


技术领域technical field
本发明涉及一种汽轮机故障诊断,特别涉及一种基于CPN网络和D-S证据的汽轮机集成故障诊断方法。The invention relates to a steam turbine fault diagnosis, in particular to a steam turbine integrated fault diagnosis method based on CPN network and D-S evidence.
背景技术Background technique
汽轮发电机组是电力生产企业的主要设备,汽轮机在运行过程中不断产生大量不同的信息,这些信息从不同的方面反映了汽轮机的运行状态。由于汽轮机结构比较复杂,运行环境比较特殊,机组出现故障情况不可避免,且故障种类繁多,有很多故障特征信号,包括温度、压力、振幅、电压、电流、流量、功率等等,而其中以振动信号包含的故障特征最多,更能迅速、直接地反映机组的运行状态,也比较容易被监测和分析。因此,进行汽轮机故障诊断的研究,对于发现故障原因及部位,提高机组的运行可靠性,保障机组安全、经济运行具有重要意义。The steam turbine generator set is the main equipment of the electric power production enterprise. The steam turbine continuously produces a large amount of different information during its operation, which reflects the operation status of the steam turbine from different aspects. Due to the complex structure of the steam turbine and the special operating environment, the failure of the unit is inevitable, and there are many types of failures. There are many failure characteristic signals, including temperature, pressure, amplitude, voltage, current, flow, power, etc., and vibration The signal contains the most fault features, can more quickly and directly reflect the operating status of the unit, and is easier to be monitored and analyzed. Therefore, the study of steam turbine fault diagnosis is of great significance for discovering the cause and location of the fault, improving the operational reliability of the unit, and ensuring the safe and economical operation of the unit.
信息融合技术是将来自不同用途、不同时间、不同空间的信息,通过计算机技术在一定准则下加以自动分析和综合,形成统一的特征表达信息,以使系统获得比单一信息源更准确、更完整的估计和判决的技术。它为解决信息时代的信息处理与决策问题提供了先进而可靠的方法。在多传感器系统中,信息融合的基本原理就像人脑综合处理信息的过程一样,将各种传感器提供的在时间或者空间上冗余或者互补的信息依据某种准则优化组合起来,产生对观测环境的合理描述。信息融合技术应用于设备故障诊断是在对多传感器的信息进行综合处理基础上,实现对设备的实时状态监测、信号的突变预测甚至是故障诊断与报警。在故障诊断领域,信息融合过程可以分为数据层、特征层、决策层三个层次,这三个层次分别代表了对原始数据不同层度的抽象。与传统的故障诊断技术相比,信息融合技术具有更高的诊断准确度和可信度。Information fusion technology is to automatically analyze and synthesize information from different purposes, different times, and different spaces through computer technology under certain criteria to form unified feature expression information, so that the system can obtain more accurate and complete information than a single information source. techniques of estimation and judgment. It provides an advanced and reliable method for solving information processing and decision-making problems in the information age. In a multi-sensor system, the basic principle of information fusion is the same as the process of comprehensive processing of information by the human brain. The redundant or complementary information provided by various sensors in time or space is optimally combined according to certain criteria to generate a pair of observations. A reasonable description of the environment. The application of information fusion technology to equipment fault diagnosis is based on the comprehensive processing of multi-sensor information to realize real-time status monitoring of equipment, signal mutation prediction and even fault diagnosis and alarm. In the field of fault diagnosis, the information fusion process can be divided into three levels: data layer, feature layer, and decision-making layer. These three layers represent different levels of abstraction of the original data. Compared with traditional fault diagnosis technology, information fusion technology has higher diagnostic accuracy and credibility.
信息融合技术中的证据理论是一种不确定性推理方法,首先由Dempster提出,并由Shafer进一步发展起来,形成一套关于证据的数学理论,因而又称为D-S证据理论。D-S证据理论主要是依据可信度函数运算,它是一种解决不确定性问题的数据融合方法。D-S证据理论不需要先验信息,并采用区间估计的方法来描述不确定信息,解决了关于不确定性的表示方法。因此,D-S证据理论具有很强的处理不确定信息的能力,在区分不知道与不确定方面以及精确反映证据收集方面具有很大的灵活性,为不确定信息的表达和合成提供了强有力的方法,特别适应于决策级信息融合,已经在模式识别、故障诊断、问题预测、专家系统等领域得到了广泛应用。Evidence theory in information fusion technology is an uncertainty reasoning method, which was first proposed by Dempster and further developed by Shafer to form a set of mathematical theories about evidence, so it is also called D-S evidence theory. The D-S evidence theory is mainly based on the reliability function calculation, which is a data fusion method to solve the uncertainty problem. D-S evidence theory does not require prior information, and uses the method of interval estimation to describe uncertain information, and solves the expression method of uncertainty. Therefore, D-S evidence theory has a strong ability to deal with uncertain information, has great flexibility in distinguishing unknown from uncertain aspects and accurately reflects evidence collection, and provides a powerful method for the expression and synthesis of uncertain information. The method, especially suitable for decision-level information fusion, has been widely used in pattern recognition, fault diagnosis, problem prediction, expert system and other fields.
对向传播神经网络(Counter-propagation Network,简称CPN)是近年来兴起的一种新型特征映射网络,它可以克服目前常用的BP神经网络陷入局部极小点、学习速度慢和收敛性差的缺陷。CPN神经网络将Kohonen特征映射网络和Grossberg基本竞争型网络结合起来,发挥了各自的特长,适用于故障诊断、模式分类、函数逼近、统计分析以及数据压缩等等。Counter-propagation neural network (CPN for short) is a new type of feature mapping network that has emerged in recent years. It can overcome the defects of the commonly used BP neural network in local minimum points, slow learning speed and poor convergence. The CPN neural network combines the Kohonen feature mapping network and the Grossberg basic competitive network to give full play to their respective strengths and is suitable for fault diagnosis, pattern classification, function approximation, statistical analysis, and data compression.
发明内容Contents of the invention
本发明是针对汽轮机包含振动信号的故障诊断的重要性问题,提出了一种基于CPN网络和D-S证据的汽轮机集成故障诊断方法,以汽轮机转子振动模拟实验装置为试验平台,将从不同传感器采集到的汽轮机振动状态参数作为独立的数据样本,利用CPN神经网络和D-S证据理论的优点,实现对汽轮机当前运行状态进行更准确的诊断和分析。The present invention aims at the importance of the fault diagnosis of steam turbines including vibration signals, and proposes a steam turbine integrated fault diagnosis method based on CPN network and D-S evidence, using the steam turbine rotor vibration simulation experimental The vibration state parameters of the steam turbine are used as independent data samples, and the advantages of the CPN neural network and D-S evidence theory are used to realize more accurate diagnosis and analysis of the current operating state of the steam turbine.
本发明的技术方案为:一种基于CPN网络和D-S证据的汽轮机集成故障诊断方法,方法包括如下具体步骤:The technical scheme of the present invention is: a kind of steam turbine integrated fault diagnosis method based on CPN network and D-S evidence, the method comprises following specific steps:
1)将从汽轮机转子振动模拟试验台上传感器采集到的汽轮机振动状态参数作为独立的数据样本,经过特征提取、处理和参数归一化处理后输入到各自独立的CPN神经网络进行训练,使得每个独立的CPN神经网络都能形成故障征兆到故障模式的非线性映射;1) The vibration state parameters of the steam turbine collected from the sensors on the steam turbine rotor vibration simulation test bench are taken as independent data samples, and after feature extraction, processing and parameter normalization, they are input into the independent CPN neural network for training, so that each Each independent CPN neural network can form a nonlinear mapping from fault symptoms to fault modes;
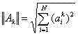
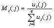
2)应用各自独立的CPN神经网络进行故障诊断后,将CPN神经网络的输出值采用下面公式进行归一化处理,转换成对应该CPN神经网络的各种故障状态的基本概率分配BPA,2) After applying the independent CPN neural network for fault diagnosis, the output value of the CPN neural network is normalized by the following formula, and converted into the basic probability distribution BPA corresponding to various fault states of the CPN neural network,
其中表示第个证据在CPN网络中的第个输出结果;代表第个证据对状态的BPA;in Indicates the first The first evidence in the CPN network an output result; On behalf of evidence pair status BPA;
3)根据D-S证据理论的融合规则对各个故障CPN神经网络的诊断结果进行进一步的数据融合,求得其正交和,即为融合后各状态故障状态的基本概率分配,得到故障诊断结果。3) According to the fusion rules of DS evidence theory, further data fusion is carried out on the diagnosis results of each faulty CPN neural network, and its orthogonal sum is obtained. , which is the basic probability distribution of each fault state after fusion, and the fault diagnosis result is obtained.
本发明的有益效果在于:本发明基于CPN网络和D-S证据的汽轮机集成故障诊断方法,利用CPN神经网络和D-S证据理论的优点,针对电厂汽轮机,将从不同传感器采集到的汽轮机振动状态参数作为独立的数据样本,经过特征提取、处理和参数归一化处理后输入各自独立的CPN神经网络进行训练,使得每个独立的CPN神经网络都能形成故障征兆到故障模式的非线性映射。由于各自独立的故障特征及故障模式存在交集,可利用D-S证据理论方法对各个CPN神经网络的诊断结果进行进一步的数据融合诊断,从而实现对汽轮机当前运行状态进行更准确的诊断和分析。The beneficial effect of the present invention is that: the steam turbine integrated fault diagnosis method based on the CPN network and the D-S evidence of the present invention utilizes the advantages of the CPN neural network and the D-S evidence theory, aiming at the steam turbine of the power plant, the vibration state parameters of the steam turbine collected from different sensors are used as an independent After feature extraction, processing and parameter normalization, the data samples are input into independent CPN neural networks for training, so that each independent CPN neural network can form a nonlinear mapping from fault symptoms to fault modes. Due to the intersection of independent fault characteristics and fault modes, the D-S evidence theory method can be used to carry out further data fusion diagnosis on the diagnosis results of each CPN neural network, so as to realize more accurate diagnosis and analysis of the current operating state of the steam turbine.
附图说明Description of drawings
图1为本发明汽轮机转子振动故障模拟试验台结构示意图;Fig. 1 is the structure schematic diagram of the steam turbine rotor vibration failure simulation test bench of the present invention;
图2为本发明基于CPN网络和D-S证据理论的汽轮机集成故障诊断模型图;Fig. 2 is the steam turbine integrated fault diagnosis model figure based on CPN network and D-S evidence theory of the present invention;
图3为本发明CPN神经网络的拓扑结构图。Fig. 3 is a topological structure diagram of the CPN neural network of the present invention.
具体实施方式Detailed ways
在实际运行中,汽轮机常见的故障有以下几种:转子不平衡、转子不对中、油膜涡动与油膜振荡、支承座松动、转子动静碰磨和轴裂纹故障等。其中,转子不平衡是汽轮机最常见的故障,引起汽轮机同步振动的原因可能有原始质量不平衡、转子热不平衡、转子热弯曲、旋转部件脱落以及转子部件结垢等,这些原因都将导致转子的不平衡故障。在某种工作状态下,转子轴承系统还会发生油膜涡动和油膜振荡的问题,转子轴颈在油膜中的剧烈振动将会直接导致机器零部件的损坏。In actual operation, the common faults of steam turbines are as follows: rotor unbalance, rotor misalignment, oil film whirl and oil film oscillation, loose support seat, rotor dynamic and static friction and shaft crack faults, etc. Among them, rotor unbalance is the most common failure of steam turbines. The causes of synchronous vibration of steam turbines may include unbalanced original mass, thermal imbalance of rotors, thermal bending of rotors, shedding of rotating parts, and fouling of rotor parts. unbalanced fault. Under certain working conditions, the rotor bearing system will also have the problems of oil film whirl and oil film oscillation, and the severe vibration of the rotor journal in the oil film will directly cause damage to machine parts.
本发明基于CPN神经网络和D-S证据理论的汽轮机集成故障诊断方法是以汽轮机转子振动模拟实验装置为试验平台,通过改变转子转速、轴系刚度、质量不平衡、轴承的摩擦和冲击条件以及联轴节的形式,该试验平台可以有效地再现汽轮机所产生的常见振动故障。试验平台包含六个电涡流位移传感器,一个光电传感器以及两个磁电式速度传感器,用于采集故障模拟实验时试验台的实时数据。本发明在试验平台上对汽轮机的常见故障进行模拟,同时对整个升速过程进行采样,以便提供多传感器在不同时刻的故障数据。为了获得所需的故障信号,每种故障实验时候需要在转轴的不同位置安装多个传感器,同时选取传感器的信号进行融合分析。The steam turbine integrated fault diagnosis method based on CPN neural network and D-S evidence theory of the present invention takes the steam turbine rotor vibration simulation experimental device as the test platform, and changes the rotor speed, shafting stiffness, mass imbalance, friction and impact conditions of bearings and coupling In the form of joints, the test platform can effectively reproduce common vibration faults generated by steam turbines. The test platform includes six eddy current displacement sensors, one photoelectric sensor and two magnetoelectric speed sensors, which are used to collect real-time data of the test platform during fault simulation experiments. The invention simulates the common faults of the steam turbine on the test platform, and samples the whole speed-up process at the same time, so as to provide fault data of multiple sensors at different times. In order to obtain the required fault signal, multiple sensors need to be installed at different positions of the rotating shaft during each fault experiment, and the signals of the sensors are selected for fusion analysis.
本发明以油膜涡动与油膜振荡故障为例来说明具体实施方式。The present invention takes oil film whirl and oil film oscillation faults as examples to illustrate the specific implementation.
当汽轮机轴颈在轴瓦中转动时,在轴瓦与轴颈之间的间隙会形成油膜,油膜的流体动压力使轴颈具有承载能力。一旦油膜的承载力与外载荷达到平衡,轴颈便处于平衡位置,而当转轴受到某种外来扰动时,轴承油膜不仅要产生沿偏移方向的弹性恢复力来保持和外来载荷的平衡,而且要产生一个垂直于偏移方向的切向失稳分力来驱动转子形成与转子旋转方向相同的涡动。由于轴颈的涡动速度接近转速的一半,常将其称为“半速涡动”。发生涡动后,无论振幅大小,转子都失去了稳定性,即所谓转子失稳。在一定条件下,转子虽已失稳,但是轴颈可能只在一个很小的范围内涡动,即涡动的振幅很小,从机器运转的角度来看,可能仍然是平稳的。涡动角速度随着工作转速的提高而增加,但总是约等于转动速度的一半,当转轴转速升高到稍高于第一阶临界转速的2倍以后,半速涡动的涡动角速度便与转轴的第一阶临界转速相重合,从而产生共振,表现为强烈的共振现象。同时轴心轨迹突然变成扩散的不规则曲线,若继续提高转速,则转子的涡动频率保持不变,始终等于转子的一阶临界转速,这种现象即为油膜振荡。When the turbine journal rotates in the bearing bush, an oil film is formed in the gap between the bearing bush and the journal, and the hydrodynamic pressure of the oil film makes the journal have bearing capacity. Once the bearing capacity of the oil film is balanced with the external load, the journal is in a balanced position, and when the shaft is disturbed by some external force, the oil film of the bearing not only needs to generate elastic restoring force along the offset direction to maintain the balance with the external load, but also It is necessary to generate a tangential instability component force perpendicular to the offset direction to drive the rotor to form a whirl in the same direction as the rotor rotation. Since the whirl speed of the journal is close to half of the speed, it is often called "half speed whirl". After whirl, regardless of the amplitude, the rotor loses its stability, which is the so-called rotor instability. Under certain conditions, although the rotor has become unstable, the journal may only whirl in a small range, that is, the amplitude of the whirl is very small, and from the perspective of machine operation, it may still be stable. The whirl angular velocity increases with the increase of the working speed, but it is always about half of the rotation speed. When the rotating shaft speed rises to twice the first-order critical speed, the whirl angular velocity of the half-speed whirl becomes It coincides with the first-order critical speed of the rotating shaft, resulting in resonance, which is manifested as a strong resonance phenomenon. At the same time, the trajectory of the shaft center suddenly becomes an irregular curve of diffusion. If the speed continues to increase, the whirl frequency of the rotor remains unchanged, which is always equal to the first-order critical speed of the rotor. This phenomenon is called oil film oscillation.
由于受极限转速的限制,在做油膜振荡试验时,本试验台需要通过增加轮盘的方式将转子系统一阶临界转速降至4000rpm以下,以便在9000rpm附近可以观察到油膜振荡现象。汽轮机转子振动故障模拟试验台如图1所示,电动机1、轴承I4、轴承Ⅱ7、轴承Ⅲ9轴承Ⅳ16固定在基座17上。电动机1和轴承I4之间有联轴器2连接,轴承Ⅱ7和轴承Ⅲ9之间有联轴器8连接,该试验台采用双跨转子,在油膜涡动转轴上离涡动轴承座2/3处装设一个轮盘,转子上装有三个轮盘,分别是5轮盘A、6轮盘B、11轮盘C。沿着转轴的轴向布置了一个光电传感器3和两个电涡流传感器10、12,其中光电传感器3位于电动机1和轴承I4之间联轴器2的右端,用于测量转子的转速和相位;电涡流传感器10为垂直布置而电涡流传感器12为水平布置,用于转子的振幅。安装X、Y方向涡流传感器在涡流传感器支架上,并按要求调整探头到转子表面的距离;把前置放大器的输出信号线接到测振仪上,并将测振仪连接到上位计算机上。试验时,打开针阀式油杯15,直至油从轴承滴下,启动试验电动机,逐渐提高转速,约在3000~4000rpm时,发生涡动,如果涡动没有立即发生,则使用尼龙预负荷棒在涡动轴承端轻轻地抬起轴,继续升高转速直到试验台发生油膜振荡故障。为防止加油过多,试验台在轴承Ⅳ边上有一个回油口14,多余的油流入接油槽13中。Due to the limitation of the limit speed, when doing the oil film oscillation test, the test bench needs to reduce the first-order critical speed of the rotor system to below 4000rpm by adding a wheel, so that the oil film oscillation can be observed near 9000rpm. The steam turbine rotor vibration fault simulation test bench is shown in Figure 1. The motor 1, bearing I4, bearing II7, bearing III9 and bearing IV16 are fixed on the
本发明针对汽轮机转子振动故障模拟实验装置为试验平台,将从不同传感器采集到的汽轮机振动状态参数作为独立的数据样本,经过特征提取、处理和参数归一化处理后输入各自独立的CPN神经网络进行训练,使得每个独立的CPN神经网络都能形成故障征兆到故障模式的非线性映射。由于这些振动故障状态取自于同一模拟试验台,所以各自独立的故障特征及故障模式存在交集,可利用D-S证据理论方法对各个CPN神经网络的诊断结果进行进一步的数据融合,从而实现对汽轮机当前运行状态进行更准确的诊断和分析。图2所示为基于CPN神经网络和D-S证据理论的汽轮机集成故障诊断模型。The present invention aims at the steam turbine rotor vibration fault simulation experiment device as a test platform, takes the steam turbine vibration state parameters collected from different sensors as independent data samples, and inputs them into independent CPN neural networks after feature extraction, processing and parameter normalization processing Training is carried out so that each independent CPN neural network can form a nonlinear mapping from fault symptoms to fault modes. Since these vibration fault states are taken from the same simulation test bench, there are intersections between independent fault features and fault modes. The D-S evidence theory method can be used to carry out further data fusion on the diagnosis results of each CPN neural network, so as to realize the current situation of the steam turbine. run status for more accurate diagnosis and analysis. Figure 2 shows the steam turbine integrated fault diagnosis model based on CPN neural network and D-S evidence theory.
下面介绍本发明具体故障诊断算法的实现过程:Introduce the realization process of concrete fault diagnosis algorithm of the present invention below:
在应用CPN神经网络进行汽轮机故障诊断之前,需要对CPN神经网络进行训练。CPN神经网络的拓扑结构如图3所示,将CPN神经网络符号设置如下:设CPN网络的输入向量为,竞争层的输出向量为,输出层的实际输出向量为,目标输出向量为,其中分别为CPN神经网络输入层、竞争层以及输出层的神经元个数,,其中表示CPN神经网络故障样本的个数。由输入层至竞争层的连接权值向量为;由竞争层到输出层的连接权值向量为。Before applying the CPN neural network to steam turbine fault diagnosis, it is necessary to train the CPN neural network. The topological structure of the CPN neural network is shown in Figure 3, and the symbol of the CPN neural network is set as follows: Let the input vector of the CPN network be , the output vector of the competition layer is , the actual output vector of the output layer is , the target output vector is ,in Respectively, the number of neurons in the input layer, competition layer and output layer of the CPN neural network, ,in Indicates the number of failure samples of the CPN neural network. The connection weight vector from the input layer to the competition layer is ; The connection weight vector from the competition layer to the output layer is .
CPN神经网络的学习过程如下:The learning process of the CPN neural network is as follows:
(1)数据预处理:将所有的输入模式按照公式(1)进行归一化处理,并将连接权向量和赋予[0,1]内的随机值。(1) Data preprocessing: all input modes Normalize according to formula (1), and connect the weight vector and Assign a random value within [0,1].
,,; , , ;
(1)(1)
(2)CPN神经网络训练:(2) CPN neural network training:
1)输入层至竞争层的无教师型学习:1) Teacher-less learning from the input layer to the competition layer:
将连接权值向量按照公式(2)进行归一化处理will concatenate the weight vector Normalize according to formula (2)
, ,; , , ;
(2)(2)
将第个输入模式提供给网络输入层,然后根据公式(3)计算竞争层中每个神经元的加权输入和:will be the first input mode Provided to the network input layer, and then calculate the weighted input sum of each neuron in the competition layer according to formula (3):
, ,
(3)(3)
根据公式(4)求得连接权向量中与距离最近的向量Calculate the connection weight vector according to formula (4) neutralize nearest vector
, ,
(4)(4)
并将其对应的神经元的输出设定为1,其余竞争层神经元的输出设定为0;最后将连接权向量按照公式(5)进行修正,并将连接权重新归一化。and its corresponding neuron Output Set to 1, the output of the rest of the competitive layer neurons Set to 0; finally connect the weight vector Make corrections according to formula (5), and connect the weight Renormalize.
, ,
(5)(5)
其中为学习率,。in is the learning rate, .
2)竞争层到输出层的有教师型学习:2) Teacher-based learning from the competition layer to the output layer:
根据公式(6)来修正竞争层到输出层的连接权向量。Correct the connection weight vector from the competition layer to the output layer according to formula (6) .
, ,
(6)(6)
其中为学习率,。in is the learning rate, .
由于在输入层到竞争层的学习中已经确定竞争层神经元的输出为1,而其他神经元的输出为0,所以只需要修正神经元对应的连接权向量即可,所以上式可以化简成公式(7),Since the neurons of the competitive layer have been determined in the learning from the input layer to the competitive layer The output of the neuron is 1, while the output of other neurons is 0, so only the neuron needs to be corrected The corresponding connection weight vector is enough, so the above formula can be simplified into formula (7),
, ,
(7)(7)
求得输出层各神经元的加权输入,并将其转化为输出层神经元的实际输出值如公式(8)所示。同理可简化如公式(9)中的形式Obtain the weighted input of each neuron in the output layer, and convert it into the actual output value of the neuron in the output layer, as shown in formula (8). Similarly, the form in formula (9) can be simplified as
(8)(8)
(9)(9)
3)CPN网络的重复训练:3) Repeated training of the CPN network:
将个输入模式全部提供给CPN神经网络进行无教师型学习和有教师型学习,完成一次CPN神经网络的训练。再令,将输入模式重新提供给网络学习,直到或者网络误差E小于预定的误差为止。其中为预先设定的学习总次数。Will All input patterns are provided to the CPN neural network for teacher-less learning and teacher-based learning, and a training of the CPN neural network is completed. Reorder , will enter the pattern re-offered to eLearning until Or until the network error E is smaller than a predetermined error. in is the preset total learning times.
(10)(10)
本发明中,对CPN神经网络训练过程算法进行了改进。由于在标准CPN神经网络中,若多次训练的获胜神经元为相同,则算法只对该神经元对应的连接权值进行调整,使得多个输入模式的信息记录在同一个神经元中,这会造成记录的信息混乱的情况,不利于提高CPN神经网络的训练效果。为了避免这种情况,需要人为地干预神经元,使故障模式的信息记录在不同的神经元内,从而提高CPN神经网络训练效果。In the present invention, the algorithm of the training process of the CPN neural network is improved. In the standard CPN neural network, if the winning neuron of multiple trainings is the same, the algorithm only adjusts the connection weight corresponding to the neuron, so that the information of multiple input modes is recorded in the same neuron, which It will cause confusion in the recorded information, which is not conducive to improving the training effect of the CPN neural network. In order to avoid this situation, it is necessary to artificially intervene in neurons, so that the failure mode information is recorded in different neurons, so as to improve the training effect of the CPN neural network.
根据公式(3)计算出,在这些中根据公式(4)选择最大的加权输入和,即为连接权向量中与距离最近的向量。如果的(T为该竞争层神经元被激活次数),则将对应的神经元作为竞争层获胜神经元,并使得的;如果,则选择除外最大的加权输入和,如果的,则将对应的神经元作为竞争层获胜神经元,并使得的,否则依次按加权输入和从大到小的顺序寻找竞争层获胜神经元。通过这样的算法调整,可以将故障模式的信息记录在不同的神经元内。Calculated according to formula (3) , among these Choose the largest weighted input sum according to formula (4) , which is the connection weight vector neutralize The closest vector. if of (T is the number of activations of neurons in the competition layer), then the The corresponding neuron is used as the winning neuron in the competition layer, and makes of ;if , choose to remove The largest weighted input sum outside ,if of , then the The corresponding neuron is used as the winning neuron in the competition layer, and makes of , otherwise press the weighted input and Find the winning neurons in the competition layer in descending order. Through such algorithmic adjustments, information about failure modes can be recorded in different neurons.
在应用CPN神经网络进行故障诊断后,将诊断结果归一化,进一步通过D-S证据理论进行融合诊断,以提高诊断结果的准确性和可靠性。After applying the CPN neural network for fault diagnosis, the diagnosis results are normalized, and the fusion diagnosis is further carried out through the D-S evidence theory to improve the accuracy and reliability of the diagnosis results.
D-S证据理论主要是依据可信度函数运算,它是一种解决不确定性问题的数据融合方法。D-S证据理论不需要先验信息,并采用区间估计的方法来描述不确定信息,解决了关于不确定性的表示方法。The D-S evidence theory is mainly based on the reliability function calculation, which is a data fusion method to solve the uncertainty problem. D-S evidence theory does not require prior information, and uses the method of interval estimation to describe uncertain information, and solves the expression method of uncertainty.
以下是D-S证据理论的相关基本概念:The following are the relevant basic concepts of D-S evidence theory:
1)识别框架的基本概念:1) Identify the basic concepts of the framework:
设为有限集合,为自然数,中有个关于某命题的各种相互独立的可能答案或假设,则共有个子集,其中所有子集的全体用来表示。则该有限集合为识别框架FD(Frame of Discement)。set up is a finite set, is a natural number, There are A variety of independent possible answers or hypotheses about a proposition, then in total subsets, where the whole of all subsets is used To represent. Then the finite set To identify the frame FD (Frame of Discement).
2)概率分配函数的基本概念:2) The basic concept of probability distribution function:
设为识别框架,领域内的命题都由的子集表示,则设函数满足set up To identify frames, propositions in the domain are represented by A subset representation, then let the function satisfy
(11)(11)
则称是上的基本概率分配BPA(Basic Probability Assignment);,为的基本概率数BPN(Basic Probability Number)。then called yes BPA (Basic Probability Assignment) on the basic probability assignment; , for The basic probability number BPN (Basic Probability Number).
的基本可信度分配反映了对本身的可信程度大小。表示对于空集不产生可信度,而表示虽然可以给任意一个命题赋予任意大小的可信度,但要求跟所有命题赋予的可信度的和等1。 The base credibility assignment for The degree of credibility itself. means that for the empty set does not generate credibility, and It means that although any proposition can be assigned any degree of credibility, it is required to be equal to the sum of the credibility assigned to all propositions.
3)信任函数的基本概念:3) The basic concept of trust function:
设为识别框架,为框架上的基本概率分配,则信任函数(Belief Function)为,其中表示的所有子集,又称为下限函数,表示对命题为真的信任程度。set up To identify the frame, for the frame The basic probability distribution on , then the belief function (Belief Function) for ,in express all subsets of , Also known as the lower bound function, it means The degree of confidence that the proposition is true.
4)似然函数的基本概念:4) The basic concept of the likelihood function:
设为上的信任函数,则似然函数为,其中,又称为上限函数或不可驳斥函数。由于表示对为真的信任程度,所以就表示对为真(即为假)的信任程度,因此似然函数表示对为非假的信任程度。set up for The belief function on , then the likelihood function for ,in , Also known as upper limit function or irrefutable function. because express yes is the true degree of trust, so just say yes is true (ie is false), so the likelihood function express yes is the trust level of non-false.
5)焦元的基本概念:5) The basic concept of focal element:
如果,则称为信任函数的焦元,所有焦元的并集称为的核心。if , then called is the trust function The focal element of , the union of all focal elements is called Core.
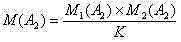
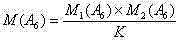
在建立了以上D-S证据理论的基本概念之后,可通过D-S证据理论的融合规则来反映证据联合作用的法则。对于同一事物,根据不同的证据来源,可设和是同一识别框架上的两个信任函数,同时和是其对应的BPA函数,如果它们相互独立,则相应的信任函数和也是相互独立的。根据和可以计算出一个新的BPA函数,相应的信任函数可以根据信任函数的定义通过来求得。设焦元分别为和,且,,,则After establishing the above basic concepts of DS evidence theory, the law of joint action of evidence can be reflected through the fusion rules of DS evidence theory. For the same thing, according to different sources of evidence, it can be set and is the same recognition frame The two trust functions on , and at the same time and is its corresponding BPA function, and if they are independent of each other, the corresponding trust function and are also independent of each other. according to and A new BPA function can be calculated , the corresponding trust function According to the definition of the trust function, it can be passed Come and get it. Let the focal elements be and ,and , , ,but
(12)(12)
其中,。式(12)中,如果,则确定为一个BPA函数;如果,则认为不存在正交和,即不能对BPA进行组合。in, . In formula (12), if ,but identified as a BPA function; if , it is considered that there is no orthogonal sum , that is, BPA cannot be combined.
而多信任函数的合成法则如下:设为同一识别框架上的信任函数,是其对应的基本概率数,如果存在且基本概率数为,则The composition rule of multi-trust function is as follows: for the same recognition frame The trust function on is its corresponding basic probability number, if exists and the basic probability number is ,but
(13)(13)
其中。in .
只有根据现有传感器所获得数据的可靠性以及单个证据的局部诊断结果来构造D-S证据理论全局诊断的基本概率函数,才能使得其中一个传感器所提供的证据能够与其他传感器所获得的证据进行融合,也就是将CPN网络的诊断结果转化为证据推理模型。Only by constructing the basic probability function of the global diagnosis of the D-S evidence theory based on the reliability of the data obtained by the existing sensors and the local diagnosis results of a single evidence, can the evidence provided by one of the sensors be fused with the evidence obtained by other sensors. That is to transform the diagnostic results of the CPN network into evidence reasoning models.
一般情况下,基本概率赋值的获取依靠专家经验,但是可以认为CPN神经网络输出向量中某种故障的输出值大,则相应的故障发生的概率大。所以把CPN神经网络的输出值采用公式(14)进行归一化处理,转换成对应该网络的各种故障状态的基本概率分配BPA,然后根据D-S证据理论的融合规则求得其正交和,即为融合后各状态的BPA。In general, the acquisition of the basic probability assignment depends on expert experience, but it can be considered that the output value of a certain fault in the output vector of the CPN neural network is large, and the probability of the corresponding fault is high. Therefore, the output value of the CPN neural network is normalized by formula (14), converted into the basic probability distribution BPA corresponding to various fault states of the network, and then its orthogonal sum is obtained according to the fusion rules of DS evidence theory , which is the BPA in each state after fusion.
(14)(14)
式(14)中,表示第个证据在CPN网络中的第个输出结果;代表第个证据对状态的BPA。In formula (14), Indicates the first The first evidence in the CPN network an output result; On behalf of evidence pair status of BPA.
在应用D-S证据理论进行融合诊断时,将同一时刻的汽轮机故障诊断的结果作为证据体,在D-S融合模块中进行融合,获取对当前状态判断的融合结果,最终递交判决模块,进行汽轮机故障的状态判断。经上述处理,整个观测判决过程经过了从数据-特征-知识的融合过程,可以有效地避免单一判别的误判或漏判问题,降低了故障诊断的出错率,保证了故障诊断的准确性。When applying the D-S evidence theory for fusion diagnosis, the results of the steam turbine fault diagnosis at the same time are taken as the evidence body, which is fused in the D-S fusion module to obtain the fusion result of the current state judgment, and finally submitted to the judgment module to determine the state of the steam turbine fault judge. After the above processing, the entire observation and judgment process has undergone a fusion process from data-features-knowledge, which can effectively avoid the problem of misjudgment or missed judgment of a single judgment, reduce the error rate of fault diagnosis, and ensure the accuracy of fault diagnosis.
本发明以汽轮机转子振动模拟实验平台的油膜振荡故障为例,根据图1所示试验台,以光电传感器3作为测点①和电涡流传感器10作为测点②处汽轮机油膜振荡故障的频谱数据为例,这些数据将按0-0.39f、0.4-0.49f、0.5f、0.51-0.59f、1f、2f、3f、3-5f、>5f(f为旋转频率)等9个不同频段上的幅值分量能量作为故障特征量,如表1所示汽轮机油膜振荡故障样本。The present invention takes the oil film oscillation fault of the steam turbine rotor vibration simulation experiment platform as an example, according to the test bench shown in Figure 1, with the photoelectric sensor 3 as the measuring point ① and the
表1 Table 1
将两个测点处的故障数据用CPN神经网络进行诊断,得到对应测点的故障诊断结果如表2所示。The fault data at the two measuring points are diagnosed with the CPN neural network, and the fault diagnosis results of the corresponding measuring points are shown in Table 2.
表2 Table 2
根据公式(14)对表2中的数据进行归一化处理,可以得到基本概率分配BPA如表3所示。其中故障空间为轴向碰磨、不对中、轴承座松动、不平衡、油膜涡动、油膜振荡。由于这六种故障状态相互独立,所以只需要计算以下六种独立故障的基本概率分配即可。According to formula (14), the data in Table 2 is normalized, and the basic probability distribution BPA can be obtained, as shown in Table 3. where the failure space is the axial rubbing , misalignment , loose bearing seat ,unbalanced , oil film whirl , oil film oscillation . Since these six fault states are independent of each other, it is only necessary to calculate the basic probability distribution of the following six independent faults.
表3 table 3
上述基本概率函数只是故障的一种可能性描述,无法进一步准确判断,需要对上述基本概率函数进行证据合并。步骤如下:The above basic probability function is only a possible description of the fault, which cannot be further accurately judged. It is necessary to combine evidence for the above basic probability function. Proceed as follows:
1) 计算冲突权值1) Calculate the conflict weight
=1-[0.0235*(0.0072+0.0536+0.1263+0.0269+0.7610)+0.0047*(0.0250+0.0536+0.1263+0.0269+0.7610)+0.0883*(0.0250+0.0072+0.1263+0.0269+0.7610)+0.1366*(0.0250+0.0072+0.0536+0.0269+0.7610)+0.0227*(0.0250+0.0072+0.0536+0.1263+0.7610)+0.7242*(0.0250+0.0072+0.0536+0.1263+0.0269)]=0.5743=1-[0.0235*(0.0072+0.0536+0.1263+0.0269+0.7610)+0.0047*(0.0250+0.0536+0.1263+0.0269+0.7610)+0.0883*(0.0250+0.0072+0.1263+0.0269+0.7610)+0.1366*(0.0250 +0.0072+0.0536+0.0269+0.7610)+0.0227*(0.0250+0.0072+0.0536+0.1263+0.7610)+0.7242*(0.0250+0.0072+0.0536+0.1263+0.0269)]=0.5743
2) 合并之后各可能判决的基本概率函数为:2) The basic probability function of each possible judgment after the merger is:
=0.0235×0.025/0.5743≈0.0010 =0.0235×0.025/0.5743≈0.0010
=0.0047×0.0072/0.5743≈0.0001 =0.0047×0.0072/0.5743≈0.0001
=0.0883×0.0536/0.5743≈0.0082 =0.0883×0.0536/0.5743≈0.0082
=0.1366×0.1263/0.5743≈0.0300 =0.1366×0.1263/0.5743≈0.0300
=0.0227×0.0269/0.5743≈0.0011 =0.0227×0.0269/0.5743≈0.0011
=0.7242×0.7610/0.5743≈0.9596 =0.7242×0.7610/0.5743≈0.9596
CPN神经网络的输出结果经过D-S证据理论处理之后,得到最终的融合结果与融合之前CPN神经网络诊断结果的比较如表4所示。After the output of the CPN neural network is processed by the D-S evidence theory, the comparison between the final fusion result and the diagnosis result of the CPN neural network before fusion is shown in Table 4.
表4Table 4
从上述计算结果可以看出,融合之前对油膜振荡故障的诊断结果分别为0.8714和0.9031,融合之后该观测结果上升为0.9596,而融合前后对其他故障的诊断值则大幅度下降。可以看出,对从测点①和测点②得到的两个证据体的诊断结果进行融合,进一步增强了对判据的支持,使得各个命题的区分更加明显,有利于对真实命题的判别,实现更加准确和可靠的故障诊断。From the above calculation results, it can be seen that the diagnostic results of oil film oscillation faults before fusion were 0.8714 and 0.9031, and after fusion, the observation results increased to 0.9596, while the diagnostic values of other faults decreased significantly before and after fusion. It can be seen that the fusion of the diagnostic results of the two evidence bodies obtained from the measurement point ① and the measurement point ② further enhances the accuracy of the criterion. The support of each proposition makes the distinction of each proposition more obvious, which is beneficial to the discrimination of the real proposition and realizes a more accurate and reliable fault diagnosis.
| Application Number | Priority Date | Filing Date | Title |
|---|---|---|---|
| CN2012100507549ACN102589890A (en) | 2012-03-01 | 2012-03-01 | Integrated fault diagnostic method of steam turbine based on CPN (counter-propagation network) and D-S (dempster-shafer) evidences |
| Application Number | Priority Date | Filing Date | Title |
|---|---|---|---|
| CN2012100507549ACN102589890A (en) | 2012-03-01 | 2012-03-01 | Integrated fault diagnostic method of steam turbine based on CPN (counter-propagation network) and D-S (dempster-shafer) evidences |
| Publication Number | Publication Date |
|---|---|
| CN102589890Atrue CN102589890A (en) | 2012-07-18 |
| Application Number | Title | Priority Date | Filing Date |
|---|---|---|---|
| CN2012100507549APendingCN102589890A (en) | 2012-03-01 | 2012-03-01 | Integrated fault diagnostic method of steam turbine based on CPN (counter-propagation network) and D-S (dempster-shafer) evidences |
| Country | Link |
|---|---|
| CN (1) | CN102589890A (en) |
| Publication number | Priority date | Publication date | Assignee | Title |
|---|---|---|---|---|
| CN102928231A (en)* | 2012-11-13 | 2013-02-13 | 上海电力学院 | Equipment fault diagnosis method based on D-S (Dempster-Shafer) evidence theory |
| CN103207070A (en)* | 2013-04-09 | 2013-07-17 | 苏州经贸职业技术学院 | Method for diagnosing failure of rotary machine by fusing oil and vibration |
| CN103557884A (en)* | 2013-09-27 | 2014-02-05 | 杭州银江智慧城市技术集团有限公司 | Multi-sensor data fusion early warning method for monitoring electric transmission line tower |
| CN106447040A (en)* | 2016-09-30 | 2017-02-22 | 湖南科技大学 | Method for evaluating the health state of mechanical equipment based on heterogeneous multi-sensor data fusion |
| CN106503643A (en)* | 2016-10-18 | 2017-03-15 | 上海电力学院 | Tumble detection method for human body |
| CN107729920A (en)* | 2017-09-18 | 2018-02-23 | 江苏海事职业技术学院 | A kind of method for estimating state combined based on BP neural network with D S evidence theories |
| CN108318249A (en)* | 2018-01-24 | 2018-07-24 | 广东石油化工学院 | A kind of method for diagnosing faults of bearing in rotating machinery |
| CN108628968A (en)* | 2018-04-24 | 2018-10-09 | 哈尔滨汽轮机厂有限责任公司 | A kind of steam turbine measuring point historical data base method for building up |
| CN109583036A (en)* | 2018-11-05 | 2019-04-05 | 中国航空工业集团公司西安飞机设计研究所 | A kind of distribution method of the fault detection rate of integrated failure |
| CN109948636A (en)* | 2017-12-21 | 2019-06-28 | 北京京东尚科信息技术有限公司 | Data fusion method and device |
| CN111082402A (en)* | 2019-12-31 | 2020-04-28 | 西安理工大学 | Prediction method for cascading failure sequence of power transmission network |
| CN112082639A (en)* | 2019-06-14 | 2020-12-15 | 现代自动车株式会社 | Engine state diagnosis method and diagnosis modeling method thereof |
| CN113033600A (en)* | 2021-02-02 | 2021-06-25 | 湖南科技大学 | Rotor misalignment state identification method based on improved D-S evidence fusion |
| CN116318986A (en)* | 2023-03-15 | 2023-06-23 | 华中科技大学 | Network security situation assessment method combining ACPN algorithm and rough set analysis |
| Publication number | Priority date | Publication date | Assignee | Title |
|---|---|---|---|---|
| CN1389710A (en)* | 2002-07-18 | 2003-01-08 | 上海交通大学 | Multiple-sensor and multiple-object information fusing method |
| US20030103667A1 (en)* | 2001-12-05 | 2003-06-05 | New Mexico Technical Research Foundation | Neural network model for compressing/decompressing image/acoustic data files |
| CN101539241A (en)* | 2009-05-07 | 2009-09-23 | 北京航空航天大学 | Hierarchical multi-source data fusion method for pipeline linkage monitoring network |
| US7613360B2 (en)* | 2006-02-01 | 2009-11-03 | Honeywell International Inc | Multi-spectral fusion for video surveillance |
| CN101713776A (en)* | 2009-11-13 | 2010-05-26 | 长春迪瑞实业有限公司 | Neural network-based method for identifying and classifying visible components in urine |
| CN102175282A (en)* | 2011-01-24 | 2011-09-07 | 长春工业大学 | Method for diagnosing fault of centrifugal air compressor based on information fusion |
| Publication number | Priority date | Publication date | Assignee | Title |
|---|---|---|---|---|
| US20030103667A1 (en)* | 2001-12-05 | 2003-06-05 | New Mexico Technical Research Foundation | Neural network model for compressing/decompressing image/acoustic data files |
| CN1389710A (en)* | 2002-07-18 | 2003-01-08 | 上海交通大学 | Multiple-sensor and multiple-object information fusing method |
| US7613360B2 (en)* | 2006-02-01 | 2009-11-03 | Honeywell International Inc | Multi-spectral fusion for video surveillance |
| CN101539241A (en)* | 2009-05-07 | 2009-09-23 | 北京航空航天大学 | Hierarchical multi-source data fusion method for pipeline linkage monitoring network |
| CN101713776A (en)* | 2009-11-13 | 2010-05-26 | 长春迪瑞实业有限公司 | Neural network-based method for identifying and classifying visible components in urine |
| CN102175282A (en)* | 2011-01-24 | 2011-09-07 | 长春工业大学 | Method for diagnosing fault of centrifugal air compressor based on information fusion |
| Title |
|---|
| 彭文季等: "基于对向传播神经网络的水电机组振动故障诊断研究", 《西安理工大学学报》, vol. 22, no. 4, 31 December 2006 (2006-12-31), pages 366* |
| 徐春梅等: "基于改进D-S的汽轮机组集成故障诊断研究", 《系统仿真学报》, vol. 23, no. 10, 31 October 2011 (2011-10-31), pages 2191 - 2193* |
| Publication number | Priority date | Publication date | Assignee | Title |
|---|---|---|---|---|
| CN102928231A (en)* | 2012-11-13 | 2013-02-13 | 上海电力学院 | Equipment fault diagnosis method based on D-S (Dempster-Shafer) evidence theory |
| CN103207070A (en)* | 2013-04-09 | 2013-07-17 | 苏州经贸职业技术学院 | Method for diagnosing failure of rotary machine by fusing oil and vibration |
| CN103207070B (en)* | 2013-04-09 | 2015-08-26 | 苏州经贸职业技术学院 | The rotary machinery fault diagnosis method that fluid merges mutually with vibration |
| CN103557884A (en)* | 2013-09-27 | 2014-02-05 | 杭州银江智慧城市技术集团有限公司 | Multi-sensor data fusion early warning method for monitoring electric transmission line tower |
| CN103557884B (en)* | 2013-09-27 | 2016-06-29 | 杭州银江智慧城市技术集团有限公司 | A kind of Fusion method for early warning of electric power line pole tower monitoring |
| CN106447040B (en)* | 2016-09-30 | 2018-11-23 | 湖南科技大学 | Mechanical equipment health state evaluation method based on Heterogeneous Multi-Sensor Data fusion |
| CN106447040A (en)* | 2016-09-30 | 2017-02-22 | 湖南科技大学 | Method for evaluating the health state of mechanical equipment based on heterogeneous multi-sensor data fusion |
| CN106503643A (en)* | 2016-10-18 | 2017-03-15 | 上海电力学院 | Tumble detection method for human body |
| CN106503643B (en)* | 2016-10-18 | 2019-06-28 | 上海电力学院 | Tumble detection method for human body |
| CN107729920A (en)* | 2017-09-18 | 2018-02-23 | 江苏海事职业技术学院 | A kind of method for estimating state combined based on BP neural network with D S evidence theories |
| CN109948636A (en)* | 2017-12-21 | 2019-06-28 | 北京京东尚科信息技术有限公司 | Data fusion method and device |
| CN108318249B (en)* | 2018-01-24 | 2020-04-17 | 广东石油化工学院 | Fault diagnosis method for rotary mechanical bearing |
| CN108318249A (en)* | 2018-01-24 | 2018-07-24 | 广东石油化工学院 | A kind of method for diagnosing faults of bearing in rotating machinery |
| CN108628968A (en)* | 2018-04-24 | 2018-10-09 | 哈尔滨汽轮机厂有限责任公司 | A kind of steam turbine measuring point historical data base method for building up |
| CN108628968B (en)* | 2018-04-24 | 2022-06-21 | 哈尔滨汽轮机厂有限责任公司 | Turbine measuring point historical database establishing method |
| CN109583036A (en)* | 2018-11-05 | 2019-04-05 | 中国航空工业集团公司西安飞机设计研究所 | A kind of distribution method of the fault detection rate of integrated failure |
| CN112082639A (en)* | 2019-06-14 | 2020-12-15 | 现代自动车株式会社 | Engine state diagnosis method and diagnosis modeling method thereof |
| CN111082402A (en)* | 2019-12-31 | 2020-04-28 | 西安理工大学 | Prediction method for cascading failure sequence of power transmission network |
| CN111082402B (en)* | 2019-12-31 | 2022-01-07 | 西安理工大学 | Prediction method for cascading failure sequence of power transmission network |
| CN113033600A (en)* | 2021-02-02 | 2021-06-25 | 湖南科技大学 | Rotor misalignment state identification method based on improved D-S evidence fusion |
| CN113033600B (en)* | 2021-02-02 | 2022-05-27 | 湖南科技大学 | Rotor misalignment state identification method based on improved D-S evidence fusion |
| CN116318986A (en)* | 2023-03-15 | 2023-06-23 | 华中科技大学 | Network security situation assessment method combining ACPN algorithm and rough set analysis |
| Publication | Publication Date | Title |
|---|---|---|
| CN102589890A (en) | Integrated fault diagnostic method of steam turbine based on CPN (counter-propagation network) and D-S (dempster-shafer) evidences | |
| Zhao et al. | Fault diagnosis of wind turbine bearing based on variational mode decomposition and Teager energy operator | |
| Jayaswal et al. | Development of EBP-Artificial neural network expert system for rolling element bearing fault diagnosis | |
| CN112665852B (en) | Variable working condition planetary gearbox fault diagnosis method and device based on deep learning | |
| Huang et al. | Fault analysis and diagnosis system for induction motors | |
| Loh et al. | Vibration‐based system identification of wind turbine system | |
| CN102609764A (en) | CPN neural network-based fault diagnosis method for stream-turbine generator set | |
| Shang et al. | Fault diagnosis method of rolling bearing based on deep belief network | |
| CN106762343A (en) | The diagnostic method of the hydraulic generator set thrust bearing failure based on online data | |
| Long et al. | A CBA‐KELM‐Based Recognition Method for Fault Diagnosis of Wind Turbines with Time‐Domain Analysis and Multisensor Data Fusion | |
| CN115563853A (en) | Rolling bearing fault diagnosis method based on digital twinning | |
| CN106525337A (en) | Water-turbine generator-set magnetic pull force imbalance fault analysis method based on online data | |
| CN114358074A (en) | Data-driven rotor system typical fault diagnosis method | |
| CN116499742A (en) | Rotary machine fault monitoring method based on ensemble learning | |
| CN114755017A (en) | Variable-speed bearing fault diagnosis method of cross-domain data driving unsupervised field shared network | |
| Wang et al. | Rolling bearing fault diagnosis method based on dynamic simulated model from source domain to target domain with improved alternating transfer learning | |
| CN109765786B (en) | Evidence filtering-based method for detecting imbalance fault of motor rotating shaft of electric ship | |
| Tian et al. | Fault diagnosis of mine main ventilator based on multi-eigenvalue selection and data fusion | |
| Jeon et al. | Statistical approach to diagnostic rules for various malfunctions of journal bearing system using fisher discriminant analysis | |
| Kumar et al. | Neural network based vibration analysis with novelty in data detection for a large steam turbine | |
| JP7600048B2 (en) | Equipment diagnostic system and equipment diagnostic method | |
| Wen et al. | Fault diagnosis of rolling bearings of different working conditions based on multi-feature spatial domain adaptation | |
| JP2023179851A (en) | Equipment status evaluation system and equipment status evaluation method | |
| Almutairi et al. | A Comprehensive 3-steps methodology for vibration-based fault detection, diagnosis and localization in rotating machines | |
| CN103617350B (en) | A kind of rotating machinery method for diagnosing faults smoothing renewal based on diagnostic evidence |
| Date | Code | Title | Description |
|---|---|---|---|
| C06 | Publication | ||
| PB01 | Publication | ||
| C10 | Entry into substantive examination | ||
| SE01 | Entry into force of request for substantive examination | ||
| C02 | Deemed withdrawal of patent application after publication (patent law 2001) | ||
| WD01 | Invention patent application deemed withdrawn after publication | Application publication date:20120718 |