Movatterモバイル変換


[0]ホーム

URL:


CN102435181A - Gyroscope based on acceleration sensor and positioning method - Google Patents

Gyroscope based on acceleration sensor and positioning method
Download PDF

Info

Publication number
CN102435181A
CN102435181ACN2011103389145ACN201110338914ACN102435181ACN 102435181 ACN102435181 ACN 102435181ACN 2011103389145 ACN2011103389145 ACN 2011103389145ACN 201110338914 ACN201110338914 ACN 201110338914ACN 102435181 ACN102435181 ACN 102435181A
Authority
CN
China
Prior art keywords
acceleration
rotor
acceleration sensor
rigid
rigid body
Prior art date
Legal status (The legal status is an assumption and is not a legal conclusion. Google has not performed a legal analysis and makes no representation as to the accuracy of the status listed.)
Granted
Application number
CN2011103389145A
Other languages
Chinese (zh)
Other versions
CN102435181B (en
Inventor
赵小林
Current Assignee (The listed assignees may be inaccurate. Google has not performed a legal analysis and makes no representation or warranty as to the accuracy of the list.)
Nantong Tangrun Machinery Co Ltd
Original Assignee
Shenzhen ZTE Mobile Telecom Co Ltd
Priority date (The priority date is an assumption and is not a legal conclusion. Google has not performed a legal analysis and makes no representation as to the accuracy of the date listed.)
Filing date
Publication date
Application filed by Shenzhen ZTE Mobile Telecom Co LtdfiledCriticalShenzhen ZTE Mobile Telecom Co Ltd
Priority to CN201110338914.5ApriorityCriticalpatent/CN102435181B/en
Publication of CN102435181ApublicationCriticalpatent/CN102435181A/en
Application grantedgrantedCritical
Publication of CN102435181BpublicationCriticalpatent/CN102435181B/en
Activelegal-statusCriticalCurrent
Anticipated expirationlegal-statusCritical

Links

Images

Landscapes

Abstract

The invention provides a gyroscope based on an acceleration sensor and a positioning method. The positioning method comprises the following steps: at least two acceleration sensors are arranged in the vertical direction of the rotation shaft of the rigid rotor; and in the rotation process of the rigid body rotor, acquiring the acceleration measurement value of each acceleration sensor, and calculating the rotation state of the rigid body rotor according to the acceleration measurement value. The gyroscope realized by the invention does not depend on a mechanical moving object rotating at a high speed or swinging at a high speed, is easy to realize, and has the advantages of low cost, low power consumption and the like.

Description

Gyroscope based on acceleration sensor and positioning method
Technical Field
The invention relates to the technical field of gyroscopes, in particular to an acceleration sensor-based gyroscope and a positioning method.
Background
The technology of gyroscopes has been developed for a considerable time, and conventional gyroscopes have a rigid rotor rotating at a high speed and can capture their own attitude by virtue of their own performance. Gyroscopes were originally used for marine navigation and subsequently have found widespread use in the aerospace industry. At present, various gyroscopes in the market are manufactured by using a basic principle that a rotating shaft always stably points to one direction by using strong angular momentum of a moving object when rotating at a high speed, and the core of the gyroscopes requires a rigid body to move or swing at a high speed around a symmetric axis, so that the gyroscopes manufactured by using the principle have the defects of high energy consumption, complex manufacturing and high cost caused by mechanical motion.
Disclosure of Invention
The invention aims to provide a gyroscope based on an acceleration sensor and a positioning method, which are independent of a mechanical moving object rotating at a high speed or swinging at a high speed and reduce energy consumption and manufacturing cost.
The purpose of the invention is realized by the following technical scheme:
a gyroscope based on acceleration sensors comprises a rigid rotor and at least two acceleration sensors which are fixed in the rigid rotor and are arranged in the vertical direction of a rotation shaft of the rigid rotor.
The acceleration sensor is a two-dimensional acceleration sensor or a three-dimensional acceleration sensor.
The two acceleration sensors are placed in the vertical direction of the rotation axis of the rigid rotor and placed in the radial direction of the motion direction of the rigid rotor or placed in the tangential direction of the motion direction of the rigid rotor.
Three acceleration sensors are placed in the vertical direction of the rotation axis of the rigid rotor, wherein an acceleration sensor A and an acceleration sensor B are placed in the radial direction of the motion direction of the rigid rotor, and an acceleration sensor A and an acceleration sensor C are placed in the tangential direction of the motion direction of the rigid rotor.
An acceleration sensor-based positioning method comprises the following steps:
at least two acceleration sensors are arranged in the vertical direction of the rotation shaft of the rigid rotor;
and in the rotation process of the rigid body rotor, acquiring the acceleration measurement value of each acceleration sensor, and calculating the rotation state of the rigid body rotor according to the acceleration measurement value.
Wherein, two acceleration sensors are placed along the vertical direction of the rotation axis of the rigid rotor, and the two acceleration sensors are placed along the radial direction of the motion direction of the rigid rotor or along the tangential direction of the motion direction of the rigid rotor.
Three acceleration sensors are placed in the vertical direction of the rotation axis of the rigid rotor, wherein an acceleration sensor A and an acceleration sensor B are placed in the radial direction of the motion direction of the rigid rotor, and an acceleration sensor A and an acceleration sensor C are placed in the tangential direction of the motion direction of the rigid rotor.
When three-dimensional acceleration sensors are placed in the vertical direction of the rotation axis of the rigid rotor, the process of calculating the rotation state of the rigid rotor according to the acceleration measurement value further includes:
respectively reading readings of an acceleration sensor A, an acceleration sensor B and an acceleration sensor C in X, Y, Z three directions
Figure 311224DEST_PATH_IMAGE001
Figure 620982DEST_PATH_IMAGE002
Figure 380122DEST_PATH_IMAGE003
According to the formula
Figure 433529DEST_PATH_IMAGE004
Figure 210992DEST_PATH_IMAGE005
And the readings of the three acceleration sensors respectively calculate the angular acceleration of the rigid rotor rotating along the X, Y, Z axis
Figure 878602DEST_PATH_IMAGE006
And angular velocity
Figure 171043DEST_PATH_IMAGE007
(ii) a Wherein,
Figure 965824DEST_PATH_IMAGE008
the difference value of the tangential acceleration of two mass points along the vertical direction of the rotating shaft of the rigid rotor,
Figure 345596DEST_PATH_IMAGE010
the two mass points along the vertical direction of the rotation axis of the rigid rotor are added in the radial directionDifference in velocity values.
Compared with the prior art, the embodiment of the invention has the following beneficial effects.
The embodiment of the invention is based on the principle that the mass points at different positions of the rigid rotor are stressed differently during rotation, and calculates the angular velocity and the angular acceleration of the rotation of the rigid body by using the acceleration difference tested by the acceleration sensors arranged at different positions on the rigid rotor.
Drawings
Fig. 1 is a schematic diagram of an acceleration sensor of an embodiment of the present invention.
Fig. 2 is a schematic diagram of an embodiment of the acceleration sensor-based gyroscope according to the present invention.
Detailed Description
In order to make the objects, technical solutions and advantages of the present invention more apparent, the present invention is described in further detail below with reference to the accompanying drawings and embodiments. It should be understood that the specific embodiments described herein are merely illustrative of the invention and are not intended to limit the invention.
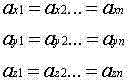
As shown in fig. 1, two mass points inside a rigid body rotor have the following relationship when the rigid body rotor moves:
the first basic theorem: when the rigid body rotor does not rotate, the stress (acceleration) of each mass point in the rigid body rotor is equal, that is to say
Figure 59475DEST_PATH_IMAGE011
(1)
And the acceleration of each mass point in the rigid body rotor in X, Y and Z directions is equal, namely
Figure 793207DEST_PATH_IMAGE012
(2)
The application comprises the following steps: when the rigid body rotor is in the inertial reference system, reading values of all directions of all acceleration sensors at different positions of the rigid body rotor are 0; when the rigid body rotor is in the gravity field inertial reference system, the acceleration sensors are placed at different positions in the rigid body rotor, the readings in the corresponding directions are equal and are kept unchanged, and the rigid body rotor is in a uniform linear motion state or a static state.
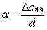
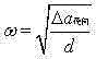
The second basic theorem: when the rigid rotor rotates, along two mass points in the vertical direction of the rotating shaft of the rigid rotor, the stress difference value in the vertical direction (radial direction) of the rotating shaft is as follows:
Figure 188416DEST_PATH_IMAGE013
(3)
in the formula, m is the weight of a mass point;
Figure 674892DEST_PATH_IMAGE010
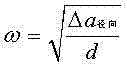
the difference value of the acceleration of the two mass points in the direction vertical to the rotating shaft (radial direction); d is the difference between the distances between the two mass points and the rotation axis; omega is the angular velocity of the rigid body rotating around the rotation axis;
the difference value of the acceleration of the two mass points in the direction of the rotation axis is as follows:
(4)
the rigid body rotation angular velocity is as follows:
Figure 216918DEST_PATH_IMAGE015
(5)
the application comprises the following steps: the difference of the acceleration values of the acceleration sensors at two mass points of the rigid rotor in the vertical direction of the rotation shaft in the radial direction is read, and the angular velocity of the rotation of the rigid rotor can be calculated by applying the formula (5).
Basic theorem three: when the rigid body rotor rotates, the force difference of two mass points of the rigid body rotor along the vertical direction of the rotating shaft in the mass point motion direction (tangential direction) is as follows:
(6)
wherein,
Figure 756800DEST_PATH_IMAGE017
angular acceleration of rotation of the rigid rotor;
the angular acceleration of the rotation of the rigid rotor is as follows:
Figure 701229DEST_PATH_IMAGE018
(7)
wherein,
Figure 393242DEST_PATH_IMAGE008
the linear acceleration difference value of two mass points in the rotating direction along the vertical direction of the rotating shaft of the rigid rotor is a vector;
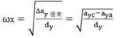
the application comprises the following steps: the difference of the acceleration values of the acceleration sensors at the two mass points of the rigid rotor along the vertical direction of the rotation shaft in the tangential direction is read, and the angular acceleration of the rotation of the rigid rotor can be calculated by applying a formula (7).
The present embodiment is implemented by applying the above three basic principles. As shown in fig. 2, the gyroscope of this embodiment includes three-axis acceleration sensors A, B, C, which are respectively disposed at two rotation axis parallel positions of the rigid rotor, the directions of the three acceleration sensors are the same as the orientation of the rigid rotor (see upper left corner of fig. 2), and the distance between the acceleration sensor a and the acceleration sensor C disposed parallel to the Y axis is
Figure 130254DEST_PATH_IMAGE019
The distance between the acceleration sensor A and the acceleration sensor B, which are placed parallel to the X-axis, is
Figure 840589DEST_PATH_IMAGE020
The accelerations of the three acceleration sensors in the X, Y and Z directions are respectively
Figure 270434DEST_PATH_IMAGE021
Figure 413281DEST_PATH_IMAGE023
. The method for judging the autorotation state of the rigid body rotor comprises the following steps:
1. in the rest state: according to the first basic theorem, A, B, C three acceleration sensors read in X, Y and Z directions
Figure 994435DEST_PATH_IMAGE024
2. In the motion state:
in the X-axis direction, the rotation angular velocity of the rigid body rotor along the X-axis direction is obtained by calculation according to the second basic theorem
Figure 516553DEST_PATH_IMAGE025
(ii) a Obtaining the self-rotation angular acceleration of the rigid rotor along the X-axis direction by three calculations according to the basic theorem
Figure 2011103389145100002DEST_PATH_IMAGE026
In the same way, the rotation angular velocity and the rotation angular acceleration of the rigid rotor along the Y-axis and the Z-axis directions can be obtained.
The above description is only for the purpose of illustrating the preferred embodiments of the present invention and is not to be construed as limiting the invention, and any modifications, equivalents and improvements made within the spirit and principle of the present invention are intended to be included within the scope of the present invention.

Claims (8)

1. A gyroscope based on acceleration sensors is characterized by comprising a rigid rotor and at least two acceleration sensors which are fixed inside the rigid rotor and are arranged along the vertical direction of a rotation shaft of the rigid rotor.
2. The gyroscope of claim 1, wherein the acceleration sensor is a two-dimensional acceleration sensor or a three-dimensional acceleration sensor.
3. The gyroscope of claim 2, wherein two acceleration sensors are placed in a direction perpendicular to the rotation axis of the rigid body rotor, and the two acceleration sensors are placed in a radial direction of the movement direction of the rigid body rotor or in a tangential direction of the movement direction of the rigid body rotor.
4. The gyroscope of claim 2, wherein three acceleration sensors are placed in a direction perpendicular to the rotation axis of the rigid body rotor, wherein the acceleration sensor a and the acceleration sensor B are placed in a radial direction of the movement direction of the rigid body rotor, and the acceleration sensor a and the acceleration sensor C are placed in a tangential direction of the movement direction of the rigid body rotor.
5. An acceleration sensor-based positioning method, characterized in that the method comprises the steps of:
at least two acceleration sensors are arranged in the vertical direction of the rotation shaft of the rigid rotor;
and in the rotation process of the rigid body rotor, acquiring the acceleration measurement value of each acceleration sensor, and calculating the rotation state of the rigid body rotor according to the acceleration measurement value.
6. The positioning method according to claim 5, wherein two acceleration sensors are disposed in a direction perpendicular to the rotation axis of the rigid body rotor, and the two acceleration sensors are disposed in a radial direction of the moving direction of the rigid body rotor or in a tangential direction of the moving direction of the rigid body rotor.
7. The positioning method according to claim 5, wherein three acceleration sensors are disposed in a direction perpendicular to the rotation axis of the rigid body rotor, wherein the acceleration sensor A and the acceleration sensor B are disposed in a radial direction of the moving direction of the rigid body rotor, and the acceleration sensor A and the acceleration sensor C are disposed in a tangential direction of the moving direction of the rigid body rotor.
8. The positioning method according to claim 7, wherein, when three-dimensional acceleration sensors are disposed in a direction perpendicular to the rotation axis of the rigid rotor, the calculating of the rotation state of the rigid rotor based on the acceleration measurements further comprises:
respectively reading readings of an acceleration sensor A, an acceleration sensor B and an acceleration sensor C in X, Y, Z three directions
Figure 671561DEST_PATH_IMAGE001
Figure 937326DEST_PATH_IMAGE002
Figure 372986DEST_PATH_IMAGE003
According to the formula
Figure 783687DEST_PATH_IMAGE005
And the readings of the three acceleration sensors respectively calculate the angular acceleration of the rigid rotor rotating along the X, Y, Z axis
Figure 603876DEST_PATH_IMAGE006
And angular velocity
Figure 956360DEST_PATH_IMAGE007
(ii) a Wherein,the difference value of the tangential acceleration of two mass points along the vertical direction of the rotating shaft of the rigid rotor,
Figure 461476DEST_PATH_IMAGE010
the difference value of the acceleration values of two mass points along the vertical direction of the rotation axis of the rigid rotor in the radial direction is shown.
CN201110338914.5A2011-11-012011-11-01Accelerator sensor-based gyroscope and positioning method thereofActiveCN102435181B (en)

Priority Applications (1)

Application NumberPriority DateFiling DateTitle
CN201110338914.5ACN102435181B (en)2011-11-012011-11-01Accelerator sensor-based gyroscope and positioning method thereof

Applications Claiming Priority (1)

Application NumberPriority DateFiling DateTitle
CN201110338914.5ACN102435181B (en)2011-11-012011-11-01Accelerator sensor-based gyroscope and positioning method thereof

Publications (2)

Publication NumberPublication Date
CN102435181Atrue CN102435181A (en)2012-05-02
CN102435181B CN102435181B (en)2015-05-13

Family

ID=45983386

Family Applications (1)

Application NumberTitlePriority DateFiling Date
CN201110338914.5AActiveCN102435181B (en)2011-11-012011-11-01Accelerator sensor-based gyroscope and positioning method thereof

Country Status (1)

CountryLink
CN (1)CN102435181B (en)

Cited By (2)

* Cited by examiner, † Cited by third party
Publication numberPriority datePublication dateAssigneeTitle
CN108645396A (en)*2018-05-102018-10-12东南大学A kind of method for measuring angular velocity of wide range angular-rate sensor
CN115507813A (en)*2022-09-302022-12-23中航通飞华南飞机工业有限公司Space rotation angle measuring method

Citations (8)

* Cited by examiner, † Cited by third party
Publication numberPriority datePublication dateAssigneeTitle
US5007289A (en)*1988-09-301991-04-16Litton Systems, Inc.Three axis inertial measurement unit with counterbalanced, low inertia mechanical oscillator
US6076401A (en)*1996-07-102000-06-20Wacoh CorporationAngular velocity sensor
CN2570734Y (en)*2002-09-282003-09-03大庆油田有限责任公司 Combination of frame gyroscope and flexible gyroscope to measure azimuth
CN1580701A (en)*2004-05-202005-02-16上海交通大学Static suspension rotor micro inertia sensor and its manufacturing method
CN1851473A (en)*2006-05-232006-10-25山西科泰微技术有限公司Angular speed measuring method and device
CN101021419A (en)*2007-03-222007-08-22上海交通大学Diamagnetic suspension rotor electrostatic driving micro-gyroscope
CN101109764A (en)*2007-06-212008-01-23上海交通大学 Dual mode inverse magnetic sensitive mass micro accelerometer
CN101187558A (en)*2007-12-112008-05-28中国科学院长春光学精密机械与物理研究所 North finder

Patent Citations (8)

* Cited by examiner, † Cited by third party
Publication numberPriority datePublication dateAssigneeTitle
US5007289A (en)*1988-09-301991-04-16Litton Systems, Inc.Three axis inertial measurement unit with counterbalanced, low inertia mechanical oscillator
US6076401A (en)*1996-07-102000-06-20Wacoh CorporationAngular velocity sensor
CN2570734Y (en)*2002-09-282003-09-03大庆油田有限责任公司 Combination of frame gyroscope and flexible gyroscope to measure azimuth
CN1580701A (en)*2004-05-202005-02-16上海交通大学Static suspension rotor micro inertia sensor and its manufacturing method
CN1851473A (en)*2006-05-232006-10-25山西科泰微技术有限公司Angular speed measuring method and device
CN101021419A (en)*2007-03-222007-08-22上海交通大学Diamagnetic suspension rotor electrostatic driving micro-gyroscope
CN101109764A (en)*2007-06-212008-01-23上海交通大学 Dual mode inverse magnetic sensitive mass micro accelerometer
CN101187558A (en)*2007-12-112008-05-28中国科学院长春光学精密机械与物理研究所 North finder

Non-Patent Citations (1)

* Cited by examiner, † Cited by third party
Title
崔峰等: "静电悬浮转子微陀螺及其关键技术", 《中国惯性技术学报》*

Cited By (2)

* Cited by examiner, † Cited by third party
Publication numberPriority datePublication dateAssigneeTitle
CN108645396A (en)*2018-05-102018-10-12东南大学A kind of method for measuring angular velocity of wide range angular-rate sensor
CN115507813A (en)*2022-09-302022-12-23中航通飞华南飞机工业有限公司Space rotation angle measuring method

Also Published As

Publication numberPublication date
CN102435181B (en)2015-05-13

Similar Documents

PublicationPublication DateTitle
CN110207697B (en)Inertial navigation resolving method based on angular accelerometer/gyroscope/accelerometer
CN108736657B (en) A method for detecting rotor position of permanent magnet spherical motor based on optical sensor
CN101105503B (en) Scalar Correction Method of Accelerometer Assembly Error in Strapdown Inertial Navigation Measurement Combination
CN103323625B (en)Error calibration compensation method of accelerometers in MEMS-IMU under dynamic environment
CN103411623B (en)Rate gyro calibration steps
CN1932444B (en) Attitude measurement method suitable for high-speed rotating body
CN103940425A (en)Magnetic-inertial combination strapdown measuring method
CN103940445B (en)A kind of single-shaft-rotation inertial navigation system inertial device error compensation method
CN103913171A (en)Compensation measurement method for rotary speed and rotary angle of carrier based on accelerometer and gyroscope
CN100545579C (en) A semi-strapdown attitude measurement method for high-speed rotating bodies
CN201408009Y (en) An inertial measurement device for deep sea inertial navigation
CN103868648A (en)Barycenter measuring method for three-axis air floatation simulation experiment platform
CN104848818B (en)Stewart platform stances measurement apparatus and measuring method
CN104697521A (en)Method for measuring posture and angle speed of high-speed rotating body by gyro redundant oblique configuration mode
CN111895967A (en)Rotation angle sensor
CN102435193A (en)High-precision initial alignment method of strapdown inertial navigation system
WO2014115848A1 (en)Rotary information computation method, rotary information computation program, magnetic gyroscope, and moving body
CN102706349A (en)Carrier gesture determining method based on optical fiber strap-down compass technology
CN108710001B (en)Two-axis integrated gyroscope accelerometer and servo control method
Chen et al.Axial unbalance identification of GyroWheel rotor based on multi-position calibration and CEEMDAN-IIT denoising
CN105716595B (en)A kind of rotor deflection modulation error compensation method of suspension class gyroscope
CN102435181B (en)Accelerator sensor-based gyroscope and positioning method thereof
CN105674971B (en)Two-dimentional spacecraft angular rate measurement method based on gyroscope flywheel system
Al-Sharman et al.State estimation for a small scale flybar-less helicopter
CN106768631A (en)A kind of Three dimensional rotation amount test device and method of testing based on acceleration analysis

Legal Events

DateCodeTitleDescription
C06Publication
PB01Publication
C10Entry into substantive examination
SE01Entry into force of request for substantive examination
C53Correction of patent of invention or patent application
CB02Change of applicant information

Address after:518057 Guangdong Province, Shenzhen high tech Zone of Nanshan District City, No. 9018 North Central Avenue's innovation building A, 6-8 layer, 10-11 layer, B layer, C District 6-10 District 6 floor

Applicant after:Nubian Technologies Ltd.

Address before:518057, Guangdong, Nanshan District hi tech Industrial Park, south 6, No. 29, south 6, South, Shenzhen

Applicant before:Shenzhen ZTE Mobile Tech Co., Ltd.

CORChange of bibliographic data

Free format text:CORRECT: APPLICANT; FROM: SHENZHEN ZTE MOBILE TECH CO., LTD. TO: NUBIAN TECHNOLOGIES LTD.

C14Grant of patent or utility model
GR01Patent grant
TR01Transfer of patent right

Effective date of registration:20201102

Address after:Group 9, Chang'an East Village, Si'an Town, Tongzhou District, Nantong City, Jiangsu Province, 226300

Patentee after:Nantong Tangrun Machinery Co., Ltd

Address before:518057 Guangdong Province, Shenzhen high tech Zone of Nanshan District City, No. 9018 North Central Avenue's innovation building A, 6-8 layer, 10-11 layer, B layer, C District 6-10 District 6 floor

Patentee before:NUBIA TECHNOLOGY Co.,Ltd.

TR01Transfer of patent right

[8]ページ先頭

©2009-2025 Movatter.jp