Movatterモバイル変換


[0]ホーム

URL:


CN102855757B - Information Bottleneck State Recognition Method Based on Queuing Detector - Google Patents

Information Bottleneck State Recognition Method Based on Queuing Detector
Download PDF

Info

Publication number
CN102855757B
CN102855757BCN201210054342.2ACN201210054342ACN102855757BCN 102855757 BCN102855757 BCN 102855757BCN 201210054342 ACN201210054342 ACN 201210054342ACN 102855757 BCN102855757 BCN 102855757B
Authority
CN
China
Prior art keywords
value
bottleneck
occupation rate
time
sample
Prior art date
Legal status (The legal status is an assumption and is not a legal conclusion. Google has not performed a legal analysis and makes no representation as to the accuracy of the status listed.)
Expired - Fee Related
Application number
CN201210054342.2A
Other languages
Chinese (zh)
Other versions
CN102855757A (en
Inventor
马东方
王殿海
韦薇
金盛
孙峰
Current Assignee (The listed assignees may be inaccurate. Google has not performed a legal analysis and makes no representation or warranty as to the accuracy of the list.)
Zhejiang University ZJU
Original Assignee
Zhejiang University ZJU
Priority date (The priority date is an assumption and is not a legal conclusion. Google has not performed a legal analysis and makes no representation as to the accuracy of the date listed.)
Filing date
Publication date
Application filed by Zhejiang University ZJUfiledCriticalZhejiang University ZJU
Priority to CN201210054342.2ApriorityCriticalpatent/CN102855757B/en
Publication of CN102855757ApublicationCriticalpatent/CN102855757A/en
Application grantedgrantedCritical
Publication of CN102855757BpublicationCriticalpatent/CN102855757B/en
Expired - Fee Relatedlegal-statusCriticalCurrent
Anticipated expirationlegal-statusCritical

Links

Images

Landscapes

Abstract

Translated fromChinese

本发明公开了一种基于排队检测器信息瓶颈状态识别方法。本发明以排队检测器的检测信息为基础,以超出阈值的滚动时间占有率连续出现的个数为判别指标,对路段交通状态进行实时判别,认为当排队长度大于或等于排队检测器与停车线的距离时,检测器位置处的状态为瓶颈状态。本发明以滚动时间占有率作为瓶颈状态的判别指标,提高了瓶颈状态识别的实时性。

The invention discloses a bottleneck state recognition method based on queue detector information. Based on the detection information of the queuing detector, the present invention uses the number of continuously occurring scrolling time occupancy ratios exceeding the threshold as the discriminant index to conduct real-time discrimination on the traffic state of the road section. When the distance is , the state at the detector position is the bottleneck state. The present invention uses the scrolling time occupancy rate as the discrimination index of the bottleneck state, which improves the real-time performance of identifying the bottleneck state.

Description

Based on the recognition methods of queuing sensor information bottleneck
Technical field
The present invention relates to bottleneck recognition technology field, particularly a kind of bottleneck recognition methods based on queuing sensor information.
Background technology
Along with increasingly sharpening of Urban Traffic Jam Based, the traffic flow of a lot of nodes moves often in hypersaturated state, and even the queue length in part section approaches or equals road section length, occurs to queue up and traces back phenomenon, form section " bottleneck ", have a strong impact on the operational efficiency of city road network traffic flow.Generally, when section queue length is during close to road section length, the residing traffic behavior in this section can be thought " bottleneck ", and this section can be referred to as bottleneck road.Bottleneck belongs to a kind of special hypersaturated state, is the extreme performance worsening of road section traffic volume state.
In the time that certain road section traffic volume state reaches bottleneck, need to carry out a kind of special control mode, i.e. bottleneck control to the upstream and downstream crossing in this section.So-called bottleneck control refers to by the signal timing dial parameter of reasonable adjusting upstream and downstream crossing, reduces the input of upstream, section, increases the supply of downstream, section, to alleviate a kind of control mode of road section traffic volume pressure.Real-Time Monitoring road section traffic volume state, determine that the triggering moment of bottleneck control is prerequisite and the basis of bottleneck control, directly determining the effect of bottleneck control.In order to obtain the required essential information of bottleneck control, urban traffic signal control system is all buried queuing detecting device underground at inner side or the middle lane of upstream, section.
At present, very few for the achievement in research of bottleneck recognition methods, and algorithm, still in theoretical research stage, disconnects seriously with actual conditions mostly, engineering application difficult; In addition, the transport information that existing achievement in research is traced back after occurring based on queuing is mostly identified section bottleneck, causes bottleneck control program to implement evening, controls poor effect.Therefore further investigate the recognition methods of bottleneck, for alleviating, bottleneck road traffic pressure is very necessary.
Summary of the invention
The object of the present invention is to provide a kind of section bottleneck recognition methods based on queuing sensor information.The detection information of detecting device of it is characterized in that queuing up is basis, to exceed number that the rolling time occupation rate of threshold value occurs continuously as discriminant criterion, section traffic behavior is carried out to real time discriminating, think in the time that queue length is more than or equal to the distance of queuing detecting device and stop line, the state at detector location place is bottleneck.
The basic thought of the method is in the time that section queuing tail of the queue approaches queuing detector location, follow-up arrival vehicle approaches by queuing detector speed the speed of blocking up, and can determine and characterize the contingent time occupancy threshold value of blocking up in conjunction with effective length of wagon of different automobile types; Utilize queuing detecting device under low state of saturation, to detect the traffic flow data obtaining, statistics obtains the rolling time occupation rate under unsaturated state; Take different positive integers as slip interval, the minimum value of getting rolling time occupation rate in sliding area forms new ordered series of numbers, and utilize Johnson curve to convert time occupancy ordered series of numbers to normal state data, and then utilize the basic thought of quality control chart to determine the upper control limit of the rolling time occupation rate composition sample that exceeds threshold value of different numbers; Upper control limit under comparative analysis time occupancy threshold value and different interval, choose the minimum number that makes the control chart upper limit be less than or equal to the desired continuous rolling time occupation rate that exceeds threshold value of time occupancy threshold value, the standard that must occur as bottleneck; Bottleneck trigger condition is the number that rolling time occupation rate is greater than threshold value continuously and is more than or equal to this standard.
To achieve these goals, the section bottleneck recognition methods that the present invention proposes comprises under the calculating of rolling time occupation rate, congestion status that rolling time occupation rate threshold value is determined, bottleneck trigger condition is determined several steps.
Concrete step comprises:
C1, detect the arithmetic for real-time traffic flow parameter in this this track of section of queuing detector acquisition of track section by need, and it is carried out to pre-service obtain rolling time occupation rate.
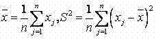
C2, determine according to the effective length of wagon of car and the compact car speed of blocking up the contingent rolling time occupation rate threshold value of blocking up.
Figure 2012100543422100002DEST_PATH_IMAGE004
In formula:
Figure 2012100543422100002DEST_PATH_IMAGE006
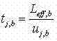
---characterize the contingent time occupancy threshold value of blocking up;tj,c---the crowded holding time of car;t---the time scale of rolling time occupation rate;leff, c---the effective length of wagon of car;uj,c---the car speed of blocking up.
C3, determine bottleneck activation threshold value, determine and can differentiate the number that the rolling time occupation rate must occur time of blocking up is greater than its threshold value continuouslyn.
C4, according to the corresponding threshold value index of bottleneck, judge whether section reaches bottleneck.
C5, according to the differentiation result of c4, if judgement arrive bottleneck, trigger bottleneck control strategy, otherwise jump to step c1.
Further, the process of obtaining arithmetic for real-time traffic flow parameter in step c1 comprises:
On c11, the inner side or middle lane of upstream, section detected at needs, lay queuing detecting device in the position apart from crossing, upstream 50m, and use the mode of electric wire, optical cable or radio communication to be connected with traffic surveillance and control center.
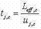
C12, determined the time scale of rolling time occupation rate by the crowded holding time of large cart.
Figure 2012100543422100002DEST_PATH_IMAGE008
Figure 2012100543422100002DEST_PATH_IMAGE010
In formula:tj,b---the crowded holding time of large car;leff, b---the effective length of wagon of large car;uj,b---the large car speed of blocking up.
C13, calculating rolling time occupation rate.Rolling time occupation rate is with △tfor rolling interval, calculate a series of continuous time intervalstinterior time occupancy.Its computing formula is as follows:
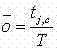
oi=ti/T
In formula:oi---theithe individual time intervaltinterior rolling time occupation rate;
ti---theithe individual time intervaltin, vehicle takies queuing detecting device duration.
Further, in step c3, use the thought of quality control chart, determined by enumerative techniquen.
Concrete definite method is:
C31, selectionn*(n*since 1 value) new samples of minimum value composition in individual continuous time occupation ratexn*.xn*in data can be represented by the formula:
Figure 2012100543422100002DEST_PATH_IMAGE012
The nonnormal sample data of time occupancy of obtaining in c32, step c31 is converted to normal state data.
C33, determine samplexn*upper control limit UCL, centre line C L and the lower control limit LCL of quality control chart.
C34, definite according to the parameter of gained quality control chartnvalue.
Further, in step c31, when the time by queuing detecting device, near detector location, must not get congestion with common speed owing to being less than car when rolling time occupation rate, work asoi<tf,c/ Ttime, this sample is rejected from overall, whereintf,ccar with free stream velocity by the holding time of queuing detecting device.
Further, step c32 has utilized Johnson curve to convert nonnormal data to normal state data.With the best Johnson curve distribution of Percentiles and Shapiro-Wilk or the definite fitting data of Epps-Pulley normal state check, and then according to Johnson curve, the rule of normal state conversion is become to normal state data by nonnormal rolling time occupation rate data-switching.
Concrete steps are:
C321, determine matching conversion valuez.In order to seek best matching conversion value, at best-fitzvalue possible rangeg{z:z=0.25,0.26 ..., the interior ascending one by one inspection of carrying out of 1.25}, step-length is 0.01, amounts to 101 numerical value.First orderzvalue is 0.25.
C322, calculate in standardized normal distribution corresponding to-sz,-z,z,szdistribution probabilityq1,q2,q3,q4.s> 1,suggestionsvalue is 3.
C323, estimationxn*in sample, correspond respectively toq1,q2,q3,q4quantile.
Figure 2012100543422100002DEST_PATH_IMAGE016
for data ascending order in sample arrange thejindividual observed reading, whereinj=nqi+ 0.5 (nfor sample size).Whenjnon-when whole, can adopt method of interpolation to ask
Figure 785113DEST_PATH_IMAGE016
.
Figure 2012100543422100002DEST_PATH_IMAGE018
In formula: mod is modulo operation symbol.
C324, calculating fractile ratio QR.
QR=mn/p2
In formula:
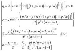
C325, determine Johnson converting system curve form according to QR, and utilizez,m,n,p,x-z,xzcarry out the parameter in estimation curve.Whereinx-zrepresent the 1-of standardized normal distributionzquantile;xzexpression standardized normal distributionzquantile.Calculation method of parameters in concrete curve is:
Work as QR<1, Johnson curve is Sbwhen system, each parameter value is as follows.
Figure 2012100543422100002DEST_PATH_IMAGE022
In formula:
Figure DEST_PATH_IMAGE024
for inverse hyperbolic function, wherein:
Figure DEST_PATH_IMAGE026
,
Figure DEST_PATH_IMAGE028
.
Work as QR>1, Johnson curve is Suwhen system, each parameter value following formula.
Figure DEST_PATH_IMAGE030
Work as QR=1, Johnson curve is Slwhen system, each parameter value following formula.
Figure DEST_PATH_IMAGE032
In above calculating formula
Figure DEST_PATH_IMAGE034
,
Figure DEST_PATH_IMAGE036
,
Figure DEST_PATH_IMAGE038
,
Figure DEST_PATH_IMAGE040
be all Johnson parameter of curve.Calculate after each parameter, utilize Johnson converting system to carry out normal state conversion to data.
C326, the data after normal state conversion are carried out to test of normality
Work as sample sizenwhen <50, adopt Shapiro-Wilk check.Now in the level of signifianceαunder, if according to the statistic of sample calculationw<w α(w αbew'sαfractile, can obtain by tabling look-up), refuse normality assumption.
Work as sample sizenwhen >50, adopt Epps-Pulley check, under insolation level α, according to sample statistictep determines whether to refuse normality assumption.tep normalized set formula is as follows.
Figure DEST_PATH_IMAGE042
Wherein:
Figure DEST_PATH_IMAGE044
If the statistic being calculated by sample datatePbe more than or equal toαfractile under level, refuses normality assumption.
If refusal normality assumption, willzvalue increases by 0.01, and returns to c322; If not refusing normality assumption exportszvalue and correspondingwortep value.
C327, outputwortin ep value, find outwmaximal value ortthe minimum value of ep, correspondingzvalue is optimal fitting conversion values, and the conversion normal state data that calculate by this value are required data-switching result
Figure DEST_PATH_IMAGE046
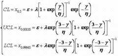
.
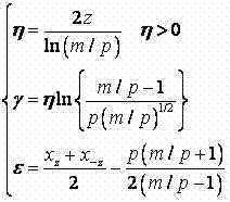
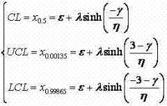
Further, in step c33, the rolling time occupation rate sample obtaining by c32xn*normal state transformation result, can calculate samplexn*upper control limit UCL, centre line C L and the lower control limit LCL of quality control chart.Circular is as follows.
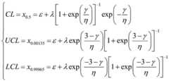
For Suand Slcurve, has:
Figure DEST_PATH_IMAGE048
For Sbcurve, has:
Figure DEST_PATH_IMAGE050
In formula:x0.5represent 0.5 quantile of standardized normal distribution;x0.00135represent 0.00135 quantile of standardized normal distribution;x0.99865represent 0.99865 quantile of standardized normal distribution.
Further, in step c34, contrast samplexn*uCL and the rolling time occupation rate threshold value of quality control chart
Figure 440174DEST_PATH_IMAGE006
if UCL is less than or equal to, nown*value is bottleneck activation threshold valuen; Otherwise willn*value increases by 1, and returns to c31 and recalculate.
Further, in step c4, if rolling time occupation rate overtime occupation rate threshold valuecontinuous number be greater thann, section is in bottleneck, otherwise judges that section is not in bottleneck.
Beneficial effect of the present invention:
1, the discriminant criterion using rolling time occupation rate as bottleneck, has improved the real-time of bottleneck identification;
2, take the queuing detection information of bottleneck road as basis, can fundamentally change the hysteresis quality take upstream monitoring information as basic trigger condition, provide prerequisite for effectively avoiding queuing up to trace back;
3, the method mainly the analysis based on data obtain bottleneck activation threshold value, can react comparatively accurately actual traffic.
Accompanying drawing explanation
Fig. 1 is overview flow chart of the present invention;
Fig. 2 is queuing Loop detector layout schematic diagram;
Fig. 3 is rolling time occupation ratetistatistical method schematic diagram;
Fig. 4 is that activation threshold value is determined process flow diagram.
Embodiment
Below in conjunction with accompanying drawing, the present invention will be described in detail.
Bottleneck recognition methods of the present invention be queue up the detection information of detecting device be basis.The method can utilize the telecommunication flow information of real-time detection to analyze section traffic behavior, differentiates in time, accurately section bottleneck, for alleviating road section traffic volume pressure, avoid queuing up and trace back phenomenon basis is provided.
With reference to figure 1, illustrate the overall procedure of the present invention to bottleneck recognition methods.This bottleneck method of discrimination is made up of hardware and software two parts, the hardware devices such as its existing data acquisition equipment, teleseme and server, have also had that rolling occupation rate is calculated, bottleneck activation threshold value is determined and judge whether to reach the computer program part of bottleneck.This bottleneck recognition methods is on the basis of queuing sensor information, realize by self-editing computer program, complete says, the judgement of determining, whether trigger bottleneck of the determining of the collection of its detecting device that comprises the steps: to queue up to traffic flow parameter, the calculating of rolling time occupation rate, the contingent rolling time occupation rate threshold value of blocking up, bottleneck activation threshold value.To the bottleneck recognition methods based on queuing sensor information be explained in detail according to time sequencing below:
Step 1, installation hardware
With reference to figure 2, queuing detecting device is installed on section.Concrete realization queuing detecting device gathers and needs to install following hardware device transport information parameter:
Figure DEST_PATH_IMAGE052
detecting on section, on the middle lane (or inside lane) apart from 50m place, crossing, upstream, bury the queuing detecting device that design specification is 2 × 2m underground, for the parameter information of acquisition time occupation rate.
Figure DEST_PATH_IMAGE054
utilize existing teleseme, server, and queuing detecting device and stream signal machine are coupled together with electric wire and/or optical cable, then teleseme and server are coupled together with electric wire and/or optical cable.
Step 2, calculating rolling time occupation rate
After section telecommunication flow information being gathered by queuing detecting device, utilize the information gathering to calculate calculating rolling time occupation rate, step is as follows:
Figure 729838DEST_PATH_IMAGE052
determined the time scale of rolling time occupation rate by the crowded holding time of large cart.
Figure 14188DEST_PATH_IMAGE008
Figure 239765DEST_PATH_IMAGE010
In formula:tj,b---the crowded holding time of large car;leff, b---the effective length of wagon of large car;uj,b---the large car speed of blocking up;t---the time scale of rolling time occupation rate.
rolling time occupation rate is with △tfor rolling interval, calculate a series of continuous time intervalstinterior time occupancy.Theiindividual time occupancy computing method as shown in the formula.
oi=ti/T
In formula:oi---theithe individual time intervaltinterior rolling time occupation rate;ti---theithe individual time intervaltin, vehicle takies queuing detecting device duration.Fig. 3 be witht=5 △tfor example explanationtistatistical method.
Step 3, calculate the contingent rolling time occupation rate threshold value of blocking up
Determine and characterize the contingent rolling time occupation rate threshold value of blocking up according to the effective length of wagon of car and the compact car speed of blocking up.
Figure 56203DEST_PATH_IMAGE002
Figure 573772DEST_PATH_IMAGE004
In formula:
Figure 286645DEST_PATH_IMAGE006
---characterize the contingent time occupancy threshold value of blocking up;tj,c---the crowded holding time of car;leff, c---the effective length of wagon of car;uj,c---the car speed of blocking up.
Determining of step 4, bottleneck activation threshold value
Single rolling time occupation rate can not represent near traffic behavior detecting device, in order to determine more accurately that whether section is in bottleneck, needs to determine to represent near exceeding of the traffic behavior of detecting device
Figure 852755DEST_PATH_IMAGE006
the number that occurs continuously of rolling time occupation raten.
While there is not supersaturation due to bottleneck road, the get congestion probability of phenomenon of queuing detecting device place is very low, can represent that the UCL of the rolling time occupation rate control chart of queuing detector location place traffic behavior should be not more than
Figure 951161DEST_PATH_IMAGE006
, therefore determiningntime, fromn*=1 starts to enumerate, if do not satisfy conditionn* value increases by 1 and continues computing, untiln* arrive certain numerical value, the UCL of the quality control chart being obtained by this numerical value is less than or equal to
Figure 390364DEST_PATH_IMAGE006
, nown*value is requirednvalue.
Moreover, due to the non-normality of rolling time occupation rate sample, need to utilize Johnson curve to carry out normalize to data, and its first step is to seek best matching conversion values.
Here with reference to figure 4, the concrete steps of definite bottleneck activation threshold value have been provided.
selectn*(n*since 1 value) new samples of minimum value composition in individual continuous time occupation ratexn*.xn*in data can be represented by the formula:
When time occupancy by queuing detecting device, near detector location, must not get congestion with free stream velocity owing to being less than car when rolling time occupation rate, work asoi<tf,c/ Ttime, this sample is rejected from overall, whereintf,ccar with free stream velocity by the holding time of queuing detecting device.。
Figure 913246DEST_PATH_IMAGE054
determine matching conversion valuez.In order to seek best matching conversion value, at best-fitzvalue possible rangeg{z:z=0.25,0.26 ..., the interior ascending one by one inspection of carrying out of 1.25}, step-length is 0.01, amounts to 101 numerical value.First orderzvalue is 0.25.
calculate in standardized normal distribution corresponding to-sz,-z,z,szdistribution probabilityq1,q2,q3,q4.Whereins> 1, suggestionsvalue is 3.
Figure DEST_PATH_IMAGE058
estimatexn*in sample, correspond respectively toq1,q2,q3,q4quantile
Figure 645054DEST_PATH_IMAGE014
.
Figure 66939DEST_PATH_IMAGE016
for data ascending order in sample arrange thejindividual observed reading, whereinj=nqi+ 0.5 (nfor sample size).Whenjnon-when whole, can adopt method of interpolation to ask
Figure 240432DEST_PATH_IMAGE016
.
Figure 313430DEST_PATH_IMAGE018
In formula: mod is modulo operation symbol.
Figure DEST_PATH_IMAGE060
calculate fractile ratio QR.
QR=mn/p2
In formula:
Figure DEST_PATH_IMAGE062
determine matched curve form according to QR, and estimate response curve correlation parameter and carry out normal state conversion.Several translation types of Johnson curve and various types of restriction on the parameters and variable-value scope are as shown in table 1.
Table 1 Johnson converting system
Figure 899221DEST_PATH_IMAGE002
Parameter in curve can be utilizedz,m,n,p,x-z,xzestimate, whereinx-zrepresent the 1-of standardized normal distributionzquantile;xzexpression standardized normal distributionzquantile.
Work as QR<1, Johnson curve is Sbwhen system, each parameter value is as follows.
In formula:
Figure DEST_PATH_IMAGE066
for inverse hyperbolic function, wherein:
Figure DEST_PATH_IMAGE067
,
Figure DEST_PATH_IMAGE068
.
Work as QR>1, Johnson curve is Suwhen system, each parameter value following formula.
Figure DEST_PATH_IMAGE069
Work as QR=1, Johnson curve is Slwhen system, each parameter value following formula.
Figure DEST_PATH_IMAGE070
Calculate after parameters, can be right according to table 1xn*carry out normal state conversion.
, the data after Johnson conversion are carried out to test of normality
Work as sample sizenwhen <50, adopt Shapiro-Wilk check.Now in the level of signifianceαunder, if according to the statistic of sample calculationw<w α(w αbew'sαfractile, can obtain by tabling look-up), refuse normality assumption.
Work as sample sizenwhen >50, adopt Epps-Pulley check, under insolation level α, according to sample statistictep determines whether to refuse normality assumption.tep normalized set formula is as follows.
Figure DEST_PATH_IMAGE073
Wherein:
Figure DEST_PATH_IMAGE074
If the statistic being calculated by sample datatePbe more than or equal toαfractile under level, refuses normality assumption.
If refusal normality assumption,zvalue increases by 0.01, and returns
Figure DEST_PATH_IMAGE075
; If accepting normality assumption exportszvalue and correspondingwortep value.
Figure DEST_PATH_IMAGE077
what exportwortin ep value, find outwmaximal value ortthe minimum value of ep, correspondingzvalue is optimal fitting conversion values, and the conversion normal state data that calculate by this value are required data-switching result
Figure 312271DEST_PATH_IMAGE046
.
Figure DEST_PATH_IMAGE079
the small probability event territory identical according to Shewhart control chart, CL, the LCL of control chart and UCL should be respectively on probability is 0.5,0.00135 and 0.99865 fractile.Therefore, whensvalue is 3 o'clock, and in standardized normal distribution, three are divided into accordingly number and correspond respectively to z=0, z=-3, the position of z=3, and can determine corresponding fractile according to the inverse function of normal state transfer functionx0.5,x0.00135,x0.99865.
According to final normalize result
Figure 633662DEST_PATH_IMAGE046
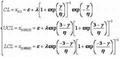
the Johnson parameter of curve calculating, can calculate samplexn*upper control limit UCL, centre line C L and the lower control limit LCL of quality control chart.Circular is as follows.
For Suand Slcurve, has:
Figure DEST_PATH_IMAGE080
For Sbcurve, has:
Figure DEST_PATH_IMAGE081
Figure DEST_PATH_IMAGE083
contrast samplexn*quality control chart upper bound UCL value and rolling time occupation rate threshold value
Figure 2012100543422100002DEST_PATH_IMAGE001
if UCL is less than or equal to
Figure 674527DEST_PATH_IMAGE006
,n*value is bottleneck activation threshold valuen; Otherwise willn*value increases by 1, and returnsrecalculate.
Step 5, judge that rolling time occupation rate is greater than time occupancy threshold value
Figure 120903DEST_PATH_IMAGE001
continuous number whether be greater thannif judge that section, in bottleneck, should implement bottleneck control strategy, otherwise judge that section is not in bottleneck.

Claims (6)

1. based on the recognition methods of queuing sensor information bottleneck, it is characterized in that the method comprises the following steps:
C1, detect the arithmetic for real-time traffic flow parameter in this this track of section of queuing detector acquisition of track section by need, and it is carried out to pre-service obtain rolling time occupation rate;
C2, determine according to the effective length of wagon of car and the compact car speed of blocking up the contingent rolling time occupation rate threshold value of blocking up;
Figure FDA0000480776470000011
Figure FDA0000480776470000012
In formula:represent to block up contingent rolling time occupation rate threshold value; tj,crepresent the crowded holding time of car; Leff, crepresent the effective length of wagon of car; uj,crepresent the car speed of blocking up; T represents the time scale of rolling time occupation rate;
C3, determine bottleneck activation threshold value, determine and can differentiate the number N that the rolling time occupation rate must occur time of blocking up is greater than its threshold value continuously;
C4, according to the corresponding threshold value index of bottleneck, judge whether section reaches bottleneck;
C5, according to the differentiation result of c4, if judgement arrive bottleneck, trigger bottleneck control strategy, otherwise jump to step c1;
The process of obtaining arithmetic for real-time traffic flow parameter in step c1 comprises:
On c11, the inner side or middle lane of upstream, section detected at needs, lay queuing detecting device in the position apart from crossing, upstream 50m, and use the mode of electric wire, optical cable or radio communication to be connected with traffic surveillance and control center;
C12, determine T by the crowded holding time of large car;
Figure FDA0000480776470000021
Figure FDA0000480776470000022
In formula: tj,brepresent the crowded holding time of large car; Leff, brepresent the effective length of wagon of large car; uj,brepresent the large car speed of blocking up;
C13, calculating rolling time occupation rate; Rolling time occupation rate is take △ t as rolling interval, calculates the time occupancy in a series of continuous time interval T; Its computing formula is as follows:
oi=ti/T
In formula: oirepresent i the rolling time occupation rate in time interval T; tirepresent in i time interval T, vehicle takies queuing detecting device duration;
In step c3, use the thought of quality control chart, determined N by enumerative technique;
Concrete definite method is:
C31, selection N*a new samples X of minimum value composition in individual continuous time occupation raten*; Xn*in data represent with following formula:
Figure FDA0000480776470000023
C32, nonnormal the time occupancy obtaining in step c31 sample data is converted to normal state data;
C33, determine sample Xn*upper control limit UCL, centre line C L and the lower control limit LCL of quality control chart;
C34, determine N value according to the parameter of gained quality control chart.
2. according to claim 1 based on the recognition methods of queuing sensor information bottleneck, it is characterized in that: in step c31, when time by queuing detecting device, near detector location, must not get congestion with common speed owing to being less than car when rolling time occupation rate, work as oi<tf,cwhen/T, this sample is rejected from overall to wherein tf,ccar with free stream velocity by the holding time of queuing detecting device.
3. according to claim 1 based on the recognition methods of queuing sensor information bottleneck, it is characterized in that:
Step c32 has utilized Johnson curve to convert nonnormal data to normal state data; With the best Johnson curve distribution of Percentiles and Shapiro-Wilk or the definite fitting data of Epps-Pulley normal state check, and then according to Johnson curve, the rule of normal state conversion is become to normal state data by nonnormal rolling time occupation rate data-switching;
Concrete steps are:
C321, determine matching conversion value z; In order to seek best matching conversion value, at best-fit z value possible range g{z:z=0.25,0.26 ..., the interior ascending one by one inspection of carrying out of 1.25}, step-length is 0.01, amounts to 101 numerical value; First making z value is 0.25;
C322, calculate in standardized normal distribution the distribution probability q corresponding to-sz ,-z, z, sz1, q2, q3, q4, wherein s > 1;
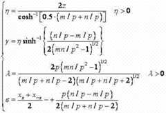
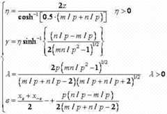
C323, estimation Xn*in sample, correspond respectively to q1, q2, q3, q4quantile
Figure FDA0000480776470000031
for j the observed reading that data ascending order in sample is arranged, wherein j=nqi+ 0.5, n is sample size; When j is non-when whole, adopt method of interpolation to ask
Figure FDA0000480776470000032
Figure FDA0000480776470000033
In formula: mod represents modulo operation symbol;
C324, calculating fractile ratio QR;
QR=mn/p2
In formula:
Figure FDA0000480776470000034
C325, determine Johnson converting system curve form according to QR, and utilize z, m, n, p, x-z, xzcarry out the parameter in estimation curve; Wherein x-zrepresent the 1-z quantile of standardized normal distribution; xzrepresent the z quantile of standardized normal distribution; Calculation method of parameters in concrete curve is:
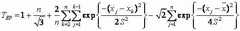
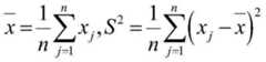
Work as QR<1, Johnson curve is Sbwhen system, each parameter value is as follows;
Figure FDA0000480776470000041
In formula: cosh-1for inverse hyperbolic function, wherein: cosh-1(u)=ln (u+ (u2-1)0.5), sinh-1(u)=ln (u+ (u2+ 1)0.5);
Work as QR>1, Johnson curve is Suwhen system, each parameter value following formula;
Figure FDA0000480776470000042
Work as QR=1, Johnson curve is Slwhen system, each parameter value following formula;
Figure FDA0000480776470000051
η, γ in above calculating formula, λ, ε are all Johnson parameter of curve; Calculate after each parameter, utilize Johnson converting system to carry out normal state conversion to data;
C326, the data after normal state conversion are carried out to test of normality
In the time of sample size n sample range <50, adopt Shapiro-Wilk check; Now, under level of signifiance α, if according to the statistic W<W α of sample calculation, refuse normality assumption, wherein W α is the α fractile of W, obtains by tabling look-up;
In the time of sample size n sample range >50, adopt Epps-Pulley check, under insolation level α, determine whether to refuse normality assumption according to sample statistic Tep; Tep normalized set formula is as follows;
Figure FDA0000480776470000053
Wherein:
Figure FDA0000480776470000052
If the statistic T being calculated by sample dataePbe more than or equal to the fractile under alpha levels, refuse normality assumption;
If refusal normality assumption, increases by 0.01 by z value, and returns to c322; Export z value and corresponding W or Tep value if do not refuse normality assumption;
C327, output W or Tep value in, find out the maximal value of W or the minimum value of Tep, correspondence z value be optimal fitting conversion values, the conversion normal state data that calculate by this value are required data-switching result X'.
4. according to claim 1 based on the recognition methods of queuing sensor information bottleneck, it is characterized in that:
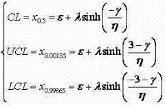
In step c33, the rolling time occupation rate sample X obtaining by c32n*normal state transformation result, calculate sample Xn*upper control limit UCL, centre line C L and the lower control limit LCL of quality control chart; Circular is as follows;
For Suand Slcurve, has:
Figure FDA0000480776470000061
For Sbcurve, has:
Figure FDA0000480776470000062
In formula: x0.5represent 0.5 quantile of standardized normal distribution; x0.00135represent 0.00135 quantile of standardized normal distribution; x0.99865represent 0.99865 quantile of standardized normal distribution.
5. according to claim 1 based on the recognition methods of queuing sensor information bottleneck, it is characterized in that:
In step c34, contrast sample Xn*uCL and the rolling time occupation rate threshold value of quality control chart
Figure FDA0000480776470000063
if UCL is less than or equal to
Figure FDA0000480776470000064
n now*value is bottleneck activation threshold value N; Otherwise by N*value increases by 1, and returns to c31 and recalculate.
6. according to claim 1 based on the recognition methods of queuing sensor information bottleneck, it is characterized in that:
In step c4, if rolling time occupation rate overtime occupation rate threshold value
Figure FDA0000480776470000071
continuous number be greater than N, section is in bottleneck, otherwise judges that section is not in bottleneck.
CN201210054342.2A2012-03-052012-03-05 Information Bottleneck State Recognition Method Based on Queuing DetectorExpired - Fee RelatedCN102855757B (en)

Priority Applications (1)

Application NumberPriority DateFiling DateTitle
CN201210054342.2ACN102855757B (en)2012-03-052012-03-05 Information Bottleneck State Recognition Method Based on Queuing Detector

Applications Claiming Priority (1)

Application NumberPriority DateFiling DateTitle
CN201210054342.2ACN102855757B (en)2012-03-052012-03-05 Information Bottleneck State Recognition Method Based on Queuing Detector

Publications (2)

Publication NumberPublication Date
CN102855757A CN102855757A (en)2013-01-02
CN102855757Btrue CN102855757B (en)2014-05-21

Family

ID=47402305

Family Applications (1)

Application NumberTitlePriority DateFiling Date
CN201210054342.2AExpired - Fee RelatedCN102855757B (en)2012-03-052012-03-05 Information Bottleneck State Recognition Method Based on Queuing Detector

Country Status (1)

CountryLink
CN (1)CN102855757B (en)

Families Citing this family (11)

* Cited by examiner, † Cited by third party
Publication numberPriority datePublication dateAssigneeTitle
CN105825669B (en)*2015-08-152018-06-08北京数行健科技有限公司A kind of system and method for identifying urban expressway traffic bottleneck
CN105825683B (en)*2015-08-162018-11-13北京数行健科技有限公司A kind of road traffic condition evaluation method
CN106920389B (en)*2015-12-282020-03-27北京亿阳信通科技有限公司Traffic condition control method and system based on user telecommunication behaviors
CN105654720B (en)*2016-01-212018-06-29浙江大学Loop detector layout method based on urban road congestion identification
CN105654741B (en)*2016-01-262018-07-17浙江大学A kind of upstream region signal Optimization about control parameter method towards "bottleneck"
CN106846809B (en)*2017-03-122019-06-14浙江大学 A method for calculating the farthest point in a queue based on the number of vehicle stops
CN109935076A (en)*2018-05-212019-06-25吉林化工学院 A method for identifying frequent traffic bottlenecks on urban expressways
CN110309199B (en)*2019-06-242021-09-28中山大学Power transformation analysis method for non-normal distribution water quality observation data
CN111811640A (en)*2020-03-192020-10-23同济大学 A Spectral Induction Method Based on Johansen's Rule
CN112902946B (en)*2021-01-142024-01-30南京英锐创电子科技有限公司 Tire condition detection method, device, computer equipment and storage medium
CN114155724B (en)*2021-12-232022-11-22连云港杰瑞电子有限公司Intersection traffic signal control method in Internet of vehicles environment

Family Cites Families (6)

* Cited by examiner, † Cited by third party
Publication numberPriority datePublication dateAssigneeTitle
JP2001331827A (en)*2000-05-182001-11-30Toshiba Corp Vehicle detection system, vehicle-mounted device and vehicle detection method
JP4982143B2 (en)*2006-09-272012-07-25クラリオン株式会社 Traffic situation prediction device
JP4360419B2 (en)*2007-04-262009-11-11アイシン・エィ・ダブリュ株式会社 Traffic situation judgment system
KR100984962B1 (en)*2007-12-112010-10-04팅크웨어(주) Traffic flow prediction method and apparatus
CN101303801A (en)*2008-06-302008-11-12北京交通大学 A real-time identification method for urban expressway traffic flow status
CN101783074A (en)*2010-02-102010-07-21北方工业大学 A method and system for real-time identification of urban road traffic flow status

Also Published As

Publication numberPublication date
CN102855757A (en)2013-01-02

Similar Documents

PublicationPublication DateTitle
CN102855757B (en) Information Bottleneck State Recognition Method Based on Queuing Detector
CN101739815B (en)On-line recognition method of road traffic congestion state
CN103021176B (en)Discriminating method based on section detector for urban traffic state
CN105825690B (en)A kind of the crossway of the main stem correlation analysis and division methods towards tunable control
CN101739824B (en)Data fusion technology-based traffic condition estimation method
CN104299426B (en)A kind of traffic signal control system and method based on to pedestrian detection counting statistics
CN106600981B (en)Road section dual-way vehicle speed estimation method based on distributed sensing information
CN107204115B (en)Method for estimating parking rate of main line traffic flow
CN105243844A (en)Road state identification method based on mobile phone signal
CN104318781B (en)Based on the travel speed acquisition methods of RFID technique
CN105788289A (en)Method and system for realizing traffic condition assessment and analysis based on computer software system
CN104464307A (en)Method and device for automatically detecting tunnel traffic jam events based on video
CN103337161A (en)Optimization method of intersection dynamic comprehensive evaluation and signal control system based on real-time simulation model
CN113160569B (en) Coordinated control system and method for main line and entrance ramp in merging area of urban expressway
CN105654720B (en)Loop detector layout method based on urban road congestion identification
CN107945570A (en)Geomagnetic parking space detection optimization method
CN103985265A (en)Bus priority control method and system for avoiding bus clustering
CN112114229A (en)Power distribution network fault positioning method, device and system
CN113935158A (en)Traffic detector optimized layout method for multiple points of highway accidents
CN116524719A (en) A road congestion prediction method, device and medium
CN114299720A (en)Public service traffic management method and system based on Internet of things
JP4415278B2 (en) Traffic flow behavior estimation system at intersections
CN114219970A (en)Image processing method and system for traffic management
CN117295096B (en)Smart electric meter data transmission method and system based on 5G short sharing
CN106297373A (en)Parking lot based on cross-correlation and geomagnetic sensor vehicle checking method

Legal Events

DateCodeTitleDescription
C06Publication
PB01Publication
C10Entry into substantive examination
SE01Entry into force of request for substantive examination
C14Grant of patent or utility model
GR01Patent grant
CF01Termination of patent right due to non-payment of annual fee

Granted publication date:20140521

Termination date:20150305

EXPYTermination of patent right or utility model

[8]ページ先頭

©2009-2025 Movatter.jp