Summary of the invention
Technical problem to be solved by this invention is to difficult, the defect of high cost of existing satellite antenna processing, a kind of ultra material satellite antenna simple, low cost of manufacture of processing to be provided.
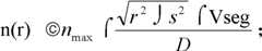
The technical solution adopted for the present invention to solve the technical problems is, a kind of ultra material satellite antenna is provided, and said ultra material satellite antenna comprises that signal receiver and ultra material are dull and stereotyped, and said ultra plate of material is fixed on the wall through support; The reflecting plate on surface after said ultra material flat board comprises the individual layer core layer and is arranged on core layer; Said core layer comprises that substrate reaches a plurality of artificial micro-structural attached to the substrate front surface; Surface attachment has said reflecting plate behind the said substrate, and the refraction index profile of said individual layer core layer satisfies following formula:
Wherein, radius is the refractive index value at r place on n (r) the expression core layer, and the refraction index profile center of circle of core layer is the projection of signal receiver equivalent point on plane, core layer place;
S is the vertical range of signal receiver equivalent point to core layer;
nMaxThe maximum of the refractive index of expression core layer;
nMinThe minimum value of the refractive index of expression core layer;
λ representes that frequency is the electromagnetic wavelength of center of antenna frequency;
Floor representes to round downwards.
Further, said ultra material satellite antenna also comprises the diaphragm that covers on the artificial micro-structural.
Further, said diaphragm is PS plastics, PET plastics or HIPS plastics, and the thickness of said diaphragm is 0.1-2mm.
Further, the thickness of said core layer is 0.11-2.5mm, and wherein, the thickness of substrate is 0.1-2mm, and the thickness of a plurality of artificial micro-structurals is 0.01-0.5mm.
Further, the thickness of said core layer is 1.036mm, and wherein, the thickness of substrate is 1.018mm, and the thickness of a plurality of artificial micro-structurals is 0.018mm.
Further, the metal micro structure of said artificial micro-structural for constituting by copper cash or silver-colored line, said metal micro structure through etching, plating, brill quarter, photoetching, electronics is carved or the method at ion quarter attached on the said substrate.
Further; Said metal micro structure is the plane flakes; Said metal micro structure has first metal wire and second metal wire of vertically dividing equally each other, and said first metal wire is identical with the length of second metal wire, and the said first metal wire two ends are connected with two first metal branches of equal length; The said first metal wire two ends are connected on the mid point of two first metal branches; The said second metal wire two ends are connected with two second metal branches of equal length, and the said second metal wire two ends are connected on the mid point of two second metal branches, the equal in length of the said first metal branch and the second metal branch.
Further; Each the first metal branch of the alabastrine metal micro structure in said plane and the two ends of each second metal branch also are connected with identical the 3rd metal branch, and the mid point of corresponding the 3rd metal branch links to each other with the end points of the first metal branch and the second metal branch respectively.
Further; First metal wire of the alabastrine metal micro structure in said plane and second metal wire are provided with two kinks, and the alabastrine metal micro structure in said plane revolves the figure that turn 90 degrees to any direction with the intersection point of second metal wire around first metal wire and all overlaps with former figure in metal micro structure plane of living in.
According to ultra material satellite antenna of the present invention,, after responding through flat ultra plate of material, feasible electromagnetic wave of coming from satellites transmits converges at signal receiver through the refraction index profile of precise design core layer; In addition, by the traditional parabolic antenna of the dull and stereotyped replacement of the ultra material of sheet, make processing and be more prone to, cost is cheaper, and the dull and stereotyped integral thickness of the ultra material of design is in the millimeter rank according to this in addition, and suitable is frivolous.
The present invention also provides a kind of satellite receiving system, comprises the DVB of satellite antenna, connection signal receiver, and said satellite antenna is above-mentioned ultra material satellite antenna.
Embodiment
To shown in Figure 3, ultra material satellite antenna according to the present invention comprises signal receiver 1 and is arranged on the ultra material at signal receiver 1 rear dull and stereotyped 100 like Fig. 1, and said ultra material dull and stereotyped 100 is fixed on the wall through support.Dull and stereotyped 100core layers 10 of said ultra material and be arranged on core layer after the reflectingplate 200 on surface; Saidcore layer 10 comprises a plurality of artificial micro-structural 12 thatsubstrate 13 reaches attached tosubstrate 13 front surfaces; Saidsubstrate 13 back surface attachment have said reflectingplate 200; The axis Z2 on dull and stereotyped 100 planes of signal receiver 1 axis Z1 and ultra material has certain included angle θ; Be axis Z1 and the angle (Z3 is the parallel lines of Z1) of straight line Z3 among Fig. 1, signal receiver 1 is realized the offset-fed of antenna not on the Z2 of the axis of ultra material plate level.In addition, among the present invention, reflecting plate is the metallic reflection plate with smooth surface, for example can be copper coin, aluminium sheet or the iron plate etc. of polishing, and also PEC (desired electrical conductor) reflecting surface can certainly be a metal coating.Among the present invention, the dull and stereotyped 100 arbitrary longitudinal sections of said ultra material are of similar shape and area, and the longitudinal section here is meant in the ultra material flat board the vertical section in axis with ultra material flat board.The dull and stereotyped longitudinal section of said ultra material is square, circular or oval; Preferably, the dull and stereotyped longitudinal section of said ultra material is square, the dull and stereotyped processing easily of the ultra material that obtains like this; The square of 300X300mm or 450X450mm for example, the rectangle of 450X475mm.Circle can be that diameter is 250,300 or the circle of 450mm.
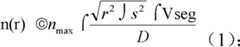
Among the present invention, the refraction index profile of said core layer lamella satisfies following formula:
Wherein, radius is the refractive index value at r place on n (r) the expression core layer; The refraction index profile center of circle O1 of core layer is the projection of signal receiver equivalent point X on this plane, core layer lamella outer surface place, and (sy is correct time, and expression center of circle O1 is in the outside of this core layer lamella at a distance of sy in the lower edge of said center of circle O1 and this core layer; Sy is when negative, and expression center of circle O1 is on this core layer lamella), more preferably, when core layer lamella when being square, the lower edge of center of circle O1 and vertical this core layer lamella of line of the lower edge mid point of this core layer lamella; When the core layer lamella was circle, the line on the summit, lower edge of center of circle O1 and this core layer lamella was on the radius of circle; When the core layer lamella is ellipse, on the oval-shaped major axis on the summit, lower edge of center of circle O1 and this core layer lamella.
S is the vertical range of signal receiver 1 equivalent point X to ultra material plane reflecting plate; In fact the equivalent point X of signal receiver 1 is exactly the feedback point (point of focusing takes place in signal receiver 1 electromagnetic wave) of antenna here; When the angle theta of the axis Z2 of signal receiver 1 axis Z1 and dull and stereotyped ultra material 3 changed, slight change also can take place in s.
Signal receiver equivalent point X is jointly confirmed by s, θ and sy that with the relative position of dull and stereotyped ultra material usually, signal receiver 1 equivalent point X is selected on the Z1 of signal receiver axis; The position of signal receiver 1 equivalent point X is relevant with the bore of signal receiver 1, for example can be and the position (ds be distance that X point in Fig. 1 to Y order) of signal receiver 1 bore mid point Y at a distance of ds, as an embodiment; Said ds equals 5mm, and in fact in design, ds is relevant with θ; Along with the difference of θ, signal receiver 1 equivalent point X position is also different, and promptly ds is different; But signal receiver 1 equivalent point is still on signal receiver 1 axis Z1.
nMaxThe maximum of the refractive index of expression core layer lamella;
nMinThe minimum value of the refractive index of expression core layer lamella;
λ representes that frequency is the electromagnetic wavelength of center of antenna frequency;
D is the equivalent thickness of core layer.
Floor representes to round downwards; For example; As
more than or equal to 0 less than 1 the time; NUMseg gets 0; More than or equal to 1 less than 2 the time, NUMseg gets 1 as
, and the rest may be inferred.
As shown in Figure 2; For the relation of substrate in the displaing core layer clearly 13 with artificial micro-structural 12; The layer at artificial micro-structural 12 places representes that with hatching we are referred to as artificialmicrostructured layers 120, and artificialmicrostructured layers 120 promptly is made up of all artificial micro-structurals of adhering on the substrate.
Dull and stereotyped by the determined ultra material of formula (1) to formula (4), the plane wave that can make antenna receive can converge at signal receiver equivalent point X place behind ultra material flat board.Certainly; When receiving satellite antenna signals, the normal direction of dull and stereotyped ultra material be towards the satellite that will receive, as for how to make the ultra material of flat board normal direction towards to receive the satellite of signal; Then relate to the problem of traditional satellite antenna debugging; Promptly about the adjusting of the antenna azimuth and the angle of pitch, it is common practise, repeats no more here.
In addition, among the present invention, preferably; Said ultra material satellite antenna also comprises the diaphragm that covers on the artificial micro-structural 12, and diaphragm hides artificialmicrostructured layers 120 fully, can protect artificial micro-structural like this; Simultaneously, can also strengthen the dull and stereotyped mechanical performance of ultra material.Among the present invention, said diaphragm can be PS plastics (polystyrene plastics), PET plastics (poly terephthalic acid class plastics) or HIPS plastics (impact resistant polystyrene).
Among the present invention, the thickness of said diaphragm is 0.1-2mm, and concrete thickness combines wave penetrate capability and mechanical performance decision, for example can be 1mm.
Among the present invention, preferably, the thickness of said core layer is 0.11-2.5mm, and wherein, the thickness of substrate is 0.1-2mm, and the thickness of a plurality of artificial micro-structurals is 0.01-0.5mm, and promptly the thickness of artificial microstructured layers is 0.01-0.5mm.As a concrete example, the thickness of said core layer is 1.036mm, and wherein, the thickness of substrate is 1.018mm, and the thickness of a plurality of artificial micro-structurals is 0.018mm.
Ultra material satellite antenna of the present invention is when using as transmitting antenna, and promptly signal receiver is as radiation source, and the dull and stereotyped effect of ultra material is the form outgoing with plane wave behind ultra material flat board of plane wave that signal receiver is sent.
Ultra material satellite antenna of the present invention is when using as reception antenna; Be signal receiver as wave collecting device, the dull and stereotyped effect of ultra material is that the plane wave (with the direction incident among Fig. 1) that can make antenna receive can converge at signal receiver equivalent point X place behind ultra material flat board.
Among the present invention, the metal micro structure of said artificial micro-structural for constituting by copper cash or silver-colored line, said metal micro structure through etching, plating, brill quarter, photoetching, electronics is carved or the method at ion quarter respectively attached on the said substrate.Preferably, said artificial micro-structural is the alabastrine metal micro structure in plane shown in Figure 4 develops a plurality of different topology that obtains through topology a metal micro structure.
Among the present invention; Core layer can obtain through following method; Promptly on any one surface of substrate, cover copper, obtain a plurality of metal micro structures (shape of a plurality of metal micro structures and its arranging on substrate obtains through Computer Simulation in advance) through etching method again.
It is dull and stereotyped that core layer, reflecting plate pressing one are promptly obtained ultra material of the present invention.
Among the present invention, said substrate is made by ceramic material, macromolecular material, ferroelectric material, ferrite material or ferromagnetic material etc.Macromolecular material is available to have F4B composite material, FR-4 composite material, PS (polystyrene) etc.
Shown in Figure 4 is the sketch map of the alabastrine metal micro structure in plane; Described alabastrine metal micro structure has the first metal wire J1 and the second metal wire J2 that vertically divides equally each other; The said first metal wire J1 is identical with the length of the second metal wire J2; The said first metal wire J1 two ends are connected with two first F1 of metal branch of equal length; The said first metal wire J1 two ends are connected on the mid point of two first F1 of metal branch; The said second metal wire J2 two ends are connected with two second F2 of metal branch of equal length, and the said second metal wire J2 two ends are connected on the mid point of two second F2 of metal branch, the equal in length of said first F1 of metal branch and second F2 of metal branch.
Fig. 5 is a kind of derived structure of the alabastrine metal micro structure in plane shown in Figure 4.Its two ends at each first F1 of metal branch and each second F2 of metal branch all are connected with identical the 3rd F3 of metal branch, and the mid point of corresponding the 3rd F3 of metal branch links to each other with the end points of first F1 of metal branch and second F2 of metal branch respectively.The rest may be inferred, and the present invention can also derive the metal micro structure of other form.
Fig. 6 is a kind of distressed structure of the alabastrine metal micro structure in plane shown in Figure 4; The metal micro structure of this kind structure; The first metal wire J1 and the second metal wire J2 are not straight lines; But folding line, the first metal wire J1 and the second metal wire J2 are provided with two kink WZ, divide equally but the first metal wire J1 remains vertical with the second metal wire J2; Through be provided with kink towards with the relative position of kink on first metal wire and second metal wire, make metal micro structure shown in Figure 7 wind to revolve the figure that turn 90 degrees with the axis of the second metal wire intersection point to any direction all to overlap with former figure perpendicular to first metal wire.In addition, other distortion can also be arranged, for example, the first metal wire J1 and the second metal wire J2 all are provided with a plurality of kink WZ.
Among the present invention; Said core layer 11 can be divided into the ultra material cell D a plurality of as shown in Figure 2 of array arrangement; Each ultra material cell D comprises base board unit U and attached to the artificial micro-structural 12 on the base board unit U, the length and width height of ultra material cell D all is not more than 1/5th wavelength usually, is preferably 1/10th wavelength; Therefore, can confirm the size of ultra material cell D according to the operating frequency of antenna.As shown in Figure 2, said artificial micro-structural is attached to the SR surface of base board unit U.
Known refractive index

wherein μ is a relative permeability; ε is a relative dielectric constant, and μ and ε close and be called electromagnetic parameter.Experiment showed, when electromagnetic wave passes through refractive index dielectric material heterogeneous, can be to the big direction deviation of refractive index.Under the certain situation of relative permeability (usually near 1); Refractive index is only relevant with dielectric constant, under the situation that substrate is selected, utilizes the arbitrary value (within the specific limits) that only can realize ultra material cell refractive index to the artificial micro-structural of electric field response; Under this center of antenna frequency; Utilize simulation software,, obtain the situation that the dielectric constant of the artificial micro-structural (the alabastrine metal micro structure in plane as shown in Figure 4) of a certain given shape changes along with the refractive index variable of topology through emulation like CST, MATLAB, COMSOL etc.; Can list data one to one, the
core layer 10 that the specific refractive index that can design us needs distributes.
Among the present invention, the structural design of core layer can obtain through Computer Simulation (CST emulation), and is specific as follows:
(1) confirms the attaching substrates of metal micro structure.For example dielectric constant is 2.7 medium substrate, and the material of medium substrate can be FR-4, F4b or PS.
(2) size of definite ultra material cell.The size of the size of ultra material cell is obtained by the centre frequency of antenna, utilizes frequency to obtain its wavelength, gets less than 1/5th a numerical value of wavelength length C D and the width KD as ultra material cell D again.For example, corresponding to the centre frequency of 11.95G, said ultra material cell D can for long CD as shown in Figure 2 and wide KD be 2.8mm, thickness HD is the square platelet of 1.036mm.
(3) confirm the material and the topological structure of metal micro structure.Among the present invention, the material of metal micro structure is a copper, and the topological structure of metal micro structure is the alabastrine metal micro structure in plane shown in Figure 4, and its live width W is consistent everywhere; The topological structure here is meant the basic configuration that topology develops.
(4) confirm the topology parameter of metal micro structure.As shown in Figure 4, among the present invention, the topology parameter of the alabastrine metal micro structure in plane comprises the live width W of metal micro structure, the length a of the first metal wire J1, the length b of first F1 of metal branch.
(5) confirm the differentiation restrictive condition of the topology of metal micro structure.Among the present invention; The differentiation restrictive condition of the topology of metal micro structure has, the minimum spacing WL between the metal micro structure (promptly as shown in Figure 4, the long limit of metal micro structure and ultra material cell or the distance of broadside are WL/2); The live width W of metal micro structure, the size of ultra material cell; Because the processing technology restriction, WL is more than or equal to 0.1mm, and same, live width W is greater than to equal 0.1mm.During emulation for the first time, WL can get 0.1mm, and W can get 0.3mm, and ultra material cell is of a size of the long and wide 2.8mm that is, thickness is 1.018mm, and this moment, the topology parameter of metal micro structure had only a and two variablees of b.The topology of metal micro structure through as Fig. 7 differentiation mode shown in Figure 8 extremely, corresponding to a certain CF (for example 11.95GHZ), can obtain a continuous variations in refractive index scope.
Particularly, the differentiation of the topology of said metal micro structure comprises two stages (basic configuration that topology develops is a metal micro structure shown in Figure 4):
Phase I: according to developing restrictive condition, under the situation that the b value remains unchanged, a value is changed to maximum from minimum value, the metal micro structure in this evolution process is " ten " font (except when a gets minimum value).In the present embodiment, the minimum value of a is 0.3mm (live width W), and the maximum of a is (CD-WL).Therefore, in the phase I, the differentiation of the topology of metal micro structure is as shown in Figure 7, is the square JX1 of W from the length of side promptly, develops into maximum " ten " font topology JD1 gradually.In the phase I, along with the differentiation of the topology of metal micro structure, the refractive index of the ultra material cell corresponding with it increases (respective antenna one CF) continuously.
Second stage: according to developing restrictive condition, when a was increased to maximum, a remained unchanged; At this moment, b is increased continuously maximum from minimum value, the metal micro structure in this evolution process is the plane flakes.In the present embodiment, the minimum value of b is 0.3mm, and the maximum of b is (CD-WL-2W).Therefore; In second stage, the differentiation of the topology of metal micro structure is as shown in Figure 8, promptly from " ten " font topology JD1 of maximum; Develop into the maximum alabastrine topology JD2 in plane gradually; The alabastrine topology JD2 in the plane of the maximum here is meant that the length b of first J1 of metal branch and second J2 of metal branch can not extend again, otherwise the first metal branch and the second metal branch will take place to intersect.In second stage, along with the differentiation of the topology of metal micro structure, the refractive index of the ultra material cell corresponding with it increases (respective antenna one CF) continuously.
Comprised n if obtain the variations in refractive index scope of ultra material cell through above-mentioned differentiationMinTo nMaxContinuous excursion, then satisfy design demand.Do not satisfy design demand if above-mentioned differentiation obtains the variations in refractive index scope of ultra material cell, for example maximum is too little or minimum value is excessive, then changes WL and W, and emulation again is up to obtaining the variations in refractive index scope that we need.
To (4), after a series of ultra material cell that emulation is obtained is arranged according to its corresponding refractive index (in fact being exactly a plurality of artificial micro-structural the arranging on substrate of different topology shape), can obtain core layer of the present invention according to formula (1).
The said ultra material satellite antenna of more than describing is different according to working frequency range and environment for use, can be satellite television receiving antenna, satellite communication antena (two-way communication), microwave antenna or radar antenna.Certainly, said ultra material satellite antenna of the present invention can also substitute other various reflector antennas.
In addition; Like Fig. 9 and shown in Figure 10; The present invention also provides the present invention that a kind of satellite receiving system also is provided, and comprises the DVB (indicating among the figure) of satellite antenna, signal receiver 1, connection signal receiver 1, and said satellite antenna is the above-mentioned ultra material satellite antenna of the present invention.Among the present invention, said signal receiver 1 is traditional corrugated horn.DVB for example can adopt the N6188 of Tongzhou Electronics, is used to receive the satellite TV signal of No. 9, culminant star, and it is existing technology, no longer states here.
Ultra plate of material support among Fig. 9 and Figure 10 is an optimal way of the ultra plate of material support of the present invention, and it comprises the framework 3 and the dull and stereotyped angle regulating device of ultra material of fixing ultra material dull and stereotyped 100; Said reflecting plate adjusting device comprises the Connection Block 4 that is fixedly connected with frame 3 and signalreceiver pole 2, be fixed on hinged seat 5 on the Connection Block 4, with hinged seat 5 rotating articulated joints that are connected 6 and the adjustingrod 7 that removably connects with articulated joint 6.
In the present embodiment; Said articulated joint 6 places hinged seat 5; Articulated joint 6 realizes rotating be connected through running through articulated joint with the first screw rod LG1 of hinged seat with hinged seat 5; The two ends of the first screw rod LG1 are provided with two screwed retaining ring LM1; The bilateral symmetry of hinged seat 5 is provided with the first sliding tray HC1 and the second sliding tray HC2, and said reflecting plate adjusting device also comprises the second screw rod LG2 that runs through the first sliding tray HC1, articulated joint 6 and the second sliding tray HC2, and the two ends of the second screw rod LG2 are provided with two locking nut LM2.
In the present embodiment; Said adjustingrod 7 is connected through locking device is dismountable with articulated joint 6; Said adjustingrod 7 is a round bar; Said locking device comprises that the latch SJB of the circular arc of being close to adjustingrod 7 outer surface settings reaches the last locking flange STY that is oppositely arranged with latch SJB and reaches locking flange XTY down; The said locking flange STY of going up reaches down, and the outward flange of locking flange XTY is circular-arc; Said go up locking flange STY and down the outside of locking flange XTY all be close on the outer surface of adjustingrod 7, the both sides of latch SJB are threaded with articulated joint 6 through bolt LS3, said go up locking flange STY and down the position setting that contacts with adjustingrod 7 of locking flange XTY offers the equally distributed anti-slop serrations (not shown) of ability.
In the present embodiment, said antenna mount pad also comprise be connected adjustingrod 7 other ends meet wallboard QB, said connecing on the metope that strong plate QB can be fixed to the house (like wall in the south) for example is fixed on the metope through plain screw or tapping screw.
In the present embodiment; Said framework 3 comprisesupper side frame 31,middle frame 32 andlower frame 33; Saidupper side frame 31,middle frame 32 andlower frame 33 are fixed on the back side of ultra material dull and stereotyped 100 respectively through bolt LS4, saidupper side frame 31,middle frame 32 andlower frame 33 are fixed on thefeed pole 2 through upper holder SJ, Connection Block 4 and lower fixed frame XJ respectively.
In the present embodiment, also be provided with angle dial KD on the side of said hinged seat 5, so that the adjusting reading at the reflecting plate elevation angle, promptly the elevation angle can directly read out from scale, the Installation and Debugging of convenient antenna.
The azimuth adjustment of ultra material dull and stereotyped 100 is specific as follows:
At first, the LS3 that loosers a bolt, then locking has been removed in articulated joint 6, canrelative adjustment bar 7 movable (adjustingrod 7 is to be fixed on the metope) freely; Turn to correct position, promptly the azimuth of antenna is also debugged and is finished, the LS3 that tights a bolt once more, and then reflecting plate will be accomplished azimuthal adjusting towards selected communication satellite.
After adjust at the azimuth, just can regulate the elevation angle.
The elevation angle of ultra material dull and stereotyped 100 is regulated specific as follows:
At first, outside locking nut LM2 (promptly removing the angle locking of reflecting plate);
Rotate dull and stereotyped 100 (clockwise or counterclockwise) of ultra material; Dull and stereotyped 100 meetings of ultra material this moment are rotated around the first screw rod LG1, by the time the appropriate location, inside once more rotational lock nut LM2 (promptly locking the angle of reflecting plate); The appropriate location here is meant; The elevation angle of reflecting plate just equal the satellite that will communicate by letter at the elevation angle in this geographical position (this angle can directly be read on angle dial KD), the elevation angle that has promptly reached reflecting plate is regulated, and has realized that promptly the elevation angle of antenna is regulated.
The antenna azimuth and the elevation angle be adjusted to this area antenna adjustment method commonly used, the present invention no longer details.
Combine accompanying drawing that embodiments of the invention are described above; But the present invention is not limited to above-mentioned embodiment, and above-mentioned embodiment only is schematically, rather than restrictive; Those of ordinary skill in the art is under enlightenment of the present invention; Not breaking away under the scope situation that aim of the present invention and claim protect, also can make a lot of forms, these all belong within the protection of the present invention.