Movatterモバイル変換


[0]ホーム

URL:


CN102608553A - Weak signal extracting method based on self-adaptive stochastic resonance - Google Patents

Weak signal extracting method based on self-adaptive stochastic resonance
Download PDF

Info

Publication number
CN102608553A
CN102608553ACN2012100701500ACN201210070150ACN102608553ACN 102608553 ACN102608553 ACN 102608553ACN 2012100701500 ACN2012100701500 ACN 2012100701500ACN 201210070150 ACN201210070150 ACN 201210070150ACN 102608553 ACN102608553 ACN 102608553A
Authority
CN
China
Prior art keywords
signal
frequency
ref
value
stochastic resonance
Prior art date
Legal status (The legal status is an assumption and is not a legal conclusion. Google has not performed a legal analysis and makes no representation as to the accuracy of the status listed.)
Granted
Application number
CN2012100701500A
Other languages
Chinese (zh)
Other versions
CN102608553B (en
Inventor
张少文
王军
李少谦
Current Assignee (The listed assignees may be inaccurate. Google has not performed a legal analysis and makes no representation or warranty as to the accuracy of the list.)
University of Electronic Science and Technology of China
Original Assignee
University of Electronic Science and Technology of China
Priority date (The priority date is an assumption and is not a legal conclusion. Google has not performed a legal analysis and makes no representation as to the accuracy of the date listed.)
Filing date
Publication date
Application filed by University of Electronic Science and Technology of ChinafiledCriticalUniversity of Electronic Science and Technology of China
Priority to CN2012100701500ApriorityCriticalpatent/CN102608553B/en
Publication of CN102608553ApublicationCriticalpatent/CN102608553A/en
Application grantedgrantedCritical
Publication of CN102608553BpublicationCriticalpatent/CN102608553B/en
Expired - Fee Relatedlegal-statusCriticalCurrent
Anticipated expirationlegal-statusCritical

Links

Images

Landscapes

Abstract

Translated fromChinese

本发明公开了一种基于自适应随机共振的微弱信号提取方法,具体通过调节二次采样的尺度变换因子,可以很好地把微弱信号的频率调整到易于产生自适应随机共振的频率范围内,从而充分的利用了自适应随机共振的优良性能,可以很好的把微弱信号在极低信噪比下提取出来,有效地解决了现有的微弱信号处理方法在极低信噪比下表现不佳甚至失效的问题;同时在不知道微弱信号频率的情况下通过反馈的自动调节尺度变换因子使微弱信号经过二次采样后的信号频率能够匹配自适应随机共振系统并产生随机共振,从而能够很好地提取出微弱信号的特征。

Figure 201210070150

The invention discloses a weak signal extraction method based on adaptive stochastic resonance. Specifically, by adjusting the scale conversion factor of secondary sampling, the frequency of the weak signal can be well adjusted to a frequency range that is easy to generate adaptive stochastic resonance. Therefore, the excellent performance of adaptive stochastic resonance can be fully utilized, and weak signals can be extracted well under extremely low signal-to-noise ratios, which effectively solves the problem that existing weak signal processing methods do not perform well under extremely low signal-to-noise ratios. At the same time, when the frequency of the weak signal is not known, the scale conversion factor can be automatically adjusted through feedback so that the signal frequency of the weak signal after resampling can match the adaptive stochastic resonance system and generate stochastic resonance, so that it can be easily It can extract the features of weak signals well.

Figure 201210070150

Description

A kind of feeble signal method for distilling based on self-adapting random resonant
Technical field
The invention belongs to signal Processing and communication technical field, be specifically related to the extraction of feeble signal.
Background technology
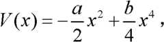
Detection of Weak Signals occupies an important position at high-technology field, is prerequisite and basis that a lot of technology are applied.Generally be called feeble signal to the low-yield signal that is submerged in the strong background noise; Processing for feeble signal generally is that technology such as utilization modern signal processing method and electronics suppress noise; And then from strong background noise, extract feeble signal; But all there is certain limitation in existing method; (signal-to-noise ratio, SNR) higher relatively, the extraction effect of the feeble signal under extremely low SNR can not be expired actual demand mainly to show as the required signal to noise ratio (S/N ratio) of the detected feeble signal of ability.
Discover that (Stochastic Resonance, SR) principle is applied to obtain in the Detection of weak effect preferably to an accidental resonance.SR is a kind of nonlinear physical phenomenon; When having certain coupling between input signal, noise and the NLS; Noise energy can shift to signal energy; Making the signal to noise ratio (S/N ratio) of output signal ratio input signal increase, is that signal has obtained enhancing through the method for utilizing noise rather than inhibition noise like this.Yet the feeble signal of handling generally is not low especially; The SR system is not fine to the reinforced effects of big frequency signal; Though can lower the signal frequency of input SR system through methods such as double samplings; But under the situation of not knowing the feeble signal frequency, be not easy to confirm the coefficient factor of change of scale, and the SR system of preset parameter can not be real-time is complementary with noise and signal and has further weakened the humidification to signal.
Do an explanation in the face of the ultimate principle of double sampling down.
The ultimate principle of double sampling is: be transformed into high-frequency signal the low frequency signal that is complementary with stochastic resonance system through the change of scale factor R.The action principle of R is: the signal indication after the sampling is handled for
Figure BDA0000144237730000011
then as follows:
Figure BDA0000144237730000012
Like this R Δ t as new sampling time interval; Be applied to this new SI in the calculating of accidental resonance; Be equivalent to new signal frequency converting for f/R, be called the double sampling change of scale factor to R here, signal frequency has obtained reduction under the situation of visible R>1; The concrete grammar of double sampling can reference: cold firm forever, and Wang Taiyong. double sampling is used for accidental resonance extracts weak signal from very noisy numerical value research. Acta Physica Sinica, 2003,52 (10): 2432~2437.But under the situation of the feeble signal frequency of not knowing to extract, be not easy to confirm the value of R; Still can not be when the R value is improper like this frequency adjustment of faint letter to being easy to produce in the scope of accidental resonance; Feeble signal can not get strengthening; So feeble signal still is submerged under the strong background noise, can't extract feeble signal.
Summary of the invention
The objective of the invention is the problem that can not satisfy demand in the practical application to the extraction of Detection of weak and signal characteristic in order to solve under the extremely low SNR.
Technical scheme of the present invention is following: a kind of feeble signal method for distilling based on self-adapting random resonant may further comprise the steps:
S1. initiation parameter: said parameter specifically comprises, double sampling change of scale factor R, the increase step delta R of the change of scale factor; The intrinsic parameter a of accidental resonance, the reference frequency f of generation accidental resonanceRef, fRefCalculating offset f; Zero-frequency calculates offset f0Spectrum amplitude coefficient of comparisons m;
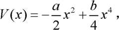
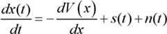
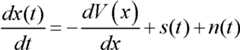
S2. confirm SR systematic parameter b: said SR system is described through langevin equation
Figure BDA0000144237730000021
; Wherein,
Figure BDA0000144237730000022
s (t) is a feeble signal; N (t) is that average is the noise of zero variance for
Figure BDA0000144237730000023
.Obtain noise variance
Figure BDA0000144237730000024
wherein according to receiving signal r (t); R (t)=s (t)+n (t) confirms parameter b by the value of a and
Figure BDA0000144237730000025
then;
S3. the signal r (t) that receives is carried out the double sampling that the change of scale factor is R, obtain signal W (t);
S4. signal W (t) tries to achieve signal X (t) through the langevin equation;
S5. X (t) is done Fourier transform, obtain Z (f), f is a frequency values, and Z (f) promptly is to be the spectrum amplitude value at f place in frequency;
S6. ask [fRef-Δ f, fRef+ Δ f] perhaps [fRef-Δ f ,-fRef+ Δ f] the maximal value of Z (f) in the scope, be designated as ARef, ask [Δ f0, Δ f0] the maximal value of Z (f) in the scope, be designated as A0
If A S7.Ref>=m * A0, then X (t) is the echo signal that comprises the feeble signal characteristic of extraction, otherwise with change of scale factor R assignment be R and Δ R with, promptly R=R+ Δ R forwards step S3 to.
Beneficial effect of the present invention: the present invention regulates the change of scale factor R of double sampling through the feedback of spectrum amplitude value; Thereby transform to the frequency that the self-adapting random resonant system is easy to produce accidental resonance to the feeble signal of input; And the combining adaptive stochastic resonance system can produce the superperformance of best resonance effect to feeble signal under extremely low SNR; Feeble signal has been realized that the optimum under the extremely low SNR extracts; Can clearly observe the characteristic of input feeble signal, well solve the problem that the feeble signal under the extremely low SNR is extracted.
Description of drawings
Fig. 1 is the structured flowchart of feeble signal method for distilling of the present invention.
Fig. 2 extracts schematic flow sheet for feeble signal of the present invention.
Fig. 3 is through the time domain plethysmographic signal figure after the preset parameter SR system.
Fig. 4 is through the time domain plethysmographic signal figure after the self-adaptation SR system.
Fig. 5 is through the feeble signal time domain waveform figure after the system handles of the present invention.
Fig. 6 is through the feeble signal amplitude spectrum after the preset parameter SR system.
Fig. 7 is through the feeble signal amplitude spectrum after the self-adaptation SR system.
Fig. 8 is through the feeble signal amplitude spectrum after the system handles of the present invention.
Embodiment
Feeble signal method for distilling of the present invention is set forth to Fig. 8 below in conjunction with Fig. 1, Fig. 1 is the structured flowchart of feeble signal method for distilling of the present invention, and Fig. 2 extracts schematic flow sheet for feeble signal of the present invention, specifically may further comprise the steps:
S1. initiation parameter: said parameter specifically comprises, double sampling change of scale factor R, the increase step delta R of the change of scale factor; The intrinsic parameter a of accidental resonance, the reference frequency f of generation accidental resonanceRef, fRefCalculating offset f; Zero-frequency calculates offset f0Spectrum amplitude coefficient of comparisons m.
Value in the face of initial parameter is described in detail down:
fRefValue be easy to produce the frequency values of accidental resonance for the self-adapting random resonant system, the input signal of discovering the self-adapting random resonant system is 5 * 10-4Hz~3 * 10-3Be easy to produce accidental resonance in the time of in the Hz scope, so fRefNeed be [5 * 10-4, 3 * 10-3] the interior value of scope, generally can value be: fRef=0.001Hz.
Δ f representes fRefThe calculating side-play amount, 0<Δ f<fRef, because fRefValue less, so general Δ f value is fRefNear/2.
Δ f0The expression zero-frequency calculates side-play amount, 0<Δ f0<fRef, general value is fRefNear/2, and satisfy Δ f+ Δ f0≤fRef
A is the intrinsic parameter of stochastic resonance system, in order to satisfy the adiabatic approximation theory, require a>>π fs, wherein, fsBe the frequency input signal of stochastic resonance system, input signal reference frequency f that can be when producing accidental resonance hereRefCome to confirm, promptly a>>π fRef
Estimate the possible minimum frequency f of feeble signal earlierMin, and then confirm the initial value of R, the initial value of R is fMin/ fRefAs a preferred mode, the initial value of R can be R=1, and Δ R can confirm a suitable value according to iterations.
Can find by Fig. 7 and Fig. 8 contrast; Producing under the situation of accidental resonance the energy of noise can transfer to feeble signal and get on; Thereby near the spectrum amplitude the zero-frequency can be far smaller than near the range value of feeble signal place frequency behind the double sampling change of scale; Just in time as shown in Figure 7 on the contrary when if resonance effect is very poor, the self-adapting random resonant system produces under the accidental resonance good situations, and the value that near the ratio of the spectrum amplitude value of the noise of the spectrum amplitude value of resonance place frequency and zero-frequency can be used as m accordings to; M should be a minimum value possible in this ratio; So,, generally get 5≤m≤20 in order between the accuracy of computation complexity and extraction signal, to reach balance because this ratio is bigger value m>>1.
S2. confirm SR systematic parameter b: said SR system is described through langevin equation
Figure BDA0000144237730000041
; Wherein, s (t) is a feeble signal; N (t) is that average is the noise of zero variance for
Figure BDA0000144237730000043
.Obtain noise variance
Figure BDA0000144237730000044
wherein according to receiving signal r (t); R (t)=s (t)+n (t) confirms parameter b by the value of a and
Figure BDA0000144237730000045
then;
The concrete deterministic process of parameter b is following:
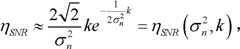
Utilize adiabatic approximation (Adiabatic Approximation) theory, when signal r (t)=s (t)+n (t) passed through the bistable state SR system of langevin equation definition, the SNR of output signal x (t) was:
SNRo=(2aAm2c2σn4e-2U0/σn2)(1-4a2Am2c2π2σn2e-4U0/σn22a2π2e-4U0/σn2+(2πfs)2)-1≈2aAm2c2σn4e-2U0/σn2
Wherein, a is the SR systematic parameter, AmBe the amplitude of feeble signal s (t), c is the potential well point of bistable state SR system,
Figure BDA0000144237730000047
Be the variance of strong noise, U0=a2/ (4b) be to work as AmThe barrier height of=0 o'clock bistable state SR system.But concrete list of references: McNamara B, Wiesenfeld K.Theory of stochastic resonance, Physical Review A, 1989,39 (9): 4854-4869.
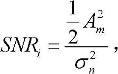
Because the average signal-to-noise ratio of input signal is:
Figure BDA0000144237730000048
Therefore, when accidental resonance took place, the output signal-to-noise ratio gain after reception signal r (t) the process bistable state SR system was:
Figure BDA0000144237730000049
Make k=a2/ b obviously has k>0, then
Figure BDA00001442377300000410
Be given noise variance, output signal SNR gain ηSNRIt is the nonlinear function of systematic parameter k.
ηSNRSecond derivative to k is:
Figure BDA0000144237730000051
Therefore, in order to make ηSNRBe following concave function,, require so that obtain unique maximum value about k:
Figure BDA0000144237730000052
So the value of the optimum k of maximization SNR gain satisfies:kOp=ArgMaxk&eta;SNRs.t.0<k<4&sigma;n2,Finding the solution following formula can get:
Figure BDA0000144237730000054
So the parameter of the bistable state SR system of maximization SNR gain need satisfyb=a2/(2&sigma;n2)a>>&pi;fRef.
In the present invention, a that obtains for following formula and the relation of b can be adjusted through an adjustment factor h, promptlyb=ha2/(2&sigma;n2).
The SR system that dynamically changes parameter b at this this noise parameter according to the outside is called the self-adapting random resonant system.
S3. carry out the double sampling that the change of scale factor is R to the signal r (t) that receives, obtain signal W (t).
S4. signal W (t) tries to achieve signal X (t) through the langevin equation.
Be specially: find the solution the langevin equation through quadravalence Long Gekuta numerical computation method, the output signal that is the self-adapting random resonant system of separating of trying to achieve is designated as X (t);
S5. X (t) is done Fourier transform, obtain Z (f), f is a frequency values, and Z (f) promptly is to be the spectrum amplitude value at f place in frequency;
S6. ask [fRef-Δ f, fRef+ Δ f] perhaps [fRef-Δ f ,-fRef+ Δ f] the maximal value of Z (f) in the scope, be designated as ARef, ask [Δ f0, Δ f0] the maximal value of Z (f) in the scope, be designated as A0
Δ f representes f hereRefThe calculating side-play amount; Because R is through being the value of series of discrete after the iteration, so the feeble signal of input is carried out after the change of scale through discrete R value, the frequency of feeble signal also can only be got discrete value; Can not get optional frequency, establish a small range [f to reference frequency like thisRef-Δ f, fRef+ Δ f] perhaps [fRef-Δ f ,-fRef+ Δ f], as long as falling in this scope, the feeble signal behind the change of scale just can produce accidental resonance, through behind the Fourier transform, the maximal value A in this scopeRefThe frequency at place is the frequency at actual generation accidental resonance place.Avoided given f so effectivelyRef, but because the input signal behind the change of scale is not just in time got fRefThis frequency, and the phenomenon of the iteration failure of R is taken place, also be simultaneously the condition of having relaxed of choosing of Δ R to make choosing of Δ R convenient.
Δ f0The expression zero-frequency calculates side-play amount; The signal of finding stochastic resonance system output after deliberation through behind the Fourier transform sometimes under the situation that does not produce accidental resonance; The range value at possible zero-frequency point place is very little, but near range value is very big, so set a scope [Δ f0, Δ f0], get the maximal value A of spectrum amplitude in this scope0Represent near the spectrum amplitude value of zero-frequency to be used for and ARefCompare.Avoided the actual phenomenon that does not produce accidental resonance but judge by accident to take place so effectively to producing accidental resonance.
Improved the precision that judges whether to produce accidental resonance through after the above processing, and guaranteed that the iteration of R under the condition that signal exists can finish well.
If A S7.Ref>=m * A0, then X (t) is the echo signal that comprises the feeble signal characteristic of extraction, otherwise with change of scale factor R assignment be R and Δ R with, promptly R=R+ Δ R forwards step S3 to.
Carry out emulation testing in the face of the inventive method down.The parameter of emulation is:
1) preset parameter stochastic resonance system: input sinusoidal signal s (t)=AmSin (2 π ft), amplitude Am=1, frequency f=0.01Hz, intrinsic parameter a=1, b=2, sampling period Δ t=0.02s, SNR=-20dB.
2) self-adapting random resonant system: input sinusoidal signal s (t)=AmSin (2 π ft), amplitude Am=1, frequency f=0.01Hz, a=2.4 * 10-2, the sampling period is made as Δ t=0.02s, SNR=-20dB.
3) method of the present invention: input sinusoidal signal s (t)=AmSin (2 π ft), amplitude Am=1, frequency f=0.1Hz, a=2.4 * 10-2, fRef=0.001Hz, Δ f=fRef/ 4, Δ f0=fRef/ 2, R=1, Δ R=1, m=10.
Fig. 3 is that SNR is-20dB; Feeble signal is that frequency is the time domain waveform figure of the signal X (t) that exports after the stochastic resonance system of sine wave signal s (t) through preset parameter of 0.01Hz; Can observe when SNR=-20dB feeble signal and can not well extract, characteristics such as the frequency of signal, phase place are difficult to extract.
Fig. 4 is that SNR is-20dB; Feeble signal is that frequency is the time domain waveform figure of the signal X (t) that exports after through the self-adapting random resonant system of the sine wave signal s (t) of 0.01Hz; Can observe the general shape of feeble signal when SNR=-20dB can differentiate; Than the figure among Fig. 3 the lifting on the very big performance has been arranged, can tell the frequency of feeble signal basically, confirmed but phase place is difficult.
Fig. 5 is that SNR is-20dB; Feeble signal is that frequency is that the sine wave of 0.1Hz becomes 0.001Hz through the double sampling frequency; Double sampling change of scale factor R is 100 the time domain figure of feeble signal s (t) through exporting after the system of the present invention; At first make its frequency be reduced to 0.001Hz and obtain signal W (t) through double sampling; And then through output signal X (t) after the self-adapting random resonant system, X (t) combines with the R value of output and exports the time domain waveform figure that comprises s (t) signal characteristic, can confirm the characteristics of signals such as frequency, phase place of feeble signal s (t) easily through Fig. 5.
Fig. 6 is that SNR is-20dB; Feeble signal is that frequency is that the sine wave of 0.01Hz receives signal r (t) through the spectrogram after the preset parameter stochastic resonance system; Though it is very little to observe under the preset parameter stochastic resonance system near spectrogram range value zero-frequency; But on whole frequency, all there is the noise of can not ignore to exist,, is difficult to extrapolate the characteristic of feeble signal through Fig. 3 so the output time domain plethysmographic signal of preset parameter stochastic resonance system is as shown in Figure 3.
Fig. 7 is that SNR is-20dB; Feeble signal is that frequency is that the sine wave of 0.01Hz receives signal r (t) through the spectrogram after the self-adapting random resonant system; Though it is very big to observe the amplitude at zero-frequency place; But the noise amplitude at other frequency place very I ignoring, so, also observe near the spectrum amplitude at the corresponding frequency place in Fig. 6 of the spectrum amplitude the 0.01Hz among Fig. 7 simultaneously totally to big not as among Fig. 6 of the influence of waveform; That is to say that the feeble signal among Fig. 7 has obtained the more noise energy, thereby make the waveform of time domain seem more better.Explained that also the self-adapting random resonant system has the performance of better enhancing feeble signal.The feeble signal s (t) that comprises among the input signal r (t) of this moment is a periodic drive signal; The frequency of s (t) is not in the optimum resonance frequency range of self-adapting random resonant system; So the time domain waveform of the output signal of the self-adapting random resonant system of this moment is as shown in Figure 7, does not obtain good waveform.
Fig. 8 is that SNR is-20dB; Feeble signal is that frequency is that the sine wave of 0.1Hz receives the spectrogram of signal r (t) after through system of the present invention; Can find out that by figure feeble signal s (t) is 0.001Hz through the frequency of the signal W (t) after the double sampling; The self-adapting random resonant system that just in time drops on this moment produces in the scope of accidental resonance, so feeble signal has obtained enough energy, noise has obtained maximum inhibition simultaneously.Can observe except near the frequency of feeble signal place and near other frequency place spectrum amplitudes the zero-frequency very little; Can ignore; And near the spectrum amplitude the zero-frequency is so noise has been dropped to minimum to the influence of feeble signal, as shown in Figure 5 through the time domain waveform figure behind the present invention much smaller than near the spectrum amplitude the 0.001Hz; The signal characteristics such as frequency, phase place of W (t) can be clearly told, the signal characteristic of feeble signal s (t) can be obtained in the final R value that combines output.
Emulation shows: the change of scale factor of regulating double sampling through feedback system; Can adjust to the frequency of feeble signal well is easy to produce in the frequency range of self-adapting random resonant; Thereby utilized the premium properties of self-adapting random resonant fully; Can well under utmost point low signal-to-noise ratio, extract feeble signal, solved the problem that existing feeble signal disposal route is performed poor even lost efficacy effectively under utmost point low signal-to-noise ratio.Under the situation of not knowing the feeble signal frequency, pass through the change of scale factor R of the automatic adjusting double sampling of feedback simultaneously; Make feeble signal can mate the self-adapting random resonant system and produce accidental resonance, thereby can extract the characteristic of feeble signal well through the signal frequency after the double sampling.
One of ordinary skill in the art will appreciate that; Realize that all or part of step in the foregoing description method is to instruct relevant hardware to accomplish through program; Described program can be stored in the readable storage medium storing program for executing, for example ROM (read-only memory), RAS, disk, CD etc.
The above; Be merely the preferable embodiment of the present invention, but protection scope of the present invention is not limited thereto, any technician who is familiar with the present technique field is in the technical scope that the present invention discloses; The variation that can expect easily or replacement all should be encompassed within protection scope of the present invention.Therefore, protection scope of the present invention should be as the criterion with the protection domain of claim.

Claims (4)

Translated fromChinese
1.一种基于自适应随机共振的微弱信号提取方法,包括以下步骤:1. A weak signal extraction method based on adaptive stochastic resonance, comprising the following steps:S1.初始化参数:所述参数具体包括,二次采样尺度变换因子R,尺度变换因子的增加步长ΔR;随机共振的固有参数a,产生随机共振的参考频率fref,fref的计算偏移量Δf;零频计算偏移量Δf0;频谱幅度比较系数m;S1. Initialization parameters: The parameters specifically include, the resampling scale conversion factor R, the increase step size ΔR of the scale conversion factor; the inherent parameter a of stochastic resonance, the reference frequency fref for generating stochastic resonance, and the calculated offset of fref Quantity Δf; Zero-frequency calculation offset Δf0 ; Spectrum amplitude comparison coefficient m;S2.确定SR系统参数b:所述SR系统通过langevin方程
Figure FDA0000144237720000011
进行描述,其中,
Figure FDA0000144237720000012
s(t)是微弱信号;n(t)是均值为零方差为
Figure FDA0000144237720000013
的噪声。根据接收信号r(t)获得噪声方差
Figure FDA0000144237720000014
其中,r(t)=s(t)+n(t),然后由a和的值确定参数b;S2. Determine the SR system parameter b: the SR system passes the langevin equation
Figure FDA0000144237720000011
describe, among them,
Figure FDA0000144237720000012
s(t) is a weak signal; n(t) is the mean is zero and the variance is
Figure FDA0000144237720000013
noise. Obtain the noise variance from the received signal r(t)
Figure FDA0000144237720000014
Among them, r(t)=s(t)+n(t), then by a and The value of determines the parameter b;S3.把接收到的信号r(t)进行尺度变换因子为R的二次采样,得到信号W(t);S3. Subsampling the received signal r(t) with a scaling factor of R to obtain a signal W(t);S4.信号W(t)通过langevin方程求得信号X(t);S4. The signal W(t) obtains the signal X(t) through the langevin equation;S5.将X(t)做傅里叶变换,得到Z(f),f为频率值,Z(f)即是在频率为f处的频谱幅度值;S5. X (t) is done Fourier transform, obtains Z (f), and f is a frequency value, and Z (f) is exactly the frequency spectrum amplitude value at f place at frequency;S6.求[fref-Δf,fref+Δf]或者[-fref-Δf,-fref+Δf]范围内的Z(f)的最大值,记为Aref,求[-Δf0,Δf0]范围内的Z(f)的最大值,记为A0S6. Find the maximum value of Z(f) within the range of [fref -Δf, fref +Δf] or [-fref -Δf, -fref +Δf], denoted as Aref , and find [-Δf0 , Δf0 ] the maximum value of Z(f) within the range, denoted as A0 ;S7.如果Aref≥m×A0,则X(t)即为提取的包含微弱信号特征的目标信号,否则将尺度变换因子R赋值为R与ΔR的和,即R=R+ΔR,转到步骤S3。S7. If Aref ≥ m×A0 , then X(t) is the extracted target signal containing weak signal features, otherwise assign the scaling factor R to the sum of R and ΔR, that is, R=R+ΔR, turn to Go to step S3.2.根据权利要求1所述的微弱信号提取方法,其特征在于,步骤S1中所述的二次采样尺度变换因子R=1。2. The weak signal extraction method according to claim 1, characterized in that the re-sampling scale conversion factor R=1 described in step S1.3.根据权利要求1所述的微弱信号提取方法,其特征在于,步骤S2所述的由a和的值确定的参数其中,h为调节系数。3. weak signal extracting method according to claim 1, is characterized in that, step S2 described by a and The parameter determined by the value of Among them, h is the adjustment coefficient.4.根据权利要求1所述的微弱信号提取方法,其特征在于,步骤S1中所述的频谱幅度比较系数m的取值范围为5≤m≤20。4. The weak signal extraction method according to claim 1, characterized in that the value range of the spectrum amplitude comparison coefficient m described in step S1 is 5≤m≤20.
CN2012100701500A2012-03-162012-03-16Weak signal extracting method based on self-adaptive stochastic resonanceExpired - Fee RelatedCN102608553B (en)

Priority Applications (1)

Application NumberPriority DateFiling DateTitle
CN2012100701500ACN102608553B (en)2012-03-162012-03-16Weak signal extracting method based on self-adaptive stochastic resonance

Applications Claiming Priority (1)

Application NumberPriority DateFiling DateTitle
CN2012100701500ACN102608553B (en)2012-03-162012-03-16Weak signal extracting method based on self-adaptive stochastic resonance

Publications (2)

Publication NumberPublication Date
CN102608553Atrue CN102608553A (en)2012-07-25
CN102608553B CN102608553B (en)2013-12-11

Family

ID=46526067

Family Applications (1)

Application NumberTitlePriority DateFiling Date
CN2012100701500AExpired - Fee RelatedCN102608553B (en)2012-03-162012-03-16Weak signal extracting method based on self-adaptive stochastic resonance

Country Status (1)

CountryLink
CN (1)CN102608553B (en)

Cited By (19)

* Cited by examiner, † Cited by third party
Publication numberPriority datePublication dateAssigneeTitle
CN103475431A (en)*2013-09-092013-12-25南京邮电大学Spectrum sensing method based on optimal stochastic resonance under condition of low signal to noise ratio
CN103969505A (en)*2014-05-062014-08-06四川大学Stochastic resonance high-frequency weak signal detection method based on interpolation
CN104483127A (en)*2014-10-222015-04-01徐州隆安光电科技有限公司Method for extracting weak fault characteristic information of planetary gear
CN104634438A (en)*2015-03-042015-05-20南京大学Method for measuring stochastic resonance of bistable system
CN105388390A (en)*2015-06-232016-03-09河南理工大学Weak transient zero sequence current fault feature extraction method based on PSO (Particle Swarm Optimization)
CN106408087A (en)*2016-09-182017-02-15厦门大学Reinforcement learning adaptive stochastic resonance method for underwater weak signal detection
CN106441889A (en)*2016-09-142017-02-22安徽大学Weak signal detection method based on self-adaptive stochastic resonance filter
CN107228905A (en)*2017-06-022017-10-03东莞理工学院Ultrasonic guided wave signals detection method based on bistable system
CN107666328A (en)*2017-10-092018-02-06中国电子科技集团公司第二十研究所Low signal-to-noise ratio satellite communication signals method of reseptance
CN108088489A (en)*2017-03-282018-05-29张亚军A kind of cross-correlation method for detecting weak signals applied to drill rod telemetry system
CN108758358A (en)*2018-05-252018-11-06北京市燃气集团有限责任公司A kind of line leakage method and system based on the demodulation of sound echo-signal
CN108956875A (en)*2018-07-032018-12-07浙江农林大学A kind of laboratory safety monitoring system and method based on Internet of Things
CN109030566A (en)*2018-07-032018-12-18浙江农林大学 A laboratory gas leakage diagnosis device and method
CN109118472A (en)*2018-07-032019-01-01杭州电子科技大学A kind of eye fundus image blood vessel random resonance detection method that adaptive scale decomposes
CN109347580A (en)*2018-11-192019-02-15湖南猎航电子科技有限公司A kind of adaptive threshold signal detecting method of known duty ratio
CN110319357A (en)*2018-03-302019-10-11中国科学院声学研究所A kind of gas pipe leakage detection positioning system and method injected using sound
CN110572344A (en)*2019-09-102019-12-13西北工业大学 A Demodulation Method for Deep Sea Vertical Underwater Acoustic Communication
CN110610714A (en)*2019-09-202019-12-24科大讯飞股份有限公司Audio signal enhancement processing method and related device
CN112904434A (en)*2020-12-222021-06-04电子科技大学Magnetic anomaly signal detection method based on parameter optimization stochastic resonance

Citations (7)

* Cited by examiner, † Cited by third party
Publication numberPriority datePublication dateAssigneeTitle
US5515300A (en)*1993-09-301996-05-07The United States Of America As Represented By The Secretary Of The NavyCoherent signal power detector using higher-order statistics
US6008642A (en)*1997-08-251999-12-28The United States Of America As Represented By The Secretary Of The NavyStochastic resonance detector for weak signals
CN101191804A (en)*2007-12-032008-06-04中国人民解放军国防科学技术大学 Adaptive Stochastic Resonance Weak Signal Detection Method
CN101329197A (en)*2008-05-232008-12-24杭州电子科技大学 A Method of Extracting Signals under Strong Noise Background
CN101592730A (en)*2009-06-052009-12-02浙江大学 Beam domain weak signal processing method of sensor array based on parameter adjustment stochastic resonance and post-processing
CN101825665A (en)*2010-05-282010-09-08桂林电子科技大学Method for detecting stochastic resonance transient electromagnetic weak signals
CN101881628A (en)*2010-06-302010-11-10中南大学 Detection Method of Weak Periodic Signal Based on Chaotic System and Wavelet Threshold Denoising

Patent Citations (7)

* Cited by examiner, † Cited by third party
Publication numberPriority datePublication dateAssigneeTitle
US5515300A (en)*1993-09-301996-05-07The United States Of America As Represented By The Secretary Of The NavyCoherent signal power detector using higher-order statistics
US6008642A (en)*1997-08-251999-12-28The United States Of America As Represented By The Secretary Of The NavyStochastic resonance detector for weak signals
CN101191804A (en)*2007-12-032008-06-04中国人民解放军国防科学技术大学 Adaptive Stochastic Resonance Weak Signal Detection Method
CN101329197A (en)*2008-05-232008-12-24杭州电子科技大学 A Method of Extracting Signals under Strong Noise Background
CN101592730A (en)*2009-06-052009-12-02浙江大学 Beam domain weak signal processing method of sensor array based on parameter adjustment stochastic resonance and post-processing
CN101825665A (en)*2010-05-282010-09-08桂林电子科技大学Method for detecting stochastic resonance transient electromagnetic weak signals
CN101881628A (en)*2010-06-302010-11-10中南大学 Detection Method of Weak Periodic Signal Based on Chaotic System and Wavelet Threshold Denoising

Non-Patent Citations (3)

* Cited by examiner, † Cited by third party
Title
冷永刚 邓: "二次采样用于随机共振从强噪声中提取弱信号的数值研究", 《二次采样用于随机共振从强噪声中提取弱信号的数值研究*
安良 等: "海洋噪声背景下基于随机共振方法的波束形成", 《声学技术》*
张少文 等: "一种基于随机共振增强的协方差矩阵频谱感知算法", 《信号处理》*

Cited By (29)

* Cited by examiner, † Cited by third party
Publication numberPriority datePublication dateAssigneeTitle
CN103475431B (en)*2013-09-092015-05-06南京邮电大学Spectrum sensing method based on optimal stochastic resonance under condition of low signal to noise ratio
CN103475431A (en)*2013-09-092013-12-25南京邮电大学Spectrum sensing method based on optimal stochastic resonance under condition of low signal to noise ratio
CN103969505A (en)*2014-05-062014-08-06四川大学Stochastic resonance high-frequency weak signal detection method based on interpolation
CN103969505B (en)*2014-05-062017-02-15四川大学Stochastic resonance high-frequency weak signal detection method based on interpolation
CN104483127B (en)*2014-10-222017-12-29徐州隆安光电科技有限公司A kind of planetary gear feature information of weak faults extracting method
CN104483127A (en)*2014-10-222015-04-01徐州隆安光电科技有限公司Method for extracting weak fault characteristic information of planetary gear
CN104634438A (en)*2015-03-042015-05-20南京大学Method for measuring stochastic resonance of bistable system
CN105388390A (en)*2015-06-232016-03-09河南理工大学Weak transient zero sequence current fault feature extraction method based on PSO (Particle Swarm Optimization)
CN105388390B (en)*2015-06-232018-06-29河南理工大学Weak transient zero-sequence current fault signature extracting method based on particle group optimizing
CN106441889B (en)*2016-09-142018-09-21安徽大学Weak signal detection method based on self-adaptive stochastic resonance filter
CN106441889A (en)*2016-09-142017-02-22安徽大学Weak signal detection method based on self-adaptive stochastic resonance filter
CN106408087A (en)*2016-09-182017-02-15厦门大学Reinforcement learning adaptive stochastic resonance method for underwater weak signal detection
CN108088489A (en)*2017-03-282018-05-29张亚军A kind of cross-correlation method for detecting weak signals applied to drill rod telemetry system
CN107228905A (en)*2017-06-022017-10-03东莞理工学院Ultrasonic guided wave signals detection method based on bistable system
CN107666328A (en)*2017-10-092018-02-06中国电子科技集团公司第二十研究所Low signal-to-noise ratio satellite communication signals method of reseptance
CN110319357A (en)*2018-03-302019-10-11中国科学院声学研究所A kind of gas pipe leakage detection positioning system and method injected using sound
CN108758358A (en)*2018-05-252018-11-06北京市燃气集团有限责任公司A kind of line leakage method and system based on the demodulation of sound echo-signal
CN109118472A (en)*2018-07-032019-01-01杭州电子科技大学A kind of eye fundus image blood vessel random resonance detection method that adaptive scale decomposes
CN109030566A (en)*2018-07-032018-12-18浙江农林大学 A laboratory gas leakage diagnosis device and method
CN108956875A (en)*2018-07-032018-12-07浙江农林大学A kind of laboratory safety monitoring system and method based on Internet of Things
CN109030566B (en)*2018-07-032021-01-19浙江农林大学Laboratory gas leakage diagnosis device and method
CN109118472B (en)*2018-07-032021-06-08杭州电子科技大学 An Adaptive Scale Decomposition Method for Vessel Stochastic Resonance Detection in Fundus Images
CN109347580A (en)*2018-11-192019-02-15湖南猎航电子科技有限公司A kind of adaptive threshold signal detecting method of known duty ratio
CN109347580B (en)*2018-11-192021-01-19湖南猎航电子科技有限公司Self-adaptive threshold signal detection method with known duty ratio
CN110572344A (en)*2019-09-102019-12-13西北工业大学 A Demodulation Method for Deep Sea Vertical Underwater Acoustic Communication
CN110572344B (en)*2019-09-102021-06-11西北工业大学Demodulation method for deep sea vertical underwater acoustic communication
CN110610714A (en)*2019-09-202019-12-24科大讯飞股份有限公司Audio signal enhancement processing method and related device
CN110610714B (en)*2019-09-202022-02-25科大讯飞股份有限公司Audio signal enhancement processing method and related device
CN112904434A (en)*2020-12-222021-06-04电子科技大学Magnetic anomaly signal detection method based on parameter optimization stochastic resonance

Also Published As

Publication numberPublication date
CN102608553B (en)2013-12-11

Similar Documents

PublicationPublication DateTitle
CN102608553A (en)Weak signal extracting method based on self-adaptive stochastic resonance
US11054520B2 (en)Method and system for ultrasound time-of-flight measurement
CN107064629B (en)A kind of comprehensive simple signal frequency estimating methods of the segmentation estimated based on frequency relative bias
CN104330787B (en)Underwater motion array multi-target detection and position estimation integrated method
EP2446234B1 (en)Determining the resonance parameters for mechanical oscillators
CN109063613A (en)Based on the synchronous nonstationary random response method for extracting transformation of Generalized parametering
CN101221201B (en)Method for measuring fundamental frequency
EP3155382B1 (en)Extended range adc flow meter
Pumphrey et al.Free oscillations of near‐surface bubbles as a source of the underwater noise of rain
CN105068058A (en)Millimeter-grade micro-motion measuring method based on synthetic broadband pulse Doppler radar
CN102801671B (en)Carrier tracking device capable of adaptively adjusting parameters
CN102710347A (en)Energy detection method based on deviation correction
CN106607324A (en)Ultrasonic transducer system and method for bi-modal system responses
CN103969505B (en)Stochastic resonance high-frequency weak signal detection method based on interpolation
CN103076604A (en) A method for measuring the distance of low-frequency underwater acoustic pulse signals based on dispersion characteristics
CN102841248B (en)Detection method for weak signal with any frequency and range
CN102203601A (en)Method for determining the starting instant of a periodically oscillating signal response
CN101592730B (en)Method for processing sensor array beam space weak signal based on parameter adjustment stochastic resonance and post-treatment
Fusco et al.A model for the sensitivity of non-causal control of wave energy converters to wave excitation force prediction errors
CN103795660B (en)Double-stage frequency estimation method based on noise approximate processing
CN106680628A (en)Adaptive stochastic resonance weak signal matching detection method
CN102223195B (en)Frequency spectrum sensing method
Kouwenhoven et al.The effect of digitisation on the signal-to-noise ratio of a pulsed radio signal
CN102707157B (en)A kind of pure-tone polse signal parameter estimation method based on power spectrum
CN102710348B (en)Energy detection method based on period diagram

Legal Events

DateCodeTitleDescription
C06Publication
PB01Publication
C10Entry into substantive examination
SE01Entry into force of request for substantive examination
C14Grant of patent or utility model
GR01Patent grant
CF01Termination of patent right due to non-payment of annual fee
CF01Termination of patent right due to non-payment of annual fee

Granted publication date:20131211

Termination date:20170316


[8]ページ先頭

©2009-2025 Movatter.jp