











技术领域technical field
本发明涉及通信领域,更具体地说,涉及一种前馈式卫星电视天线及其卫星电视接收系统。The invention relates to the communication field, and more specifically, relates to a feed-forward satellite TV antenna and a satellite TV receiving system thereof.
背景技术Background technique
传统的卫星电视接收系统是由抛物面天线、馈源、高频头、卫星接收机组成的卫星地面接收站。抛物面天线负责将卫星信号反射到位于焦点处的馈源和高频头内。馈源是在抛物面天线的焦点处设置的一个用于收集卫星信号的喇叭,又称波纹喇叭。其主要功能有两个:一是将天线接收的电磁波信号收集起来,变换成信号电压,供给高频头。二是对接收的电磁波进行极化转换。高频头LNB(亦称降频器)是将馈源送来的卫星信号进行降频和信号放大然后传送至卫星接收机。一般可分为C波段频率LNB(3.7GHz-4.2GHz、18-21V)和Ku波段频率LNB(10.7GHz-12.75GHz、12-14V)。LNB的工作流程就是先将卫星高频讯号放大至数十万倍后再利用本地振荡电路将高频讯号转换至中频950MHz-2050MHz,以利于同轴电缆的传输及卫星接收机的解调和工作。卫星接收机是将高频头输送来的卫星信号进行解调,解调出卫星电视图像或数字信号和伴音信号。The traditional satellite TV receiving system is a satellite ground receiving station composed of parabolic antenna, feed source, tuner and satellite receiver. The parabolic dish is responsible for reflecting the satellite signal into the feed and tuner at the focal point. The feed source is a horn set at the focal point of the parabolic antenna to collect satellite signals, also known as a corrugated horn. There are two main functions: one is to collect the electromagnetic wave signal received by the antenna, transform it into a signal voltage, and supply it to the tuner. The second is to perform polarization conversion on the received electromagnetic waves. The high-frequency head LNB (also known as the frequency reducer) is to reduce the frequency and amplify the satellite signal sent by the feeder, and then transmit it to the satellite receiver. Generally, it can be divided into C-band frequency LNB (3.7GHz-4.2GHz, 18-21V) and Ku-band frequency LNB (10.7GHz-12.75GHz, 12-14V). The working process of LNB is to first amplify the satellite high-frequency signal to hundreds of thousands of times, and then use the local oscillator circuit to convert the high-frequency signal to an intermediate frequency of 950MHz-2050MHz, so as to facilitate the transmission of the coaxial cable and the demodulation and work of the satellite receiver. . The satellite receiver is to demodulate the satellite signal sent by the tuner, and demodulate the satellite TV image or digital signal and audio signal.
接收卫星信号时,平行的电磁波通过抛物面天线反射后,汇聚到馈源上。通常,抛物面天线对应的馈源是一个喇叭天线。When receiving satellite signals, the parallel electromagnetic waves are reflected by the parabolic antenna and then converged to the feed source. Usually, the corresponding feed source of the parabolic antenna is a horn antenna.
但是由于抛物面天线的反射面的曲面加工难度大,精度要求也高,因此,制造麻烦,且成本较高。However, since the curved surface of the reflective surface of the parabolic antenna is difficult to process and requires high precision, the manufacturing is troublesome and the cost is relatively high.
发明内容Contents of the invention
本发明所要解决的技术问题是,针对现有的卫星电视天线加工不易、成本高的缺陷,提供一种加工简单、制造成本低的前馈式卫星电视天线。The technical problem to be solved by the present invention is to provide a feed-forward satellite TV antenna with simple processing and low manufacturing cost, aiming at the defects of difficult processing and high cost of existing satellite TV antennas.
本发明解决其技术问题所采用的技术方案是:一种前馈式卫星电视天线,所述前馈式卫星电视天线包括设置在馈源后方的具有电磁波发散功能的发散元件以及设置在发散元件后方的超材料面板,所述超材料面板包括核心层及设置在核心层一侧表面的反射板,所述核心层包括至少一个核心层片层,所述核心层片层包括片状的基材以及设置在基材上的多个人造微结构,所述核心层片层按照折射率分布可划分为位于中间位置的圆形区域以及分布在圆形区域周围且与所述圆形区域共圆心的多个环形区域,所述圆形区域及环形区域内相同半径处的折射率相同,且在圆形区域及环形区域各自的区域内随着半径的增大折射率逐渐减小,所述圆形区域的折射率的最小值小于与其相邻的环形区域的折射率的最大值,相邻两个环形区域,处于内侧的环形区域的折射率的最小值小于处于外侧的环形区域的折射率的最大值。The technical solution adopted by the present invention to solve the technical problem is: a feed-forward satellite TV antenna, the feed-forward satellite TV antenna includes a divergent element with electromagnetic wave divergence function arranged behind the feed source and a A metamaterial panel, the metamaterial panel includes a core layer and a reflection plate arranged on one side of the core layer, the core layer includes at least one core layer sheet, the core layer sheet includes a sheet-shaped substrate and A plurality of artificial microstructures arranged on the substrate, the core layer can be divided into a circular area located in the middle according to the refractive index distribution and multiple microstructures distributed around the circular area and concentric with the circular area. An annular area, the refractive index at the same radius in the circular area and the annular area is the same, and in the respective areas of the circular area and the annular area, the refractive index gradually decreases with the increase of the radius, and the circular area The minimum value of the refractive index is smaller than the maximum value of the refractive index of the adjacent ring area, and the minimum value of the refractive index of the inner ring area is smaller than the maximum value of the refractive index of the outer ring area. .
进一步地,所述核心层片层还包括覆盖人造微结构的填充层。Further, the core layer sheet also includes a filler layer covering the artificial microstructure.
进一步地,所述核心层包括多个折射率分布相同且相互平行的核心层片层。Further, the core layer includes a plurality of core layer sheets with the same refractive index distribution and parallel to each other.
进一步地,所述超材料面板还包括设置在核心层另一侧的匹配层,以实现从空气到核心层的折射率匹配。Further, the metamaterial panel further includes a matching layer disposed on the other side of the core layer, so as to achieve refractive index matching from the air to the core layer.
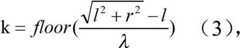
进一步地,所述圆心为核心层片层的中心,所述圆形区域以及多个环形区域的折射率变化范围相同,所述核心层片层的折射率n(r)分布满足如下公式:Further, the center of the circle is the center of the core layer, the range of the refractive index of the circular area and the plurality of annular areas is the same, and the distribution of the refractive index n(r) of the core layer satisfies the following formula:
其中,n(r)表示核心层片层上半径为r处的折射率值;Wherein, n(r) represents the refractive index value at the r place on the core layer sheet;
l为馈源到与其靠近的匹配层的距离,或l为馈源到核心层的距离;l is the distance from the feed source to the matching layer close to it, or l is the distance from the feed source to the core layer;
d为核心层的厚度,d is the thickness of the core layer,
nmax表示核心层片层上的折射率最大值;nmax represents the maximum value of the refractive index on the core layer sheet;
nmin表示核心层片层上的折射率最小值;nmin represents the minimum value of the refractive index on the core layer sheet;
floor表示向下取整数。 floor means rounding down to an integer.
进一步地,所述匹配层包括多个匹配层片层,每一匹配层片层具有单一的折射率,所述匹配层的多个匹配层片层的折射率均满足以下公式:Further, the matching layer includes multiple matching layer sheets, each matching layer sheet has a single refractive index, and the refractive indices of the multiple matching layer sheets of the matching layer all satisfy the following formula:
其中,m表示匹配层的总层数,i表示匹配层片层的编号,其中,靠近核心层的匹配层片层的编号为m。Wherein, m represents the total number of layers of the matching layer, and i represents the serial number of the matching layer slice, wherein the serial number of the matching layer slice close to the core layer is m.
进一步地,所述每一匹配层片层包括材料相同的第一基板及第二基板,所述第一基板与第二基板之间填充空气。Further, each matching ply layer includes a first substrate and a second substrate made of the same material, and air is filled between the first substrate and the second substrate.
进一步地,所述核心层的每一核心层片层的多个人造微结构形状相同,所述圆形区域及环形区域内相同半径处的多个人造微结构具有相同的几何尺寸,且在圆形区域及环形区域各自的区域内随着半径的增大人造微结构的几何尺寸逐渐减小,所述圆形区域内几何尺寸最小的人造微结构的几何尺寸小于与其相邻的环形区域内几何尺寸最大的人造微结构的几何尺寸,相邻两个环形区域,处于内侧的环形区域内几何尺寸最小的人造微结构的几何尺寸小于处于外侧的环形区域内几何尺寸最大的人造微结构的几何尺寸。Further, the multiple artificial microstructures of each core layer of the core layer have the same shape, the multiple artificial microstructures at the same radius in the circular area and the annular area have the same geometric size, and The geometric size of the artificial microstructure gradually decreases with the increase of the radius in the respective areas of the circular area and the annular area, and the geometric size of the artificial microstructure with the smallest geometric size in the circular area is smaller than that of the adjacent annular area. The geometric size of the largest artificial microstructure is adjacent to two annular regions, and the geometric size of the artificial microstructure with the smallest geometric size in the inner annular region is smaller than the geometric size of the largest artificial microstructure in the outer annular region .
进一步地,所述发散元件为凹透镜。Further, the diverging element is a concave lens.
进一步地,所述发散元件为发散超材料面板,所述发散超材料面板包括至少一个发散片层,所述发散片层的折射率以其中心为圆心呈圆形分布,且相同半径处的折射率相同,随着半径的增大折射率逐渐增大。Further, the divergent element is a divergent metamaterial panel, and the divergent metamaterial panel includes at least one divergent sheet layer, the refractive index of the divergent sheet layer is distributed in a circle with its center as the center, and the refraction at the same radius The refractive index is the same, and the refractive index increases gradually with the increase of the radius.
根据本发明的前馈式卫星电视天线,由片状的超材料面板代替了传统的抛物面天线,制造加工更加容易,成本更加低廉。并且,超材料面板与馈源之间还设置有具有电磁波发散功能的发散元件,这样,在馈源接收电磁波的范围一定的情况下(即超材料面板的接收电磁波辐射的范围一定的情况下),可以减小馈源与超材料面板的距离,使得天线的接收电磁的范围不变的情况下,缩小天线的体积。According to the feed-forward satellite TV antenna of the present invention, the traditional parabolic antenna is replaced by a sheet-shaped metamaterial panel, and the manufacturing process is easier and the cost is lower. Moreover, a diverging element with electromagnetic wave divergence function is also arranged between the metamaterial panel and the feed source, so that when the range of the feed source receiving electromagnetic waves is certain (that is, the range of receiving electromagnetic wave radiation of the metamaterial panel is certain) , the distance between the feed source and the metamaterial panel can be reduced, so that the volume of the antenna can be reduced while the receiving electromagnetic range of the antenna remains unchanged.
本发明还提供了一种卫星电视接收系统,包括馈源、高频头及卫星接收机,所述卫星电视接收系统还包括上述的前馈式卫星电视天线,所述前馈式卫星电视天线设置在馈源的后方。The present invention also provides a satellite TV receiving system, including a feed source, a tuner and a satellite receiver, the satellite TV receiving system also includes the above-mentioned feed-forward satellite TV antenna, and the feed-forward satellite TV antenna is set behind the feed.
附图说明Description of drawings
图1是本发明的前馈式卫星电视天线的结构示意图;Fig. 1 is the structural representation of feed-forward type satellite TV antenna of the present invention;
图2是本发明一种形式的超材料单元的透视示意图;Figure 2 is a schematic perspective view of a metamaterial unit in one form of the present invention;
图3是本发明的核心层片层的折射率分布示意图;Fig. 3 is a schematic diagram of the refractive index distribution of the core layer sheet of the present invention;
图4是本发明的一种形式的核心层片层的结构示意图;Fig. 4 is a schematic structural view of a core layer sheet of a form of the present invention;
图5是本发明的匹配层的结构示意图;Fig. 5 is a structural schematic diagram of a matching layer of the present invention;
图6是本发明的发散片层的折射率分布示意图;Fig. 6 is a schematic diagram of the refractive index distribution of the diverging sheet of the present invention;
图7是本发明一种形式的的发散片层的结构示意图;Fig. 7 is a structural schematic diagram of a divergent sheet in one form of the present invention;
图8是图7去掉基材后的正视图;Fig. 8 is a front view after removing the base material in Fig. 7;
图9是具有多个如图7所示的发散片层的发散超材料面板的结构示意图;Fig. 9 is a structural schematic diagram of a diverging metamaterial panel having a plurality of diverging sheets as shown in Fig. 7;
图10是本发明另一种形式的发散片层的结构示意图;Fig. 10 is a schematic structural view of another form of divergent sheet of the present invention;
图11是具有多个如图10所示的发散片层的发散超材料面板的结构示意图。FIG. 11 is a schematic structural view of a diverging metamaterial panel with multiple diverging sheets as shown in FIG. 10 .
具体实施方式Detailed ways
如图1至图5所示,根据本发明前馈式卫星电视天线包括设置在馈源1后方的具有电磁波发散功能的发散元件200,以及设置在发散元件200后方的超材料面板100,所述超材料面板100包括核心层10及设置在核心层10一侧表面的反射板200,所述核心层10包括至少一个核心层片层11,所述核心层片层包括片状的基材13以及设置在基材13上的多个人造微结构12,所述核心层片层11按照折射率分布可划分为位于中间位置的圆形区域Y以及分布在圆形区域Y周围且与所述圆形区域共圆心的多个环形区域(图中分别用H1,H2,H3,H4,H5表示),所述圆形区域Y及环形区域内相同半径处的折射率相同,且在圆形区域及环形区域各自的区域内随着半径的增大折射率逐渐减小,所述圆形区域的折射率的最小值小于与其相邻的环形区域的折射率的最大值,相邻两个环形区域,处于内侧的环形区域的折射率的最小值小于处于外侧的环形区域的折射率的最大值。核心层片层11按照折射率划分为圆形区域与多个环形区域是为了更好的描述本发明,并不意味着本发明的核心层片层11具有此种实际结构。本发明中,馈源1设置在超材料面板的中轴线上,即馈源与核心层片层11的中心的连线与超材料面板的中轴线重合。馈源1与超材料面板100均有支架支撑,图中并未示出支架,其不是本发明的核心,采用传统的支撑方式即可。另外馈源优选为喇叭天线。此处的环形,既包括图3中完整的环形区域,也包括图3中不完整的环形区域。图中的核心层片层11呈方形,当然,也可以是其它形状,例如圆柱形,当其为圆柱形时,所有环形区域都可以是完整的环形区域。另外,图3中,也可以没有环形区域H4及H5,此时的H4及H5可以是均匀的折射率分布(即H4及H5的位置上不设置人造微结构)。另外,反射板为具有光滑的表面的金属反射板,例如可以是抛光的铜板、铝板或铁板等。As shown in Figures 1 to 5, according to the present invention, the feed-forward satellite TV antenna includes a diverging
如图1至图4所示,所述核心层10包括多个折射率分布相同且相互平行的核心层片层11。多个核心层片层11紧密贴合,相互之间可以通过双面胶粘接,或者通过螺栓等固定连接。另外相邻的核心层片层11还包括填充层15,填充层15可以空气,也可以是其它介质板,优选为与基材13相同的材料制成的板状件。每一核心层片层11的基材13可以划分为多个相同超材料单元D,每一超材料单元D由一个人造微结构12、单元基材V及单元填充层W构成,每一核心层片层11在厚度方向上只有一个超材料单元D。每一超材料单元D可以是完全相同的方块,可以是立方体,也可是长方体,每一超材料单元D的长、宽、高几何尺寸不大于入射电磁波波长的五分之一(通常为入射电磁波波长的十分之一),以使得整个核心层对电磁波具有连续的电场和/或磁场响应。优选情况下,所述超材料单元D为边长是入射电磁波波长十分之一的立方体。当然,填充层的厚度是可以调节的,其最小值可以至0,也就是说不需要填充层,此种情况下,基材与人造微结构组成超材料单元,即此时超材料单元D的厚度等于单元基材V的厚度加上人造微结构的厚度,但是此时,超材料单元D的厚度也要满足十分之一波长的要求,因此,实际上,在超材料单元D的厚度选定在十分之一波长的情况下,单元基材V的厚度越大,则单元填充层W的厚度越小,当然最优的情况下,即是如图2所示的情况,即单元基材V的厚度等于单元填充层W的厚度,且元单元基材V的材料与填充层W的相同。As shown in FIGS. 1 to 4 , the
本发明的人造微结构12优选为金属微结构,所述金属微结构由一条或多条金属线组成。金属线本身具有一定的宽度及厚度。本发明的金属微结构优选为具有各向同性的电磁参数的金属微结构,如图2所述的平面雪花状的金属微结构。The artificial microstructure 12 of the present invention is preferably a metal microstructure composed of one or more metal wires. The metal wire itself has a certain width and thickness. The metal microstructure of the present invention is preferably a metal microstructure with isotropic electromagnetic parameters, such as the planar snowflake-shaped metal microstructure as shown in FIG. 2 .
对于具有平面结构的人造微结构,各向同性,是指对于在该二维平面上以任一角度入射的任一电磁波,上述人造微结构在该平面上的电场响应和磁场响应均相同,也即介电常数和磁导率相同;对于具有三维结构的人造微结构,各向同性是指对于在三维空间的任一方向上入射的电磁波,每个上述人造微结构在三维空间上的电场响应和磁场响应均相同。当人造微结构为90度旋转对称结构时,人造微结构即具有各向同性的特征。For artificial microstructures with a planar structure, isotropy means that for any electromagnetic wave incident on the two-dimensional plane at any angle, the electric field response and magnetic field response of the artificial microstructure on the plane are the same, and That is, the permittivity and permeability are the same; for artificial microstructures with three-dimensional structures, isotropy refers to the electric field response and The magnetic field response is the same for all. When the artificial microstructure is a 90-degree rotationally symmetrical structure, the artificial microstructure has isotropic characteristics.
对于二维平面结构,90度旋转对称是指其在该平面上绕一垂直于该平面且过其对称中心的旋转轴任意旋转90度后与原结构重合;对于三维结构,如果具有两两垂直且共交点(交点为旋转中心)的3条旋转轴,使得该结构绕任一旋转轴旋转90度后均与原结构重合或者与原结构以一分界面对称,则该结构为90度旋转对称结构。For a two-dimensional planar structure, 90-degree rotational symmetry means that it coincides with the original structure after being arbitrarily rotated 90 degrees on the plane around a rotation axis perpendicular to the plane and passing through its center of symmetry; for a three-dimensional structure, if there are two perpendicular And there are three rotation axes at the intersection point (the intersection point is the center of rotation), so that after the structure is rotated 90 degrees around any rotation axis, it will coincide with the original structure or be symmetrical with the original structure at an interface, then the structure is 90-degree rotational symmetry structure.
图2所示的平面雪花状的金属微结构即为各向同性的人造微结构的一种形式,所述的雪花状的金属微结构具有相互垂直平分的第一金属线121及第二金属线122,所述第一金属线121两端连接有相同长度的两个第一金属分支1211,所述第一金属线121两端连接在两个第一金属分支1211的中点上,所述第二金属线122两端连接有相同长度的两个第二金属分支1221,所述第二金属线122两端连接在两个第二金属分支1221的中点上。The plane snowflake-like metal microstructure shown in Figure 2 is a form of isotropic artificial microstructure, and the described snowflake-like metal microstructure has a
已知折射率其中μ为相对磁导率,ε为相对介电常数,μ与ε合称为电磁参数。实验证明,电磁波通过折射率非均匀的介质材料时,会向折射率大的方向偏折(向折射率大的超材料单元偏折)。因此,本发明的核心层对电磁波具有汇聚作用,卫星发出的电磁波首先通过核心层的第一次汇聚作用,经过反射板反射,再通过核心层的第二次汇聚作用,因此,合理设计核心层的折射率分布,可以使得卫星发出的电磁波依次经过第一次汇聚、反射板反射及第二汇聚后,可以汇聚到馈源上。在基材的材料以及填充层的材料选定的情况下,可以通过设计人造微结构的形状、几何尺寸和/或人造微结构在基材上的排布获得超材料内部的电磁参数分布,从而设计出每一超材料单元的折射率。首先从超材料所需要的效果出发计算出超材料内部的电磁参数空间分布(即每一超材料单元的电磁参数),根据电磁参数的空间分布来选择每一超材料单元上的人造微结构的形状、几何尺寸(计算机中事先存放有多种人造微结构数据),对每一超材料单元的设计可以用穷举法,例如先选定一个具有特定形状的人造微结构,计算电磁参数,将得到的结果和我们想要的对比,循环多次,一直到找到我们想要的电磁参数为止,若找到了,则完成了人造微结构的设计参数选择;若没找到,则换一种形状的人造微结构,重复上面的循环,一直到找到我们想要的电磁参数为止。如果还是未找到,则上述过程也不会停止。也就是说只有找到了我们需要的电磁参数的人造微结构,程序才会停止。由于这个过程都是由计算机完成的,因此,看似复杂,其实很快就能完成。known refractive index Among them, μ is the relative magnetic permeability, ε is the relative permittivity, and μ and ε are collectively called electromagnetic parameters. Experiments have proved that when electromagnetic waves pass through a dielectric material with a non-uniform refractive index, they will be deflected toward a direction with a large refractive index (towards a metamaterial unit with a large refractive index). Therefore, the core layer of the present invention has a converging effect on electromagnetic waves. The electromagnetic waves sent by the satellite first pass through the first converging effect of the core layer, reflect through the reflector, and then pass through the second converging effect of the core layer. Therefore, the rational design of the core layer The distribution of the refractive index can make the electromagnetic waves emitted by the satellite converge on the feed source after the first convergence, the reflection of the reflector and the second convergence in sequence. When the material of the substrate and the material of the filling layer are selected, the electromagnetic parameter distribution inside the metamaterial can be obtained by designing the shape, geometric size and/or arrangement of the artificial microstructure on the substrate, thereby The refractive index of each metamaterial unit is designed. Firstly, the spatial distribution of electromagnetic parameters inside the metamaterial (that is, the electromagnetic parameters of each metamaterial unit) is calculated from the effect required by the metamaterial, and the artificial microstructure on each metamaterial unit is selected according to the spatial distribution of electromagnetic parameters. Shape, geometric size (multiple artificial microstructure data are stored in the computer in advance), the design of each metamaterial unit can be exhaustive, for example, first select an artificial microstructure with a specific shape, calculate the electromagnetic parameters, and The obtained result is compared with what we want, and the cycle is repeated several times until the electromagnetic parameters we want are found. If found, the design parameter selection of the artificial microstructure is completed; if not found, change to another shape. Artificial microstructure, repeat the above cycle until we find the electromagnetic parameters we want. If it is still not found, the above process will not stop. That is to say, the program will stop only when an artificial microstructure with the electromagnetic parameters we need is found. Since this process is completed by a computer, it may seem complicated, but it can be completed very quickly.
本发明中,所述核心层的基材由陶瓷材料、高分子材料、铁电材料、铁氧材料或铁磁材料等制得。高分子材料可选用的有聚四氟乙烯、环氧树脂、F4B复合材料、FR-4复合材料等。例如,聚四氟乙烯的电绝缘性非常好,因此不会对电磁波的电场产生干扰,并且具有优良的化学稳定性、耐腐蚀性,使用寿命长。In the present invention, the base material of the core layer is made of ceramic material, polymer material, ferroelectric material, ferrite material or ferromagnetic material. Polymer materials can be selected from polytetrafluoroethylene, epoxy resin, F4B composite material, FR-4 composite material, etc. For example, polytetrafluoroethylene has very good electrical insulation, so it will not interfere with the electric field of electromagnetic waves, and has excellent chemical stability, corrosion resistance, and long service life.
本发明中,所述金属微结构为铜线或银线等金属线。上述的金属线可以通过蚀刻、电镀、钻刻、光刻、电子刻或离子刻的方法附着在基材上。当然,也可以采用三维的激光加工工艺。In the present invention, the metal microstructure is metal wires such as copper wires or silver wires. The above metal wires can be attached to the substrate by etching, electroplating, drilling, photolithography, electron etching or ion etching. Of course, three-dimensional laser processing technology can also be used.
如图1所示,为本发明第一实施例的超材料面板的结构示意图,在本实施例中,所述超材料面板还包括设置在核心层另一侧的匹配层20,以实现从空气到核心层10的折射率匹配。我们知道,介质之间的折射率相差越大,则电磁波从一介质入射到另一介质时,反射越大,反射大,意味着能量的损失,这时候就需要折射率的匹配,已知折射率其中μ为相对磁导率,ε为相对介电常数,μ与ε合称为电磁参数。我们知道空气的折射率为1,因此,这样设计匹配层,即靠近空气的一侧的折射率与空气基本相同,靠近核心层的一侧的折射率与其相接的核心层片层折射率基本相同。这样,就实现了从空气到核心层的折射率匹配,减小了反射,即能量损失可以大大的降低,这样电磁波可以传输的更远。As shown in Figure 1, it is a schematic structural diagram of the metamaterial panel of the first embodiment of the present invention. In this embodiment, the metamaterial panel also includes a
本实施例中,如图1及图3所示,所述圆形区域Y的圆心为核心层片层11的中心O,所述圆形区域Y以及多个环形区域的折射率变化范围相同,所述核心层片层11的折射率n(r)分布满足如下公式:In this embodiment, as shown in FIG. 1 and FIG. 3 , the center of the circular region Y is the center O of the
其中,n(r)表示核心层片层上半径为r处的折射率值;也即核心层片层上半径为r的超材料单元的折射率;此处半径指的是每一单元基材V的中点到核心层片层的中心O(圆心)的距离,此处的单元基材V的中点,指的是单元基材V与中点O同一平面的一表面的中点。Among them, n(r) represents the refractive index value at the radius r on the core layer sheet; that is, the refractive index of the metamaterial unit whose radius is r on the core layer sheet; the radius here refers to the base material of each unit The distance from the midpoint of V to the center O (circle center) of the core layer, the midpoint of the unit substrate V here refers to the midpoint of a surface on the same plane as the unit substrate V and the midpoint O.
l为馈源1到与其靠近的匹配层20的距离;l is the distance from the
d为核心层的厚度,d is the thickness of the core layer,
nmax表示核心层片层11上的折射率最大值;nmax represents the maximum value of the refractive index on the
nmin表示核心层片层11上的折射率最小值;所述圆形区域Y以及多个环形区域的折射率变化范围相同,是指圆形区域Y,及多个环形区域折射率均是由里向外由nmax连续减小到nmin。作为一示例,nmax可以取值6,nmin取值1,即,圆形区域Y,及多个环形区域折射率均是由里向外由6连续减小到1。nmin represents the minimum value of the refractive index on the
floor表示向下取整数;k可以用来表示圆形区域及环形区域的编号,当k=0,表示圆形区域,当k=1时,表示与圆形区域相邻的第一个环形区域;当k=2时,表示第一个环形区域相邻的第二个环形区域;以此类推。即r的最大值确定了有多少个环形区域。每一核心层片层的厚度通常是一定的(通常是入射电磁波波长的十分之一),这样,在核心层形状选定的情况下(可以是圆柱形或方形),核心层片层的尺寸就可以得到确定。 floor means rounding down to an integer; k can be used to indicate the number of the circular area and the circular area. When k=0, it means the circular area. When k=1, it means the first circular area adjacent to the circular area. ; When k=2, it means the second annular area adjacent to the first annular area; and so on. That is, the maximum value of r determines how many annular regions there are. The thickness of each core layer sheet is usually certain (usually one-tenth of the wavelength of the incident electromagnetic wave), so that when the core layer shape is selected (it can be cylindrical or square), the thickness of the core layer sheet size can be determined.
由公式(1)、公式(2)、公式(3)所确定的核心层10,能够保证卫星发出的电磁波汇聚到馈源处。这个通过计算机模拟仿真,或者利用光学原理可以得到(即利用光程相等计算)。The
本实施例中,核心层片层11的厚度是一定的,通常在入射电磁波波长λ的五分之一以下,优选是入射电磁波波长λ的十分之一。这样,在设计时,如果选定了核心层片层11的层数,则核心层的厚度d就已经确定了,因此,对于不同频率的前馈式卫星电视天线(波长不同),由公式(2)我们知道,通过合理设计(nmax-nmin)的值,就可以得到任意我们想要的频率的前馈式卫星电视天线。例如,C波段和Ku波段。C波段的频率范围是3400MHz~4200MHz。Ku波段的频率10.7~12.75GHz,其中可分为10.7~11.7GHz、11.7~12.2GHz、12.2~12.75GHz等频段。In this embodiment, the thickness of the
如图1所示,本实施例中,所述匹配层20包括多个匹配层片层21,每一匹配层片层21具有单一的折射率,所述匹配层的多个匹配层片层的折射率均满足以下公式:As shown in Figure 1, in this embodiment, the
其中,m表示匹配层的总层数,i表示匹配层片层的编号,其中,靠近核心层的匹配层片层的编号为m。从公式(4)我们可以看出,匹配层的设置(总层数m)与核心层的最大折射率nmax与最小折射率nmin有直接关系;当i=1时,表示第1层的折射率,由于其要基本等于空气的折射率1,因此,只要nmax与nmin确定,则可以确定总层数m。Wherein, m represents the total number of layers of the matching layer, and i represents the serial number of the matching layer slice, wherein the serial number of the matching layer slice close to the core layer is m. From formula (4), we can see that the setting of the matching layer (the total number of layers m) is directly related to the maximum refractive index nmax and the minimum refractive index nmin of the core layer; when i=1, it means that the first layer Refractive index, since it is basically equal to the
匹配层20可以是由自然界中存在的多个具有单一折射率的材料制成,也可是用如图5所示的匹配层,其包括多个匹配层片层21,每一匹配层片层21包括材料相同的第一基板22及第二基板23,所述第一基板21与第二基板22之间填充空气。通过控制空气的体积与匹配层片层21的体积的比例,可以实现折射率从1(空气的折射率)到第一基板的折射率的变化,从而可以合理设计每一匹配层片层的折射率,实现从空气到核心层的折射率匹配。The
图4为一种形式的核心层片层11,所述核心层的每一核心层片层11的多个人造微结构12形状相同,均为平面雪花状的金属微结构,且金属微结构的中心点与单元基材V的中点重合,所述圆形区域及环形区域内相同半径处的多个人造微结构具有相同的几何尺寸,且在圆形区域及环形区域各自的区域内随着半径的增大人造微结构12的几何尺寸逐渐减小,所述圆形区域内几何尺寸最小的人造微结构的几何尺寸小于与其相邻的环形区域内几何尺寸最大的人造微结构的几何尺寸,相邻两个环形区域,处于内侧的环形区域内几何尺寸最小的人造微结构的几何尺寸小于处于外侧的环形区域内几何尺寸最大的人造微结构的几何尺寸。由于每一超材料单元的折射率是随着金属微结构的尺寸减小而逐渐减小的,因此人造微结构几何尺寸越大,则其对应的折射率越大,因此,通过此方式可以实现核心层片层的折射率分布按公式(1)的分布。Fig. 4 is a
根据不同的需要(不同的电磁波),以及不同的设计需要,核心层10可以包括不同层数的如图4所示的核心层片层11。According to different requirements (different electromagnetic waves), and different design requirements, the
本发明还有第二种实施例,第二实施例与第一实施例的区别在于核心层片层11的折射率n(r)分布公式中的l表示馈源到核心层的距离(第一实施例中l表示馈源到与其靠近的匹配层的距离)。The present invention also has a second embodiment, the difference between the second embodiment and the first embodiment is that l in the distribution formula of the refractive index n(r) of the
在本发明中,所述发散元件200可以是凹透镜也可是图9或图11所示的发散超材料面板300,所述发散超材料面板300包括至少一个发散片层301,所述发散片层301的折射率如图6所示,所述发散片层301的折射率以其中心O3为圆心呈圆形分布,且相同半径处的折射率相同,随着半径的增大折射率逐渐增大。超材料面板与馈源之间设置具有电磁波发散功能的发散元件,这样,在馈源接收电磁波的范围一定的情况下(即超材料面板的接收电磁波辐射的范围一定的情况下),可以减小馈源与超材料面板的距离,使得天线的接收电磁的范围不变的情况下,缩小天线的体积。In the present invention, the diverging
发散片层301上的折射率分布规律可以为线性变化,即nR=nmin+KR,K为常数,R为半径(以发散片层301的中心O3为圆心),nmin为发散片层301上的折射率最小值,也即发散片层301的中心O3处的折射率。另外,发散片层301上的折射率分布规律亦可为平方率变化,即nR=nmin+KR2;或为立方率变化即nR=nmin+KR3;或为冥函数变化,即nR=nmin*KR等。The distribution law of the refractive index on the divergent sheet 301 can be a linear change, that is, nR =nmin +KR, K is a constant, R is the radius (with the center O3 of the divergent sheet 301 as the center), and nmin is the divergent sheet The minimum value of the refractive index on 301 is the refractive index at the center O3 of the diverging sheet 301 . In addition, the distribution law of the refractive index on the diverging sheet 301 can also be a square rate change, that is, nR =nmin +KR2 ; or a cubic rate change, that is, nR =nmin +KR3 ; or a ghost function change, That is, nR =nmin *KR and so on.
图7是实现图6所示的折射率分布的一种形式的发散片层400,如图7及图8所示,所述发散片层400包括片状的基材401、附着在基材401上的金属微结构402及覆盖金属微结构402的支撑层403,发散片层400可划分为多个相同的第一发散单元404,每一第一发散单元包括一金属微结构402以及其所占据的基材单元405及支撑层单元406,每一发散片层400在厚度方向上只有一个第一发散单元404,每一第一发散单元404可以是完全相同的方块,可以是立方体,也可是长方体,每一第一发散单元404的长、宽、高体积不大于入射电磁波波长的五分之一(通常为入射电磁波波长的十分之一),以使得整个发散片层对电磁波具有连续的电场和/或磁场响应。优选情况下,所述第一发散单元404为边长是入射电磁波波长十分之一的立方体。优选情况下,本发明的所述第一发散单元404的结构形式与图2所示的超材料单元D相同。Fig. 7 is a kind of
图8所示为图7去掉基材后的正视图,从图8中可以清楚地看出多个金属微结构402的空间排布,以发散片层400中心O3为圆心(此处的O3在最中间的金属微结构的中点上),相同半径上的金属微结构402具有相同的几何尺寸,并且随着半径的增大金属微结构402的几何尺寸逐渐增大。此处的半径,是指每一金属微结构402的中心到发散片层400中心O3的距离。Fig. 8 shows the front view of Fig. 7 after removing the base material. From Fig. 8, it can be clearly seen that the spatial arrangement of a plurality of
所述发散片层400的基材401由陶瓷材料、高分子材料、铁电材料、铁氧材料或铁磁材料等制得。高分子材料可选用的有聚四氟乙烯、环氧树脂、F4B复合材料、FR-4复合材料等。例如,聚四氟乙烯的电绝缘性非常好,因此不会对电磁波的电场产生干扰,并且具有优良的化学稳定性、耐腐蚀性,使用寿命长。The
所述金属微结构402为铜线或银线等金属线。上述的金属线可以通过蚀刻、电镀、钻刻、光刻、电子刻或离子刻的方法附着在基材上。当然,也可以采用三维的激光加工工艺。所述金属微结构402可以采用如图8所示的平面雪花状的金属微结构。当然也可是平面雪花状的金属微结构的衍生结构。还可以是“工”字形、“十”字形等金属线。The
图9所示为利用多个图7所示的发散片层400所形成的发散超材料面板300。图中有三层,当然根据不同需要,发散超材料面板300可以是由其它层数的发散片层400构成。所述的多个发散片层400紧密贴合,相互之间可以通过双面胶粘接,或者通过螺栓等固定连接。另外,在图9所示的发散超材料面板300的两侧还可以设置如图5所示的匹配层,以实现折射率的匹配,降低电磁波的反射,增强信号接收。FIG. 9 shows a diffuse
图10是实现图6所示的折射率分布的另一种形式的发散片层500,所述发散片层500包括片状的基材501及设置在基材501上的人造孔结构502,发散片层500可划分为多个相同的第二发散单元504,每一第二发散单元504包括一人造孔结构502以及其所占据的基材单元505,每一发散片层500在厚度方向上只有一个第二发散单元504,每一第二发散单元504可以是完全相同的方块,可以是立方体,也可是长方体,每一第二发散单元504的长、宽、高体积不大于入射电磁波波长的五分之一(通常为入射电磁波波长的十分之一),以使得整个发散片层对电磁波具有连续的电场和/或磁场响应。优选情况下,所述第二发散单元504为边长是入射电磁波波长十分之一的立方体。Fig. 10 is another form of
如图10所示,所述发散片层500上的人造孔结构均为圆柱孔,以发散片层500中心O3为圆心(此处的O3在最中间的人造孔结构的中轴线上),相同半径上的人造孔结构502具有相同的体积,并且随着半径的增大人造孔结构402的体积逐渐减小。此处的半径,是指每一人造孔结构502的中心轴线到发散片层500最中间的人造孔结构的中轴线的垂直距离。因此,当每一圆柱孔中填充折射率小于基材的介质材料(例如空气),即可实现图6所示的折射率分布。当然,如果以发散片层500中心O3为圆心,相同半径上的人造孔结构502具有相同的体积,并且随着半径的增大人造孔结构402的体积逐渐增大,则需要在每一圆柱孔中填充折射率大于基材的介质材料,才能实现图6所示的折射率分布。As shown in Figure 10, the man-made hole structures on the diverging
当然,发散片层并不限于上述此种形式,例如,每个人造孔结构可以分成若干个体积相同的单元孔,通过每个基材单元上的单元孔的数量来控制每一第二发散单元上的人造孔结构的体积也可以实现相同的目的。再例如,发散片层还可以是如下的形式,即,同一发散片层所有的人造孔结构体积相同,但是其填充的介质的折射率满足图6所示的分布,即相同半径上填充的介质材料折射率相同,并且随着半径的增大填充的介质材料折射率逐渐减小。Of course, the divergent sheet layer is not limited to the above-mentioned form, for example, each artificial hole structure can be divided into several unit holes with the same volume, and the number of unit holes on each substrate unit is used to control the number of second divergent units. The volume of the artificial pore structure on it can also achieve the same purpose. For another example, the divergent sheet layer can also be in the following form, that is, all the artificial pore structures of the same divergent sheet layer have the same volume, but the refractive index of the medium it fills satisfies the distribution shown in Figure 6, that is, the filled medium on the same radius The refractive index of the material is the same, and the refractive index of the filled medium material decreases gradually with the increase of the radius.
所述发散片层500的基材501由陶瓷材料、高分子材料、铁电材料、铁氧材料或铁磁材料等制得。高分子材料可选用的有聚四氟乙烯、环氧树脂、F4B复合材料、FR-4复合材料等。例如,聚四氟乙烯的电绝缘性非常好,因此不会对电磁波的电场产生干扰,并且具有优良的化学稳定性、耐腐蚀性,使用寿命长。The
所述人造孔结构502可以通过高温烧结、注塑、冲压或数控打孔的方式形成在基材上。当然对于不同材料的基材,人造孔结构的生成方式也会有所不同,例如,当选用陶瓷材料作为基材时,优选采用高温烧结的形式在基材上生成人造孔结构。当选用高分子材料作为基材时,例如聚四氟乙烯、环氧树脂,则优选采用注塑或冲压的形式在基材上生成人造孔结构。The
上述的人造孔结构502可以是圆柱孔、圆锥孔、圆台孔、梯形孔或方形孔一种或组合。当然也可以是其它形式的孔。每一第二发散单元上的人造孔结构的形状根据不同的需要,可以相同,也可以不同。当然,为了更加容易加工制造,整个超材料,优选情况下,采用同一种形状的孔。The aforementioned
图11所示为利用多个图10所示的发散片层500所形成的发散超材料面板300。图中有三层,当然根据不同需要,发散超材料面板300可以是由其它层数的发散片层500构成。所述的多个发散片层500紧密贴合,相互之间可以通过双面胶粘接,或者通过螺栓等固定连接。另外,在图11所示的发散超材料面板300的两侧还可以设置如图5所示的匹配层,以实现折射率的匹配,降低电磁波的反射,增强信号接收。FIG. 11 shows a diverging
另外,本发明还提供本发明还提供了一种卫星电视接收系统,包括馈源、高频头及卫星接收机,所述卫星电视接收系统还包括上述的前馈式卫星电视天线,所述前馈式卫星电视天线设置在馈源的后方。In addition, the present invention also provides a satellite TV receiving system, including a feed source, a tuner and a satellite receiver, and the satellite TV receiving system also includes the above-mentioned feed-forward satellite TV antenna, the front The feeding satellite TV antenna is set behind the feeding source.
馈源、高频头及卫星接收机均为现有的技术,此处不再述说。Feed source, tuner and satellite receiver are all existing technologies, and will not be described here.
上面结合附图对本发明的实施例进行了描述,但是本发明并不局限于上述的具体实施方式,上述的具体实施方式仅仅是示意性的,而不是限制性的,本领域的普通技术人员在本发明的启示下,在不脱离本发明宗旨和权利要求所保护的范围情况下,还可做出很多形式,这些均属于本发明的保护之内。Embodiments of the present invention have been described above in conjunction with the accompanying drawings, but the present invention is not limited to the above-mentioned specific implementations, and the above-mentioned specific implementations are only illustrative, rather than restrictive, and those of ordinary skill in the art will Under the enlightenment of the present invention, many forms can also be made without departing from the gist of the present invention and the protection scope of the claims, and these all belong to the protection of the present invention.
| Application Number | Priority Date | Filing Date | Title |
|---|---|---|---|
| CN 201110242625CN102480042B (en) | 2011-08-23 | 2011-08-23 | Feed-forward type satellite television antenna and satellite television receiving system thereof |
| EP11870155.6AEP2738872B1 (en) | 2011-07-26 | 2011-11-18 | Front feed satellite television antenna and satellite television receiver system thereof |
| PCT/CN2011/082443WO2013013458A1 (en) | 2011-07-26 | 2011-11-18 | Front feed satellite television antenna and satellite television receiver system thereof |
| US14/235,057US9331393B2 (en) | 2011-07-26 | 2011-11-18 | Front feed satellite television antenna and satellite television receiver system thereof |
| Application Number | Priority Date | Filing Date | Title |
|---|---|---|---|
| CN 201110242625CN102480042B (en) | 2011-08-23 | 2011-08-23 | Feed-forward type satellite television antenna and satellite television receiving system thereof |
| Publication Number | Publication Date |
|---|---|
| CN102480042A CN102480042A (en) | 2012-05-30 |
| CN102480042Btrue CN102480042B (en) | 2013-06-12 |
| Application Number | Title | Priority Date | Filing Date |
|---|---|---|---|
| CN 201110242625ActiveCN102480042B (en) | 2011-07-26 | 2011-08-23 | Feed-forward type satellite television antenna and satellite television receiving system thereof |
| Country | Link |
|---|---|
| CN (1) | CN102480042B (en) |
| Publication number | Priority date | Publication date | Assignee | Title |
|---|---|---|---|---|
| CN102820546B (en)* | 2012-07-31 | 2015-02-04 | 深圳光启创新技术有限公司 | Microwave antenna adopting metal ellipsoid and similar hyperbolic type metamaterial subreflector |
| CN102821589B (en)* | 2012-08-03 | 2015-07-01 | 深圳光启创新技术有限公司 | Wave absorbing material |
| Publication number | Priority date | Publication date | Assignee | Title |
|---|---|---|---|---|
| CN101587990A (en)* | 2009-07-01 | 2009-11-25 | 东南大学 | Broad band cylindrical lens antenna based on artificial electromagnetic materials |
| CN101699659A (en)* | 2009-11-04 | 2010-04-28 | 东南大学 | Lens antenna |
| CN101867094A (en)* | 2010-05-02 | 2010-10-20 | 兰州大学 | A Focused Panel Antenna |
| Publication number | Priority date | Publication date | Assignee | Title |
|---|---|---|---|---|
| US8576132B2 (en)* | 2009-10-22 | 2013-11-05 | Lockheed Martin Corporation | Metamaterial lens feed for multiple beam antennas |
| Publication number | Priority date | Publication date | Assignee | Title |
|---|---|---|---|---|
| CN101587990A (en)* | 2009-07-01 | 2009-11-25 | 东南大学 | Broad band cylindrical lens antenna based on artificial electromagnetic materials |
| CN101699659A (en)* | 2009-11-04 | 2010-04-28 | 东南大学 | Lens antenna |
| CN101867094A (en)* | 2010-05-02 | 2010-10-20 | 兰州大学 | A Focused Panel Antenna |
| Publication number | Publication date |
|---|---|
| CN102480042A (en) | 2012-05-30 |
| Publication | Publication Date | Title |
|---|---|---|
| CN103036046B (en) | A kind of feedback type satellite tv antenna and satellite television receiving system thereof | |
| CN102480027B (en) | Offset-feed type satellite television antenna and satellite television receiving system thereof | |
| CN102480040B (en) | Offset-feed type satellite television antenna and satellite television receiving system thereof | |
| CN103682665B (en) | A kind of metamaterial microwave antenna | |
| CN102480042B (en) | Feed-forward type satellite television antenna and satellite television receiving system thereof | |
| CN102480041A (en) | Feed-forward type satellite television antenna and satellite television receiving system thereof | |
| CN102480022B (en) | Rear-feed type satellite television antenna and satellite television receiving system | |
| CN102810767B (en) | Super material microwave antenna taking the super material of class spheroid shape as subreflector | |
| CN102820546B (en) | Microwave antenna adopting metal ellipsoid and similar hyperbolic type metamaterial subreflector | |
| CN103066394B (en) | A kind of feed forward type satellite tv antenna and satellite television receiving system thereof | |
| CN103036064A (en) | Cassegrain type metamaterial antenna | |
| CN102480028B (en) | Feed-backward type satellite television antenna and satellite television receiving system thereof | |
| CN103036044B (en) | Fallback type satellite television antenna and satellite television receiving system with same | |
| CN102904034B (en) | Feed-forward satellite television antenna and satellite television reception system with same | |
| CN102956980B (en) | A kind of feed forward type satellite tv antenna and satellite television receiving system thereof | |
| CN102820550B (en) | Microwave antenna with metal elliptical surface and elliptical-like metal metamaterial as sub-reflecting surfaces | |
| CN103682671B (en) | A kind of metamaterial microwave antenna | |
| CN102709701A (en) | Offset-fed satellite television antenna and satellite television receiving system thereof | |
| CN103066393B (en) | A kind of offset-feed type satellite tv antenna and satellite television receiving system thereof | |
| CN103036045B (en) | A kind of feedback type satellite tv antenna and satellite television receiving system thereof | |
| CN102904032B (en) | Feedback satellite television antenna and satellite television receiving system thereof | |
| CN103682669B (en) | A metamaterial microwave antenna | |
| CN102956979B (en) | A kind of feedback type satellite tv antenna and satellite television receiving system thereof | |
| CN103682663B (en) | A kind of metamaterial microwave antenna | |
| CN102956981B (en) | Off-set type satellite television antenna and satellite television receiving system |
| Date | Code | Title | Description |
|---|---|---|---|
| C06 | Publication | ||
| PB01 | Publication | ||
| C10 | Entry into substantive examination | ||
| SE01 | Entry into force of request for substantive examination | ||
| C14 | Grant of patent or utility model | ||
| GR01 | Patent grant |