Movatterモバイル変換


[0]ホーム

URL:


CN102312214B - 使用脒基金属的原子层沉积 - Google Patents

使用脒基金属的原子层沉积
Download PDF

Info

Publication number
CN102312214B
CN102312214BCN2011102015794ACN201110201579ACN102312214BCN 102312214 BCN102312214 BCN 102312214BCN 2011102015794 ACN2011102015794 ACN 2011102015794ACN 201110201579 ACN201110201579 ACN 201110201579ACN 102312214 BCN102312214 BCN 102312214B
Authority
CN
China
Prior art keywords
cobalt
ground
reagent
copper
amd
Prior art date
Legal status (The legal status is an assumption and is not a legal conclusion. Google has not performed a legal analysis and makes no representation as to the accuracy of the status listed.)
Expired - Lifetime
Application number
CN2011102015794A
Other languages
English (en)
Other versions
CN102312214A (zh
Inventor
R·G·格登
B·S·利姆
Current Assignee (The listed assignees may be inaccurate. Google has not performed a legal analysis and makes no representation or warranty as to the accuracy of the list.)
Harvard University
Original Assignee
Harvard University
Priority date (The priority date is an assumption and is not a legal conclusion. Google has not performed a legal analysis and makes no representation as to the accuracy of the date listed.)
Filing date
Publication date
Family has litigation
First worldwide family litigation filedlitigationCriticalhttps://patents.darts-ip.com/?family=32329139&utm_source=google_patent&utm_medium=platform_link&utm_campaign=public_patent_search&patent=CN102312214(B)"Global patent litigation dataset” by Darts-ip is licensed under a Creative Commons Attribution 4.0 International License.
Application filed by Harvard UniversityfiledCriticalHarvard University
Publication of CN102312214ApublicationCriticalpatent/CN102312214A/zh
Application grantedgrantedCritical
Publication of CN102312214BpublicationCriticalpatent/CN102312214B/zh
Anticipated expirationlegal-statusCritical
Expired - Lifetimelegal-statusCriticalCurrent

Links

Images

Classifications

Landscapes

Abstract

金属薄膜在均匀厚度和优良阶梯覆盖下沉积。铜金属薄膜通过交替量的N,N′-二异丙基乙脒铜(I)和氢气的反应沉积在加热的底材上。钴金属薄膜通过交替量的N,N′-二异丙基乙脒钴(II)和氢气的反应沉积在加热的底材上。这种金属的氮化物和氧化物可分别用氨或水蒸气代替氢气形成。细孔中的薄膜具有非常均匀的厚度和良好的阶梯覆盖。合适的应用包括微电子器件中和磁信息存储器件中磁致电阻的电连接。

Description

使用脒基金属的原子层沉积
本申请是申请号为200380106327.7、申请日为2003年11月14日、发明名称为“使用脒基金属的原子层沉积”的专利申请的分案申请。
发明背景
1.发明领域
本发明涉及用于在固体底材上沉积含金属的保形薄膜的材料和方法,并且薄膜尤其是含铜、钴和铁金属或其氧化物或氮化物的薄膜。本发明可用于制造微电子器件。
2.相关技术的说明
当需要改善半导体微电子器件的速率和功能时,需要新型材料。例如,需要具有较高电导率的材料以形成集成电路中晶体管之间的线路。与铝相比,铜具有更高的电导率,并且在防止电迁移方面具有更好的稳定性。因此,铜变得越来越普遍地用于硅半导体。这种趋向公开在互联网http://public.itrs.net/Files/2001ITRS/Home.htm的半导体国际技术发展蓝图中。
铜连接线路还必须被保形设置在例如细孔结构中,并且产生的薄膜必须具有高度均匀的厚度。如果存在厚度差异,由于铜的粗糙表面产生增加的电子散射,槽或通道中铜的电导率将会降低。高质量的阻挡层/粘附层需要具有非常光滑的表面。
适于制造光滑、保形层的一个方法是“原子层沉积”,或ALD(又名原子层磊晶)。ALD方法使用两种或多种不同气相前体沉积固体材料薄层。薄膜即将沉积于其上的底材的表面暴露于一定剂量的前体的蒸气。然后前体所有未反应的多余蒸气用泵抽出。接下来,一定剂量的第二前体的蒸气到达该表面并使之反应。这些步骤可重复进行以产生较厚的薄膜。该方法中一个尤其重要的方面是,ALD反应是自限的,因为在每个循环中仅仅形成某一最大厚度,随后在此循环中即便是可得到过量的反应物,也没有发生进一步的沉积。由于这种自限特性,ALD反应产生具有高度均匀厚度的涂层。ALD薄膜厚度的均匀性不仅沿着底材平面延伸,还延伸到细孔和槽中。ALD这种产生保形薄膜的能力被称作“良好的阶梯覆盖(step coverage)”。
P.Martensson和J.-O.Carlsson在Journal of the Electro-chemical Society,vol.145,2926-2931(1998)中已经由铜前体Cu(II)-2,2,6,6-四甲基-3,5-庚烷二酮化物证实了铜的ALD。不幸的是,在实质上自限的ALD方法的温度范围(<200℃)内,这种ALD方法中的铜仅仅生长在预存在的铂表面,并且没有成核或粘附在大部分其它表面。在铜ALD中已经建议了其它反应,然而没有数据公开表明预期的表面反应实际上为自限的。因此,尤其有利地是进行铜能够在除铂之外的表面上成核或粘附的ALD方法。
美国专利No.6,294,836表明,在铜和底材之间使用钴的“粘合”层能够促进铜的粘附。然而根据美国专利No.6,444,263,用于沉积钴的已知化学气相沉积(CVD)法具有较差的阶梯覆盖,在具有长径比5∶1的孔的底部仅仅产生20%的厚度。美国专利申请No.2002/0081381中已经要求保护了钴ALD,用于双(乙酰丙酮酸)钴[Co(acac)2]与氢的反应,然而其中并没有给出阶梯覆盖数据,并且膜生长仅仅发现在预存在的铱表面。美国专利申请No.2002/0081381还要求保护钴的非选择性生长,其通过钴[Co(acac)2]与硅烷的反应进行,然而这种钴可能被硅污染。因此对于具有高阶梯覆盖的纯钴,这将有利地进行沉积过程。
铜和钴薄层过去经常用于形成磁性信息存储中的抗磁读写磁头。这种薄层需要具有非常均匀的厚度,并具有很少的缺陷和小孔。当存在制造这种器件的成功的工业化生产过程时,这将有利地进行铜和钴的沉积过程,产生具有更均匀厚度和更少缺陷的薄层。
磁存储器的先进设计与微电子电路(例如参见美国专利申请No.2002/0132375和美国专利No.6,211,090)相结合产生高度均匀和保形的金属(特别是铁、钴、镍、铜、钌、锰)层,并具有受控的厚度和明显的界面。然而现在没有已知方法使这些金属在预定保形和受控厚度下沉积。
发明概述
本发明的一个方面包括一种使用挥发性脒基金属化合物沉积含金属,如铜、钴、镍、铁、钌、锰、铬、钒、铌、钽、钛或镧的薄膜的方法。该薄膜具有均匀、保形的厚度和光滑的表面。
该方法的优点是,其能够形成具有非常均匀的厚度的含金属的涂层。
本发明的一个相关方面是,在底材和沉积涂层之间产生良好粘附的条件下沉积含金属涂层。
该方法的优点是,其能够沉积具有非常光滑的表面的含金属的涂层。
该方法的其它优点是,高度均匀的含金属的涂层的气相沉积在一定范围的条件下实现,如反应器内部反应物的浓度和底材的位置。
本发明的另一优点在于,其能够在具有细密小孔、槽或其它结构的底材上形成含金属的保形涂层。这种能力通常称为“良好的阶梯覆盖”。
本发明的另一方面为制备基本上没有针孔或其它机械缺陷的含金属的涂层。
本发明的另一优点在于其能够沉积具有高电导率的含金属的涂层。
本发明的另一优点在于其能够沉积含金属的涂层,该涂层能够有力地粘附在氧化物底材上。
本发明的另一优点包括使用含金属的涂层在较低温度下涂布底材的能力。
本发明的另一方面包括一种用于含金属的涂层的原子层沉积的方法,该方法不会对底材产生等离子损伤。
本发明的一个特定方面包括一种沉积导电铜涂层的方法,该涂层在微电子器件中用作连接器。
本发明的另一特定方面包括一种沉积钴涂层的方法,该钴涂层具有有用的磁性。
本发明的一个方面涉及在微电子互联结构中的扩散阻挡层(例如TiN、TaN或WN)上沉积钴层,然后沉积铜层的方法。
本发明的另一方面包括一种沉积钴/铜纳米层压涂层的方法,所述涂层具有有用的磁致电阻性质。
在本发明的一个方面,含金属的薄膜如下制备:使加热底材交替暴露于一种或多种挥发性脒基金属化合物(M-AMD)蒸气,然后暴露于还原性气体或蒸气,以在底材的表面上形成金属涂层。在一个或多个实施方案中,还原性气体包括氢气。
在本发明的一个方面,含金属氮化物的薄膜如下制备:使加热底材交替暴露于一种或多种挥发性脒基金属化合物(M-AMD)蒸气,然后暴露于含氮气体或蒸气,以在底材的表面上形成含金属氮化物的涂层。在一个或多个实施方案中,含氮气体包括氨。
在本发明的一个方面,含金属氧化物的薄膜如下制备:使加热底材交替暴露于一种或多种挥发性脒基金属化合物(M-AMD)蒸气,然后暴露于含氧气体或蒸气,以在底材的表面上形成含金属氧化物的涂层。在一个或多个实施方案中,含氧气体包括水。
在本发明的一个或多个实施方案中,挥发性脒基金属化合物是具有选自M(I)AMD、M(II)AMD2和M(III)AMD3的通式的脒基金属化合物,并包括其低聚物,其中M为金属并且AMD为脒基部分。
在本发明的一个方面,挥发性铜化合物的蒸气在表面交替与氢气反应,以在表面产生金属铜的薄层。尤其合适的铜化合物选自脒基铜(I)类。
在本发明的一个方面,挥发性钴化合物的蒸气在表面交替与氢气反应,以在表面产生金属钴的薄层。尤其合适的钴化合物选自脒基钴(II)类。在该方法中用氨气代替氢气可以沉积氮化钴(cobaltnitride)。在该方法中用水蒸气代替氢气可沉积氧化钴。
在本发明的其它实施方案中,脒基镍、铁、钌、锰、铬、钒、铌、钽、钛和镧可用于气相沉积包含一种或多种这些金属的薄膜。
在本发明的另一方面,挥发性镧化合物的蒸气在表面交替与氨气反应,以在表面产生氮化镧的薄层。尤其合适的镧化合物选自脒基镧(III)类。在该方法中用水蒸气代替氨气可沉积氧化镧。
在某些实施方案中,该反应可在底材上形成膜的方式进行,所述底材上可具有孔或槽。涂层还可位于粉末、导线,或复杂的机械装置附近或内部。
附图简述
本发明的上述和其它方面、特征和优点以及发明本身可与如下附图相结合参考随后的发明详述将更加明显。以下附图仅仅用于说明本发明而并非本发明的限制,其中:
图1为用于实施本发明至少一个实施方案的原子沉积层装置的截面图;
图2为用于实施本发明至少一个实施方案的铜前体的分子结构;
图3为用于实施本发明至少一个实施方案的钴前体的分子结构;
图4为内壁表面用本发明一个实施方案的铜金属涂布的细密孔的截面扫描电子显微照片;
图5为内壁表面用本发明一个实施方案的铜金属涂布的细密孔的光学显微照片;
图6为每次ALD循环中沉积的铜的厚度以底材温度为函数的曲线图;
图7为每次ALD循环中沉积的钴的厚度以底材温度为函数的曲线图。
发明详述
本发明提供一种用于制备含金属的层的方法,所述层通过原子层沉积由包括脒基金属的反应物得到。在原子层沉积过程中,金属化合物蒸气与第二反应物的蒸气通过如图1所示的装置交替施加到一个表面,其在随后的说明书中详细说明。优选的脒基金属包括甲脒金属和乙脒金属。典型的第二反应物包括氢气、氨气或水蒸气。当选择氢气作为第二反应物时,可沉积金属。当选择氨气作为第二反应物时,可沉积金属氮化物。当选择水蒸气作为第二反应物时,可沉积金属氧化物。
在本发明的一个或多个实施方案中,用于单价金属的前体包括挥发性脒基金属(I),[M(I)(AMD)]x,其中x=2、3。这些化合物中部分具有二聚结构1,
其中R1、R2、R3、R1′、R2′和R3′为由一个或多个非金属原子组成的基团。在一些实施方案中,R1、R2、R3、R1′、R2′和R3′可以独立地选自氢、烷基、芳基、烯基、炔基、三烷基甲硅烷基或氟代烷基,或其它非金属原子或基团。在一些实施方案中,R1、R2、R3、R1′、R2′和R3′各自独立地为具有1-4个碳原子的烷基或氟代烷基或甲硅烷基烷基。合适的一价金属包括铜(I)、银(I)、金(I)和铱(I)。在一个或多个实施方案中,脒基金属为脒基铜,并且脒基铜包括N,N′-二异丙基乙脒铜(I),相应于通式1中R1、R2、R1′和R2′为异丙基并且R3和R3′为甲基。在一个或多个实施方案中,脒基金属(I)为通式[M(I)(AMD)]3的三聚体。
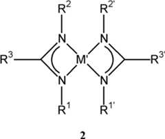
在一个或多个实施方案中,二价金属前体包括挥发性二脒基金属(II),[M(II)(AMD)2]x,其中x=1、2。这些化合物可具有单体结构2,
Figure BDA0000076684860000062
其中R1、R2、R3、R1′、R2′和R3′为由一个或多个非金属原子组成的基团。在一个或多个实施方案中,还可以使用此结构的二聚体,例如[M(II)(AMD)2]2。在一些实施方案中,R1、R2、R3、R1′、R2′和R3′可以独立地选自氢、烷基、芳基、烯基、炔基、三烷基甲硅烷基或氟代烷基,或其它非金属原子或基团。在一些实施方案中,R1、R2、R3、R1′、R2′和R3′各自独立地为具有1-4个碳原子的烷基或氟代烷基或甲硅烷基烷基。合适的二价金属包括钴、铁、镍、锰、钌、锌、钛、钒、铬、铕、镁和钙。在一个或多个实施方案中,脒基金属(II)为脒基钴,并且脒基钴包括双(N,N′-二异丙基乙脒)钴(II),相应于通式2中R1、R2、R1′和R2′为异丙基并且R3和R3′为甲基。
在一个或多个实施方案中,三价金属前体包括挥发性三脒基金属(III),M(III)(AMD)3。这些化合物可具有单体结构3,
Figure BDA0000076684860000071
其中R1、R2、R3、R1′、R2′、R3′、R1″、R2″和R3″为由一个或多个非金属原子组成的基团。在一些实施方案中,R1、R2、R3、R1′、R2′、R3′、R1″、R2″和R3″可以独立地选自氢、烷基、芳基、烯基、炔基、三烷基甲硅烷基、卤素或部分氟代的烷基。在一些实施方案中,R1、R2、R3、R1′、R2′、R3′、R1″、R2″和R3″各自独立地为1-4个碳原子的烷基。合适的三价金属包括镧、镨和其它镧系元素金属、钇、钪、钛、钒、铌、钽、铬、铁、钌、钴、铑、铱、铝、镓、铟和铋。在一个或多个实施方案中,脒基金属(III)为脒基镧,并且脒基镧包括三(N,N′-二叔丁基乙脒)镧(III),相应于通式3中R1、R2、R1′、R2′、R1″和R2″为叔丁基并且R3、R3″和R3″为甲基。
此处使用的脒基金属(其具有与单体中相同的金属/脒基比,然而化合物中金属/脒基单元的总数不同)称为单体化合物的“低聚物”。因此,单体化合物M(II)AMD2的低聚物包括[M(II)(AMD)2]x,其中x为1、2、3等。同样地,单体化合物M(I)AMD的低聚物包括[M(I)(AMD)]x,其中x为2、3等。
脒基金属可使用任意合适的方法制备。一种制备脒基金属前体的方法包括:首先通过1,3-二烷基碳二亚胺与烷基锂化合物反应形成脒基锂:
然后脒基锂与金属卤化物反应形成脒基金属:
不对称的碳二亚胺(其中R1与R2不同)和对称的碳二亚胺(R1=R2)可通过以下反应合成:
Figure BDA0000076684860000091
多种市售的烷基胺和异氰酸烷基酯用于提供R1和R2烷基。不同R3烷基可通过使用适当的烷基锂化合物提供。
其它用于制备脒基金属的方法使用N,N′-二烷基脒,
Figure BDA0000076684860000092
而不使用碳二亚胺。
通过将脒与金属氢化物(R=H)、烷基金属(R=烷基)或烷基氨基(alkylamide)金属(R=二烷基氨基)反应,脒可转化成脒基金属:
Figure BDA0000076684860000093
或者,最后的反应可用于形成脒的碱金属盐,其随后与金属卤化物反应以形成预期的脒基金属。
N,N′-二烷基脒可使用有机化学领域任何已知的方法合成。对称的脒(R1=R2)可使用三氟甲磺酸镧催化通过胺与腈的缩合形成:
不对称的脒(R1≠R2)和对称的脒可通过以下由酰胺开始的反应合成。部分酰胺可从市场上买到,其它酰胺可通过有机酸卤化物与胺的反应合成:
Figure BDA0000076684860000102
然后,在如吡啶的有机碱的存在下,酰胺与三氟甲磺酸酐反应形成脒盐:
Figure BDA0000076684860000103
然后这种中间体脒盐与烷基铵氯化物R2NH3Cl反应,然后与如氢氧化钠的碱反应形成预期的游离脒:
Figure BDA0000076684860000111
为使这些反应尽可能地容易进行,选择基团R2以使其空间位阻比R1大,以合成不对称的脒。
在本发明的实施中,液态前体通常具有几个优点。如果脒基金属的熔点低于室温,液态化合物可通过分馏以高纯度产生。相比之下,固态材料更难于通过升华纯化,升华在除去杂质方面不如蒸馏有效。空气敏感的液体化合物还通常比固体易于处理和转移。
较低熔点的脒基金属可使用较长链烷基的R1、R2和/或R3产生。不对称的脒基金属(其中R1与R2不同)通常具有比对称的脒基金属更低的熔点。具有超过一个立体异构体的烷基,例如仲丁基,也能导致熔点的降低。使用这些策略的一种或多种希望得到液态前体,而并非固态化合物。
在本发明沉积过程的提供蒸气中,同样需要低熔点。如果化合物的熔点比化合物蒸发的温度低,液态蒸气源通常具有比固体化合物更快的蒸发动力学。并且,升华的固体通常离开其覆盖有不易挥发材料残渣的表面,这种覆盖阻碍了进一步的蒸发。另一方面,液态源中的所有不挥发性沉渣可沉淀到液体中,完全地离开液面并能够尽快地蒸发。
根据本发明的一个或多个实施方案,脒基金属以蒸气的形式引入到底材上方。前体的蒸气可通过常规方法由液体或固体前体形成。在一个或多个实施方案中,液体前体可通过雾化作用蒸发,称为预热到蒸发温度,例如约100-200℃的载气。雾化作用可通过气动、超声或通过其它合适的方法进行。雾化的固态前体可以溶于有机溶剂中,有机溶剂包括烃,例如癸烷、十二烷、十四烷、甲苯、二甲苯和均三甲苯、醚、酯、酮和氯化烃类。液态前体的溶液通常具有比纯液体更低的粘度,因此在某些情况下优选雾化或蒸发溶液,而并非纯液体。前体液体或前体溶液可直接将液体或溶液注入到高温层,或在起泡器中加热,用薄膜式蒸发器蒸发。用于液体蒸发的工业设备由MKSInstruments(Andover,Massachusetts)、ATMI,Inc.(Danbury,Connecticut)、Novellus Systems,Inc.(San Jose,California)和COVA Technologies(Colorado Springs,CO)制造。超声雾化器由Sonotek Corporation(Milton,New York)和Cetac Technologies(Omaha,Nebraska)制造。
本发明的金属前体可以与例如氢气的还原剂反应形成金属薄膜。例如,N,N′-二异丙基乙脒铜(I)可与氢气反应形成铜金属。在其它实施方案中,本发明的金属前体还可以与其它合适的反应性还原气体反应形成金属。在一些实施方案中,本发明的金属前体可与氨气反应形成金属氮化物。例如,双(N,N′-二异丙基乙脒)钴(II)可以与氨气反应形成氮化钴。在其它实施方案中,本发明的金属前体可与水蒸气反应形成金属氧化物。例如,三(N,N′-二叔丁基乙脒)镧(III)可以与水蒸气反应形成氧化镧。
本发明方法可使用原子层沉积(ALD)进行。ALD向沉积室中引入定量的第一反应物,所述沉积室具有用于层沉积的底材。第一反应物的薄层沉积在所述底材上。然后所有未反应的第一反应物和挥发性反应副产品通过真空泵除去,并且所述除去任选使用惰性载气流。然后向沉积室中引入定量的第二反应物组分。第二反应物沉积在第一反应物的沉积层上并与第一反应物反应。向沉积室中引入交替量的第一和第二反应物并沉积在底材上,形成受控组成和厚度的涂层。剂量之间的时间可以是几秒的数量级,并加以选择以提供足够的时间以使刚刚引入的组分与薄膜的表面反应,并使所有多余的蒸气和副产品从底材上的顶端空间除去。已经确定该表面反应是自限性的,由此沉积多层预定组分。本领域普通技术人员可认识到,使用多于两种反应组分的沉积过程也在本发明的范围之内。
在本发明的一个或多个实施方案中,通常用于向气相色谱仪中注入样品的6-口取样阀(Valco model EP4C6WEPH,Valco Instruments,Houston,TX)可用于传送反应性气体。阀通过计算机控制的每次转变,“进样环管”中的定量气体流到沉积室中。稳定流量的载气能够清除从管中引入加热沉积区的剩余反应性气体。这种传送方法有利于反应物气体,例如氢气和氨气。
蒸气压比沉积室中压力高的反应物可使用如图1所示的装置引入。例如,水具有比沉积室中通常压力(通常小于1托)更高的蒸气压(在室温下约24托)。通过使用一对气动隔膜阀50和70(Parker-Hannifin Richmond CA制造的Titan II型),这种具有蒸气30的挥发性前体20被引入到加热的沉积室110中。这两个阀通过具有预定体积V的室60连接,并且这些组件置于设定在控制温度T2的烘箱80内。前体储存器10中反应物蒸气30的压力与温度为T1的固体或液体反应物20的平衡蒸气压Peq相等,所述固体或液体反应物的温度由环绕的烘箱40确定。使温度T1足够高,以使前体压力Peq比沉积室的压力Pdep高。使温度T2高于温度T1,由此在阀50和70或室60内仅仅存在气相而不存在冷凝相。在气相反应物的情形,也可使用这种传送方法。在这种情形体积V的气压可使用压力调节器(没有显示)设定,该压力调节器从存储气体反应物的容器的压力降低其压力。
载气(例如氮气)以控制速率流入进口90,以促进反应物到沉积室的流动,并清除反应副产物和未反应的反应物蒸气。静态混合器可置于通入反应器的管100内,由此当其进入通过炉120加热并含有一个或多个底材130的沉积室110时,可在载气中提供更均匀的前体蒸气浓度。通入真空泵150之前,反应副产物和未反应的反应产物通过收集器140除去。载气从排气装置160离开。
操作中,打开阀70以使室60内的压力降低到接近于沉积室110中的压力Pdep。然后关闭阀70并打开阀50,以使前体蒸气由前体存储器10进入室60。然后关闭阀50,以使室60的容积V内含有压力为Pep的前体蒸气。最后打开阀70,以使室60内大部分前体蒸气进入沉积室。在此循环中传送的前体的摩尔量n可通过假定蒸气服从理想气体定律估算:
n=(Pep-Pdep)(V/RT1)
其中R为气体常数。当忽略打开阀以释放前体蒸气的时间时,这个公式还假定来自管90的载气没有通过阀70进入室60。在阀打开的时间如果载气与前体蒸气混合,则可传送较大量的前体蒸气,达到最大值
n=(Pep)(V/RT1)
条件是所有室60中的剩余前体蒸气通过载气排出。如果前体具有较高的蒸气压(Pep>>Pdep),这两种前体量的估算通常不会有太大差别。
必要时重复进行这种传送前体20的循环,直到已经向反应室中传送所需量的前体20。在ALD方法中,通过这种循环(或重复几次这种循环以得到较大量)传送的前体20的量通常足够大,以使表面反应进行完全(也称为“饱和”)。
如果前体的蒸气压小到Pep比Pdep小,上述方法将不能将前体蒸气传送到沉积室。通过提高存储器的温度,蒸气压可以上升,然而,有时较高的温度将会导致前体的热分解。脒基金属通常具有小于沉积室操作压力的蒸气压。如果热敏前体21具有较低的蒸气压,其蒸气31可使用图1中的装置传送。室19首先用来自压力控制器(没有显示)并通过管15和阀17传送的载气加压。然后关闭阀17并打开阀51,以使载气将前体存储器11增压至Ptot。则存储器11的蒸气空间31中前体蒸气的摩尔分数为Peq/Ptot。然后关闭阀51并打开阀71,以传送反应蒸气31。如果Ptot设定为比沉积室中压力Pdep更大的压力,则传送的摩尔量可根据下式估算:
n=(Pep/Ptot)(Ptot-Pdep)(V/RT1′),
其中V为室11中蒸气空间31的体积并且T1′为炉41中的温度。炉81保持在T2′的温度,其比T1′足够高以避免冷凝。如果在阀71开启的期间载气由管91进入空间31,则可以传送比该估算量更大的量。如果使体积V足够大,则可传送确定量的前体,其足以饱和该表面反应。如果蒸气压Peq太低以致预定体积V将不切实际地太大,则在传送其它反应物之前可传送体积V中的其它量。
在一个或多个实施方案中,图1的装置可包括两个传送室,例如,其都可用于传送蒸气压比沉积压力高或低的样品。
在恒温沉积区110中,材料通常沉积在所有暴露于前体蒸气的表面,所述表面包括底材和沉积室内壁。因此,应当根据摩尔除以底材和暴露的沉积室内壁的总面积来计算使用的前体量。有时沉积还发生在底材的部分或全部背面,在这种情况下,底材背面的面积也应当计入总面积之内。
本发明可参考如下实施例理解,所述实施例仅仅用于说明性目的而并非对本发明的限制,本发明的保护范围列于如下的权利要求中。
实施例中的所有反应和操作在纯氮气气氛下进行,其使用惰性空气箱或标准Schlenk工艺进行。四氢呋喃(THF)、乙醚、己烷和乙腈用Innovative Technology溶剂净化系统干燥,并通过4埃分子筛储存。仲丁胺由氧化钡蒸馏干燥。使用购自Aldrich Chemical Company的甲基锂、叔丁基锂、1,3-二异丙基碳二亚胺、1,3-二叔丁基碳二亚胺、CuBr、AgCl、CoCl2、NiCl2、MnCl2、MgCl2、SrCl2、TiCl3、VCl3、BiCl3、RuCl3、Me3Al(三甲基铝)、(CF3SO3)3La(三氟甲磺酸镧)、La和Pr。这些方法生产的金属化合物通常与外界空气中的水分和/或氧气反应,并且应当在惰性、干燥空气中储存和处理,例如纯氮气或氩气。
实施例1.(N,N′-二异丙基乙脒)铜([Cu(iPr-AMD)]2)的合成。
在-30℃,甲基锂的乙醚溶液(乙醚的1.6M溶液,34mL,0.054mol)滴加到1,3-二异丙基碳二亚胺(6.9g,0.055mol)在100mL乙醚中的溶液中。所得混合物加热至室温并搅拌4小时。所得无色溶液加入到溴化铜(7.8g,0.054mol)在50mL乙醚中的溶液中。反应混合物在隔绝光线的条件下搅拌12小时。然后在减压下除去所有的挥发物,然后用己烷(100mL)提取所得固体。己烷提取物通过玻璃料上的Celite垫过滤,得到浅黄色溶液。将滤液浓缩并冷却至-30℃,得到9.5g无色结晶产物(83%)。升华:50mtorr,70℃。1H NMR(C6D6,25℃):1.16(d,12H),1.65(s,3H),3.40(m,2H)。C16H34N4Cu2的元素分析,计算值:C,46.92;H,8.37;N,13.68。实测值:C,46.95;H,8.20;N,13.78。
通过X-射线晶体衍射确定[Cu(iPr-AMD)]2的结构。如图2所示,[Cu(iPr-AMD)]2为固态二聚体,其中脒基配体以μ,η1:η1形式桥接铜金属原子。Cu-N平均距离为1.860(1)埃。Cu-N-C-N-Cu五元环的几何形状为晶体结构赋予的中心对称的平面。
实施例2.双(N,N′-二异丙基乙脒)钴([Co(iPr-AMD)2])的合成。
除使用1∶1的乙醚和THF混合物作为溶剂,该化合物用所述与[Cu(iPr-AMD)]2相同的方式得到。在-30℃于己烷中重结晶,得到深绿色结晶产物(77%)。升华:50mtorr,40℃。熔点:72℃。C16H34N4Co的元素分析,计算值:C,56.29;H,10.04;N,16.41。实测值:C,54.31;H,9.69;N,15.95。
如图3所示,Co(iPr-AMD)2为具有两个脒基配体的单体,脒基配体设置在扭曲四面体环境的每个钴原子周围。Co-N平均距离为2.012(8)埃。Co-N-C-N四元环为具有加强对称面的平面。
实施例3.双(N,N′-二叔丁基乙脒)钴([Co(tBu-AMD)2])的合成。
除使用1,3-二叔丁基碳二亚胺代替1,3-二异丙基碳二亚胺,使用与实施例2中[Cu(iPr-AMD)]2类似的方法得到该化合物。深蓝色结晶(84%)。升华:50mtorr,45℃。熔点:90℃。C20H42N4Co的元素分析,计算值:C,60.43;H,10.65;N,14.09。实测值:C,58.86;H,10.33;N,14.28。
实施例4.三(N,N′-二异丙基乙脒)镧([La(iPr-AMD)3])的合成。
除使用LaCl3(THF)2代替CoCl2外,使用与如上所述[Co(iPr-AMD)2]类似的方法,通过粗固体物质的升华,得到灰白色固体产物。升华:40mtorr,80℃。1H NMR(C6D6,25℃):1.20(d,36H),1.67(s,18H),3.46(m,6H)。C24H51N6La的元素分析,计算值:C,51.24;H,9.14;N,14.94。实测值:C,51.23;H,8.22;N,14.57。
实施例5.三(N,N′-二异丙基-2-叔丁脒)镧([La(iPr-tBuAMD)3]·1/2C6H12)的合成。
除使用LaCl3(THF)2外,使用与如上所述[Co(iPr-AMD)2]类似的方法,通过粗固体物质的升华,得到灰白色固体产物。无色晶体(80%)。升华:50mtorr,120℃。熔点140℃。1H NMR(C6D6,25℃):1.33(br,21H),4.26(m,6H)。C33H75N6La的元素分析,计算值:C,57.04;H,10.88;N,12.09。实测值:C,58.50;H,10.19;N,11.89。
实施例6.双(N,N′-二异丙基乙脒)铁([Fe(iPr-AMD)2]2)的合成。
除使用FeCl2外,使用与如上所述[Co(iPr-AMD)2]类似的方法,从己烷提取物蒸发溶剂后得到黄绿色[Fe(iPr-AMD)2]2固体产物。升华:50mtorr,70℃。熔点110℃。
实施例7.双(N,N′-二叔丁基乙脒)铁([Fe(tBu-AMD)2])的合成。
除使用1,3-二叔丁基碳二亚胺代替1,3-二异丙基碳二亚胺,使用与上述[Fe(iPr-AMD)2]2类似的方法得到白色结晶(77%)。升华:50mtorr,60℃。熔点107℃。C20H42N4Fe的元素分析,计算值:C,60.90;H,10.73;N,14.20。实测值:C,59.55;H,10.77;N,13.86。
实施例8.双(N,N′-二异丙基乙脒)镍([Ni(iPr-AMD)2])的合成。
除使用NiCl2并回流反应混合物过夜外,使用与如上实施例2所述[Co(iPr-AMD)2]类似的方法,从己烷提取物蒸发溶剂后得到褐色[Ni(iPr-AMD)2]固体产物。褐色晶体(70%)。升华:70mtorr,35℃。熔点55℃。C16H34N4Ni的元素分析,计算值:C,56.34;H,10.05;N,16.42。实测值:C,55.22;H,10.19;N,16.22。
实施例9.双(N,N′-二异丙基乙脒)锰([Mn(iPr-AMD)2]2)的合成。
除使用MnCl2外,使用与上述[Co(iPr-AMD)2]类似的方法,从己烷提取物蒸发溶剂后得到[Mn(iPr-AMD)2]2固体产物。黄绿色晶体(79%)。升华:50mtorr,65℃。C32H68N8Mn2的元素分析,计算值:C,56.96;H,10.16;N,16.61。实测值:C,57.33;H,9.58;N,16.19。
实施例10.双(N,N′-二叔丁基乙脒)锰([Mn(tBu-AMD)2])的合成。
除使用1,3-二叔丁基碳二亚胺代替1,3-二异丙基碳二亚胺,使用与上述[Mn(iPr-AMD)2]类似的方法得到淡黄色结晶(87%)。升华:60mtorr,55℃。熔点100℃。
实施例11.三(N,N′-二异丙基乙脒)钛([Ti(iPr-AMD)3])的合成。
除使用TiCl3代替LaCl3(THF)2外,使用与上述[La(iPr-AMD)3]类似的方法,从己烷提取物蒸发溶剂后得到[Ti(iPr-AMD)3]。褐色结晶(70%)。升华:50mtorr,70℃。C24H51N6Ti的元素分析,计算值:C,61.13;H,10.90;N,17.82。实测值:C,60.22;H,10.35;N,17.14。
实施例12.三(N,N′-二异丙基乙脒)钒([V(iPr-AMD)3])的合成。
除使用VCl3代替TiCl3外,使用与上述[Ti(iPr-AMD)3]类似的方法,从己烷提取物蒸发溶剂后得到[V(iPr-AMD)3]。红褐色粉末(80%)。升华:45mtorr,70℃。
实施例13.(N,N′-二异丙基乙脒)银的合成([Ag(iPr-AMD)]x)(x=2和x=3)。
这两种化合物用与如[Cu(iPr-AMD)]所述相同的方式制备,并且得到1∶1的二聚体和三聚体混合物。无色晶体(90%)。升华:40mtorr,80℃。熔点:95℃。1H NMR(C6D6,25℃):1.10(d,二聚体),1.21(d,三聚体),1.74(s,三聚体),1.76(s,二聚体),3.52(m,二聚体和三聚体的峰值未能很好地区分)。[C8H17N2Ag]x的元素分析,计算值:C,38.57;H,6.88;N,11.25。实测值:C,38.62;H,6.76;N,11.34。
实施例14.铜金属的原子层沉积
图1的装置用于沉积铜金属。N,N′-二异丙基乙脒铜(I)二聚体被放置于蒸气体积为125立方厘米并加热至85℃的不锈钢容器11中,在此温度下其具有约0.15托的蒸气压。通过用氮气载气将容器内的压力增加至10托,引入1.0微摩尔铜前体。用气相色谱采样阀引入1.4毫摩尔氢气。底材130和沉积室110加热壁的面积总共约103平方厘米。因此,铜前体的用量为1×10-9mol/cm2,氢气的用量为1.4×10-6mol/cm2。“照射量(exposure)”定义为:沉积区中前体蒸气的分压和蒸气与底材表面上给定点接触时间的乘积。底材对铜前体的照射量为2.3×104朗缪尔/循环,对氢气的照射量为3.4×107朗缪尔/循环。
通过将硅的天然氧化物置于稀氢氟酸溶液中几秒钟溶解,制备硅底材130。然后该底材在空气中用紫外线(例如紫外线汞灯)辐照(约2分钟),直到表面亲水。然后将底材130置于沉积室110中并加热到225℃。另一个具有细孔(长径比为4.5∶1)的硅底材进行同样的处理并置于沉积室110中。在干燥和UV净化之前,玻璃碳底材用10% HF水溶液(5秒)、去离子水(30秒)和异丙醇(10秒)净化。玻璃底材和溅射了铂和铜的硅底材用异丙醇(10秒)净化并干燥。
在铜前体和氢气交替之间通入载气10秒。500次循环后,关掉沉积室的加热器。底材冷却至室温后从反应器中移出。碳和硅底材通过卢瑟福反向散射光谱测定,发现其具有8×1016原子/cm2或1.4×10-7mol/cm2厚的纯铜薄膜。
切开有孔硅片,并记录孔横截面的扫描电子显微照片(SEM)。图4的显微照片表明:铜以约10∶1的长径比(定义为长度与直径的比例)涂布了孔的整个内表面,由此这种铜ALD方法表现出优良的阶梯覆盖。
实施例15.表面反应为自限的证实。
除所有反应物的量加倍之外,重复实施例14。薄膜的厚度和特性与实施例1相比没有改变。结果表明该表面反应为自限的。
实施例16.薄膜厚度随循环次数线性变化的证实。
除使用1000次循环代替500次循环外,重复实施例14。沉积了两倍的材料。结果表明:每个自限反应再现了另一重新开始的反应所需的条件,并且在底材表面引发反应或晶核生长中没有明显的抑制。
实施例17.铜原子层沉积温度范围的证实。
除底材温度在180℃-300℃范围内变化外,重复实施例14。如图6所示,除了每次循环的厚度随着温度变化外,得到了类似的结果。在低于180℃的底材温度,没有观察到铜的沉积。这种观察结果表明:如果壁面温度保持在180℃之下并在前体的露点之上,则反应室的壁面不会产生不必要的铜沉积。
实施例18.钴金属的原子层沉积。
除使用保持在75℃的双(N,N′-二异丙基乙脒)钴代替铜前体并且底材温度升高至300℃外,重复实施例14。预先涂布有二氧化硅然后用氮化钨涂布的硅底材,与内径为20微米的熔凝硅石毛细管一起放置于沉积室中。在每次循环中,钴前体的量为4×10-9mol/cm2,并且氢气的量为9×10-7mol/cm2。底材对钴前体的照射量为1×105朗缪尔/循环,对氢气的照射量为2×107朗缪尔/循环。
底材通过卢瑟福反向散射光谱测定,发现其具有5×1016原子/cm2或8×10-8mol/cm2厚的纯钴金属薄膜。涂布的熔凝硅石毛细管通过光学显微镜测定,表明钴薄膜延伸到毛细管孔内至少60直径(亦即长径比>60)。在图5中,1表示孔的开口端,2表示涂层渗入孔的程度。这一结果证实通过钴的ALD方法实现了优异的阶梯覆盖。
实施例19.钴原子层沉积温度范围的证实。
除底材温度在250℃-350℃范围内变化外,重复实施例18。如图7所示,除了每次循环的厚度随着温度变化外,得到了类似的结果。在低于250℃的底材温度,没有观察到铜的沉积。这种观察结果表明:如果壁面温度保持在250℃之下并在前体的露点之上,则反应室的壁面不会产生不必要的钴沉积。
实施例20.粘合铜膜在Co/WN胶粘层/扩散阻挡层上的原子层沉积。
在预先涂布在二氧化硅、WN/SiO2/Si上的氮化钨(WN)层上相继重复实施例14和实施例18的方法。得到具有Cu/Co/WN/SiO2多层结构的平滑、粘合薄膜。然后,粘合带施加到该多层结构的表面。当拉开粘合带时没有观察到粘合力的减少。
实施例21.氧化钴的原子层沉积。
除了用水蒸气替代氢气之外,重复实施例18。沉积了均匀、平滑的氧化钴层,其化学组成大致为CoO。
实施例22.金属镍的原子层沉积。
除使用保持在75℃的双(N,N′-二异丙基乙脒)镍代替铜前体并且底材温度升高至280℃外,重复实施例14。预先涂布有二氧化硅然后用氮化钨涂布的硅底材放置于沉积室中。在每次循环中,镍前体的量为4×10-9mol/cm2,并且氢气的量为8×10-7mol/cm2。底材对镍前体的照射量为3×104朗缪尔/循环,对氢气的照射量为7×106朗缪尔/循环。
底材通过卢瑟福反向散射光谱测定,发现其具有5×1016原子/cm2或8×10-8mol/cm2厚的纯镍金属薄膜。
实施例23.金属铁的原子层沉积。
除使用保持在75℃的双(N,N′-二叔丁基乙脒)铁代替铜前体并且底材温度升高至280℃外,重复实施例14。预先涂布有二氧化硅然后用氮化钨涂布的硅底材放置于沉积室中。在每次循环中,铁前体的量为4×10-9mol/cm2,并且氢气的量为4×10-6mol/cm2。底材对铁前体的照射量为8×104朗缪尔/循环,对氢气的照射量为4×107朗缪尔/循环。
底材通过卢瑟福反向散射光谱测定,发现其具有5×1016原子/cm2或8×10-8mol/cm2厚的纯镍金属薄膜。
实施例24.氧化铁的ALD。
除使用保持在85℃的双(N,N′-二叔丁基乙脒)铁([Fe(tBu-AMD)2])代替双(N,N′-二异丙基乙脒)钴外,重复实施例21。在每次循环中,铁前体的量为4×10-9mol/cm2,并且水蒸气的量为8×10-8mol/cm2。底材对铁前体的照射量为8×104朗缪尔/循环,对水蒸气的照射量为7×105朗缪尔/循环。化学组成大致为FeO的均匀、平滑氧化铁层沉积在加热到250℃的底材上。
实施例25.氧化镧的ALD。
除使用保持在120℃的三(N,N′-二异丙基乙脒)镧([La(iPr-AMD)3])代替双(N,N′-二异丙基乙脒)钴外,重复实施例21。在50次循环的每次循环中,镧前体的量为4×10-9mol/cm2,并且水蒸气的量为8×10-8mol/cm2。底材对镧前体的照射量为3×104朗缪尔/循环,对水蒸气的照射量为7×105朗缪尔/循环。约5纳米厚的均匀、平滑氧化镧层沉积在加热到300℃的底材上,化学组成大致为La2O3
当实施例21中的方法重复超过50次时,反应室不同部分样品上的厚度并不均匀,并且厚度/循环大于0.1纳米/循环,尤其是在接近真空到真空泵的区域。对于这种结果,我们的解释是:在水蒸气进入期间水蒸气被吸收在较厚的氧化镧层容积中。在水脉冲后的几秒净化时间内,部分而并非所有吸收的水释放到氮气中并传送到沉积室外。然而,在下一次镧前体剂量中,水蒸气的释放继续进行。然后,由剩余的水蒸气与镧前体的反应得到了La2O3的化学气相沉积,特别是在沉积室最接近真空泵的部分,得到了比预期更大的生长速率。通过延长水蒸气的净化时间,可还原到均匀厚度。用于还原厚度均匀性的更有效的方法公开在实施例26中。
实施例26.氧化镧/氧化铝纳米层压材料的ALD
重复实施例25沉积16循环氧化镧。然后根据现有技术中已知的方法,交替使用三甲基铝蒸气和水蒸气通过ALD沉积6循环氧化铝。这种循环(16La2O3+6Al2O3)重复5次。约10纳米厚的均匀、平滑层沉积在加热到300℃的底材上。该层具有大致LaAlO3的平均组成。用这种材料制成的电容器具有约18的介电常数,并且在1伏特的外加电压下具有约5×10-8安培/cm2的极低泄漏电流。
我们对实施例26达到厚度均匀的解释为,氧化铝层作为水进入氧化镧底层的扩散障碍。由此,ALD方法中实现了对任意预定厚度的La2O3/Al2O3纳米层压材料的预期厚度均匀性。
实施例27.氧化锰的ALD。
除使用保持在75℃的双(N,N′-叔丁基乙脒)锰([Mn(tBu-AMD)2])代替双(N,N′-二异丙基乙脒)钴之外,重复实施例21。在每次循环中,锰前体的量为4×10-9mol/cm2,并且水蒸气的量为8×10-8mol/cm2。底材对锰前体的照射量为3×104朗缪尔/循环,对水蒸气的照射量为6×105朗缪尔/循环。化学组成大致为MnO的均匀、平滑氧化锰(II)层,以约0.1纳米/循环的沉积速率沉积在加热到250℃的底材上。
实施例28.氧化镁的ALD。
除使用根据与实施例3所述类似方法制备、保持在80℃的双(N,N′-叔丁基乙脒)镁([Mg(tBu-AMD)2])代替双(N,N′-二异丙基乙脒)钴之外,重复实施例21。在每次循环中,镁前体的量为3×10-9mol/cm2,并且水蒸气的量为6×10-8mol/cm2。底材对镁前体的照射量为3×104朗缪尔/循环,对水蒸气的照射量为5×105朗缪尔/循环。化学组成大致为MgO的均匀、平滑氧化镁层,以约0.08纳米/循环的沉积速率沉积在加热到250℃的底材上。
实施例29.N,N′-二仲丁基乙脒锂的合成。
1当量无水仲丁胺、1当量无水乙腈、0.02当量催化剂三氟甲磺酸镧加入到具有回流冷凝器的Schlenk烧瓶中。干燥氮气缓慢通入烧瓶中,向上通过回流冷凝器并从油起泡器中离开,同时反应混合物回流3天。然后在真空下除去过量的反应物,剩余的液体蒸馏纯化得到仲丁基乙脒。1H NMR(C6D6,25℃):δ1.49(m,4H),δ1.38(s,3H),δ1.11(d,J=6Hz,6H),δ0.90(t,J=8Hz,6H)。
仲丁基乙脒的乙醚溶液以1克/10毫升无水乙醚的浓度配制在具有回流柱和油起泡器的反应烧瓶中。然后,缓慢向仲丁基乙脒溶液中加入1当量甲基锂在乙醚中的溶液,然后反应混合物搅拌1小时。所得N,N′-二仲丁基乙脒锂溶液无须进一步纯化直接用于合成其它仲丁基乙脒金属盐。N,N′-二仲丁基乙脒锂的1H NMR(C6D6,25℃):δ3.16(m,2H),δ1.71(s,3H),δ1.68(m,2H),δ1.52(m,2H),δ1.19(d,J=6Hz,4H),δ0.94(m,6H)。
实施例30.双(N,N′-二仲丁基乙脒)钴([Co(sec-Bu-AMD)2])的合成。
无水氯化钴(II),CoCl2,被称重放于干燥箱中的Schlenk烧瓶中。2当量实施例29中制备的N,N′-二仲丁基乙脒锂溶液与等体积的无水THF一起加入。反应混合物搅拌过夜,然后在室温下于真空除去挥发物。所得固体溶于无水己烷、过滤,并在室温下于真空从滤液中除去己烷,得到收率为82%的粗品双(N,N′-二仲丁基乙脒)钴。所得液体通过蒸馏纯化(60mtorr,55℃)。
实施例31.N,N′-二仲丁基乙脒铜(I)二聚体的合成([Cu(sec-Bu-AMD)]2)。
用1当量氯化亚铜(I),CuCl,代替氯化钴,并使用1当量实施例29中制备的N,N′-二仲丁基乙脒锂,进行实施例30中的过程。通过实施例30中的方法分离[Cu(sec-Bu-AMD)]2。升华:50mtorr,55℃。熔点:77℃。由于[Cu(sec-Bu-AMD)]2在蒸发的温度(约100℃)时为液体,其作为铜ALD的前体具有有利条件,产生比通过固体前体升华得到的蒸气更可重现的传送。
实施例32.三(N,N′-二叔丁基乙脒)铋二聚体([Bi(tBu-AMD)3]2)的合成。
1当量三氯化铋,BiCl3,和3当量N,N′-二叔丁基乙脒锂(通过1,3-二叔丁基碳二亚胺与甲基锂的反应得到)在THF中回流整夜。蒸发掉THF后,在无水己烷中提取,过滤并从滤液中蒸发己烷,粗制品通过升华分离(80mtorr,70℃)。熔点95℃。通过冰点降低法在对二甲苯溶液中测定二聚。
实施例33.双(N,N′-二叔丁基乙脒)锶([Sn(tBu-AMD)2]n)的合成。
进行与实施例32中类似的过程,得到双(N,N′-二叔丁基乙脒)锶。粗产品通过升华纯化(90mtorr,130℃)。
实施例34.氧化铋(Bi2O3)的ALD。
进行与实施例25类似的过程,在温度为200℃的底材上,从含有85℃的三(N,N′-二叔丁基乙脒)铋的蒸气源沉积了氧化铋(Bi2O3)薄膜。薄膜的厚度约0.03纳米/循环。
实施例35.三(N,N′-二异丙基乙脒)钌([Ru(iPr-AMD)3])的合成。
进行与实施例11类似的过程,以低收率得到了三(N,N′-二异丙基乙脒)钌([Ru(iPr-AMD)3])。
对比实施例1.
仅仅使用铜前体而不使用氢气重复实施例14。底材表面没有沉积薄膜。
对比实施例2.
仅仅使用钴前体而不使用氢气重复实施例18。底材表面没有沉积薄膜。
本领域技术人员公知或通过常规试验能够确定,许多与本发明此处具体描述的特定实施方案等效的方案。这些等效的方案在本发明如下权利要求的范围之内。

Claims (40)

1.一种沉积材料的方法,所述方法包括:
使第一种试剂的蒸气暴露于底材,
其中第一种试剂包含由如下通式表示的化合物:
(i)通式的二聚体或单体单元的低聚物,其中M选自金属铜、银、金、铱、锂和钠;
(ii)通式
Figure FDA00002853795800012
或其低聚物,其中M'选自钴、镍、钌、锌、钛、铕、锶和钙;或
(iii)通式
Figure FDA00002853795800013
或其低聚物,其中M''选自镧、镨和其它镧系元素金属、钇、钪、钛、钒、铬、铁、钌、钴、铑、铱和铋;
其中R1、R1'、R1''、R2、R2'和R2''独立地表示烷基、烯基、炔基、或三烷基甲硅烷基,和
R3、R3'和R3''独立地表示氢、烷基、烯基、炔基、或三烷基甲硅烷基,
但是排除:(i)当M为锂时,R3和R3'为甲基、正丁基或叔丁基;和(ii)当M为锂或钠时,R3和R3'为三烷基甲硅烷基。
2.权利要求1的方法,进一步包括使第二种试剂的蒸气暴露于底材。
3.权利要求2的方法,其中所述使第一种试剂的蒸气暴露于底材和所述使第二种试剂的蒸气暴露于底材一起进行,使得所述方法为CVD方法。
4.权利要求2的方法,其中所述使第一种试剂的蒸气暴露于底材和所述使第二种试剂的蒸气暴露于底材交替进行,使得所述方法为ALD方法。
5.前述权利要求中任一项的方法,其中所述第二种试剂为还原性气体、含氮气体或含氧气体。
6.权利要求5的方法,其中所述还原性气体为氢气。
7.权利要求5的方法,其中所述含氮气体为氨。
8.权利要求5的方法,其中所述含氧气体包括水。
9.权利要求1-4中任一项的方法,其中R1、R1'、R1''、R2、R2'和R2''独立地表示烷基、烯基、炔基或三烷基甲硅烷基,和R3、R3'和R3''独立地表示氢、烷基、烯基、炔基或三烷基甲硅烷基。
10.权利要求1-4中任一项的方法,其中R1、R1'、R1''、R2、R2'、R2''、R3、R3'和R3''中的至少一个表示氟代烷基。
11.权利要求1-4中任一项的方法,其中所述第一种试剂包含由如下通式表示的挥发性脒基金属化合物二聚体:
Figure FDA00002853795800031
或单体单元的低聚物,其中M选自金属铜、银、金、铱、锂和钠。
12.权利要求11的方法,其中M为铜。
13.权利要求11的方法,其中M为银。
14.权利要求11的方法,其中M为金。
15.权利要求11的方法,其中M为铱。
16.权利要求11的方法,其中M为锂。
17.权利要求11的方法,其中M为钠。
18.权利要求1-4中任一项的方法,其中所述第一种试剂包含由如下通式表示的挥发性脒基金属化合物:
或其低聚物,其中M'选自钴、镍、钌、锌、钛、铕、锶和钙。
19.权利要求18的方法,其中M'为钴。
20.权利要求18的方法,其中M为镍。
21.权利要求18的方法,其中M为钌。
22.权利要求18的方法,其中M为锌。
23.权利要求18的方法,其中M为钛。
24.权利要求18的方法,其中M为铕。
25.权利要求18的方法,其中M为锶。
26.权利要求18的方法,其中M为钙。
27.权利要求1-4中任一项的方法,其中所述第一种试剂包含由如下通式表示的挥发性脒基金属化合物:
Figure FDA00002853795800051
或其低聚物,其中M''选自镧、镨和其它镧系元素金属、钇、钪、钛、钒、铬、铁、钌、钴、铑、铱和铋。
28.权利要求27的方法,其中M'为镧。
29.权利要求27的方法,其中M'为镨。
30.权利要求27的方法,其中M'为钇。
31.权利要求27的方法,其中M'为钪。
32.权利要求27的方法,其中M'为钛。
33.权利要求27的方法,其中M'为钒。
34.权利要求27的方法,其中M'为铬。
35.权利要求27的方法,其中M'为铁。
36.权利要求27的方法,其中M'为钌。
37.权利要求27的方法,其中M'为钴。
38.权利要求27的方法,其中M'为铑。
39.权利要求27的方法,其中M'为铱。
40.权利要求27的方法,其中M'为铋。
CN2011102015794A2002-11-152003-11-14使用脒基金属的原子层沉积Expired - LifetimeCN102312214B (zh)

Applications Claiming Priority (4)

Application NumberPriority DateFiling DateTitle
US42697502P2002-11-152002-11-15
US60/426,9752002-11-15
US46336503P2003-04-162003-04-16
US60/463,3652003-04-16

Related Parent Applications (1)

Application NumberTitlePriority DateFiling Date
CN2003801063277ADivisionCN1726303B (zh)2002-11-152003-11-14使用脒基金属的原子层沉积

Publications (2)

Publication NumberPublication Date
CN102312214A CN102312214A (zh)2012-01-11
CN102312214Btrue CN102312214B (zh)2013-10-23

Family

ID=32329139

Family Applications (3)

Application NumberTitlePriority DateFiling Date
CN2011102015794AExpired - LifetimeCN102312214B (zh)2002-11-152003-11-14使用脒基金属的原子层沉积
CN2003801063277AExpired - LifetimeCN1726303B (zh)2002-11-152003-11-14使用脒基金属的原子层沉积
CN201110201274.3AExpired - LifetimeCN102344460B (zh)2002-11-152003-11-14使用脒基金属的原子层沉积

Family Applications After (2)

Application NumberTitlePriority DateFiling Date
CN2003801063277AExpired - LifetimeCN1726303B (zh)2002-11-152003-11-14使用脒基金属的原子层沉积
CN201110201274.3AExpired - LifetimeCN102344460B (zh)2002-11-152003-11-14使用脒基金属的原子层沉积

Country Status (9)

CountryLink
US (3)US7557229B2 (zh)
EP (2)EP1563117B1 (zh)
JP (6)JP4988159B2 (zh)
KR (8)KR102220703B1 (zh)
CN (3)CN102312214B (zh)
AT (1)ATE454483T1 (zh)
AU (1)AU2003290956A1 (zh)
DE (1)DE60330896D1 (zh)
WO (1)WO2004046417A2 (zh)

Families Citing this family (532)

* Cited by examiner, † Cited by third party
Publication numberPriority datePublication dateAssigneeTitle
ES2249250T3 (es)1997-02-152006-04-01Edelstam Inc.Medicamento contra la dismenorrea y el sindrome premenstrual que comprende lidocaina.
CN102312214B (zh)*2002-11-152013-10-23哈佛学院院长等使用脒基金属的原子层沉积
KR20110118735A (ko)*2003-03-172011-10-31시그마-알드리치컴퍼니금속 옥사이드층 또는 금속 옥사이드 필름 증착용 전구체
US20050227007A1 (en)2004-04-082005-10-13Bradley Alexander ZVolatile copper(I) complexes for deposition of copper films by atomic layer deposition
WO2009105668A1 (en)2008-02-202009-08-27President And Fellows Of Harvard CollegeBicyclic guanidines, metal complexes thereof and their use in vapor deposition
KR100519800B1 (ko)*2004-01-132005-10-10삼성전자주식회사란타늄 산화막의 제조방법 및 이를 이용한 모스 전계효과트랜지스터 및 캐패시터의 제조방법
US7166732B2 (en)*2004-06-162007-01-23Advanced Technology Materials, Inc.Copper (I) compounds useful as deposition precursors of copper thin films
JP4639686B2 (ja)*2004-07-272011-02-23Jsr株式会社化学気相成長材料及び化学気相成長方法
US7619107B2 (en)*2004-07-302009-11-17E.I. Du Pont De Nemours And CompanyCopper (II) complexes for deposition of copper films by atomic layer deposition
KR100589040B1 (ko)2004-08-052006-06-14삼성전자주식회사막 형성방법 및 이를 이용한 반도체 장치의 커패시터제조방법
KR100643637B1 (ko)*2005-01-252006-11-10한국화학연구원니켈 아미노알콕사이드 선구 물질을 사용하는 원자층침착법으로 니켈 산화물 박막을 제조하는 방법
US7064224B1 (en)*2005-02-042006-06-20Air Products And Chemicals, Inc.Organometallic complexes and their use as precursors to deposit metal films
US7816550B2 (en)*2005-02-102010-10-19Praxair Technology, Inc.Processes for the production of organometallic compounds
JP2006328034A (ja)*2005-05-302006-12-07Nippon Zeon Co Ltd遷移金属錯体、環状オレフィン重合用触媒、および環状オレフィン重合体の製造方法
CN101238095B (zh)*2005-08-042011-08-10东曹株式会社含有金属的化合物,其制备方法、含有金属的薄膜和其形成方法
US7776394B2 (en)2005-08-082010-08-17E.I. Du Pont De Nemours And CompanyAtomic layer deposition of metal-containing films using surface-activating agents
KR100704914B1 (ko)*2005-08-242007-04-06한국화학연구원니켈 아미노알콕사이드 선구 물질을 사용하여 금속 유기물화학 증착법으로 니켈 산화물 박막을 제조하는 방법
JP2009538808A (ja)2006-02-072009-11-12ザ プレジデント アンド フェロウズ オブ ハーバード カレッジカーボンナノチューブの気相官能化
US7638074B2 (en)2006-03-102009-12-29Advanced Technology Materials, Inc.Precursor compositions for atomic layer deposition and chemical vapor deposition of titanate, lanthanate, and tantalate dielectric films
CN101473382A (zh)*2006-05-122009-07-01高级技术材料公司相变化记忆体材料的低温沉积
TW200745140A (en)*2006-06-022007-12-16Advanced Tech MaterialsCopper (I) amidinates and guanidinates, mixed ligand copper complexes, and compositions for chemical vapor deposition, atomic layer deposition, and rapid vapor deposition of copper
JP2008013533A (ja)*2006-06-072008-01-24Toyota Motor Corpアミジン−カルボン酸錯体及び複数錯体含有化合物
WO2007147020A2 (en)*2006-06-152007-12-21Advanced Technology Materials, Inc.Cobalt precursors useful for forming cobalt-containing films on substrates
WO2008002546A1 (en)2006-06-282008-01-03President And Fellows Of Harvard CollegeMetal(iv) tetra-amidinate compounds and their use in vapor deposition
US7638645B2 (en)*2006-06-282009-12-29President And Fellows Of Harvard UniversityMetal (IV) tetra-amidinate compounds and their use in vapor deposition
US7547631B2 (en)*2006-07-312009-06-16Rohm And Haas Electronic Materials LlcOrganometallic compounds
US7781016B2 (en)*2006-08-232010-08-24Applied Materials, Inc.Method for measuring precursor amounts in bubbler sources
US8404306B2 (en)2006-09-222013-03-26L'Air Liquide, Société Anonyme pour l'Etude et l'Exploitation des Procédés George ClaudeMethod for the deposition of a ruthenium containing film
CN102352488B (zh)*2006-11-022016-04-06诚实公司对于金属薄膜的cvd/ald有用的锑及锗复合物
US7749574B2 (en)*2006-11-142010-07-06Applied Materials, Inc.Low temperature ALD SiO2
US7776395B2 (en)*2006-11-142010-08-17Applied Materials, Inc.Method of depositing catalyst assisted silicates of high-k materials
JP2008182183A (ja)*2006-12-262008-08-07Doshisha原子層成長法を用いた成膜方法及びその成膜装置
TW200831694A (en)*2007-01-172008-08-01Advanced Tech MaterialsPrecursor compositions for ALD/CVD of group II ruthenate thin films
US7750173B2 (en)2007-01-182010-07-06Advanced Technology Materials, Inc.Tantalum amido-complexes with chelate ligands useful for CVD and ALD of TaN and Ta205 thin films
US7851360B2 (en)*2007-02-142010-12-14Intel CorporationOrganometallic precursors for seed/barrier processes and methods thereof
JP5313171B2 (ja)2007-02-212013-10-09レール・リキード−ソシエテ・アノニム・プール・レテュード・エ・レクスプロワタシオン・デ・プロセデ・ジョルジュ・クロードルテニウムベースの膜を基板上に形成するための方法
US7964746B2 (en)*2007-03-302011-06-21Advanced Technology Materials, Inc.Copper precursors for CVD/ALD/digital CVD of copper metal films
US7858525B2 (en)*2007-03-302010-12-28Intel CorporationFluorine-free precursors and methods for the deposition of conformal conductive films for nanointerconnect seed and fill
CN103151335B (zh)*2007-04-092016-09-28哈佛学院院长等用于铜互连的氮化钴层及它们的形成方法
WO2008128141A2 (en)*2007-04-122008-10-23Advanced Technology Materials, Inc.Zirconium, hafnuim, titanium, and silicon precursors for ald/cvd
JP2009016782A (ja)*2007-06-042009-01-22Tokyo Electron Ltd成膜方法及び成膜装置
JP5437594B2 (ja)*2007-06-052014-03-12ローム・アンド・ハース・エレクトロニック・マテリアルズ,エル.エル.シー.有機金属化合物
KR101593352B1 (ko)*2007-06-282016-02-15인티그리스, 인코포레이티드이산화규소 간극 충전용 전구체
US8142847B2 (en)2007-07-132012-03-27Rohm And Haas Electronic Materials LlcPrecursor compositions and methods
WO2009012341A2 (en)*2007-07-162009-01-22Advancaed Technology Materials, Inc.Group iv complexes as cvd and ald precursors for forming metal-containing thin films
US7659414B2 (en)*2007-07-202010-02-09Rohm And Haas CompanyMethod of preparing organometallic compounds
WO2009013721A1 (en)*2007-07-242009-01-29L'air Liquide-Societe Anonyme Pour L'etude Et L'exploitation Des Procedes Georges ClaudeRuthenium precursor with two differing ligands for use in semiconductor applications
US8455049B2 (en)2007-08-082013-06-04Advanced Technology Materials, Inc.Strontium precursor for use in chemical vapor deposition, atomic layer deposition and rapid vapor deposition
US20090087561A1 (en)*2007-09-282009-04-02Advanced Technology Materials, Inc.Metal and metalloid silylamides, ketimates, tetraalkylguanidinates and dianionic guanidinates useful for cvd/ald of thin films
US8834968B2 (en)2007-10-112014-09-16Samsung Electronics Co., Ltd.Method of forming phase change material layer using Ge(II) source, and method of fabricating phase change memory device
KR101458953B1 (ko)2007-10-112014-11-07삼성전자주식회사Ge(Ⅱ)소오스를 사용한 상변화 물질막 형성 방법 및상변화 메모리 소자 제조 방법
US20100279011A1 (en)*2007-10-312010-11-04Advanced Technology Materials, Inc.Novel bismuth precursors for cvd/ald of thin films
SG178736A1 (en)*2007-10-312012-03-29Advanced Tech MaterialsAmorphous ge/te deposition process
USRE48853E1 (en)2007-12-282021-12-14Universitetet I OsloFormation of a lithium comprising structure on a substrate by ALD
US20090209777A1 (en)*2008-01-242009-08-20Thompson David MOrganometallic compounds, processes for the preparation thereof and methods of use thereof
US20090215225A1 (en)*2008-02-242009-08-27Advanced Technology Materials, Inc.Tellurium compounds useful for deposition of tellurium containing materials
WO2009116004A2 (en)2008-03-192009-09-24L'air Liquide-Societe Anonyme Pour L'etude Et L'exploitation Des Procedes Georges ClaudeAlkali earth metal precursors for depositing calcium and strontium containing films
JP5820267B2 (ja)*2008-03-212015-11-24プレジデント アンド フェローズ オブ ハーバード カレッジ配線用セルフアライン(自己整合)バリア層
US8092721B2 (en)2008-03-262012-01-10L'air Liquide Societe Anonyme Pour L'etude Et L'exploitation Des Procedes Georges ClaudeDeposition of ternary oxide films containing ruthenium and alkali earth metals
FR2929449A1 (fr)*2008-03-282009-10-02Stmicroelectronics Tours Sas SProcede de formation d'une couche d'amorcage de depot d'un metal sur un substrat
US8674127B2 (en)2008-05-022014-03-18Advanced Technology Materials, Inc.Antimony compounds useful for deposition of antimony-containing materials
TW200949939A (en)*2008-05-232009-12-01Sigma Aldrich CoHigh-k dielectric films and methods of producing using titanium-based β -diketonate precursors
TWI467045B (zh)*2008-05-232015-01-01Sigma Aldrich Co高介電常數電介質薄膜與使用鈰基前驅物製造高介電常數電介質薄膜之方法
US20120156373A1 (en)2008-06-052012-06-21American Air Liquide, Inc.Preparation of cerium-containing precursors and deposition of cerium-containing films
US8283201B2 (en)2008-06-052012-10-09American Air Liquide, Inc.Preparation of lanthanide-containing precursors and deposition of lanthanide-containing films
TWI565827B (zh)*2008-06-052017-01-11液態空氣喬治斯克勞帝方法研究開發股份有限公司含鑭系元素前驅物的製備和含鑭系元素薄膜的沈積
US20110180905A1 (en)*2008-06-102011-07-28Advanced Technology Materials, Inc.GeSbTe MATERIAL INCLUDING SUPERFLOW LAYER(S), AND USE OF Ge TO PREVENT INTERACTION OF Te FROM SbXTeY AND GeXTeY RESULTING IN HIGH Te CONTENT AND FILM CRYSTALLINITY
US8168811B2 (en)2008-07-222012-05-01Advanced Technology Materials, Inc.Precursors for CVD/ALD of metal-containing films
US8105937B2 (en)*2008-08-132012-01-31International Business Machines CorporationConformal adhesion promoter liner for metal interconnects
WO2010065874A2 (en)2008-12-052010-06-10AtmiHigh concentration nitrogen-containing germanium telluride based memory devices and processes of making
US7927942B2 (en)2008-12-192011-04-19Asm International N.V.Selective silicide process
US9379011B2 (en)2008-12-192016-06-28Asm International N.V.Methods for depositing nickel films and for making nickel silicide and nickel germanide
WO2010095672A1 (ja)*2009-02-182010-08-26東洋紡績株式会社金属薄膜製造方法および金属薄膜
JP2010209425A (ja)*2009-03-112010-09-24Tokyo Electron LtdCu膜の成膜方法および記憶媒体
US9394608B2 (en)2009-04-062016-07-19Asm America, Inc.Semiconductor processing reactor and components thereof
JP5530118B2 (ja)*2009-04-082014-06-25東京エレクトロン株式会社酸化マンガン膜の形成方法、半導体装置の製造方法および半導体装置
KR20160084491A (ko)2009-05-222016-07-13엔테그리스, 아이엔씨.저온 gst 방법
KR101602007B1 (ko)*2009-07-022016-03-09인티그리스, 인코포레이티드유전체-충전된 중공 gst 구조
WO2011006064A1 (en)2009-07-102011-01-13L'air Liquide Societe Anonyme Pour L'etude Et L'exploitation Des Procedes Georges ClaudeMetal-containing precursors for deposition of metal-containing films
WO2011017068A1 (en)*2009-08-072011-02-10Sigma-Aldrich Co.High molecular weight alkyl-allyl cobalttricarbonyl complexes and use thereof for preparing dielectric thin films
US8802201B2 (en)2009-08-142014-08-12Asm America, Inc.Systems and methods for thin-film deposition of metal oxides using excited nitrogen-oxygen species
WO2011027835A1 (ja)*2009-09-022011-03-10株式会社アルバックCo膜の形成方法
KR20120046786A (ko)2009-09-022012-05-10가부시키가이샤 알박Co 막의 형성 방법 및 Cu 배선막의 형성 방법
EP2339048B1 (en)2009-09-142016-12-07Rohm and Haas Electronic Materials, L.L.C.Method for depositing organometallic compounds
JP2011066060A (ja)*2009-09-152011-03-31Tokyo Electron Ltd金属シリサイド膜の形成方法
JP5225957B2 (ja)*2009-09-172013-07-03東京エレクトロン株式会社成膜方法および記憶媒体
WO2011040385A1 (ja)*2009-09-292011-04-07東京エレクトロン株式会社Ni膜の成膜方法
KR101770537B1 (ko)2009-10-232017-08-22프레지던트 앤드 펠로우즈 오브 하바드 칼리지상호 접속부를 위한 자기―정렬 배리어 및 캡핑 층
US20110124182A1 (en)*2009-11-202011-05-26Advanced Techology Materials, Inc.System for the delivery of germanium-based precursor
WO2011106072A2 (en)2010-02-232011-09-01L'air Liquide Societe Anonyme Pour L'etude Et L'exploitation Des Procedes Georges ClaudeUse of ruthenium tetroxide as a precursor and reactant for thin film depositions
TW201132787A (en)2010-03-262011-10-01Advanced Tech MaterialsGermanium antimony telluride materials and devices incorporating same
WO2011123675A1 (en)2010-04-012011-10-06President And Fellows Of Harvard CollegeCyclic metal amides and vapor deposition using them
US8357614B2 (en)2010-04-192013-01-22L'air Liquide Societe Anonyme Pour L'etude Et L'exploitation Des Procedes Georges ClaudeRuthenium-containing precursors for CVD and ALD
WO2011146913A2 (en)2010-05-212011-11-24Advanced Technology Materials, Inc.Germanium antimony telluride materials and devices incorporating same
TWI529808B (zh)2010-06-102016-04-11Asm國際股份有限公司使膜選擇性沈積於基板上的方法
TWI550119B (zh)2010-11-022016-09-21宇部興產股份有限公司(醯胺胺基烷)金屬化合物、及利用該金屬化合物之含金屬之薄膜之製造方法
TWI481615B (zh)2011-03-112015-04-21Applied Materials Inc用於錳的原子層沉積之前驅物及方法
US8871617B2 (en)2011-04-222014-10-28Asm Ip Holding B.V.Deposition and reduction of mixed metal oxide thin films
CA2834809A1 (en)2011-05-132012-11-22Greencentre CanadaGroup 11 mono-metallic precursor compounds and use thereof in metal deposition
US9312155B2 (en)2011-06-062016-04-12Asm Japan K.K.High-throughput semiconductor-processing apparatus equipped with multiple dual-chamber modules
EP2545972A1 (en)2011-07-132013-01-16Dow Global Technologies LLCOrganometallic compound purification by two steps distillation
US10854498B2 (en)2011-07-152020-12-01Asm Ip Holding B.V.Wafer-supporting device and method for producing same
US20130023129A1 (en)2011-07-202013-01-24Asm America, Inc.Pressure transmitter for a semiconductor processing environment
US8525232B2 (en)2011-08-102013-09-03International Business Machines CorporationSemiconductor structure having a wetting layer
EP2559682B1 (en)2011-08-152016-08-03Rohm and Haas Electronic Materials LLCOrganometallic compound preparation
EP2559681B1 (en)2011-08-152016-06-22Dow Global Technologies LLCOrganometallic compound preparation
JP5661006B2 (ja)*2011-09-022015-01-28東京エレクトロン株式会社ニッケル膜の成膜方法
CN103796950A (zh)2011-09-162014-05-14英派尔科技开发有限公司石墨烯缺陷的改性
KR101405256B1 (ko)*2011-09-162014-06-10엠파이어 테크놀로지 디벨롭먼트 엘엘씨그래핀 결함 변경
US20130078454A1 (en)*2011-09-232013-03-28Applied Materials, Inc.Metal-Aluminum Alloy Films From Metal Amidinate Precursors And Aluminum Precursors
JP5916744B2 (ja)*2011-10-072016-05-11気相成長株式会社コバルト系膜形成方法
US9017481B1 (en)2011-10-282015-04-28Asm America, Inc.Process feed management for semiconductor substrate processing
JP5806912B2 (ja)*2011-11-082015-11-10株式会社アルバック液体原料の気化方法
JP2013104100A (ja)*2011-11-142013-05-30Taiyo Nippon Sanso Corp金属薄膜の成膜方法および金属薄膜成膜用原料
JP5795520B2 (ja)*2011-11-142015-10-14大陽日酸株式会社金属薄膜材料および金属薄膜の成膜方法
US9112003B2 (en)2011-12-092015-08-18Asm International N.V.Selective formation of metallic films on metallic surfaces
US20130168614A1 (en)*2011-12-292013-07-04L'Air Liquide Société Anonyme pour ''Etude et l'Exploitation des Procédés Georges ClaudeNickel allyl amidinate precursors for deposition of nickel-containing films
JP5843318B2 (ja)*2012-02-142016-01-13株式会社AdekaAld法用窒化アルミニウム系薄膜形成用原料及び該薄膜の製造方法
JP5919882B2 (ja)*2012-02-272016-05-18宇部興産株式会社コバルト化合物の混合物、及び当該コバルト化合物の混合物を用いたコバルト含有薄膜の製造方法
JP5842687B2 (ja)*2012-03-152016-01-13宇部興産株式会社コバルト膜形成用原料及び当該原料を用いたコバルト含有薄膜の製造方法
KR102117124B1 (ko)2012-04-302020-05-29엔테그리스, 아이엔씨.유전체 물질로 중심-충전된 상 변화 합금을 포함하는 상 변화 메모리 구조체
WO2013177326A1 (en)2012-05-252013-11-28Advanced Technology Materials, Inc.Silicon precursors for low temperature ald of silicon-based thin-films
US8692010B1 (en)2012-07-132014-04-08American Air Liquide, Inc.Synthesis method for copper compounds
JP6242026B2 (ja)2012-07-202017-12-06レール・リキード−ソシエテ・アノニム・プール・レテュード・エ・レクスプロワタシオン・デ・プロセデ・ジョルジュ・クロードAld/cvdシリコン含有膜用のオルガノシラン前駆体
US8859045B2 (en)2012-07-232014-10-14Applied Materials, Inc.Method for producing nickel-containing films
US9194040B2 (en)2012-07-252015-11-24Applied Materials, Inc.Methods for producing nickel-containing films
JP5917351B2 (ja)*2012-09-202016-05-11東京エレクトロン株式会社金属膜の成膜方法
JP2014062312A (ja)*2012-09-242014-04-10Tokyo Electron Ltdマンガンシリケート膜の形成方法、処理システム、半導体デバイスの製造方法および半導体デバイス
JP6008682B2 (ja)*2012-10-052016-10-19大陽日酸株式会社気相成長装置用配管のクリーニング方法
US10714315B2 (en)2012-10-122020-07-14Asm Ip Holdings B.V.Semiconductor reaction chamber showerhead
JP2014084506A (ja)*2012-10-242014-05-12Hitachi Kokusai Electric Inc基板処理方法、基板処理装置およびプログラム
US9640757B2 (en)2012-10-302017-05-02Entegris, Inc.Double self-aligned phase change memory device structure
US20160376700A1 (en)2013-02-012016-12-29Asm Ip Holding B.V.System for treatment of deposition reactor
US11326255B2 (en)2013-02-072022-05-10Uchicago Argonne, LlcALD reactor for coating porous substrates
WO2014124056A1 (en)2013-02-082014-08-14Advanced Technology Materials, Inc.Ald processes for low leakage current and low equivalent oxide thickness bitao films
US9005704B2 (en)*2013-03-062015-04-14Applied Materials, Inc.Methods for depositing films comprising cobalt and cobalt nitrides
JP2014236192A (ja)*2013-06-052014-12-15東京エレクトロン株式会社酸化マンガン膜の形成方法
WO2014197801A1 (en)*2013-06-062014-12-11President And Fellows Of Harvard CollegeVapor source using solutions of precursors in tertiary amines
TW201509799A (zh)2013-07-192015-03-16Air Liquide用於ald/cvd含矽薄膜應用之六配位含矽前驅物
US9994954B2 (en)2013-07-262018-06-12Versum Materials Us, LlcVolatile dihydropyrazinly and dihydropyrazine metal complexes
US9343315B2 (en)2013-11-272016-05-17Taiwan Semiconductor Manufacturing Co., Ltd.Method for fabricating semiconductor structure, and solid precursor delivery system
US9099301B1 (en)2013-12-182015-08-04L'Air Liquide, Société Anonyme pour l'Etude et l'Exploitation des Procédés Georges ClaudePreparation of lanthanum-containing precursors and deposition of lanthanum-containing films
TWI661072B (zh)2014-02-042019-06-01荷蘭商Asm Ip控股公司金屬、金屬氧化物與介電質的選擇性沈積
KR102198856B1 (ko)2014-02-102021-01-05삼성전자 주식회사니켈 함유막을 포함하는 반도체 소자의 제조 방법
US10683571B2 (en)2014-02-252020-06-16Asm Ip Holding B.V.Gas supply manifold and method of supplying gases to chamber using same
US10167557B2 (en)2014-03-182019-01-01Asm Ip Holding B.V.Gas distribution system, reactor including the system, and methods of using the same
KR102168174B1 (ko)2014-03-192020-10-20삼성전자주식회사니켈 화합물 및 이를 이용한 박막 형성 방법
US11015245B2 (en)2014-03-192021-05-25Asm Ip Holding B.V.Gas-phase reactor and system having exhaust plenum and components thereof
US10047435B2 (en)2014-04-162018-08-14Asm Ip Holding B.V.Dual selective deposition
KR102193623B1 (ko)2014-06-052020-12-21삼성전자주식회사커패시터 및 그 제조 방법
US9382618B2 (en)2014-07-182016-07-05UChicago Argnonne, LLCOxygen-free atomic layer deposition of indium sulfide
US10858737B2 (en)2014-07-282020-12-08Asm Ip Holding B.V.Showerhead assembly and components thereof
SG11201700491TA (en)*2014-08-042017-02-27Basf SeProcess for the generation of thin inorganic films
US9890456B2 (en)2014-08-212018-02-13Asm Ip Holding B.V.Method and system for in situ formation of gas-phase compounds
US10941490B2 (en)2014-10-072021-03-09Asm Ip Holding B.V.Multiple temperature range susceptor, assembly, reactor and system including the susceptor, and methods of using the same
US9657845B2 (en)2014-10-072017-05-23Asm Ip Holding B.V.Variable conductance gas distribution apparatus and method
US10570513B2 (en)2014-12-132020-02-25American Air Liquide, Inc.Organosilane precursors for ALD/CVD silicon-containing film applications and methods of using the same
US9816180B2 (en)2015-02-032017-11-14Asm Ip Holding B.V.Selective deposition
US9490145B2 (en)2015-02-232016-11-08Asm Ip Holding B.V.Removal of surface passivation
US10276355B2 (en)2015-03-122019-04-30Asm Ip Holding B.V.Multi-zone reactor, system including the reactor, and method of using the same
EP3310788A4 (en)2015-06-182019-02-20INTEL Corporation INHERENT SELECTIVE PRELIMINARY TO SEPARATE TRANSITION METAL THIN FILMS OF THE SECOND OR THIRD SERIES
US10458018B2 (en)2015-06-262019-10-29Asm Ip Holding B.V.Structures including metal carbide material, devices including the structures, and methods of forming same
KR102551351B1 (ko)*2018-03-162023-07-04삼성전자 주식회사란타넘 화합물과 이를 이용한 박박 형성 방법 및 집적회로 소자의 제조 방법
KR102424961B1 (ko)2015-07-072022-07-25삼성전자주식회사란타넘 화합물 및 그 제조 방법과 란타넘 전구체 조성물과 이를 이용한 박막 형성 방법 및 집적회로 소자의 제조 방법
US10600673B2 (en)2015-07-072020-03-24Asm Ip Holding B.V.Magnetic susceptor to baseplate seal
US10913754B2 (en)2015-07-072021-02-09Samsung Electronics Co., Ltd.Lanthanum compound and methods of forming thin film and integrated circuit device using the lanthanum compound
US10428421B2 (en)2015-08-032019-10-01Asm Ip Holding B.V.Selective deposition on metal or metallic surfaces relative to dielectric surfaces
US10566185B2 (en)2015-08-052020-02-18Asm Ip Holding B.V.Selective deposition of aluminum and nitrogen containing material
US10121699B2 (en)2015-08-052018-11-06Asm Ip Holding B.V.Selective deposition of aluminum and nitrogen containing material
JP6655838B2 (ja)*2015-09-282020-02-26気相成長株式会社Mg系材形成材料、Mg系材形成方法、及び新規化合物
US9607842B1 (en)2015-10-022017-03-28Asm Ip Holding B.V.Methods of forming metal silicides
US10695794B2 (en)2015-10-092020-06-30Asm Ip Holding B.V.Vapor phase deposition of organic films
US10814349B2 (en)2015-10-092020-10-27Asm Ip Holding B.V.Vapor phase deposition of organic films
US10343186B2 (en)2015-10-092019-07-09Asm Ip Holding B.V.Vapor phase deposition of organic films
TWI740848B (zh)*2015-10-162021-10-01荷蘭商Asm智慧財產控股公司實施原子層沉積以得閘極介電質
US10211308B2 (en)2015-10-212019-02-19Asm Ip Holding B.V.NbMC layers
KR102442621B1 (ko)*2015-11-302022-09-13삼성전자주식회사니오븀 화합물을 이용한 박막 형성 방법 및 집적회로 소자의 제조 방법
US11139308B2 (en)2015-12-292021-10-05Asm Ip Holding B.V.Atomic layer deposition of III-V compounds to form V-NAND devices
US10529554B2 (en)2016-02-192020-01-07Asm Ip Holding B.V.Method for forming silicon nitride film selectively on sidewalls or flat surfaces of trenches
US9981286B2 (en)2016-03-082018-05-29Asm Ip Holding B.V.Selective formation of metal silicides
US10343920B2 (en)2016-03-182019-07-09Asm Ip Holding B.V.Aligned carbon nanotubes
KR102182550B1 (ko)2016-04-182020-11-25에이에스엠 아이피 홀딩 비.브이.유도된 자기-조립층을 기판 상에 형성하는 방법
US10204782B2 (en)2016-04-182019-02-12Imec VzwCombined anneal and selective deposition process
US10190213B2 (en)2016-04-212019-01-29Asm Ip Holding B.V.Deposition of metal borides
US10865475B2 (en)2016-04-212020-12-15Asm Ip Holding B.V.Deposition of metal borides and silicides
US10032628B2 (en)2016-05-022018-07-24Asm Ip Holding B.V.Source/drain performance through conformal solid state doping
US10367080B2 (en)2016-05-022019-07-30Asm Ip Holding B.V.Method of forming a germanium oxynitride film
US11081342B2 (en)2016-05-052021-08-03Asm Ip Holding B.V.Selective deposition using hydrophobic precursors
US11453943B2 (en)2016-05-252022-09-27Asm Ip Holding B.V.Method for forming carbon-containing silicon/metal oxide or nitride film by ALD using silicon precursor and hydrocarbon precursor
US10373820B2 (en)2016-06-012019-08-06Asm Ip Holding B.V.Deposition of organic films
US10453701B2 (en)2016-06-012019-10-22Asm Ip Holding B.V.Deposition of organic films
US9803277B1 (en)2016-06-082017-10-31Asm Ip Holding B.V.Reaction chamber passivation and selective deposition of metallic films
US10014212B2 (en)2016-06-082018-07-03Asm Ip Holding B.V.Selective deposition of metallic films
JP6735163B2 (ja)*2016-06-222020-08-05株式会社Adekaバナジウム化合物、薄膜形成用原料及び薄膜の製造方法
US10612137B2 (en)2016-07-082020-04-07Asm Ip Holdings B.V.Organic reactants for atomic layer deposition
US9859151B1 (en)2016-07-082018-01-02Asm Ip Holding B.V.Selective film deposition method to form air gaps
KR102592325B1 (ko)2016-07-142023-10-20삼성전자주식회사알루미늄 화합물과 이를 이용한 박막 형성 방법 및 집적회로 소자의 제조 방법
US10714385B2 (en)2016-07-192020-07-14Asm Ip Holding B.V.Selective deposition of tungsten
US9887082B1 (en)2016-07-282018-02-06Asm Ip Holding B.V.Method and apparatus for filling a gap
KR102532607B1 (ko)2016-07-282023-05-15에이에스엠 아이피 홀딩 비.브이.기판 가공 장치 및 그 동작 방법
US9812320B1 (en)2016-07-282017-11-07Asm Ip Holding B.V.Method and apparatus for filling a gap
WO2018063410A1 (en)*2016-10-012018-04-05Intel CorporationScandium precursor for sc2o3 or sc2s3 atomic layer deposition
US10643826B2 (en)2016-10-262020-05-05Asm Ip Holdings B.V.Methods for thermally calibrating reaction chambers
US11532757B2 (en)2016-10-272022-12-20Asm Ip Holding B.V.Deposition of charge trapping layers
US10714350B2 (en)2016-11-012020-07-14ASM IP Holdings, B.V.Methods for forming a transition metal niobium nitride film on a substrate by atomic layer deposition and related semiconductor device structures
US10643904B2 (en)2016-11-012020-05-05Asm Ip Holdings B.V.Methods for forming a semiconductor device and related semiconductor device structures
US10229833B2 (en)2016-11-012019-03-12Asm Ip Holding B.V.Methods for forming a transition metal nitride film on a substrate by atomic layer deposition and related semiconductor device structures
US10134757B2 (en)2016-11-072018-11-20Asm Ip Holding B.V.Method of processing a substrate and a device manufactured by using the method
WO2018088079A1 (ja)2016-11-082018-05-17株式会社Adeka化合物、薄膜形成用原料、薄膜の製造方法及びアミジン化合物
KR102546317B1 (ko)2016-11-152023-06-21에이에스엠 아이피 홀딩 비.브이.기체 공급 유닛 및 이를 포함하는 기판 처리 장치
US11430656B2 (en)2016-11-292022-08-30Asm Ip Holding B.V.Deposition of oxide thin films
KR102762543B1 (ko)2016-12-142025-02-05에이에스엠 아이피 홀딩 비.브이.기판 처리 장치
US11447861B2 (en)2016-12-152022-09-20Asm Ip Holding B.V.Sequential infiltration synthesis apparatus and a method of forming a patterned structure
US11581186B2 (en)2016-12-152023-02-14Asm Ip Holding B.V.Sequential infiltration synthesis apparatus
KR102700194B1 (ko)2016-12-192024-08-28에이에스엠 아이피 홀딩 비.브이.기판 처리 장치
US10269558B2 (en)2016-12-222019-04-23Asm Ip Holding B.V.Method of forming a structure on a substrate
US10867788B2 (en)2016-12-282020-12-15Asm Ip Holding B.V.Method of forming a structure on a substrate
US11390950B2 (en)2017-01-102022-07-19Asm Ip Holding B.V.Reactor system and method to reduce residue buildup during a film deposition process
US10655221B2 (en)2017-02-092020-05-19Asm Ip Holding B.V.Method for depositing oxide film by thermal ALD and PEALD
JP7169072B2 (ja)2017-02-142022-11-10エーエスエム アイピー ホールディング ビー.ブイ.選択的パッシベーションおよび選択的堆積
US10468261B2 (en)2017-02-152019-11-05Asm Ip Holding B.V.Methods for forming a metallic film on a substrate by cyclical deposition and related semiconductor device structures
US11161857B2 (en)2017-03-272021-11-02President And Fellows Of Harvard CollegeMetal bicyclic amidinates
US10529563B2 (en)2017-03-292020-01-07Asm Ip Holdings B.V.Method for forming doped metal oxide films on a substrate by cyclical deposition and related semiconductor device structures
USD876504S1 (en)2017-04-032020-02-25Asm Ip Holding B.V.Exhaust flow control ring for semiconductor deposition apparatus
KR102457289B1 (ko)2017-04-252022-10-21에이에스엠 아이피 홀딩 비.브이.박막 증착 방법 및 반도체 장치의 제조 방법
US11501965B2 (en)2017-05-052022-11-15Asm Ip Holding B.V.Plasma enhanced deposition processes for controlled formation of metal oxide thin films
US10770286B2 (en)2017-05-082020-09-08Asm Ip Holdings B.V.Methods for selectively forming a silicon nitride film on a substrate and related semiconductor device structures
US10892156B2 (en)2017-05-082021-01-12Asm Ip Holding B.V.Methods for forming a silicon nitride film on a substrate and related semiconductor device structures
KR102684628B1 (ko)2017-05-162024-07-15에이에스엠 아이피 홀딩 비.브이.유전체 상에 옥사이드의 선택적 peald
US12040200B2 (en)2017-06-202024-07-16Asm Ip Holding B.V.Semiconductor processing apparatus and methods for calibrating a semiconductor processing apparatus
US11306395B2 (en)2017-06-282022-04-19Asm Ip Holding B.V.Methods for depositing a transition metal nitride film on a substrate by atomic layer deposition and related deposition apparatus
US10685834B2 (en)2017-07-052020-06-16Asm Ip Holdings B.V.Methods for forming a silicon germanium tin layer and related semiconductor device structures
US10900120B2 (en)2017-07-142021-01-26Asm Ip Holding B.V.Passivation against vapor deposition
KR20190009245A (ko)2017-07-182019-01-28에이에스엠 아이피 홀딩 비.브이.반도체 소자 구조물 형성 방법 및 관련된 반도체 소자 구조물
US10541333B2 (en)2017-07-192020-01-21Asm Ip Holding B.V.Method for depositing a group IV semiconductor and related semiconductor device structures
US11374112B2 (en)2017-07-192022-06-28Asm Ip Holding B.V.Method for depositing a group IV semiconductor and related semiconductor device structures
US11018002B2 (en)2017-07-192021-05-25Asm Ip Holding B.V.Method for selectively depositing a Group IV semiconductor and related semiconductor device structures
US10590535B2 (en)2017-07-262020-03-17Asm Ip Holdings B.V.Chemical treatment, deposition and/or infiltration apparatus and method for using the same
TWI815813B (zh)2017-08-042023-09-21荷蘭商Asm智慧財產控股公司用於分配反應腔內氣體的噴頭總成
CN107382778A (zh)*2017-08-042017-11-24苏州复纳电子科技有限公司一种(n,n′‑二异丙基甲基碳酰亚胺)钇的合成方法
US10770336B2 (en)2017-08-082020-09-08Asm Ip Holding B.V.Substrate lift mechanism and reactor including same
US10692741B2 (en)2017-08-082020-06-23Asm Ip Holdings B.V.Radiation shield
US11139191B2 (en)2017-08-092021-10-05Asm Ip Holding B.V.Storage apparatus for storing cassettes for substrates and processing apparatus equipped therewith
US10249524B2 (en)2017-08-092019-04-02Asm Ip Holding B.V.Cassette holder assembly for a substrate cassette and holding member for use in such assembly
US11769682B2 (en)2017-08-092023-09-26Asm Ip Holding B.V.Storage apparatus for storing cassettes for substrates and processing apparatus equipped therewith
USD900036S1 (en)2017-08-242020-10-27Asm Ip Holding B.V.Heater electrical connector and adapter
US11830730B2 (en)2017-08-292023-11-28Asm Ip Holding B.V.Layer forming method and apparatus
US11056344B2 (en)2017-08-302021-07-06Asm Ip Holding B.V.Layer forming method
KR102491945B1 (ko)2017-08-302023-01-26에이에스엠 아이피 홀딩 비.브이.기판 처리 장치
US11295980B2 (en)2017-08-302022-04-05Asm Ip Holding B.V.Methods for depositing a molybdenum metal film over a dielectric surface of a substrate by a cyclical deposition process and related semiconductor device structures
KR102401446B1 (ko)2017-08-312022-05-24에이에스엠 아이피 홀딩 비.브이.기판 처리 장치
KR102630301B1 (ko)2017-09-212024-01-29에이에스엠 아이피 홀딩 비.브이.침투성 재료의 순차 침투 합성 방법 처리 및 이를 이용하여 형성된 구조물 및 장치
US10844484B2 (en)2017-09-222020-11-24Asm Ip Holding B.V.Apparatus for dispensing a vapor phase reactant to a reaction chamber and related methods
US10658205B2 (en)2017-09-282020-05-19Asm Ip Holdings B.V.Chemical dispensing apparatus and methods for dispensing a chemical to a reaction chamber
US10403504B2 (en)2017-10-052019-09-03Asm Ip Holding B.V.Method for selectively depositing a metallic film on a substrate
US10319588B2 (en)2017-10-102019-06-11Asm Ip Holding B.V.Method for depositing a metal chalcogenide on a substrate by cyclical deposition
US10923344B2 (en)2017-10-302021-02-16Asm Ip Holding B.V.Methods for forming a semiconductor structure and related semiconductor structures
KR102443047B1 (ko)2017-11-162022-09-14에이에스엠 아이피 홀딩 비.브이.기판 처리 장치 방법 및 그에 의해 제조된 장치
US10910262B2 (en)2017-11-162021-02-02Asm Ip Holding B.V.Method of selectively depositing a capping layer structure on a semiconductor device structure
US11022879B2 (en)2017-11-242021-06-01Asm Ip Holding B.V.Method of forming an enhanced unexposed photoresist layer
WO2019103613A1 (en)2017-11-272019-05-31Asm Ip Holding B.V.A storage device for storing wafer cassettes for use with a batch furnace
CN111344522B (zh)2017-11-272022-04-12阿斯莫Ip控股公司包括洁净迷你环境的装置
US10872771B2 (en)2018-01-162020-12-22Asm Ip Holding B. V.Method for depositing a material film on a substrate within a reaction chamber by a cyclical deposition process and related device structures
TWI799494B (zh)2018-01-192023-04-21荷蘭商Asm 智慧財產控股公司沈積方法
KR102695659B1 (ko)2018-01-192024-08-14에이에스엠 아이피 홀딩 비.브이.플라즈마 보조 증착에 의해 갭 충진 층을 증착하는 방법
USD903477S1 (en)2018-01-242020-12-01Asm Ip Holdings B.V.Metal clamp
US11018047B2 (en)2018-01-252021-05-25Asm Ip Holding B.V.Hybrid lift pin
US10566428B2 (en)2018-01-292020-02-18Raytheon CompanyMethod for forming gate structures for group III-V field effect transistors
USD880437S1 (en)2018-02-012020-04-07Asm Ip Holding B.V.Gas supply plate for semiconductor manufacturing apparatus
US11081345B2 (en)2018-02-062021-08-03Asm Ip Holding B.V.Method of post-deposition treatment for silicon oxide film
US10896820B2 (en)*2018-02-142021-01-19Asm Ip Holding B.V.Method for depositing a ruthenium-containing film on a substrate by a cyclical deposition process
WO2019158960A1 (en)2018-02-142019-08-22Asm Ip Holding B.V.A method for depositing a ruthenium-containing film on a substrate by a cyclical deposition process
US10731249B2 (en)*2018-02-152020-08-04Asm Ip Holding B.V.Method of forming a transition metal containing film on a substrate by a cyclical deposition process, a method for supplying a transition metal halide compound to a reaction chamber, and related vapor deposition apparatus
US10658181B2 (en)2018-02-202020-05-19Asm Ip Holding B.V.Method of spacer-defined direct patterning in semiconductor fabrication
KR102636427B1 (ko)2018-02-202024-02-13에이에스엠 아이피 홀딩 비.브이.기판 처리 방법 및 장치
US10975470B2 (en)2018-02-232021-04-13Asm Ip Holding B.V.Apparatus for detecting or monitoring for a chemical precursor in a high temperature environment
US11473195B2 (en)2018-03-012022-10-18Asm Ip Holding B.V.Semiconductor processing apparatus and a method for processing a substrate
US11629406B2 (en)2018-03-092023-04-18Asm Ip Holding B.V.Semiconductor processing apparatus comprising one or more pyrometers for measuring a temperature of a substrate during transfer of the substrate
US11114283B2 (en)2018-03-162021-09-07Asm Ip Holding B.V.Reactor, system including the reactor, and methods of manufacturing and using same
KR102646467B1 (ko)2018-03-272024-03-11에이에스엠 아이피 홀딩 비.브이.기판 상에 전극을 형성하는 방법 및 전극을 포함하는 반도체 소자 구조
US11088002B2 (en)2018-03-292021-08-10Asm Ip Holding B.V.Substrate rack and a substrate processing system and method
US11230766B2 (en)2018-03-292022-01-25Asm Ip Holding B.V.Substrate processing apparatus and method
KR102501472B1 (ko)2018-03-302023-02-20에이에스엠 아이피 홀딩 비.브이.기판 처리 방법
US12221519B2 (en)2018-04-092025-02-11Ald Nanosolutions, Inc.Hydrophobic coatings on glass having superior properties and methods of coating using atomic or molecular deposition
KR102600229B1 (ko)2018-04-092023-11-10에이에스엠 아이피 홀딩 비.브이.기판 지지 장치, 이를 포함하는 기판 처리 장치 및 기판 처리 방법
JP7146690B2 (ja)2018-05-022022-10-04エーエスエム アイピー ホールディング ビー.ブイ.堆積および除去を使用した選択的層形成
TWI811348B (zh)2018-05-082023-08-11荷蘭商Asm 智慧財產控股公司藉由循環沉積製程於基板上沉積氧化物膜之方法及相關裝置結構
US12025484B2 (en)2018-05-082024-07-02Asm Ip Holding B.V.Thin film forming method
KR102709325B1 (ko)*2018-05-092024-09-25솔브레인 주식회사박막 형성용 전구체, 이의 제조방법, 이를 이용한 박막의 제조 방법 및 박막
US12272527B2 (en)2018-05-092025-04-08Asm Ip Holding B.V.Apparatus for use with hydrogen radicals and method of using same
KR20190129718A (ko)2018-05-112019-11-20에이에스엠 아이피 홀딩 비.브이.기판 상에 피도핑 금속 탄화물 막을 형성하는 방법 및 관련 반도체 소자 구조
KR102596988B1 (ko)2018-05-282023-10-31에이에스엠 아이피 홀딩 비.브이.기판 처리 방법 및 그에 의해 제조된 장치
US11718913B2 (en)2018-06-042023-08-08Asm Ip Holding B.V.Gas distribution system and reactor system including same
TWI840362B (zh)2018-06-042024-05-01荷蘭商Asm Ip私人控股有限公司水氣降低的晶圓處置腔室
US11286562B2 (en)2018-06-082022-03-29Asm Ip Holding B.V.Gas-phase chemical reactor and method of using same
KR102568797B1 (ko)2018-06-212023-08-21에이에스엠 아이피 홀딩 비.브이.기판 처리 시스템
US10797133B2 (en)2018-06-212020-10-06Asm Ip Holding B.V.Method for depositing a phosphorus doped silicon arsenide film and related semiconductor device structures
KR102854019B1 (ko)2018-06-272025-09-02에이에스엠 아이피 홀딩 비.브이.금속 함유 재료를 형성하기 위한 주기적 증착 방법 및 금속 함유 재료를 포함하는 필름 및 구조체
TWI873894B (zh)2018-06-272025-02-21荷蘭商Asm Ip私人控股有限公司用於形成含金屬材料及包含含金屬材料的膜及結構之循環沉積方法
KR102686758B1 (ko)2018-06-292024-07-18에이에스엠 아이피 홀딩 비.브이.박막 증착 방법 및 반도체 장치의 제조 방법
US10612136B2 (en)2018-06-292020-04-07ASM IP Holding, B.V.Temperature-controlled flange and reactor system including same
US10755922B2 (en)2018-07-032020-08-25Asm Ip Holding B.V.Method for depositing silicon-free carbon-containing film as gap-fill layer by pulse plasma-assisted deposition
US10388513B1 (en)2018-07-032019-08-20Asm Ip Holding B.V.Method for depositing silicon-free carbon-containing film as gap-fill layer by pulse plasma-assisted deposition
US10767789B2 (en)2018-07-162020-09-08Asm Ip Holding B.V.Diaphragm valves, valve components, and methods for forming valve components
US11053591B2 (en)2018-08-062021-07-06Asm Ip Holding B.V.Multi-port gas injection system and reactor system including same
US10883175B2 (en)2018-08-092021-01-05Asm Ip Holding B.V.Vertical furnace for processing substrates and a liner for use therein
US10829852B2 (en)2018-08-162020-11-10Asm Ip Holding B.V.Gas distribution device for a wafer processing apparatus
US11430674B2 (en)2018-08-222022-08-30Asm Ip Holding B.V.Sensor array, apparatus for dispensing a vapor phase reactant to a reaction chamber and related methods
US11024523B2 (en)2018-09-112021-06-01Asm Ip Holding B.V.Substrate processing apparatus and method
KR102707956B1 (ko)2018-09-112024-09-19에이에스엠 아이피 홀딩 비.브이.박막 증착 방법
US11049751B2 (en)2018-09-142021-06-29Asm Ip Holding B.V.Cassette supply system to store and handle cassettes and processing apparatus equipped therewith
CN110970344B (zh)2018-10-012024-10-25Asmip控股有限公司衬底保持设备、包含所述设备的系统及其使用方法
JP2020056104A (ja)2018-10-022020-04-09エーエスエム アイピー ホールディング ビー.ブイ.選択的パッシベーションおよび選択的堆積
US11232963B2 (en)2018-10-032022-01-25Asm Ip Holding B.V.Substrate processing apparatus and method
KR102592699B1 (ko)2018-10-082023-10-23에이에스엠 아이피 홀딩 비.브이.기판 지지 유닛 및 이를 포함하는 박막 증착 장치와 기판 처리 장치
US10847365B2 (en)2018-10-112020-11-24Asm Ip Holding B.V.Method of forming conformal silicon carbide film by cyclic CVD
US10811256B2 (en)2018-10-162020-10-20Asm Ip Holding B.V.Method for etching a carbon-containing feature
KR102605121B1 (ko)2018-10-192023-11-23에이에스엠 아이피 홀딩 비.브이.기판 처리 장치 및 기판 처리 방법
KR102546322B1 (ko)2018-10-192023-06-21에이에스엠 아이피 홀딩 비.브이.기판 처리 장치 및 기판 처리 방법
USD948463S1 (en)2018-10-242022-04-12Asm Ip Holding B.V.Susceptor for semiconductor substrate supporting apparatus
US12378665B2 (en)2018-10-262025-08-05Asm Ip Holding B.V.High temperature coatings for a preclean and etch apparatus and related methods
US11087997B2 (en)2018-10-312021-08-10Asm Ip Holding B.V.Substrate processing apparatus for processing substrates
KR102748291B1 (ko)2018-11-022024-12-31에이에스엠 아이피 홀딩 비.브이.기판 지지 유닛 및 이를 포함하는 기판 처리 장치
US11572620B2 (en)2018-11-062023-02-07Asm Ip Holding B.V.Methods for selectively depositing an amorphous silicon film on a substrate
US11031242B2 (en)2018-11-072021-06-08Asm Ip Holding B.V.Methods for depositing a boron doped silicon germanium film
US10818758B2 (en)2018-11-162020-10-27Asm Ip Holding B.V.Methods for forming a metal silicate film on a substrate in a reaction chamber and related semiconductor device structures
US10847366B2 (en)2018-11-162020-11-24Asm Ip Holding B.V.Methods for depositing a transition metal chalcogenide film on a substrate by a cyclical deposition process
US10559458B1 (en)2018-11-262020-02-11Asm Ip Holding B.V.Method of forming oxynitride film
US12040199B2 (en)2018-11-282024-07-16Asm Ip Holding B.V.Substrate processing apparatus for processing substrates
US20200165270A1 (en)*2018-11-282020-05-28Versum Materials Us, LlcLow Halide Lanthanum Precursors For Vapor Deposition
US11217444B2 (en)2018-11-302022-01-04Asm Ip Holding B.V.Method for forming an ultraviolet radiation responsive metal oxide-containing film
KR102636428B1 (ko)2018-12-042024-02-13에이에스엠 아이피 홀딩 비.브이.기판 처리 장치를 세정하는 방법
US11158513B2 (en)2018-12-132021-10-26Asm Ip Holding B.V.Methods for forming a rhenium-containing film on a substrate by a cyclical deposition process and related semiconductor device structures
TWI874340B (zh)2018-12-142025-03-01荷蘭商Asm Ip私人控股有限公司形成裝置結構之方法、其所形成之結構及施行其之系統
EP3680247A1 (de)*2019-01-082020-07-15Umicore Ag & Co. KgMetallorganische verbindungen
TWI866480B (zh)2019-01-172024-12-11荷蘭商Asm Ip 私人控股有限公司藉由循環沈積製程於基板上形成含過渡金屬膜之方法
KR102727227B1 (ko)2019-01-222024-11-07에이에스엠 아이피 홀딩 비.브이.기판 처리 장치
CN113366144B (zh)2019-01-282023-07-07朗姆研究公司金属膜的沉积
CN111524788B (zh)2019-02-012023-11-24Asm Ip私人控股有限公司氧化硅的拓扑选择性膜形成的方法
TWI845607B (zh)2019-02-202024-06-21荷蘭商Asm Ip私人控股有限公司用來填充形成於基材表面內之凹部的循環沉積方法及設備
TWI838458B (zh)2019-02-202024-04-11荷蘭商Asm Ip私人控股有限公司用於3d nand應用中之插塞填充沉積之設備及方法
KR102626263B1 (ko)2019-02-202024-01-16에이에스엠 아이피 홀딩 비.브이.처리 단계를 포함하는 주기적 증착 방법 및 이를 위한 장치
TWI873122B (zh)2019-02-202025-02-21荷蘭商Asm Ip私人控股有限公司填充一基板之一表面內所形成的一凹槽的方法、根據其所形成之半導體結構、及半導體處理設備
TWI842826B (zh)2019-02-222024-05-21荷蘭商Asm Ip私人控股有限公司基材處理設備及處理基材之方法
KR102782593B1 (ko)2019-03-082025-03-14에이에스엠 아이피 홀딩 비.브이.SiOC 층을 포함한 구조체 및 이의 형성 방법
US11742198B2 (en)2019-03-082023-08-29Asm Ip Holding B.V.Structure including SiOCN layer and method of forming same
KR102858005B1 (ko)2019-03-082025-09-09에이에스엠 아이피 홀딩 비.브이.실리콘 질화물 층을 선택적으로 증착하는 방법, 및 선택적으로 증착된 실리콘 질화물 층을 포함하는 구조체
SG11202109796QA (en)*2019-03-112021-10-28Lam Res CorpPrecursors for deposition of molybdenum-containing films
JP2020167398A (ja)2019-03-282020-10-08エーエスエム・アイピー・ホールディング・ベー・フェードアオープナーおよびドアオープナーが提供される基材処理装置
KR102809999B1 (ko)2019-04-012025-05-19에이에스엠 아이피 홀딩 비.브이.반도체 소자를 제조하는 방법
US11965238B2 (en)2019-04-122024-04-23Asm Ip Holding B.V.Selective deposition of metal oxides on metal surfaces
KR20200123380A (ko)2019-04-192020-10-29에이에스엠 아이피 홀딩 비.브이.층 형성 방법 및 장치
JP7332211B2 (ja)*2019-04-222023-08-23気相成長株式会社新規化合物および製造方法
JP7161767B2 (ja)*2019-04-222022-10-27気相成長株式会社形成材料、形成方法、及び新規化合物
KR20200125453A (ko)2019-04-242020-11-04에이에스엠 아이피 홀딩 비.브이.기상 반응기 시스템 및 이를 사용하는 방법
US11289326B2 (en)2019-05-072022-03-29Asm Ip Holding B.V.Method for reforming amorphous carbon polymer film
KR20200130121A (ko)2019-05-072020-11-18에이에스엠 아이피 홀딩 비.브이.딥 튜브가 있는 화학물질 공급원 용기
KR20200130652A (ko)2019-05-102020-11-19에이에스엠 아이피 홀딩 비.브이.표면 상에 재료를 증착하는 방법 및 본 방법에 따라 형성된 구조
JP7598201B2 (ja)2019-05-162024-12-11エーエスエム・アイピー・ホールディング・ベー・フェーウェハボートハンドリング装置、縦型バッチ炉および方法
JP7612342B2 (ja)2019-05-162025-01-14エーエスエム・アイピー・ホールディング・ベー・フェーウェハボートハンドリング装置、縦型バッチ炉および方法
USD947913S1 (en)2019-05-172022-04-05Asm Ip Holding B.V.Susceptor shaft
USD975665S1 (en)2019-05-172023-01-17Asm Ip Holding B.V.Susceptor shaft
USD935572S1 (en)2019-05-242021-11-09Asm Ip Holding B.V.Gas channel plate
USD922229S1 (en)2019-06-052021-06-15Asm Ip Holding B.V.Device for controlling a temperature of a gas supply unit
KR20200141002A (ko)2019-06-062020-12-17에이에스엠 아이피 홀딩 비.브이.배기 가스 분석을 포함한 기상 반응기 시스템을 사용하는 방법
KR20200141931A (ko)2019-06-102020-12-21에이에스엠 아이피 홀딩 비.브이.석영 에피택셜 챔버를 세정하는 방법
KR20200143254A (ko)2019-06-112020-12-23에이에스엠 아이피 홀딩 비.브이.개질 가스를 사용하여 전자 구조를 형성하는 방법, 상기 방법을 수행하기 위한 시스템, 및 상기 방법을 사용하여 형성되는 구조
USD944946S1 (en)2019-06-142022-03-01Asm Ip Holding B.V.Shower plate
USD931978S1 (en)2019-06-272021-09-28Asm Ip Holding B.V.Showerhead vacuum transport
KR20210005515A (ko)2019-07-032021-01-14에이에스엠 아이피 홀딩 비.브이.기판 처리 장치용 온도 제어 조립체 및 이를 사용하는 방법
JP7499079B2 (ja)2019-07-092024-06-13エーエスエム・アイピー・ホールディング・ベー・フェー同軸導波管を用いたプラズマ装置、基板処理方法
CN112216646A (zh)2019-07-102021-01-12Asm Ip私人控股有限公司基板支撑组件及包括其的基板处理装置
KR20210010307A (ko)2019-07-162021-01-27에이에스엠 아이피 홀딩 비.브이.기판 처리 장치
KR102860110B1 (ko)2019-07-172025-09-16에이에스엠 아이피 홀딩 비.브이.실리콘 게르마늄 구조를 형성하는 방법
KR20210010816A (ko)2019-07-172021-01-28에이에스엠 아이피 홀딩 비.브이.라디칼 보조 점화 플라즈마 시스템 및 방법
US11643724B2 (en)2019-07-182023-05-09Asm Ip Holding B.V.Method of forming structures using a neutral beam
KR20210010817A (ko)2019-07-192021-01-28에이에스엠 아이피 홀딩 비.브이.토폴로지-제어된 비정질 탄소 중합체 막을 형성하는 방법
TWI839544B (zh)2019-07-192024-04-21荷蘭商Asm Ip私人控股有限公司形成形貌受控的非晶碳聚合物膜之方法
TWI851767B (zh)2019-07-292024-08-11荷蘭商Asm Ip私人控股有限公司用於利用n型摻雜物及/或替代摻雜物選擇性沉積以達成高摻雜物併入之方法
CN112309900A (zh)2019-07-302021-02-02Asm Ip私人控股有限公司基板处理设备
US12169361B2 (en)2019-07-302024-12-17Asm Ip Holding B.V.Substrate processing apparatus and method
CN112309899A (zh)2019-07-302021-02-02Asm Ip私人控股有限公司基板处理设备
US11587815B2 (en)2019-07-312023-02-21Asm Ip Holding B.V.Vertical batch furnace assembly
US11587814B2 (en)2019-07-312023-02-21Asm Ip Holding B.V.Vertical batch furnace assembly
US11227782B2 (en)2019-07-312022-01-18Asm Ip Holding B.V.Vertical batch furnace assembly
CN112323048B (zh)2019-08-052024-02-09Asm Ip私人控股有限公司用于化学源容器的液位传感器
CN112342526A (zh)2019-08-092021-02-09Asm Ip私人控股有限公司包括冷却装置的加热器组件及其使用方法
USD965044S1 (en)2019-08-192022-09-27Asm Ip Holding B.V.Susceptor shaft
USD965524S1 (en)2019-08-192022-10-04Asm Ip Holding B.V.Susceptor support
JP2021031769A (ja)2019-08-212021-03-01エーエスエム アイピー ホールディング ビー.ブイ.成膜原料混合ガス生成装置及び成膜装置
USD940837S1 (en)2019-08-222022-01-11Asm Ip Holding B.V.Electrode
KR20210024423A (ko)2019-08-222021-03-05에이에스엠 아이피 홀딩 비.브이.홀을 구비한 구조체를 형성하기 위한 방법
USD930782S1 (en)2019-08-222021-09-14Asm Ip Holding B.V.Gas distributor
USD979506S1 (en)2019-08-222023-02-28Asm Ip Holding B.V.Insulator
USD949319S1 (en)2019-08-222022-04-19Asm Ip Holding B.V.Exhaust duct
US11286558B2 (en)2019-08-232022-03-29Asm Ip Holding B.V.Methods for depositing a molybdenum nitride film on a surface of a substrate by a cyclical deposition process and related semiconductor device structures including a molybdenum nitride film
KR20210024420A (ko)2019-08-232021-03-05에이에스엠 아이피 홀딩 비.브이.비스(디에틸아미노)실란을 사용하여 peald에 의해 개선된 품질을 갖는 실리콘 산화물 막을 증착하기 위한 방법
WO2021046058A1 (en)2019-09-032021-03-11Lam Research CorporationMolybdenum deposition
KR102806450B1 (ko)2019-09-042025-05-12에이에스엠 아이피 홀딩 비.브이.희생 캡핑 층을 이용한 선택적 증착 방법
KR102733104B1 (ko)2019-09-052024-11-22에이에스엠 아이피 홀딩 비.브이.기판 처리 장치
US11562901B2 (en)2019-09-252023-01-24Asm Ip Holding B.V.Substrate processing method
CN112593212B (zh)2019-10-022023-12-22Asm Ip私人控股有限公司通过循环等离子体增强沉积工艺形成拓扑选择性氧化硅膜的方法
TW202128273A (zh)2019-10-082021-08-01荷蘭商Asm Ip私人控股有限公司氣體注入系統、及將材料沉積於反應室內之基板表面上的方法
KR20210042810A (ko)2019-10-082021-04-20에이에스엠 아이피 홀딩 비.브이.활성 종을 이용하기 위한 가스 분배 어셈블리를 포함한 반응기 시스템 및 이를 사용하는 방법
TWI846953B (zh)2019-10-082024-07-01荷蘭商Asm Ip私人控股有限公司基板處理裝置
TWI846966B (zh)2019-10-102024-07-01荷蘭商Asm Ip私人控股有限公司形成光阻底層之方法及包括光阻底層之結構
US12009241B2 (en)2019-10-142024-06-11Asm Ip Holding B.V.Vertical batch furnace assembly with detector to detect cassette
US12327762B2 (en)2019-10-152025-06-10Lam Research CorporationMolybdenum fill
TWI834919B (zh)2019-10-162024-03-11荷蘭商Asm Ip私人控股有限公司氧化矽之拓撲選擇性膜形成之方法
US11637014B2 (en)2019-10-172023-04-25Asm Ip Holding B.V.Methods for selective deposition of doped semiconductor material
KR102845724B1 (ko)2019-10-212025-08-13에이에스엠 아이피 홀딩 비.브이.막을 선택적으로 에칭하기 위한 장치 및 방법
KR20210050453A (ko)2019-10-252021-05-07에이에스엠 아이피 홀딩 비.브이.기판 표면 상의 갭 피처를 충진하는 방법 및 이와 관련된 반도체 소자 구조
US11646205B2 (en)2019-10-292023-05-09Asm Ip Holding B.V.Methods of selectively forming n-type doped material on a surface, systems for selectively forming n-type doped material, and structures formed using same
US11139163B2 (en)2019-10-312021-10-05Asm Ip Holding B.V.Selective deposition of SiOC thin films
KR20210054983A (ko)2019-11-052021-05-14에이에스엠 아이피 홀딩 비.브이.도핑된 반도체 층을 갖는 구조체 및 이를 형성하기 위한 방법 및 시스템
US11501968B2 (en)2019-11-152022-11-15Asm Ip Holding B.V.Method for providing a semiconductor device with silicon filled gaps
KR102861314B1 (ko)2019-11-202025-09-17에이에스엠 아이피 홀딩 비.브이.기판의 표면 상에 탄소 함유 물질을 증착하는 방법, 상기 방법을 사용하여 형성된 구조물, 및 상기 구조물을 형성하기 위한 시스템
US11450529B2 (en)2019-11-262022-09-20Asm Ip Holding B.V.Methods for selectively forming a target film on a substrate comprising a first dielectric surface and a second metallic surface
CN112951697B (zh)2019-11-262025-07-29Asmip私人控股有限公司基板处理设备
CN120432376A (zh)2019-11-292025-08-05Asm Ip私人控股有限公司基板处理设备
CN112885692B (zh)2019-11-292025-08-15Asmip私人控股有限公司基板处理设备
JP7527928B2 (ja)2019-12-022024-08-05エーエスエム・アイピー・ホールディング・ベー・フェー基板処理装置、基板処理方法
KR20210070898A (ko)2019-12-042021-06-15에이에스엠 아이피 홀딩 비.브이.기판 처리 장치
KR20210078405A (ko)2019-12-172021-06-28에이에스엠 아이피 홀딩 비.브이.바나듐 나이트라이드 층을 형성하는 방법 및 바나듐 나이트라이드 층을 포함하는 구조
KR20210080214A (ko)2019-12-192021-06-30에이에스엠 아이피 홀딩 비.브이.기판 상의 갭 피처를 충진하는 방법 및 이와 관련된 반도체 소자 구조
JP7730637B2 (ja)2020-01-062025-08-28エーエスエム・アイピー・ホールディング・ベー・フェーガス供給アセンブリ、その構成要素、およびこれを含む反応器システム
JP7636892B2 (ja)2020-01-062025-02-27エーエスエム・アイピー・ホールディング・ベー・フェーチャネル付きリフトピン
US11993847B2 (en)2020-01-082024-05-28Asm Ip Holding B.V.Injector
KR20210093163A (ko)2020-01-162021-07-27에이에스엠 아이피 홀딩 비.브이.고 종횡비 피처를 형성하는 방법
KR102675856B1 (ko)2020-01-202024-06-17에이에스엠 아이피 홀딩 비.브이.박막 형성 방법 및 박막 표면 개질 방법
TWI889744B (zh)2020-01-292025-07-11荷蘭商Asm Ip私人控股有限公司污染物捕集系統、及擋板堆疊
TW202513845A (zh)2020-02-032025-04-01荷蘭商Asm Ip私人控股有限公司半導體裝置結構及其形成方法
KR20210100010A (ko)2020-02-042021-08-13에이에스엠 아이피 홀딩 비.브이.대형 물품의 투과율 측정을 위한 방법 및 장치
US11776846B2 (en)2020-02-072023-10-03Asm Ip Holding B.V.Methods for depositing gap filling fluids and related systems and devices
TW202146691A (zh)2020-02-132021-12-16荷蘭商Asm Ip私人控股有限公司氣體分配總成、噴淋板總成、及調整至反應室之氣體的傳導率之方法
KR20210103956A (ko)2020-02-132021-08-24에이에스엠 아이피 홀딩 비.브이.수광 장치를 포함하는 기판 처리 장치 및 수광 장치의 교정 방법
US11111578B1 (en)*2020-02-132021-09-07Uchicago Argonne, LlcAtomic layer deposition of fluoride thin films
TWI855223B (zh)2020-02-172024-09-11荷蘭商Asm Ip私人控股有限公司用於生長磷摻雜矽層之方法
CN113410160A (zh)2020-02-282021-09-17Asm Ip私人控股有限公司专用于零件清洁的系统
KR20210113043A (ko)2020-03-042021-09-15에이에스엠 아이피 홀딩 비.브이.반응기 시스템용 정렬 고정구
KR20210116240A (ko)2020-03-112021-09-27에이에스엠 아이피 홀딩 비.브이.조절성 접합부를 갖는 기판 핸들링 장치
US11876356B2 (en)2020-03-112024-01-16Asm Ip Holding B.V.Lockout tagout assembly and system and method of using same
KR102775390B1 (ko)2020-03-122025-02-28에이에스엠 아이피 홀딩 비.브이.타겟 토폴로지 프로파일을 갖는 층 구조를 제조하기 위한 방법
US12173404B2 (en)2020-03-172024-12-24Asm Ip Holding B.V.Method of depositing epitaxial material, structure formed using the method, and system for performing the method
TWI865747B (zh)2020-03-302024-12-11荷蘭商Asm Ip私人控股有限公司在兩不同表面上同時選擇性沉積兩不同材料
TW202140832A (zh)2020-03-302021-11-01荷蘭商Asm Ip私人控股有限公司氧化矽在金屬表面上之選擇性沉積
TWI862807B (zh)2020-03-302024-11-21荷蘭商Asm Ip私人控股有限公司相對於金屬表面在介電表面上之氧化矽的選擇性沉積
KR102755229B1 (ko)2020-04-022025-01-14에이에스엠 아이피 홀딩 비.브이.박막 형성 방법
TWI887376B (zh)2020-04-032025-06-21荷蘭商Asm Ip私人控股有限公司半導體裝置的製造方法
TWI888525B (zh)2020-04-082025-07-01荷蘭商Asm Ip私人控股有限公司用於選擇性蝕刻氧化矽膜之設備及方法
WO2021205958A1 (ja)2020-04-102021-10-14株式会社Adekaアミジナート化合物、その二量体化合物、薄膜形成用原料及び薄膜の製造方法
US11821078B2 (en)2020-04-152023-11-21Asm Ip Holding B.V.Method for forming precoat film and method for forming silicon-containing film
KR20210128343A (ko)2020-04-152021-10-26에이에스엠 아이피 홀딩 비.브이.크롬 나이트라이드 층을 형성하는 방법 및 크롬 나이트라이드 층을 포함하는 구조
US11996289B2 (en)2020-04-162024-05-28Asm Ip Holding B.V.Methods of forming structures including silicon germanium and silicon layers, devices formed using the methods, and systems for performing the methods
KR20210130646A (ko)2020-04-212021-11-01에이에스엠 아이피 홀딩 비.브이.기판을 처리하기 위한 방법
KR20210132600A (ko)2020-04-242021-11-04에이에스엠 아이피 홀딩 비.브이.바나듐, 질소 및 추가 원소를 포함한 층을 증착하기 위한 방법 및 시스템
KR102866804B1 (ko)2020-04-242025-09-30에이에스엠 아이피 홀딩 비.브이.냉각 가스 공급부를 포함한 수직형 배치 퍼니스 어셈블리
TW202208671A (zh)2020-04-242022-03-01荷蘭商Asm Ip私人控股有限公司形成包括硼化釩及磷化釩層的結構之方法
CN113555279A (zh)2020-04-242021-10-26Asm Ip私人控股有限公司形成含氮化钒的层的方法及包含其的结构
KR20210132612A (ko)2020-04-242021-11-04에이에스엠 아이피 홀딩 비.브이.바나듐 화합물들을 안정화하기 위한 방법들 및 장치
KR102783898B1 (ko)2020-04-292025-03-18에이에스엠 아이피 홀딩 비.브이.고체 소스 전구체 용기
KR20210134869A (ko)2020-05-012021-11-11에이에스엠 아이피 홀딩 비.브이.Foup 핸들러를 이용한 foup의 빠른 교환
JP7726664B2 (ja)2020-05-042025-08-20エーエスエム・アイピー・ホールディング・ベー・フェー基板を処理するための基板処理システム
KR102788543B1 (ko)2020-05-132025-03-27에이에스엠 아이피 홀딩 비.브이.반응기 시스템용 레이저 정렬 고정구
TW202146699A (zh)2020-05-152021-12-16荷蘭商Asm Ip私人控股有限公司形成矽鍺層之方法、半導體結構、半導體裝置、形成沉積層之方法、及沉積系統
KR20210143653A (ko)2020-05-192021-11-29에이에스엠 아이피 홀딩 비.브이.기판 처리 장치
KR102795476B1 (ko)2020-05-212025-04-11에이에스엠 아이피 홀딩 비.브이.다수의 탄소 층을 포함한 구조체 및 이를 형성하고 사용하는 방법
KR20210145079A (ko)2020-05-212021-12-01에이에스엠 아이피 홀딩 비.브이.기판을 처리하기 위한 플랜지 및 장치
TWI873343B (zh)2020-05-222025-02-21荷蘭商Asm Ip私人控股有限公司用於在基材上形成薄膜之反應系統
KR20210146802A (ko)2020-05-262021-12-06에이에스엠 아이피 홀딩 비.브이.붕소 및 갈륨을 함유한 실리콘 게르마늄 층을 증착하는 방법
TWI876048B (zh)2020-05-292025-03-11荷蘭商Asm Ip私人控股有限公司基板處理方法
TW202212620A (zh)2020-06-022022-04-01荷蘭商Asm Ip私人控股有限公司處理基板之設備、形成膜之方法、及控制用於處理基板之設備之方法
TW202208659A (zh)2020-06-162022-03-01荷蘭商Asm Ip私人控股有限公司沉積含硼之矽鍺層的方法
TW202218133A (zh)2020-06-242022-05-01荷蘭商Asm Ip私人控股有限公司形成含矽層之方法
TWI873359B (zh)2020-06-302025-02-21荷蘭商Asm Ip私人控股有限公司基板處理方法
US12431354B2 (en)2020-07-012025-09-30Asm Ip Holding B.V.Silicon nitride and silicon oxide deposition methods using fluorine inhibitor
TW202202649A (zh)2020-07-082022-01-16荷蘭商Asm Ip私人控股有限公司基板處理方法
KR20220010438A (ko)2020-07-172022-01-25에이에스엠 아이피 홀딩 비.브이.포토리소그래피에 사용하기 위한 구조체 및 방법
TWI878570B (zh)2020-07-202025-04-01荷蘭商Asm Ip私人控股有限公司用於沉積鉬層之方法及系統
KR20220011092A (ko)2020-07-202022-01-27에이에스엠 아이피 홀딩 비.브이.전이 금속층을 포함하는 구조체를 형성하기 위한 방법 및 시스템
US12322591B2 (en)2020-07-272025-06-03Asm Ip Holding B.V.Thin film deposition process
KR20220021863A (ko)2020-08-142022-02-22에이에스엠 아이피 홀딩 비.브이.기판 처리 방법
US12040177B2 (en)2020-08-182024-07-16Asm Ip Holding B.V.Methods for forming a laminate film by cyclical plasma-enhanced deposition processes
TW202228863A (zh)2020-08-252022-08-01荷蘭商Asm Ip私人控股有限公司清潔基板的方法、選擇性沉積的方法、及反應器系統
US11725280B2 (en)2020-08-262023-08-15Asm Ip Holding B.V.Method for forming metal silicon oxide and metal silicon oxynitride layers
TW202229601A (zh)2020-08-272022-08-01荷蘭商Asm Ip私人控股有限公司形成圖案化結構的方法、操控機械特性的方法、裝置結構、及基板處理系統
TW202217045A (zh)2020-09-102022-05-01荷蘭商Asm Ip私人控股有限公司沉積間隙填充流體之方法及相關系統和裝置
USD990534S1 (en)2020-09-112023-06-27Asm Ip Holding B.V.Weighted lift pin
KR20220036866A (ko)2020-09-162022-03-23에이에스엠 아이피 홀딩 비.브이.실리콘 산화물 증착 방법
USD1012873S1 (en)2020-09-242024-01-30Asm Ip Holding B.V.Electrode for semiconductor processing apparatus
TWI889903B (zh)2020-09-252025-07-11荷蘭商Asm Ip私人控股有限公司基板處理方法
US12009224B2 (en)2020-09-292024-06-11Asm Ip Holding B.V.Apparatus and method for etching metal nitrides
KR20220045900A (ko)2020-10-062022-04-13에이에스엠 아이피 홀딩 비.브이.실리콘 함유 재료를 증착하기 위한 증착 방법 및 장치
CN114293174A (zh)2020-10-072022-04-08Asm Ip私人控股有限公司气体供应单元和包括气体供应单元的衬底处理设备
TW202229613A (zh)2020-10-142022-08-01荷蘭商Asm Ip私人控股有限公司於階梯式結構上沉積材料的方法
TW202232565A (zh)2020-10-152022-08-16荷蘭商Asm Ip私人控股有限公司製造半導體裝置之方法及使用乙太網路控制自動化技術之基板處理裝置
TW202217037A (zh)2020-10-222022-05-01荷蘭商Asm Ip私人控股有限公司沉積釩金屬的方法、結構、裝置及沉積總成
JP7578236B2 (ja)*2020-10-222024-11-06気相成長株式会社アミジネート金属錯体の製造方法
TW202223136A (zh)2020-10-282022-06-16荷蘭商Asm Ip私人控股有限公司用於在基板上形成層之方法、及半導體處理系統
TW202229620A (zh)2020-11-122022-08-01特文特大學沉積系統、用於控制反應條件之方法、沉積方法
TW202229795A (zh)2020-11-232022-08-01荷蘭商Asm Ip私人控股有限公司具注入器之基板處理設備
TW202235649A (zh)2020-11-242022-09-16荷蘭商Asm Ip私人控股有限公司填充間隙之方法與相關之系統及裝置
TW202235675A (zh)2020-11-302022-09-16荷蘭商Asm Ip私人控股有限公司注入器、及基板處理設備
US12255053B2 (en)2020-12-102025-03-18Asm Ip Holding B.V.Methods and systems for depositing a layer
TW202233884A (zh)2020-12-142022-09-01荷蘭商Asm Ip私人控股有限公司形成臨限電壓控制用之結構的方法
US11946137B2 (en)2020-12-162024-04-02Asm Ip Holding B.V.Runout and wobble measurement fixtures
TW202232639A (zh)2020-12-182022-08-16荷蘭商Asm Ip私人控股有限公司具有可旋轉台的晶圓處理設備
TW202231903A (zh)2020-12-222022-08-16荷蘭商Asm Ip私人控股有限公司過渡金屬沉積方法、過渡金屬層、用於沉積過渡金屬於基板上的沉積總成
TW202226899A (zh)2020-12-222022-07-01荷蘭商Asm Ip私人控股有限公司具匹配器的電漿處理裝置
TW202242184A (zh)2020-12-222022-11-01荷蘭商Asm Ip私人控股有限公司前驅物膠囊、前驅物容器、氣相沉積總成、及將固態前驅物裝載至前驅物容器中之方法
USD980813S1 (en)2021-05-112023-03-14Asm Ip Holding B.V.Gas flow control plate for substrate processing apparatus
USD1023959S1 (en)2021-05-112024-04-23Asm Ip Holding B.V.Electrode for substrate processing apparatus
USD980814S1 (en)2021-05-112023-03-14Asm Ip Holding B.V.Gas distributor for substrate processing apparatus
USD981973S1 (en)2021-05-112023-03-28Asm Ip Holding B.V.Reactor wall for substrate processing apparatus
KR20230009793A (ko)2021-07-092023-01-17삼성전자주식회사이트륨 화합물과 이를 이용한 집적회로 소자의 제조 방법
US12371778B2 (en)2021-07-122025-07-29Adeka CorporationCobalt compound, thin-film forming raw material, thin-film, and method of producing thin-film
CN113582879A (zh)*2021-09-022021-11-02合肥安德科铭半导体科技有限公司一种有机镧前驱体La(iPr2-FMD)3的制备方法
USD990441S1 (en)2021-09-072023-06-27Asm Ip Holding B.V.Gas flow control plate
US12065738B2 (en)2021-10-222024-08-20Uchicago Argonne, LlcMethod of making thin films of sodium fluorides and their derivatives by ALD
TWI872394B (zh)*2021-11-302025-02-11法商液態空氣喬治斯克勞帝方法研究開發股份有限公司沈積貴金屬島或薄膜,以將其用於具有改進催化活性的電化學催化劑
US12435415B2 (en)*2021-11-302025-10-07Illinois Institute Of TechnologyThermal atomic layer deposition of ternary gallium oxide thin films
USD1060598S1 (en)2021-12-032025-02-04Asm Ip Holding B.V.Split showerhead cover
US11901169B2 (en)2022-02-142024-02-13Uchicago Argonne, LlcBarrier coatings
JP2024104710A (ja)2023-01-242024-08-05気相成長株式会社膜形成材料、及び製造方法
WO2024157934A1 (ja)*2023-01-242024-08-02気相成長株式会社製造方法、膜形成方法、及び膜形成材料
WO2024162067A1 (ja)2023-02-012024-08-08株式会社Adeka化合物、薄膜形成用原料、薄膜及び薄膜の製造方法
CN116230631B (zh)*2023-05-092024-01-30北京超弦存储器研究院金属互连结构的制备方法、金属互连结构及半导体组件
CN116924939B (zh)*2023-07-252024-01-26苏州源展材料科技有限公司一种镁配合物的制备方法
CN117024309A (zh)*2023-08-142023-11-10苏州源展材料科技有限公司一种低锂含量的脒基金属配合物的制备方法
WO2025052926A1 (ja)*2023-09-042025-03-13株式会社Adeka薄膜形成用原料、薄膜、薄膜の製造方法及びランタン化合物
KR20250081126A (ko)*2023-11-292025-06-05에스케이트리켐 주식회사란탄족 금속 함유 박막 형성용 전구체, 이를 이용한 란탄족 금속 함유 박막 형성 방법 및 상기 란탄족 금속 함유 박막을 포함하는 반도체 소자.
WO2025132279A1 (en)2023-12-182025-06-26Merck Patent GmbhGroup 13 metal compounds for ald applications

Citations (4)

* Cited by examiner, † Cited by third party
Publication numberPriority datePublication dateAssigneeTitle
EP0432574A2 (de)*1989-12-121991-06-19MERCK PATENT GmbHHeterocyclische metallorganische Verbindungen
GB2295392A (en)*1994-11-231996-05-29Ass OctelOrganometallic complexes of aluminium, gallium and indium
GB2295393A (en)*1994-11-231996-05-29Ass OctelOrganometallic complexes of aluminium, gallium and indium
US5689123A (en)*1994-04-071997-11-18Sdl, Inc.III-V aresenide-nitride semiconductor materials and devices

Family Cites Families (39)

* Cited by examiner, † Cited by third party
Publication numberPriority datePublication dateAssigneeTitle
JP2699285B2 (ja)1989-04-111998-01-19タイホー工業株式会社インパクトプリンターによるオーバーヘッドプロジェクターシートの作製方法及び被記録体
US5139825A (en)1989-11-301992-08-18President And Fellows Of Harvard CollegeProcess for chemical vapor deposition of transition metal nitrides
DE4020941A1 (de)*1990-06-301992-01-02Bayer AgVerfahren zur herstellung von dialkylcarbonaten
US5204314A (en)1990-07-061993-04-20Advanced Technology Materials, Inc.Method for delivering an involatile reagent in vapor form to a CVD reactor
US5820664A (en)1990-07-061998-10-13Advanced Technology Materials, Inc.Precursor compositions for chemical vapor deposition, and ligand exchange resistant metal-organic precursor solutions comprising same
US5362328A (en)1990-07-061994-11-08Advanced Technology Materials, Inc.Apparatus and method for delivering reagents in vapor form to a CVD reactor, incorporating a cleaning subsystem
US5225561A (en)1990-07-061993-07-06Advanced Technology Materials, Inc.Source reagent compounds for MOCVD of refractory films containing group IIA elements
US5453494A (en)1990-07-061995-09-26Advanced Technology Materials, Inc.Metal complex source reagents for MOCVD
US5711816A (en)1990-07-061998-01-27Advanced Technolgy Materials, Inc.Source reagent liquid delivery apparatus, and chemical vapor deposition system comprising same
US6110529A (en)1990-07-062000-08-29Advanced Tech MaterialsMethod of forming metal films on a substrate by chemical vapor deposition
US5280012A (en)1990-07-061994-01-18Advanced Technology Materials Inc.Method of forming a superconducting oxide layer by MOCVD
DE4039449A1 (de)1990-12-111992-06-17Bayer AgVerfahren zur herstellung eines kupfer-i-formamidin-komplexes
US5098516A (en)1990-12-311992-03-24Air Products And Chemicals, Inc.Processes for the chemical vapor deposition of copper and etching of copper
US5085731A (en)1991-02-041992-02-04Air Products And Chemicals, Inc.Volatile liquid precursors for the chemical vapor deposition of copper
US5144049A (en)1991-02-041992-09-01Air Products And Chemicals, Inc.Volatile liquid precursors for the chemical vapor deposition of copper
US5235075A (en)*1992-12-101993-08-10The Dow Chemical CompanyPurification of propylene oxide
US5322712A (en)1993-05-181994-06-21Air Products And Chemicals, Inc.Process for improved quality of CVD copper films
GB9315975D0 (en)*1993-08-021993-09-15Ass OctelOrganometallic complexes of gallium and indium
US5502128A (en)*1994-12-121996-03-26University Of MassachusettsGroup 4 metal amidinate catalysts and addition polymerization process using same
US5919522A (en)1995-03-311999-07-06Advanced Technology Materials, Inc.Growth of BaSrTiO3 using polyamine-based precursors
US5932363A (en)1997-10-021999-08-03Xerox CorporationElectroluminescent devices
US6294836B1 (en)1998-12-222001-09-25Cvc Products Inc.Semiconductor chip interconnect barrier material and fabrication method
US6337148B1 (en)1999-05-252002-01-08Advanced Technology Materials, Inc.Copper source reagent compositions, and method of making and using same for microelectronic device structures
US6273951B1 (en)1999-06-162001-08-14Micron Technology, Inc.Precursor mixtures for use in preparing layers on substrates
US6417369B1 (en)2000-03-132002-07-09Advanced Technology Materials, Inc.Pyrazolate copper complexes, and MOCVD of copper using same
US6211090B1 (en)2000-03-212001-04-03Motorola, Inc.Method of fabricating flux concentrating layer for use with magnetoresistive random access memories
KR200195246Y1 (ko)2000-03-222000-09-01유덕준단추 성형장치
US20020013487A1 (en)*2000-04-032002-01-31Norman John Anthony ThomasVolatile precursors for deposition of metals and metal-containing films
US6444263B1 (en)2000-09-152002-09-03Cvc Products, Inc.Method of chemical-vapor deposition of a material
US6527855B2 (en)2000-10-102003-03-04Rensselaer Polytechnic InstituteAtomic layer deposition of cobalt from cobalt metallorganic compounds
US6653154B2 (en)2001-03-152003-11-25Micron Technology, Inc.Method of forming self-aligned, trenchless mangetoresistive random-access memory (MRAM) structure with sidewall containment of MRAM structure
KR100406534B1 (ko)2001-05-032003-11-20주식회사 하이닉스반도체루테늄 박막의 제조 방법
US6933011B2 (en)2002-10-172005-08-23Aviza Technology, Inc.Two-step atomic layer deposition of copper layers
CN102312214B (zh)2002-11-152013-10-23哈佛学院院长等使用脒基金属的原子层沉积
US7396949B2 (en)2003-08-192008-07-08Denk Michael KClass of volatile compounds for the deposition of thin films of metals and metal compounds
US20050214458A1 (en)2004-03-012005-09-29Meiere Scott HLow zirconium hafnium halide compositions
US20060062910A1 (en)2004-03-012006-03-23Meiere Scott HLow zirconium, hafnium-containing compositions, processes for the preparation thereof and methods of use thereof
US7166732B2 (en)2004-06-162007-01-23Advanced Technology Materials, Inc.Copper (I) compounds useful as deposition precursors of copper thin films
US7816550B2 (en)2005-02-102010-10-19Praxair Technology, Inc.Processes for the production of organometallic compounds

Patent Citations (4)

* Cited by examiner, † Cited by third party
Publication numberPriority datePublication dateAssigneeTitle
EP0432574A2 (de)*1989-12-121991-06-19MERCK PATENT GmbHHeterocyclische metallorganische Verbindungen
US5689123A (en)*1994-04-071997-11-18Sdl, Inc.III-V aresenide-nitride semiconductor materials and devices
GB2295392A (en)*1994-11-231996-05-29Ass OctelOrganometallic complexes of aluminium, gallium and indium
GB2295393A (en)*1994-11-231996-05-29Ass OctelOrganometallic complexes of aluminium, gallium and indium

Also Published As

Publication numberPublication date
JP2015165050A (ja)2015-09-17
US7737290B2 (en)2010-06-15
KR101530502B1 (ko)2015-06-19
KR102220703B1 (ko)2021-02-26
CN1726303A (zh)2006-01-25
JP2006511716A (ja)2006-04-06
US8455672B2 (en)2013-06-04
JP2011236223A (ja)2011-11-24
JP2010156058A (ja)2010-07-15
EP2182088A1 (en)2010-05-05
JP5226717B2 (ja)2013-07-03
DE60330896D1 (de)2010-02-25
KR101266441B1 (ko)2013-05-24
KR20140067174A (ko)2014-06-03
EP1563117A2 (en)2005-08-17
EP2182088B1 (en)2013-07-17
CN1726303B (zh)2011-08-24
WO2004046417A2 (en)2004-06-03
WO2004046417A3 (en)2005-03-10
US20060141155A1 (en)2006-06-29
KR20150067397A (ko)2015-06-17
KR101266442B1 (ko)2013-05-22
JP5814155B2 (ja)2015-11-17
KR101437250B1 (ko)2014-10-13
KR20170044770A (ko)2017-04-25
ATE454483T1 (de)2010-01-15
CN102344460B (zh)2014-05-28
CN102344460A (zh)2012-02-08
EP1563117B1 (en)2010-01-06
KR20120073367A (ko)2012-07-04
US20090291208A1 (en)2009-11-26
KR20110069866A (ko)2011-06-23
US20100092667A1 (en)2010-04-15
AU2003290956A1 (en)2004-06-15
KR20110069865A (ko)2011-06-23
JP5714989B2 (ja)2015-05-07
US7557229B2 (en)2009-07-07
KR20050084997A (ko)2005-08-29
JP4988159B2 (ja)2012-08-01
JP2012162804A (ja)2012-08-30
KR20140096288A (ko)2014-08-05
CN102312214A (zh)2012-01-11
JP2017122273A (ja)2017-07-13

Similar Documents

PublicationPublication DateTitle
CN102312214B (zh)使用脒基金属的原子层沉积
JP5555872B2 (ja)金属(iv)テトラ−アミジネート化合物ならびに蒸着においての使用
US9453036B2 (en)Group 11 mono-metallic precursor compounds and use thereof in metal deposition
EP1849789B1 (en)Metal complexes of polydentate beta-ketoiminates
TWI490227B (zh)適於沉積含銻材料之銻化合物
TWI382987B (zh)應用於化學相沉積製程的有機金屬前驅物
JP2009542654A5 (zh)

Legal Events

DateCodeTitleDescription
C06Publication
PB01Publication
C10Entry into substantive examination
SE01Entry into force of request for substantive examination
C14Grant of patent or utility model
GR01Patent grant
CX01Expiry of patent term
CX01Expiry of patent term

Granted publication date:20131023


[8]ページ先頭

©2009-2025 Movatter.jp