
技术领域technical field
本发明属于测量技术领域,涉及石英晶振测试系统实现普通与高稳晶振同时测量方法,可用于石英晶体振荡器的计量检定、校准、测量、测试、检验和生产。The invention belongs to the technical field of measurement, and relates to a method for realizing simultaneous measurement of ordinary and high-stable crystal oscillators by a quartz crystal oscillator test system, which can be used for measurement verification, calibration, measurement, testing, inspection and production of quartz crystal oscillators.
背景技术Background technique
石英晶体振荡器按国家检定规程所对应的检定对象分为两大类:普通晶振及高稳晶振。普通晶振对应的检定规程为《JJG180-2002电子测量仪器内石英晶体振荡器检定规程》,测量的主要参数有:开机特性、日频率波动、1秒频率稳定度、频率复现性、频率准确度。测量时间最少为3天;高稳晶振对应的检定规程为《JJG181-2005石英晶体频率标准检定规程》,测量的主要参数有:短期频率稳定度(1ms、10ms、100ms、1s、10s)、日老化率、频率准确度。测量时间最少为8天。Quartz crystal oscillators are divided into two categories according to the verification objects corresponding to the national verification regulations: ordinary crystal oscillators and high-stable crystal oscillators. The verification procedure corresponding to the ordinary crystal oscillator is "JJG180-2002 Verification Regulations for Quartz Crystal Oscillators in Electronic Measuring Instruments". The main parameters measured are: power-on characteristics, daily frequency fluctuations, 1-second frequency stability, frequency reproducibility, and frequency accuracy . The measurement time is at least 3 days; the verification procedure corresponding to the high stability crystal oscillator is "JJG181-2005 Quartz Crystal Frequency Standard Verification Regulation", the main parameters to be measured are: short-term frequency stability (1ms, 10ms, 100ms, 1s, 10s), daily Aging rate, frequency accuracy. The measurement time is at least 8 days.
目前国内的石英晶体振荡器测试系统主要有两类。一类是通过控制器及切换开关将测试数据打印出来,再输入到计算机的相应程序中进行数据处理,得到测量结果。此类系统不能做到数据的自动处理、被测件的自动加电及断电。典型的设备是中国电子科技集团公司第二十研究所自行研制的“多路自动控制器”;另一类是通过计算机或其他高速处理器控制控制器及切换开关获得测试数据,将测试数据存储在存储器中并进行数据处理得到测量结果。典型的设备是石家庄无线电四厂或西安宏泰时频生产的“石英晶体振荡器自动测试系统”。此类系统只能做到同时测量同一类型晶振或为不同类型被测晶振同时选择相同的测量参数。如果需要同时测量不同类型晶振或为不同类型被测晶振同时选择不同的测量参数,只好等到前一批测量完成,分批进行测量。既费时又有可能闲置可用的测量通道,测量效率极低。At present, there are two main types of domestic quartz crystal oscillator test systems. One is to print the test data through the controller and switch, and then input it into the corresponding program of the computer for data processing to obtain the measurement results. Such systems cannot automatically process data, automatically power on and off the DUT. The typical equipment is the "multi-channel automatic controller" developed by the 20th Research Institute of China Electronics Technology Group Corporation; the other type is to control the controller and switch to obtain test data through a computer or other high-speed processor, and store the test data In the memory and carry out data processing to obtain the measurement results. Typical equipment is the "Quartz Crystal Oscillator Automatic Test System" produced by Shijiazhuang Radio No. 4 Factory or Xi'an Hongtai Time Frequency. This type of system can only measure the same type of crystal oscillator at the same time or select the same measurement parameters for different types of crystal oscillators under test at the same time. If it is necessary to measure different types of crystal oscillators at the same time or select different measurement parameters for different types of measured crystal oscillators at the same time, you have to wait until the previous batch of measurements is completed and perform measurements in batches. It is time-consuming and may idle the available measurement channels, and the measurement efficiency is extremely low.
发明内容Contents of the invention
本发明的目的在于针对上述已有技术的不足,提出一种在石英晶振测试系统中同时测量不同类型被测件的方法,以提高测量效率。The object of the present invention is to address the above-mentioned deficiencies in the prior art, and propose a method for simultaneously measuring different types of test pieces in a quartz crystal oscillator test system, so as to improve measurement efficiency.
实现本发明目的的技术方案,包括如下步骤:The technical solution for realizing the object of the present invention comprises the following steps:
(1)石英晶振测试系统开始测量前,根据系统提示内容输入将要测量的不同类型被测件的相关信息,提示内容包括:送测单位、被测件名称、被测件型号、被测件编号、被测件生产商、被测件的频率标称值、被测件的测量依据、被测件预热时间;(1) Before the quartz crystal oscillator test system starts to measure, enter the relevant information of different types of DUTs to be measured according to the system prompts. The prompts include: sending unit, DUT name, DUT model, DUT number , the manufacturer of the tested part, the nominal frequency value of the tested part, the measurement basis of the tested part, and the warm-up time of the tested part;
(2)将不同类型被测件输出频率的原始数据测量的时间间隔设置为1小时,石英晶振测试系统开始测量后,按每隔1小时的时间间隔测量不同类型被测件的相对平均频率偏差;(2) Set the time interval of the original data measurement of the output frequency of different types of DUTs to 1 hour. After the quartz crystal oscillator test system starts to measure, measure the relative average frequency deviation of different types of DUTs at intervals of 1 hour ;
(3)对于普通晶振被测件,依据《JJG180-2002电子测量仪器内石英晶体振荡器检定规程》,测量普通晶振被测件的性能:(3) For the ordinary crystal oscillator under test, according to the "JJG180-2002 Verification Regulations for Quartz Crystal Oscillators in Electronic Measuring Instruments", measure the performance of the ordinary crystal oscillator under test:
(3a)普通晶振被测件在加电1小时后,将测量相对平均频率偏差的取样时间选为10s,每隔1小时测量1组,每组连续测得3个相对平均频率偏差,取3个相对平均频率偏差的平均值作为每组的测量结果,共测25组,得到25个测量数据;将测量数据代入到所述JJG180-2002检定规程的相应公式中,计算出普通晶振被测件的开机特性及日频率波动,并根据日频率波动测量结果给出普通晶振被测件的频率准确度,该频率准确度比日频率波动低一个数量级;(3a) After the ordinary crystal oscillator is powered on for 1 hour, the sampling time for measuring the relative average frequency deviation is selected as 10s, and one group is measured every hour, and each group continuously measures 3 relative average frequency deviations, taking 3 The average value of the relative average frequency deviation is used as the measurement result of each group, 25 groups are measured in total, and 25 measurement data are obtained; the measurement data are substituted into the corresponding formula of the JJG180-2002 verification regulation, and the ordinary crystal oscillator under test is calculated. The startup characteristics and daily frequency fluctuation, and the frequency accuracy of the ordinary crystal oscillator under test is given according to the daily frequency fluctuation measurement results, which is an order of magnitude lower than the daily frequency fluctuation;
(3b)25个测量数据测量完成后,将普通晶振被测件断电,同时取25个测量数据中的第25个测量数据作为第一次测量结果,再对普通晶振被测件持续断电24小时;断电24小时后,给普通晶振被测件再次加电,加电1小时后,将测量相对平均频率偏差的取样时间选为10s,连续测得3个相对平均频率偏差,取3个相对平均频率偏差的平均值作为第二次测量结果;将两次测量结果数据代入到所述JJG180-2002检定规程的相应公式中,计算出普通晶振被测件的频率复现性;(3b) After the measurement of 25 measurement data is completed, power off the ordinary crystal oscillator under test, and take the 25th measurement data among the 25 measurement data as the first measurement result, and then continue to power off the ordinary crystal oscillator under test 24 hours; after 24 hours of power failure, power on the ordinary crystal oscillator under test again, and after power on for 1 hour, select the sampling time for measuring the relative average frequency deviation as 10s, measure 3 relative average frequency deviations continuously, take 3 The average value of the relative average frequency deviation is used as the second measurement result; the two measurement result data are substituted into the corresponding formula of the JJG180-2002 verification procedure, and the frequency reproducibility of the common crystal oscillator under test is calculated;
(3c)在普通晶振被测件再次加电到2小时时,先测量其它测量通道上的被测件的相对平均频率偏差,然后将测量普通晶振被测件的相对平均频率偏差的取样时间选为1s,并连续测得101个相对平均频率偏差,再将101个相对平均频率偏差代入到所述JJG180-2002检定规程的相应公式中,计算出普通晶振被测件的1s频率稳定度;(3c) When the ordinary crystal oscillator DUT is powered on again for 2 hours, first measure the relative average frequency deviation of the DUT on other measurement channels, and then select the sampling time for measuring the relative average frequency deviation of the ordinary crystal oscillator DUT. 1s, and continuously measured 101 relative average frequency deviations, and then substituted 101 relative average frequency deviations into the corresponding formula of the JJG180-2002 verification procedure to calculate the 1s frequency stability of the ordinary crystal oscillator under test;
(4)对于高稳晶振被测件,依据《JJG181-2005石英晶体频率标准检定规程》,测量高稳晶振被测件的性能:(4) For the high-stable crystal oscillator under test, according to the "JJG181-2005 Quartz Crystal Frequency Standard Verification Regulations", measure the performance of the high-stable crystal oscillator under test:
(4a)高稳晶振被测件在加电1小时后,将测量相对平均频率偏差的取样时间选为10s,每隔1小时测量1组,每组连续测得3个相对平均频率偏差,取3个相对平均频率偏差的平均值作为每组的测量结果,共测T+168组,得到T+168个测量数据Ci,其相对应的测量时刻为i小时,i取1到T+168,T为高稳晶振被测件日老化率测量的预热时间数值,单位为小时;(4a) After the high-stable crystal oscillator is powered on for 1 hour, the sampling time for measuring the relative average frequency deviation is selected as 10s, and one group is measured every 1 hour, and each group continuously measures 3 relative average frequency deviations, which is taken as The average value of 3 relative average frequency deviations is used as the measurement result of each group. A total of T+168 groups are measured, and T+168 measurement data Ci are obtained. The corresponding measurement time is i hour, and i ranges from 1 to T+168 , T is the warm-up time value measured by the daily aging rate of the high-stable crystal oscillator under test, in hours;
(4b)从测量数据Ci中提取有效测量数据Bj,j取1到15,T小时及其后每隔12小时的15个测量数据为有效测量数据:Bj=C[T+(j-1)×12],其相对应的测量时刻:tj=T+(j-1)×12;(4b) Extract effective measurement data Bj from measurement data Ci , j ranges from 1 to 15, T hour and 15 measurement data every 12 hours thereafter are effective measurement data: Bj = C[T+(j- 1)×12] , and its corresponding measurement moment: tj =T+(j-1)×12;
(4c)根据有效测量数据Bj对应的测量时刻与测量数据Ci对应的测量时刻存在T+(j-1)×12=i的关系,得到T+(j-1)×12=i×1,其中“×12”代表高稳晶振被测件的相对平均频率偏差的测量时间间隔为12小时,“×1”代表高稳晶振被测件的相对平均频率偏差的测量时间间隔为1小时,使高稳晶振被测件的相对平均频率偏差的测量时间间隔由12小时缩短到1小时;(4c) There is a relationship of T+(j-1)×12=i according to the measurement time corresponding to the effective measurement data Bj and the measurement time corresponding to the measurement data Ci , so that T+(j-1)×12=i×1 is obtained, Among them, "×12" means that the measurement time interval of the relative average frequency deviation of the high-stable crystal oscillator under test is 12 hours, and "×1" means that the measurement time interval of the relative average frequency deviation of the high-stable crystal oscillator under test is 1 hour, so that The measurement interval of the relative average frequency deviation of the high-stable crystal oscillator DUT is shortened from 12 hours to 1 hour;
(4d)将有效测量数据及其相对应的测量时刻代入到所述JJG181-2005检定规程的相应公式中,计算出高稳晶振被测件的拟合直线斜率、相关系数、残差均方根、日老化率及频率准确度;(4d) Substituting the effective measurement data and the corresponding measurement time into the corresponding formula of the JJG181-2005 verification procedure, and calculating the slope of the fitting line, the correlation coefficient, and the root mean square of the residual error of the high-stable crystal oscillator under test , aging rate and frequency accuracy;
(4e)在高稳晶振被测件加电到T+169小时时,先测量其它测量通道上的被测件的相对平均频率偏差,然后将测量高稳晶振被测件的相对平均频率偏差的取样时间分别选择为1ms、10ms、100ms、1s及10s,并连续测得5组相对平均频率偏差,其中:前4组分别连续测得101个相对平均频率偏差,第5组连续测得51个相对平均频率偏差,再将5组测量数据分别代入到所述JJG181-2005检定规程的相应公式中,计算出高稳晶振被测件的1ms、10ms、100ms、1s及10s的短期频率稳定度;(4e) When the high-stable crystal oscillator DUT is powered up to T+169 hours, first measure the relative average frequency deviation of the DUT on other measurement channels, and then measure the relative average frequency deviation of the high-stable crystal oscillator DUT The sampling time is selected as 1ms, 10ms, 100ms, 1s and 10s respectively, and 5 groups of relative average frequency deviations are measured continuously, among which: the first 4 groups continuously measure 101 relative average frequency deviations, and the fifth group continuously measures 51 Relative to the average frequency deviation, the 5 sets of measurement data are respectively substituted into the corresponding formulas of the JJG181-2005 verification regulations, and the short-term frequency stability of 1ms, 10ms, 100ms, 1s and 10s of the high-stable crystal oscillator under test is calculated;
所述步骤(2)、(3)及(4)中的相对平均频率偏差测量,是先通过测量仪器测量在取样时间τ内的不同类型被测件的频率实际值的平均值fx;然后,代入到公式y(τ)=(fx-f0)/f0中,计算出不同类型被测件的相对平均频率偏差y(τ),式中f0为不同类型被测件的频率标称值;所述测量仪器是指:频率计、计数器、比相仪、时间间隔测量仪、频标比对器、频差倍增器和双混频时差测量仪中的任何一种。The relative average frequency deviation measurement in described steps (2), (3) and (4) is first to measure the average value fx of the frequency actual values of different types of tested pieces in the sampling time τ by measuring instruments; then , into the formula y(τ)=(fx -f0 )/f0 to calculate the relative average frequency deviation y(τ) of different types of DUTs, where f0 is the frequency of different types of DUTs Nominal value; the measuring instrument refers to any one of a frequency meter, a counter, a phase comparator, a time interval measuring instrument, a frequency standard comparator, a frequency difference multiplier and a double mixing time difference measuring instrument.
本发明与原有技术相比具有如下优点:Compared with the prior art, the present invention has the following advantages:
1.本发明由于在石英晶振测试系统开始测量后,按每隔1小时的时间间隔测量不同类型被测件的相对平均频率偏差,对于普通晶振被测件而言,所有的测量数据均为有效数据,对于高稳晶振被测件而言,通过对高稳晶振被测件的测量数据提取有效测量数据的方式同样也可获得所需测量数据,故可实现在石英晶振测试系统中同时测量普通晶振及高稳晶振被测件。1. The present invention measures the relative average frequency deviation of different types of tested parts at intervals of 1 hour after the quartz crystal oscillator test system starts measuring. For common crystal oscillator tested parts, all measurement data are valid Data, for the high-stable crystal oscillator DUT, the required measurement data can also be obtained by extracting effective measurement data from the measurement data of the high-stable crystal oscillator DUT, so it can be realized in the quartz crystal oscillator test system at the same time. Crystal oscillator and high stability crystal oscillator DUT.
2.本发明由于实现了普通晶振被测件与高稳晶振被测件的同时测量,对不同类型被测件而言,不必分批进行测量,缩短了测量周期,提高了测量效率。2. Since the present invention realizes the simultaneous measurement of common crystal oscillator DUTs and high-stable crystal oscillator DUTs, it is not necessary to measure different types of DUTs in batches, which shortens the measurement cycle and improves measurement efficiency.
附图说明Description of drawings
图1是本发明在石英晶振测试系统中同时测量不同类型被测件的流程图。Fig. 1 is a flowchart of simultaneous measurement of different types of DUTs in a quartz crystal oscillator testing system according to the present invention.
具体实施方式Detailed ways
参照图1,本发明在石英晶振测试系统中同时测量不同类型被测件的方法,包括如下步骤:With reference to Fig. 1, the present invention measures the method for different types of tested parts simultaneously in the quartz crystal oscillator test system, comprises the steps:
步骤一:定义两种测量标识。Step 1: Define two measurement identifiers.
为了实现在石英晶振测试系统中同时测量不同类型被测件的功能,本发明首先要定义两种测量标识,一种为“测量通道状态标识”,另一种为“被测件测量依据标识”。其中:In order to realize the function of simultaneously measuring different types of DUTs in the quartz crystal oscillator test system, the present invention first defines two measurement identifications, one is "measurement channel status identification", and the other is "measurement basis identification of the DUT". . in:
“测量通道状态标识”共有三个状态:一是用数字“0”表示测量通道未加入被测件,二是用数字“1”表示测量通道已加入被测件,且被测件未加电工作,三是用数字“2”表示测量通道已加入被测件,且被测件已加电工作;"Measurement channel status identification" has three states: one is to use the number "0" to indicate that the measurement channel has not been added to the DUT, and the other is to use the number "1" to indicate that the measurement channel has been added to the DUT and the DUT is not powered on. The third is to use the number "2" to indicate that the measurement channel has been added to the DUT, and the DUT has been powered on;
“被测件测量依据标识”共有两个状态,一是用数字“3”表示普通晶振被测件依据《JJG180-2002电子测量仪器内石英晶体振荡器检定规程》测量其性能,二是用数字“4”表示高稳晶振被测件依据《JJG181-2005石英晶体频率标准检定规程》测量其性能。There are two states in the "measuring basis mark of the tested part". One is to use the number "3" to indicate the performance of the ordinary crystal oscillator. "4" indicates that the performance of the high-stable crystal oscillator under test is measured according to the "JJG181-2005 Quartz Crystal Frequency Standard Verification Regulations".
步骤二:根据系统提示内容输入将要测量的不同类型被测件的相关信息。Step 2: Enter the relevant information of different types of DUTs to be measured according to the system prompts.
2a)目前的测试系统,大多数都采用数据库来存储被测件信息、测量数据、测量通道状态标识、被测件测量依据标识及测量结果;2a) Most of the current test systems use databases to store the information of the DUT, the measurement data, the status identification of the measurement channel, the identification of the measurement basis of the DUT and the measurement results;
2b)石英晶振测试系统开始测量前,根据系统提示内容输入将要测量的不同类型被测件的相关信息,提示内容包括:送测单位、被测件名称、被测件型号、被测件编号、被测件生产商、被测件的频率标称值、被测件的测量依据、被测件预热时间;2b) Before the quartz crystal oscillator test system starts to measure, enter the relevant information of different types of tested parts to be measured according to the system prompts. The manufacturer of the tested part, the nominal frequency value of the tested part, the measurement basis of the tested part, and the warm-up time of the tested part;
2c)将不同类型被测件的相应测量通道的“测量通道状态标识”由“0”改为“1”,“0”表示测量通道未加入被测件,“1”表示测量通道已加入被测件,且被测件未加电工作;2c) Change the "Measurement Channel Status Identification" of the corresponding measurement channels of different types of DUTs from "0" to "1". DUT, and the DUT is not powered on;
2d)当输入的被测件的测量是依据《JJG180-2002电子测量仪器内石英晶体振荡器检定规程》时,则将“被测件测量依据标识”置为“3”;当输入的被测件的测量是依据《JJG181-2005石英晶体频率标准检定规程》时,则将“被测件测量依据标识”置为“4”。2d) When the measurement of the input DUT is based on "JJG180-2002 Verification Regulations for Quartz Crystal Oscillators in Electronic Measuring Instruments", set the "Measurement Basis Mark of DUT" to "3"; when the input DUT When the measurement of the component is based on the "JJG181-2005 Standard Verification Regulations for Quartz Crystal Frequency", set the "Measurement Basis Mark of the DUT" to "4".
步骤三:按每隔1小时的时间间隔测量不同类型被测件的相对平均频率偏差。Step 3: Measure the relative average frequency deviation of different types of DUTs at intervals of 1 hour.
3a)将不同类型被测件输出频率的原始数据测量的时间间隔设置为1小时,石英晶振测试系统开始测量后,按每隔1小时的时间间隔测量不同类型被测件的相对平均频率偏差,即先通过测量仪器测量在取样时间τ内的不同类型被测件的频率实际值的平均值fx;然后,将该频率实际值的平均值fx代入到公式y(τ)=(fx-f0)/f0中,计算出不同类型被测件的相对平均频率偏差y(τ),式中f0为不同类型被测件的频率标称值;所述测量仪器是指:频率计、计数器、比相仪、时间间隔测量仪、频标比对器、频差倍增器和双混频时差测量仪中的任何一种;3a) Set the time interval for measuring the raw data of the output frequencies of different types of DUTs to 1 hour. After the quartz crystal oscillator test system starts measuring, measure the relative average frequency deviation of different types of DUTs at intervals of 1 hour, That is, first measure the average value fx of the frequency actual values of different types of DUTs within the sampling time τ by the measuring instrument; then, substitute the average value fx of the frequency actual values into the formula y(τ)=(fx -f0 )/f0 , calculate the relative average frequency deviation y(τ) of different types of tested parts, where f0 is the nominal frequency value of different types of tested parts; the measuring instrument refers to: frequency Any one of meter, counter, phase comparator, time interval measuring instrument, frequency standard comparator, frequency difference multiplier and double mixing time difference measuring instrument;
3b)将不同类型被测件的相应测量通道的“测量通道状态标识”由“1”改为“2”,“2”表示测量通道已加入被测件,且被测件已加电工作。3b) Change the "Measurement Channel Status Identification" of the corresponding measurement channels of different types of DUTs from "1" to "2". "2" means that the measurement channels have been added to the DUT, and the DUT has been powered on.
步骤四:根据被测件测量依据标识测量被测件的性能。Step 4: Measure the performance of the DUT according to the measurement basis identification of the DUT.
4a)对于“被测件测量依据标识”为“3”的普通晶振被测件,依据《JJG180-2002电子测量仪器内石英晶体振荡器检定规程》,则按如下步骤测量其性能参数:4a) For the ordinary crystal oscillator under test whose "measuring basis mark of the tested part" is "3", according to the "JJG180-2002 Verification Regulations for Quartz Crystal Oscillators in Electronic Measuring Instruments", measure its performance parameters according to the following steps:
4a1)测量普通晶振被测件的开机特性、日频率波动及频率准确度:4a1) Measure the power-on characteristics, daily frequency fluctuation and frequency accuracy of the ordinary crystal oscillator DUT:
普通晶振被测件在加电1小时后,将测量相对平均频率偏差的取样时间选为10s,每隔1小时测量1组,每组连续测得3个相对平均频率偏差,取3个相对平均频率偏差的平均值作为每组的测量结果,共测25组,得到25个测量数据;用前8个测量数据中的最大值减去最小值,即可得到普通晶振被测件的开机特性;用25个测量数据中的最大值减去最小值,即可得到普通晶振被测件的日频率波动;根据日频率波动测量结果给出普通晶振被测件的频率准确度,该频率准确度比日频率波动低一个数量级;After the normal crystal oscillator is powered on for 1 hour, the sampling time for measuring the relative average frequency deviation is selected as 10s, and one group is measured every hour, and each group continuously measures 3 relative average frequency deviations, and the 3 relative averages are taken The average value of the frequency deviation is used as the measurement result of each group, and a total of 25 groups are measured to obtain 25 measurement data; subtract the minimum value from the maximum value of the first 8 measurement data, and the start-up characteristics of the ordinary crystal oscillator under test can be obtained; Subtract the minimum value from the maximum value of the 25 measured data to obtain the daily frequency fluctuation of the ordinary crystal oscillator under test; according to the daily frequency fluctuation measurement results, the frequency accuracy of the ordinary crystal oscillator under test is given, and the frequency accuracy is higher than Daily frequency fluctuations are an order of magnitude lower;
4a2)测量普通晶振被测件的频率复现性:4a2) Measure the frequency reproducibility of common crystal oscillator DUT:
在25个测量数据测量完成后,将普通晶振被测件断电,同时取25个测量数据中的第25个测量数据作为第一次测量结果,再对普通晶振被测件持续断电24小时;断电24小时后,给普通晶振被测件再次加电,加电1小时后,将测量相对平均频率偏差的取样时间选为10s,连续测得3个相对平均频率偏差,取3个相对平均频率偏差的平均值作为第二次测量结果;两次测量结果的差值的绝对值即为普通晶振被测件的频率复现性;After the measurement of 25 measurement data is completed, power off the ordinary crystal oscillator under test, and take the 25th measurement data among the 25 measurement data as the first measurement result, and then continue to power off the ordinary crystal oscillator under test for 24 hours ; After 24 hours of power failure, re-energize the ordinary crystal oscillator under test. After 1 hour of power-on, select the sampling time for measuring the relative average frequency deviation as 10s, measure 3 relative average frequency deviations continuously, and take 3 relative average frequency deviations. The average value of the average frequency deviation is taken as the second measurement result; the absolute value of the difference between the two measurement results is the frequency reproducibility of the ordinary crystal oscillator under test;
4a3)测量普通晶振被测件的1s频率稳定度:4a3) Measure the 1s frequency stability of the ordinary crystal oscillator DUT:
在普通晶振被测件再次加电到2小时时,先测量其它测量通道上的被测件的相对平均频率偏差,然后将测量普通晶振被测件的相对平均频率偏差的取样时间选为1s,并连续测得101个相对平均频率偏差yi(τ),i取1到101,再计算普通晶振被测件的1s频率稳定度σy(τ):When the ordinary crystal oscillator DUT is powered on again for 2 hours, first measure the relative average frequency deviation of the DUT on other measurement channels, and then select the sampling time for measuring the relative average frequency deviation of the ordinary crystal oscillator DUT as 1s. And continuously measure 101 relative average frequency deviations yi (τ), i ranges from 1 to 101, and then calculate the 1s frequency stability σy (τ) of the ordinary crystal oscillator under test:
式中:yi(τ),yi+1(τ)分别为第i和第i+1次测得的相对平均频率偏差;In the formula: yi (τ), yi+1 (τ) are the relative average frequency deviations measured in the i-th and i+1-th times respectively;
4a4)普通晶振被测件的1s频率稳定度测量完成后,将其再次断电,普通晶振被测件的性能测量完成,并将相应测量通道的“测量通道状态标识”由“2”改为“0”,“2”表示测量通道已加入被测件,且被测件已加电工作,“0”表示测量通道未加入被测件。4a4) After the 1s frequency stability measurement of the ordinary crystal oscillator DUT is completed, power it off again, the performance measurement of the ordinary crystal oscillator DUT is completed, and change the "measurement channel status identification" of the corresponding measurement channel from "2" to "0", "2" indicates that the measurement channel has been added to the DUT, and the DUT has been powered on, and "0" indicates that the measurement channel has not been added to the DUT.
4b)对于“被测件测量依据标识”为“4”的高稳晶振被测件,依据《JJG181-2005石英晶体频率标准检定规程》,按如下步骤测量其性能参数:4b) For the high-stable crystal oscillator DUT whose "Measurement Basis Mark of DUT" is "4", according to "JJG181-2005 Quartz Crystal Frequency Standard Verification Regulations", measure its performance parameters according to the following steps:
4b1)获取高稳晶振被测件的测量数据Ci:4b1) Obtain the measurement data Ci of the high stability crystal oscillator DUT:
高稳晶振被测件在加电1小时后,将测量相对平均频率偏差的取样时间选为10s,每隔1小时测量1组,每组连续测得3个相对平均频率偏差,取3个相对平均频率偏差的平均值作为每组的测量结果,共测T+168组,得到T+168个测量数据Ci,其相对应的测量时刻为i小时,i取1到T+168,T为高稳晶振被测件日老化率测量的预热时间数值,单位为小时;After the high-stable crystal oscillator is powered on for 1 hour, the sampling time for measuring the relative average frequency deviation is selected as 10s, and one group is measured every hour. Each group continuously measures 3 relative average frequency deviations, and 3 relative average frequency deviations are taken. The average value of the average frequency deviation is used as the measurement result of each group. A total of T+168 groups are measured, and T+168 measurement data Ci are obtained. The corresponding measurement time is i hour, and i takes 1 to T+168, and T is The warm-up time value for the measurement of the daily aging rate of the high-stable crystal oscillator under test, in hours;
4b2)从高稳晶振被测件的测量数据Ci中提取有效测量数据Bj,j取1到15,T小时及其后每隔12小时的15个测量数据为有效测量数据:Bj=C[T+(j-1)×12],其相对应的测量时刻:tj=T+(jj-1)×12;根据有效测量数据Bj对应的测量时刻与测量数据Ci对应的测量时刻存在T+(j-1)×12=i的关系,得到T+(j-1)×12=i×1,其中“×12”代表高稳晶振被测件的相对平均频率偏差的测量时间间隔为12小时,“×1”代表高稳晶振被测件的相对平均频率偏差的测量时间间隔为1小时,使高稳晶振被测件的相对平均频率偏差的测量时间间隔由12小时缩短到1小时;4b2) Extract the effective measurement data Bj from the measurement data Ci of the high-stable crystal oscillator under test, where j ranges from 1 to 15, and the 15 measurement data of T hours and every 12 hours thereafter are valid measurement data: Bj = C[T+(j-1)×12] , its corresponding measurement time: tj =T+(jj-1)×12; according to the measurement time corresponding to the effective measurement data Bj and the measurement time corresponding to the measurement data Ci There is a relationship of T+(j-1)×12=i, and T+(j-1)×12=i×1 is obtained, where “×12” represents the measurement time interval of the relative average frequency deviation of the high-stable crystal oscillator DUT as 12 hours, "×1" means that the measurement time interval of the relative average frequency deviation of the high-stable crystal oscillator DUT is 1 hour, shortening the measurement time interval of the relative average frequency deviation of the high-stable crystal oscillator DUT from 12 hours to 1 hour ;
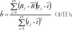
4b3)计算高稳晶振被测件的拟合直线斜率相关系数r、残差均方根σD、日老化率K及频率准确度A:4b3) Calculate the slope of the fitted straight line of the high stability crystal oscillator under test Correlation coefficient r, residual root mean square σD , daily aging rate K and frequency accuracy A:
将有效测量数据Bj相对应的测量时刻tj的量值由小时转化为日,并计算有效测量数据Bj的算术平均值及相对应的测量时刻tj的算术平均值Convert the value of the measurement time tj corresponding to the effective measurement data Bj from hours to days, and calculate the arithmetic mean of the effective measurement data Bj and the arithmetic mean of the corresponding measuring time tj
计算拟合直线斜率Calculate the slope of the fitted line
计算相关系数r,即时间与频率值的相关系数:Calculate the correlation coefficient r, which is the correlation coefficient between time and frequency values:
计算残差均方根σD:Calculate the root mean square of the residual σD :
计算日老化率K:Calculate the daily aging rate K:
如果相关系数|r|≥0.6,则计算日老化率K:If the correlation coefficient |r|≥0.6, calculate the daily aging rate K:
如果相关系数|r|<0.6,则不计算日老化率K;If the correlation coefficient |r|<0.6, the daily aging rate K is not calculated;
计算频率准确度:Calculate frequency accuracy:
4b4)测量高稳晶振被测件的短期频率稳定度:4b4) Measure the short-term frequency stability of the high-stable crystal oscillator DUT:
在高稳晶振被测件加电到T+169小时时,先测量其它测量通道上的被测件的相对平均频率偏差,然后将测量高稳晶振被测件的相对平均频率偏差的取样时间分别选择为1ms、10ms、100ms、1s及10s,并连续测得5组相对平均频率偏差,其中:前4组分别连续测得101个相对平均频率偏差yi(τ),第5组连续测得51个相对平均频率偏差yi(τ),再计算高稳晶振被测件在不同取样时间的短期频率稳定度σy(τ):When the high-stable crystal oscillator DUT is powered up to T+169 hours, first measure the relative average frequency deviation of the DUT on other measurement channels, and then measure the sampling time of the high-stable crystal oscillator DUT’s relative average frequency deviation respectively The selection is 1ms, 10ms, 100ms, 1s and 10s, and 5 groups of relative average frequency deviations are measured continuously, among which: the first 4 groups continuously measure 101 relative average frequency deviations yi (τ), and the fifth group continuously measures 51 relative average frequency deviations yi (τ), and then calculate the short-term frequency stability σy (τ) of the high-stable crystal oscillator DUT at different sampling times:
式中:N为每组连续测得相对平均频率偏差的个数;In the formula: N is the number of relative average frequency deviations measured continuously in each group;
4b5)高稳晶振被测件的短期频率稳定度测量完成后,将其断电,高稳晶振被测件的性能测量完成,并将相应测量通道的“测量通道状态标识”由“2”改为“0”,“2”表示测量通道已加入被测件,且被测件已加电工作,“0”表示测量通道未加入被测件。4b5) After the short-term frequency stability measurement of the high-stable crystal oscillator DUT is completed, power it off, the performance measurement of the high-stable crystal oscillator DUT is completed, and change the "measurement channel status identification" of the corresponding measurement channel from "2" to "0", "2" indicates that the measurement channel has been added to the DUT, and the DUT has been powered on, and "0" indicates that the measurement channel has not been added to the DUT.
以上是本发明的一个实施例,但并不构成对本发明的任何限制,显然在本发明的思想下,可作出不同的变更,但这些均在本发明的保护之列。The above is an embodiment of the present invention, but it does not constitute any limitation to the present invention. Obviously, different changes can be made under the idea of the present invention, but these are all included in the protection of the present invention.
| Application Number | Priority Date | Filing Date | Title |
|---|---|---|---|
| CN201210388411.3ACN102914711B (en) | 2012-10-12 | 2012-10-12 | Method for simultaneously measuring measured pieces in different types in quartz crystal oscillator testing system |
| Application Number | Priority Date | Filing Date | Title |
|---|---|---|---|
| CN201210388411.3ACN102914711B (en) | 2012-10-12 | 2012-10-12 | Method for simultaneously measuring measured pieces in different types in quartz crystal oscillator testing system |
| Publication Number | Publication Date |
|---|---|
| CN102914711Atrue CN102914711A (en) | 2013-02-06 |
| CN102914711B CN102914711B (en) | 2015-06-17 |
| Application Number | Title | Priority Date | Filing Date |
|---|---|---|---|
| CN201210388411.3AActiveCN102914711B (en) | 2012-10-12 | 2012-10-12 | Method for simultaneously measuring measured pieces in different types in quartz crystal oscillator testing system |
| Country | Link |
|---|---|
| CN (1) | CN102914711B (en) |
| Publication number | Priority date | Publication date | Assignee | Title |
|---|---|---|---|---|
| CN103809425A (en)* | 2014-01-27 | 2014-05-21 | 中国电子科技集团公司第十研究所 | Online calibration device and calibration method for atomic frequency standards |
| CN104198846A (en)* | 2014-08-18 | 2014-12-10 | 广东大普通信技术有限公司 | Automatic testing method and system of aging characteristics of crystal oscillator |
| CN105572429A (en)* | 2015-12-22 | 2016-05-11 | 北京无线电计量测试研究所 | Crystal oscillator fixing device and monitoring system |
| CN107733368A (en)* | 2017-09-07 | 2018-02-23 | 西安电子科技大学 | Intelligent aging compensation approach based on statistical batch production constant-temperature crystal oscillator |
| CN108226633A (en)* | 2018-01-02 | 2018-06-29 | 京东方科技集团股份有限公司 | Frequency detecting method and frequency detecting device |
| CN109581196A (en)* | 2018-12-26 | 2019-04-05 | 北京无线电计量测试研究所 | A kind of chip and detection method comprising process corner detection circuit |
| CN110187198A (en)* | 2018-02-23 | 2019-08-30 | 中兴通讯股份有限公司 | A kind of method and device of frequency device Performance Evaluation |
| CN115184759A (en)* | 2022-06-29 | 2022-10-14 | 深圳市北测检测技术有限公司 | A frequency/temperature characteristic testing method and system for identifying crystal oscillator excited jumps |
| CN118330312A (en)* | 2024-06-13 | 2024-07-12 | 东方电子股份有限公司 | FPGA crystal oscillator frequency measurement method and system |
| Publication number | Priority date | Publication date | Assignee | Title |
|---|---|---|---|---|
| CN1657957A (en)* | 2005-03-02 | 2005-08-24 | 欧阳槐清 | A testing and adjusting device and method for a quartz crystal oscillator |
| CN101515009A (en)* | 2009-03-30 | 2009-08-26 | 成都飞机工业(集团)有限责任公司 | Unattended automatic test system of quartz crystal oscillator |
| Publication number | Priority date | Publication date | Assignee | Title |
|---|---|---|---|---|
| CN1657957A (en)* | 2005-03-02 | 2005-08-24 | 欧阳槐清 | A testing and adjusting device and method for a quartz crystal oscillator |
| CN101515009A (en)* | 2009-03-30 | 2009-08-26 | 成都飞机工业(集团)有限责任公司 | Unattended automatic test system of quartz crystal oscillator |
| Title |
|---|
| 国家质量监督检验检疫总局: "《JJG180-2002 电子测量仪器内石英晶体振荡器检定规程》", 4 May 2003* |
| 国家质量监督检验检疫总局: "《JJG181-2005 石英晶体频率标准检定规程》", 5 March 2006* |
| Publication number | Priority date | Publication date | Assignee | Title |
|---|---|---|---|---|
| CN103809425A (en)* | 2014-01-27 | 2014-05-21 | 中国电子科技集团公司第十研究所 | Online calibration device and calibration method for atomic frequency standards |
| CN103809425B (en)* | 2014-01-27 | 2016-08-17 | 中国电子科技集团公司第十研究所 | The on-line calibration device of atomic frequency standard and calibration steps |
| CN104198846B (en)* | 2014-08-18 | 2017-03-22 | 广东大普通信技术有限公司 | Automatic testing method and system of aging characteristics of crystal oscillator |
| CN104198846A (en)* | 2014-08-18 | 2014-12-10 | 广东大普通信技术有限公司 | Automatic testing method and system of aging characteristics of crystal oscillator |
| CN105572429B (en)* | 2015-12-22 | 2019-12-20 | 北京无线电计量测试研究所 | Fixing device and monitoring system of crystal oscillator |
| CN105572429A (en)* | 2015-12-22 | 2016-05-11 | 北京无线电计量测试研究所 | Crystal oscillator fixing device and monitoring system |
| CN107733368A (en)* | 2017-09-07 | 2018-02-23 | 西安电子科技大学 | Intelligent aging compensation approach based on statistical batch production constant-temperature crystal oscillator |
| CN108226633A (en)* | 2018-01-02 | 2018-06-29 | 京东方科技集团股份有限公司 | Frequency detecting method and frequency detecting device |
| CN108226633B (en)* | 2018-01-02 | 2020-12-11 | 京东方科技集团股份有限公司 | Frequency detection method and frequency detection device |
| CN110187198A (en)* | 2018-02-23 | 2019-08-30 | 中兴通讯股份有限公司 | A kind of method and device of frequency device Performance Evaluation |
| CN110187198B (en)* | 2018-02-23 | 2022-04-26 | 中兴通讯股份有限公司 | Method and device for evaluating performance of frequency device |
| CN109581196A (en)* | 2018-12-26 | 2019-04-05 | 北京无线电计量测试研究所 | A kind of chip and detection method comprising process corner detection circuit |
| WO2020134673A1 (en)* | 2018-12-26 | 2020-07-02 | 北京无线电计量测试研究所 | Chip comprising process corner detection circuit and detection method |
| CN115184759A (en)* | 2022-06-29 | 2022-10-14 | 深圳市北测检测技术有限公司 | A frequency/temperature characteristic testing method and system for identifying crystal oscillator excited jumps |
| CN118330312A (en)* | 2024-06-13 | 2024-07-12 | 东方电子股份有限公司 | FPGA crystal oscillator frequency measurement method and system |
| Publication number | Publication date |
|---|---|
| CN102914711B (en) | 2015-06-17 |
| Publication | Publication Date | Title |
|---|---|---|
| CN102914711B (en) | Method for simultaneously measuring measured pieces in different types in quartz crystal oscillator testing system | |
| CN103176400B (en) | Intelligent ammeter clock calibration method | |
| US11215672B2 (en) | Battery detection method | |
| CN108089141B (en) | Error correction method and device of current measuring device based on current divider | |
| CN105911512A (en) | Intelligent electric energy meter constant test system and test method thereof | |
| CN106569164A (en) | Method and system for synchronization testing of electric quantity of double-core electric energy meter | |
| CN106405460A (en) | Electronic instrument voltage detection calibration system and calibration method | |
| CN102375136A (en) | System and method for verifying electric energy meter on site | |
| CN115656910B (en) | Remote calibration system, method and equipment for mutual inductor calibration instrument | |
| CN111751048A (en) | Pressure sensor online checking device and method matched with digital instrument | |
| CN113702737A (en) | Charging pile and testing method, device and equipment applied to charging pile | |
| CN201757779U (en) | Electronic transformer calibrator | |
| CN107566105B (en) | Time synchronization device compensation method, device, storage medium and computer equipment thereof | |
| CN201689168U (en) | Calibration test device of an electronic transformer calibration instrument | |
| CN101988957A (en) | Dynamic detection method and system of sampling accuracy of electric quantity of merging unit of substation | |
| CN210005677U (en) | Electric energy meter basic error testing device considering temperature and current change | |
| CN103292872B (en) | A kind of air flow meter performance detecting system | |
| CN106483486A (en) | A kind of continuous wave power probe power calibration system and method | |
| US9032129B2 (en) | Advanced energy profiler | |
| CN107085196A (en) | A verification method for an electronic AC watt-hour meter | |
| CN103592056A (en) | Temperature calibration instrument based on temperature differences | |
| CN207528816U (en) | A kind of power measuring device | |
| CN109375005A (en) | A kind of number temperature compensating crystal oscillator Auto-Test System and method | |
| CN114200381A (en) | System and method for detecting reliability of intelligent electric meter | |
| CN104316889A (en) | Virtual load method-based generator rotor alternating current impedance tester calibration device |
| Date | Code | Title | Description |
|---|---|---|---|
| C06 | Publication | ||
| PB01 | Publication | ||
| C10 | Entry into substantive examination | ||
| SE01 | Entry into force of request for substantive examination | ||
| C14 | Grant of patent or utility model | ||
| GR01 | Patent grant |