Movatterモバイル変換


[0]ホーム

URL:


CN102506916A - Distributed sensor network using weak reflection fiber Bragg grating (FBG) and precise positioning method of each FBG - Google Patents

Distributed sensor network using weak reflection fiber Bragg grating (FBG) and precise positioning method of each FBG
Download PDF

Info

Publication number
CN102506916A
CN102506916ACN2011103735006ACN201110373500ACN102506916ACN 102506916 ACN102506916 ACN 102506916ACN 2011103735006 ACN2011103735006 ACN 2011103735006ACN 201110373500 ACN201110373500 ACN 201110373500ACN 102506916 ACN102506916 ACN 102506916A
Authority
CN
China
Prior art keywords
fbg
reflection
weak
weak reflection
wavelength
Prior art date
Legal status (The legal status is an assumption and is not a legal conclusion. Google has not performed a legal analysis and makes no representation as to the accuracy of the status listed.)
Granted
Application number
CN2011103735006A
Other languages
Chinese (zh)
Other versions
CN102506916B (en
Inventor
刘武
杨奇
陈帮
Current Assignee (The listed assignees may be inaccurate. Google has not performed a legal analysis and makes no representation or warranty as to the accuracy of the list.)
Wuhan Research Institute of Posts and Telecommunications Co Ltd
Original Assignee
Wuhan Research Institute of Posts and Telecommunications Co Ltd
Priority date (The priority date is an assumption and is not a legal conclusion. Google has not performed a legal analysis and makes no representation as to the accuracy of the date listed.)
Filing date
Publication date
Application filed by Wuhan Research Institute of Posts and Telecommunications Co LtdfiledCriticalWuhan Research Institute of Posts and Telecommunications Co Ltd
Priority to CN201110373500.6ApriorityCriticalpatent/CN102506916B/en
Publication of CN102506916ApublicationCriticalpatent/CN102506916A/en
Application grantedgrantedCritical
Publication of CN102506916BpublicationCriticalpatent/CN102506916B/en
Activelegal-statusCriticalCurrent
Anticipated expirationlegal-statusCritical

Links

Images

Landscapes

Abstract

The invention relates to a distributed sensor network using weak reflection fiber Bragg gratings (FBGs) and a precise positioning method of each FBG. The sensor network comprises a weak reflection FBG array and a positioning system. The weak reflection FBG array consists of N groups of weak reflection FBGs which are serially connected in an optical path. Each weak reflection FBG group comprises M weak reflection FBGs which are sequentially arranged. The center wavelengths of all weak reflection FBGs in each FBG group are different. The positioning system comprises a tunable laser source, a detector and a calculation unit which are arranged at the initial end of the weak reflection FBG array, and a fully reflecting surface which is arranged at the terminal end of the weak reflection FBG array. A reference reflection point is arranged in the sensor network. The tunable laser source sequentially transmits optical pulses with corresponding wavelengths, obtains the direct reflecting time t<n> and t'<n> and the indirect reflecting time t<mi> and t'<mi> of the reference reflecting point and the weak reflection FBG with i reflecting wavelength being lambda<m> through the detector, and obtains the distance between any weak reflection FBG and the reference reflecting point according to the time. The distributed sensor network using the weak reflection FBGs and the precise positioning method of each FBG have the advantages that the space resolution in the distributed optical fiber sensor network can be improved and the quantity and distance of disturbed sensors are increased.

Description

Adopt the distributed sensing network of weak reflection FBG and the accurate positioning method of each FBG thereof
Technical field
The present invention relates to sensory field of optic fibre, be specifically related to adopt the distributed sensing network of weak reflection FBG and the accurate positioning method of each FBG thereof.
Background technology
FBG (Fiber Bragg Grating, Fiber Bragg Grating FBG) is a topmost senser element in the present distributing optical fiber sensing network.Because FBG has reflection wavelength is linear change with extraneous factors such as temperature, pulling force characteristic; Therefore; The skew of monitoring FBG reflection wavelength can be measured the variation that obtains external parameter, and its detectivity do not receive the influence of factors such as light source power fluctuation, bending loss of optical fiber and detector are aging, and has the self calibration characteristic; So, be fit to very much long-term safety monitoring.
Sensor location addressing and Wavelength demodulation are based on the difficult point of the distributing optical fiber sensing network of FBG.Usually have dual mode that FBG is positioned addressing at present: first kind is the wavelength-division mode, and the FBG that respectively the diverse location place is laid has nonoverlapping reflection wavelength window, can confirm the FBG that reflects according to the residing wavelength window of reflection wavelength; Second kind is time division way; Possibly there is overlapping situation in the wavelength window that is applicable to the FBG that lays; When a single wavelength light pulse is successively reflected at a plurality of weak reflection FBG place; Through the wavelength window of the earlier definite FBG of reflection wavelength, confirm the distance that lays of each FBG simultaneously through the time interval of back light pulse, thereby locate this FBG uniquely.
The distributed fiber grating sensing network of practicability adopts the wavelength-division addressing mode more at present, but the fl transmission loss of this method detection light is big, and reusable FBG number is also limited on the simple optical fiber.For improving the density that measurement point lays, realize the distributed sensing network of the long distance of high capacity, adopting the time-division addressing mode to combine weak reflection FBG is an effective way.Weak reflection FBG has narrow bandwidth, transonic periodic structure, only near the scope minimum centre wavelength is had very low reflectivity.When flashlight incident optical fibre core, only fainter a part of light is by the centre wavelength FBG reflection consistent with signal light wavelength, and remaining most of light continues transmission forward.
Typically as shown in Figure 1 based on the FBG distributed sensing network of time-division wavelength-division mixing addressing mode.Wherein transmitting terminal is a Wavelength tunable light source, and the time of Wavelength tunable light source transmission wavelength and switch is tunable, can send the rectangular light pulse.Optical circulator will be surveyed light and send into the FBG array, and reflected light is sent into detector.The FBG array is that a plurality of weak reflection FBG by the different wave length window gets up to constitute by the different polyphones of wavelength, repeats to lay after the weak reflection FBG of identical reflection windows keeps at a certain distance away.Photo-detector is then handled the light pulse sequence that returns, and confirms reflection wavelength and the reflection position of weak reflection FBG.
Limit to but above-mentioned scheme based on the addressing of Wave time division hybrid mode exists necessarily: the spatial resolution of distributed sensing network is limited, has the measurement blind area, can crosstalk because of repeatedly reflecting to bring when reflecting FBG a little less than using.For overcoming the problems referred to above, improve system performance when improving the capacity of system, must improve existing distributed sensing network and signal processing mode.
Summary of the invention
Defective to existing in the prior art the objective of the invention is to, and a kind of distributed sensing network of weak reflection FBG and accurate positioning method of FBG thereof of adopting is provided; End at weak reflection FBG array is provided with fully reflecting surface; Top at weak reflection FBG array passes through to analyze Time Domain Reflectometry information, obtains the exact position of each weak reflection FBG, thereby has improved the spatial resolution of distributing optical fiber sensing network; Do not measure the blind area, avoid repeatedly reflecting to bring crosstalking.
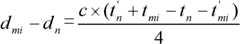
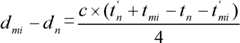
For reaching above purpose; The invention provides a kind of distributed sensing network that adopts weak reflection FBG; Comprise weak reflection FBG array and positioning system, the said weak FBG array that reflects is made up of the weak reflection of the N group FBG that is connected in the light path, comprises the weak reflection FBG that the individual order successively of M is provided with in each said FBG group; And the foveal reflex wavelength of M said weak reflection FBG in each FBG group is all inequality; N>=2, M>=2, said positioning system comprises tunable laser source, detector and the computing unit that is arranged on weak reflection FBG array top; And the fully reflecting surface that is arranged on weak reflection FBG array end; Said light path is provided with reference reflection point, and said tunable laser source is launched and said reference reflection point and the identical light pulse of weak reflection FBG centre wavelength to be scanned successively, and said detector is surveyed direct reflection interval of the t of said reference reflection pointnWith indirect reference time t 'n, and direct reflection interval of the t of each said weak reflection FBGMiWith indirect reference time t 'Mi, the light pulse that the said indirect reference time is respective wavelength sees through said reference reflection point or corresponding said weak reflection FBG and through fully reflecting surface, reference reflection point or weak reflection FBG, fully reflecting surface time of reflected back detector once more; Said computing unit is according to computing formula
Figure BDA0000110938680000031
Obtaining i reflection wavelength is λmWeak reflection FBG and reference reflection point between apart from dMi-dn, i=1 ..., N; In the formula, dMiBe that i reflection wavelength is λmWeak reflection FBG to the distance at said weak reflection FBG array top, dnBe the distance of said reference reflection point to said weak reflection FBG array top, c is the light velocity.
In the above-mentioned distributed sensing network, said reference reflection point is to reflect the fibre junction point on FBG or the light path a little less than any in the said weak reflection FBG array.
In the above-mentioned distributed sensing network; Said detector by the intensity of corresponding weak reflection FBG reflection in N the FBG group and time of arrival successively, obtains in N the FBG group direct reflection interval and indirect reference time that each reflects FBG a little less than corresponding according to the light pulse of a certain wavelength.
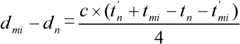
The present invention also provides the accurate positioning method of each weak reflection FBG in a kind of distributed sensing network that adopts weak reflection FBG, may further comprise the steps:
A10, fully reflecting surface is set, and chooses reference reflection point at the end of weak reflection FBG array;
A20, a little less than the top of said weak reflection FBG array emission wavelength successively equals in reference reflection point and the every group of said FBG group each reflection FBG central wavelength lambdamLight pulse, and write down direct reflection interval of the t of said reference reflection pointnWith indirect reference time t 'n, and i reflection wavelength is λmDirect reflection interval of the t of corresponding said weak reflection FBGMiWith indirect reference time t 'Mi, i=1 ..., N, the light pulse that the said indirect reference time is respective wavelength sees through said reference reflection point or said FBG and through fully reflecting surface, reference reflection point or weak reflection FBG, fully reflecting surface time of reflected back detector once more;
A30, utilize formula
Figure BDA0000110938680000041
Obtaining i reflection wavelength is λmCorresponding weak reflection FBG and reference reflection point between apart from dMi-dnIn the formula, dMiBe that i reflection wavelength is λmWeak reflection FBG to the distance at said weak reflection FBG array top, dnBe the distance of said reference reflection point to said weak reflection FBG array top, c is the light velocity.
In said method, said reference reflection point is to reflect the fibre junction point on FBG or the light path a little less than any in the said weak reflection FBG array.
In said method, in steps A 20, utilize detector to be λ according to wavelengthmLight pulse by the intensity of corresponding weak reflection FBG reflection in the said weak reflection FBG group and time of arrival successively, obtaining the foveal reflex wavelength is λmDirect reflection interval and indirect reference time of each weak reflection FBG.
The present invention can significantly increase quantity and the distance that sensor lays.Measuring and calculating theoretically, the foveal reflex consistent wavelength, reflectivity is that 1% weak reflection FBG can connect after 210 times still that intensity still can detect and distinguish the reflection at the different weak FBG of reflection place greater than Rayleigh scattering, specifically advantage is following:
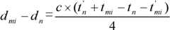
(1) distance between the reflection FBG a little less than each has been amplified 4 times with the relation of reflected impulse mistiming, precision is higher.Owing to the relative distance of only measuring weak reflection FBG, be adapted at closely interior identification and differentiate different reflective informations.
(2) calculate the relative distance between each weak reflection FBG according to formula
Figure BDA0000110938680000051
, eliminated fully on the principle because light path is not isometric or reason errors caused such as processor time-delay.Therefore can tunable laser source be separated with detector on the light path, tunable laser source is multiplexing in multichannel measurement, also can ignore processing time-delay fixing on the circuit.
(3) because the sets of being returned by total reflection has suffered main luminous power, the corresponding outstanding especially spike of the reflective power meeting of monitoring, light pulse is surveyed elapsed-time standards t from being transmitted intoD, tDReflected impulse constantly can be used as reference marker, two reflected signal t of reflection FBG a little less than anyMiAnd t 'MiAlways satisfy t 'Mi-tD=tD-tMi, can be used as the reliable basis of perception reflex signal with this, each splicing point is surveyed in difference all has the fixing reflection of relative position under the wavelength, therefore also can be used as reference.
(4), there is not the blind area of measurement with respect to the distance measuring method that adopts OTDR (Optical Time Domain Reflectometer, optical time domain reflectometer).
Description of drawings
Fig. 1 is the FBG distributed sensing network system schematic diagram that mixes addressing mode in the background technology based on the time-division wavelength-division;
A kind of embodiment synoptic diagram of the distributed sensing network of the weak reflection of Fig. 2 employing provided by the invention FBG;
Fig. 3 is the intensity of reflected light distribution plan in time of each reflection spot in the accurate positioning method of each weak reflection FBG in the distributed sensing network provided by the invention;
Fig. 4 is the accurate positioning method process flow diagram of weak reflection FBG in the distributed sensing network provided by the invention.
Embodiment
Below in conjunction with accompanying drawing and specific embodiment the present invention is done further explain.
As shown in Figures 2 and 3; Adopt the distributed sensing network of weak reflection FBG to comprise weak reflection FBG array and positioning system; The FBG array is formed (N>=2) by the weak reflection of the N group FBG that is connected in the light path; Every group of weak reflection FBG group includes M weak reflection FBG (M>=2) that is disposed in order successively, and the central wavelength lambda of M weak reflection FBGmAll inequality (m=1 ..., M).
Positioning system comprises tunable laser source, detector and the computing unit that is arranged on FBG array top, and is arranged on the terminal fully reflecting surface of FBG array.
Be provided with reference reflection point in the light path of distributed sensing network; Reference reflection point can be selected any the weak reflection FBG in the FBG array; Because any splicing point on the fibre circuit all has the fixing reflection of relative position under different wave length; Therefore, reference reflection point also can be selected any splicing point on the fibre circuit.
Tunable laser source reflects the FBG central wavelength lambda a little less than each successively in weak reflection FBG array emission and reference reflection point and each FBG groupmThe light pulse that wavelength is identical, wavelength XmDetermined that each FBG group is λ at the foveal reflex wavelength onlymSingle weak reflection FBG place reflect, N FBG group just has N and reflects FBG a little less than individual and reflect like this.Referring to Fig. 2, this N weak reflection FBG is owing to the distance to transmitting terminal is different, therefore again; Also have the time of arrival of reflection light pulse successively; Like this, when detector receives reflection light pulse, can distinguish direct reflection interval of the t that identifies reference reflection point according to time of arrival and light intensitynWith indirect reference time t 'n, and i reflection wavelength is λmDirect reflection interval of the t of corresponding weak reflection FBGMiAnd indirect reference time t 'Mi, i=1 ..., M.Directly reflection interval tnOr tMiBe meant the time that the light pulse of being sent by tunable laser source is experienced by reference reflection point or the direct reflected back detector of weak reflection FBG, indirect reference time t 'nOr t 'MiBe meant that the light pulse of being sent by tunable laser source sees through corresponding reference reflection point or weak reflection FBG and successively through fully reflecting surface, reference reflection point or weak reflection FBG, fully reflecting surface time of reflected back detector once more.
Computing unit is according to formula
Figure BDA0000110938680000071
Obtain a little less than in the of any one between reflection FBG and the reference reflection point apart from dMi-dnIn the formula, dMiBe that i reflection wavelength is λmCorresponding weak reflection FBG to the distance at weak reflection FBG array top, dnBe the distance of reference reflection point to weak reflection FBG array top, c is the light velocity.
Through changing the λ of tunable laser source emission light pulsem, just can obtain in the FBG array exact position of each weak reflection FBG.
As shown in Figure 4, the accurate positioning method of each weak reflection FBG may further comprise the steps in the distributed sensing network provided by the invention:
A10, at the end of weak reflection FBG array fully reflecting surface is set, and in the FBG array, chooses reference reflection point, reference reflection point can reflect FBG for a little less than in the FBG array any, also can be any splicing point on the fibre circuit.
A20, be λ at the top emission wavelength of weak reflection FBG arraymDetecting optical pulses, λmIdentical with the centre wavelength of reflection FBG a little less than in reference reflection point and each FBG group each, intensity and the reflection interval surveying and write down this reflection light pulse through detector;
Intensity through reflection light pulse and the time that successively arrives, identify direct reflection interval of the t of reference reflection pointnWith indirect reference time t 'n, and i reflection wavelength is λmDirect reflection interval of the t of corresponding weak reflection FBGMiWith indirect reference time t 'MiBecause the sets of being returned by total reflection has suffered main luminous power, the corresponding outstanding especially spike of the reflective power meeting of monitoring, light pulse is surveyed elapsed-time standards t from being transmitted intoD, tDReflected impulse constantly can be used as reference marker, and i reflection wavelength is λmTwo reflected signal t of corresponding weak reflection FBGMiAnd t 'MiAlways satisfy t 'Mi-tD=tD-tMi, can be used as the reliable basis of perception reflex signal with this.According to the time of the arrival of reflection light pulse and the intensity of reflection light pulse; Identify the direct reflection light pulse and the time of arrival of each reflection spot, and the reflection light pulse and the time of arrival thereof of process tunable laser source-fully reflecting surface-weak reflection FBG-fully reflecting surface-detector.
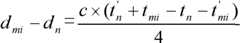
A30, utilizationCalculate between the arbitrarily weak reflection FBG apart from dMi-dn
The calculating principle of aforementioned calculation formula is following:
When tunable laser source is operated in single wavelength following time; Because the foveal reflex wavelength of each weak reflection FBG is different; Only equal the weak reflection FBG place generating unit sub reflector of incident wavelength at the foveal reflex wavelength; And the weak equal transmission in reflection FBG place of all the other different emission, so can ignore the weak reflection FBG that other do not reflect this moment.Suppose that incident light and reflection wavelength all are λm, the light incidence point is D to the distance of terminal fully reflecting surface, the light incidence point is d to the distance of n weak reflection FBGn(referring to Fig. 3).Detector converts probe current to after receiving reflection light pulse, can think roughly that the size of probe current is proportional to the size of intensity of reflected light, and the time that the priority time that photocurrent produces arrives corresponding to light pulse.Ignore by twice of weak reflection FBG reflection and above situation, the light pulse of two types of concentration of energy is arranged: from inciding the direct reflected light detector by weak reflection FBG, consuming time therebetween is tnThrough the reflected impulse of tunable laser source-fully reflecting surface-weak reflection FBG-fully reflecting surface-detector route, consuming time therebetween is t 'nSuppose that light pulse is t from being back into exit point to the circuit delay that is received machine detection experiencex, the definition light velocity is c, then has:
tn=2*dnc+tx,
tn&prime;=4*D-2*dnc+tx,
tn&prime;-tn=4*D-4*dnc.
In like manner, have for m weak reflection FBG:
tm&prime;-tm=4*D-4*dmc,
(tn&prime;-tn)-(tm&prime;-tm)=4*(dm-dn)c,
Distance between the then weak arbitrarily reflection FBG:
dm-dn=c*(tn&prime;+tm-tn-tm&prime;)4.
The present invention is not limited to above-mentioned embodiment, for those skilled in the art, under the prerequisite that does not break away from the principle of the invention, can also make some improvement and retouching, and these improvement and retouching also are regarded as within protection scope of the present invention.The content of not doing in this instructions to describe in detail belongs to this area professional and technical personnel's known prior art.

Claims (6)

1. adopt the distributed sensing network of weak reflection FBG; Comprise weak reflection FBG array and positioning system, said weak reflection FBG array is made up of N the weak reflection FBG that is connected in the light path, comprises M weak reflection FBG that is disposed in order successively in each said FBG group; And the foveal reflex wavelength of M said weak reflection FBG in each FBG group is all inequality; N >=2, M >=2 is characterized in that: said positioning system comprises:
Tunable laser source is arranged on the top of said weak reflection FBG array, and said light path is provided with reference reflection point, and said tunable laser source is launched and said reference reflection point and the identical light pulse of weak reflection FBG centre wavelength to be scanned successively;
Fully reflecting surface is arranged on the end of said weak reflection FBG array;
Detector is arranged on the top of said weak reflection FBG array, surveys direct reflection interval of the t of said reference reflection pointnWith indirect reference time t 'n, and direct reflection interval of the t of each said weak reflection FBGMiAnd indirect reference time t 'Mi, the light pulse that the said indirect reference time is respective wavelength sees through said reference reflection point or corresponding said weak reflection FBG and through fully reflecting surface, reference reflection point or weak reflection FBG, fully reflecting surface time of reflected back detector once more;
Computing unit is arranged on the top of said FBG array, according to computing formula
Figure FDA0000110938670000011
Obtain that reflection wavelength is λ in the i groupmWeak reflection FBG and reference reflection point between apart from dMi-dn, i=1 ..., N; In the formula, dMiBe that reflection wavelength is λ in the i groupmWeak reflection FBG to the distance at said weak reflection FBG array top, dnBe the distance of said reference reflection point to said weak reflection FBG array top, c is the light velocity.
2. the distributed sensing network of the weak reflection of employing as claimed in claim 1 FBG is characterized in that: said reference reflection point is to reflect the fibre junction point on FBG or the light path a little less than any in the said weak reflection FBG array.
3. the distributed sensing network of the weak reflection of employing as claimed in claim 1 FBG; It is characterized in that: said detector by the intensity of corresponding weak reflection FBG reflection in N the FBG group and time of arrival successively, obtains in N the FBG group direct reflection interval and indirect reference time that each reflects FBG a little less than corresponding according to the light pulse of a certain wavelength.
4. the accurate positioning method of each weak reflection FBG in the distributed sensing network of reflection FBG is characterized in that a little less than adopting, and may further comprise the steps:
A10, fully reflecting surface is set, and chooses reference reflection point at the end of weak reflection FBG array;
A20, in the top of weak reflection FBG array emission successively and reference reflection point and every group of said weak reflection FBG group, reflect the identical light pulse λ of FBG centre wavelength a little less than eachm, and write down direct reflection interval of the t of said reference reflection pointnWith indirect reference time t 'n, and i reflection wavelength is λmDirect reflection interval of the t of said weak reflection FBGMiWith indirect reference time t 'Mi, the light pulse that the said indirect reference time is respective wavelength sees through corresponding said reference reflection point or said weak reflection FBG and through fully reflecting surface, reference reflection point or weak reflection FBG, fully reflecting surface time of reflected back detector once more;
A30, utilize formula
Figure FDA0000110938670000021
Obtaining any i reflection wavelength is λmSaid weak reflection FBG and reference reflection point between apart from dMi-dn, i=1 ..., N; In the formula, dMiBe that i reflection wavelength is λmWeak reflection FBG to the distance at said weak reflection FBG array top, dnBe the distance of said reference reflection point to said weak reflection FBG array top, c is the light velocity.
5. method as claimed in claim 4 is characterized in that: said reference reflection point is to reflect the fibre junction point on FBG or the light path a little less than any in the said weak reflection FBG array.
6. method as claimed in claim 4 is characterized in that: in steps A 20, detector is according to wavelength XmLight pulse by the intensity of corresponding weak reflection FBG reflection in the said weak reflection FBG array and time of arrival successively, obtaining the foveal reflex wavelength is λmDirect reflection interval and indirect reference time of each weak reflection FBG.
CN201110373500.6A2011-11-222011-11-22Distributed sensor network using weak reflection fiber Bragg grating (FBG) and precise positioning method of each FBGActiveCN102506916B (en)

Priority Applications (1)

Application NumberPriority DateFiling DateTitle
CN201110373500.6ACN102506916B (en)2011-11-222011-11-22Distributed sensor network using weak reflection fiber Bragg grating (FBG) and precise positioning method of each FBG

Applications Claiming Priority (1)

Application NumberPriority DateFiling DateTitle
CN201110373500.6ACN102506916B (en)2011-11-222011-11-22Distributed sensor network using weak reflection fiber Bragg grating (FBG) and precise positioning method of each FBG

Publications (2)

Publication NumberPublication Date
CN102506916Atrue CN102506916A (en)2012-06-20
CN102506916B CN102506916B (en)2014-06-04

Family

ID=46219023

Family Applications (1)

Application NumberTitlePriority DateFiling Date
CN201110373500.6AActiveCN102506916B (en)2011-11-222011-11-22Distributed sensor network using weak reflection fiber Bragg grating (FBG) and precise positioning method of each FBG

Country Status (1)

CountryLink
CN (1)CN102506916B (en)

Cited By (7)

* Cited by examiner, † Cited by third party
Publication numberPriority datePublication dateAssigneeTitle
CN103674079A (en)*2012-09-262014-03-26桂林优西科学仪器有限责任公司Real-time measurement method based on fiber Bragg grating sensor measurement system
CN103994785A (en)*2014-05-292014-08-20武汉理工大学Sensing monitoring device and method based on weak fiber bragg grating array
CN105157812A (en)*2015-09-182015-12-16南京派光信息技术有限公司Digital enhanced interference-based high-sensitivity quasi-distributed fiber bragg grating vibration sensor
CN105783954A (en)*2016-03-252016-07-20北京信息科技大学High-redundancy FBG sensing module
CN108683451A (en)*2018-04-182018-10-19东南大学Passive optical-fiber network link failure monitoring method based on pumped FIR laser and optical time domain reflectometer
CN109990917A (en)*2019-04-222019-07-09苏州经贸职业技术学院 A data center temperature detection system and detection method thereof
GB2596257B (en)*2015-03-062022-06-08Silixa LtdMethod and apparatus for optical sensing

Citations (7)

* Cited by examiner, † Cited by third party
Publication numberPriority datePublication dateAssigneeTitle
US5757487A (en)*1997-01-301998-05-26The United States Of America As Represented By The Secretary Of The NavyMethods and apparatus for distributed optical fiber sensing of strain or multiple parameters
US6122305A (en)*1998-02-172000-09-19The United States Of America As Represented By The Secretary Of The NavyBroadband mode-locked fiber laser, particularly for fiber Bragg grating interrogation
US20030007202A1 (en)*2001-05-092003-01-09Ondax, Inc.Microelectromechanical system (MEMS) based tunable hitless add-drop filter
US20050232532A1 (en)*2004-03-012005-10-20Wei-Chih WangPolymer based distributive waveguide sensor for pressure and shear measurement
CN1726664A (en)*2002-12-162006-01-25阿斯顿光学技术有限公司Optical interrogation system and sensor system
CN101126629A (en)*2007-09-252008-02-20北京交通大学 Synthetic Wave Interference Step Height On-line Measuring System Using Fiber Bragg Grating
CN102102998A (en)*2010-12-162011-06-22华中科技大学Distributed sensing system based on weak Bragg reflection structure

Patent Citations (7)

* Cited by examiner, † Cited by third party
Publication numberPriority datePublication dateAssigneeTitle
US5757487A (en)*1997-01-301998-05-26The United States Of America As Represented By The Secretary Of The NavyMethods and apparatus for distributed optical fiber sensing of strain or multiple parameters
US6122305A (en)*1998-02-172000-09-19The United States Of America As Represented By The Secretary Of The NavyBroadband mode-locked fiber laser, particularly for fiber Bragg grating interrogation
US20030007202A1 (en)*2001-05-092003-01-09Ondax, Inc.Microelectromechanical system (MEMS) based tunable hitless add-drop filter
CN1726664A (en)*2002-12-162006-01-25阿斯顿光学技术有限公司Optical interrogation system and sensor system
US20050232532A1 (en)*2004-03-012005-10-20Wei-Chih WangPolymer based distributive waveguide sensor for pressure and shear measurement
CN101126629A (en)*2007-09-252008-02-20北京交通大学 Synthetic Wave Interference Step Height On-line Measuring System Using Fiber Bragg Grating
CN102102998A (en)*2010-12-162011-06-22华中科技大学Distributed sensing system based on weak Bragg reflection structure

Non-Patent Citations (1)

* Cited by examiner, † Cited by third party
Title
张满亮,等: "基于全同弱反射光栅光纤的分布式传感研究", 《激光与光电子学进展》, 31 August 2011 (2011-08-31)*

Cited By (10)

* Cited by examiner, † Cited by third party
Publication numberPriority datePublication dateAssigneeTitle
CN103674079A (en)*2012-09-262014-03-26桂林优西科学仪器有限责任公司Real-time measurement method based on fiber Bragg grating sensor measurement system
CN103674079B (en)*2012-09-262016-02-24桂林优西科学仪器有限责任公司Based on the method for real-time measurement of fiber Bragg grating sensor measuring system
CN103994785A (en)*2014-05-292014-08-20武汉理工大学Sensing monitoring device and method based on weak fiber bragg grating array
CN103994785B (en)*2014-05-292016-08-31武汉理工大学A kind of grating sensing monitoring device based on weak optical fiber Bragg grating array and method for sensing
GB2596257B (en)*2015-03-062022-06-08Silixa LtdMethod and apparatus for optical sensing
US11719560B2 (en)2015-03-062023-08-08Silixa Ltd.Method and apparatus for optical sensing
CN105157812A (en)*2015-09-182015-12-16南京派光信息技术有限公司Digital enhanced interference-based high-sensitivity quasi-distributed fiber bragg grating vibration sensor
CN105783954A (en)*2016-03-252016-07-20北京信息科技大学High-redundancy FBG sensing module
CN108683451A (en)*2018-04-182018-10-19东南大学Passive optical-fiber network link failure monitoring method based on pumped FIR laser and optical time domain reflectometer
CN109990917A (en)*2019-04-222019-07-09苏州经贸职业技术学院 A data center temperature detection system and detection method thereof

Also Published As

Publication numberPublication date
CN102506916B (en)2014-06-04

Similar Documents

PublicationPublication DateTitle
CN102506916B (en)Distributed sensor network using weak reflection fiber Bragg grating (FBG) and precise positioning method of each FBG
EP0983486B1 (en)Distributed sensing system
EP0153924B1 (en)Measuring apparatus and method
JP3002268B2 (en) Physical quantity measurement device
CN101246026B (en)Method and device for optical sensor inquiry system
CN103063242A (en)Real-time monitoring system and method based on optical time domain reflection and fiber grating distributed type
CN109595470B (en)Distributed pipeline detection method
CN102292621A (en)Improvements in distributed fibre optic sensing
CN103591971B (en)A kind of localization method of fiber grating
CA2851854C (en)Time division multiplexing (tdm) and wavelength division multiplexing (wdm) fast-sweep interrogator
US5557400A (en)Multiplexed sensing using optical coherence reflectrometry
US20130148691A1 (en)Distributed optical fiber temperature sensor based on optical fiber delay
CN107036733B (en)The many reference amounts Distributed Measurement System and measurement method of twin-core dim light grid array based on dark pulse light source
US11346689B2 (en)Optical measuring system with an interrogator and a polymer-based single-mode fibre-optic sensor system
CN102269911A (en)Optical demodulation method based on OTDR (Optical Time Domain Reflectometry) technology and optical demodulation device thereof
CN108007603B (en) A multi-parameter distributed measurement system based on asymmetric twin-core fiber
CN101794506A (en)Method and device used for data calibration in distributed type optical fiber temperature sensor
CN104811241A (en)Wavelength-tunable optical time domain reflectometer and fiber ring-down cavity sensor array integrated system
CN210533573U (en) An optical fiber distributed temperature measurement device
CN203587125U (en)Positioning system of fiber grating
CN203024788U (en)Distributed type real-time monitoring system based on optical time domain reflection and fiber bragg gratings
CN202939260U (en)Intelligent platform with fault diagnosis and on-line temperature measuring functions
US20250251302A1 (en)Measuring fiber insertion losses in an optical fiber sensing system
CN103234521A (en)Distributed monitoring system for structure settlement based on optical fiber ultrasonic wave sensing technology
GB2184829A (en)Apparatus for measuring an external parameter

Legal Events

DateCodeTitleDescription
C06Publication
PB01Publication
C10Entry into substantive examination
SE01Entry into force of request for substantive examination
C14Grant of patent or utility model
GR01Patent grant
CP01Change in the name or title of a patent holder
CP01Change in the name or title of a patent holder

Address after:430074, No. 88, postal academy road, Hongshan District, Hubei, Wuhan

Patentee after:Wuhan post and Telecommunications Science Research Institute Co., Ltd.

Address before:430074, No. 88, postal academy road, Hongshan District, Hubei, Wuhan

Patentee before:Wuhan Inst. of Post & Telecom Science


[8]ページ先頭

©2009-2025 Movatter.jp