Movatterモバイル変換


[0]ホーム

URL:


CN103001680A - A weight transmission method and device - Google Patents

A weight transmission method and device
Download PDF

Info

Publication number
CN103001680A
CN103001680ACN201110271773XACN201110271773ACN103001680ACN 103001680 ACN103001680 ACN 103001680ACN 201110271773X ACN201110271773X ACN 201110271773XACN 201110271773 ACN201110271773 ACN 201110271773ACN 103001680 ACN103001680 ACN 103001680A
Authority
CN
China
Prior art keywords
weight
beamforming
frame
valid
unit
Prior art date
Legal status (The legal status is an assumption and is not a legal conclusion. Google has not performed a legal analysis and makes no representation as to the accuracy of the status listed.)
Granted
Application number
CN201110271773XA
Other languages
Chinese (zh)
Other versions
CN103001680B (en
Inventor
杨国瑞
陈庆勇
夏林峰
Current Assignee (The listed assignees may be inaccurate. Google has not performed a legal analysis and makes no representation or warranty as to the accuracy of the list.)
Huawei Technologies Co Ltd
Original Assignee
Huawei Technologies Co Ltd
Priority date (The priority date is an assumption and is not a legal conclusion. Google has not performed a legal analysis and makes no representation as to the accuracy of the date listed.)
Filing date
Publication date
Application filed by Huawei Technologies Co LtdfiledCriticalHuawei Technologies Co Ltd
Priority to CN201110271773.XApriorityCriticalpatent/CN103001680B/en
Priority to PCT/CN2012/081421prioritypatent/WO2013037313A1/en
Publication of CN103001680ApublicationCriticalpatent/CN103001680A/en
Application grantedgrantedCritical
Publication of CN103001680BpublicationCriticalpatent/CN103001680B/en
Expired - Fee Relatedlegal-statusCriticalCurrent
Anticipated expirationlegal-statusCritical

Links

Images

Classifications

Landscapes

Abstract

An embodiment of the invention provides a method and a device for transmitting a weight. The method includes receiving a channel test signal transmitted by a beamformer; testing a channel to obtain the corresponding weight; determining a valid duration corresponding to the weight; storing the weight in a very high throughput (VHT) compressed beamforming report element; and transmitting a VHT compressed beamforming frame comprising the VHT compressed beamforming report element to the beamformer within the valid duration of the weight. The method and the device have the advantages that the corresponding weight is obtained after the channel of the beamformer is tested, the duration corresponding to the weight is set, the weight is further fed to the beamformer after the validity of the duration of the weight is judged, the problem of outdated information of a weight acquired by an existing beamformer is solved, and the quality of follow-up communication is improved.

Description

A kind of transmission method of weights and device
Technical field
The present invention relates to communication technical field, particularly a kind of transmission method of weights and device.
Background technology
Development along with the communication technology, in the WLAN (wireless local area network), in order to improve communication quality, there is Channel Detection (Sounding) mechanism between a kind of beam forming promoter (Beamformer) website and beam forming recipient (Beamformee) website.Described Sounding mechanism specifically comprises:
At first, the Beamformer website sends empty packet announcement (NDPA to single or multiple Beamformee websites, Null Data Packet Announcement) frame, related address (the AID that carries in notice and this announcement frame, Assocation identifier, being called again associated flag symbol) the Beamformee website that is complementary prepares to carry out channel detection, and indicate the content of its feedback weight, then, described Beamformer sends the empty packet (NDP that does not comprise data, Null Data Packet) frame provides the test parameter of channel for Beamformee.Test after described Beamformee website is received the NDP frame, calculate weights according to the result of test, and the weights that calculate are saved in very in high-throughput (VHT, Very High Throughput) the compressional wave beam forming form.SIFS after described NDP sends is after the period, and the first Beamformee that carries out Channel Detection in this single Beamformee or the empty packet announcement NDPA frame sends the VHT Compressed Beamforming frame that comprises VHT compressional wave beam forming form element to Beamformer; Afterwards, described Beamformer successively other BeamformeeBeamformee in this NDPA frame sends beam forming response request frame (Beamforming Report Poll) frame, but, because other Beamformee in this NDPA frame does not receive NDPA frame or NDP frame, can't do channel test, thereby can't obtain up-to-date calculating weights, if this Beamformee has compressional wave beam forming form (weights in this form are not up-to-date), then normal transmission comprises the VHT Compressed Beamforming frame of this VHT compressional wave beam forming form element, if Beaformee does not have compressional wave beam forming form, perhaps do not have weights in the form, then send a VHT Compressed Beamforming frame that does not contain compressional wave beam forming form element.
In the research and practice process to prior art, the present inventor finds, in the existing implementation, compressional wave beam forming form to the Berformee preservation, because multiple may the inefficacy, just do not send the compressional wave beam forming form of preserving if do not add identification, the feedback weight that then may cause Beamformer to collect is expired, thereby affects follow-up communication quality.
Summary of the invention
The embodiment of the invention provides a kind of transmission method and device of weights, to solve the expired technical problem of weights that receives in the prior art, to improve communication quality.
For solving the problems of the technologies described above, the embodiment of the invention provides a kind of transmission method of weights, and described method comprises:
The channel test signal that received beam moulding sender sends;
Channel is tested the weights that obtain correspondence;
Determine effective duration that described weights are corresponding;
Described weights are kept at very in the high-throughput VHT compressional wave beam forming form element;
In effective duration of described weights, send described VHT compressional wave beam forming form element to described beam forming sender.
Accordingly, the embodiment of the invention also provides a kind of transmitting device of weights, and described device comprises:
The first receiving element is used for the channel test signal that received beam moulding sender sends;
Test cell is used for channel is tested the weights that obtain correspondence;
Determining unit is used for determining effective duration corresponding to described weights;
Memory cell is used for described weights are kept at very high-throughput VHT compressional wave beam forming form element;
The first transmission unit is used for sending described VHT compressional wave beam forming form element to described beam forming sender in effective duration of described weights.
Description of drawings
The flow chart of the transmission method of a kind of weights that Fig. 1 provides for the embodiment of the invention;
The flow chart of the transmission method of the another kind of weights that Fig. 2 provides for the embodiment of the invention;
The frame structure schematic diagram of a kind of NDPA frame that Fig. 3 provides for the embodiment of the invention;
The structural representation of the transmitting device of a kind of weights that Fig. 4 provides for the embodiment of the invention.
Embodiment
In order to make those skilled in the art person understand better the scheme of the embodiment of the invention, below in conjunction with drawings and embodiments the embodiment of the invention is described in further detail.
See also Fig. 1, the flow chart of the transmission method of a kind of weights that provide for the embodiment of the invention; Described method comprises step;
Step 101: the channel test signal that received beam moulding sender (Beamformer) sends;
In this step, can be that all beam forming recipients (Beamformee), single beam forming recipient or website (STA, Station) receive the channel test signal that the beam forming sender sends.Wherein, the channel test signal can be sky packet (NDP, Null Data Packet) frame, and its objective is as the beam forming recipient provides the channel test parameter.But be not limited to this, can also have the empty frame that other do not comprise data, present embodiment is not restricted.
Step 102: channel is tested the weights that obtain correspondence;
Wherein, to the test that channel carries out, for example adopt the mode of channel estimating that channel is tested.That is to say that the beam forming recipient adopts the mode of channel estimating that the channel of self is tested, and obtains weights according to test result after receiving the channel test signal.
Step 103: determine effective duration that described weights are corresponding;
In this embodiment, determine that effective duration corresponding to weights illustrates with following five kinds of embodiment:
The first is: 1) determine beam forming recipient self translational speed;
2) carry out stepping according to the size of described translational speed, obtain the class of friction speed; Such as being divided into high, medium and low third gear, but be not limited to this.
3) be effective duration corresponding to each grade Speed Setting, described effective duration can be controlled by counter, also can realize by other similar counter blocks; Class is higher, and effective duration of setting is just shorter.
4) when described weights being kept at very in high-throughput (VHT, Very High Throughput) the compressional wave beam forming form element, start counter counts down.
In this step, the counting of counter certainly, can arrange the counting of counter to increase progressively as example to be decremented to example, and present embodiment is not restricted.Such as, the corresponding effective duration of each speed class, effectively duration unit can be us, is set to T1, T2, T3 such as basic, normal, high fast grade duration.T1>T2>T3 starts described counter, described counter counts down when weights being kept at VHT compressional wave beam forming form element.
The second is: 1) calculate Doppler frequency shift according to beam forming recipient's rate travel;
2) calculate effective duration of weights according to described Doppler frequency shift and channel similarity.
The third is: before the channel test signal announcement that received beam moulding promoter sends, if receive the media access control (MAC) frame that received beam moulding promoter sends, comprise first effective duration information of indicating weight setting in the described media access control (MAC) frame; Then when determining effective duration corresponding to described weights, can determine effective duration that described weights are corresponding according to first effective duration information of described media access control (MAC) frame indicating weight setting.
The 4th kind is: before the channel test signal announcement that received beam moulding promoter sends, if receive the beacon frame that the beam forming promoter sends, described beacon frame comprises second effective duration information of indicating weight setting; Second effective duration information can be identical with described first effective duration information, also can be different; Then when determining effective duration corresponding to described weights, can determine effective duration that described weights are corresponding according to second effective duration information of described beacon frame indicating weight setting.
The 5th kind, when described channel test signal announcement comprised the 3rd effective duration information of indicating weight setting, wherein, the described the 3rd effective duration information can be identical with described first effective duration or second effective duration, also can be different,
Described definite effective duration corresponding to described weights is specially: the 3rd effective duration information according to described indication weight setting is determined effective duration that described weights are corresponding.
But determining that specifically effective duration corresponding to weights is not limited to above-mentioned five kinds of modes, can be other mode, and present embodiment is not restricted.
Step 104: described weights are kept at very in the high-throughput VHT compressional wave beam forming form element;
Step 105: in effective duration of described weights (being in the effective time of weights), send described VHT compressional wave beam forming form element to described beam forming sender.Such as, can described VHT compressional wave beam forming form element be sent to the beam forming sender by VHT compressional wave beam forming frame, but be not limited to this, can also send by other frame.
Wherein, among this embodiment, described beam forming person will feed back to the beam forming promoter with described weights, described beam forming promoter will be weighted, to improve beam forming recipient's reception condition to signal transmission.
Preferably, in this embodiment, send described VHT compressional wave beam forming form element to described beam forming sender before, described method can also comprise: the beam forming response request frame that received beam moulding sender sends; Afterwards, in effective duration of described weights, send described VHT compressional wave beam forming form element to described beam forming sender, specifically can send described VHT compressional wave beam forming form element to described beam forming sender by VHT compressional wave beam forming frame.
Preferably, described method can also comprise: judge whether self is the first beam forming recipient of appointment in the described channel test signal announcement, if, execution sends the step of described VHT compressional wave beam forming form element to described beam forming sender in effective duration of described weights; Otherwise, carry out the beam forming response request frame that described received beam moulding sender sends; In effective duration of described weights, send the step of described VHT compressional wave beam forming form element to described beam forming sender.
That is to say, in this step, if the beam forming recipient determines the first beam forming recipient of appointment in announcing as described channel test signal, then within the effective time of described weights, send the VHT compressional wave beam forming frame that comprises described VHT compressional wave beam forming form element to described beam forming sender; Perhaps
If the beam forming recipient determines the non-first beam forming recipient of appointment in announcing as described channel test signal, then behind the beam forming response request frame that receives beam forming sender transmission, in the effective situation of described weights, send the VHT compressional wave beam forming frame that comprises described VHT compressional wave beam forming form element to described beam forming sender.
In the embodiment of the invention, the beam forming recipient is after testing channel, obtain corresponding weights, and for setting effective duration of corresponding weights, and after judging that described weights are effectively, feed back this weights to the beam forming sender again, solved the expired phenomenon of described weights information that the beam forming sender collects, saving has improved the quality of subsequent communications to the cost of possession of channel resource.
Also see also Fig. 2, the flow chart of the transmission method of the another kind of weights that provide for the embodiment of the invention, described method comprises:
Step 201: the channel test signal announcement that received beam moulding promoter sends;
In this step, the announcement of channel test signal can be sky packet announcement (NDPA, Null Data Packet Announcement) frame, but is not limited to this.The schematic diagram of the frame structure of described NDPA frame as shown in Figure 3, in Fig. 3, described NDPA frame comprises following field: frame control, duration, receiving terminal address (RA, Receiver address), transmitting terminal address (TA, Transmitter address), detection sequence (Sounding), site STA Info1 to STA InfoN and Frame Check Sequence (FCS, Frame Check Sequence) etc., wherein, described detection sequence comprises again: reserved field and sequence number; Described site STA 1 Info1 comprises: associated flag symbol (AID, Assocation identifier, i.e. related address), feedback kind and NC Index, specifically as shown in Figure 3.In like manner, among the described STA InfoN, each website all can comprise AID, feedback kind and NC Index, and is not shown in the figures.
Among Fig. 3, if if described receiving terminal address RA unicast address then indicate Beamformer that single Beamformee is carried out channel detection, n=1 among this moment STA Info n;
If if described receiving terminal address RA multicast address then indicate Beamformer that a plurality of Beamformee are carried out channel detection, n>1 among this moment STAInfo n;
The beam forming recipient can also determine it self is first beam forming recipient according to this receiving terminal address, also the first beam forming recipient of right and wrong.
Described Sounding sequence is used to indicate the order of this NDPA frame, is used to indicate the corresponding NDPA frame batch number of VHT compressional wave beam forming form of Beamformee feedback;
Described STA info is used to indicate those STA (AID is the numbering of corresponding STA) and prepares to intercept the NDP frame and carry out channel detection;
It is the related address AID that Beamformee distributes that described AID field represents Beamformer.
Described Feedback the type field represents feedback kind, is mainly used to distinguish SU-MIMO (Feedback Type=0) scene and MU-MIMO (Feedback Type=1) scene.
Described NC Index field is set to 0 under the SU-MIMO scene, and is set to feed back accordingly dimension in that the MU-MIMO scene is next.
Step 202: determine self whether to be beam forming recipient to be measured according to described channel test signal announcement, if so, execution instep 203; Otherwise execution instep 208 finishes this flow process;
In this step, if received beam moulding recipient is complementary with the related address AID of described channel test signal announcement, illustrate that then described received beam moulding recipient is beam forming recipient to be measured, afterwards, beam forming recipient to be measured enters test mode, waits for the channel test signal that the beam forming sender sends (such as the NDP frame etc.).
Step 203: the channel test signal that received beam moulding sender sends;
This channel test signal can be the NDP frame, but is not limited to this.
Step 204: channel is tested the weights that obtain correspondence;
Step 205: determine effective duration that described weights are corresponding;
The detailed process of effective duration that its concrete definite described weights are corresponding sees the description of above-mentioned correspondence for details.
Step 206: described weights are kept in the VHT compressional wave beam forming form element;
Step 207: in effective duration of described weights, send the VHT compressional wave beam forming frame that comprises described VHT compressional wave beam forming form element to described beam forming sender.
In this step, can described VHT compressional wave beam forming form element be sent to the beam forming sender by VHT compressional wave beam forming frame, but be not limited to this.
Among this embodiment, step 203 to step 207 specifically sees for details above-mentioned.
On the basis of above-described embodiment, within the effective time of described weights, send to described beam forming sender and to comprise before the VHT compressional wave beam forming frame of described VHT compressional wave beam forming form element, described method can further include:
Judge whether weights are effective, if weights are effective, then carry out within the effective time of described weights, send the step of described VHT compressional wave beam forming form element to described beam forming sender; Otherwise, within the effective time of described weights, do not send described VHT compressional wave beam forming form element to described beam forming sender, such as, the described VHT compressional wave beam forming frame that does not comprise described VHT compressional wave beam forming form element that sends to the beam forming sender.
Further, described method can also comprise: after judging that described weights are invalid, empty the described weights in the compressional wave beam forming form element.
Wherein, describedly judge whether effectively process of weights, present embodiment illustrates as an example of two kinds of situations example, but is not limited to this:
A kind ofly be, judge whether the counting of counter makes zero, if the counting of counter does not make zero, judge that then described effective duration is effective; Otherwise, judge that described effective duration is invalid;
Another kind is: if set to calculate weights effective duration the time be carved into feedback weight constantly the time T after, effective duration of more described weights and the time T of setting, if described time T, judges then that effective duration of described weights is effective less than or equal to effective duration of weights; Otherwise, judge that effective duration of described weights is invalid.
Among the another kind of embodiment, the beam forming recipient receives the media access control MAC frame that the beam forming promoter sends again, and described media access control MAC frame comprises first effective duration information of indicating weight setting; Specifically can be by the media access control (MAC) frame of clean culture, broadcasting or multicast mode received beam moulding promoter transmission; Wherein, any field in the described mac frame all can comprise first effective duration information of indicating weight setting, such as, existing field, reserved field or extended field etc. in the described mac frame.
Afterwards, the beam forming recipient tests the weights that obtain correspondence to channel behind the channel test signal that receives beam forming sender transmission;
Afterwards, the beam forming recipient determines effective duration that described weights are corresponding according to first effective duration information of described media access control (MAC) frame indicating weight setting.
Described weights are kept in the VHT compressional wave beam forming form element, and in effective duration of described weights, send the VHT compressional wave beam forming frame that comprises described VHT compressional wave beam forming form element to described beam forming sender.
Preferably, in this example, described mac frame can comprise: broadcasting mac frame, multicast mac frame or clean culture mac frame.Wherein, described broadcasting mac frame can be beacon frame, and described multicast mac frame can be the NDPA frame; Described clean culture mac frame can be association request frame or association response frame.But be not limited to this.
In another kind of embodiment, the beam forming recipient receives the channel test signal announcement that the beam forming promoter sends; Announcement confirms self whether to be beam forming recipient to be measured according to described channel test signal, and is confirming to enter the channel test state when self being beam forming recipient to be measured; And
Behind the channel test signal that receives beam forming sender transmission; Channel is tested the weights that obtain correspondence, wherein, described channel test signal announcement comprises second effective duration information of indicating weight setting, described second effective duration information and described first effective duration are identical or different, specifically can in the receiving terminal address RA field of channel test signal announcement, comprise second effective duration information of indicating weight setting, but be not limited to this.
The beam forming recipient determines effective duration that described weights are corresponding according to second effective duration information of described indication weight setting, described weights are kept in the VHT compressional wave beam forming form element, and in the effective duration at described weights, send the VHT compressional wave beam forming frame that comprises described VHT compressional wave beam forming form element to described beam forming sender.
Preferably, in this embodiment, the beam forming recipient receives the channel test signal announcement that the beam forming promoter sends by multicast mode.
In the embodiment of the invention, counter by setting effective duration and effective time comparison mechanism judge the validity of the feedback weight of preserving, determine again afterwards the content (namely whether comprising the VHT compressional wave beam forming form element that stores weights) that its VHT Compressed Beamforming frame that sends comprises, can prevent the expired phenomenon of information that Beamformer collects.
Based on the implementation procedure of said method, the embodiment of the invention also provides a kind of transmitting device of weights, and its structural representation as shown in Figure 4, described device comprises: the first receivingelement 41,test cell 42, determiningunit 43,memory cell 44 and thefirst transmission unit 45, wherein
Described the first receivingelement 41 is used for the channel test signal that received beam moulding sender sends; Wherein, the channel test signal can be the NDP frame, and its objective is as the recipient provides the channel test parameter.But be not limited to this, can also have the empty frame that other do not comprise data, present embodiment is not restricted.
Describedtest cell 42 is used for channel is tested the weights that obtain correspondence;
Wherein, to the test that channel carries out, for example adopt the mode of channel estimating that channel is tested.That is to say that the beam forming recipient adopts the mode of channel estimating that the channel of self is tested, and obtains weights according to test result after receiving the channel test signal.
Described determiningunit 43 is used for determining effective duration corresponding to described weights; A kind ofly be: 1) determine beam forming recipient self translational speed; 2) carry out stepping according to the size of described translational speed, obtain the speed of different shelves; Such as being divided into high, normal, basic third gear, but do not show in this.3) be duration corresponding to each grade Speed Setting, described duration is controlled by counter; That is to say that shelves speed is higher, the duration of setting is just shorter.4) when described weights being kept in the compressional wave beam forming form, start counter counts down.Another kind is: 1) calculate Doppler frequency shift according to beam forming recipient's rate travel; 2) calculate the duration of weights according to described Doppler frequency shift and channel similarity.But determining that specifically duration corresponding to weights is not limited to above-mentioned dual mode, can be other mode, such as other three kinds in above-mentioned five kinds of definite modes etc.
Describedmemory cell 44 is used for described weights are kept at very high-throughput VHT compressional wave beam forming form element;
Described thefirst transmission unit 45, be used in effective duration of described weights, send described VHT compressional wave beam forming form element to described beam forming sender, specifically can send described VHT compressional wave beam forming form element to described beam forming sender by VHT compressional wave beam forming frame.
Preferably, described device can further include: the second receiving element and the first judging unit, wherein, described the second receiving element, be used for before described the first receiving element receives described channel test signal the channel test signal announcement that received beam moulding promoter sends; The first judging unit, be used for confirming self whether to be beam forming recipient to be measured according to described channel test signal announcement, and confirming to start the channel test signal that described the first receiving element received beam moulding sender sends when self being beam forming recipient to be measured.
Preferably, described device can also comprise: the 3rd receiving element, be connected with described the first transmission unit, and be used for receiving the beam forming response request frame that described beam forming sender sends;
Described the second transmission unit, also be used for after the 3rd receiving element receives the beam forming response request frame of described beam forming sender transmission, in effective duration of described weights, send described VHT compressional wave beam forming form element to described beam forming sender.
Preferably, described device can also comprise: the second judging unit is used for judging self whether to be the first beam forming recipient of described channel test signal announcement appointment, and the judged result that will be sends to the first transmission unit; No judged result is sent to the second transmission unit.
Preferably, described determining unit comprises: the speed determining unit, and stepping unit, duration setup unit and count enable unit, wherein, described speed determining unit is used for determining beam forming recipient self translational speed; Described stepping unit is used for carrying out stepping according to the size of described translational speed, obtains the speed of different shelves; Described duration setup unit is used to effective duration corresponding to each grade Speed Setting, and described duration is controlled by counter; Described count enable unit is used for starting counter counts down when described memory cell is kept at VHT compressional wave beam forming form element with described weights.
Preferably, described determining unit comprises: frequency displacement computing unit and duration calculation unit, and wherein, the frequency displacement computing unit is used for calculating Doppler frequency shift according to beam forming recipient's rate travel; Described duration calculation unit is used for the effective duration according to described Doppler frequency shift and channel similarity calculating weights.
Preferably, described device can also comprise: the 3rd judging unit and the 3rd transmission unit, wherein,
Described the 3rd judging unit is used for judging whether weights are effective, if effectively, then the effective judged result of weights is sent to described the first transmission unit; The judged result that weights are invalid sends to the 3rd transmission unit;
Described the 3rd transmission unit is used for sending the VHT compressional wave beam forming frame that does not comprise described VHT compressional wave beam forming form element to described beam forming sender when described weights invalid.
Preferably, described the 3rd judging unit comprises: counting judging unit and/or comparison judgment unit, wherein, described counting judging unit, be used for judging whether the counting of counter makes zero, if the counting of counter does not make zero, determine that then described weights are effective, send to described the first transmission unit with the effective judged result of weights; Otherwise, determine that described weights are invalid, the judged result that weights are invalid sends to described the 3rd transmission unit; Described comparison judgment unit is used for that effective duration of weights is carved into feedback weight time T constantly when calculating weights and compares; If described time T is not more than effective duration of weights, determine that then described weights are effective, send to described the first transmission unit with the effective judged result of weights; Otherwise, determine that described weights are invalid, the judged result that weights are invalid sends to described the second transmission unit.
Preferably, described device can also comprise: delete cells, be connected with the 3rd judging unit, and be used for after judging that described weights are invalid, emptying the described weights in the described VHT compressional wave beam forming form element.
Preferably, before the channel test signal announcement that described the second receiving element received beam moulding promoter sends, described device can also comprise: the 4th receiving element, be used for the media access control MAC frame that received beam moulding promoter sends, described media access control MAC frame comprises first effective duration information of indicating weight setting; Specifically can be by the media access control MAC frame of clean culture, broadcasting or multicast mode received beam moulding promoter transmission.
Described determining unit specifically is used for: determine effective duration that described weights are corresponding according to first effective duration information of described media access control MAC frame indicating weight setting or second effective duration information of beacon frame indicating weight setting.
Wherein, the described mac frame that described the 4th receiving element receives comprises: broadcasting mac frame, multicast mac frame and clean culture mac frame, and wherein, described broadcasting mac frame can be beacon frame, described multicast mac frame can be the NDPA frame; Described clean culture mac frame can be association request frame or association response frame.But be not limited to this.
Preferably, when comprising second effective duration information of indicating weight setting in the receiving terminal address RA field of the described channel test signal announcement that described the second receiving element receives, described second effective duration information can be identical with described first effective duration, also can be different
Described determining unit specifically is used for: second effective duration information according to described indication weight setting is determined effective duration that described weights are corresponding.
The implementation procedure of the function of unit and usefulness sees implementation procedure corresponding in the said method for details in the described device.
For the ease of those skilled in the art's understanding, the below illustrates with concrete example.
Embodiment one
Among this embodiment, effective situation of the compressional wave beam forming form of mainly Beamformee being preserved judges that its process comprises:
1), site STA receives the NDPA frame that Beamformer sends, if with the NDPA frame in related address AID be complementary, then knowing oneself becomes Beamformee to be measured, and enters test mode and wait for that Beamfomer sends the NDP frame.
2) after, Beamformee receives test signal NDP frame, calculate channel estimation value, and according to channel estimation value compute beam moulding (beamforming) weights coefficient, and with this weights system be saved in the compression be saved in the VHT compressional wave beam forming form element, simultaneously, according to self translational speed (can utilize channel estimating degree of testing the speed or use GPS degree of testing the speed etc.), translational speed is carried out stepping (such as can being divided into basic, normal, high speed shelves etc., but being not limited to this).(every grade of corresponding duration of speed, duration unit can be us, is set to respectively T1, T2, T3 such as the duration of basic, normal, high speed shelves to set the duration of counter according to stepping.And T1>T2>T3), when preserving VHT compressional wave beam forming form element, start described counter, described counter is take countdown as example;
In this step, if Beamformee determines then after calculating beamforming weights coefficient (being weights), the weights coefficient to be kept in the VHT compressional wave beam forming form element from as the first Beamformee in the described NDPA frame; Afterwards, carry out feedback weight according to following two kinds of situations: a kind of situation is: can directly described weights coefficient be sent to Beamforer by VHT Compressed Beamforming frame; Another kind of situation is, judge that first effective duration of weights coefficient is whether effectively shown in (a kind of process of its judgement is such as step 3), but be not limited to this), if effectively, will comprise that by VHTCompressed Beamforming frame the VHT compressional wave beam forming form element of weights coefficient sends to Beamforer by VHT compressional wave beam forming frame again.
If Beamformee determines that then execution in step 3 certainly as the non-first Beamformee in the described NDPA frame (i.e. other Beamformee except first Beamformee));
3), other Beamformee are respectively at beam forming response request (the Beamforming Report Poll) frame of receiving that Beamforer sends, require feedback weight, other Beamformee judge first respectively whether the compressional wave beam forming (being weights) of the VHT compressional wave beam forming form element that is kept at is effective; And then the content of the decision VHT Compressed Beamforming frame that sends, if effectively, then send the VHT compressional wave beam forming frame of the VHT compressional wave beam forming form element that comprises weights; Otherwise transmission does not comprise the VHT compressional wave beam forming frame of the VHT compressional wave beam forming form element of weights.
Wherein, the effective procedure of judging effective duration is:
Do not make zero if judge the counting of counter, judge that then weights are effective at this moment, and these weights are sent to Beamformer take VHTCompressed Beamforming frame as carrier.
If the counting of counter is zero, judge that then weights are invalid at this moment, then will send a VHT compressional wave beam forming frame that does not comprise VHT compressional wave beam forming form element.
In this embodiment, can also comprise: if judge that described weights are invalid, can also empty the weights in the compressional wave beam forming form element.
Embodiment two
Present embodiment two is with the difference of embodiment one, calculating channel estimation value, obtain corresponding weights according to estimated value, and when being saved in weights in the VHT compressional wave beam forming form element, effective duration of these weights of budget specifically comprises: the rate travel according to the beam forming recipient is calculated Doppler frequency shift; Effective duration according to described Doppler frequency shift and channel similarity calculating weights.Other processes of this example two and embodiment together specifically see the description of above-mentioned correspondence for details.
Present embodiment two adopts another kind of judgment mechanism to substitute the counter of judging effective duration, after Beamformee receives Beamforming Report Poll frame from Beamformer, can determine again the VHT Compressed Beamforming content frame that sends according to result of determination, if effectively, then send the VHT Compressed Beamforming frame that comprises weights; Otherwise, send the VHT Compressed Beamforming frame that does not comprise weights.
Wherein, judge whether effective deterministic process is compressional wave beam forming (being weights):
1) calculate Doppler frequency shift by Beamformee self rate travel:
fDmax=υBeamformeec0fc;
In the formula, vBeamformeeBe the speed that Beamformee moves, fcBe carrier frequency; c0Be the light velocity;
2) set channel similarity ρt, then calculate effective time by this similarity
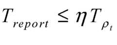
Figure BDA0000091215000000142
Its computing formula is:
Tρt=12πfDmaxarccos(ρt)
3) suppose to calculate weights to the time of feeding back compressional wave beam forming form be TReport, then before feedback compressional wave beam forming form, compare TReportWith
Figure BDA0000091215000000144
Size (η is predefined coefficient, can and feed back to the figuration Time dependent by feedback time, as
Figure BDA0000091215000000145
TBeamFor Beamformer receives that these weights to the time of using weights, can be empirical value; Also can only pass through ρt, control η=1 this moment):
4) if
Figure BDA0000091215000000151
Set up, judge that then compressional wave beam forming form is effective at this moment, then this compressional wave beam forming form is sent to Beamformer take VHT Compressed Beamforming frame as carrier.
5)
Figure BDA0000091215000000152
Judge that then compressional wave beam forming form is invalid, will send a VHT Compressed Beamforming frame that does not comprise compressional wave beam forming form element.
Embodiment three
Present embodiment three is with the difference of embodiment one or embodiment two: Beamformer can indicate effective duration of Beamformee calculating weights, and described Beamformee effective duration is as indicated determined effective duration of these weights.Other processes of this example three and embodiment together specifically comprise:
1), Beamformer can indicate effective duration of weights that Beamformee calculates, the indicating means of described effective duration comprises following several mode:
A, Beamformer indicate single Beamformee to set the effective duration that calculates weights by mode of unicast, specifically comprise: Beamformer is before sending the NDPA frame, to mac frame that comprises described effective duration information (i.e. first effective duration information) of single Beamformee transmission.Described mac frame can be to be association request frame or association response frame carrying out capability negotiation, also can be other form frame, and such as Frame, management frames or control frame etc., present embodiment is not restricted.
B, Beamformer indicate a plurality of Beamformee to set the effective duration (i.e. second effective duration information) that calculates weights by multicast mode, specifically comprise: send the NDPA frame at Beamformer to a plurality of Beamformee, described NDPA frame comprises described effective duration information (i.e. second effective duration information), described effective duration information can arrange in the RA field in NDPA, equipment in yet can other fields in NDPA, present embodiment is not restricted.
Certainly, described effective duration information also can be Frame, management frames or the control frame etc. that sent with the multicast form before the NDPA frame sends.
C, Beamformer set the effective duration that calculates weights by all site STA in broadcast mode indication and the BSS/IBSS network, specifically comprise: AP sends beacon frame to all site STA in the BSS/IBSS network, and described beacon frame includes effective duration information (i.e. first effective duration information).
Certainly, also can be Frame, disassociation frame or the control frame etc. that before the NDPA frame sends, send with the forms of broadcasting.
2), Beamformee receives the NDPA frame that Beamformer sends, knowing by the AID of STA info field oneself becomes Beamformee to be measured, and enters test mode and wait for that Beamfomer sends the NDP frame.
3), Beamformee receives test signal NDP frame, calculate channel estimation value, and according to channel estimation value calculating beamforming weights coefficient, and be saved in the VHT compressional wave beam forming form element, set the counter duration according to Beamformer to described effective duration of its appointment simultaneously, start described counter, described counter counts down;
4), Beamformee is at the beam forming response request frame of receiving from Beamforer, when being required feedback weight information by Beamformer, judges first then whether the described weights of preserving effectively determine the form of the VHT compressional wave beam forming frame that sends again.
If described counter does not make zero, judge that then the described weights of this moment are still effective, send the VHT compressional wave beam forming frame that comprises VHT compressional wave beam forming form element to Beamformer simultaneously.
If described counter makes zero, judge that then the described weights of this moment are invalid, will send a VHT compressional wave beam forming frame that does not comprise compressional wave beam forming form element;
5), Beamformee empties the weights information in the VHT compressional wave beam forming form element.
In the embodiment of the invention, by setting the validity of effective duration counter and the comparison mechanism judgement effective time feedback weight of preserving, and then determine the content (namely whether comprising VHT compressional wave beam forming form element) that its VHT Compressed Beamforming frame that sends comprises, can prevent the expired phenomenon of information that Beamformer collects, saving has improved communication quality to the cost of possession of channel resource.
Need to prove, in this article, relational terms such as the first and second grades only is used for an entity or operation are made a distinction with another entity or operation, and not necessarily requires or hint and have the relation of any this reality or sequentially between these entities or the operation.And, term " comprises ", " comprising " or its any other variant are intended to contain comprising of nonexcludability, thereby not only comprise those key elements so that comprise process, method, article or the equipment of a series of key elements, but also comprise other key elements of clearly not listing, or also be included as the intrinsic key element of this process, method, article or equipment.Do not having in the situation of more restrictions, the key element that is limited by statement " comprising ... ", and be not precluded within process, method, article or the equipment that comprises described key element and also have other identical element.
Through the above description of the embodiments, those skilled in the art can be well understood to the present invention and can realize by the mode that software adds essential general hardware platform, can certainly pass through hardware, but the former is better execution mode in a lot of situation.Based on such understanding, the part that technical scheme of the present invention contributes to prior art in essence in other words can embody with the form of software product, this computer software product can be stored in the storage medium, such as ROM/RAM, magnetic disc, CD etc., comprise that some instructions are with so that a computer equipment (can be personal computer, server, the perhaps network equipment etc.) carry out the described method of some part of each embodiment of the present invention or embodiment.
The above only is preferred implementation of the present invention; should be pointed out that for those skilled in the art, under the prerequisite that does not break away from the principle of the invention; can also make some improvements and modifications, these improvements and modifications also should be considered as protection scope of the present invention.

Claims (28)

Translated fromChinese
1.一种权值的传输方法,其特征在于,包括:1. A weight transmission method, characterized in that, comprising:接收波束成型发送者发送的信道测试信号;Receive the channel test signal sent by the beamforming sender;对信道进行测试得到对应的权值;Test the channel to get the corresponding weight;确定所述权值对应的有效时长;Determine the effective duration corresponding to the weight;将所述权值保存在甚高吞吐率VHT压缩波束成型报表元素中;storing said weights in a very high throughput VHT compressed beamforming report element;在所述权值的有效时长内,向所述波束成型发送者发送所述VHT压缩波束成型报表元素。Sending the VHT compressed beamforming report element to the beamforming sender within the valid time period of the weight.2.根据权利要求1所述的方法,其特征在于,在接收到信道测试信号前,所述方法还包括:2. The method according to claim 1, wherein, before receiving the channel test signal, the method further comprises:接收波束成型发起者发送的信道测试信号通告;Receive the channel test signal announcement sent by the beamforming initiator;根据所述信道测试信号通告确认自身是否为待测的波束成型接收者,如果是,则执行所述接收到信道测试信号,对信道进行测试的步骤。According to the notification of the channel test signal, it is confirmed whether it is the beamforming receiver to be tested, and if yes, the step of receiving the channel test signal and testing the channel is performed.3.根据权利要求1所述的方法,其特征在于,在向所述波束成型发送者发送所述VHT压缩波束成型报表元素之前,所述方法还包括:接收波束成型发送者发送的波束成型响应请求帧。3. The method according to claim 1, wherein before sending the VHT compressed beamforming report element to the beamforming sender, the method further comprises: receiving a beamforming response sent by the beamforming sender request frame.4.根据权利要求3所述的方法,其特征在于,所述方法还包括:判断自身是否为所述信道测试信号通告中指定的首个波束成型接收者,如果是,执行在所述权值的有效时长内,向所述波束成型发送者发送所述VHT压缩波束成型报表元素的步骤;否则,执行所述接收波束成型发送者发送的波束成型响应请求帧;在所述权值的有效时长内,向所述波束成型发送者发送所述VHT压缩波束成型报表元素的步骤。4. The method according to claim 3, further comprising: judging whether it is the first beamforming recipient specified in the channel test signal announcement, and if so, performing Within the effective duration of the beamforming sender, the step of sending the VHT compressed beamforming report element to the beamforming sender; otherwise, execute the beamforming response request frame sent by the receiving beamforming sender; during the effective duration of the weight In, the step of sending the VHT compressed beamforming report element to the beamforming sender.5.根据权利要求1所述的方法,其特征在于,所述向所述波束成型发送者发送所述VHT压缩波束成型报表元素具体包括:5. The method according to claim 1, wherein the sending the VHT compressed beamforming report element to the beamforming sender specifically comprises:通过VHT压缩波束成型帧向所述波束成型发送者发送所述VHT压缩波束成型报表元素。The VHT compressed beamforming report element is sent to the beamforming sender via a VHT compressed beamforming frame.6.根据权利要求1所述的方法,其特征在于,所述确定所述权值对应的有效时长包括:6. The method according to claim 1, wherein the determining the effective duration corresponding to the weight comprises:确定波束成型接收者自身移动速度;按照所述移动速度的大小进行分档,得到不同档的速度;为每一档速度设定对应的有效时长,所述有效时长通过计数器来控制;在将所述有效权值保存在VHT压缩波束成型报表元素中,启动计数器递减计数;或者Determine the moving speed of the beamforming receiver itself; classify according to the size of the moving speed to obtain different speeds; set the corresponding effective duration for each speed, and the effective duration is controlled by a counter; The effective weight value is stored in the VHT compressed beamforming report element, and the start counter is counted down; or按照波束成型接收者的移动速率计算多普勒频移;根据所述多普勒频移和信道相似度计算权值的有效时长。The Doppler frequency shift is calculated according to the moving speed of the beamforming receiver; and the effective duration of the weight is calculated according to the Doppler frequency shift and channel similarity.7.根据权利要求1至6任一项所述的方法,其特征在于,所述方法还包括:7. The method according to any one of claims 1 to 6, wherein the method further comprises:判断所述权值是否有效,如果有效,则执行在所述权值的有效时长内,向所述波束成型发送者发送所述VHT压缩波束成型报表元素的步骤;否则,在所述权值无效时,向所述波束成型发送者发送不包括所述VHT压缩波束成型报表元素的VHT压缩波束成型帧。judging whether the weight is valid, if valid, then perform the step of sending the VHT compression beamforming report element to the beamforming sender within the valid time period of the weight; otherwise, when the weight is invalid , sending a VHT compressed beamforming frame that does not include the VHT compressed beamforming report element to the beamforming sender.8.根据权利要求7所述的方法,其特征在于,所述方法还包括:在判断所述权值无效后,清空所述VHT压缩波束成型报表元素中的所述权值。8. The method according to claim 7, further comprising: after judging that the weight is invalid, clearing the weight in the VHT compressed beamforming report element.9.根据权利要求7所述的方法,其特征在于,所述判断所述权值是否有效的过程包括:9. The method according to claim 7, wherein the process of judging whether the weight is valid comprises:判断计数器的计数是否归零,如果计数器的计数未归零,则判定所述权值有效;否则,判断所述权值无效;或者judging whether the count of the counter has returned to zero, if the count of the counter has not returned to zero, then determining that the weight is valid; otherwise, judging that the weight is invalid; or比较所述权值的有效时长与设定计算权值时刻到反馈权值时刻的时间T,如果所述时间T小于等于权值的有效时长,则判定所述权值有效;否则,否者判定所述权值无效。Compare the effective duration of the weight with the time T from the moment when the weight is calculated to the moment when the weight is fed back. If the time T is less than or equal to the effective duration of the weight, it is determined that the weight is valid; otherwise, it is judged otherwise The weight value is invalid.10.根据权利要求2所述的方法,其特征在于,在接收波束成型发起者发送的信道测试信号通告前,所述方法还包括:10. The method according to claim 2, wherein before receiving the channel test signal notification sent by the beamforming initiator, the method further comprises:接收波束成型发起者发送的媒体接入控制MAC帧,所述MAC帧包括指示权值设定的第一有效时长信息;receiving a media access control MAC frame sent by the beamforming initiator, where the MAC frame includes first valid duration information indicating weight setting;所述确定所述权值对应的有效时长具体为:按照所述MAC帧中的指示权值设定的第一有效时长信息确定所述权值对应的有效时长。The determining the valid duration corresponding to the weight specifically includes: determining the valid duration corresponding to the weight according to the first valid duration information set in the MAC frame indicating the weight.11.根据权利要求10所述的方法,其特征在于,所述MAC帧包括:广播MAC帧、组播MAC帧或单播MAC帧。11. The method according to claim 10, wherein the MAC frame comprises: a broadcast MAC frame, a multicast MAC frame or a unicast MAC frame.12.根据权利要求11所述的方法,其特征在于,所述广播MAC帧为信标帧,所述组播MAC帧为NDPA帧;所述单播MAC帧为关联请求帧或关联响应帧。12. The method according to claim 11, wherein the broadcast MAC frame is a beacon frame, the multicast MAC frame is an NDPA frame, and the unicast MAC frame is an association request frame or an association response frame.13.根据权利要求10所述的方法,其特征在于,13. The method of claim 10, wherein,所述接收波束成型发起者发送的媒体接入控制帧具体包括:通过单播、广播或组播方式接收波束成型发起者发送的媒体接入控制帧。The receiving the MAC frame sent by the beamforming initiator specifically includes: receiving the MAC frame sent by the beamforming initiator in a unicast, broadcast or multicast manner.14.根据权利要求2所述的方法,其特征在于,所述信道测试信号通告的接收端地址RA字段包括指示权值设定的第二有效时长信息,其中,所述第二有效时长信息与所述第一有效时长相同或不同,14. The method according to claim 2, wherein the receiver address RA field notified by the channel test signal includes second effective duration information indicating weight setting, wherein the second effective duration information is the same as The first valid durations are the same or different,所述确定所述权值对应的有效时长具体为:按照所述指示权值设定的第二有效时长信息确定所述权值对应的有效时长。The determining the valid duration corresponding to the weight specifically includes: determining the valid duration corresponding to the weight according to the second valid duration information set according to the indicated weight.15.一种权值的传输装置,其特征在于,包括:15. A weight transmission device, comprising:第一接收单元,用于接收波束成型发送者发送的信道测试信号;The first receiving unit is configured to receive the channel test signal sent by the beamforming sender;测试单元,用于对信道进行测试得到对应的权值;A test unit is used to test the channel to obtain the corresponding weight;确定单元,用于确定所述权值对应的有效时长;A determining unit, configured to determine the effective duration corresponding to the weight;存储单元,用于将所述权值保存在甚高吞吐率VHT压缩波束成型报表元素中;A storage unit, configured to store the weights in the very high throughput VHT compressed beamforming report element;第一传输单元,用于在所述权值的有效时长内,向所述波束成型发送者发送所述VHT压缩波束成型报表元素。The first transmission unit is configured to send the VHT compressed beamforming report element to the beamforming sender within the valid time period of the weight.16.根据权利要求15所述的装置,其特征在于,还包括:16. The device of claim 15, further comprising:第二接收单元,用于在所述第一接收单元接收到所述信道测试信号前,接收波束成型发起者发送的信道测试信号通告;The second receiving unit is configured to receive the channel test signal announcement sent by the beamforming initiator before the first receiving unit receives the channel test signal;第一判断单元,用于根据所述信道测试信号通告确认自身是否为待测的波束成型接收者,并在确认自身是待测的波束成型接收者时,启动所述第一接收单元接收波束成型发送者发送的信道测试信号。The first judging unit is configured to confirm whether it is the beamforming receiver to be tested according to the channel test signal announcement, and start the first receiving unit to receive beamforming when it is confirmed that it is the beamforming receiver to be tested The channel test signal sent by the sender.17.根据权利要求15所述的装置,其特征在于,还包括:17. The device of claim 15, further comprising:第三接收单元,与所述第一传输单元连接,用于接收所述波束成型发送者发送的波束成型响应请求帧;A third receiving unit, connected to the first transmission unit, for receiving the beamforming response request frame sent by the beamforming sender;所述第二传输单元,还用于在第三接收单元接收到所述波束成型发送者发送的波束成型响应请求帧后,在所述权值的有效时长内,向所述波束成型发送者发送所述VHT压缩波束成型报表元素。The second transmission unit is further configured to, after the third receiving unit receives the beamforming response request frame sent by the beamforming sender, within the valid duration of the weight, send The VHT compression beamforming report element.18.根据权利要求17所述的装置,其特征在于,还包括:18. The apparatus of claim 17, further comprising:第二判断单元,用于判断自身是否为所述信道测试信号通告中指定的首个波束成型接收者,并将是的判断结果发送给第一传输单元;将否的判断结果发送给第二传输单元。The second judging unit is used to judge whether it is the first beamforming receiver specified in the channel test signal announcement, and send the judgment result of yes to the first transmission unit; send the judgment result of no to the second transmission unit unit.19.根据权利要求15所述的装置,其特征在于,所述第一传输单元具体用于:通过VHT压缩波束成型帧向所述波束成型发送者发送所述VHT压缩波束成型报表元素。19. The device according to claim 15, wherein the first transmission unit is specifically configured to: send the VHT compressed beamforming report element to the beamforming sender through a VHT compressed beamforming frame.20.根据权利要求15所述的装置,其特征在于,所述确定单元包括:20. The device according to claim 15, wherein the determining unit comprises:速度确定单元,用于确定波束成型接收者自身移动速度;a speed determining unit, configured to determine the moving speed of the beamforming receiver itself;分档单元,用于按照所述移动速度的大小进行分档,得到不同档的速度;A grading unit, configured to perform grading according to the size of the moving speed to obtain speeds in different gears;时长设定单元,用于为每一档速度设定对应的有效时长,所述有效时长通过计数器来控制;The duration setting unit is used to set the corresponding effective duration for each speed, and the effective duration is controlled by a counter;计数启动单元,用于在所述存储单元将所述权值保存在VHT压缩波束成型报表元素中时,启动计数器递减计数。A counting start unit, configured to start the counter to count down when the storage unit saves the weight in the VHT compressed beamforming report element.21.根据权利要求15所述的装置,其特征在于,所述确定单元包括:21. The device according to claim 15, wherein the determining unit comprises:频移计算单元,用于按照波束成型接收者的移动速率计算多普勒频移;a frequency shift calculation unit, configured to calculate a Doppler frequency shift according to the moving rate of the beamforming receiver;时长计算单元,用于根据所述多普勒频移和信道相似度计算权值的有效时长。A duration calculation unit, configured to calculate an effective duration of weights according to the Doppler frequency shift and channel similarity.22.根据权利要求15至21任一项所述的装置,其特征在于,还包括22. The device according to any one of claims 15 to 21, further comprising第三判断单元,用于判断权值是否有效,如果有效,并将权值有效的判断结果发送给所述第一传输单元;将权值无效的判断结果发送给第三传输单元;The third judging unit is used to judge whether the weight is valid, and if it is valid, send the judging result that the weight is valid to the first transmission unit; send the judging result that the weight is invalid to the third transmission unit;所述第三传输单元,用于在所述权值无效时,向所述波束成型发送者发送不包括所述VHT压缩波束成型报表元素的VHT压缩波束成型帧。The third transmission unit is configured to, when the weight is invalid, send a VHT compressed beamforming frame that does not include the VHT compressed beamforming report element to the beamforming sender.23.根据权利要求22所述的装置,其特征在于,所述第三判断单元包括:23. The device according to claim 22, wherein the third judging unit comprises:计数判断单元,用于判断计数器的计数是否归零,如果计数器的计数未归零,则确定所述权值有效,将权值有效的判断结果发送给所述第一传输单元;否则,确定所述权值无效,将权值无效的判断结果发送给所述第三传输单元;和/或The count judging unit is used to judge whether the count of the counter has returned to zero, if the count of the counter has not returned to zero, then determine that the weight value is valid, and send the judgment result that the weight value is valid to the first transmission unit; otherwise, determine that the weight value is valid The weight value is invalid, sending the judgment result of the weight value invalid to the third transmission unit; and/or比较判断单元,用于将权值的有效时长与计算权值时刻到反馈权值时刻的时间T进行比较;如果所述时间T不大于权值的有效时长,则确定所述权值有效,将权值有效的判断结果发送给所述第一传输单元;否则,确定所述权值无效,将权值无效的判断结果发送给所述第三传输单元。The comparison judgment unit is used to compare the effective duration of the weight with the time T from the moment of calculating the weight to the moment of feedback of the weight; if the time T is not greater than the effective duration of the weight, it is determined that the weight is valid, and the Sending the judgment result of the valid weight value to the first transmission unit; otherwise, determining that the weight value is invalid, and sending the judgment result of the invalid weight value to the third transmission unit.24.根据权利要求22所述的装置,其特征在于,所述装置还包括:删除单元,与第三判断单元连接,用于在判断所述权值无效后,清空所述VHT压缩波束成型报表元素中的所述权值。24. The device according to claim 22, characterized in that the device further comprises: a deletion unit connected to a third judging unit for clearing the VHT compression beamforming report after judging that the weight is invalid The weight in the element.25.根据权利要求16所述的装置,其特征在于,在所述第二接收单元接收波束成型发起者发送的信道测试信号通告前,所述装置还包括:25. The device according to claim 16, wherein before the second receiving unit receives the channel test signal notification sent by the beamforming initiator, the device further comprises:第四接收单元,用于接收波束成型发起者发送的媒体接入控制MAC帧,所述MAC帧包括指示权值设定的第一有效时长信息;The fourth receiving unit is configured to receive a medium access control MAC frame sent by the beamforming initiator, where the MAC frame includes first effective duration information indicating weight setting;所述确定单元具体用于:按照所述MAC帧中的指示权值设定的第一有效时长信息确定所述权值对应的有效时长。The determining unit is specifically configured to: determine the valid duration corresponding to the weight according to the first valid duration information set in the MAC frame indicating the weight.26.根据权利要求25所述的装置,其特征在于,所述第四接收单元接收到的所述MAC帧包括:广播MAC帧、组播MAC帧和单播MAC帧,其中,所述广播MAC帧为信标帧,所述组播MAC帧为NDPA帧;所述单播MAC帧为关联请求帧或关联响应帧。26. The device according to claim 25, wherein the MAC frame received by the fourth receiving unit includes: a broadcast MAC frame, a multicast MAC frame and a unicast MAC frame, wherein the broadcast MAC frame The frame is a beacon frame, the multicast MAC frame is an NDPA frame; the unicast MAC frame is an association request frame or an association response frame.27.根据权利要求25所述的装置,其特征在于,所述第四接收单元,具体通过单播、广播或组播方式接收波束成型发起者发送的媒体接入控制MAC帧。27. The device according to claim 25, wherein the fourth receiving unit specifically receives the MAC frame sent by the beamforming initiator through unicast, broadcast or multicast.28.根据权利要求16所述的装置,其特征在于,所述第二接收单元接收到的所述信道测试信号通告的接收端地址RA字段中包括指示权值设定的第二有效时长信息时,所述第二有效时长信息与所述第一有效时长信息相同或不同,28. The device according to claim 16, wherein the receiver address RA field of the channel test signal notification received by the second receiving unit includes the second effective duration information indicating weight setting , the second effective duration information is the same as or different from the first effective duration information,所述确定单元具体用于:按照所述指示权值设定的第二有效时长信息确定所述权值对应的有效时长。The determining unit is specifically configured to: determine the valid duration corresponding to the weight according to the second valid duration information set by the indicated weight.
CN201110271773.XA2011-09-142011-09-14Method and device for transmitting weightExpired - Fee RelatedCN103001680B (en)

Priority Applications (2)

Application NumberPriority DateFiling DateTitle
CN201110271773.XACN103001680B (en)2011-09-142011-09-14Method and device for transmitting weight
PCT/CN2012/081421WO2013037313A1 (en)2011-09-142012-09-14Weight transmission method and device

Applications Claiming Priority (1)

Application NumberPriority DateFiling DateTitle
CN201110271773.XACN103001680B (en)2011-09-142011-09-14Method and device for transmitting weight

Publications (2)

Publication NumberPublication Date
CN103001680Atrue CN103001680A (en)2013-03-27
CN103001680B CN103001680B (en)2015-04-08

Family

ID=47882626

Family Applications (1)

Application NumberTitlePriority DateFiling Date
CN201110271773.XAExpired - Fee RelatedCN103001680B (en)2011-09-142011-09-14Method and device for transmitting weight

Country Status (2)

CountryLink
CN (1)CN103001680B (en)
WO (1)WO2013037313A1 (en)

Cited By (2)

* Cited by examiner, † Cited by third party
Publication numberPriority datePublication dateAssigneeTitle
CN110726974A (en)*2019-10-172020-01-24北京邮电大学 A radar detection method and device based on radar communication integration
WO2022047646A1 (en)*2020-09-022022-03-10Huawei Technologies Co., Ltd.Devices for beamforming with extended codebook size

Citations (4)

* Cited by examiner, † Cited by third party
Publication numberPriority datePublication dateAssigneeTitle
US20100260138A1 (en)*2009-04-102010-10-14Yong LiuSignaling For Multi-Dimension Wireless Resource Allocation
US20110128947A1 (en)*2009-12-022011-06-02Yong LiuMethod and Apparatus for Sounding Multiple Stations
CN102158975A (en)*2009-12-232011-08-17英特尔公司Scheduling mechanisms for media access control protection and channel sounding
WO2011103367A1 (en)*2010-02-172011-08-25Qualcomm IncorporatedMethod and apparatus for supporting adaptive channel state information feedback rate in multi-user communication systems

Family Cites Families (2)

* Cited by examiner, † Cited by third party
Publication numberPriority datePublication dateAssigneeTitle
KR101452504B1 (en)*2008-06-182014-10-23엘지전자 주식회사Channel access mechanism for Very High Throughput (VHT) wireless local access network system and station supporting the channel access mechanism
US8576804B2 (en)*2009-08-132013-11-05Broadcom CorporationBeamforming feedback frame formats within multiple user, multiple access, and/or MIMO wireless communications

Patent Citations (4)

* Cited by examiner, † Cited by third party
Publication numberPriority datePublication dateAssigneeTitle
US20100260138A1 (en)*2009-04-102010-10-14Yong LiuSignaling For Multi-Dimension Wireless Resource Allocation
US20110128947A1 (en)*2009-12-022011-06-02Yong LiuMethod and Apparatus for Sounding Multiple Stations
CN102158975A (en)*2009-12-232011-08-17英特尔公司Scheduling mechanisms for media access control protection and channel sounding
WO2011103367A1 (en)*2010-02-172011-08-25Qualcomm IncorporatedMethod and apparatus for supporting adaptive channel state information feedback rate in multi-user communication systems

Non-Patent Citations (1)

* Cited by examiner, † Cited by third party
Title
CHIN-HUNG(JACKSON) CHEN,ET AL.: ""IEEE P802.11 Wireless LANs,Proposed TGac Draft Amendment"", 《IEEE 802.11-10/1361R3》*

Cited By (3)

* Cited by examiner, † Cited by third party
Publication numberPriority datePublication dateAssigneeTitle
CN110726974A (en)*2019-10-172020-01-24北京邮电大学 A radar detection method and device based on radar communication integration
US12021582B2 (en)2019-10-172024-06-25Beijing University Of Posts And TelecommunicationsDetection method and device based on sensing-communication integration
WO2022047646A1 (en)*2020-09-022022-03-10Huawei Technologies Co., Ltd.Devices for beamforming with extended codebook size

Also Published As

Publication numberPublication date
WO2013037313A1 (en)2013-03-21
CN103001680B (en)2015-04-08

Similar Documents

PublicationPublication DateTitle
CN103843274B (en)Channel state information measurement method, device and system
US10743154B2 (en)Method and apparatus for forwarding vehicle to everything service
CN102368697B (en)Interferometry signals, interferometry and feedback method and its device
CN104202755B (en)A kind of channel detection method, terminal and system
EP2765811A1 (en)Method, apparatus, terminal and computer program product for determining transmission mode
RU2006132501A (en) SYSTEM AND METHOD FOR MANAGING A STRIP SUBCANAL WITH ADAPTIVE MODULATION AND CODING (AMC) IN A MULTIPLE ACCESS COMMUNICATION SYSTEM WITH ORTHOGON-FREQUENCY SEPARATION
US20180176744A1 (en)Multicast service reading and sending method, and related device
CN101658064A (en)The battery aware dynamic bandwidth allocation methods and the device that are used for the wireless sensor node group in the wireless sensor network
CN102724699A (en)OTDOA measurement, and positioning assist data transmission method, system and apparatus
EP2750436A1 (en)Method and system for wireless network management
CN102546110A (en)Channel state information transmission method and device
WO2011098049A1 (en)Method and apparatus for channel measurement
CN109245851A (en)A kind of method and apparatus of radio frame transmission
US8755809B2 (en)Communication method of base station and target terminal
CN101997587A (en)Method and device for determining channel quality indicator (CQI) value in coordinated multi-point transmission/reception (COMP)
CN101911753A (en)Method for reporting channel quality indicator in uplink and base station and user equipment suitable for the same
EP4017123A1 (en)Signal processing method and related device
CN109155711B (en)Reference signal sending method, detection method, base station and mobile station
CN104735685A (en)Information processing method, device and system
WO2015139289A1 (en)Method, device, and user equipment for generating monitoring report
US20240187189A1 (en)Communication apparatus and communication method for overhead reduction of wlan sensing
CN102547841B (en)Method and device for reporting multicarrier measurement result
CN106507471A (en)Positioning Enhancement Method in wireless communication system, apparatus and system
US11139879B2 (en)Precoding determining method and device, electronic device, and storage medium
CN109946647B (en)Positioning device and method

Legal Events

DateCodeTitleDescription
C06Publication
PB01Publication
C10Entry into substantive examination
SE01Entry into force of request for substantive examination
C14Grant of patent or utility model
GR01Patent grant
CF01Termination of patent right due to non-payment of annual fee
CF01Termination of patent right due to non-payment of annual fee

Granted publication date:20150408


[8]ページ先頭

©2009-2025 Movatter.jp