Movatterモバイル変換


[0]ホーム

URL:


CN102443447B - Diesel composition and method for improving oxidation stability of biodiesel - Google Patents

Diesel composition and method for improving oxidation stability of biodiesel
Download PDF

Info

Publication number
CN102443447B
CN102443447BCN201010511469.3ACN201010511469ACN102443447BCN 102443447 BCN102443447 BCN 102443447BCN 201010511469 ACN201010511469 ACN 201010511469ACN 102443447 BCN102443447 BCN 102443447B
Authority
CN
China
Prior art keywords
amidine
diesel oil
type compound
biofuel
oil
Prior art date
Legal status (The legal status is an assumption and is not a legal conclusion. Google has not performed a legal analysis and makes no representation as to the accuracy of the status listed.)
Active
Application number
CN201010511469.3A
Other languages
Chinese (zh)
Other versions
CN102443447A (en
Inventor
蔺建民
李航
张永光
李宝石
刘金胜
Current Assignee (The listed assignees may be inaccurate. Google has not performed a legal analysis and makes no representation or warranty as to the accuracy of the list.)
Sinopec Research Institute of Petroleum Processing
China Petroleum and Chemical Corp
Original Assignee
Sinopec Research Institute of Petroleum Processing
China Petroleum and Chemical Corp
Priority date (The priority date is an assumption and is not a legal conclusion. Google has not performed a legal analysis and makes no representation as to the accuracy of the date listed.)
Filing date
Publication date
Application filed by Sinopec Research Institute of Petroleum Processing , China Petroleum and Chemical CorpfiledCriticalSinopec Research Institute of Petroleum Processing
Priority to CN201010511469.3ApriorityCriticalpatent/CN102443447B/en
Publication of CN102443447ApublicationCriticalpatent/CN102443447A/en
Application grantedgrantedCritical
Publication of CN102443447BpublicationCriticalpatent/CN102443447B/en
Activelegal-statusCriticalCurrent
Anticipated expirationlegal-statusCritical

Links

Classifications

Landscapes

Abstract

Translated fromChinese

本发明提供了一种柴油组合物和提高生物柴油氧化安定性的方法,该柴油组合物含有基础柴油和添加剂,其特征在于,所述基础柴油含生物柴油,所述添加剂含有脒型化合物,所述脒型化合物为下述结构式(1)所示的化合物和/或具有两个环状结构的脒型化合物,结构式(1)中,R1、R2、R3和R4各自为H或碳原子数为1-30的烃基,且R1、R2、R3和R4中至少一个为碳原子数为1-30的烃基。本发明提供的柴油组合物具有较好的氧化安定性。The invention provides a diesel oil composition and a method for improving the oxidation stability of biodiesel. The diesel oil composition contains base diesel oil and additives. It is characterized in that the base diesel oil contains biodiesel, and the additives contain amidine compounds. The amidine-type compound is a compound shown in the following structural formula (1) and/or an amidine-type compound with two ring structures. In the structural formula (1), R1 , R2 , R3 and R4 are each H or A hydrocarbon group with 1-30 carbon atoms, and at least one of R1 , R2 , R3 and R4 is a hydrocarbon group with 1-30 carbon atoms. The diesel composition provided by the invention has better oxidation stability.

Description

The method of Dresel fuel compositions and raising oxidation stability of biodiesel
Technical field
The invention relates to a kind of method of Dresel fuel compositions and raising oxidation stability of biodiesel.
Background technology
Along with the quickening of diesel oil of vehicle trend in world wide, the demand of diesel oil can be more and more large, and the raising of day by day exhausted and people's environmental consciousness of petroleum resources, greatly promoted countries in the world to accelerate the exploitation paces of Alternative Diesel Fuel, biofuel has been subject to the attention of various countries with its superior environmental-protecting performance and recyclability.
Biofuel (BD100) claims again fatty acid methyl ester (Fatty Acid Methyl Ester), to make raw material with the greases of the oil plant waterplant such as oil-yielding shrubs fruit, the engineering microalgaes such as the oil crops such as soybean and Semen Brassicae campestris, oil palm and Chinese pistache and animal grease, biodiesel etc., obtaining through transesterification reaction with alcohols (methyl alcohol, ethanol), is a kind of biofuel of cleaning.That biofuel has is renewable, clean and safe three advantages, and China Agricultural Structure Adjustment, energy security and comprehensively treating ecological environment are had to very great strategic importance.And China is a net import of oil state at present, prospective oil is very limited again, and a large amount of Imported oils threaten to the energy security of China; Therefore, the research of biofuel and production have important realistic meaning to China.
But due to raw material and complete processing, the oxidation stability of some biofuel is very poor, using and storing and all cause very large difficulty biofuel.The poor biofuel of oxidation stability easily generates following ageing products: 1) insoluble polymer (colloid and greasy filth), and this can cause engine filter net jam and squirt pump coking, and causes smoke evacuation increase, difficulty in starting; 2) soluble polymer, it can form resinous substance in engine, may cause flame-out and difficulty in starting; 3) aging acid, this can cause engine metal component corrosion; 4) superoxide, this can cause aging the becoming fragile of rubber components and cause fuel leakage etc.
Europe Biodiesel Standards EN 14214:2003, Australian Biodiesel Standards (Draft 2003), New Zealand Biodiesel Standards NZS 7500:2005, Brazilian Biodiesel Standards ANP255 (2003), India Biodiesel Standards IS 15607:2005, South Africa Biodiesel Standards SANS1935:2004 and China's diesel-fuel blending with biofuel (BD100) standard GB/T/T20828-2007 all the oxidation stability of regulation biofuel be inductive phase under 110C to be not less than 6 hours, measuring method is EN 14112:2003.
As everyone knows, petroleum diesel (is the diesel oil of ordinary meaning, herein in order to distinguish mutually with biofuel, the special petroleum diesel of introducing) in the non-hydrocarbon compound such as alkene, diolefin and sulfide, nitride under the effect of oxygen, generate a series of intermediate oxidation product, and produce insoluble precipitation through condensation.These insoluble particles that generate in petroleum diesel storage process can have influence on the use properties of fuel, cause filtering system to stop up, and cause prime the fuel system unit failure; affect oil atomizing; cause incomplete combustion, even in engine, form too much carbon deposit, make spray nozzle clogging.And biofuel is because oxidation stability is poorer than petroleum diesel, after concocting with petroleum diesel, can increase the weight of the problems referred to above.The most obvious performance is poorer than petroleum diesel containing the stability of the blending fuel of biofuel and the clean dispersiveness that disappears.
The problems referred to above can be by adding additive to solve or alleviating.Mode is in pure biofuel, to add oxidation inhibitor to slow down its oxidation, thereby alleviates the harm of ageing products; Another kind of mode is to add stablizer and detergent-dispersant additive to petroleum diesel or containing in the blending fuel of biofuel, to improve stability and the detergent-dispersant performance of blending fuel.Stablizer can stop, weakens or disturb each kinds of oxidation reaction, to suppress oil deterioration, improves its stability; Detergent-dispersant additive can wash down established carbon deposit on nozzle, and forms protective membrane at nozzle surface, prevents that new carbon deposit from producing, and also dispersibles established sediment in oil simultaneously, improves purifier and spray nozzle clogging, and improves exhaust emissions.
CN 1742072A discloses a kind of method that improves storage stability of bio-diesel, the method comprise by contain count 15-60 % by weight with stoste be dissolved in 2 of biofuel, the liquid stoste of 4-di-t-butyl hydroxy toluene (BHT) joins in the biofuel for the treatment of stabilization, until in total solution of biofuel, the concentration of 2,4-di-t-butyl hydroxy toluene reaches 0.005-2 % by weight.
CN 1847368A discloses a kind of method of the oxidative stability that improves biofuel, the method comprises bisphenol type oxidation inhibitor as 4,4`-methylene radical two [2,6-DI-tert-butylphenol compounds], 2,2`-methylene radical two [6-tert-butyl-4-methyl-Phenol] joins and treats in stable biofuel with the amount of 10-20000ppm (w/w).
CN 1847369A discloses a kind of method of the oxidative stability that improves biofuel, the method comprises that fusing point is less than or equal to the main anti-oxidant of 40 ℃ to be joined and treat that, in stable biofuel, wherein said main anti-oxidant contains alkylphenol with the amount of 10-20000ppm (w/w).
US 2007/113467A1 discloses a kind of fuel composition with improved oxidative stability, said composition contains biofuel and at least one oxidation inhibitor, described oxidation inhibitor is selected from Tenox PG, 1,2, one in 3-trihydroxybenzene, BHT, butylated hydroxy anisole (BHA), dilauryl thiodipropionate, tocopherol, quinoline.
Although more than have certain effect by the method that traditional oxidation inhibitor improves oxidation stability of biodiesel, effect not too obviously or need the oxidation inhibitor of larger consumption to obtain significantly to improve effect.
Summary of the invention
The method effect oxidation inhibitor not too obvious or the larger consumption of needs the object of the invention is in order to overcome above-mentioned prior art raising oxidation stability of biodiesel could obtain the shortcoming of significantly improving effect, provides a kind of excellence that can obtain under the oxidation inhibitor of small amount to improve the Dresel fuel compositions of effect and a kind of method that improves oxidation stability of biodiesel is provided.
The invention provides a kind of Dresel fuel compositions, this Dresel fuel compositions contains basic diesel oil and additive, wherein, described basic diesel oil contains biofuel, described additive contains amidine type compound, and described amidine type compound is the compound shown in following structural formula (1) and/or the amidine type compound with two ring texturees:
In structural formula (1), R1, R2, R3and R4respectively do for oneself H or carbonatoms is the alkyl of 1-30, and R1, R2, R3and R4in at least one alkyl that is 1-30 for carbonatoms.
The present invention also provides a kind of method that improves oxidation stability of biodiesel, the method comprises, in the basic diesel oil that contains biofuel, add additive, described additive contains amidine type compound, and described amidine type compound is the compound shown in following structural formula (1) and/or the amidine type compound with two ring texturees:
Figure BSA00000309111500042
R1, R2, R3and R4respectively do for oneself H or carbonatoms is the alkyl of 1-30, and R1, R2, R3and R4in at least one alkyl that is 1-30 for carbonatoms.
Dresel fuel compositions provided by the invention, no matter using pure biofuel as basic diesel oil or using the blending fuel that contains biofuel as basic diesel oil, under existing, oxidation inhibitor in a small amount can obtain excellent oxidation stability, therefore, in the time reaching identical oxidation stability and require, the amount of oxidation inhibitor in biodiesel composition can greatly reduce.And this oxidation inhibitor toxicity is little, raw material is easy to get.
Embodiment
According in Dresel fuel compositions provided by the invention, the content of described additive can be selected in a big way, can be for example 10-10000ppm with respect to the content of basic diesel oil, be preferably 50-8000ppm, more preferably 50-5000ppm, further be preferably 100-3000ppm, more preferably 500-3000ppm.
Under normal circumstances, the catalyzer of amidine type compound when preparing urethane uses.The oxidation inhibitor of biofuel is generally phenol type antioxidant if BHT or 2,6 di t butyl phenol etc. and arylamine type oxidation inhibitor are as 4,4 '-dioctyl diphenylamine (oxidation inhibitor V81).On the one hand, as mentioned above, the antioxidant effect of BHT is very limited.On the other hand, 4,4 '-dioctyl diphenylamine has certain toxicity, and therefore, this area is in the urgent need to developing the oxidation inhibitor that a kind of toxicity is little, cheap and antioxidant effect is excellent.
The present inventor is surprised to find that, amidine type compound shown in following structural formula (1) and there is the amidine type compound of two ring texturees, on the one hand, there is more excellent antioxidant effect compared with BHT, V81, on the other hand, compared with arylamine antioxidant, toxicity obviously reduces, and raw material is also easy to get.
Figure BSA00000309111500051
In structural formula (1), R1, R2, R3and R4respectively do for oneself H or carbonatoms is the alkyl of 1-30, and R1, R2, R3and R4in at least one alkyl that is 1-30 for carbonatoms.
In the present invention, described alkyl refers to be made up of carbon and hydrogen saturated or unsaturated, bad shape or non-annularity group, can be alkyl, aryl, alkylaryl or arylalkyl.
According to the present invention, described alkyl can be straight chain normal chain alkyl, also can be the isomery alkyl with side chain, this alkyl can be methyl, ethyl, propyl group, normal-butyl, n-pentyl, n-hexyl, n-heptyl, n-octyl, n-nonyl, positive decyl, n-undecane base, dodecyl, n-tetradecane base, n-hexadecyl, Octadecane base, NSC 62789 base, n-docosane base; Sec.-propyl, isobutyl-, the tertiary butyl, isopentyl, neo-pentyl, one or more in isohexyl, different heptyl, iso-octyl (2-ethylhexyl), different nonyl, isodecyl, Permethyl 99A. base, different tetradecyl, isocetyl, isooctadecane base and Isoeicosane base.The example of thiazolinyl comprises 9-octadecylene base.
Aryl can be one or more in phenyl, phenmethyl (benzyl), styroyl and hydrocinnamyl.
R1, R2, R3, R4for the typical example of alkyl as:
N-dodecyl-N ', N '-dimethyl ethyl amidine:
Figure BSA00000309111500061
Other similar compound is such as but not limited to as follows:
N-hexyl-N ', N '-dimethyl ethyl amidine; N-Octyl-N ', N '-dimethyl ethyl amidine; N-nonyl-N ', N '-dimethyl ethyl amidine: N-decyl-N ', N '-dimethyl ethyl amidine; N-tetradecyl-N ', N '-dimethyl ethyl amidine; N-hexadecyl-N ', N '-dimethyl ethyl amidine; N-octadecyl-N ', N '-dimethyl ethyl amidine; N-hexyl-N ', N '-diethyl ethyl amidine; N-Octyl-N ', N '-diethyl ethyl amidine; N-decyl-N ', N '-diethyl ethyl amidine; N-dodecyl-N ', N '-diethyl ethyl amidine; N-tetradecyl-N ', N '-diethyl ethyl amidine; N-hexadecyl-N ', N '-diethyl ethyl amidine; N-octadecyl-N ', N '-diethyl ethyl amidine; N-hexyl-N ', N '-dimethyl propyl amidine; N-Octyl-N ', N '-dimethyl propyl amidine; N-decyl-N ', N '-dimethyl propyl amidine; N-dodecyl-N ', N '-dimethyl propyl amidine; N-tetradecyl-N ', N '-dimethyl propyl amidine; N-hexadecyl-N ', N '-dimethyl propyl amidine; N-octadecyl-N ', one or more in N '-dimethyl propyl amidine etc.
The described preferred amidine type of the amidine type organic amine structure with two ring texturees participates in into ring, and the object lesson of this amidine type organic amine has:
1,8-diazabicyclo [5,4,0] 11 carbon-7-alkene (DBU):
Figure BSA00000309111500071
1,5-diazabicyclo
Figure BSA00000309111500072
1,5,7-, tri-nitrine dicyclo (4.4.0) last of the ten Heavenly stems-5-alkene (TBD):
Figure BSA00000309111500073
7-methyl isophthalic acid, 5,7-, tri-azabicyclics [4.4.0] last of the ten Heavenly stems-5-alkene (MTBD) etc.
Figure BSA00000309111500074
Above-mentioned various amidine type compound can use separately also and can two or more be used in conjunction with.
Above-mentioned various amidine type compound preferably has the amidine type organic amine of two ring texturees, especially preferably has two ring texturees and amidine type structure and participate in into the organic amine of ring.
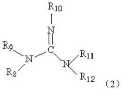
Under preferable case, Dresel fuel compositions provided by the invention also contains the guanidine type compound shown in structural formula (2):
Figure BSA00000309111500081
In structural formula (2), R8, R9, R10, R11and R12the alkyl that H or replacement or unsubstituted carbonatoms be 1-30 of respectively doing for oneself.The definition of described alkyl is identical with the definition of alkyl in said structure formula (1), is preferably alkyl or aryl, more preferably methyl, butyl or phenyl.Adding of guanidine type compound shown in structural formula (2) can further obviously improve the oxidation stability that contains the Dresel fuel compositions of additive shown in structural formula (1).
Further, under preferable case, the weight ratio of the amidine type compound shown in the guanidine type compound shown in described structural formula (2) and structural formula (1) is 1: 0.01-1.
According to the being easy to get property of raw material, described guanidine type compound is preferably 1,1,3,3 ,-tetramethyl guanidine, 1,2,3-triphenyl guanidine, 1,3-diphenylguanidine, 1,1,2,3, one or more in 3-five butyl guanidines.
Dresel fuel compositions provided by the invention also optionally contains metal passivator.And the weight ratio of described component amidine type compound and metal passivator can be 1: 0-1, the weight ratio of preferred described amidine type compound and described metal passivator is 1: 0.01-1, more preferably 1: 0.01-0.5, is further preferably 1: 0.02-0.2.
Described metal passivator can be the various metal passivators that can react with metallic surface and/or react with metal or metal ion or the metal Chinese blister beetle mixture of combination.
Concrete, described metal passivator can be one or more in 124 Triazole and derivative, thiadiazoles and derivative thereof, oxine, ethylenediamine tetraacetic carboxylic acid, hydrazides, β-triketone, 'beta '-ketoester, Schiff's base (Schiff bases), organic polycarboxylic acid and derivative thereof.Due to 124 Triazole, originally the solvability in biofuel is very unexcellent, therefore, in order to increase its solvability in biofuel, conventionally 124 Triazole is carried out to modification, and the method for modification mainly by introducing oil-soluble group as long chain hydrocarbon groups in 124 Triazole.Therefore, described 124 Triazole derivative can be the various derivatives that various solvabilities in biofuel are good compared with 124 Triazole itself.Concrete, one or more in the described 124 Triazole derivative product that can be 124 Triazole obtain by mannich reaction with ammonium salt and 124 Triazole, formaldehyde and the aliphatic amide of aliphatic amide formation.Described ethylenediamine tetraacetic carboxylic acid can be ethylenediamine tetraacetic acid (EDTA) (EDTA), and described hydrazides can be N-salicylidene-N '-salicylyl hydrazine and/or N, N '-diacetyl adipyl two hydrazides.Described beta-diketon is as methyl ethyl diketone, and described 'beta '-ketoester is as etheric acid monooctyl ester.Described Schiff's base can be N, N '-bis-salicylidene-1,2-diaminoethane, N, N '-bis-salicylidene-1,2-propylene diamine, N, N '-bis-salicylidene-1,2-cyclohexanediamine, N, one or more in N '-bis-salicylidene-N '-methyl two propylene triamines.Described organic polycarboxylic acid and derivative thereof can be for example one or more in citric acid, tartrate, oxysuccinic acid, succsinic acid (succinic acid), toxilic acid, phytic acid etc. and derivative thereof.
In the present invention, preferred described metal passivator is the ammonium salt that 124 Triazole and aliphatic amide form, product that 124 Triazole, formaldehyde and aliphatic amide obtain by mannich reaction (for example commercial additive of commodity T551 by name), Schiff's base and organic polycarboxylic acid and with the condensation reaction products (being amides, the ester derivative of organic polycarboxylic acid) of aliphatic amide or fatty alcohol in one or more.
According to using needs, Dresel fuel compositions provided by the invention can also contain other additive, as one or more in polymer amine type ashless dispersant, FLOW IMPROVERS, cetane number improver, static inhibitor, sanitas, rust-preventive agent, emulsion splitter etc.
Under preferable case, Dresel fuel compositions provided by the invention also contains polymer amine type ashless dispersant.The weight ratio of described amidine type compound and described polymer amine type ashless dispersant is preferably 1: 0.1-10.Described polymer amine type ashless dispersant comprises one or more in thiazolinyl succinyl industry amine and/or alkenyl succinic acid acid amides, mannich base type ashless dispersant, polyetheramine type ashless dispersant and polyalkene amines type ashless dispersant.For example number of described allyl butyrate imide and/or base succinamide ashless dispersant is divided equally the reaction product at polyolefin-based Succinic anhydried and/or succinic acid and the amine of 500-3000 in amount, if domestic trade names are T151A (single succinyl industry amine), T151B (mono butonediimide), T152 (two succimide), T154 (two succimide), T155 (poly succimide) and/or T161 (poly succimide) etc.Import additive is as OLOA-1200, LZ894, Infineum C9238,9237, Hitec 644 etc.Mannich base type ashless dispersant for example number-average molecular weight at the polyolefin-based phenol of 500-3000 and the condensation product of formaldehyde and amine; After for example C8-C30 alkylphenol of described polyetheramine type ashless dispersant and oxyethane or propylene oxide adduction again with the product of amine condensation or C8-C30 alcohol and oxyethane or propylene oxide adduction after again with the product of amine condensation; For example chlorinatedpolyolefins of described polyalkene amines type ashless dispersant reacts the polyolefin-based amine generating with amine.Here all preferred polyamines, especially polyamines polyenes of said amine.The preparation method of described allyl butyrate imide and/or alkenyl succinic acid acid amides can obtain for carrying out dehydration reaction by polyolefin-based succinic acid and/or polyolefin-based Succinic anhydried and amine, the condition of described dehydration reaction comprises that the mol ratio of amine and polyolefin-based succinic acid and/or polyolefin-based Succinic anhydried total amount is 1: 0.1-2.5, temperature of reaction can be 40-250 ℃, reaction times can be 1-10 hour, and the medium of reaction is benzene,toluene,xylene, C9one or more in heavy aromatics, industrial naptha and mineral oil, described C9the boiling range of heavy aromatics is 159-185 ℃, and the boiling point of described mineral oil is more than 120 ℃.Solvent load is generally the 30-150 % by weight of monomer material gross weight.For the ease of postorder operation and storage, last product can be made into aromatic hydrocarbons thinning oil the diluent of approximately 50 % by weight.
Described concentration calculates according to gross weight × 100% of concentration (% by weight)=(water separating in the add-on-reaction of the add-on+amine of polyolefin-based succinic acid and/or polyolefin-based Succinic anhydried and quantity of solvent)/diluent.In the present invention, unless stated otherwise, the content of described thiazolinyl succinyl industry amine and/or alkenyl succinic acid acid amides is take the amount of above-mentioned diluent as benchmark, is also that the amount of above-mentioned solvent is also as a part of component a.
Preferred amines and polyolefin-based succinic acid and/or polyolefin-based Succinic anhydried mol ratio are 1: 0.2-1.5, temperature of reaction are that 50-200 ℃, reaction times are 2-8 hour.Described amine is preferably polyamines, especially preferably polyamines polyene and the amine that contains polyamines polyene.
Polyolefin-based succinic acid and polyolefin-based Succinic anhydried are called as " acylating agent " in this area, this acylating agent and amine can carry out acylation reaction.According to reaction conditions difference, the product of generation is also different, generates the product as leading take allyl butyrate imide or alkenyl succinic acid acid amides respectively.For example, temperature of reaction is low, amine generates when excessive take alkenyl succinic acid acid amides as main product; When temperature of reaction is high, generate take allyl butyrate imide as main product; Polyolefin-based succinic acid or polyolefin-based Succinic anhydried and amine reaction mol ratio is different, and can to generate respectively monobutane diacid acid amides or mono butonediimide, two succinamide or two succimide and many succinamides or many succimides be main product.
Described polyolefin-based can be various C3-C4the multipolymer of monoolefine or the substituting group of homopolymer can be for example the one in polyisobutenyl, polypropylene-base, random or block polyethylene-propenyl, polyisopreneyl.Preferably polyisobutenyl.Wherein polyolefin-based number-average molecular weight is preferably 300-5000, is preferably 500-2500, more preferably 800-2000; The substitution value of each polyolefin-based upper succinyl is preferably 0.5-1.0.The described polyolefin-based polyisobutenyl that number-average molecular weight is 500-2500 that is preferably.
The structural formula of polyamines polyene is H2n[(CH2)x2nH]y1r6, wherein, x2 can be the integer of 2-4, be preferably 2 or 3, y1 can be the integer of 1-8, R6it can be the alkyl that hydrogen, carbon number are 1-30.For example, work as R6during for H, described polyamines polyene can be one or more in quadrol, diethylenetriamine, triethylene tetramine, tetraethylene pentamine, five ethene hexamines, six ethene seven amine, seven ethene eight amine, propylene diamine, two propylene triamines, three propylene tetramines, tetrapropylene five amine and five propylene hexamines, six propylene seven amine, seven propylene eight amine.Work as R6during for the carbon number alkyl that is 1-30, be preferably the alkyl of C4-C22.This alkyl can be saturated alkyl, can be also with the thiazolinyl of two keys or with the aryl of phenyl ring.Alkyl can be straight chain normal chain alkyl, also can be the isomery alkyl with side chain, the example of this alkyl comprises normal-butyl, n-pentyl, n-hexyl, n-heptyl, n-octyl, n-nonyl, positive decyl, n-undecane base, dodecyl, n-tetradecane base, n-hexadecyl, Octadecane base, NSC 62789 base, n-docosane base; One or more in isobutyl-, the tertiary butyl, isopentyl, neo-pentyl, isohexyl, different heptyl, iso-octyl (2-ethylhexyl), different nonyl, isodecyl, Permethyl 99A. base, different tetradecyl, isocetyl, isooctadecane base and Isoeicosane base.The example of thiazolinyl comprises 9-octadecylene base.Example with the aryl of phenyl ring comprises one or more in phenmethyl (benzyl), styroyl and hydrocinnamyl.Wherein, more preferably one or more in the alkyl of C6-C20.
The concrete operation method of preparing described allyl butyrate imide and/or alkenyl succinic acid acid amides is for conventionally known to one of skill in the art, for example can be referring to US 2,992, and 708, US3,172,892, US3,272,746, US 5,286,823 documents such as grade, are not repeated herein.
For more preferably mono butonediimide of allyl butyrate imide of the present invention; Alkenyl succinic acid acid amides is monobutane diacid acid amides more preferably.
The preparation of Dresel fuel compositions provided by the invention is simple, only each component of composition Dresel fuel compositions need be mixed.Can directly each additive component be mixed with basic diesel oil, also can first various additive components be mixed, obtain after additive, then gained additive is mixed with basic diesel oil.For easy to operate, in the time that various additive components are mixed, can under existing, solvent carry out, the solvent here can be that polar solvent is as N, one or more in dinethylformamide (DMF), Isosorbide-5-Nitrae-dioxane, tetrahydrofuran (THF) (THF), diformazan family estate sulfone (DMSO), pyrrolidone and methyl-2-pyrrolidone.Also can be hydro carbons especially aromatic hydrocarbons as benzene,toluene,xylene, aromatic hydrocarbons thinning oil and composition thereof, can also be biofuel.
In the present invention, described basic diesel oil can be pure biofuel, and described biofuel refers to that grease and low-carbon alcohol are (as C1-C5fatty alcohol) react and the fatty acid ester of low-carbon alcohol of generation through transesterify (alcoholysis), be generally fatty acid methyl ester, i.e. the ester exchange offspring of grease and methyl alcohol.
Described trans-esterification processes can be any known or unknown processing method that refers to obtain with the transesterification reaction of low-carbon alcohol biofuel by oil, for example acid catalyzed process, base catalysis method, enzyme catalysis method, supercritical methanol technology, etc.Specifically can be with reference to documents such as CN1473907A, DE3444893, CN1472280A, CN1142993C, CN1111591C, CN1594504A.
Described grease has general sense well known in the art, is the general name of oil and fat, and main component is fatty acid triglycercide.What general normal temperature was liquid is called oil, and normal temperature is solid or the semisolid fat (abbreviation fat) that is called.Described grease comprises vegetables oil and animal oil, in addition, also comprising from the oil plant in the material such as microorganism, algae, can also be even waste oil, the used grease of acidifying wet goods or the rotten grease of for example waste cooking oil, sewer oil, swill oil, grease factory.Described vegetables oil can be that herbaceous plant oil can be also xylophyta oil, if peanut oil, Semen Maydis oil, Oleum Gossypii semen, rape seed oil, soybean oil, plam oil, Thistle oil, industry flaxseed oil, Oleum Cocois, Oak Tree oil, Prunus amygdalus oil, walnut oil, Viscotrol C, sesame oil, sweet oil, Yatall MA (Tall Oil), sunflower oil, curcas oil, tung oil, shinyleaf yellowhorn oil, coptis wood oil, halophytes are as the oil of the plant such as kostelezkya virginica, cyperus esculentus.Described animal oil can be lard, chicken fat, duck oil, goose oil, sheep oil, house oil, butter, haco oil, shark wet goods.
In biodiesel composition of the present invention, described basic diesel oil also can contain other diesel oil, described other diesel oil is petroleum diesel, fischer-tropsch combined diesel oil, hydrocracking biofuel, contains one or more in oxygen diesel oil blending thing, and the volume ratio of described biofuel and other diesel oil is preferably 1: 2-99.
Wherein petroleum diesel refers to that crude oil (oil) is through the cut of the device boiling ranges after treatment such as the various refining process decompression as usual of refinery, catalytic cracking, catalytic reforming, coking, hydrofining, hydrocracking between 160-380 ℃, and the compression ignition engine fuel that meets solar oil standard GB/T 252-2000 or derv fuel oil standard GB/T/T 19147-2003 forming through allotment.
Fischer-tropsch combined diesel oil mainly refers to GTL diesel oil (Gas To Liquid) or the CTL diesel oil (Coal To Liquid) produced through fischer-tropsch (F-T) synthetic method as raw material take Sweet natural gas or coal, can also be the BTL diesel oil (Biomass To Liquid) that vegetable fibre is produced through fischer-tropsch synthetic method.Fischer-tropsch combined diesel oil does not basically contain sulphur and aromatic hydrocarbons, be very clean fuel, but its oilness extreme difference improve greatly with oilness after biofuel blending, but likely variation of the oxidation stability of tempered oil, therefore also needs to add oxidation inhibitor containing the blending fuel of biofuel.
Hydrocracking biofuel is also referred to as s-generation biofuel, refer to generated after hydrogenation and cracking reaction by animal-plant oil with C8-C24alkane is main, especially with C12-C20normal paraffin is the reaction product of main component, and this hydrocracking biofuel cetane value is high, dredge and aromaticity content extremely low, can greatly reduce the discharge of diesel engine pollutent as diesel motor fuel or blending component.
Refer to and can be deployed into and meet the oxygenatedchemicals of certain code requirement or the mixture of oxygenatedchemicals with various diesel-fuels containing oxygen diesel oil blending component, normally alcohols and ethers or its mixture, alcohols is C such as1-C18fatty alcohol, preferred C1-C12unitary fatty alcohol, as methyl alcohol, ethanol, propyl alcohol, butanols, amylalcohol, hexanol, enanthol, octanol, nonyl alcohol, decyl alcohol, undecylenic alcohol, lauryl alcohol and various isomer thereof.Ethers can be dme, methyl tertiary butyl ether, Ethyl Tertisry Butyl Ether, C6-C14fatty alcohol-polyoxyethylene ether, C6-C14fatty alcohol polyoxypropylene ether, C6-C14alkylphenol polyoxyethylene, C6-C14alkylphenol polyethenoxy ether, polyoxymethylene dme (Polyoxymethylene Dimethyl Ethers, CH3o (CH2o)xcH3, x=1-8) etc. and composition thereof.
In the present invention, described basic diesel oil is while containing the blending fuel of biofuel, described Dresel fuel compositions can, by described additive, biofuel and other diesel oil are directly obtained by mixing, also can first mix described additive, and then obtain with other diesel oil blending with biofuel.The various components of additive directly can be mixed with basic diesel oil, also can first the various components of additive be pre-mixed, obtain after additive agent mixture again and basic diesel oil.The order by merging of the various components to additive and biofuel and other diesel oil is not particularly limited, and can mix with various orders.The condition of mixing can be carried out under the various conditions that Dresel fuel compositions do not caused disadvantageous effect, for example, can mix at ambient temperature.
The method of raising oxidation stability of biodiesel provided by the invention comprises, in the diesel component that contains biofuel, adds additive, and described additive contains above-mentioned amidine type compound.
Under preferable case, the method of raising oxidation stability of biodiesel provided by the invention, described additive also contains guanidine type compound and/or the metal passivator shown in structural formula (2), and the guanidine type compound shown in described amidine type compound and structural formula (2) and the weight ratio of described metal passivator are preferably 1 separately: 0.01-1.
Under preferable case, the method of raising oxidation stability of biodiesel provided by the invention is also included in the basic diesel oil that contains biofuel, add other additive, as one or more in FLOW IMPROVERS, cetane number improver, static inhibitor, sanitas, rust-preventive agent, emulsion splitter etc.
Various compositions are all described hereinbefore, are no longer repeated in this description at this.Above-mentioned various composition is all available commercially.
The order by merging of the various components to additive and biofuel and other diesel oil is not particularly limited, and can mix with various orders.The condition of mixing can be carried out under the various conditions that Dresel fuel compositions do not caused disadvantageous effect, for example, can mix at ambient temperature.
Described biofuel can be both aforementioned pure biofuel, can be also the aforementioned blending fuel containing biofuel.
The present invention is described further for the following examples.In example, embodiment and comparative example, acidification oil biofuel used is the biofuel product that Hainan bioenergy company of CNOOC provides, sewer oil biofuel used provides by the remarkable new forms of energy of Fujian Longyan company limited, and petroleum diesel is the capital mark B diesel oil that Yanshan Mountain branch office of China Petrochemical Industry produces.
Embodiment 1-18
Embodiment 1-18 is used for illustrating Dresel fuel compositions provided by the invention and preparation method thereof.
Composition according to following table 1 and 2 is prepared Dresel fuel compositions.
Comparative example 1-11
Comparative example 1-11 is for illustrating Dresel fuel compositions of prior art and preparation method thereof.
Composition according to following table 1 and 2 is prepared Dresel fuel compositions.
Performance test
(1) pure biofuel is as the biodiesel composition of basic diesel oil
Evaluate oxidation stability of biodiesel the inductive phase at measuring 110 ℃ by EN14112:2003 method (Rancimat method), use the 743 type oil oxidative stability determinators that instrument is Wan Tong company of Switzerland, wherein, inductive phase is longer illustrates that the oxidation-resistance of Dresel fuel compositions is better, otherwise shorter illustrate that the oxidation-resistance of Dresel fuel compositions is poorer inductive phase.Its test result is shown in Table 1.
Table 1
Data from table 1 can be found out, add after amidine type compound, and the oxidation stability of biofuel improves, and effect is than the antioxidant BHT of Isodose or 4, and 4 '-dioctyl diphenylamine will be got well.After optional amidine type compound of the present invention and ashless dispersant are compound, effect is than adding the two to be better separately.
(2) test using the mixture of biofuel and petroleum diesel as the oxidation-resistance of the concocted diesel oil composition of basic diesel oil, biofuel used is sewer oil biofuel, and test fuel is B20 (volume fraction of biofuel is 20%).
Adopt EN15751 method to measure respectively the inductive phase of the Dresel fuel compositions obtaining after above-mentioned B20 mixes with different additives at 110 ℃, the 743 type oil oxidative stability determinators that use instrument is Wan Tong company of Switzerland.Its test result is shown in Table 2.Inductive phase is longer illustrates that the oxidation-resistance of biodiesel composition is better, otherwise shortlyer illustrates that the oxidation-resistance of biodiesel composition is poorer inductive phase, and its test result is shown in Table 2.
Table 2
Figure BSA00000309111500171
Result by table 2 can find out, amidine type compound of the present invention can obviously improve the oxidation stability of biodiesel blend fuels, and effect is better than the antioxidant BHT, 4 of Isodose, 4 '-dioctyl diphenylamine or 1,3-diphenylguanidine.

Claims (17)

1. a Dresel fuel compositions, this Dresel fuel compositions contains basic diesel oil and additive, it is characterized in that, and described basic diesel oil is containing biofuel, and described additive contains amidine type compound, and described amidine type compound is the amidine type compound with two ring texturees.
2. Dresel fuel compositions according to claim 1, wherein, the content of described additive is 50-10000ppm.
3. Dresel fuel compositions according to claim 1, wherein, described amidine type compound is 1,8-diazabicyclo [5.4.0] 11-7-alkene, 1,5-diazabicyclo [4.3.0] ninth of the ten Heavenly Stems-5-alkene, 1,5,7-tri-nitrine dicyclo [4.4.0] last of the ten Heavenly stems-5-alkene, 7-methyl isophthalic acid, one or more in 5,7-, tri-azabicyclics [4.4.0] last of the ten Heavenly stems-5-alkene.
4. Dresel fuel compositions according to claim 1, wherein, described additive also contains the guanidine type compound shown in structural formula (2):
Figure FDA0000474904590000011
In structural formula (2), R8, R9, R10, R11and R12the alkyl that H or replacement or unsubstituted carbonatoms be 1-30 of respectively doing for oneself.
5. Dresel fuel compositions according to claim 4, wherein, described guanidine type compound is 1,1,3,3 ,-tetramethyl guanidine, 1,2,3-triphenyl guanidine, 1,3-diphenylguanidine, 1,1,2,3, one or more in 3-five butyl guanidines.
6. according to the Dresel fuel compositions described in claim 1 or 4, wherein, described additive also contains metal passivator, and the weight ratio of described amidine type compound and described metal passivator is 1:0.01-1.
7. Dresel fuel compositions according to claim 6, wherein, described metal passivator is one or more in 124 Triazole and derivative, Schiff's base and organic polycarboxylic acid.
8. Dresel fuel compositions according to claim 1, wherein, described basic diesel oil also contains other diesel oil, described other diesel oil is petroleum diesel, fischer-tropsch combined diesel oil, hydrocracking biofuel, contains one or more in oxygen diesel oil blending thing, and the volume ratio of described biofuel and other diesel oil is 1:2-99.
9. one kind is improved the method for oxidation stability of biodiesel, the method comprises, in the basic diesel oil that contains biofuel, add additive, described additive contains amidine type compound, and described amidine type compound is the compound shown in following structural formula (1) and/or the amidine type compound with two ring texturees:
Figure FDA0000474904590000021
R1, R2, R3and R4respectively do for oneself H or carbonatoms is the alkyl of 1-30, and R1, R2, R3and R4in at least one alkyl that is 1-30 for carbonatoms.
10. method according to claim 9, wherein, described additive is 50-10000ppm with respect to the add-on of basic diesel oil.
11. methods according to claim 9, wherein, described amidine type compound is N-dodecyl-N ', N '-dimethyl ethyl amidine, N-hexyl-N ', N '-dimethyl ethyl amidine; N-Octyl-N ', N '-dimethyl ethyl amidine; N-nonyl-N ', N '-dimethyl ethyl amidine; N-decyl-N ', N '-dimethyl ethyl amidine; N-tetradecyl-N ', N '-dimethyl ethyl amidine; N-hexadecyl-N ', N '-dimethyl ethyl amidine; N-octadecyl-N ', N '-dimethyl ethyl amidine; N-hexyl-N ', N '-diethyl ethyl amidine; N-Octyl-N ', N '-diethyl ethyl amidine; N-decyl-N ', N '-diethyl ethyl amidine; N-dodecyl-N ', N '-diethyl ethyl amidine; N-tetradecyl-N ', N '-diethyl ethyl amidine; N-hexadecyl-N ', N '-diethyl ethyl amidine; N-octadecyl-N ', N '-diethyl ethyl amidine; N-hexyl-N ', N '-dimethyl propyl amidine; N-Octyl-N ', N '-dimethyl propyl amidine; N-decyl-N ', N '-dimethyl propyl amidine; N-dodecyl-N ', N '-dimethyl propyl amidine; N-tetradecyl-N ', N '-dimethyl propyl amidine; N-hexadecyl-N ', N '-dimethyl propyl amidine; N-octadecyl-N ', N '-dimethyl propyl amidine, 1,8-diazabicyclo [5.4.0] 11-7-alkene, 1,5-diazabicyclo [4.3.0] ninth of the ten Heavenly Stems-5-alkene, 1,5,7-tri-nitrine dicyclo [4.4.0] last of the ten Heavenly stems-5-alkene, 7-methyl isophthalic acid, one or more in 5,7-, tri-azabicyclics [4.4.0] last of the ten Heavenly stems-5-alkene.
12. methods according to claim 9, wherein, described additive also contains the guanidine type compound shown in structural formula (2):
Figure FDA0000474904590000031
In structural formula (2), R8, R9, R10, R11and R12the alkyl that H or replacement or unsubstituted carbonatoms be 1-30 of respectively doing for oneself.
13. methods according to claim 12, wherein, the weight ratio of the amidine type compound shown in the guanidine type compound shown in described structural formula (2) and structural formula (1) is 1:0.01-1.
14. according to the method described in claim 12 or 13, and wherein, described guanidine type compound is 1,1,3,3 ,-tetramethyl guanidine, 1,2,3-triphenyl guanidine, 1,3-diphenylguanidine, 1,1,2,3, one or more in 3-five butyl guanidines.
15. according to the method described in claim 9 or 12, and wherein, described additive also contains metal passivator, and the weight ratio of described amidine type compound and described metal passivator is 1:0.01-1.
16. methods according to claim 15, wherein, described metal passivator is one or more in 124 Triazole and derivative, Schiff's base and organic polycarboxylic acid.
17. methods according to claim 9, wherein, described basic diesel oil also contains other diesel oil, described other diesel oil is petroleum diesel, fischer-tropsch combined diesel oil, hydrocracking biofuel, contains one or more in oxygen diesel oil blending thing, and the volume ratio of described biofuel and other diesel oil is 1:2-99.
CN201010511469.3A2010-10-112010-10-11Diesel composition and method for improving oxidation stability of biodieselActiveCN102443447B (en)

Priority Applications (1)

Application NumberPriority DateFiling DateTitle
CN201010511469.3ACN102443447B (en)2010-10-112010-10-11Diesel composition and method for improving oxidation stability of biodiesel

Applications Claiming Priority (1)

Application NumberPriority DateFiling DateTitle
CN201010511469.3ACN102443447B (en)2010-10-112010-10-11Diesel composition and method for improving oxidation stability of biodiesel

Publications (2)

Publication NumberPublication Date
CN102443447A CN102443447A (en)2012-05-09
CN102443447Btrue CN102443447B (en)2014-07-02

Family

ID=46006385

Family Applications (1)

Application NumberTitlePriority DateFiling Date
CN201010511469.3AActiveCN102443447B (en)2010-10-112010-10-11Diesel composition and method for improving oxidation stability of biodiesel

Country Status (1)

CountryLink
CN (1)CN102443447B (en)

Families Citing this family (2)

* Cited by examiner, † Cited by third party
Publication numberPriority datePublication dateAssigneeTitle
CN102977948B (en)*2012-12-142014-08-06世纪国宏新能源科技(北京)有限公司Methanol diesel oil solubilizer
CN107879950B (en)*2017-10-132020-05-08中国石油天然气股份有限公司N' -long-chain alkyl-N, N-diethyl acetamidine and preparation method and application thereof

Citations (2)

* Cited by examiner, † Cited by third party
Publication numberPriority datePublication dateAssigneeTitle
US3658495A (en)*1968-08-051972-04-25Lubrizol CorpFuel compositions comprising a combination of oxy compounds and ashless dispersants
CN101230297A (en)*2007-09-292008-07-30天津悦泰石化科技有限公司Petrol detergent capable of reducing deposit of gasoline engine combustion chamber

Family Cites Families (1)

* Cited by examiner, † Cited by third party
Publication numberPriority datePublication dateAssigneeTitle
US20100005706A1 (en)*2008-07-112010-01-14Innospec Fuel Specialties, LLCFuel composition with enhanced low temperature properties

Patent Citations (2)

* Cited by examiner, † Cited by third party
Publication numberPriority datePublication dateAssigneeTitle
US3658495A (en)*1968-08-051972-04-25Lubrizol CorpFuel compositions comprising a combination of oxy compounds and ashless dispersants
CN101230297A (en)*2007-09-292008-07-30天津悦泰石化科技有限公司Petrol detergent capable of reducing deposit of gasoline engine combustion chamber

Non-Patent Citations (4)

* Cited by examiner, † Cited by third party
Title
刘金胜等.生物柴油抗氧剂的研究现状及趋势.《化学工程师》.2010,(第2期),49-53.
刘金胜等.生物柴油氧化安定性研究的新进展.《可再生能源》.2010,第28卷(第4期),145-150.
生物柴油抗氧剂的研究现状及趋势;刘金胜等;《化学工程师》;20100225(第2期);49-53*
生物柴油氧化安定性研究的新进展;刘金胜等;《可再生能源》;20100831;第28卷(第4期);145-150*

Also Published As

Publication numberPublication date
CN102443447A (en)2012-05-09

Similar Documents

PublicationPublication DateTitle
US8778034B2 (en)Biodegradable fuel performance additives
US8540784B2 (en)Fuel compositions
CN101899330A (en) A kind of diesel oil composition and the method for improving biodiesel oxidation stability
CN103060032B (en)Temperature-resistant microemulsified methanol diesel oil and preparation method thereof
CN107892957B (en)Alcohol-based liquid fuel and preparation method thereof
CN102443448B (en)Diesel composition and method for increasing oxidation stability of biodiesel
CN102443447B (en)Diesel composition and method for improving oxidation stability of biodiesel
CA3203136A1 (en)Use of a paraffinic gasoil
US9267086B2 (en)Synergistic biofuel blends and related methods
CN101899331A (en) A kind of diesel oil composition and the method for improving biodiesel oxidation stability
CN101993743B (en)Additive composition, diesel composition and method for improving oxidation stability of biodiesel
CN102936521B (en)Diesel oil composition and method for improving biodiesel oxidation stability
CN103254951B (en)Additive composition, diesel oil composition, and method for increasing oxidation stability of biodiesel
CN101275089B (en)Method for improving oxidation stability of biodiesel
CN103254945B (en)A kind of method of Dresel fuel compositions and raising oxidation stability of biodiesel
CN102757826B (en)Diesel composition and method for improving oxidation stability of biodiesel
CN101376851B (en)Method for improving stabilizing ability of biodiesel
CN112442398B (en)Biodiesel antioxidant and preparation method and application thereof
CN103396846B (en)A kind of for biodiesel fuel containing enzyme addn composition
CN101016489A (en)Molecule coalescence biological liquid fuel and additive thereof
EP4259756B1 (en)Use of a detergent additive
CN102453553B (en)Diesel composition and method for improving oxidation stability of biodiesel
CN103254944B (en)A kind of method of Dresel fuel compositions and raising oxidation stability of biodiesel
CN107353951B (en)A kind of diesel cetane-number improver
HS et al.Biodiesel Production from Sal (Shorea Robusta) Seed Oil

Legal Events

DateCodeTitleDescription
C06Publication
PB01Publication
C10Entry into substantive examination
SE01Entry into force of request for substantive examination
C14Grant of patent or utility model
GR01Patent grant

[8]ページ先頭

©2009-2025 Movatter.jp