Movatterモバイル変換


[0]ホーム

URL:


CN102599169B - Tolfenpyrad-containing insecticidal composition - Google Patents

Tolfenpyrad-containing insecticidal composition
Download PDF

Info

Publication number
CN102599169B
CN102599169BCN201210037400.0ACN201210037400ACN102599169BCN 102599169 BCN102599169 BCN 102599169BCN 201210037400 ACN201210037400 ACN 201210037400ACN 102599169 BCN102599169 BCN 102599169B
Authority
CN
China
Prior art keywords
grams
tolfenpyrad
active component
phenyl carbamate
rynaxypyr
Prior art date
Legal status (The legal status is an assumption and is not a legal conclusion. Google has not performed a legal analysis and makes no representation as to the accuracy of the status listed.)
Expired - Fee Related
Application number
CN201210037400.0A
Other languages
Chinese (zh)
Other versions
CN102599169A (en
Inventor
臧延琴
苏志文
许德军
张继甫
郑宏文
Current Assignee (The listed assignees may be inaccurate. Google has not performed a legal analysis and makes no representation or warranty as to the accuracy of the list.)
Guangxi Tianyuan Biochemical Co Ltd
Original Assignee
Guangxi Tianyuan Biochemical Co Ltd
Priority date (The priority date is an assumption and is not a legal conclusion. Google has not performed a legal analysis and makes no representation as to the accuracy of the date listed.)
Filing date
Publication date
Application filed by Guangxi Tianyuan Biochemical Co LtdfiledCriticalGuangxi Tianyuan Biochemical Co Ltd
Priority to CN201210037400.0ApriorityCriticalpatent/CN102599169B/en
Publication of CN102599169ApublicationCriticalpatent/CN102599169A/en
Application grantedgrantedCritical
Publication of CN102599169BpublicationCriticalpatent/CN102599169B/en
Expired - Fee Relatedlegal-statusCriticalCurrent
Anticipated expirationlegal-statusCritical

Links

Landscapes

Abstract

The invention discloses a tolfenpyrad-containing insecticidal composition. The effective components include tolfenpyrad as a first active component, and chlorantraniliprole or dimethacarb as a second active component; the weight ratio of the first active component to the second active component is 1:70 to 70:1; the weight sum of the first active component and the second active component accounts for 1-70% of the total weight of an agricultural compound composition; and the tolfenpyrad-containing insecticidal composition can be prepared into a normal formulation such as suspension, water dispersible granules, wettable powders, microcapsule suspension, emulsifiable concentrate, water emulsion, microemulsion or the like. The composition is used for preventing and treating diseases caused by diamondback moth larvae in Lepidoptera, thrips in Thysanoptera, rice stem borers, leaf folders, cotton bollworms and the like. The composition has the advantages of high efficacy, long durability, reduced environment pollution and the like.

Description

A kind of Pesticidal combination containing Tolfenpyrad
Technical field
The invention belongs to technical field of pesticide, relate to composition pesticide, relate to specifically a kind of Pesticidal combination containing Tolfenpyrad.
Background technology
Tolfenpyrad, English common name: Tolfenpyrad, chemical molecular formula: C21h22clN2o2, CAS:129558-76-5, code name: OMI-88, the chloro-3-ethyl-1-of chemical name: 4-methyl-N-{[4-(4-methylphenoxy) phenyl] and-methyl }-1H pyrazoles-5-carboxylic acid amides, relative molecular mass: 383.9, chemical structural formula:
Tolfenpyrad is novel pyrazole heterocyclic insecticidal/acaricidal agent.Its mechanism of action is that the electronics hindering in mitochondrial metabolic system is passed on system complex I, is hindered thereby electronics is passed on, and insect can not be provided and storing energy, is called as mitochondria electronics and passes on complex Inhibitors (METI).This medicament insecticidal spectrum is wide, has action of contace poison.To insect and the equal special efficacys of mite class such as each Lepidopterous, thrips, coleoptera, Homoptera, diptera, Semipteras, especially to lepidopterous larvae diamond-back moth, thrips insect thrips.This medicament lasting period is longer, to insect whole breeding time, has higher activity from ovum to adult, and antagonism insect also produces effect.In addition, this medicament application crop scope is also large, and it can be applicable to the control of insect of the various crop such as crops, vegetables, fruit tree, flowers, tealeaves.
The Rynaxypyr example that is applicable to composition of the present invention is as follows:
Rynaxypyr, English name: CHLOANTRANILIPROLE, Chinese: the bromo-N-[4-chloro-2-methyl-6-[(of Rynaxypyr, Kang Kuan, chlorantraniliprole or 3-methyl-carbamoyl) benzene]-1-(3-chloropyridine-2-yl)-1H-pyrazoles-5-formamide; Molecular formula: C18h14brCl2n5o2, molecular weight: 483.152, structural formula:
Figure GDA0000481995260000012
Rynaxypyr is ryanodine receptor insecticides, belongs to O-formammidotiazol-benzamide insecticide, is mainly to activate blue Buddhist nun's alkali acceptor, discharge the calcium ion of storage in smooth muscle and striated muscle cell, cause that muscle regulates weak, paralysis, until last insect death.This active ingredient shows mammal and the extremely significant selective difference of the blue Buddhist nun's alkali of insect acceptor, has greatly improved mammal and other vertebrate safeties.Rynaxypyr high-efficiency broad spectrum, all has good control effect to lepidopterous Noctuidae, Pyralidae, Carposinidae, tortricid, miller section, diamond-back moth section, Gelechidae, Gracilariidae etc., can also control coleoptera Culculionidae, Chrysomelidae; Diptera Agromyzidae; The multiple non-lepidoptera pest such as Bemisia tabaci.
Dimethyl phenyl carbamate, English common name: dimethacarb, molecular formula: C10h13nO2, chemical name: N-methyl carbamic acid diformazan phenyl ester, its molecular structural formula is:
Figure GDA0000481995260000021
Dimethyl phenyl carbamate belongs to carbamate insecticide, for moderate toxicity, there is strong action of contace poison, the speed of knocking down is fast, the insects such as diptera, Lepidoptera and Homoptera are had to special efficacy, rice fulgorid, leafhopper are had to special efficacy, thrips, rice plant skipper, cotten aphid, cotton bollworm, anomis flava, bean aphid, soybean pod borer, soybean gelechiid, mythimna separata, Corn snout moth's larva, soil insect and cutworm, grub and tea tree, fruit tree pest insect are all had to good control efficiency.
For the disease control that easily produces resistance in agricultural, using the different pesticide species of the mechanism of action to carry out mixture is best selection, if reasonable mixture ratio can produce significant synergistic effect, makes field control effect obviously be better than the effect of each single dose at present.In agricultural disease control, usually there is certain defect in the bactericide that contains single-activity composition, continuous several times is used and not only makes pathogen easily develop immunity to drugs, usage amount is large, and easily cause the pollution to food and environment, can overcome above shortcoming by rational mixture between fungicidal activity composition.Reasonably the composite synergistic effect that active ingredient is produced, can improve preventive effect, reduces effective ingredient consumption, cost-saving, delays the drug-fast generation of pathogen, and then can alleviate and even avoid the pollution of agricultural chemicals to food and environment.
Have no at present the relevant report of the Pesticidal combination that contains Tolfenpyrad and Rynaxypyr, dimethyl phenyl carbamate.
Summary of the invention
The object of the invention is in order to overcome the consumption that above-mentioned single insecticide exists large, the shortcomings such as environmental pollution is serious and the problem that contains each single dose composition existence, and a kind of Pesticidal combination containing Tolfenpyrad is provided, under optimal proportion, there is formula synergistic effect, not only expand the range of application of each single dose, simultaneously in the usage amount that ensures to reduce under optimum preventive effect medicament, reduce mu usage amount, thereby reduce costs and reduce environmental hazard, can delay the generation of pest resistance.
Technical scheme of the present invention:
Containing a Pesticidal combination for Tolfenpyrad, active ingredient comprises the first active component Tolfenpyrad and the second active component, and the second active component is Rynaxypyr or dimethyl phenyl carbamate; The weight ratio of the first active component and the second active component is 1:70~70:1.
The weight ratio of described the first active component and the second active component is 1:35~35:1.
Described Pesticidal combination is prepared into the pesticidal preparations such as suspending agent, water dispersible granules, wetting powder, microcapsule suspending agent, missible oil, aqueous emulsion or microemulsion.
The percentage by weight that the weight summation of described the first active component and the second active component accounts for Pesticidal combination gross weight is 1~70%, and preferred weight percent is 1~35%, and surplus is auxiliary agent, solvent or filler general in pesticidal preparations.
In the preparation of Pesticidal combination of the present invention, except active component, all contain surfactant, and can also contain the thinner such as organic solvent or cosolvent, carrier (filler) or water according to different dosage form.Add if desired other functional aids such as antifreeze, thickener, stabilizing agent, defoamer, disintegrant, all adopt technique well known to those skilled in the art to be prepared into relevant formulation.
For missible oil, spendable auxiliary agent has:
Emulsifier is selected from benzyl dimethyl phenol polyethenoxy ether, neopelex, 0204C, dodecyl sulphate calcium, alkylphenol polyoxyethylene, agriculture breast 500#(common name: calcium dodecyl benzene sulfonate), Nongru-700 #, agriculture breast 2201#, this dish-60#, emulsifier T-60(common name: the APEO of anhydrous sorbitol monostearate), the acceptable emulsifier of missible oil such as TX-10 (common name: octyl phenol polyoxy ethene (10) ether), alkylphenol polyoxyethylene, the newborn 1601# of agriculture, agriculture breast 600; Solvent is selected from castor oil, epoxidized soybean oil, ethyl acetate, plant wet goods.Stabilizing agent is selected from one or more in triphenyl phosphite, epoxychloropropane.
For microemulsion, spendable wetting dispersing agent has: sodium lignin sulfonate, agriculture breast 500#(common name: emulsifier is selected from calcium dodecyl benzene sulfonate), one or more in polyoxyethylene nonylphenol ether, sulfuric acid list fat-based ester salt, castor oil polyoxyethylene polyethenoxy ether, diglycerol polypropylene glycol ether, agriculture breast 1601#, agriculture breast 600#, agriculture breast 400#; Solvent and cosolvent: 1-METHYLPYRROLIDONE, deionized water, ethyl acetate, n-butanol, cyclohexanone etc.; Stabilizing agent is selected from one or more in triphenyl phosphite, epoxychloropropane; Antifreezing agent: glycerine, ethylene glycol etc.; Stabilizing agent: polyacrylate, epoxychloropropane; Preservative: sorbic acid etc.;
For wetting powder, those skilled in the art adopt conventional auxiliary agent and preparation method to complete the present invention.
Wetting dispersing agent: alkyl phenol (or fatty alcohol) polyoxyethylene poly-oxygen propylene aether sulphate, dinaphthyl methane-disulfonic acid sodium sodium lignin sulfonate, Negel, alkylphenol polyoxyethylene phosphoric acid fat and salt thereof, polycarboxylate, alkylphenol polyoxyethylene, lauryl sodium sulfate, moistening penetrant m F, 2 hexylene glycol [2,4]; Filler and carrier: one or more in white carbon, kaolin, precipitated calcium carbonate, diatomite, attapulgite, potter's clay.
For water dispersible granules, those skilled in the art adopt conventional auxiliary agent and preparation method to complete the present invention.
Wetting dispersing agent: alkylphenol polyoxyethylene, lauryl sodium sulfate, PO-EO block polyether, polycarboxylate, lauryl sodium sulfate, AEO-5, octylphenol polyethylene oxyethylene group ether sulfate, spaonin powder, alkyl benzene calcium sulfonate, polyethers, BIT (BIT), moistening penetrant m F, NN0(dinaphthyl methane-disulfonic acid sodium) one or more; PH value conditioning agent: triethanolamine; Binding agent: one or more in starch, diatomite, corn starch, PVA, PEG, ethyl cellulose type; Disintegrant: ammonium sulfate, sodium carbonate, urea; Filler or carrier: one or more in kaolin, white carbon, bentonite, white carbon, attapulgite, potter's clay.
For suspending agent, spendable wetting dispersing agent: one or more in alkylphenol polyoxyethylene formaldehyde condensation products sulphate (SOPA-270), lauryl sodium sulfate (K12), DBSA, lignosulfonates, castor oil polyoxyethylene polyethenoxy ether, EO-PO block copolymer dinaphthyl methane-disulfonic acid sodium, polyoxyethylene nonylphenol ether, alkylphenol polyoxyethylene; Preservative: formaldehyde, Sodium Benzoate; Antifreezing agent: one or more in pentanediol, white carbon, propane diols, ethylene glycol, urea etc.; Thickener and antisettling agent: one or more in gum Arabic, xanthans, aluminium-magnesium silicate, methylcellulose etc.; Solvent and cosolvent: deionized water, C8~10one or more in aliphatic alcohols;
For microcapsule suspending agent, spendable auxiliary agent and filler have solvent, emulsifier, encystation monomer, wetting dispersing agent, antifreezing agent, thickener and water.One or more in solvent xylene, cyclohexanone, acetone, dimethyl sulfoxide (DMSO), 1-METHYLPYRROLIDONE; Described encystation monomer is selected from: urea resin prepolymer; Wetting dispersing agent is selected from dinaphthyl methane-disulfonic acid sodium (NNO), alkyl phenol formaldehyde resin polyoxyethylene ether sodium sulphate (SOPA), alkylphenol-polyethenoxy base ether sulfuric ester; Filler, bentonite;
For aqueous emulsion, wetting dispersing agent is selected from alkylnaphthalene sulfonate, polyoxyethylene nonylphenol ether, agriculture breast 602#, By-140(castor oil polyoxyethylene ether), poly-(12-hydroxyl stearic acid) polyoxyethylene block copolymer, By-140(castor oil polyoxyethylene ether) in one or more; Bleeding agent: penetrating agent JFC, penetrant t X-10; Defoamer: organosilicon, isooctanol; Antifreezing agent: ethylene glycol, glycerine etc.; Preservative: Sodium Benzoate, BIT etc.; Thickener: xanthans, gelatin etc.; Stabilizing agent: citric acid etc.; Solvent: 45 grams of N-dodecylpyrrolidones, 85 grams of Solvesso150#78 grams, diethyl phthalate, Solvesso200#, deionized water.
Various wetting agents that the present invention adds, auxiliary agent, carrier etc. are market sale product, and pesticide producing is commonly used assistant agent.
Pesticidal combination of the present invention, its application in control control lepidopterous larvae diamond-back moth, thrips insect thrips, paddy rice borer, tortrix moth and cotton cotton bollworm, is used in particular for preventing and treating the purposes such as the snout moth's larva of rice, vegetables diamond-back moth, beet armyworm, cotton cotton bollworm.
Advantage of the present invention:
1, Tolfenpyrad and Rynaxypyr, dimethyl phenyl carbamate belong to the insecticide of different Action mechanisms, and component is reasonable, and its composition is many to insect action site, good disinsection effect.
2, the activity of the present composition and insecticidal effect are not the simple superposition of each composition activity, compared with existing unitary agent, except having significant insecticidal effect, and have significant synergistic effect, efficient, slow down the generation of resistance.
3, the present composition can reduce the application dosage of each bioactivator, makes drug cost, and preparation less residue is pollution-free to crop, and safety is good, meets the security requirement of pesticidal preparations.
4, of the present invention provided Pesticidal combination has expanded fungicidal spectrum, and prevention and treatment range is more extensive, and the insects such as the snout moth's larva of rice, vegetables diamond-back moth, beet armyworm, cotton cotton bollworm are had to good control efficiency.
Specific embodiment
The present invention describes with the following example, but does not limit the scope of the invention, and the adjuvant such as various wetting agents that the present invention adds, auxiliary agent, solvent is market sale product, is pesticide producing usual auxiliaries.The proportioning representing in embodiment is weight proportion.
Embodiment 1:
20% Tolfenpyrad Rynaxypyr suspending agent (16:4)
639 grams of deionized waters in suction agitator tank, by 50 grams of SOPA270,28 grams of K12,4 grams of formaldehyde, 62 grams of pentanediols [1,5] in suction agitator tank, then limit is stirred 160 grams of Tolfenpyrads, 40 grams of Rynaxypyrs, 15 grams of white carbons is dropped in order and sheared in tank, shears and makes mixing of materials even in 30 minutes.Open cycle water, by material ball milling, with a certain amount of flow, below temperature control 40 degree, fineness is crossed 325 mesh sieves, obtains 20% Tolfenpyrad Rynaxypyr insecticides suspending agent.
Embodiment 2:
70% Tolfenpyrad Rynaxypyr water dispersible granules (35:35)
By 350 grams of Tolfenpyrads, 350 grams of Rynaxypyrs, 6 grams of triethanolamines, 12 grams of white carbons, NN0(dinaphthyl methane-disulfonic acid sodium) 20 grams, moistening penetrant m F45 gram, 8 grams of starch, 150 grams of kaolin, 59 grams, ammonium sulfate, mix laggard air-flow crushing, in mixer, spray into and mediate approximately 200 grams of agent deionized waters, adjust extrusion equipment, carry out extruder grain, it is qualified under 50~80 DEG C of conditions, to dry to moisture, can make 70% Tolfenpyrad Rynaxypyr insecticides water dispersible granules.
Embodiment 3:
35% Tolfenpyrad Rynaxypyr wetting powder (31:4)
By 310 grams of Tolfenpyrads, 40 grams of Rynaxypyrs, 55 grams of sodium lignin sulfonates, 38 grams, alkyl phenol (or fatty alcohol) polyoxyethylene poly-oxygen propylene aether sulphate, 2 hexylene glycol [2,4] 35 grams, 95 grams of white carbons, 427 grams of kaolin, stir, the processing of employing comminution by gas stream, gets final product to obtain 35% Tolfenpyrad Rynaxypyr wetting powder.
Embodiment 4:
30% Tolfenpyrad Rynaxypyr microcapsule suspending agent (20:10)
By 200 grams of Tolfenpyrads, 100 grams of Rynaxypyrs, be dissolved in 45 grams of dimethylbenzene, 3 grams of suction tributyl phosphates again, 18 grams of methylcellulose, 20 grams of alkylphenol-polyethenoxy base ether sulfuric esters, shear 30 minutes in high shear still high speed, add 200 grams of urea resin prepolymer, under 2000 revs/min of stirrings, heat up and solidify 60 minutes, add afterwards 362 grams of deionized waters, 32 grams of dinaphthyl methane-disulfonic acid sodium, 20 grams of bentonites, stir and get final product to obtain 30% Tolfenpyrad Rynaxypyr insecticides microcapsule suspending agent.
Embodiment 5:
10% Tolfenpyrad Rynaxypyr microcapsule suspending agent (5:5)
By 50 grams of Tolfenpyrads, 50 grams of Rynaxypyrs, be dissolved in 56 grams of cyclohexanone, 3 grams of suction phenethyl phenol polyethenoxy base ether sulfuric esters again, 35 grams of methylcellulose, 28 grams of sodium alginates, shear 30 minutes in high shear still high speed, add 200 grams of urea resin prepolymer, under 2000 revs/min of stirrings, heat up and solidify 60 minutes, add afterwards 505 grams of deionized waters, 45 grams of dinaphthyl methane-disulfonic acid sodium, 28 grams of bentonites, stir and get final product to obtain 10% Tolfenpyrad Rynaxypyr insecticides microcapsule suspending agent.
Embodiment 6:
6% Tolfenpyrad Rynaxypyr missible oil (2:4)
By 20 grams of Tolfenpyrads, 40 grams of Rynaxypyrs, 145 grams of benzyl dimethyl phenol polyethenoxy ethers, 130 grams of neopelexes, 490 grams of castor oil, 155 grams of epoxidized soybean oils, 20 grams, ethyl acetate, stirs and gets final product to obtain 4.8% Tolfenpyrad Rynaxypyr insecticides missible oil.
Embodiment 7:
5% Tolfenpyrad chlorantraniliprole water emulsion (2:3)
By 20 grams of Tolfenpyrads, 30 grams of Rynaxypyrs, be dissolved in 45 grams of N-dodecylpyrrolidones, in the mixed solvent of Solvesso150#78 gram, after solution is transparent, add 10 grams of alkylnaphthalene sulfonates, 18 grams of penetrating agent JFCs, 16 grams of polyoxyethylene nonylphenol ether are emulsified into dispersion phase, under high shear (5000-20000rpm), be added to and contain agriculture breast 602#28 gram, 3 grams of silicone defoaming agents, 35 grams of ethylene glycol, 5 grams of Sodium Benzoates, in the continuous phase that 3 grams of xanthans and deionized water are 709 grams, adding rear continuation shears 10 minutes, get final product to obtain 5% Tolfenpyrad Rynaxypyr insecticides aqueous emulsion.
Embodiment 8:
7% Tolfenpyrad Rynaxypyr microemulsion (1:6)
By 10 grams of Tolfenpyrads, 60 grams of Rynaxypyrs, 24 grams of sodium lignin sulfonates, 25 grams of calcium dodecyl benzene sulfonates, 18 grams of polyoxyethylene nonylphenol ether, 20 grams of cyclohexanone, 12 grams of glycerine, 6 grams of polyacrylate, 825 grams of deionized waters, stirring and evenly mixing in stirred tank, heating phase inversion gets final product to obtain 7% Tolfenpyrad Rynaxypyr insecticides microemulsion.
Embodiment 9:
60% Tolfenpyrad Rynaxypyr water dispersible granules
300 grams of Tolfenpyrads, 300 grams of Rynaxypyrs, 50 grams of alkylphenol polyoxyethylene, 40 grams of lauryl sodium sulfate, 20 grams, sodium carbonate, 2 grams of ethyl celluloses, 260 grams of bentonites, mix and make 60% Tolfenpyrad Rynaxypyr water dispersible granules.
Embodiment 10:
65% Tolfenpyrad Rynaxypyr water dispersible granules
50 grams of Tolfenpyrads, 600 grams of Rynaxypyrs, 60 grams of octylphenol polyethylene oxyethylene group ether sulfates, 40 grams of spaonin powders, 20 grams, urea, 70 grams of white carbons, 160 grams of kaolin, mix and make 65% Tolfenpyrad Rynaxypyr water dispersible granules.
Embodiment 11:
40% Tolfenpyrad Rynaxypyr suspending agent
50 grams of Tolfenpyrads, 350 grams of Rynaxypyrs, 60 grams, alkylphenol polyoxyethylene formaldehyde condensation products sulphate (SOPA-270), 50 grams of EO-PO block copolymers, C8~1020 grams of aliphatic alcohols, 20 grams of methylcellulose, 450 grams of deionized waters, mix and make 40% Tolfenpyrad Rynaxypyr suspending agent.
Embodiment 12:
60% Tolfenpyrad Rynaxypyr water dispersible granules
150 grams of Tolfenpyrads, 450 grams of Rynaxypyrs, 60 grams of polycarboxylates, 60 grams of lauryl sodium sulfate, 30 grams, ammonium sulfate, 250 grams of bentonites, mix and make 60% Tolfenpyrad Rynaxypyr water dispersible granules.
Embodiment 13:
48% Tolfenpyrad dimethyl phenyl carbamate wetting powder (36:12)
By 360 grams of Tolfenpyrads, 120 grams of dimethyl phenyl carbamate, 68 grams of sodium lignin sulfonates, 54 grams of Negels, 28 grams of alkylphenol polyoxyethylene phosphoric acid fat and salt thereof, 110 grams of white carbons, 260 grams of precipitated calcium carbonates, stir, adopt comminution by gas stream processing, get final product to obtain 48% Tolfenpyrad dimethyl phenyl carbamate composite wettable powder.
Embodiment 14:
10% Tolfenpyrad dimethyl phenyl carbamate microcapsule suspending agent (7.5:2.5)
By 75 grams of Tolfenpyrads, 25 grams of dimethyl phenyl carbamate, be dissolved in 56 grams of 1-METHYLPYRROLIDONEs, 3 grams, suction alkyl phenol formaldehyde resin polyoxyethylene ether sodium sulphate (SOPA) again, 35 grams of methylcellulose, 28 grams of sodium alginates, shear 30 minutes in high shear still high speed, add 200 grams of urea resin prepolymer, under 2000 revs/min of stirrings, heat up and solidify 60 minutes, add afterwards 505 grams of deionized waters, 45 grams of dinaphthyl methane-disulfonic acid sodium (NNO) dispersant, 28 grams of bentonites, stir and get final product to obtain 10% Tolfenpyrad dimethyl phenyl carbamate insecticides microcapsule suspending agent.
Embodiment 15:
7% Tolfenpyrad dimethyl phenyl carbamate aqueous emulsion (3.5:3.5)
By 35 grams of Tolfenpyrads, 35 grams of dimethyl phenyl carbamate, be dissolved in 85 grams of diethyl phthalates, in the mixed solvent of Solvesso200#148 gram, after solution is transparent, add stabilizing agent UV-R1#10 gram, penetrant t X-1026 gram, 25 grams of poly-(12-hydroxyl stearic acid) polyoxyethylene block copolymer, be emulsified into again dispersion phase, under high shear (5000-20000rpm), disperse phase is added to and contains By-140(castor oil polyoxyethylene ether) 28 grams, 3 grams of isooctanol defoamers, 44 grams of glycerine, 0.5 gram of BIT, 5 grams of citric acids, 552.5 grams of 3 grams, gelatin and deionized waters in continuous phase, adding rear continuation shears 10 minutes, get final product to obtain 7% Tolfenpyrad dimethyl phenyl carbamate insecticides aqueous emulsion.
Embodiment 16:
4% Tolfenpyrad dimethyl phenyl carbamate microemulsion (2:2)
By 20 grams of Tolfenpyrads, 20 grams of dimethyl phenyl carbamate, 18 grams of sulfuric acid list fat-based ester salt, 12 grams of castor oil polyoxyethylene polyethenoxy ethers, 6 grams of diglycerol polypropylene glycol ethers, 2 grams, ethyl acetate, 2 grams of methyl alcohol, 1 gram of sorbic acid, 1 gram of glycerine, 918 grams of deionized waters, stirring and evenly mixing in stirred tank, heating phase inversion gets final product to obtain 4% Tolfenpyrad dimethyl phenyl carbamate insecticides microemulsion.
Embodiment 17:
35% Tolfenpyrad dimethyl phenyl carbamate suspending agent
20 grams of Tolfenpyrads, 330 grams of dimethyl phenyl carbamate, 40 grams of lignosulfonates, wetting and penetrating agent MF25 gram, 100 grams of C8-10 aliphatic alcohols, 25 grams of gum Arabics, 450 grams of deionized waters, mix and make 35% fluorine uride dimethyl phenyl carbamate suspending agent.
Embodiment 18:
50% Tolfenpyrad dimethyl phenyl carbamate wetting powder
10 grams of Tolfenpyrads, 490 grams of dimethyl phenyl carbamate, 20 grams of polycarboxylates, 20 grams of alkylphenol polyoxyethylene, 20 grams of lauryl sodium sulfate, moistening penetrant m F20 gram, 120 grams of white carbons, 300 grams of mixtures of diatomite are fully pulverized, are mixed through air-flow at normal temperatures, can make 50% Tolfenpyrad dimethyl phenyl carbamate wetting powder.
Embodiment 19:
45% Tolfenpyrad dimethyl phenyl carbamate suspending agent
393 grams of deionized waters in suction agitator tank, by 50 grams of alkylphenol polyoxyethylene formaldehyde condensation products sulphate (SOPA-270), 25 grams of K12,12 grams of castor oil polyoxyethylene polyethenoxy ethers, 5 grams of formaldehyde, 50 grams of pentanediols [1,5], in suction agitator tank, then limit is stirred 50 grams of Tolfenpyrads, 400 grams of dimethyl phenyl carbamate, 5 grams of Sodium Benzoates, 10 grams of white carbons, is dropped into and shear in tank in order, shears and makes mixing of materials even in 30 minutes.Open cycle water, by material ball milling, with a certain amount of flow, below temperature control 40 degree, fineness is crossed 325 mesh sieves, obtains 45% Tolfenpyrad dimethyl phenyl carbamate suspending agent.
Embodiment 20:
50% Tolfenpyrad dimethyl phenyl carbamate water dispersible granules
By 250 grams of Tolfenpyrads, 250 grams of dimethyl phenyl carbamate, 2 grams of polyethers, binding agent PEG50 gram, 100 grams of white carbons, BIT (1,2-benzisothiazole-3-ketone) 70 grams, AEO-535 gram, 130 grams of kaolin, 113 grams, ammonium sulfate, mixes laggard air-flow crushing, in mixer, spray into and mediate approximately 180 grams of agent deionized waters, adjust extrusion equipment, carry out extruder grain, it is qualified under 50~80 DEG C of conditions, to dry to moisture, can make 50% Tolfenpyrad dimethyl phenyl carbamate water dispersible granules.
Embodiment 21:
55% Tolfenpyrad dimethyl phenyl carbamate missible oil
Add in agitator tank 500 grams of Tolfenpyrads, 50 grams of dimethyl phenyl carbamate, 0204C60 gram, 15 grams of dodecyl sulphate calcium, 350 grams of 25 grams of vegetable oil of alkylphenol polyoxyethylene, at the uniform velocity stir 2 hours, after liquid stable, obtains 55% Tolfenpyrad dimethyl phenyl carbamate missible oil.
Embodiment 22:
40% Tolfenpyrad dimethyl phenyl carbamate suspending agent
431 grams of deionized waters in suction agitator tank, by in 45 grams of alkylphenol polyoxyethylene formaldehyde condensation products sulphate (SOPA-270), 25 grams of lauryl sodium sulfate (K12), 5 grams of polyoxyethylene nonylphenol ether, 30 grams of alkylphenol polyoxyethylene, 50 grams of propane diols, suction agitator tank, then limit is stirred 300 grams of Tolfenpyrads, 100 grams of dimethyl phenyl carbamate, 2 grams of Sodium Benzoates, 2 grams of xanthans, 10 grams of aluminium-magnesium silicates, is dropped into and shear in tank in order, shears and makes mixing of materials even in 30 minutes.Open cycle water, by material ball milling, with a certain amount of flow, below temperature control 40 degree, fineness is crossed 325 mesh sieves, obtains 40% Tolfenpyrad dimethyl phenyl carbamate suspending agent.
Embodiment 23:
21% Tolfenpyrad dimethyl phenyl carbamate wetting powder
10 grams of Tolfenpyrads, 200 grams of dimethyl phenyl carbamate, 10 grams of polycarboxylates, 30 grams of alkylphenol polyoxyethylene, 20 grams of lauryl sodium sulfate, moistening penetrant m F20 gram, 120 grams of white carbons, 590 grams, diatomite, mixture is fully pulverized through air-flow at normal temperatures, can make 21% Tolfenpyrad dimethyl phenyl carbamate wetting powder.
Embodiment 24:
50% Tolfenpyrad dimethyl phenyl carbamate suspending agent
368 grams of deionized waters in suction agitator tank, by in 40 grams of alkylphenol polyoxyethylene formaldehyde condensation products sulphate (SOPA-270), 25 grams of lauryl sodium sulfate (K12), 5 grams of formaldehyde, 50 grams of ethylene glycol, suction agitator tank, then limit is stirred 100 grams of Tolfenpyrads, 400 grams of dimethyl phenyl carbamate, 2 grams of Sodium Benzoates, 10 grams of white carbons, is dropped into and shear in tank in order, shears and makes mixing of materials even in 30 minutes.Open cycle water, by material ball milling, with a certain amount of flow, below temperature control 40 degree, fineness is crossed 325 mesh sieves, obtains 50% Tolfenpyrad dimethyl phenyl carbamate suspending agent.
Embodiment 25:
61% Tolfenpyrad dimethyl phenyl carbamate wetting powder
10 grams of Tolfenpyrads, 600 grams of dimethyl phenyl carbamate, 15 grams, dinaphthyl methane-disulfonic acid sodium, 25 grams of alkylphenol polyoxyethylene, lauryl sodium sulfate 20, moistening penetrant m F20,120 grams of white carbons, 190 grams of kaolin, mixture is fully pulverized through air-flow at normal temperatures, can make 61% Tolfenpyrad dimethyl phenyl carbamate wetting powder.
Experiment embodiment 1:
For examination insect: maize borer, for subsequent use after 2 ages of artificial feeding.
Reagent agent: provided by Guangxi Tianyuan Biochemical Co., Ltd..
Experimental design: effective lethal concentration scope of determining Tolfenpyrad, the former medicine of Rynaxypyr and the two different proportioning mixture through preliminary experiment, each medicament designs respectively five gradient concentration processing by active constituent content, contrasts with the space management that does not contain former medicine.
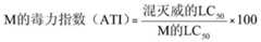
Test method: respectively the mother liquor dilution of Tolfenpyrad, Rynaxypyr and each mixed agent is become to following 5 series concentration when test, be placed in respectively beaker for subsequent use.Adopt and first soak the method that connects worm after corncob bar, the fresh corn male flower fringe bar of the same size that does not contact any medicament is soaked and within 5 seconds, takes out afterwards, naturally dries in the mother liquor configuring, put into insect box, then connect for examination maize borer, under 25 DEG C of constant temperatures, raise, every processing repeats for 3 times, every to repeat examination worm used be 30, establishes blank, within 48 hours after medicine, checks dead borer population, calculate lethality and corrected mortality, try to achieve virulence regression equation and calculate LC50value.If contrast lethality is greater than 10%, be considered as invalid test.Computing formula is as follows:
Figure GDA0000481995260000101
Figure GDA0000481995260000102
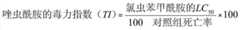
Maize borer corrected mortality is converted into probit value (y), and concentration for the treatment of (μ g/ml) is converted to logarithm value (x), draws virulence regression equation with method of least squares, and calculates thus the value of every kind of medicament.Calculate co-toxicity coefficient CTC according to the abundant equation of Sun Yun.Computing formula following (taking Rynaxypyr as standard medicament, its toxicity index is 100):
Figure GDA0000481995260000103
Figure GDA0000481995260000104
Figure GDA0000481995260000105
In formula: the mixture that M is different proportionings
Ptolfenpyradshared ratio in composition
Prynaxypyrshared ratio in composition
Result of the test is as shown in table 1:
The toxicity test of table 1 Tolfenpyrad proportionings different from Rynaxypyr to maize borer
As shown in Table 1, Tolfenpyrad and Rynaxypyr and composite product are to maize borer Toxicity Determination test discovery, the virulence of Tolfenpyrad is higher than Rynaxypyr, in the time that Tolfenpyrad and Rynaxypyr proportioning are 1:1,2:1,4:1,8:1,12:1, co-toxicity coefficient is all greater than 120, show obvious synergistic effect, Tolfenpyrad thus: Rynaxypyr all has synergistic function between 1:1 to 12:1, especially when Tolfenpyrad: when Rynaxypyr=4:1, co-toxicity coefficient maximum, synergistic effect is the most obvious.
EXPERIMENTAL EXAMPLE 2
For trying insect: paddy rice white-backed planthopper, for subsequent use after 3 generations of artificial feeding.
Reagent agent: provided by Guangxi Tianyuan Biochemical Co., Ltd..
Experimental design: determine effective lethal concentration scope of Tolfenpyrad, dimethyl phenyl carbamate and the two different proportioning mixture through preliminary experiment, each medicament designs respectively five gradient concentration processing by active constituent content, contrasts with the space management that does not contain former medicine.
Test method: respectively the mother liquor dilution of Tolfenpyrad, dimethyl phenyl carbamate and each mixed agent is become to following 5 series concentration when test, be placed in respectively beaker for subsequent use.Adopting first sprays connects the method for worm afterwards, dilution is sparged to the paddy rice in the Sheng phase of tillering of the same size that does not contact any medicament, put into insect box, then connect for examination white-backed planthopper, under 25 DEG C of constant temperatures, raise, every processing repeats for 3 times, every to repeat examination worm used be 20, establishes blank, within 24 hours after medicine, checks dead borer population, calculate lethality and corrected mortality, the virulence regression equation of asking also calculates LC50value.If contrast lethality is greater than 10%, be considered as invalid test.Computing formula is as follows:
Figure GDA0000481995260000112
Figure GDA0000481995260000113
White-backed planthopper corrected mortality is converted into probit value (y), and concentration for the treatment of (μ g/ml) is converted to logarithm value (x), draws virulence regression equation with method of least squares, and calculates thus the value of every kind of medicament.Calculate co-toxicity coefficient CTC according to the abundant equation of Sun Yun.Computing formula following (taking dimethyl phenyl carbamate as standard medicament, its toxicity index is 100):
Figure GDA0000481995260000121
Figure GDA0000481995260000122
Figure GDA0000481995260000123
In formula: the mixture that M is different proportionings
Ptolfenpyradshared ratio in composition
Pdimethyl phenyl carbamateshared ratio in composition
Result of the test is as shown in table 1:
The toxicity test of table 2 Tolfenpyrad proportioning Whitebacked Planthoppers different from dimethyl phenyl carbamate
As shown in Table 2, Tolfenpyrad and dimethyl phenyl carbamate and the test of composite product Whitebacked Planthopper Toxicity Determination are found, the virulence of Tolfenpyrad is higher than dimethyl phenyl carbamate, in the time that Tolfenpyrad and dimethyl phenyl carbamate proportioning are 1:1,10:1,1:1,10:1,1:70, co-toxicity coefficient is all greater than 120, show obvious synergistic effect, Tolfenpyrad thus: dimethyl phenyl carbamate all has synergistic function between 1:1 to 1:70, especially when Tolfenpyrad: when dimethyl phenyl carbamate=1:10, co-toxicity coefficient maximum, synergistic effect is the most obvious.
Experiment embodiment 3 35% Tolfenpyrad Rynaxypyr wetting powders (31:4)
To the control efficiency of peanut root-knot nematode
Place: period is investigated in Guigang, Guangxi: 6 months: 2010
The control efficiency of table 3 35% Tolfenpyrad Rynaxypyr wetting powder to peanut root-knot nematode
Chemicals treatmentUsage amountPreventive effect (%)
60 grams per liter Tolfenpyrad SC30ml/ mu76.8
25% Rynaxypyr dispersibles granula20g/ mu77.1
35% Tolfenpyrad Rynaxypyr wetting powder12g/ mu84.7
35% Tolfenpyrad Rynaxypyr wetting powder15g/ mu90.7
This test adopts the mode of executing along ridge irrigation after medicament dilution to carry out dispenser, from upper table result, 35% Tolfenpyrad Rynaxypyr wetting powder has excellent control efficiency to peanut root-knot nematode, its preventive effect is significantly higher than the preventive effect that these two kinds of compositions use separately, and this combination has obvious synergistic effect as seen.
EXPERIMENTAL EXAMPLE 460% Tolfenpyrad Rynaxypyr water dispersible granules control rice fulgorid
60% Tolfenpyrad Rynaxypyr water dispersible granules according to 1000 times of dilutions after, even spraying, after medicine, 72 hours control rice fulgorid effects are 83.67%~87.25%, 15% Tolfenpyrad missible oil and 25% Rynaxypyr granule dilute respectively 500 times and 2000 times of uses, and after medicine, 72 hours preventive effects are respectively 62.38% and 56.43%.In test, inventor does not find that test medicine has harmful effect to crop, and this medicament is to all safety of the useful insect such as natural enemy insect, honeybee.
The control efficiency of EXPERIMENTAL EXAMPLE 570% Tolfenpyrad Rynaxypyr water dispersible granules to sugarcane moth borer
Place: period is investigated in Liuzhou: 6 months: 2010
The control efficiency of table 4 70% Tolfenpyrad Rynaxypyr water dispersible granules to sugarcane moth borer
Chemicals treatmentUsage amountPreventive effect (%)
60 grams per liter Tolfenpyrad SC20ml/ mu78.8
10% Rynaxypyr microcapsule suspending agent40g/ mu76.3
70% Tolfenpyrad dimethyl phenyl carbamate water dispersible granules8g/ mu89.5
70% Tolfenpyrad dimethyl phenyl carbamate water dispersible granules10g/ mu95.2
As seen from the above table, 70% Tolfenpyrad dimethyl phenyl carbamate water dispersible granules has excellent control efficiency to sugarcane moth borer, the preventive effect that its preventive effect is used separately apparently higher than these two kinds of compositions, and the present invention's combination has obvious synergistic effect as can be seen here.
EXPERIMENTAL EXAMPLE 6 50% Tolfenpyrad dimethyl phenyl carbamate (1:49) the wetting powder control eggplant thrips tests of pesticide effectiveness
50% 500 times of Tolfenpyrad dimethyl phenyl carbamate wetting powders dilution spraying, after medicine, 72 hours control eggplant thrips effects are 95.32%~97.15%.15% Tolfenpyrad missible oil and 20% dimethyl phenyl carbamate missible oil, according to same method, dilute respectively 500 times, and 300 times of uses, and after medicine, 72 hours preventive effects are respectively 62.25% and 42.27%.In test, inventor does not find that test medicine has harmful effect to crop, and this medicament is to natural enemy insect, aquatile safety.
EXPERIMENTAL EXAMPLE 7
The control efficiency of table 5 50% Tolfenpyrad dimethyl phenyl carbamate water dispersible granules to cotton cotton bollworm
Chemicals treatmentUsage amountPreventive effect (%)
60 grams per liter Tolfenpyrad SC20ml/ mu82.7
25% Rynaxypyr dispersibles granula20g/ mu76.7
50% Tolfenpyrad Rynaxypyr dispersibles granula18g/ mu87.9
50% Tolfenpyrad Rynaxypyr dispersibles granula22g/ mu91.5
From upper table 5 result, 50% Tolfenpyrad Rynaxypyr dispersibles granula has excellent control efficiency to cotton cotton bollworm, and its preventive effect is significantly higher than the preventive effect that these two kinds of compositions use separately, and this combination has obvious synergistic effect as seen.
EXPERIMENTAL EXAMPLE 835% Tolfenpyrad dimethyl phenyl carbamate suspending agent (2:33) the control phyllotreta striolata test of pesticide effectiveness
35% Tolfenpyrad dimethyl phenyl carbamate suspending agent (2:33) according to 1000 times of dilutions after, even spraying, after medicine, 72 hours control phyllotreta striolata effects are 83.67%~87.25%, 15% Tolfenpyrad missible oil and 20% dimethyl phenyl carbamate missible oil dilute respectively 500 times and 300 times of uses, and after medicine, 72 hours preventive effects are respectively 62.38% and 56.43%.In test, inventor does not find that test medicine has harmful effect to crop, and this medicament is to all safety of the useful insect such as natural enemy insect, honeybee.
The control efficiency of experiment embodiment 9:30% Tolfenpyrad Rynaxypyr microcapsule suspending agent (20:10) to paddy rice rice clump leaf roll snout moth's larva
Place: period is investigated in Nanning: 7 months: 2011
The control efficiency of table 630% Tolfenpyrad Rynaxypyr microcapsule suspending agent (20:10) to paddy rice rice clump leaf roll snout moth's larva
Chemicals treatmentUsage amount (ml/ mu)Preventive effect (%)
60 grams per liter Tolfenpyrad SC2082.1
5% Rynaxypyr ME4074.6
30% Tolfenpyrad Rynaxypyr microcapsule suspending agent1589.8
30% Tolfenpyrad Rynaxypyr microcapsule suspending agent2095.4
From upper table 6 result, 30% Tolfenpyrad Rynaxypyr microcapsule suspending agent has excellent control efficiency to paddy rice rice clump leaf roll snout moth's larva, and its preventive effect is significantly higher than the preventive effect that these two kinds of compositions use separately, and this combination has obvious synergistic effect as seen.
The control efficiency of experiment embodiment 10:10% Tolfenpyrad fluorine worm benzamide microcapsule suspending agent (7.5:2.5) to rice-stem borer
Place: recommend properly qualified persons for service investigation period in Jiangxi: 6 months: 2010
The control efficiency of table 7 10% Tolfenpyrad fluorine worm benzamide microcapsule suspending agent to rice-stem borer
Chemicals treatmentUsage amount (ml/ mu)Preventive effect (%)
60 grams per liter Tolfenpyrad SC2082.7
0.6% fluorine worm benzamide SC8076.4
10% Tolfenpyrad fluorine worm benzamide microcapsule suspending agent587.8
10% Tolfenpyrad fluorine worm benzamide microcapsule suspending agent892.3
Known by upper table 7 result, the composite preventive effect that the actual preventive effect of rice-stem borer is used separately apparently higher than these two kinds of compositions of Tolfenpyrad and fluorine worm benzamide, the present invention's combination has obvious synergistic effect as can be seen here.
The control efficiency of experiment embodiment 11:6% Tolfenpyrad Rynaxypyr missible oil (2:4) to cotton cotton bollworm
Place: period is investigated in Guilin: 7 months: 2011
The control efficiency of table 8 6% Tolfenpyrad Rynaxypyr missible oil to cotton cotton bollworm
From upper table 8 result, 6% Tolfenpyrad Rynaxypyr missible oil has excellent control efficiency to cotton cotton bollworm, and its preventive effect is significantly higher than the preventive effect that these two kinds of compositions use separately, and this combination has obvious synergistic effect as seen.
EXPERIMENTAL EXAMPLE 12
50% Tolfenpyrad dimethyl phenyl carbamate (25:25) the water dispersible granules control Brown Planthopper test of pesticide effectiveness
This proportioning according to 1500 times of dilutions after, even spraying, after medicine, 72 hours control rice fulgorid effects are that 92.74%~97.32%, 15% Tolfenpyrad missible oil and 20% dimethyl phenyl carbamate missible oil dilute respectively 500 times and 300 times of uses, and after medicine, 72 hours preventive effects are respectively 81.37% and 83.11%.In test, inventor does not find that test medicine has harmful effect to crop, and this medicament is to all safety of the useful insect such as natural enemy insect, honeybee.
The control efficiency of experiment embodiment 13:5% Tolfenpyrad chlorantraniliprole water emulsion (2:3) to brassicaceous vegetable diamond-back moth
Place: period is investigated in Dongguan: 11 months: 2011
The control efficiency of table 9 5% Tolfenpyrad chlorantraniliprole water emulsion to brassicaceous vegetable diamond-back moth
Chemicals treatmentUsage amountPreventive effect (%)
60 grams per liter Tolfenpyrad SC40ml/ mu78.2
1.8% Rynaxypyr WP50g/ mu74.6
5% Tolfenpyrad chlorantraniliprole water emulsion30g/ mu84.7
5% Tolfenpyrad chlorantraniliprole water emulsion40g/ mu92.3
From upper table 9 result, the preventive effect excellence of 5% Tolfenpyrad chlorantraniliprole water emulsion to brassicaceous vegetable diamond-back moth, its preventive effect is significantly higher than the preventive effect that these two kinds of compositions use separately, and this combination has obvious synergistic effect as seen.
EXPERIMENTAL EXAMPLE 14
55% Tolfenpyrad dimethyl phenyl carbamate missible oil (50:5) the control sugarcane two spotted spider mite test of pesticide effectiveness
This proportioning according to 1500 times of dilutions after, even spraying, after medicine, 72 hours control sugarcane two spotted spider mite effects are that 92.13%~95.37%, 15% Tolfenpyrad missible oil and 20% dimethyl phenyl carbamate missible oil dilute respectively 500 times and 300 times of uses, and after medicine, 72 hours preventive effects are respectively 75.43% and 71.72%.In test, inventor does not find that test medicine has harmful effect to crop, and this medicament is to all safety of the useful insect such as natural enemy insect, honeybee.
EXPERIMENTAL EXAMPLE 15
40% Tolfenpyrad dimethyl phenyl carbamate suspending agent (30:10) the control phyllotreta striolata test of pesticide effectiveness
40% Tolfenpyrad dimethyl phenyl carbamate suspending agent (30:10) according to 1500 times of dilutions after, even spraying, after medicine, 72 hours control phyllotreta striolata effects are 82.94%~86.85%, 15% Tolfenpyrad missible oil and 20% dimethyl phenyl carbamate missible oil dilute respectively 500 times and 300 times of uses, and after medicine, 72 hours preventive effects are respectively 70.08% and 60.77%.In test, inventor does not find that test medicine has harmful effect to crop, and this medicament is to all safety of the useful insect such as natural enemy insect, honeybee.
The control efficiency of experiment embodiment 16:7% Tolfenpyrad fluorine worm benzamide microemulsion to paddy rice rice clump leaf roll snout moth's larva
Place: period is investigated in Nanning: 10 months: 2011
The control efficiency of table 10 7% Tolfenpyrad fluorine worm benzamide microemulsion to paddy rice rice clump leaf roll snout moth's larva
Chemicals treatmentUsage amountPreventive effect (%)
60 grams per liter Tolfenpyrad SC20ml/ mu82.1
1.8% fluorine worm benzamide ME40ml/ mu74.8
7% Tolfenpyrad fluorine worm benzamide microemulsion15ml/ mu88.5
7% Tolfenpyrad Rynaxypyr ME20ml/ mu93.4
From upper table 10 result, 7% Tolfenpyrad fluorine worm benzamide microemulsion has excellent control efficiency to paddy rice rice clump leaf roll snout moth's larva, and its preventive effect is significantly higher than the preventive effect that these two kinds of compositions use separately, and this combination has obvious synergistic effect as seen.
EXPERIMENTAL EXAMPLE 1721% Tolfenpyrad dimethyl phenyl carbamate (1:20) the wetting powder control cowpea thrips test of pesticide effectiveness
21% Tolfenpyrad dimethyl phenyl carbamate (1:20) wetting powder is by 500 times of dilution sprayings, and after medicine, 72 hours control eggplant thrips effects are 83.32%~87.15%.15% Tolfenpyrad missible oil and 20% dimethyl phenyl carbamate missible oil, according to same method, dilute respectively 500 times, and 300 times of uses, and after medicine, 72 hours preventive effects are respectively 62.75% and 37.81%.In test, inventor does not find that test medicine has harmful effect to crop, and this medicament is to natural enemy insect, aquatile safety.
EXPERIMENTAL EXAMPLE 1845% Tolfenpyrad dimethyl phenyl carbamate suspending agent (5:40) the control wild cabbage phyllotreta striolata test of pesticide effectiveness
45% Tolfenpyrad dimethyl phenyl carbamate suspending agent (5:40) according to 1000 times of dilutions after, even spraying, after medicine, 72 hours control phyllotreta striolata effects are 87.74%~91.36%, 15% Tolfenpyrad missible oil and 20% dimethyl phenyl carbamate missible oil dilute respectively 500 times and 300 times of uses, and after medicine, 72 hours preventive effects are respectively 62.38% and 46.23%.In test, inventor does not find that test medicine has harmful effect to crop, and this medicament is to all safety of the useful insect such as natural enemy insect, honeybee.
EXPERIMENTAL EXAMPLE 1961% Tolfenpyrad dimethyl phenyl carbamate (1:60) the wetting powder control soybean aphid test of pesticide effectiveness
61% Tolfenpyrad dimethyl phenyl carbamate (1:60) wetting powder is by 3000 times of dilution sprayings, and after medicine, 72 hours control soybean aphid effects are 87.32%~91.25%.15% Tolfenpyrad missible oil and 20% dimethyl phenyl carbamate missible oil, according to same method, dilute respectively 500 times, and 300 times of uses, and after medicine, 72 hours preventive effects are respectively 82.55% and 62.31%.In test, inventor does not find that test medicine has harmful effect to crop, and this medicament is to natural enemy insect, aquatile safety.

Claims (4)

1. containing a Pesticidal combination for Tolfenpyrad, it is characterized in that: active ingredient comprises the first active component Tolfenpyrad and the second active component, the second active component is dimethyl phenyl carbamate; The weight ratio of the first active component and the second active component is 1:10,1:70.
2. the Pesticidal combination containing Tolfenpyrad according to claim 1, is characterized in that: described Pesticidal combination is prepared into suspending agent, water dispersible granules, wetting powder, microcapsule suspending agent, missible oil, aqueous emulsion or microemulsion.
3. the Pesticidal combination containing Tolfenpyrad according to claim 2, is characterized in that: the percentage by weight that the weight summation of described the first active component and the second active component accounts for Pesticidal combination gross weight is 1~70%.
4. the Pesticidal combination containing Tolfenpyrad according to claim 2, is characterized in that: the percentage by weight that the weight summation of described the first active component and the second active component accounts for Pesticidal combination gross weight is 1~35%.
CN201210037400.0A2012-02-202012-02-20Tolfenpyrad-containing insecticidal compositionExpired - Fee RelatedCN102599169B (en)

Priority Applications (1)

Application NumberPriority DateFiling DateTitle
CN201210037400.0ACN102599169B (en)2012-02-202012-02-20Tolfenpyrad-containing insecticidal composition

Applications Claiming Priority (1)

Application NumberPriority DateFiling DateTitle
CN201210037400.0ACN102599169B (en)2012-02-202012-02-20Tolfenpyrad-containing insecticidal composition

Publications (2)

Publication NumberPublication Date
CN102599169A CN102599169A (en)2012-07-25
CN102599169Btrue CN102599169B (en)2014-06-18

Family

ID=46517247

Family Applications (1)

Application NumberTitlePriority DateFiling Date
CN201210037400.0AExpired - Fee RelatedCN102599169B (en)2012-02-202012-02-20Tolfenpyrad-containing insecticidal composition

Country Status (1)

CountryLink
CN (1)CN102599169B (en)

Families Citing this family (5)

* Cited by examiner, † Cited by third party
Publication numberPriority datePublication dateAssigneeTitle
CN102630677A (en)*2012-04-012012-08-15广西田园生化股份有限公司Tolfenpyrad-containing ultra-low volume liquid
CN102726410B (en)*2012-07-122014-05-07江苏龙灯化学有限公司Pesticide composition containing chlorantraniliprole and tolfenpyrad and application thereof
AR099596A1 (en)*2014-03-032016-08-03Bayer Cropscience Ag COMBINATIONS OF ACTIVE COMPOUNDS THAT HAVE INSECTICIATED PROPERTIES
TW201620386A (en)*2014-03-032016-06-16拜耳作物科學股份有限公司Active compound combinations having insecticidal properties
WO2023073566A1 (en)2021-10-292023-05-04Pi Industries Ltd.Oil dispersion formulation

Family Cites Families (4)

* Cited by examiner, † Cited by third party
Publication numberPriority datePublication dateAssigneeTitle
GT200500179BA (en)*2004-07-012008-10-29 SYNERGIST MIXTURES OF ANTRANILAMIDE AGENTS FOR THE CONTROL OF INVERTEBRATE PESTS
JP2006131516A (en)*2004-11-042006-05-25Nippon Nohyaku Co Ltd Pest control composition and method of using the same
WO2007082841A2 (en)*2006-01-202007-07-26Basf SePesticidal mixtures
CN101557710B (en)*2006-12-142015-04-08石原产业株式会社Pesticide composition

Non-Patent Citations (1)

* Cited by examiner, † Cited by third party
Title
JP特開2006-131516A 2006.05.25

Also Published As

Publication numberPublication date
CN102599169A (en)2012-07-25

Similar Documents

PublicationPublication DateTitle
CN102630696A (en)Insecticidal composite containing Cyantraniliprole and anabasine compounds
CN101703054B (en)Insecticidal composition of Cyantraniliprole and methylamino abamectin benzoate
CN103355319A (en)Insecticidal composition containing pyridalyl and biological source
CN102599169B (en)Tolfenpyrad-containing insecticidal composition
CN101669493A (en)Synergistic pesticide combination
CN103004867B (en) Synergistic insecticidal composition
CN108013045A (en)A kind of agricultural insecticide composition containing fluorine pyrrole furanone and Tolfenpyrad
CN102228056B (en)Pesticide composition containing sulfur-fluorine oxime ether and part of organophosphorus pesticides
CN104365606B (en)Dihalo pyrazole amide and Tolfenpyrad complex insecticidal composition
CN102396474B (en)Pesticide composition containing spinetoram and biogenic pesticide
CN103250716B (en)A kind of Pesticidal combination containing spiral shell worm ethyl ester and neires toxin
CN102210320A (en)Sulfoxaflor-containing insecticidal composition
CN104365625A (en)Dihalopyrazole amide and emamectin benzoate compound insecticidal composition
CN102578120B (en)Insecticidal composition containing tolfenpyrad and ivermectin
CN104255735B (en)Pyridalyl and tetrachloro insect amide complex insecticidal composition
CN103125496A (en)Novel insecticide composition compounding pymetrozine
CN102239874A (en)Insecticidal composition containing chlorfenapyr and clothianidin
CN104814031B (en)A kind of Pesticidal combination containing butene-fipronil and clothianidin
CN104222124A (en)Spinetoram and bistrifluron compounded composition
CN103518773B (en)Insecticidal composition with synergism
CN103355340A (en)Insecticidal composition containing pyridalyl
CN102077833A (en)Pesticide composition
CN102771494B (en)Insecticidal composition containing Guadipyr and macrolide pesticide
CN104855399A (en)Insecticidal combination containing butene-fipronil and fluorine benzene worm amide
CN104365638A (en)Dihalopyrazole amide and lufenuron compound insecticidal composition

Legal Events

DateCodeTitleDescription
C06Publication
PB01Publication
C10Entry into substantive examination
SE01Entry into force of request for substantive examination
C14Grant of patent or utility model
GR01Patent grant
CF01Termination of patent right due to non-payment of annual fee

Granted publication date:20140618

CF01Termination of patent right due to non-payment of annual fee

[8]ページ先頭

©2009-2025 Movatter.jp