Movatterモバイル変換


[0]ホーム

URL:


CN102536206B - Method for drilling azimuth measurement based on magnetic inclinometer in magnetic casing - Google Patents

Method for drilling azimuth measurement based on magnetic inclinometer in magnetic casing
Download PDF

Info

Publication number
CN102536206B
CN102536206BCN201110454594.XACN201110454594ACN102536206BCN 102536206 BCN102536206 BCN 102536206BCN 201110454594 ACN201110454594 ACN 201110454594ACN 102536206 BCN102536206 BCN 102536206B
Authority
CN
China
Prior art keywords
magnetic
coordinate system
sleeve pipe
inclinometer
formula
Prior art date
Legal status (The legal status is an assumption and is not a legal conclusion. Google has not performed a legal analysis and makes no representation as to the accuracy of the status listed.)
Expired - Fee Related
Application number
CN201110454594.XA
Other languages
Chinese (zh)
Other versions
CN102536206A (en
Inventor
张晓明
刘俊
李�杰
李永慧
龙达峰
崔星
陈国彬
尚剑宇
黄建林
刘喆
蒋窍
李贵珍
Current Assignee (The listed assignees may be inaccurate. Google has not performed a legal analysis and makes no representation or warranty as to the accuracy of the list.)
North University of China
Original Assignee
North University of China
Priority date (The priority date is an assumption and is not a legal conclusion. Google has not performed a legal analysis and makes no representation as to the accuracy of the date listed.)
Filing date
Publication date
Application filed by North University of ChinafiledCriticalNorth University of China
Priority to CN201110454594.XApriorityCriticalpatent/CN102536206B/en
Publication of CN102536206ApublicationCriticalpatent/CN102536206A/en
Application grantedgrantedCritical
Publication of CN102536206BpublicationCriticalpatent/CN102536206B/en
Expired - Fee Relatedlegal-statusCriticalCurrent
Anticipated expirationlegal-statusCritical

Links

Landscapes

Abstract

The invention relates to drilling azimuth measurement techniques, in particular to a method for drilling azimuth measurement based on a magnetic inclinometer in a magnetic casing, which solves the problem that the magnetic inclinometer is interfered by magnetic field of the magnetic casing in drilling azimuth measurement. The method includes the steps: firstly, mounting the magnetic inclinometer referring to gravity and geomagnetic field in the underground magnetic casing; secondly, using a tri-axial accelerator in the magnetic inclinometer for measurement and outputting; thirdly, obtaining drilling inclination angle and tool face angle; fourthly, using a tri-axial magnetic sensor in the magnetic inclinometer for measurement and outputting; fifthly, and obtaining drilling azimuth by calculation. The method solves the problem that the magnetic inclinometer is interfered by the magnetic field of the magnetic casing in drilling azimuth measurement, and is applicable to drilling azimuth measurement for petroleum, coal, geological exploration, mining and projects of bridges, subways and the like.

Description

Method for drilling azimuth measurement based on magnetic inclinometer in a kind of magnetic sleeve pipe
Technical field
The present invention relates to drilling well azimuth determination technology, specifically the method for drilling azimuth measurement based on magnetic inclinometer in a kind of magnetic sleeve pipe.
Background technology
In the engineerings such as oil, coal, geological prospecting, mining and bridge, subway, direction and the Accident prevention generation of advancing for controlling drilling well, need the timely attitude angle of measuring drilling well.Particularly inclined shaft, directional well, the horizontal well in Petroleum Cluster Well and other engineering, requires the certainty of measurement of drilling well attitude angle very high.The magnetic inclinometer being made up of accelerometer and Magnetic Sensor is current conventional well drilling inclination measuring instrument.But the sleeve pipe of drilling well is generally alloy steel and makes, belong to ferromagnetic material, be subject to earth's magnetic field magnetization and produce magnetic, the magnetic inclinometer that therefore can be opposite to wherein produces interference, especially very large on azimuthal measurement impact.Therefore according to existing drilling well azimuth determination technology, require magnetic inclinometer to be applied to not in setting of casing or drilling well or drilling tool without magnetosheath pipe, not only improved the cost of engineering, and certainty of measurement is not high enough, has greatly limited the scope of application of magnetic inclinometer simultaneously.Based on this, be necessary to invent a kind of brand-new drilling well azimuth determination technology, magnetic inclinometer is produced to the problem of disturbing with the magnetic field that solves magnetic sleeve pipe in drilling well azimuth determination.
Summary of the invention
The present invention, for the magnetic field that solves magnetic sleeve pipe in drilling well azimuth determination produces the problem of disturbing to magnetic inclinometer, provides the method for drilling azimuth measurement based on magnetic inclinometer in a kind of magnetic sleeve pipe.
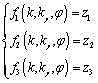
The present invention adopts following technical scheme to realize: the method for drilling azimuth measurement based on magnetic inclinometer in a kind of magnetic sleeve pipe, the method is to adopt following steps to realize: 1) be installed in the magnetic sleeve pipe of down-hole with reference to the magnetic inclinometer in gravity and earth's magnetic field, described magnetic inclinometer comprises a three axis accelerometer and a magnetic sensor, three axis accelerometer is used for measuring gravitational field, and magnetic sensor is used for measuring earth's magnetic field; 2) the acceleration of gravity signal by the three axis accelerometer in magnetic inclinometer, himself being subject to is measured and is exported; 3) utilize the signal of three axis accelerometer output to try to achieve angle of slope and the tool face azimuth of drilling well; 4) by the magnetic sensor in magnetic inclinometer, the magnetic signal in the magnetic sleeve pipe of down-hole is measured and exported; 5) signal that utilizes magnetic sensor to export, in conjunction with the angle of slope and the tool face azimuth that utilize the signal of three axis accelerometer output to try to achieve, calculates the azimuth of drilling well.
In described step 1), sleeve pipe coordinate system (is called for short b system, is fixed on the coordinate system of down-hole magnetic sleeve pipe or drilling well, be verticallyaxle, radially gets
Figure 745271DEST_PATH_IMAGE002
axle and
Figure 201110454594X100002DEST_PATH_IMAGE003
axle) with geographic coordinate system (be called for short n system, three axles are N, E, D, respectively energized north, east,, wherein north orientation is magnetic north) pass be:
When drilling well is without tilting or when zero deflection, sleeve pipe coordinate system
Figure 39986DEST_PATH_IMAGE001
,
Figure 624682DEST_PATH_IMAGE002
,axle with overlap with N, E, the D axle of geographic coordinate system respectively; In the time that drilling well has inclination and deflection, sleeve pipe coordinate system (b system) can obtain by rotation geographic coordinate system (n system).The order of coordinate system rotation is: first by geographic coordinate system (NED) around
Figure 520143DEST_PATH_IMAGE004
axle rotates to coordinate system
Figure 201110454594X100002DEST_PATH_IMAGE005
, the anglec of rotation is azimuth
Figure 747993DEST_PATH_IMAGE006
; Then by coordinate system
Figure 690541DEST_PATH_IMAGE005
around
Figure 201110454594X100002DEST_PATH_IMAGE007
axle rotates to coordinate system
Figure 941525DEST_PATH_IMAGE008
, the anglec of rotation is
Figure 201110454594X100002DEST_PATH_IMAGE009
, be angle of slope
Figure 503088DEST_PATH_IMAGE010
complementary angle; Finally by coordinate system
Figure 710078DEST_PATH_IMAGE008
aroundaxle rotates to coordinate system
Figure 698894DEST_PATH_IMAGE012
, i.e. sleeve pipe coordinate system
Figure 201110454594X100002DEST_PATH_IMAGE013
, the anglec of rotation is tool face azimuth
Figure 686441DEST_PATH_IMAGE014
.Above-mentioned rotation relationship is as follows by matrix notation:
Figure 201110454594X100002DEST_PATH_IMAGE015
(1);
In formula (1):
Figure 723799DEST_PATH_IMAGE016
for be tied to the transition matrix of sleeve pipe coordinate system from geographical coordinate,
Figure 113192DEST_PATH_IMAGE014
for tool face azimuth,
Figure 201110454594X100002DEST_PATH_IMAGE017
for angle of slope
Figure 945013DEST_PATH_IMAGE018
complementary angle,
Figure 201110454594X100002DEST_PATH_IMAGE019
for azimuth.
In described step 1), three axle X, Y, the Z of magnetic inclinometer coordinate system (be called for short c system, be fixed on the coordinate system of magnetic inclinometer) are three sensitive axes of described three axis accelerometer and magnetic sensor; When magnetic inclinometer is installed, make magnetic inclinometer coordinate system overlap with sleeve pipe coordinate system.
Described step 2) in, the acceleration signal that three axis accelerometer measures is:
Figure 419856DEST_PATH_IMAGE020
, according to the transformational relation of sleeve pipe coordinate system and geographic coordinate system, the acceleration signal being recorded by three axis accelerometer is:
Figure 201110454594X100002DEST_PATH_IMAGE021
(2);
In formula (2):
Figure 323221DEST_PATH_IMAGE022
for the acceleration signal of the each axle of three axis accelerometer; G is local gravitational acceleration,
Figure 201110454594X100002DEST_PATH_IMAGE023
).
In described step 3), try to achieve angle of slope
Figure 317853DEST_PATH_IMAGE018
and tool face azimuth
Figure 835422DEST_PATH_IMAGE014
:
Figure 469666DEST_PATH_IMAGE024
,.
In described step 4), under geographic coordinate system, ground magnetic vector is:
Figure 848826DEST_PATH_IMAGE026
(3);
In formula (3):
Figure 201110454594X100002DEST_PATH_IMAGE027
for ground magnetic vector;
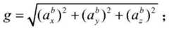
Figure 25860DEST_PATH_IMAGE028
,
Figure 201110454594X100002DEST_PATH_IMAGE029
,for the three axle components of ground magnetic vector under geographic coordinate system;for the mould of ground magnetic vector,
Figure 648920DEST_PATH_IMAGE032
);
Figure 201110454594X100002DEST_PATH_IMAGE033
for working as geomagnetic inclination.
Ground magnetic vector along three axle components of sleeve pipe coordinate system is:
Figure 718306DEST_PATH_IMAGE034
(4);
Due to shielding and the disturbing magnetic field impact of sleeve pipe, the ground magnetic vector being measured by magnetic sensor is:
(5);
In formula (5):
Figure 201110454594X100002DEST_PATH_IMAGE037
for magnetic sensor is measured the ground magnetic vector of output;
Figure 546902DEST_PATH_IMAGE038
for magnetic screening coefficient matrix,,,
Figure 201110454594X100002DEST_PATH_IMAGE041
with
Figure 1334DEST_PATH_IMAGE042
be respectively sleeve pipe along the magnetic screening coefficient on the each direction of principal axis of sleeve pipe coordinate system, wherein due to
Figure 12016DEST_PATH_IMAGE002
,
Figure 793021DEST_PATH_IMAGE003
diaxon, at sleeve pipe footpath equivalence upwards, is supposed
Figure 951470DEST_PATH_IMAGE041
with
Figure 663074DEST_PATH_IMAGE042
equate.
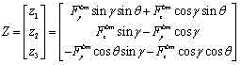
In described step 5), before sleeve pipe is not gone into the well, can be recorded in advance by Magnetic Sensor the magnetic screening coefficient of sleeve pipe,.Now azimuthal expression formula is:
Figure 201110454594X100002DEST_PATH_IMAGE045
(6);
In formula (6):
Figure 355534DEST_PATH_IMAGE046
try to achieve according to three axis accelerometer survey data;
Figure 201110454594X100002DEST_PATH_IMAGE047
recorded by magnetic sensor;for working as geomagnetic inclination;
Figure 329624DEST_PATH_IMAGE044
for sleeve pipe is along sleeve pipe coordinate system
Figure 111635DEST_PATH_IMAGE002
axial magnetic screening coefficient.
If cannot record in advance the magnetic screening coefficient of sleeve pipe, also can be according to magnetic sensor the survey data in down-hole casing, solve the magnetic screening coefficient and the drilling well azimuth that obtain sleeve pipe.By formula (5):
Figure 201110454594X100002DEST_PATH_IMAGE049
(7);
Arrangement formula (7) can obtain equation group:
Figure 234443DEST_PATH_IMAGE050
(8);
Order
Figure 201110454594X100002DEST_PATH_IMAGE051
,
Figure 367484DEST_PATH_IMAGE052
.
Equation group can be expressed as the form of formula (9):
Figure 201110454594X100002DEST_PATH_IMAGE053
(9);
In formula (9):
Figure 233940DEST_PATH_IMAGE054
,
Figure 201110454594X100002DEST_PATH_IMAGE055
,
Figure 949086DEST_PATH_IMAGE056
represent about
Figure 201110454594X100002DEST_PATH_IMAGE057
,
Figure 492063DEST_PATH_IMAGE058
,
Figure 863133DEST_PATH_IMAGE006
function,
Figure 201110454594X100002DEST_PATH_IMAGE059
,
Figure 516968DEST_PATH_IMAGE060
,
Figure DEST_PATH_IMAGE061
in the each equation of expression (8) with
Figure 24304DEST_PATH_IMAGE057
,
Figure 3761DEST_PATH_IMAGE058
,
Figure 596547DEST_PATH_IMAGE006
irrelevant constant component.
According to Taylor expansion:
Figure 991757DEST_PATH_IMAGE062
(10);
Order:
Figure DEST_PATH_IMAGE063
Figure 681495DEST_PATH_IMAGE064
Figure 566275DEST_PATH_IMAGE066
Figure DEST_PATH_IMAGE067
Figure 646357DEST_PATH_IMAGE068
In above matrix,
Figure 907574DEST_PATH_IMAGE057
,
Figure 576453DEST_PATH_IMAGE058
,
Figure 382866DEST_PATH_IMAGE006
for the estimated value of unknown parameter,,
Figure 199512DEST_PATH_IMAGE070
,
Figure DEST_PATH_IMAGE071
for the initial value of unknown parameter,
Figure 737855DEST_PATH_IMAGE072
,
Figure DEST_PATH_IMAGE073
,
Figure 136606DEST_PATH_IMAGE074
for the correction value of unknown parameter;
Figure DEST_PATH_IMAGE075
in the each equation of expression (8) with
Figure 628767DEST_PATH_IMAGE057
,
Figure 683442DEST_PATH_IMAGE058
,
Figure 958566DEST_PATH_IMAGE006
irrelevant constant component;
Figure 664354DEST_PATH_IMAGE076
for
Figure 812569DEST_PATH_IMAGE054
,
Figure 541491DEST_PATH_IMAGE055
,
Figure 682622DEST_PATH_IMAGE056
right
Figure 993649DEST_PATH_IMAGE057
,
Figure 765296DEST_PATH_IMAGE058
,
Figure 778251DEST_PATH_IMAGE006
single order local derviation matrix;
Figure DEST_PATH_IMAGE077
represent to work as
Figure 473806DEST_PATH_IMAGE057
,
Figure 888607DEST_PATH_IMAGE058
,
Figure 831155DEST_PATH_IMAGE006
get initial value
Figure 82139DEST_PATH_IMAGE069
,
Figure 565073DEST_PATH_IMAGE070
,time,,,
Figure 951689DEST_PATH_IMAGE080
value;
Figure DEST_PATH_IMAGE081
for matrix of unknown parameters;
Figure 51363DEST_PATH_IMAGE082
for unknown parameter matrix of initial value;for the correction value matrix of unknown parameter.
Equation group (10) is rewritten as
Figure 925909DEST_PATH_IMAGE084
form, according to
Figure DEST_PATH_IMAGE085
, try to achieve
Figure 85626DEST_PATH_IMAGE086
.Further bytry to achieve
Figure 560470DEST_PATH_IMAGE081
, then by current
Figure 401518DEST_PATH_IMAGE081
carry out iterative as initial value substitution full scale equation group.When
Figure 583101DEST_PATH_IMAGE086
two norms while meeting a certain threshold value (described threshold value is depending on solving precision) iteration finish, visual current
Figure 835091DEST_PATH_IMAGE081
for the optimal solution of equation group, now try to achieve the magnetic screening coefficient of sleeve pipe
Figure 547963DEST_PATH_IMAGE088
and azimuth
Figure 114073DEST_PATH_IMAGE006
.
Based on above-mentioned steps, method for drilling azimuth measurement based on magnetic inclinometer in a kind of magnetic sleeve pipe of the present invention is by processing survey data, having proofreaied and correct the measurement on magnetic inclinometer being produced by down-hole magnetic sleeve pipe affects, and has obtained azimuth accurately.It is operated in without magnetosheath pipe, without in magnetic drilling rod without restriction magnetic inclinometer, has greatly expanded thus the scope of application of magnetic inclinometer.
The magnetic field that the present invention efficiently solves magnetic sleeve pipe in drilling well azimuth determination produces the problem of disturbing to magnetic inclinometer, be applicable to the drilling well azimuth determination in the engineerings such as oil, coal, geological prospecting, mining and bridge, subway.
The specific embodiment
A method for drilling azimuth measurement based on magnetic inclinometer in magnetic sleeve pipe, the method is to adopt following steps to realize:
1) be installed in the magnetic sleeve pipe of down-hole with reference to the magnetic inclinometer in gravity and earth's magnetic field, described magnetic inclinometer comprises a three axis accelerometer and a magnetic sensor, three axis accelerometer is used for measuring gravitational field, and magnetic sensor is used for measuring earth's magnetic field;
2) the acceleration of gravity signal by the three axis accelerometer in magnetic inclinometer, himself being subject to is measured and is exported;
3) utilize the signal of three axis accelerometer output to try to achieve angle of slope and the tool face azimuth of drilling well;
4) by the magnetic sensor in magnetic inclinometer, the magnetic signal in the magnetic sleeve pipe of down-hole is measured and exported;
5) signal that utilizes magnetic sensor to export, in conjunction with the angle of slope and the tool face azimuth that utilize the signal of three axis accelerometer output to try to achieve, calculates the azimuth of drilling well.
In described step 1), sleeve pipe coordinate system (is called for short b system, is fixed on the coordinate system of down-hole magnetic sleeve pipe or drilling well, be vertically
Figure 478059DEST_PATH_IMAGE001
axle, radially getsaxle andaxle) with geographic coordinate system (be called for short n system, three axles are N, E, D, respectively energized north, east,, wherein north orientation is magnetic north) pass be:
When drilling well is without tilting or when zero deflection, sleeve pipe coordinate system
Figure 470919DEST_PATH_IMAGE001
,
Figure 174564DEST_PATH_IMAGE002
,
Figure 971619DEST_PATH_IMAGE003
axle with overlap with N, E, the D axle of geographic coordinate system respectively; In the time that drilling well has inclination and deflection, sleeve pipe coordinate system (b system) can obtain by rotation geographic coordinate system (n system).The order of coordinate system rotation is: first by geographic coordinate system (NED) around
Figure 642772DEST_PATH_IMAGE004
axle rotates to coordinate system
Figure 629313DEST_PATH_IMAGE005
, the anglec of rotation is azimuth; Then by coordinate system
Figure 670268DEST_PATH_IMAGE005
around
Figure 591168DEST_PATH_IMAGE007
axle rotates to coordinate system
Figure 302772DEST_PATH_IMAGE008
, the anglec of rotation is
Figure 230277DEST_PATH_IMAGE009
, be angle of slope
Figure 369134DEST_PATH_IMAGE010
complementary angle; Finally by coordinate system
Figure 765611DEST_PATH_IMAGE008
around
Figure 77644DEST_PATH_IMAGE011
axle rotates to coordinate system
Figure 875967DEST_PATH_IMAGE012
, i.e. sleeve pipe coordinate system, the anglec of rotation is tool face azimuth.Above-mentioned rotation relationship is as follows by matrix notation:
(1);
In formula (1):
Figure 87319DEST_PATH_IMAGE016
for be tied to the transition matrix of sleeve pipe coordinate system from geographical coordinate,
Figure 567979DEST_PATH_IMAGE014
for tool face azimuth,
Figure 673470DEST_PATH_IMAGE017
for angle of slope
Figure 592884DEST_PATH_IMAGE018
complementary angle,
Figure 287171DEST_PATH_IMAGE019
for azimuth.
In described step 1), three axle X, Y, the Z of magnetic inclinometer coordinate system (be called for short c system, be fixed on the coordinate system of magnetic inclinometer) are three sensitive axes of described three axis accelerometer and magnetic sensor; When magnetic inclinometer is installed, make magnetic inclinometer coordinate system overlap with sleeve pipe coordinate system.
Described step 2) in, the acceleration signal that three axis accelerometer measures is:
Figure 751781DEST_PATH_IMAGE020
, according to the transformational relation of sleeve pipe coordinate system and geographic coordinate system, the acceleration signal being recorded by three axis accelerometer is:
Figure 797098DEST_PATH_IMAGE021
(2);
In formula (2):for the acceleration signal of the each axle of three axis accelerometer; G is local gravitational acceleration,
Figure 616466DEST_PATH_IMAGE023
).
In described step 3), try to achieve angle of slopeand tool face azimuth
Figure 33858DEST_PATH_IMAGE014
:
Figure 232758DEST_PATH_IMAGE024
,.
In described step 4), under geographic coordinate system, ground magnetic vector is:
Figure 708050DEST_PATH_IMAGE026
(3);
In formula (3):
Figure 524696DEST_PATH_IMAGE027
for ground magnetic vector;,
Figure 598143DEST_PATH_IMAGE029
,
Figure 90304DEST_PATH_IMAGE030
for the three axle components of ground magnetic vector under geographic coordinate system;
Figure 66350DEST_PATH_IMAGE031
for the mould of ground magnetic vector,
Figure 420102DEST_PATH_IMAGE032
);
Figure 63573DEST_PATH_IMAGE033
for working as geomagnetic inclination.
Ground magnetic vector along three axle components of sleeve pipe coordinate system is:
Figure 461056DEST_PATH_IMAGE034
(4);
Due to shielding and the disturbing magnetic field impact of sleeve pipe, the ground magnetic vector being measured by magnetic sensor is:
(5);
In formula (5):
Figure 579819DEST_PATH_IMAGE037
for magnetic sensor is measured the ground magnetic vector of output;for magnetic screening coefficient matrix,
Figure 177471DEST_PATH_IMAGE039
,
Figure 59976DEST_PATH_IMAGE040
,
Figure 474777DEST_PATH_IMAGE041
with
Figure 417325DEST_PATH_IMAGE042
be respectively sleeve pipe along the magnetic screening coefficient on the each direction of principal axis of sleeve pipe coordinate system, wherein due to
Figure 668309DEST_PATH_IMAGE002
,diaxon, at sleeve pipe footpath equivalence upwards, is supposed
Figure 623813DEST_PATH_IMAGE041
withequate.
In described step 5), before sleeve pipe is not gone into the well, can be recorded in advance by Magnetic Sensor the magnetic screening coefficient of sleeve pipe,
Figure 434271DEST_PATH_IMAGE044
.Now azimuthal expression formula is:
Figure 823664DEST_PATH_IMAGE045
(6);
In formula (6):
Figure 921064DEST_PATH_IMAGE046
try to achieve according to three axis accelerometer survey data;
Figure 333591DEST_PATH_IMAGE047
recorded by magnetic sensor;
Figure 158327DEST_PATH_IMAGE048
for working as geomagnetic inclination;for sleeve pipe is along sleeve pipe coordinate system
Figure 608211DEST_PATH_IMAGE002
axial magnetic screening coefficient.
If cannot record in advance the magnetic screening coefficient of sleeve pipe, also can be according to magnetic sensor the survey data in down-hole casing, solve the magnetic screening coefficient and the drilling well azimuth that obtain sleeve pipe.By formula (5):
Figure 508034DEST_PATH_IMAGE049
(7);
Arrangement formula (7) can obtain equation group:
Figure 136462DEST_PATH_IMAGE050
(8);
Order
Figure 172551DEST_PATH_IMAGE051
,
Figure 600035DEST_PATH_IMAGE052
.
Equation group can be expressed as the form of formula (9):
Figure 49471DEST_PATH_IMAGE053
(9);
In formula (9):
Figure 153693DEST_PATH_IMAGE054
,
Figure 122917DEST_PATH_IMAGE055
,
Figure 919972DEST_PATH_IMAGE056
represent about
Figure 591125DEST_PATH_IMAGE057
,
Figure 764617DEST_PATH_IMAGE058
,
Figure 588348DEST_PATH_IMAGE006
function,
Figure 556304DEST_PATH_IMAGE059
,
Figure 714752DEST_PATH_IMAGE060
,in the each equation of expression (8) with
Figure 104594DEST_PATH_IMAGE057
,
Figure 305768DEST_PATH_IMAGE058
,
Figure 889196DEST_PATH_IMAGE006
irrelevant constant component.
According to Taylor expansion:
Figure 951961DEST_PATH_IMAGE062
(10);
Order:
Figure 937235DEST_PATH_IMAGE063
Figure 309310DEST_PATH_IMAGE064
Figure 246490DEST_PATH_IMAGE066
In above matrix,
Figure 921688DEST_PATH_IMAGE057
,,
Figure 286122DEST_PATH_IMAGE006
for the estimated value of unknown parameter,
Figure 1000000DEST_PATH_IMAGE069
,
Figure 858365DEST_PATH_IMAGE070
,
Figure 253575DEST_PATH_IMAGE071
for the initial value of unknown parameter,
Figure 864685DEST_PATH_IMAGE072
,
Figure 952726DEST_PATH_IMAGE073
,for the correction value of unknown parameter;
Figure 966130DEST_PATH_IMAGE075
in the each equation of expression (8) with
Figure 697325DEST_PATH_IMAGE057
,,
Figure 258068DEST_PATH_IMAGE006
irrelevant constant component;
Figure 260659DEST_PATH_IMAGE076
for,
Figure 823676DEST_PATH_IMAGE055
,
Figure 65301DEST_PATH_IMAGE056
right
Figure 668321DEST_PATH_IMAGE057
,
Figure 46212DEST_PATH_IMAGE058
,single order local derviation matrix;
Figure 923350DEST_PATH_IMAGE077
represent to work as
Figure 330060DEST_PATH_IMAGE057
,
Figure 828038DEST_PATH_IMAGE058
,
Figure 147155DEST_PATH_IMAGE006
get initial value
Figure 425689DEST_PATH_IMAGE069
,
Figure 308195DEST_PATH_IMAGE070
,
Figure 473728DEST_PATH_IMAGE071
time,
Figure 150697DEST_PATH_IMAGE078
,
Figure 650948DEST_PATH_IMAGE079
,value;
Figure 357184DEST_PATH_IMAGE081
for matrix of unknown parameters;
Figure 470634DEST_PATH_IMAGE082
for unknown parameter matrix of initial value;for the correction value matrix of unknown parameter.
Equation group (10) is rewritten as
Figure 495539DEST_PATH_IMAGE084
form, according to
Figure 822615DEST_PATH_IMAGE085
, try to achieve
Figure 169283DEST_PATH_IMAGE086
.Further by
Figure 316230DEST_PATH_IMAGE087
try to achieve, then by current
Figure 350580DEST_PATH_IMAGE081
carry out iterative as initial value substitution full scale equation group.When
Figure 868149DEST_PATH_IMAGE086
two norms while meeting a certain threshold value (described threshold value is depending on solving precision) iteration finish, visual current
Figure 767972DEST_PATH_IMAGE081
for the optimal solution of equation group, now try to achieve the magnetic screening coefficient of sleeve pipeand azimuth
Figure 245537DEST_PATH_IMAGE006
.

Claims (1)

1. the method for drilling azimuth measurement based on magnetic inclinometer in magnetic sleeve pipe, is characterized in that: the method is to adopt following steps to realize:
1) be installed in the magnetic sleeve pipe of down-hole with reference to the magnetic inclinometer in gravity and earth's magnetic field, described magnetic inclinometer comprises a three axis accelerometer and a magnetic sensor, three axis accelerometer is used for measuring gravitational field, and magnetic sensor is used for measuring earth's magnetic field;
2) the acceleration of gravity signal by the three axis accelerometer in magnetic inclinometer, himself being subject to is measured and is exported;
3) utilize the signal of three axis accelerometer output to try to achieve angle of slope and the tool face azimuth of drilling well;
4) by the magnetic sensor in magnetic inclinometer, the magnetic signal in the magnetic sleeve pipe of down-hole is measured and exported;
5) signal that utilizes magnetic sensor to export, in conjunction with the angle of slope and the tool face azimuth that utilize the signal of three axis accelerometer output to try to achieve, calculates the azimuth of drilling well;
In described step 1), the pass of sleeve pipe coordinate system and geographic coordinate system is:
When drilling well is without tilting or when zero deflection, the x, y, z axle of sleeve pipe coordinate system overlaps with N, E, the D axle of geographic coordinate system respectively; In the time that drilling well has inclination and deflection, sleeve pipe coordinate system can obtain by rotation geographic coordinate system; The order of coordinate system rotation is: first by geographic coordinate system around z0axle rotates to coordinate system x1y1z0, the anglec of rotation is azimuththen by coordinate system x1y1z0around y1axle rotates to coordinate system x2y1z1, the anglec of rotation is θ, is the complementary angle of inclined angle alpha; Finally by coordinate system x2y1z1around x2axle rotates to coordinate system x2y2z2, i.e. sleeve pipe coordinate system xyz, the anglec of rotation is tool face azimuth γ; Above-mentioned rotation relationship is as follows by matrix notation:
In formula (1):
Figure FDA0000457032670000013
for be tied to the transition matrix of sleeve pipe coordinate system from geographical coordinate;
In described step 1), three axle X of magnetic inclinometer coordinate system, Y, Z are three sensitive axes of described three axis accelerometer and magnetic sensor; When magnetic inclinometer is installed, make magnetic inclinometer coordinate system overlap with sleeve pipe coordinate system;
Described step 2) in, the acceleration signal that three axis accelerometer measures is:according to the transformational relation of sleeve pipe coordinate system and geographic coordinate system, the acceleration signal being recorded by three axis accelerometer is:
Figure FDA0000457032670000021
In formula (2):for the acceleration signal of the each axle of three axis accelerometer; G is local gravitational acceleration,
Figure FDA0000457032670000023
In described step 3), try to achieve inclined angle alpha and tool face azimuth γ:
Figure FDA0000457032670000024
Figure FDA00004570326700000212
In described step 4), under geographic coordinate system, ground magnetic vector is:
Figure FDA0000457032670000025
In formula (3): F is ground magnetic vector; Fx, Fy, Fzfor the three axle components of ground magnetic vector under geographic coordinate system; F0for the mould of ground magnetic vector,
Figure 201110454594X1000011
i is for working as geomagnetic inclination;
Ground magnetic vector along three axle components of sleeve pipe coordinate system is:
Figure FDA0000457032670000027
Figure FDA0000457032670000028
Due to shielding and the disturbing magnetic field impact of sleeve pipe, the ground magnetic vector being measured by magnetic sensor is:
Figure FDA0000457032670000029
In formula (5): Fbmfor magnetic sensor is measured the ground magnetic vector of output; K is magnetic screening coefficient matrix,
Figure FDA00004570326700000210
kx, kyand kzbe respectively sleeve pipe along the magnetic screening coefficient on the each direction of principal axis of sleeve pipe coordinate system, wherein, because y, z diaxon are at sleeve pipe footpath equivalence upwards, suppose kyand kzequate;
In described step 5), before sleeve pipe is not gone into the well, can record in advance sleeve pipe along the magnetic screening coefficient k on sleeve pipe coordinate system x, y direction of principal axis by Magnetic Sensorx, ky; Now azimuthal expression formula is:
Figure FDA00004570326700000211
In formula (6): γ, θ try to achieve according to three axis accelerometer survey data;
Figure FDA0000457032670000031
recorded by magnetic sensor; I is for working as geomagnetic inclination; kyfor sleeve pipe is along the axial magnetic screening coefficient of sleeve pipe coordinate system y;
If cannot record in advance the magnetic screening coefficient of sleeve pipe, the survey data according to magnetic sensor in down-hole casing, solves the magnetic screening coefficient and the drilling well azimuth that obtain sleeve pipe; By formula (5):
Figure FDA0000457032670000032
Arrangement formula (7) can obtain equation group:
Order
Figure FDA0000457032670000034
Figure FDA0000457032670000035
Equation group can be expressed as the form of formula (9):
Figure FDA0000457032670000036
In formula (9): f1, f2, f3represent about k, ky,
Figure FDA0000457032670000037
function, z1, z2, z3in the each equation of expression (8) with k, ky,
Figure FDA0000457032670000038
irrelevant constant component;
According to Taylor expansion:
Figure FDA0000457032670000039
Order:
Figure FDA0000457032670000041
Figure FDA0000457032670000042
Figure FDA0000457032670000044
In above matrix, k0, ky0,
Figure FDA0000457032670000045
be respectively k, ky,
Figure FDA0000457032670000046
initial value, Δ k, Δ ky,
Figure FDA0000457032670000047
be respectively k, ky,
Figure FDA0000457032670000048
correction value; In the each equation of Z expression (8) with k, ky,
Figure FDA0000457032670000049
irrelevant constant component; A is f1, f2, f3to k, ky,
Figure FDA00004570326700000410
single order local derviation matrix; B represents as k, ky,
Figure FDA00004570326700000411
get initial value k0, ky0,time, z1-f1, z2-f2, z3-f3value; Equation group (10) is rewritten as the form of B=A Δ X, according to Δ X=A-1b, tries to achieve Δ X; Further by X=X0+ Δ X tries to achieve X, more current X is carried out to iterative as initial value substitution full scale equation group; In the time that two norms of Δ X meet a certain threshold value, iteration finishes, and the optimal solution that is equation group depending on current X is now tried to achieve the magnetic screening coefficient k of sleeve pipex, kyand azimuth
CN201110454594.XA2011-12-302011-12-30Method for drilling azimuth measurement based on magnetic inclinometer in magnetic casingExpired - Fee RelatedCN102536206B (en)

Priority Applications (1)

Application NumberPriority DateFiling DateTitle
CN201110454594.XACN102536206B (en)2011-12-302011-12-30Method for drilling azimuth measurement based on magnetic inclinometer in magnetic casing

Applications Claiming Priority (1)

Application NumberPriority DateFiling DateTitle
CN201110454594.XACN102536206B (en)2011-12-302011-12-30Method for drilling azimuth measurement based on magnetic inclinometer in magnetic casing

Publications (2)

Publication NumberPublication Date
CN102536206A CN102536206A (en)2012-07-04
CN102536206Btrue CN102536206B (en)2014-05-28

Family

ID=46344080

Family Applications (1)

Application NumberTitlePriority DateFiling Date
CN201110454594.XAExpired - Fee RelatedCN102536206B (en)2011-12-302011-12-30Method for drilling azimuth measurement based on magnetic inclinometer in magnetic casing

Country Status (1)

CountryLink
CN (1)CN102536206B (en)

Families Citing this family (9)

* Cited by examiner, † Cited by third party
Publication numberPriority datePublication dateAssigneeTitle
CN103089243B (en)*2013-01-232015-06-03中北大学Measuring method of drilling well azimuth in magnetic casing pipe
CN103870701A (en)*2014-03-242014-06-18东南大学Optimal modeling method for magnetic shielding barrel parameters of atom magnetometer/atom gyroscope
CN104597508B (en)*2014-12-092017-02-01北京科技大学Three-axis magnetic sensor based three-dimensional magnetic field positioning method and system
CN106988726B (en)*2016-01-212020-09-18中国石油化工股份有限公司High-precision borehole trajectory monitoring method
CN112253084B (en)*2020-09-152024-02-27中石化石油工程技术服务有限公司Underground double-probe magnetic measurement device and method
CN112963093B (en)*2021-01-262023-04-18长江大学Attitude dynamic measurement and calculation method of rotary steering drilling tool
CN113356763B (en)*2021-07-072024-07-09濮阳星运电子科技有限公司Method and system for realizing space communication in sleeve
CN117514146B (en)*2024-01-042024-03-22陕西太合智能钻探有限公司Logging system and logging method
CN119572213B (en)*2025-02-082025-05-27青岛智腾微电子有限公司Well deviation and geomagnetic field intensity measurement system based on high-precision fluxgate sensor

Citations (4)

* Cited by examiner, † Cited by third party
Publication numberPriority datePublication dateAssigneeTitle
CN1299915A (en)*1998-02-052001-06-20施卢默格控股有限公司Automatically controlled rotation-controllable drilling system and drilling method
CN201050364Y (en)*2006-04-212008-04-23北京合康科技发展有限责任公司Ground surface wireless read-write type inner-hole electronic measuring device
CN102121375A (en)*2010-12-302011-07-13中国电子科技集团公司第二十二研究所Method for processing digital signal of high-temperature core sampler of continuous inclinometer
CN103089243A (en)*2013-01-232013-05-08中北大学Measuring method of drilling well azimuth in magnetic casing pipe

Family Cites Families (1)

* Cited by examiner, † Cited by third party
Publication numberPriority datePublication dateAssigneeTitle
US7475741B2 (en)*2004-11-302009-01-13General Electric CompanyMethod and system for precise drilling guidance of twin wells

Patent Citations (4)

* Cited by examiner, † Cited by third party
Publication numberPriority datePublication dateAssigneeTitle
CN1299915A (en)*1998-02-052001-06-20施卢默格控股有限公司Automatically controlled rotation-controllable drilling system and drilling method
CN201050364Y (en)*2006-04-212008-04-23北京合康科技发展有限责任公司Ground surface wireless read-write type inner-hole electronic measuring device
CN102121375A (en)*2010-12-302011-07-13中国电子科技集团公司第二十二研究所Method for processing digital signal of high-temperature core sampler of continuous inclinometer
CN103089243A (en)*2013-01-232013-05-08中北大学Measuring method of drilling well azimuth in magnetic casing pipe

Also Published As

Publication numberPublication date
CN102536206A (en)2012-07-04

Similar Documents

PublicationPublication DateTitle
CN102536206B (en)Method for drilling azimuth measurement based on magnetic inclinometer in magnetic casing
Buchanan et al.Geomagnetic referencing—the real-time compass for directional drillers
US10047600B2 (en)Attitude reference for tieback/overlap processing
CN206158732U (en)Nearly drill bit drilling tool gesture is along with boring measuring device
US6480119B1 (en)Surveying a subterranean borehole using accelerometers
CN106907142A (en)A kind of nearly bit orientation dynamic measurement device and measuring method
Kabirzadeh et al.Dynamic error analysis of measurement while drilling using variable geomagnetic in-field referencing
CA2872249A1 (en)System and method for determining a borehole azimuth using gravity in-field referencing
SA520412207B1 (en)Methods and systems azimuthal locking for drilling operations
EP0850348A1 (en)Borehole surveying
CN109915116A (en) Anti-collision method and device for magnetic detection of offset wells while drilling
CN103089243B (en)Measuring method of drilling well azimuth in magnetic casing pipe
US20180363445A1 (en)Gyro-Magnetic Wellbore Surveying
US6637119B2 (en)Surveying of boreholes
ElGizawyContinuous measurement-while-drilling surveying system utilizing MEMS inertial sensors
CA2570080C (en)Wellbore surveying
US6854192B2 (en)Surveying of boreholes
CN115574815B (en)Non-visual environment navigation system, method, computer equipment and storage medium
Szczerbowski et al.Monitoring of tectonically active area of Bochnia
Li et al.Testing a new integrated solution for MEMS inertial measurement unit used for measurement-while-drilling in rotary steerable system
GB2581674A (en)Azimuth determination while rotating
CN105041295A (en)Inertia measurement method for well track measurement
HassanInfluence of Hole Trajectory and Direction on MWD Survey Errors
Costeno et al.Improving collision avoidance and target accuracy in an offshore brownfield redevelopment combining gyros and in-field referencing
Yan et al.Study on the Error Analysis and Correction Method of Well Deviation Angle Measurement

Legal Events

DateCodeTitleDescription
C06Publication
PB01Publication
C10Entry into substantive examination
SE01Entry into force of request for substantive examination
C14Grant of patent or utility model
GR01Patent grant
CF01Termination of patent right due to non-payment of annual fee
CF01Termination of patent right due to non-payment of annual fee

Granted publication date:20140528


[8]ページ先頭

©2009-2025 Movatter.jp