Movatterモバイル変換


[0]ホーム

URL:


CN102094631A - Method for positioning underground sleeve by measuring gradient of geomagnetic field - Google Patents

Method for positioning underground sleeve by measuring gradient of geomagnetic field
Download PDF

Info

Publication number
CN102094631A
CN102094631ACN2011100367407ACN201110036740ACN102094631ACN 102094631 ACN102094631 ACN 102094631ACN 2011100367407 ACN2011100367407 ACN 2011100367407ACN 201110036740 ACN201110036740 ACN 201110036740ACN 102094631 ACN102094631 ACN 102094631A
Authority
CN
China
Prior art keywords
magnetic field
sleeve
measuring
sleeve pipe
gradient
Prior art date
Legal status (The legal status is an assumption and is not a legal conclusion. Google has not performed a legal analysis and makes no representation as to the accuracy of the status listed.)
Pending
Application number
CN2011100367407A
Other languages
Chinese (zh)
Inventor
冯建宇
张耀辉
Current Assignee (The listed assignees may be inaccurate. Google has not performed a legal analysis and makes no representation or warranty as to the accuracy of the list.)
BEIJING LIUHE GREATNESS TECHNOLOGY CO LTD
Original Assignee
BEIJING LIUHE GREATNESS TECHNOLOGY CO LTD
Priority date (The priority date is an assumption and is not a legal conclusion. Google has not performed a legal analysis and makes no representation as to the accuracy of the date listed.)
Filing date
Publication date
Application filed by BEIJING LIUHE GREATNESS TECHNOLOGY CO LTDfiledCriticalBEIJING LIUHE GREATNESS TECHNOLOGY CO LTD
Priority to CN2011100367407ApriorityCriticalpatent/CN102094631A/en
Publication of CN102094631ApublicationCriticalpatent/CN102094631A/en
Pendinglegal-statusCriticalCurrent

Links

Images

Landscapes

Abstract

The invention discloses a method for positioning an underground sleeve by measuring the gradient of a geomagnetic field. The direction and distance of the sleeve are accurately positioned by measuring the gradient of the geomagnetic field around a ferromagnetic drilling sleeve. A three-axis magnetic field meter of a magnetic field measuring instrument can measure the vectors of the geomagnetic field, which comprise magnetic field intensity and direction; and the measuring accuracy of the magnetic field intensity is not less than 1uT. The measuring instrument acquires underground attitude data, is taken out and is connected with ground software; the software constructs a nonlinear equation set of geomagnetic field gradient change through the acquired magnetic field intensity of n known points; and a position at which the sleeve is lost can be calculated by an optimization algorithm. By the method, the lost sleeve can be accurately positioned, so that a broken well on a shallow layer can be repaired; and the method is simple, is easy to operate, and has considerable economic benefit.

Description

A kind of by measuring the method for gradient location, earth's magnetic field down-hole casing
Technical field
The present invention relates to drilling engineering deviational survey fields such as oil, directed tunnel and geological prospecting, relate in particular to a kind of method that in workover treatment, is used for determining the sleeve pipe lost owing to crustal movement.
Background technology
Daqing oil field gets out first mouthful of oil well from nineteen fifty-nine in high estrade oil field to begin, and is the oil district of China's maximum till now always, has produced crude oil since 1976 per year always more than 5,000 ten thousand tons.These years the exploitation of underground oil is made the disorder of grand celebration subsurface pressure, crustal movement is active.Daqing oil field has thousands of mouthfuls of oil well casings to be extruded distortion even fracture, makes and can't continue recover petroleum.Some fracture location can be proceeded exploitation near the well on the face of land by repairing, and saves a large amount of manpower and materials than new well-digging, is very necessary so find the sleeve pipe reparation of losing.Do not have effective method that the sleeve pipe of losing is positioned in the industry at present, make that the oil well of fracture can't effectively be handled.It is that magnetic field is not directly perceived that the problem that sleeve pipe mainly exists is lost in the down-hole, location, and how the earth's magnetic field around the sleeve pipe specifically changes can't quantitative description, experimental results show that Changing Pattern difference in different directions, also is non-linear even change on the same direction.The earth's magnetic field of different regions is variant, even areal changes in time, the earth's magnetic field all can change.In addition, because hardware reason, different sensors records data and may there are differences in identical magnetic field.
Summary of the invention
In order to solve the problem that can't position the sleeve pipe of losing in the existing drilling well industry, the invention provides a kind of method of losing sleeve pipe that is used to locate, can accurately navigate to the sleeve pipe of fracture by this method, save cost.
The present invention solves the scheme that its technical problem adopts: by measuring ferromagnetism well casing field gradients peripherally, the accurately direction and the distance at locating sleeve place.The three-axle magnetic field meter of magnetic-field measurement instrument is the vector that can measure the earth's magnetic field, comprises magnetic field intensity and direction, and the magnetic field intensity accuracy of measurement is not less than 1uT.By attitude data under the measuring apparatus production wells, take out instrument and be connected with software on ground, software passes through the magnetic field intensity at n the known point place of being gathered, and is configured to the Nonlinear System of Equations of an earth's magnetic field change of gradient.Can calculate the position (X that loses sleeve pipe through optimization algorithm0, Y0, Z0) and attitude (β is the angle on dipole moment and the z axle positive direction for Φ, β) parameter; Φ is the projection of dipole moment on XOY plane and the angle of X-axis positive direction.Main performing step:
(1) instrument of magnetic-field measurement is put into the down-hole, treat to gather magnetic field data behind the instrument stabilizer;
(2) instrument is taken out from the down-hole, be connected with ground processing software and read magnetic field data group A;
(3) actual measurement magnetic field strength date group A, shell material property calculation go out direction and the distance of sleeve pipe with respect to survey mark near the geomagnetic field intensity of ground processing software by known local position, the sleeve pipe.
The invention has the beneficial effects as follows and can accurately locate the sleeve pipe of losing, the disconnected well of reparation shallow-layer is become a reality, and method is simple, and is easy to operate, and economic benefit is considerable.
Description of drawings
The present invention is further described below in conjunction with drawings and Examples.
Fig. 1 is the flow chart of localization method of the present invention.
Fig. 2 is the magnetic-field measurement instrument structure chart that the present invention uses.
Among Fig. 2,1. upper binding head, 2. damper, 3. three-axle magnetic field meter, 4. orientation lever.
The specific embodiment
Fig. 1 is the flow chart of localization method of the present invention, and ground processing software at first realizes the preliminary treatment to initial data, and the constitution optimization object function, uses optimization algorithm to solve optimal solution then.Concrete implementation step is as follows:
1. image data preliminary treatment:
The image data preliminary treatment comprises: interference, the sensor orthogonality that suppresses the earth's magnetic field proofreaied and correct, regional initial alignment.
(1) suppressing the earth's magnetic field disturbs
By magnetic mark Positioning Principle as can be known, calculate position and the attitude parameter of losing sleeve pipe, just must measure the magnetic field intensity in magnetic field that sleeve pipe produces, and in the environment of no magnetic screen actual measurement to the magnetic field that produces except the target permanent magnet also comprise environmental magnetic field, environmental magnetic field is made up of earth's magnetic field and other electromagnetic interference, and wherein the earth's magnetic field is a Main Ingredients and Appearance.Therefore need to eliminate earlier the interference in earth's magnetic field in location Calculation, the magnetic induction intensity that the sleeve pipe that will lose from measured value produces is separated.
Because static collection value has comprised the information of environmental magnetic field, under approximate situation, the dynamic acquisition value has also comprised the information of environmental magnetic field except the space magnetic field information that comprises the sleeve pipe of losing, therefore the difference of the two has suppressed the interference in earth's magnetic field basically, subtract each other by the average of several groups of dynamic acquisition values and the average of static collection value in this software, its difference is to have removed the Magnetic Field collection value of losing sleeve pipe that disturb in the earth's magnetic field.
(2) revise sensor orthogonality error
Because the three-axis sensor module is a home built, can not guarantee the desirable quadrature of 3 axial magnetic sensors in the manufacturing process, therefore need carry out the quadrature correction to each sensor assembly.If global space rectangular coordinate system o-xyz, the sensor of three directions of a number axial magnetic sensor module be oriented to ox ', oy ', oz '.
If ox ', oy ', the angle of oz ' and oz axle is respectively θ x, θ y, θ z, its in the plane projection and the angle of ox axle be respectively φ x, φ y, φ z.The measured value of 3 axle sensor modules then
Figure 551861DEST_PATH_IMAGE001
,,
Figure 124105DEST_PATH_IMAGE003
3 component B with magnetic field intensity under the global coordinate systemx, By, BzFollowing relation is arranged:
Figure 955532DEST_PATH_IMAGE004
Figure 645271DEST_PATH_IMAGE005
Figure 405416DEST_PATH_IMAGE006
Ground processing software is revised sensor orthogonality error correction by above-mentioned formula.
(3) zone location
Because what localization method adopted is the nonlinear optimization algorithm, if the initial value of substitution algorithm is more near result of calculation, the spent time of location algorithm will be reduced, improve the efficient of location algorithm, therefore carry out simple zone location by the collection value after handled early stage, can obtain one and approach pinpoint zone position information.Down-hole magnetic field gradient array is used the place, 9 summits of nine palace lattice | B|'s and as discriminant function, just can determine that losing the projection of sleeve pipe on magnetic field gradient plane, down-hole is to drop on | B| with maximum one nine palace lattice in.
2. realize based on the software of non-linear least square localization method.
The nonlinear least square method formula:
Figure 245251DEST_PATH_IMAGE008
This method is that the quadratic sum minimum with error is a kind of method for parameter estimation that criterion is estimated the nonlinear Static model parameter.If the model of nonlinear system is
Figure 789496DEST_PATH_IMAGE009
, y is system's output in the formula, x is input,
Figure 219078DEST_PATH_IMAGE010
θ is a parameter, the non-linear nonlinear model that is meant parameter θ here.The form f of model is known when estimated parameter, obtains data (x through N experiment1, y1), (x2, y2) ..., (xn, yn).The criterion of estimated parameter (or being called object function) is elected the error sum of squares of model as.Nonlinear least square method is exactly to ask the estimates of parameters that Q is reached capacity to become.Because f's is non-linear, need to adopt complicated optimization algorithm to find the solution, adopt searching algorithm, select the several parameters value by certain rule, the object function that calculates them respectively reaches minimum parameter value.So proceed, till can not selecting better parameter.
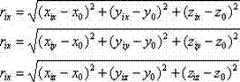
Because what localization method adopted is the nonlinear optimization algorithm, this algorithm is design alteration with each parameter to be estimated, with the error function relevant with design variable as object function, in the design formulas of error function in the location algorithm shown in 4.3.F in the formulaIx, FIy, FIzRepresent the x axle of i sensor, y axle, the error function value that the z axle calculates.xIx, yIx,zIxRepresent 3 coordinates of the x axle sensor of i sensor assembly, xIy, yIy,zIyRepresent 3 coordinates of the y axle sensor of i sensor assembly, by that analogy.What wherein coordinate figure needed the reference sensor origin of coordinates is provided with the table and the deviant of sensor coordinates initial point, its numerical value be three of each sensor assemblies initial point and each sensor with respect to the vector of this side-play amount with.
Wherein
Figure 911091DEST_PATH_IMAGE012
Figure 585786DEST_PATH_IMAGE013
Be respectively respective shaft to sensor to the distance of losing sleeve pipe.
In Fig. 2, the magnetic-field measurement instrument structure chart that the present invention uses adopts screwed connection to form by upper binding head (1), damper (2), three-axle magnetic field meter (3), orientation lever (4), and wherein the high corner of orientation lever (5) is consistent with three-axle magnetic field meter (3) tool face azimuth.Damper (2) provides protection for three-axle magnetic field meter (3), avoids it to be subjected to vibration and causes damaging.Orientation lever (5) is used for determining the tool-face zero angle of instrument of the present invention.
More than the embodiment of the inventive method and system is described in detail, and set forth concrete operation method, whole flow chart as shown in Figure 2.Owing to there are differences in different earth's magnetic fields, region,, even all there are differences on the same day in evening in the morning even in same local Various Seasonal.Directly to check in the reference table workload in orientation by downhole data huge so make, and be difficult to realize.Through a large amount of experiment this method is the most practical, the method that is easy to realize.The method is suitable for the location of shallow faults sleeve pipe in addition, if fracture place is too dark, the magnetic field of fracture place and the magnetic field on ground differ greatly, and is difficult to realize the scene reproduction.For one of ordinary skill in the art, according to the thought of the inventive method, the part that all can change in specific embodiments and applications, in sum, this description should not be construed as the restriction that invention is used to this method.

Claims (2)

1. one kind is passed through to measure the method that the earth's magnetic field gradient is located down-hole casing, it is characterized in that: by measuring ferromagnetism well casing field gradients peripherally, the direction and the distance at accurate locating sleeve place, mainly performing step:
(1) instrument of magnetic-field measurement is put into the down-hole, treat to gather magnetic field data behind the instrument stabilizer;
(2) instrument is taken out from the down-hole, be connected with ground processing software and read magnetic field data group A;
(3) actual measurement magnetic field strength date group A, shell material property calculation go out direction and the distance of sleeve pipe with respect to survey mark near the geomagnetic field intensity of ground processing software by known local position, the sleeve pipe.
2. described a kind of by measuring the method that sleeve pipe is lost in down-hole, gradient location, earth's magnetic field according to claim 1, it is characterized in that: the three-axle magnetic field meter of magnetic-field measurement instrument can be measured the vector in earth's magnetic field, comprise magnetic field intensity and direction, the magnetic field intensity accuracy of measurement is not less than 1uT.
CN2011100367407A2011-02-122011-02-12Method for positioning underground sleeve by measuring gradient of geomagnetic fieldPendingCN102094631A (en)

Priority Applications (1)

Application NumberPriority DateFiling DateTitle
CN2011100367407ACN102094631A (en)2011-02-122011-02-12Method for positioning underground sleeve by measuring gradient of geomagnetic field

Applications Claiming Priority (1)

Application NumberPriority DateFiling DateTitle
CN2011100367407ACN102094631A (en)2011-02-122011-02-12Method for positioning underground sleeve by measuring gradient of geomagnetic field

Publications (1)

Publication NumberPublication Date
CN102094631Atrue CN102094631A (en)2011-06-15

Family

ID=44127879

Family Applications (1)

Application NumberTitlePriority DateFiling Date
CN2011100367407APendingCN102094631A (en)2011-02-122011-02-12Method for positioning underground sleeve by measuring gradient of geomagnetic field

Country Status (1)

CountryLink
CN (1)CN102094631A (en)

Cited By (9)

* Cited by examiner, † Cited by third party
Publication numberPriority datePublication dateAssigneeTitle
CN102622636A (en)*2012-02-212012-08-01大连理工大学Magnetic label and method for monitoring and positioning
CN102621583A (en)*2012-03-282012-08-01中色地科矿产勘查股份有限公司Orienting and positioning method of three-component gradient measurement of magnetic fields inside wells for magnetic ores outside wells
CN102787838A (en)*2012-08-032012-11-21清华大学Improved SAGD (steam assisted gravity drainage) algorithm based on Kalman filtering
CN104179490A (en)*2014-08-062014-12-03中国石油集团渤海钻探工程有限公司In-well proofreading method for horizontal well communicating equipment
CN105829648A (en)*2013-10-242016-08-03普拉德研究及开发股份有限公司Magnetic gradient and curvature based ranging method
CN113587802A (en)*2020-04-302021-11-02中国石油化工股份有限公司Method and device for identifying deformation type of underground casing
CN114856550A (en)*2022-05-112022-08-05西南石油大学Device and method for accurately positioning petroleum casing pipe based on geomagnetic anomaly marker
WO2022206551A1 (en)*2021-03-312022-10-06华为技术有限公司Method, system and apparatus for positioning and guiding
CN118442915A (en)*2024-05-102024-08-06西京学院Oil-water well casing deformation detection method and system

Citations (5)

* Cited by examiner, † Cited by third party
Publication numberPriority datePublication dateAssigneeTitle
JPH10318748A (en)*1997-03-191998-12-04Kokusai Denshin Denwa Co Ltd <Kdd> Position measuring method and device
US20040239329A1 (en)*2003-05-292004-12-02Eldad Haber[Determination of Borehole Geometry inside Cased Wells with Crosswell Electromagnetics]
CN101361660A (en)*2008-05-162009-02-11深圳先进技术研究院 A positioning method and positioning system for multiple magnetic targets
CN101476860A (en)*2009-01-222009-07-08中国科学院电工研究所Magnetic positioning method and device in high background magnetic field
US20110018542A1 (en)*2005-11-042011-01-27Brian ClarkMethod and apparatus for locating well casings from an adjacent wellbore

Patent Citations (5)

* Cited by examiner, † Cited by third party
Publication numberPriority datePublication dateAssigneeTitle
JPH10318748A (en)*1997-03-191998-12-04Kokusai Denshin Denwa Co Ltd <Kdd> Position measuring method and device
US20040239329A1 (en)*2003-05-292004-12-02Eldad Haber[Determination of Borehole Geometry inside Cased Wells with Crosswell Electromagnetics]
US20110018542A1 (en)*2005-11-042011-01-27Brian ClarkMethod and apparatus for locating well casings from an adjacent wellbore
CN101361660A (en)*2008-05-162009-02-11深圳先进技术研究院 A positioning method and positioning system for multiple magnetic targets
CN101476860A (en)*2009-01-222009-07-08中国科学院电工研究所Magnetic positioning method and device in high background magnetic field

Cited By (13)

* Cited by examiner, † Cited by third party
Publication numberPriority datePublication dateAssigneeTitle
CN102622636A (en)*2012-02-212012-08-01大连理工大学Magnetic label and method for monitoring and positioning
CN102621583A (en)*2012-03-282012-08-01中色地科矿产勘查股份有限公司Orienting and positioning method of three-component gradient measurement of magnetic fields inside wells for magnetic ores outside wells
CN102621583B (en)*2012-03-282016-05-04中色地科矿产勘查股份有限公司The method of three-component gradiometry in magnetic field to the outer magnetic orientation of well, location in well
CN102787838A (en)*2012-08-032012-11-21清华大学Improved SAGD (steam assisted gravity drainage) algorithm based on Kalman filtering
CN102787838B (en)*2012-08-032015-02-18清华大学Improved SAGD (steam assisted gravity drainage) algorithm based on Kalman filtering
CN105829648A (en)*2013-10-242016-08-03普拉德研究及开发股份有限公司Magnetic gradient and curvature based ranging method
CN104179490A (en)*2014-08-062014-12-03中国石油集团渤海钻探工程有限公司In-well proofreading method for horizontal well communicating equipment
CN113587802A (en)*2020-04-302021-11-02中国石油化工股份有限公司Method and device for identifying deformation type of underground casing
CN113587802B (en)*2020-04-302023-08-25中国石油化工股份有限公司Underground casing deformation type identification method and device
WO2022206551A1 (en)*2021-03-312022-10-06华为技术有限公司Method, system and apparatus for positioning and guiding
CN114856550A (en)*2022-05-112022-08-05西南石油大学Device and method for accurately positioning petroleum casing pipe based on geomagnetic anomaly marker
CN114856550B (en)*2022-05-112023-04-04西南石油大学Device and method for accurately positioning petroleum casing pipe based on geomagnetic anomaly marker
CN118442915A (en)*2024-05-102024-08-06西京学院Oil-water well casing deformation detection method and system

Similar Documents

PublicationPublication DateTitle
CN102094631A (en)Method for positioning underground sleeve by measuring gradient of geomagnetic field
CN106767671B (en)Geologic structure face occurrence calculation method based on three-dimensional electronic compass
Buchanan et al.Geomagnetic referencing—the real-time compass for directional drillers
CN104199090B (en)A kind of rate pattern of ground monitoring microseism positioning builds and method for solving
Xiong et al.Aeromagnetic data and geological structure of continental China: A review
CN103983236B (en) Orientation method of core fracture in inclined well
CN102536206B (en)Method for drilling azimuth measurement based on magnetic inclinometer in magnetic casing
CN108333551A (en)A kind of bearing calibration of magnetometer
Feng et al.3D numerical simulation of heterogeneous in situ stress field in low-permeability reservoirs
CA2752618A1 (en)Multi-station analysis of magnetic surveys
Kabirzadeh et al.Dynamic error analysis of measurement while drilling using variable geomagnetic in-field referencing
CN110361795A (en)The exploitation method of the oil-gas reservoir controlled by Strike-slip faulted
Xu et al.Simulation Analysis of Magnetic Gradient Full‐Tensor Measurement System
Cella et al.Characterizing elements of urban planning in Magna Graecia using geophysical techniques: the case of Tirena (Southern Italy)
Esmersoy et al.A new, fully integrated method for seismic geohazard prediction ahead of the bit while drilling
Maus et al.Enhanced Wellbore Placement Accuracy Using Geomagnetic In-Field Referencing and Multi-Station Correction
CN114417488B (en)Railway deep-buried soft rock large-deformation tunnel ground stress field inversion method
CN109707375B (en) A method for identifying underground magnetosphere information through downhole magnetic gradient tensor data
Esmersoy et al.Guiding drilling by look ahead using seismic and LWD data
CN108227037B (en)A kind of difference magnetic compensation method reducing the interference of three-component geomagnetic survey system carrier
US9354340B2 (en)Strike and dip tooltip for seismic sections
Zhou et al.Accurate prediction of attitude angles in the measurement while drilling system through backpropagation neural networks
CN109752767A (en) A method for identifying the geophysical field source boundary of hydrothermal uranium deposits
Kabirzadeh et al.Variable In-Field Geomagnetic Referencing for Improved Wellbore Positioning in Directional Drilling
Al-HalalBlue print of local talent acquisition, development and retention

Legal Events

DateCodeTitleDescription
C06Publication
PB01Publication
C10Entry into substantive examination
SE01Entry into force of request for substantive examination
C53Correction of patent of invention or patent application
CB02Change of applicant information

Address after:100070 Beijing, Fengtai District, South Fourth Ring Road West, No. 12, building 188, floor 39

Applicant after:Beijing Liuhe Greatness Technology Co., Ltd.

Address before:100070 Beijing, Fengtai District, South Fourth Ring Road West, No. 12, building 188, floor 39

Applicant before:Beijing Liuhe Greatness Technology Co.,Ltd.

CORChange of bibliographic data

Free format text:CORRECT: APPLICANT; FROM: BEIJIN LIUHE GREATNESS TECHNOLOGY CO., LTD. TO: BEIJING LIUHE GREATNESS TECHNOLOGY CO., LTD.

C02Deemed withdrawal of patent application after publication (patent law 2001)
WD01Invention patent application deemed withdrawn after publication

Application publication date:20110615


[8]ページ先頭

©2009-2025 Movatter.jp