Movatterモバイル変換


[0]ホーム

URL:


CN102506916B - Distributed sensor network using weak reflection fiber Bragg grating (FBG) and precise positioning method of each FBG - Google Patents

Distributed sensor network using weak reflection fiber Bragg grating (FBG) and precise positioning method of each FBG
Download PDF

Info

Publication number
CN102506916B
CN102506916BCN201110373500.6ACN201110373500ACN102506916BCN 102506916 BCN102506916 BCN 102506916BCN 201110373500 ACN201110373500 ACN 201110373500ACN 102506916 BCN102506916 BCN 102506916B
Authority
CN
China
Prior art keywords
fbg
reflection
weak
weak reflection
wavelength
Prior art date
Legal status (The legal status is an assumption and is not a legal conclusion. Google has not performed a legal analysis and makes no representation as to the accuracy of the status listed.)
Active
Application number
CN201110373500.6A
Other languages
Chinese (zh)
Other versions
CN102506916A (en
Inventor
刘武
杨奇
陈帮
Current Assignee (The listed assignees may be inaccurate. Google has not performed a legal analysis and makes no representation or warranty as to the accuracy of the list.)
Wuhan Research Institute of Posts and Telecommunications Co Ltd
Original Assignee
Wuhan Research Institute of Posts and Telecommunications Co Ltd
Priority date (The priority date is an assumption and is not a legal conclusion. Google has not performed a legal analysis and makes no representation as to the accuracy of the date listed.)
Filing date
Publication date
Application filed by Wuhan Research Institute of Posts and Telecommunications Co LtdfiledCriticalWuhan Research Institute of Posts and Telecommunications Co Ltd
Priority to CN201110373500.6ApriorityCriticalpatent/CN102506916B/en
Publication of CN102506916ApublicationCriticalpatent/CN102506916A/en
Application grantedgrantedCritical
Publication of CN102506916BpublicationCriticalpatent/CN102506916B/en
Activelegal-statusCriticalCurrent
Anticipated expirationlegal-statusCritical

Links

Images

Landscapes

Abstract

The invention relates to a distributed sensor network using weak reflection fiber Bragg gratings (FBGs) and a precise positioning method of each FBG. The sensor network comprises a weak reflection FBG array and a positioning system. The weak reflection FBG array consists of N groups of weak reflection FBGs which are serially connected in an optical path. Each weak reflection FBG group comprises M weak reflection FBGs which are sequentially arranged. The center wavelengths of all weak reflection FBGs in each FBG group are different. The positioning system comprises a tunable laser source, a detector and a calculation unit which are arranged at the initial end of the weak reflection FBG array, and a fully reflecting surface which is arranged at the terminal end of the weak reflection FBG array. A reference reflection point is arranged in the sensor network. The tunable laser source sequentially transmits optical pulses with corresponding wavelengths, obtains the direct reflecting time t<n> and t'<n> and the indirect reflecting time t<mi> and t'<mi> of the reference reflecting point and the weak reflection FBG with i reflecting wavelength being lambda<m> through the detector, and obtains the distance between any weak reflection FBG and the reference reflecting point according to d<mi>-d<n>=c*(t'+t<mi>-t<n>-t'<mi>)/4. The distributed sensor network using the weak reflection FBGs and the precise positioning method of each FBG have the advantages that the space resolution in the distributed optical fiber sensor network can be improved and the quantity and distance of disturbed sensors are increased.

Description

Adopt the weak reflection distributed sensor of FBG and the accurate positioning method of each FBG thereof
Technical field
The present invention relates to sensory field of optic fibre, be specifically related to adopt the weak reflection distributed sensor of FBG and the accurate positioning method of each FBG thereof.
Background technology
FBG (Fiber Bragg Grating, Fiber Bragg Grating FBG) is topmost senser element in current distributing optical fiber sensing network.Because FBG has reflection wavelength is linear change characteristic with the extraneous factor such as temperature, pulling force, therefore, the skew of monitoring FBG reflection wavelength can be measured the variation that obtains external parameter, and its detectivity is not subject to the impact of the factors such as light source power fluctuation, bending loss of optical fiber and detector are aging, and there is self calibration characteristic, so, be applicable to very much long-term safety monitoring.
Sensor localization addressing and Wavelength demodulation are the difficult points of the distributing optical fiber sensing network based on FBG.Conventionally have at present two kinds of modes to position addressing to FBG: the first is wavelength-division mode, the FBG respectively diverse location place being laid has nonoverlapping reflection wavelength window, can determine the FBG that reflection occurs according to the residing wavelength window of reflection wavelength; The second is time division way, may there is overlapping situation in the wavelength window of the FBG that is applicable to lay, when a single wavelength light pulse is successively reflected at multiple weak reflections FBG place, first determine the wavelength window of FBG by reflection wavelength, determine the distance that lays of each FBG simultaneously by the time interval of back light pulse, thereby locate uniquely this FBG.
Practical distributed fiber grating sensing network adopts wavelength-division addressing mode more at present, but the fl transmission loss of this method detection light is large, and on simple optical fiber, reusable FBG number is also limited.For the density that raising measurement point lays, realize the distributed sensor of the long distance of large capacity, adopting time devided address access mode is an effective way in conjunction with weak reflection FBG.Weak reflection FBG has narrow bandwidth, transonic periodic structure, only near scope minimum centre wavelength is had to very low reflectivity.When flashlight incident optical fibre core, only fainter a part of light is reflected by the centre wavelength FBG consistent with signal light wavelength, and remaining most of light continues transmission forward.
Typically the FBG distributed sensor based on time-division wavelength-division mixing addressing mode as shown in Figure 1.Wherein transmitting terminal is Wavelength tunable light source, and the time of Wavelength tunable light source transmission wavelength and switch is tunable, can send rectangular light pulse.Optical circulator is sent detection light into FBG array, and reflected light is sent into detector.FBG array is to be concatenated and to form by wavelength difference by the multiple weak reflection FBG of different wave length window, after the weak reflection FBG of identical reflection windows keeps at a certain distance away, repeats to lay.Photo-detector is processed the light pulse sequence returning, and determines reflection wavelength and the reflection position of weak reflection FBG.
But there is certain limitation in the above-mentioned scheme based on the addressing of Wave time division hybrid mode: the spatial resolution of distributed sensor is limited, exist and measure blind area, while using weak reflection FBG, can crosstalk because multiple reflections brings.For overcoming the problems referred to above, when improving the capacity of system, improve system performance, must improve existing distributed sensor and signal processing mode.
Summary of the invention
For the defect existing in prior art, the object of the invention is to, a kind of weak reflection distributed sensor of FBG and accurate positioning method of FBG thereof of adopting is provided, end at weak reflection FBG array arranges fully reflecting surface, top at weak reflection FBG array passes through to analyze Time Domain Reflectometry information, obtains the exact position of each weak reflection FBG, thereby has improved the spatial resolution of distributing optical fiber sensing network, do not measure blind area, avoid multiple reflections to bring and crosstalk.
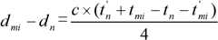
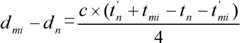
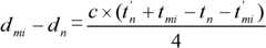
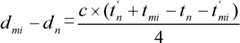
For reaching above object, the invention provides a kind of distributed sensor that adopts weak reflection FBG, comprise weak reflection FBG array and positioning system, described weak reflection FBG array is made up of the weak reflection of the N group FBG being connected in light path, each described FBG group comprises M the weak reflection FBG that order arranges successively, and the foveal reflex wavelength of the M in each FBG group described weak reflection FBG is all not identical, N>=2, M>=2, described positioning system comprises the tunable laser source that is arranged on weak reflection FBG array top, detector and computing unit, and be arranged on the fully reflecting surface of weak reflection FBG array end, described light path is provided with reference reflection point, described tunable laser source is launched the light pulse identical with described reference reflection point and weak reflection FBG centre wavelength to be scanned successively, described detector is surveyed direct reflection interval of the t of described reference reflection pointnwith indirect reference time t 'n, and direct reflection interval of the t of each described weak reflection FBGmiwith indirect reference time t 'mi, the light pulse that the described indirect reference time is respective wavelength sees through described reference reflection point or corresponding described weak reflection FBG and is again reflected back the time of detector through fully reflecting surface, reference reflection point or weak reflection FBG, fully reflecting surface, described computing unit is according to computing formulaobtaining i reflection wavelength is λmweak reflection FBG and reference reflection point between distance dmi-dn, i=1 ..., N, in formula, dmibe that i reflection wavelength is λmweak reflection FBG to the distance at described weak reflection FBG array top, dnfor described reference reflection point is to the distance at described weak reflection FBG array top, c is the light velocity.
In above-mentioned distributed sensor, described reference reflection point is to reflect the fibre junction point in FBG or light path a little less than any one in described weak reflection FBG array.
In above-mentioned distributed sensor, described detector by the intensity of corresponding weak reflection FBG reflection in N FBG group and time of arrival successively, obtains each direct reflection interval and indirect reference time of reflecting FBG a little less than corresponding in N FBG group according to the light pulse of a certain wavelength.
The present invention also provides the accurate positioning method of each weak reflection FBG in a kind of distributed sensor that adopts weak reflection FBG, comprises the following steps:
A10, at the end of weak reflection FBG array, fully reflecting surface is set, and chooses reference reflection point;
A20, in FBG group described in the top of described weak reflection FBG array successively emission wavelength equals reference reflection point and every group each weak reflection FBG central wavelength lambdamlight pulse, and record direct reflection interval of the t of described reference reflection pointnwith indirect reference time t 'n, and i reflection wavelength is λmdirect reflection interval of the t of corresponding described weak reflection FBGmiwith indirect reference time t 'mi, i=1 ..., N, the light pulse that the described indirect reference time is respective wavelength sees through described reference reflection point or described FBG and is again reflected back time of detector through fully reflecting surface, reference reflection point or weak reflection FBG, fully reflecting surface;
A30, utilize formula
Figure BDA0000110938680000041
obtaining i reflection wavelength is λmcorresponding weak reflection FBG and reference reflection point between distance dmi-dn; In formula, dmibe that i reflection wavelength is λmweak reflection FBG to the distance at described weak reflection FBG array top, dnfor described reference reflection point is to the distance at described weak reflection FBG array top, c is the light velocity.
In said method, described reference reflection point is to reflect the fibre junction point in FBG or light path a little less than any one in described weak reflection FBG array.
In said method, in steps A 20, utilizing detector is λ according to wavelengthmlight pulse by the intensity of corresponding weak reflection FBG reflection in described weak reflection FBG group and time of arrival successively, obtaining foveal reflex wavelength is λmdirect reflection interval and indirect reference time of each weak reflection FBG.
The present invention can significantly increase quantity and the distance that sensor lays.Measuring and calculating theoretically, foveal reflex consistent wavelength, the weak reflection FBG that reflectivity the is 1% still intensity of connecting after 210 times is greater than Rayleigh scattering, still can detect and distinguish in Bu Tong weak reflection of reflecting FBG place, and specifically advantage is as follows:
(1) distance and the relation of reflected impulse mistiming between each weak reflection FBG have been amplified to 4 times, precision is higher.Owing to only measuring the relative distance of weak reflection FBG, be adapted at closely interior identification and differentiate different reflective informations.
(2) according to formula
Figure BDA0000110938680000051
calculate the relative distance between each weak reflection FBG, principle, eliminated the measuring error that the reasons such as or processor time delay not isometric because of light path are brought completely.Therefore in light path, tunable laser source can be separated with detector, in multichannel measurement, also can ignore processing time delay fixing on circuit by multiplexing tunable laser source.
(3) because main luminous power has been concentrated in the light pulse being totally reflected back, the corresponding outstanding especially spike of reflective power meeting of monitoring, light pulse is detected elapsed-time standards t from being transmitted intod, tdthe reflected impulse in moment can be used as reference marker, two reflected signal t of any one weak reflection FBGmiand t 'mialways meet t 'mi-td=td-tmi, the reliable basis that can be used as perception reflex signal with this, each splicing point is surveyed under wavelength and is had the fixing reflection of relative position in difference, therefore also can be used as reference.
(4) with respect to the distance measuring method that adopts OTDR (Optical Time Domain Reflectometer, optical time domain reflectometer), without measuring blind area.
Accompanying drawing explanation
Fig. 1 is the FBG distributed sensor systematic schematic diagram that mixes addressing mode in background technology based on time-division wavelength-division;
A kind of embodiment schematic diagram of the distributed sensor of the weak reflection of Fig. 2 employing provided by the invention FBG;
Fig. 3 is the distribution plan in time of intensity of reflected light of each reflection spot in the accurate positioning method of each weak reflection FBG in distributed sensor provided by the invention;
Fig. 4 is the accurate positioning method process flow diagram of weak reflection FBG in distributed sensor provided by the invention.
Embodiment
Below in conjunction with the drawings and specific embodiments, the present invention is described in further detail.
As shown in Figures 2 and 3, adopt the distributed sensor of weak reflection FBG to comprise weak reflection FBG array and positioning system, FBG array forms (N>=2) by the weak reflection of the N group FBG being connected in light path, every group of weak reflection FBG group includes M the weak reflection FBG (M>=2) being disposed in order successively, and the central wavelength lambda of M weak reflection FBGmall not identical (m=1 ..., M).
Positioning system comprises the tunable laser source, detector and the computing unit that are arranged on FBG array top, and is arranged on the fully reflecting surface of FBG array end.
In the light path of distributed sensor, be provided with reference reflection point, reference reflection point can be selected any the weak reflection FBG in FBG array, because any splicing point on fibre circuit has the fixing reflection of relative position under different wave length, therefore, reference reflection point also can be selected any splicing point on fibre circuit.
Tunable laser source is successively to each weak reflection FBG central wavelength lambda in weak reflection FBG array transmitting and reference reflection point and each FBG groupmthe light pulse that wavelength is identical, wavelength Xmdetermine that each FBG group is only λ at foveal reflex wavelengthmsingle weak reflection FBG place reflect, N FBG group just has N and reflects FBG a little less than individual and reflect like this.Referring to Fig. 2, this N weak reflection FBG is due to the distance difference to transmitting terminal, therefore again, also have the time of arrival of reflection light pulse successively, like this, when detector receives reflection light pulse, can go out according to time of arrival and light intensity Division identification direct reflection interval of the t of reference reflection pointnwith indirect reference time t 'n, and i reflection wavelength is λmdirect reflection interval of the t of corresponding weak reflection FBGmiand indirect reference time t 'mi, i=1 ..., M.Directly reflection interval tnor tmirefer to that the light pulse of being sent by tunable laser source is directly reflected back by reference reflection point or weak reflection FBG the time that detector experiences, indirect reference time t 'nor t 'mirefer to that the light pulse of being sent by tunable laser source is also reflected back the time of detector successively again through fully reflecting surface, reference reflection point or weak reflection FBG, fully reflecting surface through corresponding reference reflection point or weak reflection FBG.
Computing unit is according to formula
Figure BDA0000110938680000071
obtain the distance d between any one weak reflection FBG and reference reflection pointmi-dn; In formula, dmibe that i reflection wavelength is λmcorresponding weak reflection FBG to the distance at weak reflection FBG array top, dnfor reference reflection point is to the distance at weak reflection FBG array top, c is the light velocity.
By changing the λ of tunable laser source utilizing emitted light pulsem, just can obtain in FBG array the exact position of each weak reflection FBG.
As shown in Figure 4, in distributed sensor provided by the invention, the accurate positioning method of each weak reflection FBG comprises the following steps:
A10, at the end of weak reflection FBG array, fully reflecting surface is set, and chooses reference reflection point in FBG array, reference reflection point can be any the weak FBG of reflection in FBG array, can be also any splicing point on fibre circuit.
A20, be λ at the top emission wavelength of weak reflection FBG arraymdetecting optical pulses, λmidentical with the centre wavelength of the each weak reflection FBG in reference reflection point and each FBG group, intensity and the reflection interval of surveying and recording this reflection light pulse by detector;
Intensity by reflection light pulse and the time successively arriving, identify direct reflection interval of the t of reference reflection pointnwith indirect reference time t 'n, and i reflection wavelength is λmdirect reflection interval of the t of corresponding weak reflection FBGmiwith indirect reference time t 'mi.Because main luminous power has been concentrated in the light pulse being totally reflected back, the corresponding outstanding especially spike of reflective power meeting of monitoring, light pulse is detected elapsed-time standards t from being transmitted intod, tdthe reflected impulse in moment can be used as reference marker, and i reflection wavelength is λmtwo reflected signal t of corresponding weak reflection FBGmiand t 'mialways meet t 'mi-td=td-tmi, can be used as the reliable basis of perception reflex signal with this.According to the intensity of the time of the arrival of reflection light pulse and reflection light pulse, identify direct reflection light pulse and the time of arrival of each reflection spot, and reflection light pulse and the time of arrival thereof of process tunable laser source-fully reflecting surface-weak reflection FBG-fully reflecting surface-detector.
A30, utilization
Figure BDA0000110938680000081
calculate the distance d between weak reflection FBG arbitrarilymi-dn.
The Computing Principle of above-mentioned computing formula is as follows:
When tunable laser source is operated in single wavelength lower time, due to the foveal reflex wavelength difference of each weak reflection FBG, only equal the weak reflection FBG place generating unit sub reflector of incident wavelength at foveal reflex wavelength, and there is not so now can ignore other weak reflection FBG reflecting in the equal transmission in weak reflection FBG place of all the other different emission.Suppose that incident light and reflection wavelength are all λm, light incidence point is D to the distance of end fully reflecting surface, light incidence point is d to the distance of n weak reflection FBGn(referring to Fig. 3).Detector converts probe current to after receiving reflection light pulse, can think roughly that the size of probe current is proportional to the size of intensity of reflected light, and the time that the priority time that photocurrent produces arrives corresponding to light pulse.Ignore by weak reflection FBG reflection twice and above situation, have the light pulse of two class concentration of energy: from inciding the direct reflected light detector by weak reflection FBG, consuming time is t therebetweenn; Through the reflected impulse of tunable laser source-fully reflecting surface-weak reflection FBG-fully reflecting surface-detector route, consuming time is therebetween t 'n.Suppose that light pulse is t from being back into exit point to the circuit delay of received machine detection experiencex, the definition light velocity is c, has:
tn=2*dnc+tx,
tn&prime;=4*D-2*dnc+tx,
tn&prime;-tn=4*D-4*dnc.
In like manner, have for m weak reflection FBG:
tm&prime;-tm=4*D-4*dmc,
(tn&prime;-tn)-(tm&prime;-tm)=4*(dm-dn)c,
The distance between any weak reflection FBG:
dm-dn=c*(tn&prime;+tm-tn-tm&prime;)4.
The present invention is not limited to above-mentioned embodiment, for those skilled in the art, under the premise without departing from the principles of the invention, can also make some improvements and modifications, within these improvements and modifications are also considered as protection scope of the present invention.The content not being described in detail in this instructions belongs to the known prior art of professional and technical personnel in the field.

Claims (6)

1. adopt the distributed sensor of weak reflection FBG, comprise weak reflection FBG array and positioning system, described weak reflection FBG array is made up of N the weak reflection FBG group being connected in light path, each described FBG group comprises M the weak reflection FBG being disposed in order successively, and the foveal reflex wavelength of the M in each FBG group described weak reflection FBG is all not identical, N >=2, M >=2, is characterized in that: described positioning system comprises:
Tunable laser source, is arranged on the top of described weak reflection FBG array, and described light path is provided with reference reflection point, and described tunable laser source is launched the light pulse identical with described reference reflection point and weak reflection FBG centre wavelength to be scanned successively;
Fully reflecting surface, is arranged on the end of described weak reflection FBG array;
Detector, is arranged on the top of described weak reflection FBG array, surveys direct reflection interval of the t of described reference reflection pointnwith indirect reference time t'n, and direct reflection interval of the t of each described weak reflection FBGmiand indirect reference time t'mi, the light pulse that the described indirect reference time is respective wavelength is from light source, through described reference reflection point or the corresponding described weak time of reflecting FBG and being again reflected back detector through fully reflecting surface, reference reflection point or weak reflection FBG, fully reflecting surface;
Computing unit, is arranged on the top of described FBG array, according to computing formula
Figure FDA0000464101200000011
obtaining reflection wavelength in i group is λmweak reflection FBG and reference reflection point between distance dmi-dn, i=1 ..., N; In formula, dmibe that in i group, reflection wavelength is λmweak reflection FBG to the distance at described weak reflection FBG array top, dnfor described reference reflection point is to the distance at described weak reflection FBG array top, c is the light velocity.
2. the distributed sensor of the weak reflection of employing as claimed in claim 1 FBG, is characterized in that: described reference reflection point is the fibre junction point in any one weak reflection FBG or the light path in the described weak FBG of reflection array.
3. the distributed sensor of the weak reflection of employing as claimed in claim 1 FBG, it is characterized in that: described detector by the intensity of corresponding weak reflection FBG reflection in N FBG group and time of arrival successively, obtains each direct reflection interval and indirect reference time of reflecting FBG a little less than corresponding in N FBG group according to the light pulse of a certain wavelength.
4. a little less than adopting, the accurate positioning method of each weak reflection FBG in the distributed sensor of reflection FBG, is characterized in that, comprises the following steps:
A10, at the end of weak reflection FBG array, fully reflecting surface is set, and chooses reference reflection point;
A20, in weak reflection FBG group described in the top of weak reflection FBG array successively transmitting and reference reflection point and every group each weak light pulse λ that FBG centre wavelength is identical that reflectsm, and record direct reflection interval of the t of described reference reflection pointnwith indirect reference time t'n, and i reflection wavelength is λmdirect reflection interval of the t of described weak reflection FBGmiwith indirect reference time t'mi, the light pulse that the described indirect reference time is respective wavelength is from light source, through corresponding described reference reflection point or the described weak time of reflecting FBG and being again reflected back detector through fully reflecting surface, reference reflection point or weak reflection FBG, fully reflecting surface;
A30, utilize formuladmi-dn=c&times;(tn&prime;+tmi-tn-tmi&prime;)4Obtaining any i reflection wavelength is λmdescribed weak reflection FBG and reference reflection point between distance dmi-dn, i=1 ..., N; In formula, dmibe that i reflection wavelength is λmweak reflection FBG to the distance at described weak reflection FBG array top, dnfor described reference reflection point is to the distance at described weak reflection FBG array top, c is the light velocity.
5. method as claimed in claim 4, is characterized in that: described reference reflection point is to reflect the fibre junction point in FBG or light path a little less than any one in described weak reflection FBG array.
6. method as claimed in claim 4, is characterized in that: in steps A 20, detector is according to wavelength Xmlight pulse by the intensity of corresponding weak reflection FBG reflection in described weak reflection FBG array and time of arrival successively, obtaining foveal reflex wavelength is λmdirect reflection interval and indirect reference time of each weak reflection FBG.
CN201110373500.6A2011-11-222011-11-22Distributed sensor network using weak reflection fiber Bragg grating (FBG) and precise positioning method of each FBGActiveCN102506916B (en)

Priority Applications (1)

Application NumberPriority DateFiling DateTitle
CN201110373500.6ACN102506916B (en)2011-11-222011-11-22Distributed sensor network using weak reflection fiber Bragg grating (FBG) and precise positioning method of each FBG

Applications Claiming Priority (1)

Application NumberPriority DateFiling DateTitle
CN201110373500.6ACN102506916B (en)2011-11-222011-11-22Distributed sensor network using weak reflection fiber Bragg grating (FBG) and precise positioning method of each FBG

Publications (2)

Publication NumberPublication Date
CN102506916A CN102506916A (en)2012-06-20
CN102506916Btrue CN102506916B (en)2014-06-04

Family

ID=46219023

Family Applications (1)

Application NumberTitlePriority DateFiling Date
CN201110373500.6AActiveCN102506916B (en)2011-11-222011-11-22Distributed sensor network using weak reflection fiber Bragg grating (FBG) and precise positioning method of each FBG

Country Status (1)

CountryLink
CN (1)CN102506916B (en)

Families Citing this family (7)

* Cited by examiner, † Cited by third party
Publication numberPriority datePublication dateAssigneeTitle
CN103674079B (en)*2012-09-262016-02-24桂林优西科学仪器有限责任公司Based on the method for real-time measurement of fiber Bragg grating sensor measuring system
CN103994785B (en)*2014-05-292016-08-31武汉理工大学A kind of grating sensing monitoring device based on weak optical fiber Bragg grating array and method for sensing
GB201503861D0 (en)2015-03-062015-04-22Silixa LtdMethod and apparatus for optical sensing
CN105157812A (en)*2015-09-182015-12-16南京派光信息技术有限公司Digital enhanced interference-based high-sensitivity quasi-distributed fiber bragg grating vibration sensor
CN108663075A (en)*2016-03-252018-10-16北京信息科技大学FBG sensing units and FBG sensor arrays
CN108683451A (en)*2018-04-182018-10-19东南大学Passive optical-fiber network link failure monitoring method based on pumped FIR laser and optical time domain reflectometer
CN109990917A (en)*2019-04-222019-07-09苏州经贸职业技术学院 A data center temperature detection system and detection method thereof

Citations (5)

* Cited by examiner, † Cited by third party
Publication numberPriority datePublication dateAssigneeTitle
US5757487A (en)*1997-01-301998-05-26The United States Of America As Represented By The Secretary Of The NavyMethods and apparatus for distributed optical fiber sensing of strain or multiple parameters
US6122305A (en)*1998-02-172000-09-19The United States Of America As Represented By The Secretary Of The NavyBroadband mode-locked fiber laser, particularly for fiber Bragg grating interrogation
CN1726664A (en)*2002-12-162006-01-25阿斯顿光学技术有限公司Optical interrogation system and sensor system
CN101126629A (en)*2007-09-252008-02-20北京交通大学 Synthetic Wave Interference Step Height On-line Measuring System Using Fiber Bragg Grating
CN102102998A (en)*2010-12-162011-06-22华中科技大学Distributed sensing system based on weak Bragg reflection structure

Family Cites Families (2)

* Cited by examiner, † Cited by third party
Publication numberPriority datePublication dateAssigneeTitle
US20030007202A1 (en)*2001-05-092003-01-09Ondax, Inc.Microelectromechanical system (MEMS) based tunable hitless add-drop filter
US7295724B2 (en)*2004-03-012007-11-13University Of WashingtonPolymer based distributive waveguide sensor for pressure and shear measurement

Patent Citations (5)

* Cited by examiner, † Cited by third party
Publication numberPriority datePublication dateAssigneeTitle
US5757487A (en)*1997-01-301998-05-26The United States Of America As Represented By The Secretary Of The NavyMethods and apparatus for distributed optical fiber sensing of strain or multiple parameters
US6122305A (en)*1998-02-172000-09-19The United States Of America As Represented By The Secretary Of The NavyBroadband mode-locked fiber laser, particularly for fiber Bragg grating interrogation
CN1726664A (en)*2002-12-162006-01-25阿斯顿光学技术有限公司Optical interrogation system and sensor system
CN101126629A (en)*2007-09-252008-02-20北京交通大学 Synthetic Wave Interference Step Height On-line Measuring System Using Fiber Bragg Grating
CN102102998A (en)*2010-12-162011-06-22华中科技大学Distributed sensing system based on weak Bragg reflection structure

Non-Patent Citations (1)

* Cited by examiner, † Cited by third party
Title
张满亮,等.基于全同弱反射光栅光纤的分布式传感研究.《激光与光电子学进展》.2011,*

Also Published As

Publication numberPublication date
CN102506916A (en)2012-06-20

Similar Documents

PublicationPublication DateTitle
CN102506916B (en)Distributed sensor network using weak reflection fiber Bragg grating (FBG) and precise positioning method of each FBG
EP0983486B1 (en)Distributed sensing system
EP0153924B1 (en)Measuring apparatus and method
CN101246026B (en)Method and device for optical sensor inquiry system
JP3002268B2 (en) Physical quantity measurement device
CN102914321B (en)Ultra-low fiber bragg grating sensing system and query method thereof
CN102374873B (en)Sensing system based on optical OFDM (Orthogonal Frequency Division Multiplexing) and FBG (Fiber Bragg Grating) monitoring method thereof
CN102292621A (en)Improvements in distributed fibre optic sensing
US9958300B2 (en)Time division multiplexing (TDM) and wavelength division multiplexing (WDM) fast-sweep interrogator
CN109595470B (en)Distributed pipeline detection method
CN103063242A (en)Real-time monitoring system and method based on optical time domain reflection and fiber grating distributed type
CN103591971B (en)A kind of localization method of fiber grating
US5557400A (en)Multiplexed sensing using optical coherence reflectrometry
CN101794506B (en)Method and device for data calibration in distributed optical fiber temperature sensing system
CN102269911A (en)Optical demodulation method based on OTDR (Optical Time Domain Reflectometry) technology and optical demodulation device thereof
CN108007603B (en) A multi-parameter distributed measurement system based on asymmetric twin-core fiber
JP4862594B2 (en) Optical fiber sensor
CN203587125U (en)Positioning system of fiber grating
CN203024788U (en)Distributed type real-time monitoring system based on optical time domain reflection and fiber bragg gratings
US20250251302A1 (en)Measuring fiber insertion losses in an optical fiber sensing system
CN202939260U (en)Intelligent platform with fault diagnosis and on-line temperature measuring functions
CN209559469U (en)Distribution type fiber-optic loss measurement system based on Raman scattering
CN103234521A (en)Distributed monitoring system for structure settlement based on optical fiber ultrasonic wave sensing technology
GB2184829A (en)Apparatus for measuring an external parameter

Legal Events

DateCodeTitleDescription
C06Publication
PB01Publication
C10Entry into substantive examination
SE01Entry into force of request for substantive examination
C14Grant of patent or utility model
GR01Patent grant
CP01Change in the name or title of a patent holder

Address after:430074, No. 88, postal academy road, Hongshan District, Hubei, Wuhan

Patentee after:Wuhan post and Telecommunications Science Research Institute Co., Ltd.

Address before:430074, No. 88, postal academy road, Hongshan District, Hubei, Wuhan

Patentee before:Wuhan Inst. of Post & Telecom Science

CP01Change in the name or title of a patent holder

[8]ページ先頭

©2009-2025 Movatter.jp