Disclosure of Invention
The invention provides a frequency offset estimation method and device, which can estimate larger frequency offset, ensure the accuracy of frequency offset estimation, reduce the complexity of implementation and save the cost.
The embodiment of the invention provides the following specific technical scheme:
a method of frequency offset estimation, comprising:
calculating a single pilot frequency offset estimation value based on two pilot frequency sequences contained in the received current subframe;
determining a preset frequency offset initial value corresponding to the single pilot frequency offset estimation value;
calculating a dual-pilot frequency offset estimation value based on two pilot frequency sequences contained in the received current subframe;
and calculating the frequency offset estimation value of the current frame based on the frequency offset initial value and the dual-pilot frequency offset estimation value.
A frequency offset estimation apparatus, comprising:
the first processing unit is used for calculating a single pilot frequency offset estimation value based on two pilot frequency sequences contained in the received current subframe;
the second processing unit is used for determining a preset frequency offset initial value corresponding to the single pilot frequency offset estimation value;
the third processing unit is used for calculating a dual-pilot frequency offset estimation value based on two pilot frequency sequences contained in the received current subframe;
and the fourth processing unit is used for calculating the frequency offset estimation value of the current subframe based on the frequency offset initial value and the dual-pilot frequency offset estimation value.
Based on the technical scheme, in the embodiment of the invention, firstly, a single pilot frequency offset estimation value is calculated based on two pilot frequency sequences contained in a received current subframe, a preset frequency offset initial value corresponding to the single pilot frequency offset estimation value is determined, then, a double pilot frequency offset estimation value is calculated based on the two pilot frequency sequences contained in the received current subframe, and the frequency offset estimation value of the current subframe is calculated based on the frequency offset initial value and the double pilot frequency offset estimation value, so that the frequency offset estimation of the current subframe is realized by combining the single pilot frequency offset estimation and the double pilot frequency offset estimation, the estimation of larger frequency offset is effectively realized, the realization complexity is reduced while the accuracy of the frequency offset estimation is ensured, and the cost is saved.
Detailed Description
In order to realize the estimation of larger frequency deviation, reduce the complexity of realization and save the cost while ensuring the accuracy of the frequency deviation estimation, the invention provides a frequency deviation estimation method and a frequency deviation estimation device, which can estimate the larger frequency deviation, reduce the complexity of realization and save the cost while ensuring the accuracy of the frequency deviation estimation. The method comprises the following steps: the method comprises the steps of calculating a single pilot frequency offset estimation value based on two pilot frequency sequences contained in a received current subframe, determining a preset frequency offset initial value corresponding to the single pilot frequency offset estimation value, calculating a double pilot frequency offset estimation value based on the two pilot frequency sequences contained in the received current subframe, and calculating the frequency offset estimation value of the current subframe based on the frequency offset initial value and the double pilot frequency offset estimation value.
Preferred embodiments of the present invention will be described in detail below with reference to the accompanying drawings.
Referring to fig. 1, in an embodiment of the present invention, a frequency offset estimation apparatus mainly includes the following processing units:
afirst processing unit 101, configured to calculate a single pilot frequency offset estimation value based on two pilot frequency sequences included in a received current subframe;
asecond processing unit 102, configured to determine a preset frequency offset initial value corresponding to the single pilot frequency offset estimation value;
athird processing unit 103, configured to calculate a dual-pilot frequency offset estimation value based on two pilot frequency sequences included in the received current subframe;
afourth processing unit 104, configured to calculate a frequency offset estimation value of the current subframe based on the frequency offset initial value and the dual pilot frequency offset estimation value.
Based on the above system architecture, referring to fig. 2, a detailed method flow of frequency offset estimation in the embodiment of the present invention is as follows:
step 201: and calculating a single pilot frequency offset estimation value based on the two pilot frequency sequences contained in the received current sub-frame.
Pilot frequency is inserted into each sub-frame by using the pilot frequency symbols appointed by the base station side and the terminal side, and referring to fig. 3, one pilot frequency symbol is inserted into the middle position of each time slot of the sub-frame. Fig. 3 shows an example of a normal cyclic prefix subframe (i.e. each slot of the subframe comprises 7 symbols).
When calculating the single pilot frequency offset estimation value based on the two pilot frequency sequences contained in the received current subframe, calculating the single pilot frequency offset estimation value based on any one of the two pilot frequency sequences contained in the received current subframe; or, respectively calculating a corresponding single pilot frequency offset estimation value based on each of two pilot frequency sequences contained in the received current subframe, and then taking the average value of the single pilot frequency offset estimation values.
In the embodiment of the invention, when the corresponding single pilot frequency offset estimation value is calculated based on any pilot frequency sequence contained in the received current subframe, the corresponding channel estimation value is calculated based on any pilot frequency sequence, the channel estimation value is adopted to correct any pilot frequency sequence, then the corrected pilot frequency sequence and the corresponding local pilot frequency sequence are adopted to carry out time domain correlation operation, and the single pilot frequency offset estimation value is calculated based on the time domain correlation operation result.
Preferably, when calculating the single-pilot frequency offset estimation value based on any one of the two pilot frequency sequences and the local pilot frequency sequence included in the received current subframe, a partial sequence of the any one pilot frequency sequence may be intercepted, the local pilot frequency sequence and a sequence with the same length at a corresponding position in the channel estimation value sequence may be intercepted, and then the intercepted channel estimation value is used to correct the intercepted any one pilot frequency sequence and perform subsequent operation.
Preferably, when any one of the two pilot sequences, the local pilot sequence and the channel estimation sequence included in the received current subframe is truncated, the minimum divisor of the truncation length is only 2, 3 or 5, and is preferably an exponential multiple of 2. In the embodiment of the invention, sequences with the same length are respectively intercepted from two ends of the pilot frequency sequence and are reconstructed into sequences with 2 exponential times length so as to carry out frequency offset estimation.
After any one of two pilot sequences contained in the received current subframe is corrected by adopting the channel estimation value, time domain correlation operation is carried out by adopting the corrected pilot sequence and a local pilot sequence, and the method specifically comprises the following steps: and after calculating the inverse discrete Fourier transform of the corrected pilot frequency sequence, multiplying the inverse discrete Fourier transform of the local pilot frequency sequence by the inverse discrete Fourier transform to obtain the time domain correlation operation result of the two. The specific formula is as follows:
w(k)=IDFT(partofRxP(k)/partofH(k))×(IDFT(partofX(k)))*
wherein k is more than or equal to 0 and less than or equal to 2n-1,2nFor the length of the truncated pilot sequence, w (n) represents the time domain correlation operation result, partofrxp (k) represents any one of two pilot sequences included in the truncated current sub-frame, partofh (k) represents the channel estimation value sequence corresponding to the truncated received pilot sequence, and partofx (k) represents the corresponding truncated local pilot sequence.
When calculating the single-pilot frequency offset estimation value based on the time domain correlation operation result, specifically: and calculating the phase difference between the positions of subcarriers where the pilot frequency is located in any one of two pilot frequency sequences contained in the received current sub-frame based on the sequence obtained by time domain correlation operation, and calculating the single pilot frequency offset estimation value according to the phase difference and the predicted subcarrier interval. In the embodiment of the present invention, when the phase difference between the positions of the sub-carriers where the pilot frequency is located is calculated, the average value of the first half and the average value of the second half of the time domain correlation sequence may be respectively calculated, and then the phase difference between the positions of the sub-carriers where the front part and the rear part of the pilot frequency are located may be further calculated. The specific calculation formula is as follows:
wherein k is more than or equal to 0 and less than or equal to 2
n-1Delta phi is the phase difference between the positions of the sub-carriers of the front part and the rear part of the pilot frequency;
where Δ f denotes the predicted subcarrier spacing, Δ Δ f
1Is a single pilot frequency offset estimation.
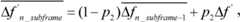
Preferably, the single pilot frequency offset estimation value of the current frame may be filtered by using the single pilot frequency offset estimation value of the previous frame, and the specific formula is as follows:
wherein p is
1Is a filter factor and satisfies 0 ≦ p
1≤1,
Is the frequency offset estimation value of the previous sub-frame.
Step 202: and determining a preset frequency offset initial value corresponding to the single pilot frequency offset estimation value.
The method specifically comprises the following steps: and selecting a range corresponding to the single pilot frequency offset estimation value in each preset range, and determining a frequency offset initial value based on the range corresponding to the single pilot frequency offset estimation value.
In the embodiment of the invention, different ranges are set according to the maximum frequency offset value which possibly appears, the range to which the single pilot frequency offset estimation value belongs is determined, and the corresponding frequency offset initial value is selected, the selection of the initial value and the range value of the double pilot frequency offset estimation are related, namely
Or

And T is the maximum range value of the dual-pilot frequency offset estimation, and n is an integer. For example, assuming that the estimation range of the dual pilot frequency offset is-1000 to 1000 hz, different ranges are set according to the maximum frequency offset value which may occur, and are-1000 to 1000 hz, 1000 to 2000 hz, -2000 to-1000 hz, 2000 to 3000 hz and less than-3000 to-2000 hz respectively, and if the single pilot frequency offset estimation value is determined to belong to-1000 to 1000 hz, zero is taken as the initial value of the frequency offset; if the single pilot frequency offset estimation value is judged to belong to 1000-2000 Hz, taking 1000 as an initial frequency offset value; if the single pilot frequency offset estimation value is judged to belong to-2000 to-1000 Hz, the-1000 Hz is taken as the frequency offset initial value; if the single pilot frequency offset estimation value is judged to be 2000-3000 Hz, taking 2000 Hz as the initial value of the frequency offset; and if the single pilot frequency offset estimation value is determined to be between-3000 and-2000 Hz, then-2000 Hz is taken as the initial value of the frequency offset.
Step 203: and calculating a dual-pilot frequency offset estimation value based on the two pilot frequency sequences contained in the received current subframe.
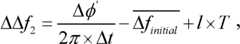
In the embodiment of the invention, the phase difference of two pilot frequency positions is calculated based on two pilot frequency sequences contained in the received current subframe, and a dual-pilot frequency offset estimation value is calculated according to the phase difference of the two pilot frequency positions in the range limited by the frequency offset initial value. The specific calculation formula is as follows:
where Δ φ' is the phase difference between the two pilot positions, H
1(k) Channel estimation values, H, indicating the position of the first pilot of a subframe
2(k) The channel estimation value of the second pilot frequency position of the sub-frame is represented, and the symbol indicates conjugation;
wherein, Δ Δ f
2For the dual pilot frequency offset estimate,
the frequency offset is an initial value of frequency offset, T is a maximum range value of the dual-pilot frequency offset estimation, l is a preset integer, and Δ T is a time interval between two pilots. Here,. DELTA.f
2Limited to a predetermined range, e.g. by Δ Δ f
2The dual pilot frequency offset estimate is computed, i.e., based on the selected frequency offset initial value, limited to a range greater than negative T/2 and less than T/2.
Step 204: and calculating the frequency offset estimation value of the current subframe based on the frequency offset initial value and the dual-pilot frequency offset estimation value.
Taking the sum of the frequency offset initial value and the dual-pilot frequency offset estimation value as the frequency offset estimation value of the current subframe, wherein the specific formula is as follows:
wherein, Delta f' is the frequency deviation estimated value of the current sub-frame, and Delta f
2For the dual pilot frequency offset estimate,
is the initial value of the frequency offset.
Preferably, the frequency offset estimation value of the current subframe is filtered by using the frequency offset estimation value of the previous subframe, and the specific formula is as follows:
wherein,
to obtain a filtered frequency offset estimate, p, of the current subframe frequency offset estimate
2Represents a filter factor and satisfies 0 ≦ p
2≤1,
And representing the frequency offset estimation value of the previous subframe, and delta f' representing the frequency offset estimation value of the current subframe.
And finally, performing frequency compensation on the current subframe by adopting the filtered frequency offset estimation value.
Based on the technical scheme, in the embodiment of the invention, firstly, a single pilot frequency offset estimation value is calculated based on two pilot frequency sequences contained in a received current subframe, a preset frequency offset initial value corresponding to the single pilot frequency offset estimation value is determined, then, a double pilot frequency offset estimation value is calculated based on the two pilot frequency sequences contained in the received current subframe within a range limited by the frequency offset initial value, and the frequency offset estimation value of the current subframe is calculated based on the frequency offset initial value and the double pilot frequency offset estimation value, so that the estimation of the large-amplitude frequency offset of the current subframe is realized by combining the single pilot frequency offset estimation and the double pilot frequency offset estimation, the realization complexity is reduced while the accuracy of the frequency offset estimation is ensured, and the cost is saved.
It will be apparent to those skilled in the art that various changes and modifications may be made in the present invention without departing from the spirit and scope of the invention. Thus, if such modifications and variations of the present invention fall within the scope of the claims of the present invention and their equivalents, the present invention is also intended to include such modifications and variations.