-07-242019-11-05常州宏大智能装备产业发展研究院有限公司Steam baking tube siphon pipe breakage online test method
CN110375924A (en)*2019-08-062019-10-25河南理工大学A kind of power plant valve leakage Quantitative Evaluation System
CN114341542A (en)*2019-08-072022-04-12永跃股份有限公司Steam trap monitoring apparatus, system and related techniques
CN112212224A (en)*2020-10-152021-01-12海盐于通管件制造有限公司Pipeline water leakage detection method
CN112197163A (en)*2020-10-292021-01-08河北白沙烟草有限责任公司保定卷烟厂Steam trap state monitoring system and method
CN113409969A (en)*2021-02-052021-09-17海南核电有限公司Nuclear power plant valve internal leakage fault diagnosis method
CN113324700A (en)*2021-05-102021-08-31中国能源建设集团广东省电力设计研究院有限公司Leakage fault detection system and method for drain valve
US12415191B2 (en)2021-05-212025-09-16Universal City Studios LlcSteam effect nozzle for entertainment venue
CN114414175A (en)*2022-01-172022-04-29山东电力工程咨询院有限公司 A method and system for detecting internal leakage of a thermal system drain valve

Also Published As

Publication numberPublication date
CN103016948B (en)2015-10-28

Similar Documents

PublicationPublication DateTitle
CN103016948A (en)Online leak detection device for steam trap of steaming-water pipeline of thermal power plant
Zhou et al.A review of leakage detection methods for district heating networks
CN109915736B (en)Thermal pipe network system and leakage detection method thereof
CN110245411B (en) A central heating system for cities and towns and a leak point detection method
CN103491651B (en)A kind of exception/fault position finding and detection method based on Two Binomial Tree Model
CN104048842B (en)A kind of thermal loss of steam turbine rate on-line monitoring method based on soft-measuring technique
CN103616136B (en)A kind of heat distribution pipeline valve leak state monitoring method
CN111059457B (en)System and method for judging working state of steam heating pipe network infrastructure
CN206258226U (en)A kind of heating pipeline leakage monitoring system based on hot aqueous medium
CN105781629B (en)A kind of temperature of power plant steam turbine steam pipework drain valve control method
CN107101785A (en)Multi-parameter combined type high-pressure heater leakage monitoring system
CN118243252A (en)Inspection system and method for power plant pipeline based on temperature sensing optical fiber
CN110345463A (en)A kind of boiler incipient fault recognition methods and device
CN202582601U (en)Cogeneration boiler heating surface state detection, analysis and management system
CN105092157B (en)A kind of internal leakage of valve of thermodynamic system in power plant diagnostic method and diagnostic system
CN110513160A (en)A kind of turbine water induction, into cold security alarm and method for early warning
CN204201492U (en)The real-time monitoring device that a kind of high-pressure power plant feed water preheater bypass duct leaks
CN114113464B (en) On-line testing device and method for wet steam dryness of steam transmission pipeline
CN110031152B (en)Thermal heating system and method for detecting temperature deviation accumulation leakage of adjacent days
CN109974311B (en)Solar energy leakage detection system
RU182291U1 (en) DEVICE FOR CONTROL OF CHANGE DURING OPERATION OF THE CORROSION STATE OF THE SURFACE OF A COAT-AND-TUBE STEAM-AND-TUBE HEAT EXCHANGER ON THE STEAM SIDE
CN208606637U (en)A kind of heat exchanger operation conditions intelligent on-line monitoring device
CN215338770U (en)No. 3 high pressure feed water heater of steam turbine leaks collection system and system
CN207300509U (en)Multi-parameter combined type high-pressure heater leakage monitoring system
CN103940473B (en) A method and device for testing the amount of steam leakage between cylinder seals of high and medium pressure cylinder combined cylinder steam turbine

Legal Events

DateCodeTitleDescription
C06Publication
PB01Publication
C10Entry into substantive examination
SE01Entry into force of request for substantive examination
C14Grant of patent or utility model
GR01Patent grant
CF01Termination of patent right due to non-payment of annual fee
CF01Termination of patent right due to non-payment of annual fee

Granted publication date:20151028

Termination date:20161230


[8]ページ先頭

©2009-2025 Movatter.jp