
技术领域technical field
本发明涉及陀螺测斜仪姿态提取技术,具体是一种适用于小角度井斜角测量的陀螺测斜仪姿态测量解算方法。The invention relates to a gyro inclinometer attitude extraction technology, in particular to a gyro inclinometer attitude measurement and resolution method suitable for small-angle well inclination measurement.
背景技术Background technique
陀螺测斜仪主要用于油田生产、矿产勘探中的钻井轨迹测量,其通过加速度计测量钻孔俯仰角和横滚角,利用陀螺仪测量钻孔方位角,由此确定钻孔姿态,便于工程作业人员及时调整钻头,以避免因钻孔盲目性而造成事故,并为井下找孔、旧井及老井的二次开发带来了极大的便利。现有陀螺测斜仪在测量钻孔的大角度井斜角时(井斜角,定义为测斜仪纵轴线与井眼轴线之间的夹角, 井斜角与俯仰角是互为余角关系,它反映井眼的倾斜程度),测量精度通常比较高,但在测量小角度井斜角时,普遍存在方位角和横滚角测量精度差的问题。究其原因,除了有惯性器件本身精度,还有是姿态提取方法的存在的问题。如采用目前所用的姿态角提取方法,在小井斜角测井时,方位角和横滚角的提取计算公式中分子分母都将同时趋于零,使得方位角和横滚角的计算变得不确定,这种情况在测井越接近垂直状态时变得愈发严重,甚至无法正确分辨方位角和横滚角。基于此,有必要发明一种全新的陀螺测斜仪姿态提取方法,以解决现有陀螺测斜仪在小井斜角测量时因姿态提取方法导致方位角和横滚角测量精度差的问题。The gyro inclinometer is mainly used for drilling trajectory measurement in oilfield production and mineral exploration. It measures the pitch angle and roll angle of the drilling hole through the accelerometer, and uses the gyroscope to measure the azimuth angle of the drilling hole, thereby determining the drilling attitude, which is convenient for engineering. Operators adjust the drill bit in time to avoid accidents caused by blind drilling, and bring great convenience to underground hole finding, old wells and secondary development of old wells. When the existing gyro inclinometer measures the large-angle inclination of the borehole (the inclination angle is defined as the angle between the longitudinal axis of the inclinometer and the borehole axis, the inclination angle and the pitch angle are complementary angles to each other. relationship, which reflects the degree of inclination of the wellbore), the measurement accuracy is usually relatively high, but when measuring small-angle inclination angles, there is generally a problem of poor measurement accuracy of azimuth and roll angles. The reason is not only the accuracy of the inertial device itself, but also the problem of the attitude extraction method. If the currently used attitude angle extraction method is used, the numerator and denominator in the calculation formulas for the extraction of azimuth angle and roll angle will both tend to zero at the same time during the logging of small well inclination angle, which makes the calculation of azimuth angle and roll angle difficult. It is determined that this situation becomes more and more serious when the logging is closer to the vertical state, and even the azimuth and roll angles cannot be correctly distinguished. Based on this, it is necessary to invent a new attitude extraction method for gyro inclinometers to solve the problem of poor measurement accuracy of azimuth and roll angles caused by attitude extraction methods for existing gyro inclinometers when measuring small well inclination angles.
发明内容Contents of the invention
本发明为了解决现有陀螺测斜仪在小井斜角测量时因姿态提取方法导致方位角和横滚角测量精度差的问题,提供了一种适用于小角度井斜角测量的陀螺测斜仪姿态测量解算方法。The present invention provides a gyro inclinometer suitable for small-angle well inclination measurement in order to solve the problem of poor measurement accuracy of azimuth and roll angle caused by the attitude extraction method of the existing gyro inclinometer when measuring small well inclination Attitude measurement solution method.
本发明是采用如下技术方案实现的:适用于小角度井斜角测量的陀螺测斜仪姿态测量解算方法,该方法是采用如下步骤实现的:1)采用三轴陀螺仪、三轴加速度计和相应的电子线路组成陀螺测斜仪,并确定陀螺测斜仪的载体坐标系和导航坐标系;2)选取陀螺测斜仪的工作方式,并根据陀螺测斜仪的工作方式选取相应的姿态变换矩阵求解方法,求取姿态变换矩阵;3)通过求取的姿态变换矩阵提取陀螺测斜仪的姿态所对应的俯仰角,根据俯仰角和井斜角之间的关系计算出井斜角,并判断井斜角是否为小角度井斜角;4)若井斜角是小角度井斜角,则利用安装在陀螺测斜仪纵轴方向的陀螺仪作为辅助测量解算出陀螺测斜仪的姿态所对应的横滚角,并利用陀螺测斜仪的姿态所对应的方位角和横滚角之间的关系提取方位角,以此完成陀螺测斜仪的三个姿态角的解算;若井斜角是大角度井斜角,则按大井斜状态完成陀螺测斜仪的三个姿态角的解算。The present invention is realized by adopting the following technical scheme: a gyro inclinometer attitude measurement and solution method suitable for small-angle well inclination measurement, the method is realized by the following steps: 1) using a three-axis gyroscope and a three-axis accelerometer Form the gyro inclinometer with the corresponding electronic circuit, and determine the carrier coordinate system and navigation coordinate system of the gyro inclinometer; 2) Select the working mode of the gyro inclinometer, and select the corresponding attitude according to the working mode of the gyro inclinometer The transformation matrix solution method is to obtain the attitude transformation matrix; 3) the pitch angle corresponding to the attitude of the gyro inclinometer is extracted through the obtained attitude transformation matrix, and the well inclination angle is calculated according to the relationship between the pitch angle and the well inclination angle, and Determine whether the well inclination is a small-angle well inclination; 4) If the well inclination is a small-angle well inclination, use the gyroscope installed in the longitudinal direction of the gyro inclinometer as an auxiliary measurement to calculate the attitude of the gyro inclinometer. The corresponding roll angle, and use the relationship between the azimuth angle and the roll angle corresponding to the attitude of the gyro inclinometer to extract the azimuth angle, so as to complete the calculation of the three attitude angles of the gyro inclinometer; if the inclination angle If it is a large well inclination angle, the calculation of the three attitude angles of the gyro inclinometer is completed according to the large well inclination state.
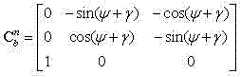
所述步骤1)中,陀螺测斜仪的三轴陀螺仪用来敏感各轴向角速率分量,三轴加速度计用来敏感各轴向加速度,通过三轴陀螺仪和三轴加速度计的输出值来解算陀螺测斜仪的姿态(即钻井的姿态)。在表示陀螺测斜仪的姿态时,陀螺测斜仪采用北东地 地理坐标系为导航坐标系,用表示。陀螺测斜仪载体坐标系三轴分别指向载体的前部、右部和下部,用表示。其中、、为三轴加速度计和三轴陀螺仪的敏感轴方向。导航坐标系到陀螺测斜仪载体坐标系的变换矩阵可通过如下坐标系三次旋转得到,即:In the step 1), the three-axis gyroscope of the gyro inclinometer is used to sense the angular rate components of each axis, and the three-axis accelerometer is used to sense the acceleration of each axis, and the output of the three-axis gyroscope and the three-axis accelerometer value to solve the attitude of the gyro inclinometer (that is, the attitude of drilling). When expressing the attitude of the gyro inclinometer, the gyro inclinometer adopts the The geographic coordinate system is the navigation coordinate system, using express. The three axes of the carrier coordinate system of the gyro inclinometer point to the front, right and bottom of the carrier respectively. express. in , , is the sensitive axis direction of the three-axis accelerometer and three-axis gyroscope. The transformation matrix from the navigation coordinate system to the gyro inclinometer carrier coordinate system can be obtained by three rotations of the following coordinate system, namely:
; ;
上式中:为导航坐标系,、为坐标系变换过程中间坐标系,为陀螺测斜仪载体坐标系,为方位角,为俯仰角,为横滚角,则导航坐标系到陀螺测斜仪载体坐标系的变换矩阵为:In the above formula: is the navigation coordinate system, , is the intermediate coordinate system in the coordinate system transformation process, is the carrier coordinate system of the gyro inclinometer, is the azimuth angle, is the pitch angle, is the roll angle, then the transformation matrix from the navigation coordinate system to the gyro inclinometer carrier coordinate system is:
(1)。 (1).
所述步骤2)中,陀螺测斜仪的工作方式可选取静态测量方式或随钻测量方式;当陀螺测斜仪的工作方式选取静态测量方式时,姿态变换矩阵求解方法采用kalman滤波初始对准方法;当陀螺测斜仪的工作方式选取随钻测量方式时,姿态变换矩阵求解方法采用kalman滤波初始对准方法和四子样等效旋转矢量算法。陀螺测斜仪载体坐标系到导航坐标系的姿态变换矩阵定义为:In the above step 2), the working mode of the gyro inclinometer can be selected as the static measurement mode or the measurement mode while drilling; when the working mode of the gyro inclinometer is selected as the static measurement mode, the attitude transformation matrix solution method adopts kalman filter initial alignment Method: When the working mode of the gyro inclinometer is the measurement while drilling mode, the attitude transformation matrix solution method adopts the kalman filter initial alignment method and the four-sample equivalent rotation vector algorithm. The attitude transformation matrix from the carrier coordinate system of the gyro inclinometer to the navigation coordinate system is defined as:
(2); (2);
又因为,则:also because ,but:
(3); (3);
比较式(2)和式(3)所表达的矩阵元素之间的关系可推导得到姿态角提取公式为:Comparing the relationship between the matrix elements expressed in formula (2) and formula (3), the attitude angle extraction formula can be deduced as:
(4); (4);
式(1)-(4)中:为俯仰角,为方位角,为横滚角。In formula (1)-(4): is the pitch angle, is the azimuth angle, is the roll angle.
所述步骤3)中,根据式(4)提取俯仰角,井斜角与俯仰角互余。In the step 3), the pitch angle is extracted according to formula (4), and the inclination angle and the pitch angle are complementary.
所述步骤4)中,在小角度井斜角时,若利用式(4)提取陀螺测斜仪的姿态角,方位角和横滚角会出现较大的提取误差,方位角和横滚角的姿态提取公式中,、、和也将同时趋于0,使得方位角和横滚角的计算变得不确定,甚至根本无法正确分辨和。In the step 4), if the attitude angle and azimuth angle of the gyro inclinometer are extracted by formula (4) when the well inclination angle is small and roll angle There will be a large extraction error, the azimuth angle and roll angle In the attitude extraction formula of , , , and will also tend to 0 at the same time, making the azimuth and roll angle The calculation of becomes uncertain, and it is even impossible to correctly distinguish and .
由式(2)和(3)所表达的矩阵元素之间的关系可推导得到:The relationship between matrix elements expressed by formulas (2) and (3) can be derived as follows:
(5); (5);
因此由式(5)可得到方位角和横滚角之间的另一种表示:Therefore, the azimuth angle can be obtained from formula (5) and roll angle Another representation between:
(6); (6);
当测井垂直(即井斜角为0)时,俯仰角,式(3)退化为:When the logging is vertical (that is, the inclination angle is 0), the pitch angle , formula (3) degenerates into:
(7); (7);
此时,由式(7)不能解算得到方位角和横滚角,只能解算出的值。因此在提取陀螺测斜仪的姿态角时,先通过辅助测量方法先确定方位角和横滚角其中之一,再由式(6)计算出另一个姿态角值。At this time, the azimuth angle cannot be obtained by formula (7) and roll angle , can only be solved for value. Therefore, when extracting the attitude angle of the gyro inclinometer, first determine the azimuth angle through the auxiliary measurement method and roll angle One of them, and then calculate another attitude angle value by formula (6).
所述辅助测量方法具体如下:The auxiliary measurement method is specifically as follows:
陀螺测斜仪的方位角、俯仰角和横滚角的随时间的变化率与陀螺测斜仪载体坐标系相对于导航坐标系转动的角速度分量、和之间的关系式如下:Azimuth of gyro inclinometer ,Pitch angle and roll angle The rate of change over time and the angular velocity component of the gyro inclinometer carrier coordinate system relative to the navigation coordinate system , and The relationship between them is as follows:
(8); (8);
角速度分量的另一种表达方式如下:angular velocity component Another way of expressing is as follows:
(9); (9);
当陀螺测斜仪选取静态测量方式时,为零。当陀螺测斜仪选取随钻测量方式时,因为钻进的速度很慢,可以近似为零处理。在井斜角接近垂直测井(即井斜角是小角度井斜角)时,式(3)退化为式(7),代入式(9)可整理为:When the gyro inclinometer selects the static measurement mode, to zero. When the gyro inclinometer selects the measurement method while drilling, because the drilling speed is very slow, can be approximated to zero processing. When the well inclination is close to vertical logging (that is, the well inclination is a small angle well inclination), formula (3) degenerates into formula (7), and substituting into formula (9) can be organized as:
(10); (10);
由式(8)和式(10)之间所表达的关系可推导得到:From the relationship expressed between formula (8) and formula (10), it can be deduced that:
(11); (11);
当方位角的变化率很小时,由式(11)可近似得到下式:When the rate of change of the azimuth When is very small, the following formula can be approximated by formula (11):
(12); (12);
式(5)-(12)中:为俯仰角,为方位角,为横滚角,为地球自转速率,为地球自转速率在导航系下的角速度分量,为当地地球纬度, 为陀螺测斜仪载体坐标系相对于导航坐标系转动的角速度分量,、和为陀螺测斜仪载体坐标系相对于惯性坐标系在载体系下的各轴向角速度分量,为导航坐标系相对于惯性坐标系转动的在载体系下的角速度分量。In formula (5)-(12): is the pitch angle, is the azimuth angle, is the roll angle, is the Earth's rotation rate, is the angular velocity component of the earth’s rotation rate in the navigation system, is the local Earth latitude, is the angular velocity component of the rotation of the gyro inclinometer carrier coordinate system relative to the navigation coordinate system, , and are the angular velocity components of each axis of the carrier coordinate system of the gyro inclinometer relative to the inertial coordinate system under the carrier system, is the angular velocity component under the carrier system that the navigation coordinate system rotates relative to the inertial coordinate system.
无论陀螺测斜仪选取何种工作方式,俯仰角均按照式(4)提取,其提取的误差主要取决于姿态变换矩阵的准确度。若井斜角是小角度井斜角,则利用安装在陀螺测斜仪纵轴方向的陀螺仪的输出并按照式(12)积分解算出横滚角,积分计算以上一次大井斜角所解算的横滚角作为积分初值,以减小误差的累积,然后按照式(6)提取方位角。若井斜角是大角度井斜角,则按照式(4)提取方位角和横滚角。Regardless of the working mode of the gyro inclinometer, the pitch angle are extracted according to formula (4), and the extracted error mainly depends on the attitude transformation matrix the accuracy. If the well inclination is a small angle well inclination, use the gyroscope installed in the direction of the longitudinal axis of the gyro inclinometer output and calculate the roll angle according to the integral solution of formula (12) , integrally calculates the roll angle calculated by the last large well inclination angle As the initial value of the integral to reduce the accumulation of errors, and then extract the azimuth according to formula (6) . If the well inclination is a large angle well inclination, then extract the azimuth according to formula (4) and roll angle .
本发明所述的适用于小角度井斜角测量的陀螺测斜仪姿态测量解算方法基于全新的提取原理,保证了当井斜角接近垂直测井时,能够精确计算出陀螺测斜仪的姿态所对应的方位角和横滚角。由此,本发明所述的适用于小角度井斜角测量的陀螺测斜仪姿态测量解算方法彻底解决了现有陀螺测斜仪在小井斜角测量时因姿态提取方法导致方位角和横滚角测量精度差的问题,适用于油田生产、矿产勘探中的钻井轨迹测量。The gyro inclinometer attitude measurement solution method suitable for small-angle well inclination measurement described in the present invention is based on a new extraction principle, which ensures that when the well inclination is close to vertical logging, the gyro inclinometer can be accurately calculated The azimuth and roll angles corresponding to the attitude. Thus, the gyro inclinometer attitude measurement solution method suitable for small-angle well inclination measurement according to the present invention completely solves the problem of azimuth and lateral angles caused by the attitude extraction method of the existing gyro inclinometer when measuring small well inclination angles. The problem of poor roll angle measurement accuracy is suitable for drilling trajectory measurement in oil field production and mineral exploration.
附图说明Description of drawings
图1是本发明的三轴陀螺仪和加速度计的安装方式示意图。Fig. 1 is a schematic diagram of the installation method of the three-axis gyroscope and accelerometer of the present invention.
图中:、、为三轴陀螺仪各轴输出,、、为三轴加速度计各轴输出, 、、为三轴加速度计和三轴陀螺仪的敏感轴方向。In the picture: , , is the output of each axis of the three-axis gyroscope, , , is the output of each axis of the three-axis accelerometer, , , is the sensitive axis direction of the three-axis accelerometer and three-axis gyroscope.
具体实施方式Detailed ways
适用于小角度井斜角测量的陀螺测斜仪姿态测量解算方法,该方法是采用如下步骤实现的:A gyro inclinometer attitude measurement solution method suitable for small-angle well inclination measurement, the method is realized by the following steps:
1)采用三轴陀螺仪、三轴加速度计和相应的电子线路组成陀螺测斜仪,并确定陀螺测斜仪的载体坐标系和导航坐标系;1) Use a three-axis gyroscope, a three-axis accelerometer and corresponding electronic circuits to form a gyro inclinometer, and determine the carrier coordinate system and navigation coordinate system of the gyro inclinometer;
2)选取陀螺测斜仪的工作方式,并根据陀螺测斜仪的工作方式选取相应的姿态变换矩阵求解方法,求取姿态变换矩阵;2) Select the working mode of the gyro inclinometer, and select the corresponding attitude transformation matrix solution method according to the working mode of the gyro inclinometer, and obtain the attitude transformation matrix;
3)通过求取的姿态变换矩阵提取陀螺测斜仪的姿态所对应的俯仰角,根据俯仰角和井斜角之间的关系计算出井斜角,并判断井斜角是否为小角度井斜角;3) Extract the pitch angle corresponding to the attitude of the gyro inclinometer through the obtained attitude transformation matrix, calculate the well inclination angle according to the relationship between the pitch angle and the well inclination angle, and judge whether the well inclination angle is a small angle well inclination angle ;
4)若井斜角是小角度井斜角,则利用安装在陀螺测斜仪纵轴方向的陀螺仪作为辅助测量解算出陀螺测斜仪的姿态所对应的横滚角,并利用陀螺测斜仪的姿态所对应的方位角和横滚角之间的关系提取方位角,以此完成陀螺测斜仪的三个姿态角的解算;若井斜角是大角度井斜角,则按大井斜状态完成陀螺测斜仪的三个姿态角的解算;4) If the well inclination angle is a small angle well inclination angle, use the gyroscope installed in the longitudinal axis direction of the gyro inclinometer as an auxiliary measurement solution to calculate the roll angle corresponding to the attitude of the gyro inclinometer, and use the gyro inclinometer to The relationship between the azimuth angle and the roll angle corresponding to the attitude of the gyro inclinometer is used to extract the azimuth angle, so as to complete the calculation of the three attitude angles of the gyro inclinometer; Complete the calculation of the three attitude angles of the gyro inclinometer;
所述步骤1)中,陀螺测斜仪采用北东地地理坐标系为导航坐标系;In the step 1), the gyro inclinometer adopts the North East ground The geographic coordinate system is the navigation coordinate system;
所述步骤2)中,陀螺测斜仪的工作方式可选取静态测量方式或随钻测量方式;当陀螺测斜仪的工作方式选取静态测量方式时,姿态变换矩阵求解方法采用kalman滤波初始对准方法;当陀螺测斜仪的工作方式选取随钻测量方式时,姿态变换矩阵求解方法采用kalman滤波初始对准方法和四子样等效旋转矢量算法;姿态变换矩阵为:In the above step 2), the working mode of the gyro inclinometer can be selected as the static measurement mode or the measurement mode while drilling; when the working mode of the gyro inclinometer is selected as the static measurement mode, the attitude transformation matrix solution method adopts kalman filter initial alignment Method; when the working mode of the gyro inclinometer is the measurement-while-drilling method, the attitude transformation matrix solution method adopts the kalman filter initial alignment method and the four-sample equivalent rotation vector algorithm; the attitude transformation matrix is:
; ;
上式中:为俯仰角,为方位角,为横滚角;In the above formula: is the pitch angle, is the azimuth angle, is the roll angle;
所述步骤3)中,俯仰角的提取公式如下:;式中:为俯仰角,为;根据俯仰角和井斜角的互余关系计算出井斜角;In the step 3), the pitch angle extraction formula is as follows: ; where: is the pitch angle, for ;Calculate the well inclination angle according to the complementary relationship between the pitch angle and the well inclination angle;
所述步骤4)中,若井斜角是小角度井斜角,横滚角的积分解算公式如下:In the step 4), if the well inclination is a small angle well inclination, the integral solution formula of the roll angle is as follows:
; ;
上式中:为横滚角的变化率,为陀螺测斜仪载体坐标系相对于惯性系转动的角速率分量(即陀螺的测量值),为地球自转速率,为地球纬度,积分计算以上一次大井斜角所解算的横滚角作为积分初值;In the above formula: is the rate of change of the roll angle, is the angular rate component of the rotation of the gyro inclinometer carrier coordinate system relative to the inertial system (that is, the gyro measured value), is the Earth's rotation rate, It is the latitude of the earth, and the roll angle calculated by the last large well inclination angle is calculated integrally as the initial value of the integral;
方位角的提取公式如下:The azimuth extraction formula is as follows:
; ;
上式中:为方位角,为横滚角,为,为,为,为;In the above formula: is the azimuth angle, is the roll angle, for , for , for , for ;
若井斜角是大角度井斜角,方位角和横滚角的提取公式如下:If the well inclination is a high-angle well inclination, the extraction formulas of azimuth and roll angle are as follows:
; ;
上式中,为方位角,为横滚角,为,为,为,为。In the above formula, is the azimuth angle, is the roll angle, for , for , for , for .
| Application Number | Priority Date | Filing Date | Title |
|---|---|---|---|
| CN201110454317.9ACN102536207B (en) | 2011-12-30 | 2011-12-30 | Gyro inclinometer attitude measurement solving method applicable to measurement of low well deviation angle |
| Application Number | Priority Date | Filing Date | Title |
|---|---|---|---|
| CN201110454317.9ACN102536207B (en) | 2011-12-30 | 2011-12-30 | Gyro inclinometer attitude measurement solving method applicable to measurement of low well deviation angle |
| Publication Number | Publication Date |
|---|---|
| CN102536207A CN102536207A (en) | 2012-07-04 |
| CN102536207Btrue CN102536207B (en) | 2014-03-26 |
| Application Number | Title | Priority Date | Filing Date |
|---|---|---|---|
| CN201110454317.9AExpired - Fee RelatedCN102536207B (en) | 2011-12-30 | 2011-12-30 | Gyro inclinometer attitude measurement solving method applicable to measurement of low well deviation angle |
| Country | Link |
|---|---|
| CN (1) | CN102536207B (en) |
| Publication number | Priority date | Publication date | Assignee | Title |
|---|---|---|---|---|
| RU2682087C1 (en)* | 2018-04-18 | 2019-03-14 | Публичное акционерное общество Арзамасское научно-производственное предприятие "ТЕМП-АВИА" | Well zenith angle and azimuth determining method and the gyroscopic inclinometer |
| Publication number | Priority date | Publication date | Assignee | Title |
|---|---|---|---|---|
| CN103075930B (en)* | 2012-12-25 | 2014-09-24 | 中北大学 | Applicable to the measurement method of the initial attitude of the muzzle of a high-speed rotating projectile |
| CN103089243B (en)* | 2013-01-23 | 2015-06-03 | 中北大学 | Measuring method of drilling well azimuth in magnetic casing pipe |
| CN103104251A (en)* | 2013-01-25 | 2013-05-15 | 北京航空航天大学 | Method used for improving accuracy of azimuthal angle and tool face angle of small well inclined downward fiber-optic gyroscope inclinometer |
| CN103631250B (en)* | 2013-02-07 | 2016-02-03 | 中国科学院光电研究院 | A kind of method of elevation axis of antenna tracking accuracy being carried out to ground test |
| CN103670362B (en)* | 2013-12-06 | 2016-05-25 | 贵州盘江矿山机械有限公司 | A kind of mine hydraulic drill rig monitoring system |
| CN103670363B (en)* | 2013-12-06 | 2016-05-25 | 贵州盘江矿山机械有限公司 | Rig operation situation monitoring device |
| CN105443112B (en)* | 2015-11-05 | 2018-11-20 | 中煤科工集团西安研究院有限公司 | The total space error compensating method of mining inclinometer |
| CN105804722A (en)* | 2016-03-10 | 2016-07-27 | 太原理工大学 | Correction method for mining borehole clinometer probe tube |
| CN106917621B (en)* | 2017-01-25 | 2020-02-07 | 重庆大学 | Small-aperture single-gyroscope horizontal well rotation directional inclination measurement device and method |
| CN110082611B (en)* | 2019-04-19 | 2021-03-09 | 中国人民解放军海军工程大学 | A kind of positioning method of electric field measuring device |
| CN111365064B (en)* | 2020-04-30 | 2024-10-25 | 陕西太合智能钻探有限公司 | Mining intrinsic safety type perforating orientation instrument |
| CN112146624B (en)* | 2020-09-25 | 2022-06-21 | 苏州瑞茨柏工程监测技术有限公司 | Measuring method of high-precision inclinometer |
| CN116136169B (en)* | 2021-11-16 | 2025-02-21 | 航天科工惯性技术有限公司 | Instrument deflection measurement method based on gyro inclinometer |
| EP4460619A1 (en) | 2022-01-04 | 2024-11-13 | Services Pétroliers Schlumberger | Systems and methods for azimuth determination while drilling |
| CN114234971B (en)* | 2022-02-28 | 2022-07-19 | 西安星通通信科技有限公司 | Noise-reducing full-attitude IMU attitude calculation method |
| CN115962752B (en)* | 2023-03-16 | 2023-05-16 | 上海米度测控科技有限公司 | Measuring method and measuring equipment for horizontal rotation angle of inclinometer tube |
| CN119466748B (en)* | 2025-01-13 | 2025-04-25 | 青岛智腾科技有限公司 | Well inclination angle measurement method and system based on inertial navigation |
| Publication number | Priority date | Publication date | Assignee | Title |
|---|---|---|---|---|
| EP0077491A1 (en)* | 1981-10-19 | 1983-04-27 | LITEF Litton Techn. Werke der HELLIGE GmbH | Method for azimuth measurement with a gyro |
| US5527003A (en)* | 1994-07-27 | 1996-06-18 | Litton Systems, Inc. | Method for in-field updating of the gyro thermal calibration of an intertial navigation system |
| GB2351808A (en)* | 1999-06-08 | 2001-01-10 | Schlumberger Holdings | Strapdown inertial navigation for a borehole survey |
| CN102050226A (en)* | 2009-10-30 | 2011-05-11 | 航天科工惯性技术有限公司 | Aviation emergency instrument, and system initial alignment method and combined navigation algorithm thereof |
| CN102071924A (en)* | 2011-02-28 | 2011-05-25 | 重庆华渝电气仪表总厂 | Omnibearing continuous measurement method of gyroscopic clinometer |
| CN102108856A (en)* | 2010-12-07 | 2011-06-29 | 西安石油大学 | Small-angle well inclination state measuring method and device |
| CN102134989A (en)* | 2011-03-01 | 2011-07-27 | 重庆华渝电气仪表总厂 | Method for point measurement of well by gyroscopic inclinometer |
| Publication number | Priority date | Publication date | Assignee | Title |
|---|---|---|---|---|
| EP0077491A1 (en)* | 1981-10-19 | 1983-04-27 | LITEF Litton Techn. Werke der HELLIGE GmbH | Method for azimuth measurement with a gyro |
| US5527003A (en)* | 1994-07-27 | 1996-06-18 | Litton Systems, Inc. | Method for in-field updating of the gyro thermal calibration of an intertial navigation system |
| GB2351808A (en)* | 1999-06-08 | 2001-01-10 | Schlumberger Holdings | Strapdown inertial navigation for a borehole survey |
| CN102050226A (en)* | 2009-10-30 | 2011-05-11 | 航天科工惯性技术有限公司 | Aviation emergency instrument, and system initial alignment method and combined navigation algorithm thereof |
| CN102108856A (en)* | 2010-12-07 | 2011-06-29 | 西安石油大学 | Small-angle well inclination state measuring method and device |
| CN102071924A (en)* | 2011-02-28 | 2011-05-25 | 重庆华渝电气仪表总厂 | Omnibearing continuous measurement method of gyroscopic clinometer |
| CN102134989A (en)* | 2011-03-01 | 2011-07-27 | 重庆华渝电气仪表总厂 | Method for point measurement of well by gyroscopic inclinometer |
| Publication number | Priority date | Publication date | Assignee | Title |
|---|---|---|---|---|
| RU2682087C1 (en)* | 2018-04-18 | 2019-03-14 | Публичное акционерное общество Арзамасское научно-производственное предприятие "ТЕМП-АВИА" | Well zenith angle and azimuth determining method and the gyroscopic inclinometer |
| Publication number | Publication date |
|---|---|
| CN102536207A (en) | 2012-07-04 |
| Publication | Publication Date | Title |
|---|---|---|
| CN102536207B (en) | Gyro inclinometer attitude measurement solving method applicable to measurement of low well deviation angle | |
| CN106246168B (en) | A near-bit drilling tool attitude measurement device and measurement method while drilling | |
| US10584575B2 (en) | Utilization of dynamic downhole surveying measurements | |
| EP3312382B1 (en) | Device for measuring gravitational acceleration during state of spinning and extraction method | |
| EP2906782B1 (en) | Attitude reference for tieback/overlap processing | |
| CN206158732U (en) | Nearly drill bit drilling tool gesture is along with boring measuring device | |
| CN111878064A (en) | an attitude measurement method | |
| CN108387205B (en) | Measurement method of drilling tool attitude measurement system based on multi-sensor data fusion | |
| US9273547B2 (en) | Dynamic borehole azimuth measurements | |
| US6145378A (en) | Aided inertial navigation system | |
| CN206091970U (en) | Acceleration of gravity measuring device under rotating shape attitude | |
| US11041376B2 (en) | Gyro-magnetic wellbore surveying | |
| US11175431B2 (en) | Gyro-magnetic wellbore surveying | |
| CN110043248A (en) | A kind of measurement pipe nipple of full posture MWD inclination measurement device | |
| US9976408B2 (en) | Navigation device and method for surveying and directing a borehole under drilling conditions | |
| CN105041295A (en) | Inertia measurement method for well track measurement | |
| CN101725341A (en) | Horizontal well track logging method after three-flexible gyro sensor sleeve | |
| CN110318807A (en) | Determine the endoscope orientation system and its application method of crack attitude in drilling | |
| RU2567064C1 (en) | Determination of well angular orientation | |
| CN119393122A (en) | A method, device, equipment, medium and product for measuring downhole depth of drilling well | |
| CN115162955A (en) | A solid-state gyro-based drilling downhole measurement method and system | |
| CN110130876A (en) | Downhole staggered casing head azimuth detection device and method |
| Date | Code | Title | Description |
|---|---|---|---|
| C06 | Publication | ||
| PB01 | Publication | ||
| C10 | Entry into substantive examination | ||
| SE01 | Entry into force of request for substantive examination | ||
| GR01 | Patent grant | ||
| GR01 | Patent grant | ||
| CF01 | Termination of patent right due to non-payment of annual fee | ||
| CF01 | Termination of patent right due to non-payment of annual fee | Granted publication date:20140326 |