Movatterモバイル変換


[0]ホーム

URL:


CN102298389A - System fully controlled and taken over by ground station during takeoff and landing stages of unmanned plane - Google Patents

System fully controlled and taken over by ground station during takeoff and landing stages of unmanned plane
Download PDF

Info

Publication number
CN102298389A
CN102298389ACN2011101550132ACN201110155013ACN102298389ACN 102298389 ACN102298389 ACN 102298389ACN 2011101550132 ACN2011101550132 ACN 2011101550132ACN 201110155013 ACN201110155013 ACN 201110155013ACN 102298389 ACN102298389 ACN 102298389A
Authority
CN
China
Prior art keywords
ground station
flight
flight control
take
uav
Prior art date
Legal status (The legal status is an assumption and is not a legal conclusion. Google has not performed a legal analysis and makes no representation as to the accuracy of the status listed.)
Pending
Application number
CN2011101550132A
Other languages
Chinese (zh)
Inventor
王冠林
夏慧
朱纪洪
Current Assignee (The listed assignees may be inaccurate. Google has not performed a legal analysis and makes no representation or warranty as to the accuracy of the list.)
Tsinghua University
Original Assignee
Tsinghua University
Priority date (The priority date is an assumption and is not a legal conclusion. Google has not performed a legal analysis and makes no representation as to the accuracy of the date listed.)
Filing date
Publication date
Application filed by Tsinghua UniversityfiledCriticalTsinghua University
Priority to CN2011101550132ApriorityCriticalpatent/CN102298389A/en
Publication of CN102298389ApublicationCriticalpatent/CN102298389A/en
Pendinglegal-statusCriticalCurrent

Links

Classifications

Landscapes

Abstract

A system fully controlled and taken over by a ground station during takeoff and landing stages of an unmanned plane, which belongs to the unmanned plane technology field, is characterized in that: the system comprises an unmanned plane control department and a ground station control department, wherein the unmanned plane control department comprises a airborne sensor group, a flight control computer, a steering gear adapter, a steering group, a downlink data link transmitter and an uplink data link receiver and the ground station control department comprises a ground station, a downlink data link receiver, an uplink data link transmitter, a takeoff and landing platform and a takeoff and landing platform sensor group; during the takeoff and landing stages of the unmanned plane, the flight control computer sends flight data to the ground station by using the downlink data link; the ground station continues to calculate unmanned plane steering commands according to a relative movement relation between the unmanned plane and the takeoff and landing platform and controls the unmanned plane through the uplink data link so that the unmanned plane can complete takeoff and landing which are fully controlled by the ground station. By using the invention, security of the takeoff and landing stages of the unmanned plane can be raised and application occasions can be expanded.

Description

Translated fromChinese
无人机起飞降落阶段的地面站全权接管控制系统The ground station in the take-off and landing phase of the drone takes full control of the control system

技术领域technical field

本发明是用于控制无人机自动起飞和降落的装置,能够全自动地引导并操纵无人机在复杂环境下的起飞和降落。主要应用在航空航天、无人机和机器人等技术领域。The invention is a device for controlling the automatic take-off and landing of the unmanned aerial vehicle, which can fully automatically guide and control the take-off and landing of the unmanned aerial vehicle in complex environments. It is mainly used in technical fields such as aerospace, drones and robots.

背景技术Background technique

无人机的起飞和降落是坠机事故的高发阶段,而当无人机在复杂环境下(如狭小地带或运动平台)起飞和降落时,事故发生率更高。无人机的自动起飞和降落通常只能在诸如宽阔平整场地等良好着陆条件下完成,而在复杂环境下多以遥控方式为主。此外,无人机在军舰和车辆等移动起降平台上着陆时,由于起降平台的姿态、位置和速度不断变化,无人机需要迅速、准确地调整自身姿态以保持与移动起降平台的同步运动,其降落过程甚为困难和危险。因此以往的无人机起飞和着陆方式危险性高、适用场合少,难以满足目前的无人机应用需求。The take-off and landing of UAVs is a high-incidence phase of crashes, and the accident rate is even higher when UAVs take off and land in complex environments (such as narrow areas or moving platforms). The automatic take-off and landing of UAVs can usually only be completed under good landing conditions such as wide and flat fields, while remote control is the main method in complex environments. In addition, when UAVs land on mobile platforms such as warships and vehicles, due to the constant changes in the attitude, position and speed of the platform, the UAV needs to quickly and accurately adjust its own attitude to maintain contact with the mobile platform. Synchronous movement, its landing process is very difficult and dangerous. Therefore, the previous UAV take-off and landing methods are highly dangerous and have few applicable occasions, and it is difficult to meet the current UAV application requirements.

本发明利用地面站实时对比无人机和起降平台的相对运动,持续计算出控制指令并直接全权控制无人机的飞行,使无人机可以在复杂环境下自动、安全地起飞和降落。与传统的无人机起飞和降落方法相比,本发明的优点是全自动起降、安全性高和适应范围广泛。不但可使无人机在复杂地面(如高楼之间)按照地面站的指示实时修正航线,及时规避障碍物并安全起飞或降落;而且可使无人机实时、迅速地跟随起降平台的运动(如行进中的军舰、车辆等),完成在移动起降平台上的起飞和降落。本发明可显著提高无人机在复杂环境下起飞和降落的飞行安全性,并可扩展无人机的装备适用范围。The invention utilizes the ground station to compare the relative movement of the UAV and the take-off and landing platform in real time, continuously calculates the control command and directly controls the flight of the UAV, so that the UAV can automatically and safely take off and land in a complex environment. Compared with the traditional take-off and landing method of the unmanned aerial vehicle, the invention has the advantages of fully automatic take-off and landing, high safety and wide adaptability. Not only can the UAV correct the route in real time according to the instructions of the ground station on complex ground (such as between tall buildings), avoid obstacles in time and take off or land safely; it can also make the UAV follow the movement of the take-off and landing platform in real time and quickly (such as moving warships, vehicles, etc.), complete the take-off and landing on the mobile take-off and landing platform. The invention can significantly improve the flight safety of the unmanned aerial vehicle taking off and landing in a complex environment, and can expand the equipment application range of the unmanned aerial vehicle.

发明内容Contents of the invention

本发明的目的在于提供一种用于无人机在复杂环境下自主起飞和降落的系统。The purpose of the present invention is to provide a system for autonomous take-off and landing of unmanned aerial vehicles in complex environments.

本发明的特征在于,含有:无人机控制部和地面站控制部,其中:The present invention is characterized in that it contains: the UAV control unit and the ground station control unit, wherein:

无人机控制部,含有:机载传感器组、飞行控制计算机、舵机适配器、舵机组、下行数据链路发射机和上行数据链路接收机,其中:UAV control department, including: airborne sensor group, flight control computer, steering gear adapter, steering unit, downlink data link transmitter and uplink data link receiver, of which:

机载传感器组,集成有:3轴角速率陀螺仪、3轴线加速度计、3轴磁力计、超声波高度计以及GPS接收机,以实时测量无人机的空间坐标、3轴角速度、3轴线加速度、3轴欧拉角和超声波相对高度,表示成飞行数据

Figure BSA00000514348200021
并发送给飞行控制计算机:The airborne sensor group is integrated with: 3-axis angular rate gyroscope, 3-axis accelerometer, 3-axis magnetometer, ultrasonic altimeter and GPS receiver to measure the drone's spatial coordinates, 3-axis angular velocity, 3-axis acceleration, 3-axis Euler angle and ultrasonic relative height, expressed as flight data
Figure BSA00000514348200021
and send to the flight control computer:

γA=[xA(t),yA(t),zA(t)]T为无人机的空间坐标,γA =[xA (t), yA (t), zA (t)]T is the space coordinate of unmanned aerial vehicle,

A=[pA(t),qA(t),rA(t)]T为无人机的3轴角速度,A =[pA (t), qA (t), rA (t)]T is the 3-axis angular velocity of the UAV,

ΛA=[uA(t),vA(t),wA(t)]T为无人机的3轴线速度,ΛA =[uA (t), vA (t), wA (t)]T is the 3-axis speed of the UAV,

ΞA=[φA(t),θA(t),ψA(t)]T为无人机的3轴欧拉角,ΞA =[φA (t), θA (t), ψA (t)]T is the 3-axis Euler angle of the drone,

Δh为超声波相对高度;Δh is the relative height of ultrasonic waves;

飞行控制计算机,设有:所述机载传感器组输出的飞行数据信号输入端、向下行数据链路发射机发送飞行数据ηA(t)的输出端,以及根据预先设定的飞行轨迹和飞行控制算法生成的飞控舵机指令δ飞控(t)=[δ飞控1(t),δ飞控2(t),L,δ飞控n(t)]T,n为舵机数,其中:The flight control computer is provided with: the input terminal of the flight data signal output by the onboard sensor group, the output terminal sending the flight data ηA (t) to the downlink data link transmitter, and according to the preset flight track and flight The flight control servo command generated by the control algorithm δflight control (t) = [δflight control 1 (t), δflight control 2 (t), L, δflight control n (t)]T , n is the number of steering gear ,in:

期望的飞行轨迹表示为ГC=[xC(t),yC(t),zC(t)]T,其中,xC(t),yC(t),zC(t)为设定的空间坐标,t=1,2,....,L,L为设定的飞行时间长度,单位为秒;The desired flight trajectory is expressed as ГC =[xC (t), yC (t), zC (t)]T , where xC (t), yC (t), zC (t) are The set space coordinates, t=1, 2, ..., L, L is the set flight time length, the unit is second;

飞控指令δ飞控i(t)的表达式为:The expression of the flight control instruction δflight control i (t) is:

Figure BSA00000514348200022
Figure BSA00000514348200022

其中,

Figure BSA00000514348200023
Figure BSA00000514348200024
是飞行控制计算机的控制器参数,其中
Figure BSA00000514348200025
为比例系数,
Figure BSA00000514348200026
为积分系数,为微分系数,均为设定值;in,
Figure BSA00000514348200023
and
Figure BSA00000514348200024
is the controller parameter of the flight control computer, where
Figure BSA00000514348200025
is the proportional coefficient,
Figure BSA00000514348200026
is the integral coefficient, is the differential coefficient, both are set values;

舵机适配器,由PIC单片机构成,设有:Steering gear adapter, composed of PIC microcontroller, features:

舵机控制指令信号输入端,接收来自所述飞行控制计算机的飞控指令δ飞控(t)=[δ飞控1(t),δ飞控2(t),L,δ飞控n(t)]T,取值范围为[-100,100],i∈[1,n];Steering gear control instruction signal input end, receives flight control instruction δflight control (t)=[δflight control 1 (t), δflight control 2 (t), L, δflight control n ( t)]T , the value range is [-100, 100], i∈[1, n];

地面站指令输入端,接收来自所述上行数据链路接收机的地面站指令δ地面站(t)=[δ地面站1(t),δ地面站2(t),L,δ地面站n(t)]T,取值范围为[-100,100],i∈[1,n];The ground station instruction input terminal receives the ground station instruction δground station (t)=[δground station 1 (t), δground station 2 (t), L, δground station n from the uplink data link receiver (t)]T , the value range is [-100, 100], i∈[1, n];

所述飞控指令δ飞控(t)和地面站指令δ地面站(t)都采用RS232串行信号格式,其中飞控指令δ飞控(t)的帧头定义为DB9033,地面站指令δ地面站(t)的帧头定义为DB9053,并将地面站指令δ地面站(t)的优先级设定为高于飞控指令δ飞控(t)的优先级;Both the flight control instruction δflight control (t) and the ground station instruction δground station (t) adopt the RS232 serial signal format, wherein the frame header of the flight control instruction δflight control (t) is defined as DB9033, and the ground station instruction δ The frame header ofthe ground station (t) is defined as DB9053, and the priority of the ground station command δground station (t) is set to be higher than the priority of the flight control command δflight control (t);

所述舵机适配器只把当前所收到优先级最高的指令信号转化为n路舵机PWM脉宽调制信号,用于控制舵机组的n路舵机根据当前最高优先级指令所对应的PWM脉宽调制信号进行偏转;所述舵机适配器通过检测所收到指令的帧头以识别飞控指令δ飞控(t)和地面站指令δ地面站(t);The steering gear adapter only converts the command signal with the highest priority currently received into an n-way steering gear PWM pulse width modulation signal, which is used to control the n-way steering gear of the steering unit according to the PWM pulse corresponding to the current highest priority command. The wide modulation signal is deflected; the steering gear adapter recognizes the flight control command δflight control (t) and the ground station command δground station (t) by detecting the frame header of the received command;

下行数据链路发射机,设有飞行数据接收端,接收来自所述飞行控制计算机输出的飞行数据ηA(t),并随即向下行数据链路接收机发送飞行数据ηA(t);The downlink data link transmitter is provided with the flight data receiving end, receives the flight data ηA (t) output from the flight control computer, and then sends the flight data ηA (t) to the downlink data link receiver;

地面站控制部,含有:地面站、下行数据链路接收机、上行数据链路发射机、起降平台和起降平台传感器组,其中:Ground station control department, including: ground station, downlink data link receiver, uplink data link transmitter, takeoff and landing platform and takeoff and landing platform sensor group, of which:

起降平台,固定有地面站、起降平台传感器组、下行数据链路接收机和上行数据链路发射机,其中:The take-off and landing platform is fixed with a ground station, a sensor group of the take-off and landing platform, a downlink data link receiver and an uplink data link transmitter, wherein:

起降平台传感器组,集成有所述3轴角速率陀螺仪、3轴线加速度计、3轴磁力计,以及GPS接收机,以实时测量起降平台的空间坐标、3轴角速度、3轴线加速度和3轴欧拉角,表示成起降平台的运动数据并发送给地面站:The landing platform sensor group is integrated with the 3-axis angular rate gyroscope, 3-axis accelerometer, 3-axis magnetometer, and GPS receiver to measure the space coordinates, 3-axis angular velocity, 3-axis acceleration and 3-axis Euler angle, expressed as the motion data of the take-off and landing platform and send to the ground station:

γG=[xG(t),yG(t),zG(t)]T为起降平台的空间坐标,γG =[xG (t), yG (t), zG (t)]T is the spatial coordinate of the take-off and landing platform,

G=[pG(t),qG(t),rG(t)]T为起降平台的3轴角速度,G =[pG (t), qG (t), rG (t)]T is the 3-axis angular velocity of the take-off and landing platform,

ΛG=[uG(t),vG(t),wG(t)]T为起降平台的3轴线速度,ΛG =[uG (t), vG (t), wG (t)]T is the 3-axis velocity of the take-off and landing platform,

ΞG=[φG(t),θG(t),ψG(t)]T为起降平台的3轴欧拉角;ΞG =[φG (t), θG (t), ψG (t)]T is the 3-axis Euler angle of the take-off and landing platform;

h0为起降平台的相对高度,设定为0;h0 is the relative height of the landing platform, set to 0;

地面站,是一台PC机,通过所述下行数据链路接收机接收来自无人机所述下行数据链路发射机发送的飞行数据ηA(t),并通过所述上行数据链路发射机向无人机发送地面站实时计算出的地面站指令δ地面站(t);The ground station is a PC, receives the flight data ηA (t) sent from the said downlink transmitter of the unmanned aerial vehicle through the downlink data link receiver, and transmits it through the uplink data link The machine sends the ground station command δground station (t) calculated by the ground station in real time to the UAV;

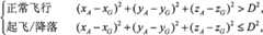
在正常飞行状态下,由飞行控制计算机控制无人机的飞行,所述地面站通过对比无人机与起降平台的相对位置而判断无人机的飞行状态:In the normal flight state, the flight of the UAV is controlled by the flight control computer, and the ground station judges the flight state of the UAV by comparing the relative position of the UAV and the take-off and landing platform:

其中,D是预先设定的地面站控制范围:当无人机在D之外飞行时,认为是正常飞行状态;当无人机在D之内飞行时,认为是起飞/降落状态;D为设定值,取100米;Among them, D is the preset control range of the ground station: when the UAV is flying outside D, it is considered to be in the normal flight state; when the UAV is flying within D, it is considered to be in the take-off/landing state; D is Set value, take 100 meters;

所述飞行控制计算机根据来自所述机载传感器组的飞行数据ηA(t),根据预设的飞行控制算法生成飞控指令δ飞控(t),并以帧头为DB9033的串行信号发送给所述舵机适配器;所述舵机适配器把所述飞控指令δ飞控(t)转化为n路舵机PWM脉宽调制信号,用于控制舵机组的n路舵机根据δ飞控(t)所对应的PWM脉宽调制信号进行偏转,以操纵无人机按照预定的飞行轨迹ГC飞行;The flight control computer generates the flight control instruction δflight control (t) according to the flight control algorithm preset according to the flight data ηA (t) from the onboard sensor group, and uses the frame header as the serial signal of DB9033 Send to the steering gear adapter; the steering gear adapter converts the flight control instruction δflight control (t) into n-way steering gear PWM pulse width modulation signals, which are used to control the n-way steering gear of the steering group according toδ Control (t) the corresponding PWM pulse width modulation signal to deflect, so as to control the UAV to fly according to the predetermined flight path ГC ;

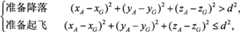
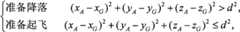
在起飞/降落状态下,由地面站全权接管控制无人机的飞行,并由下式判断无人机当前状态是准备起飞或准备着陆:In the take-off/landing state, the ground station takes full control of the flight of the UAV, and judges whether the current state of the UAV is ready to take off or prepare to land by the following formula:

Figure BSA00000514348200041
Figure BSA00000514348200041

其中,当地面站检测到无人机在D之内飞行时,确认无人机进入起飞/降落状态;地面站通过预先设定的状态判断阈值d进一步判断飞行意图:当无人机进入起飞/降落状态时与起降平台距离大于d,则认为是准备着陆状态;反之,则认为是准备起飞状态;d为设定值,取10米;Among them, when the ground station detects that the UAV is flying within D, it confirms that the UAV enters the take-off/landing state; the ground station further judges the flight intention through the preset state judgment threshold d: when the UAV enters the take-off/landing state If the distance from the take-off and landing platform in the landing state is greater than d, it is considered to be in the ready-to-land state; otherwise, it is considered to be in the ready-to-take-off state; d is the set value, which is 10 meters;

然后,所述地面站根据无人机的飞行数据ηA(t)和起降平台的运动数据ηG(t),以及当前的准备起飞或准备降落状态,实时计算出帧头为DB9053的地面站指令δ地面站(t),并通过上行数据链路发射机发送给无人机上的上行数据链路接收机;地面站指令δ地面站(t)的表达式为:Then, according to the flight data ηA (t) of the unmanned aerial vehicle and the motion data ηG (t) of the take-off and landing platform, and the current state of preparing to take off or preparing to land, the ground station calculates the ground whose frame header is DB9053 in real time. Station command δground station ( t), and send to the uplink data link receiver on the UAV through the uplink data link transmitter; the expression of ground station command δground station (t) is:

Figure BSA00000514348200042
Figure BSA00000514348200042

其中,

Figure BSA00000514348200043
Figure BSA00000514348200044
是地面站的控制器参数,其中
Figure BSA00000514348200045
为比例系数,
Figure BSA00000514348200046
为积分系数,
Figure BSA00000514348200047
为微分系数,均为设定值;in,
Figure BSA00000514348200043
and
Figure BSA00000514348200044
is the controller parameter of the ground station, where
Figure BSA00000514348200045
is the proportional coefficient,
Figure BSA00000514348200046
is the integral coefficient,
Figure BSA00000514348200047
is the differential coefficient, both are set values;

所述上行数据链路接收机将收到的地面站指令δ地面站(t)发送给舵机适配器;由于地面站指令δ地面站(t)的优先级高于飞控指令δ飞控(t)的优先级,因此当舵机适配器检测到帧头为DB9053的地面站指令δ地面站(t)后,立即改为将地面站指令δ地面站(t)转化为n路舵机PWM脉宽调制信号,用于控制舵机组的n路舵机根据δ地面站(t)所对应的PWM脉宽调制信号进行偏转,故此时无人机的起飞或降落完全由地面站控制;无人机在地面站实时操纵下不断修正自身飞行状态,逐渐远离或靠近起降平台,最终完成在起降平台上自动起飞或降落;而当无人机飞出地面站控制范围D后,地面站停止发送地面站指令δ地面站(t),所述舵机适配器改为将飞行控制计算机的飞控指令δ飞控(t)转化为舵机组的n路舵机PWM脉宽调制信号,使无人机自动切换到飞行控制计算机的控制之下,从而实现地面站对无人机在起降/降落阶段全权接管控制。本发明的优点在于:无人机可实现全自动起降、安全性高、适应范围广。不但可使无人机在复杂地面(如高楼之间)按照地面站的指示实时修正航线,及时规避障碍物并安全起飞或降落;而且可使无人机实时、迅速地跟随移动起降平台的运动(如行进中的军舰、车辆等),完成在移动平台上的起飞和降落;本发明可显著提高无人机在复杂环境下起飞和降落的飞行安全性,并有效扩展无人机的装备适用范围。The uplink data link receiver sends the received ground station instruction δground station (t) to the steering gear adapter; since the priority of the ground station instruction δground station (t) is higher than the flight control instruction δflight control (t ) priority, so when the servo adapter detects the ground station command δgroundstation (t) whose frame header is DB9053, it immediately changes the ground station command δgroundstation (t) into n-way steering gear PWM pulse width The modulation signal is used to control the n-way steering gear of the steering unit to deflect according to the PWM pulse width modulation signal corresponding to the δground station (t), so the take-off or landing of the UAV is completely controlled by the ground station at this time; The ground station constantly corrects its own flight status under real-time control, gradually moves away from or approaches the takeoff and landing platform, and finally completes automatic takeoff or landing on the takeoff and landing platform; and when the UAV flies out of the control range D of the ground station, the ground station stops sending ground signals. Station instruction δground station (t), the steering gear adapter changes the flight control command δflight control (t) of the flight control computer into the n-way steering gear PWM pulse width modulation signal of the steering unit, so that the unmanned aerial vehicle automatically Switch to the control of the flight control computer, so that the ground station can fully take over the control of the UAV during the take-off/landing phase. The invention has the advantages that the unmanned aerial vehicle can realize automatic take-off and landing, has high safety and wide application range. Not only can the UAV correct the route in real time according to the instructions of the ground station on complex ground (such as between tall buildings), avoid obstacles in time and take off or land safely; it can also make the UAV follow the movement of the mobile take-off and landing platform in real time Movement (such as moving warships, vehicles, etc.) to complete the take-off and landing on the mobile platform; the present invention can significantly improve the flight safety of unmanned aerial vehicles taking off and landing in complex environments, and effectively expand the equipment of unmanned aerial vehicles scope of application.

附图说明Description of drawings

图1是无人机起飞降落阶段的地面站全权接管控制系统的原理图。Figure 1 is a schematic diagram of the ground station full authority to take over the control system during the take-off and landing phase of the UAV.

图1中,1.无人机,2.机载传感器组,3.飞行控制计算机,4.舵机适配器,5.舵机组,6.下行数据链路发射机,7.下行数据链路接收机,8.地面站,9.上行数据链路发射机,10.上行数据链路接收机,11.起降平台,12.起降平台传感器组。In Figure 1, 1. UAV, 2. Airborne sensor group, 3. Flight control computer, 4. Steering gear adapter, 5. Steering unit, 6. Downlink data link transmitter, 7. Downlink data link receiver Machine, 8. Ground station, 9. Uplink data link transmitter, 10. Uplink data link receiver, 11. Takeoff and landing platform, 12. Takeoff and landing platform sensor group.

具体实施方式Detailed ways

无人机起飞降落阶段的地面站全权接管控制系统用于控制无人机1在起降平台11完成全自动起飞和降落,整个系统由无人机控制部和地面站控制部组成,其中:The full control system of the ground station in the take-off and landing phase of the UAV is used to control the UAV 1 to complete fully automatic take-off and landing on the take-off and landing platform 11. The entire system consists of the UAV control department and the ground station control department, of which:

无人机控制部,含有:机载传感器组2、飞行控制计算机3、舵机适配器4、舵机组5、下行数据链路发射机6和上行数据链路接收机7,其中:The UAV control unit includes: airborne sensor group 2, flight control computer 3, steering gear adapter 4, steering unit 5, downlink data link transmitter 6 and uplink data link receiver 7, wherein:

机载传感器组2,集成有:3轴角速率陀螺仪、3轴线加速度计、3轴磁力计、超声波高度计以及GPS接收机,以实时测量无人机1的空间坐标、3轴角速度、3轴线加速度、3轴欧拉角和超声波相对高度,表示成飞行数据

Figure BSA00000514348200051
并发送给飞行控制计算机3:Airborne sensor group 2, integrated with: 3-axis angular rate gyroscope, 3-axis accelerometer, 3-axis magnetometer, ultrasonic altimeter and GPS receiver, to measure the spatial coordinates, 3-axis angular velocity, and 3-axis of UAV 1 in real time Acceleration, 3-axis Euler angle and ultrasonic relative altitude, expressed as flight data
Figure BSA00000514348200051
And send to flight control computer 3:

γA=[xA(t),yA(t),zA(t)]T为无人机1的空间坐标,γA =[xA (t), yA (t), zA (t)]T is the space coordinate of UAV 1,

A=[pA(t),qA(t),rA(t)]T为无人机1的3轴角速度,A = [pA (t), qA (t), rA (t)]T is the 3-axis angular velocity of the UAV 1,

ΛA=[uA(t),vA(t),wA(t)]T为无人机1的3轴线速度,ΛA =[uA (t), vA (t), wA (t)]T is the 3-axis speed of UAV 1,

ΞA=[φA(t),θA(t),ψA(t)]T为无人机1的3轴欧拉角,ΞA = [φA (t), θA (t), ψA (t)]T is the 3-axis Euler angle of UAV 1,

Δh为超声波相对高度;Δh is the relative height of ultrasonic waves;

飞行控制计算机3,设有:所述机载传感器组2输出的飞行数据信号输入端、向下行数据链路发射机6发送飞行数据ηA(t)的输出端,以及根据预先设定的飞行轨迹和飞行控制算法生成的飞控舵机指令δ飞控(t)=[δ飞控1(t),δ飞控2(t),L,δ飞控n(t)]T,n为舵机数,其中:The flight control computer 3 is provided with: the flight data signal input terminal output by the onboard sensor group 2, the output terminal sending the flight data η A (t) to the down data link transmitter 6, and the flight data ηA (t) according to the preset flight The trajectory and the flight control steering gear command generated by the flight control algorithm δflight control (t) = [δflight control 1 (t), δflight control 2 (t), L, δflight control n (t)]T , n is The number of steering gear, of which:

设定的飞行轨迹表示为ГC=[xC(t),yC(t),zC(t)]T,其中,xC(t),yC(t),zC(t)为设定的空间坐标,t=1,2,....,L,L为设定的飞行时间长度,单位为秒;The set flight trajectory is expressed as ГC =[xC (t), yC (t), zC (t)]T , where, xC (t), yC (t), zC (t) For the set space coordinates, t=1, 2, ..., L, L is the set flight time length, the unit is second;

飞控指令δ飞控i(t)的表达式为:The expression of the flight control instruction δflight control i (t) is:

Figure BSA00000514348200052
Figure BSA00000514348200052

其中,

Figure BSA00000514348200061
Figure BSA00000514348200062
是飞行控制计算机2的控制器参数,其中
Figure BSA00000514348200063
为比例系数,
Figure BSA00000514348200064
为积分系数,为微分系数,均为设定值;in,
Figure BSA00000514348200061
and
Figure BSA00000514348200062
is the controller parameter of flight control computer 2, where
Figure BSA00000514348200063
is the proportional coefficient,
Figure BSA00000514348200064
is the integral coefficient, is the differential coefficient, both are set values;

舵机适配器4,由PIC单片机构成,设有:Steering gear adapter 4, composed of PIC single-chip microcomputer, is equipped with:

舵机控制指令信号输入端,接收来自所述飞行控制计算机3的飞控指令δ飞控(t)=[δ飞控1(t),δ飞控2(t),L,δ飞控n(t)]T,取值范围为[-100,100],i∈[1,n];Steering gear control instruction signal input terminal, receives the flight control instruction δflight control (t)=[δflight control 1 (t), δflight control 2 (t), L, δflight control n from the flight control computer 3 (t)]T , the value range is [-100, 100], i∈[1, n];

地面站指令输入端,接收来自所述上行数据链路接收机10的地面站指令δ地面站(t)=[δ地面站1(t),δ地面站2(t),L,δ地面站n(t)]T,取值范围为[-100,100],i∈[1,n];The ground station instruction input terminal receives the ground station instruction δground station (t)=[δground station 1 (t), δground station 2 (t), L, δground station from the uplink data link receiver 10n (t)]T , the value range is [-100, 100], i∈[1, n];

所述飞控指令δ飞控(t)和地面站指令δ地面站(t)都采用RS232串行信号格式,其中飞控指令δ飞控(t)的帧头定义为DB9033,地面站指令δ地面站(t)的帧头定义为DB9053,并将地面站指令δ地面站(t)的优先级设定为高于飞控指令δ飞控(t)的优先级;Both the flight control instruction δflight control (t) and the ground station instruction δground station (t) adopt the RS232 serial signal format, wherein the frame header of the flight control instruction δflight control (t) is defined as DB9033, and the ground station instruction δ The frame header ofthe ground station (t) is defined as DB9053, and the priority of the ground station command δground station (t) is set to be higher than the priority of the flight control command δflight control (t);

所述舵机适配器4只把当前所收到优先级最高的指令信号转化为n路舵机PWM脉宽调制信号,用于控制舵机组5的n路舵机根据当前最高优先级指令所对应的PWM脉宽调制信号进行偏转;所述舵机适配器4通过检测所收到指令的帧头以识别飞控指令δ飞控(t)和地面站指令δ地面站(t);The steering gear adapter 4 only converts the command signal with the highest priority currently received into an n-way steering gear PWM pulse width modulation signal, which is used to control the n-way steering gear of the steering unit 5 according to the current highest priority command. The PWM pulse width modulation signal is deflected; the steering gear adapter 4 is used to identify the flight control instruction δflight control (t) and the ground station instruction δ ground station (t) by detecting the frame header of the received instruction;

下行数据链路发射机,设有飞行数据接收端,接收来自所述飞行控制计算机输出的飞行数据ηA(t),并随即向下行数据链路接收机发送飞行数据ηA(t);The downlink data link transmitter is provided with the flight data receiving end, receives the flight data ηA (t) output from the flight control computer, and then sends the flight data ηA (t) to the downlink data link receiver;

地面站控制部,含有:地面站8、下行数据链路接收机7、上行数据链路发射机9、起降平台11和起降平台传感器组12,其中:The ground station control part includes: ground station 8, downlink data link receiver 7, uplink data link transmitter 9, takeoff and landing platform 11 and takeoff and landing platform sensor group 12, wherein:

起降平台,固定有地面站、起降平台传感器组、下行数据链路接收机和上行数据链路发射机,其中:The take-off and landing platform is fixed with a ground station, a sensor group of the take-off and landing platform, a downlink data link receiver and an uplink data link transmitter, wherein:

起降平台传感器组12,集成有所述3轴角速率陀螺仪、3轴线加速度计、3轴磁力计,以及GPS接收机,以实时测量起降平台11的空间坐标、3轴角速度、3轴线加速度和3轴欧拉角,表示成起降平台11的运动数据

Figure BSA00000514348200066
并发送给地面站8:The take-off and landing platform sensor group 12 is integrated with the 3-axis angular rate gyroscope, 3-axis accelerometer, 3-axis magnetometer, and GPS receiver to measure the space coordinates, 3-axis angular velocity, and 3-axis of the take-off and landing platform 11 in real time. Acceleration and 3-axis Euler angles are expressed as motion data of the take-off and landing platform 11
Figure BSA00000514348200066
and send to ground station 8:

γG=[xG(t),yG(t),zG(t)]T为起降平台11的空间坐标,γG =[xG (t), yG (t), zG (t)]T is the space coordinate of take-off and landing platform 11,

G=[pG(t),qG(t),rG(t)]T为起降平台11的3轴角速度,G = [pG (t), qG (t), rG (t)]T is the 3-axis angular velocity of the landing platform 11,

ΛG=[uG(t),vG(t),wG(t)]T为起降平台11的3轴线速度,ΛG =[uG (t), vG (t), wG (t)]T is the 3-axis velocity of the take-off and landing platform 11,

ΞG=[φG(t),θG(t),ψG(t)]T为起降平台11的3轴欧拉角;ΞG =[φG (t), θG (t), ψG (t)]T is the 3-axis Euler angle of landing platform 11;

h0为起降平台的相对高度,设定为0;h0 is the relative height of the landing platform, set to 0;

地面站8,是一台PC机,通过所述下行数据链路接收机7接收来自无人机1所述下行数据链路发射机6发送的飞行数据ηA(t),并通过所述上行数据链路发射机9向无人机1发送地面站8实时计算出的地面站指令δ地面站(t);The ground station 8 is a PC, which receives the flight data ηA (t) sent by the downlink data link transmitter 6 of the UAV 1 through the downlink data link receiver 7, and passes through the uplink Data link transmitter 9 sends the ground station instruction δground station (t) that ground station 8 calculates in real time to unmanned aerial vehicle 1;

在正常飞行状态下,由飞行控制计算机3控制无人机1的飞行,所述地面站8通过对比无人机1与起降平台11的相对位置而判断无人机1的飞行状态:In the normal flight state, the flight of the UAV 1 is controlled by the flight control computer 3, and the ground station 8 judges the flight state of the UAV 1 by comparing the relative positions of the UAV 1 and the take-off and landing platform 11:

Figure BSA00000514348200071
Figure BSA00000514348200071

其中,D是预先设定的地面站控制范围:当无人机1在D之外飞行时,认为是正常飞行状态;当无人机1在D之内飞行时,认为是起飞/降落状态;D为设定值,取100米;Among them, D is the preset control range of the ground station: when UAV 1 is flying outside D, it is considered to be in a normal flight state; when UAV 1 is flying within D, it is considered to be in a takeoff/landing state; D is the set value, take 100 meters;

所述飞行控制计算机3根据来自所述机载传感器组2的飞行数据ηA(t),根据预设的飞行控制算法生成飞控指令δ飞控(t),并以帧头为DB9033的串行信号发送给所述舵机适配器4;所述舵机适配器4把所述飞控指令δ飞控(t)转化为舵机组5的n路舵机PWM脉宽调制信号,用于控制n路舵机根据δ飞控(t)所对应的PWM脉宽调制信号进行偏转,以操纵无人机1按照预定的飞行轨迹ГC飞行;The flight control computer 3 generates the flight control instruction δflight control (t) according to the flight control algorithm preset according to the flight data ηA (t) from the onboard sensor group 2, and uses the frame header as a string of DB9033 The line signal is sent to the steering gear adapter 4; the steering gear adapter 4 converts the flight control instruction δflight control (t) into the n-way steering gear PWM pulse width modulation signal of the steering unit 5, which is used to control the n-way The steering gear is deflected according to the PWM pulse width modulation signal corresponding to the δflight control (t), so as to control the UAV 1 to fly according to the predetermined flight path ГC ;

在起飞/降落状态下,由地面站8全权接管控制无人机1的飞行,并由下式判断无人机1当前状态是准备起飞或准备着陆:In the take-off/landing state, the ground station 8 takes over and controls the flight of the UAV 1, and judges whether the current state of the UAV 1 is ready to take off or ready to land by the following formula:

Figure BSA00000514348200072
Figure BSA00000514348200072

其中,当地面站8检测到无人机在D之内飞行时,确认无人机1进入起飞/降落状态;地面站8通过预先设定的状态判断阈值d进一步判断飞行意图:当无人机1进入起飞/降落状态时与起降平台11距离大于d,则认为是准备着陆状态;反之,则认为是准备起飞状态;d为设定值,取10米;Among them, when the ground station 8 detects that the UAV is flying within D, it confirms that the UAV 1 enters the take-off/landing state; the ground station 8 further judges the flight intention through the preset state judgment threshold d: when the UAV 1. When entering the take-off/landing state, the distance from the take-off and landing platform 11 is greater than d, then it is considered as the ready-to-land state; otherwise, it is considered to be the ready-to-take-off state; d is the set value, which is 10 meters;

然后,所述地面站8根据无人机1的飞行数据ηA(t)和起降平台11的运动数据ηG(t),以及当前的准备起飞或准备降落状态,实时计算出帧头为DB9053的地面站指令δ地面站(t),并通过上行数据链路发射机9发送给无人机1上的上行数据链路接收机10地面站指令δ地面站(t)的表达式为:Then, the ground station 8 calculates the frame header in real time according to the flight data ηA (t) of the UAV 1 and the motion data ηG (t) of the take-off and landing platform 11, and the current state of preparing to take off or preparing to land. The ground station command δground station (t) of DB9053 is sent to the uplink data link receiver 10 on the UAV 1 by the uplink data link transmitter 9. The expression of the ground station command δground station (t) is:

Figure BSA00000514348200073
Figure BSA00000514348200073

其中,

Figure BSA00000514348200074
Figure BSA00000514348200075
是地面站8的控制器参数,其中
Figure BSA00000514348200076
为比例系数,
Figure BSA00000514348200077
为积分系数,
Figure BSA00000514348200081
为微分系数,均为设定值;in,
Figure BSA00000514348200074
and
Figure BSA00000514348200075
is the controller parameter of the ground station 8, where
Figure BSA00000514348200076
is the proportional coefficient,
Figure BSA00000514348200077
is the integral coefficient,
Figure BSA00000514348200081
is the differential coefficient, both are set values;

所述上行数据链路接收机10将收到的地面站指令δ地面站(t)发送给舵机适配器4;由于地面站指令δ地面站(t)的优先级高于飞控指令δ飞控(t)的优先级,因此当舵机适配器4检测到帧头为DB9053的地面站指令δ地面站(t)后,立即改为将地面站指令δ地面站(t)转化为n路舵机PWM脉宽调制信号,用于控制舵机组5的n路舵机根据δ地面站(t)所对应的PWM脉宽调制信号进行偏转,故此时无人机1的起飞或降落完全由地面站8控制;无人机1在地面站8实时操纵下不断修正自身飞行状态,逐渐远离或靠近起降平台11,最终完成在起降平台11上自动起飞或降落;而当无人机1飞出地面站8控制范围D后,地面站8停止发送地面站指令δ地面站(t),所述舵机适配器4改为将飞行控制计算机3的飞控指令δ飞控(t)转化为n路舵机PWM脉宽调制信号,使无人机1自动切换到飞行控制计算机3的控制之下,从而实现地面站8对无人机1在起降/降落阶段全权接管控制。The uplink data link receiver 10 sends the received ground station instruction δground station (t) to the steering gear adapter 4; since the priority of the ground station instruction δground station (t) is higher than the flight control instruction δflight control (t) priority, so when the servo adapter 4 detects the ground station command δground station (t) whose frame header is DB9053, it immediately changes the ground station command δground station (t) into n-way steering gear The PWM pulse width modulation signal is used to control the n-way steering gear of the steering unit 5 to deflect according to the PWM pulse width modulation signal corresponding to the δground station (t), so the take-off or landing of the UAV 1 is completely controlled by the ground station 8 at this time. Control; UAV 1 constantly corrects its own flight state under the real-time control of ground station 8, gradually moves away from or approaches the take-off and landing platform 11, and finally completes automatic take-off or landing on the take-off and landing platform 11; and when UAV 1 flies out of the ground After the station 8 controls the range D, the ground station 8 stops sending the ground station instruction δground station (t), and the steering gear adapter 4 converts the flight control instruction δflight control (t) of the flight control computer 3 into an n-way rudder The machine PWM pulse width modulation signal enables the UAV 1 to automatically switch to the control of the flight control computer 3, so that the ground station 8 can fully take over the control of the UAV 1 during the take-off/landing phase.

Claims (1)

Translated fromChinese
1.无人机起飞降落阶段的地面站全权接管控制系统,其特征在于,含有:无人机控制部和地面站控制部,其中:1. The ground station has full authority to take over the control system during the take-off and landing phase of the UAV, which is characterized in that it contains: the UAV control department and the ground station control department, wherein:无人机控制部,含有:机载传感器组、飞行控制计算机、舵机适配器、舵机组、下行数据链路发射机和上行数据链路接收机,其中:UAV control department, including: airborne sensor group, flight control computer, steering gear adapter, steering unit, downlink data link transmitter and uplink data link receiver, of which:机载传感器组,集成有:3轴角速率陀螺仪、3轴线加速度计、3轴磁力计、超声波高度计以及GPS接收机,以实时测量无人机的空间坐标、3轴角速度、3轴线加速度、3轴欧拉角和超声波相对高度,表示成飞行数据
Figure FSA00000514348100011
并发送给飞行控制计算机:The airborne sensor group is integrated with: 3-axis angular rate gyroscope, 3-axis accelerometer, 3-axis magnetometer, ultrasonic altimeter and GPS receiver to measure the drone's spatial coordinates, 3-axis angular velocity, 3-axis acceleration, 3-axis Euler angle and ultrasonic relative height, expressed as flight data
Figure FSA00000514348100011
and send to the flight control computer:γA=[xA(t),yA(t),zA(t)]T为无人机的空间坐标,γA =[xA (t), yA (t), zA (t)]T is the space coordinate of unmanned aerial vehicle,A=[pA(t),qA(t),rA(t)]T为无人机的3轴角速度,A =[pA (t), qA (t), rA (t)]T is the 3-axis angular velocity of the UAV,ΛA=[uA(t),vA(t),wA(t)]T为无人机的3轴线速度,ΛA =[uA (t), vA (t), wA (t)]T is the 3-axis speed of the UAV,ΞA=[φA(t),θA(t),ψA(t)]T为无人机的3轴欧拉角,ΞA =[φA (t), θA (t), ψA (t)]T is the 3-axis Euler angle of the drone,Δh为超声波相对高度;Δh is the relative height of ultrasonic waves;飞行控制计算机,设有:所述机载传感器组输出的飞行数据信号输入端、向下行数据链路发射机发送飞行数据ηA(t)的输出端,以及根据预先设定的飞行轨迹和飞行控制算法生成的飞控舵机指令δ飞控(t)=[δ飞控1(t),δ飞控2(t),L,δ飞控n(t)]T,n为舵机数,其中:The flight control computer is provided with: the input terminal of the flight data signal output by the onboard sensor group, the output terminal sending the flight data ηA (t) to the downlink data link transmitter, and according to the preset flight track and flight The flight control servo command generated by the control algorithm δflight control (t) = [δflight control 1 (t), δflight control 2 (t), L, δflight control n (t)]T , n is the number of steering gear ,in:期望的飞行轨迹表示为ΓC=[xC(t),yC(t),zC(t)]T,其中,xC(t),yC(t),zC(t)为设定的空间坐标,t=1,2,...,L,L为设定的飞行时间长度,单位为秒;The desired flight trajectory is expressed as ΓC =[xC (t), yC (t), zC (t)]T , where xC (t), yC (t), zC (t) are The set space coordinates, t=1, 2, ..., L, L is the set flight time length, and the unit is second;飞控指令δ飞控i(t)的表达式为:The expression of the flight control instruction δflight control i (t) is:
Figure FSA00000514348100012
Figure FSA00000514348100012
其中,
Figure FSA00000514348100013
Figure FSA00000514348100014
是飞行控制计算机的控制器参数,其中
Figure FSA00000514348100015
为比例系数,为积分系数,
Figure FSA00000514348100017
为微分系数,均为设定值;
in,
Figure FSA00000514348100013
and
Figure FSA00000514348100014
is the controller parameter of the flight control computer, where
Figure FSA00000514348100015
is the proportional coefficient, is the integral coefficient,
Figure FSA00000514348100017
is the differential coefficient, both are set values;
舵机适配器,由PIC单片机构成,设有:Steering gear adapter, composed of PIC microcontroller, features:舵机控制指令信号输入端,接收来自所述飞行控制计算机的飞控指令δ飞控(t)=[δ飞控1(t),δ飞控2(t),L,δ飞控n(t)]T,取值范围为[-100,100],i∈[1,n];Steering gear control instruction signal input end, receives flight control instruction δflight control (t)=[δflight control 1 (t), δflight control 2 (t), L, δflight control n ( t)]T , the value range is [-100, 100], i∈[1, n];地面站指令输入端,接收来自所述上行数据链路接收机的地面站指令δ地面站(t)=[δ地面站1(t),δ地面站2(t),L,δ地面站n(t)]T,取值范围为[-100,100],i∈[1,n];The ground station instruction input terminal receives the ground station instruction δground station (t)=[δground station 1 (t), δground station 2 (t), L, δground station n from the uplink data link receiver (t)]T , the value range is [-100, 100], i∈[1, n];所述飞控指令δ飞控(t)和地面站指令δ地面站(t)都采用RS232串行信号格式,其中飞控指令δ飞控(t)的帧头定义为DB9033,地面站指令δ地面站(t)的帧头定义为DB9053,并将地面站指令δ地面站(t)的优先级设定为高于飞控指令δ飞控(t)的优先级;Both the flight control instruction δflight control (t) and the ground station instruction δground station (t) adopt the RS232 serial signal format, wherein the frame header of the flight control instruction δflight control (t) is defined as DB9033, and the ground station instruction δ The frame header ofthe ground station (t) is defined as DB9053, and the priority of the ground station command δground station (t) is set to be higher than the priority of the flight control command δflight control (t);所述舵机适配器只把当前所收到优先级最高的指令信号转化为n路舵机PWM脉宽调制信号,用于控制舵机组的n路舵机根据当前最高优先级指令所对应的PWM脉宽调制信号进行偏转;所述舵机适配器通过检测所收到指令的帧头以识别飞控指令δ飞控(t)和地面站指令δ地面站(t);The steering gear adapter only converts the command signal with the highest priority currently received into an n-way steering gear PWM pulse width modulation signal, which is used to control the n-way steering gear of the steering unit according to the PWM pulse corresponding to the current highest priority command. The wide modulation signal is deflected; the steering gear adapter recognizes the flight control command δflight control (t) and the ground station command δground station (t) by detecting the frame header of the received command;下行数据链路发射机,设有飞行数据接收端,接收来自所述飞行控制计算机输出的飞行数据ηA(t),并随即向下行数据链路接收机发送飞行数据ηA(t);The downlink data link transmitter is provided with the flight data receiving end, receives the flight data ηA (t) output from the flight control computer, and then sends the flight data ηA (t) to the downlink data link receiver;地面站控制部,含有:地面站、下行数据链路接收机、上行数据链路发射机、起降平台和起降平台传感器组,其中:Ground station control department, including: ground station, downlink data link receiver, uplink data link transmitter, takeoff and landing platform and takeoff and landing platform sensor group, of which:起降平台,固定有地面站、起降平台传感器组、下行数据链路接收机和上行数据链路发射机,其中:The take-off and landing platform is fixed with a ground station, a sensor group of the take-off and landing platform, a downlink data link receiver and an uplink data link transmitter, wherein:起降平台传感器组,集成有所述3轴角速率陀螺仪、3轴线加速度计、3轴磁力计,以及GPS接收机,以实时测量起降平台的空间坐标、3轴角速度、3轴线加速度和3轴欧拉角,表示成起降平台的运动数据并发送给地面站:The landing platform sensor group is integrated with the 3-axis angular rate gyroscope, 3-axis accelerometer, 3-axis magnetometer, and GPS receiver to measure the space coordinates, 3-axis angular velocity, 3-axis acceleration and 3-axis Euler angle, expressed as the motion data of the take-off and landing platform and send to the ground station:γG=[xG(t),yG(t),zG(t)]T为起降平台的空间坐标,γG =[xG (t), yG (t), zG (t)]T is the spatial coordinate of the take-off and landing platform,G=[pG(t),qG(t),rG(t)]T为起降平台的3轴角速度,G =[pG (t), qG (t), rG (t)]T is the 3-axis angular velocity of the take-off and landing platform,ΛG=[uG(t),vG(t),wG(t)]T为起降平台的3轴线速度,ΛG =[uG (t), vG (t), wG (t)]T is the 3-axis velocity of the take-off and landing platform,ΞG=[φG(t),θG(t),ψG(t)]T为起降平台的3轴欧拉角;ΞG =[φG (t), θG (t), ψG (t)]T is the 3-axis Euler angle of the take-off and landing platform;h0为起降平台的相对高度,设定为0;h0 is the relative height of the landing platform, set to 0;地面站,是一台PC机,通过所述下行数据链路接收机接收来自无人机所述下行数据链路发射机发送的飞行数据ηA(t),并通过所述上行数据链路发射机向无人机发送地面站实时计算出的地面站指令δ地面站(t);The ground station is a PC, receives the flight data ηA (t) sent from the said downlink transmitter of the unmanned aerial vehicle through the downlink data link receiver, and transmits it through the uplink data link The machine sends the ground station command δground station (t) calculated by the ground station in real time to the UAV;在正常飞行状态下,由飞行控制计算机控制无人机的飞行,所述地面站通过对比无人机与起降平台的相对位置而判断无人机的飞行状态:In the normal flight state, the flight of the UAV is controlled by the flight control computer, and the ground station judges the flight state of the UAV by comparing the relative position of the UAV and the take-off and landing platform:
Figure FSA00000514348100031
Figure FSA00000514348100031
其中,D是预先设定的地面站控制范围:当无人机在D之外飞行时,认为是正常飞行状态;当无人机在D之内飞行时,认为是起飞/降落状态;D为设定值,取100米;Among them, D is the preset control range of the ground station: when the UAV is flying outside D, it is considered to be in the normal flight state; when the UAV is flying within D, it is considered to be in the take-off/landing state; D is Set value, take 100 meters;所述飞行控制计算机根据来自所述机载传感器组的飞行数据ηA(t),根据预设的飞行控制算法生成飞控指令δ飞控(t),并以帧头为DB9033的串行信号发送给所述舵机适配器;所述舵机适配器把所述飞控指令δ飞控(t)转化为n路舵机PWM脉宽调制信号,用于控制舵机组的n路舵机根据δ飞控(t)所对应的PWM脉宽调制信号进行偏转,以操纵无人机按照预定的飞行轨迹ΓC飞行;The flight control computer generates the flight control instruction δflight control (t) according to the flight control algorithm preset according to the flight data ηA (t) from the onboard sensor group, and uses the frame header as the serial signal of DB9033 Send to the steering gear adapter; the steering gear adapter converts the flight control instruction δflight control (t) into n-way steering gear PWM pulse width modulation signals, which are used to control the n-way steering gear of the steering group according toδ Control (t) the corresponding PWM pulse width modulation signal to deflect, to manipulate the UAV to fly according to the predetermined flight path ΓC ;在起飞/降落状态下,由地面站全权接管控制无人机的飞行,并由下式判断无人机当前状态是准备起飞或准备着陆:In the take-off/landing state, the ground station takes full control of the flight of the UAV, and judges whether the current state of the UAV is ready to take off or prepare to land by the following formula:
Figure FSA00000514348100032
Figure FSA00000514348100032
其中,当地面站检测到无人机在D之内飞行时,确认无人机进入起飞/降落状态;地面站通过预先设定的状态判断阈值d进一步判断飞行意图:当无人机进入起飞/降落状态时与起降平台距离大于d,则认为是准备着陆状态;反之,则认为是准备起飞状态;d为设定值,取10米;Among them, when the ground station detects that the UAV is flying within D, it confirms that the UAV enters the take-off/landing state; the ground station further judges the flight intention through the preset state judgment threshold d: when the UAV enters the take-off/landing state If the distance from the take-off and landing platform in the landing state is greater than d, it is considered to be in the ready-to-land state; otherwise, it is considered to be in the ready-to-take-off state; d is the set value, which is 10 meters;然后,所述地面站根据无人机的飞行数据ηA(t)和起降平台的运动数据ηG(t),以及当前的准备起飞或准备降落状态,实时计算出帧头为DB9053的地面站指令δ地面站(t),并通过上行数据链路发射机发送给无人机上的上行数据链路接收机;地面站指令δ地面站(t)的表达式为:Then, according to the flight data ηA (t) of the unmanned aerial vehicle and the motion data ηG (t) of the take-off and landing platform, and the current state of preparing to take off or preparing to land, the ground station calculates the ground whose frame header is DB9053 in real time. Station instruction δground station (t), and send to the uplink data link receiver on the UAV through the uplink data link transmitter; the expression of ground station instruction δground station (t) is:
Figure FSA00000514348100033
Figure FSA00000514348100033
其中,
Figure FSA00000514348100034
是地面站的控制器参数,其中
Figure FSA00000514348100036
为比例系数,
Figure FSA00000514348100037
为积分系数,
Figure FSA00000514348100038
为微分系数,均为设定值;
in,
Figure FSA00000514348100034
and is the controller parameter of the ground station, where
Figure FSA00000514348100036
is the proportional coefficient,
Figure FSA00000514348100037
is the integral coefficient,
Figure FSA00000514348100038
is the differential coefficient, both are set values;
所述上行数据链路接收机将收到的地面站指令δ地面站(t)发送给舵机适配器;由于地面站指令δ地面站(t)的优先级高于飞控指令δ飞控(t)的优先级,因此当舵机适配器检测到帧头为DB9053的地面站指令δ地面站(t)后,立即改为将地面站指令δ地面站(t)转化为n路舵机PWM脉宽调制信号,用于控制舵机组的n路舵机根据δ地面站(t)所对应的PWM脉宽调制信号进行偏转,故此时无人机的起飞或降落完全由地面站控制;无人机在地面站实时操纵下不断修正自身飞行状态,逐渐远离或靠近起降平台,最终完成在起降平台上自动起飞或降落;而当无人机飞出地面站控制范围D后,地面站停止发送地面站指令δ地面站(t),所述舵机适配器改为将飞行控制计算机的飞控指令δ飞控(t)转化为舵机组的n路舵机PWM脉宽调制信号,使无人机自动切换到飞行控制计算机的控制之下,从而实现地面站对无人机在起降/降落阶段全权接管控制。The uplink data link receiver sends the received ground station instruction δground station (t) to the steering gear adapter; since the priority of the ground station instruction δground station (t) is higher than the flight control instruction δflight control (t ) priority, so when the servo adapter detects the ground station command δgroundstation (t) whose frame header is DB9053, it immediately changes the ground station command δgroundstation (t) into n-way steering gear PWM pulse width The modulation signal is used to control the n-way steering gear of the steering unit to deflect according to the PWM pulse width modulation signal corresponding to the δground station (t), so the take-off or landing of the UAV is completely controlled by the ground station at this time; The ground station constantly corrects its own flight status under real-time control, gradually moves away from or approaches the takeoff and landing platform, and finally completes automatic takeoff or landing on the takeoff and landing platform; and when the UAV flies out of the control range D of the ground station, the ground station stops sending ground signals. Station instruction δground station (t), the steering gear adapter changes the flight control command δflight control (t) of the flight control computer into the n-way steering gear PWM pulse width modulation signal of the steering unit, so that the unmanned aerial vehicle automatically Switch to the control of the flight control computer, so that the ground station can fully take over the control of the UAV during the take-off/landing phase.
CN2011101550132A2011-06-102011-06-10System fully controlled and taken over by ground station during takeoff and landing stages of unmanned planePendingCN102298389A (en)

Priority Applications (1)

Application NumberPriority DateFiling DateTitle
CN2011101550132ACN102298389A (en)2011-06-102011-06-10System fully controlled and taken over by ground station during takeoff and landing stages of unmanned plane

Applications Claiming Priority (1)

Application NumberPriority DateFiling DateTitle
CN2011101550132ACN102298389A (en)2011-06-102011-06-10System fully controlled and taken over by ground station during takeoff and landing stages of unmanned plane

Publications (1)

Publication NumberPublication Date
CN102298389Atrue CN102298389A (en)2011-12-28

Family

ID=45358859

Family Applications (1)

Application NumberTitlePriority DateFiling Date
CN2011101550132APendingCN102298389A (en)2011-06-102011-06-10System fully controlled and taken over by ground station during takeoff and landing stages of unmanned plane

Country Status (1)

CountryLink
CN (1)CN102298389A (en)

Cited By (32)

* Cited by examiner, † Cited by third party
Publication numberPriority datePublication dateAssigneeTitle
CN102814047A (en)*2012-07-192012-12-12南京航空航天大学Autonomous return system and control method of dual-rotor remote-controlled model helicopter
CN104503467A (en)*2015-01-192015-04-08中国人民解放军国防科学技术大学Autonomous take-off and landing flight control system of unmanned aerial vehicle based on dual-core architecture
CN104584578A (en)*2012-03-022015-04-29莫戈公司 Real-time aircraft condition detection system and method
CN104656665A (en)*2015-03-062015-05-27云南电网有限责任公司电力科学研究院Novel general obstacle avoidance module for UAV (unmanned aerial vehicle) and steps
CN105182986A (en)*2015-08-102015-12-23北京零零无限科技有限公司Method of retrieving and releasing unmanned aerial vehicle in hand-held mode and apparatus thereof
CN105223965A (en)*2015-11-052016-01-06北京精航科技有限公司Unmanned plane voice activated control
CN105388911A (en)*2015-12-162016-03-09深圳市中航佳智能科技有限公司Unmanned aerial vehicle intelligent control take-off method
CN105446356A (en)*2015-12-172016-03-30小米科技有限责任公司Unmanned plane control method and unmanned plane control device
CN105518559A (en)*2014-12-152016-04-20深圳市大疆创新科技有限公司 Aircraft and its take-off control method and system, landing control method and system
CN105667826A (en)*2016-03-032016-06-15谭圆圆Control method and device for unmanned aerial vehicle
CN105843254A (en)*2016-04-292016-08-10乐视控股(北京)有限公司UAV flight control mode switching method and device and UAV
CN106054923A (en)*2016-07-042016-10-26苏州光之翼智能科技有限公司Asymmetric unmanned aerial vehicle clustering system
WO2016172962A1 (en)*2015-04-302016-11-03SZ DJI Technology Co., Ltd.System and method for landing a mobile platform via a magnetic field
CN106155070A (en)*2016-07-042016-11-23零度智控(北京)智能科技有限公司Unmanned plane takes off control method and device, remote terminal
CN106406350A (en)*2016-10-282017-02-15易瓦特科技股份公司Method and system for controlling unmanned aerial vehicle
CN106493106A (en)*2015-09-062017-03-15慧鸟科技发展(北京)有限公司A kind of aerial automatic operating system
CN106774321A (en)*2016-12-192017-05-31成都四威电子有限公司成都星石科技分公司Accessory system and householder method are taken off and landed to one kind
CN106875655A (en)*2017-03-212017-06-20广东容祺智能科技有限公司A kind of unmanned aerial vehicle data communication jamproof system and method
CN107533792A (en)*2015-03-022018-01-02瓦威亚无人机公司System for transmitting order and video flowing between remote control of machine and ground station in such as unmanned plane etc.
CN107943093A (en)*2014-12-152018-04-20深圳市大疆创新科技有限公司A kind of flying vehicles control method, apparatus and aircraft
CN108885464A (en)*2017-02-282018-11-23深圳市大疆创新科技有限公司The modified method in course line, equipment and unmanned plane
CN109557938A (en)*2018-12-262019-04-02西安天际航通科技有限公司A kind of system and method that large and medium-sized shipping fixed-wing unmanned plane strange land is landed
CN109871034A (en)*2019-03-252019-06-11苏州极目机器人科技有限公司Flight control method, device and unmanned vehicle
CN109947128A (en)*2019-03-132019-06-28歌尔股份有限公司Unmanned aerial vehicle (UAV) control method, unmanned aerial vehicle (UAV) control device, unmanned plane and system
CN110209195A (en)*2019-06-132019-09-06浙江海洋大学The tele-control system and control method of marine unmanned plane
CN110687928A (en)*2019-09-092020-01-14苏州臻迪智能科技有限公司Landing control method, system, unmanned aerial vehicle and storage medium
CN111240348A (en)*2020-01-222020-06-05西安爱生无人机技术有限公司Unmanned aerial vehicle landing control method based on motion base, computer readable storage medium and control equipment
CN111240359A (en)*2020-01-172020-06-05广东汇卓航科技有限公司Remote take-off and landing and double-remote control switching control system for unmanned aerial vehicle
CN111766896A (en)*2020-07-102020-10-13珠海紫燕无人飞行器有限公司 A kind of unmanned aerial vehicle control method and system based on moving base
CN113160615A (en)*2021-03-032021-07-23上海凌苇智能科技合伙企业(有限合伙)Method and system for realizing safety detection before takeoff of unmanned aerial vehicle based on AR technology
CN115167500A (en)*2022-05-192022-10-11北京远度互联科技有限公司Unmanned aerial vehicle flight control method, device and system and readable storage medium
CN119200492A (en)*2024-11-292024-12-27江苏讯汇科技股份有限公司 Android-based intelligent machine nest control method, device and medium

Cited By (42)

* Cited by examiner, † Cited by third party
Publication numberPriority datePublication dateAssigneeTitle
CN104584578A (en)*2012-03-022015-04-29莫戈公司 Real-time aircraft condition detection system and method
CN102814047A (en)*2012-07-192012-12-12南京航空航天大学Autonomous return system and control method of dual-rotor remote-controlled model helicopter
US10793258B2 (en)2014-12-152020-10-06SZ DJI Technology Co., Ltd.Aircraft, takeoff control method and system, and landing control method and system
CN107943093A (en)*2014-12-152018-04-20深圳市大疆创新科技有限公司A kind of flying vehicles control method, apparatus and aircraft
US11511857B2 (en)2014-12-152022-11-29SZ DJI Technology Co., Ltd.Aerial vehicle control method and aerial vehicle
US11975818B2 (en)2014-12-152024-05-07SZ DJI Technology Co., Ltd.Aircraft, takeoff control method and system, and landing control method and system
CN105518559A (en)*2014-12-152016-04-20深圳市大疆创新科技有限公司 Aircraft and its take-off control method and system, landing control method and system
CN104503467A (en)*2015-01-192015-04-08中国人民解放军国防科学技术大学Autonomous take-off and landing flight control system of unmanned aerial vehicle based on dual-core architecture
CN107533792A (en)*2015-03-022018-01-02瓦威亚无人机公司System for transmitting order and video flowing between remote control of machine and ground station in such as unmanned plane etc.
CN104656665A (en)*2015-03-062015-05-27云南电网有限责任公司电力科学研究院Novel general obstacle avoidance module for UAV (unmanned aerial vehicle) and steps
CN104656665B (en)*2015-03-062017-07-28云南电网有限责任公司电力科学研究院A kind of general avoidance module of new unmanned plane and step
US10509416B2 (en)2015-04-302019-12-17SZ DJI Technology Co., Ltd.System and method for landing a mobile platform via a magnetic field
WO2016172962A1 (en)*2015-04-302016-11-03SZ DJI Technology Co., Ltd.System and method for landing a mobile platform via a magnetic field
US11378982B2 (en)2015-04-302022-07-05SZ DJI Technology Co., Ltd.System and method for landing a mobile platform via a magnetic field
CN105182986A (en)*2015-08-102015-12-23北京零零无限科技有限公司Method of retrieving and releasing unmanned aerial vehicle in hand-held mode and apparatus thereof
CN106493106A (en)*2015-09-062017-03-15慧鸟科技发展(北京)有限公司A kind of aerial automatic operating system
CN105223965A (en)*2015-11-052016-01-06北京精航科技有限公司Unmanned plane voice activated control
CN105388911A (en)*2015-12-162016-03-09深圳市中航佳智能科技有限公司Unmanned aerial vehicle intelligent control take-off method
CN105446356A (en)*2015-12-172016-03-30小米科技有限责任公司Unmanned plane control method and unmanned plane control device
CN105667826A (en)*2016-03-032016-06-15谭圆圆Control method and device for unmanned aerial vehicle
CN105843254A (en)*2016-04-292016-08-10乐视控股(北京)有限公司UAV flight control mode switching method and device and UAV
CN106054923A (en)*2016-07-042016-10-26苏州光之翼智能科技有限公司Asymmetric unmanned aerial vehicle clustering system
CN106155070B (en)*2016-07-042024-04-30零度智控(北京)智能科技有限公司Unmanned plane take-off control method and device and remote control terminal
CN106155070A (en)*2016-07-042016-11-23零度智控(北京)智能科技有限公司Unmanned plane takes off control method and device, remote terminal
CN106406350A (en)*2016-10-282017-02-15易瓦特科技股份公司Method and system for controlling unmanned aerial vehicle
CN106774321A (en)*2016-12-192017-05-31成都四威电子有限公司成都星石科技分公司Accessory system and householder method are taken off and landed to one kind
CN108885464A (en)*2017-02-282018-11-23深圳市大疆创新科技有限公司The modified method in course line, equipment and unmanned plane
CN106875655A (en)*2017-03-212017-06-20广东容祺智能科技有限公司A kind of unmanned aerial vehicle data communication jamproof system and method
CN109557938A (en)*2018-12-262019-04-02西安天际航通科技有限公司A kind of system and method that large and medium-sized shipping fixed-wing unmanned plane strange land is landed
CN109947128A (en)*2019-03-132019-06-28歌尔股份有限公司Unmanned aerial vehicle (UAV) control method, unmanned aerial vehicle (UAV) control device, unmanned plane and system
CN109947128B (en)*2019-03-132020-05-15歌尔股份有限公司Unmanned aerial vehicle control method, unmanned aerial vehicle control device, unmanned aerial vehicle and system
US11573576B2 (en)2019-03-132023-02-07Goertek Inc.Method for controlling a drone, drone and system
CN109871034A (en)*2019-03-252019-06-11苏州极目机器人科技有限公司Flight control method, device and unmanned vehicle
CN110209195A (en)*2019-06-132019-09-06浙江海洋大学The tele-control system and control method of marine unmanned plane
CN110687928A (en)*2019-09-092020-01-14苏州臻迪智能科技有限公司Landing control method, system, unmanned aerial vehicle and storage medium
CN111240359A (en)*2020-01-172020-06-05广东汇卓航科技有限公司Remote take-off and landing and double-remote control switching control system for unmanned aerial vehicle
CN111240348A (en)*2020-01-222020-06-05西安爱生无人机技术有限公司Unmanned aerial vehicle landing control method based on motion base, computer readable storage medium and control equipment
CN111766896B (en)*2020-07-102023-12-29珠海紫燕无人飞行器有限公司Unmanned aerial vehicle control method and system based on movable base
CN111766896A (en)*2020-07-102020-10-13珠海紫燕无人飞行器有限公司 A kind of unmanned aerial vehicle control method and system based on moving base
CN113160615A (en)*2021-03-032021-07-23上海凌苇智能科技合伙企业(有限合伙)Method and system for realizing safety detection before takeoff of unmanned aerial vehicle based on AR technology
CN115167500A (en)*2022-05-192022-10-11北京远度互联科技有限公司Unmanned aerial vehicle flight control method, device and system and readable storage medium
CN119200492A (en)*2024-11-292024-12-27江苏讯汇科技股份有限公司 Android-based intelligent machine nest control method, device and medium

Similar Documents

PublicationPublication DateTitle
CN102298389A (en)System fully controlled and taken over by ground station during takeoff and landing stages of unmanned plane
EP3562422B1 (en)Electrical system for unmanned aerial vehicles
CN104656664B (en)Vehicle-mounted many rotor unmanned helicopter approaching and landing system control systems and guiding control method
CN105389988B (en)A kind of express highway intelligent cruising inspection system of multiple no-manned plane collaboration
CN104820429B (en)Unmanned aerial vehicle obstacle avoidance system based on ultrasonic distance detection and control method thereof
CN111766896B (en)Unmanned aerial vehicle control method and system based on movable base
Bai et al.Robust control of quadrotor unmanned air vehicles
CN106647810B (en) An automatic collision avoidance method for unmanned aerial vehicles based on negative proportional guidance
CN106647790A (en)Four-rotor unmanned aerial vehicle aircraft system oriented to complex environment and flying method
CN104991565B (en)The autonomous assigned spot recovery method of parachuting fixed-wing unmanned plane
CN105259908A (en)Radar guide unmanned plane automatic carrier landing guide and control system, and control method therefor
CN101893892B (en)Control method for automatic parachute landing recovery of unmanned aerial vehicle
Mahboubi et al.Camera based localization for autonomous UAV formation flight
CN103941742A (en)Unmanned aerial vehicle ground sliding deviation rectification control device and method
CN203825466U (en)Airborne-sensor-based small-sized four rotor aircraft control system
CN111684384A (en) A kind of UAV flight control method, equipment and UAV
CN104714556A (en)Intelligent course control method for unmanned plane
WO2014209220A1 (en)An unmanned aerial vehicle and a method for landing the same
CN110155350B (en)Control method of unmanned aerial vehicle landing device
WO2018032430A1 (en)Intelligent unmanned aerial vehicle system
CN106354148B (en)A kind of UAV Flight Control method and apparatus
Mejias et al.Controlled emergency landing of an unpowered unmanned aerial system
JP5166349B2 (en) Fixed wing aircraft, fixed wing aircraft system, and fixed wing aircraft landing method
CN114721411A (en)Unmanned aerial vehicle rope collision recovery track control method and control system
US11659322B1 (en)Audio based aircraft detection

Legal Events

DateCodeTitleDescription
C06Publication
PB01Publication
C10Entry into substantive examination
SE01Entry into force of request for substantive examination
C02Deemed withdrawal of patent application after publication (patent law 2001)
WD01Invention patent application deemed withdrawn after publication

Application publication date:20111228


[8]ページ先頭

©2009-2025 Movatter.jp