Movatterモバイル変換


[0]ホーム

URL:


CN102062005A - Method for calculating air intake flow and air intake pressure of engine - Google Patents

Method for calculating air intake flow and air intake pressure of engine
Download PDF

Info

Publication number
CN102062005A
CN102062005ACN2010106161691ACN201010616169ACN102062005ACN 102062005 ACN102062005 ACN 102062005ACN 2010106161691 ACN2010106161691 ACN 2010106161691ACN 201010616169 ACN201010616169 ACN 201010616169ACN 102062005 ACN102062005 ACN 102062005A
Authority
CN
China
Prior art keywords
pressure
air
engine
intake
mrow
Prior art date
Legal status (The legal status is an assumption and is not a legal conclusion. Google has not performed a legal analysis and makes no representation as to the accuracy of the status listed.)
Granted
Application number
CN2010106161691A
Other languages
Chinese (zh)
Other versions
CN102062005B (en
Inventor
王国君
Current Assignee (The listed assignees may be inaccurate. Google has not performed a legal analysis and makes no representation or warranty as to the accuracy of the list.)
Tianjin Troitec Automotive Electronics Co Ltd
Original Assignee
Tianjin Troitec Automotive Electronics Co Ltd
Priority date (The priority date is an assumption and is not a legal conclusion. Google has not performed a legal analysis and makes no representation as to the accuracy of the date listed.)
Filing date
Publication date
Application filed by Tianjin Troitec Automotive Electronics Co LtdfiledCriticalTianjin Troitec Automotive Electronics Co Ltd
Priority to CN201010616169.1ApriorityCriticalpatent/CN102062005B/en
Publication of CN102062005ApublicationCriticalpatent/CN102062005A/en
Application grantedgrantedCritical
Publication of CN102062005BpublicationCriticalpatent/CN102062005B/en
Expired - Fee Relatedlegal-statusCriticalCurrent
Anticipated expirationlegal-statusCritical

Links

Landscapes

Abstract

The invention discloses a method for calculating the air intake flow and air intake pressure of an engine. In the method, the rotating speed signal, the air intake temperature signal, the air intake pressure signal and the position parameters of a throttle valve of the engine are collected by utilizing an electronic control unit of the engine, and the air intake pressure, the mass flow of the air in the position of the throttle valve and the mass flow of the air flowing into a cylinder of the engine under various working conditions can be better accurately calculated by combining the volume data of an air intake manifold and the relative calibration scale of the electronic control unit.

Description

Method for calculating air inflow and air inflow pressure of engine
Technical Field
The invention relates to a method, in particular to a method for calculating air inflow and air inflow pressure of an engine.
Background
The electronic control fuel injection system of the engine determines the fuel injection quantity per cycle according to the air quantity sucked per cycle of the engine and the air-fuel ratio required under the working condition, and the measurement and calculation of the air quantity are the basis for realizing the air-fuel ratio control.
The intake model may present the air mass flow law for the engine combustion cycle at various operating conditions of idle, part load, lug, and lug for calculating the air mass flow at the throttle, the air mass flow out of the intake manifold, the intake manifold air pressure, and predicting the intake manifold pressure and the intake air amount for the base injection.
At present, the method for calculating the transient air intake of the engine is generally based on a charging and discharging method, wherein the whole air intake system is regarded as a container filled with single gas in a homogeneous state, and the air amount entering a cylinder is calculated by measuring engine parameters by using an ideal gas state equation and a mass conservation law. Meanwhile, the pressure of the intake manifold and the air inflow are calculated in real time through an air mass sensor signal in front of the throttle valve and through establishing a total flow Bernoulli equation of the compressible gas pipe.
The above calculation method neglects the complex environment of the intake system, so that the obtained pressure information of the intake manifold, the air mass flow information at the throttle valve and the air mass flow information entering the cylinder are not very accurate, which directly affects the calculation of the subsequent fuel injection quantity, and is further not beneficial to the engine in the optimal working state.
Disclosure of Invention
The invention provides a method for calculating air inflow and air inflow pressure of an engine aiming at the defects of the prior art.
The method for calculating the air inflow and the air inflow pressure of the engine comprises the steps of firstly, setting a crankshaft sensor for detecting the rotating speed information of the engine, a throttle position sensor for detecting the opening information of a throttle, an air inflow temperature sensor for detecting the air inflow temperature information, and an air inflow pressure sensor for detecting the ambient pressure and the air inflow pressure information, predicting the pressure ratio before and after the throttle according to the rotating speed of the engine and the opening of the throttle, setting the slope and intercept of the air inflow efficiency of a cylinder, setting the overflow area of the throttle according to the opening of the throttle, and setting the upstream pressure of the throttle according to the ambient pressure and the pressure drop parameter of an air filter;
and calculating the air mass flow at the current throttle valve, the air mass flow entering the cylinder and the intake pressure according to the engine speed information, the throttle opening information, the intake temperature information, the intake pressure information and the estimated pressure ratio before and after the throttle valve, the set inflation efficiency and intercept at the throttle valve, the slope and intercept of the inflation efficiency of the cylinder, the throttle valve flow area and the throttle valve upstream pressure.
In the method for calculating the air intake quantity and the air intake pressure of the engine, the ambient pressure is the pressure measured by the air intake pressure sensor before the engine is powered on but not started.
In the method for calculating the air intake quantity and the air intake pressure of the engine, the estimated pressure ratio PQ before and after the throttle valveNComprises the following steps:
PQN=PestimNPthr
wherein,
Figure BSA00000404303100022
predicted post-throttle pressure, P, for the Nth engine event cyclethrIs throttle upstream pressure; and is
Figure BSA00000404303100023
Wherein,
Figure BSA00000404303100024
is the intake pressure, P, at a time preceding the interval of one engine event cycleim_DRV1N-1Is composed of
Figure BSA00000404303100025
The first derivative of (a) is,
Figure BSA00000404303100026
intake pressure at a time immediately preceding the interval of two engine event cycles,Pim_DRV1N-2Is composed of
Figure BSA00000404303100027
The pressure measured by the intake pressure sensor before the engine is powered on but not started is taken as the initial value of the intake pressure;
at is defined as the engine event period, i.e., the time required for 720 degrees of engine crankshaft rotation at the corresponding speed divided by the total number of engine cylinders.
In the method for calculating the air intake quantity and the air intake pressure of the engine, the air intake pressure
Figure BSA00000404303100031
Comprises the following steps:
when PQNWhen the content is less than or equal to 0.99:
<math><mrow><msubsup><mi>P</mi><mi>im</mi><mi>N</mi></msubsup><mo>=</mo><mfrac><mrow><msubsup><mi>P</mi><mi>im</mi><mrow><mi>N</mi><mo>-</mo><mn>1</mn></mrow></msubsup><mo>+</mo><mfrac><mi>&Delta;t</mi><mn>2</mn></mfrac><mo>*</mo><msub><mi>P</mi><mi>im</mi></msub><mo>_</mo><msup><mrow><mi>DRV</mi><mn>1</mn></mrow><mrow><mi>N</mi><mo>-</mo><mn>1</mn></mrow></msup><mo>+</mo><mfrac><mi>&Delta;t</mi><mn>2</mn></mfrac><msub><mi>MDL</mi><mn>0</mn></msub><mo>*</mo><mi>B</mi></mrow><mrow><mn>1</mn><mo>+</mo><mfrac><mi>&Delta;t</mi><mn>2</mn></mfrac><msub><mi>MDL</mi><mn>0</mn></msub><mo>*</mo><mi>A</mi></mrow></mfrac></mrow></math>
when 0.99 < PQNWhen the ratio is less than 1:
Figure BSA00000404303100033
when PQNWhen the ratio is more than or equal to 1:
Figure BSA00000404303100034
the 0.083hPa is the selected calculated gradient value;
wherein, the MDL0For a given number of gas constants,
Figure BSA00000404303100035
Timis the current intake air temperature, VimIs the intake manifold volume;
Figure BSA00000404303100036
wherein χ ═ 1.4 is the adiabatic coefficient of air, Rair287 joules per kilogram, constant volume specific heat capacity for air;
MDL11=Ared·MDL1wherein A isredThe throttle valve flow area corresponding to the currently detected throttle valve opening information;
Figure BSA00000404303100037
wherein
Figure BSA00000404303100038
As the slope of the throttle charging efficiency,
Figure BSA00000404303100039
is the slope of the cylinder charging efficiency;
Figure BSA000004043031000310
wherein
Figure BSA000004043031000311
Is the intercept of the charging efficiency of the throttle valve,is the intercept of the cylinder charge efficiency.
In the method for calculating the air intake quantity and the air intake pressure of the engine, the upstream pressure P of the throttle valvethrEqual to ambient pressure minus the pressure drop that occurs as air passes through the air cleaner.
In the method for calculating the air inflow and the air inflow pressure of the engine, the mass flow of the air entering the cylinder
Figure BSA000004043031000313
Comprises the following steps:
<math><mrow><msubsup><mi>m</mi><mi>cyl</mi><mi>N</mi></msubsup><mo>=</mo><msubsup><mi>&eta;</mi><mi>cyl</mi><mi>slop</mi></msubsup><mo>&CenterDot;</mo><msubsup><mi>P</mi><mi>im</mi><mi>N</mi></msubsup><mo>-</mo><msubsup><mi>&eta;</mi><mi>cyl</mi><mi>ofs</mi></msubsup></mrow></math>
wherein,
Figure BSA00000404303100042
as the slope of the current cylinder charging efficiency,
Figure BSA00000404303100043
is the intercept of the current cylinder charge efficiency.
Figure BSA00000404303100044
Is the current intake pressure.
In the method for calculating the air inflow and the air inflow pressure of the engine, the air mass flow at the throttle valve
Figure BSA00000404303100045
Comprises the following steps:
when PQ > 0.99 is selected,
Figure BSA00000404303100046
when PQ is less than or equal to 0.99,
Figure BSA00000404303100047
according to the method for calculating the air inflow and the air inflow pressure of the engine, the pressure information of the air inlet manifold, the air mass flow information at the air throttle and the air mass flow information entering the cylinder are obtained in real time according to the environment where the current air inlet system is located, so that the subsequent oil injection amount can be calculated accurately, and the engine is guaranteed to be always in the optimal working state.
Detailed Description
The present invention is described in further detail below to enable those skilled in the art to practice the invention with reference to the description.
When the method for calculating the air inflow and the air inflow pressure of the engine is particularly applied to an Electronic Control Unit (ECU) of the engine, the rotating speed of the engine is defined as a variable N and the ambient pressure PampIs defined as variable AMP, throttle upstream pressure PthrIs defined as variable PRS _ UP _ THR, throttle opening signal is defined as variable TPS, throttle flow area AredDefined as a variable AR _ RED, a pre-throttle pressure ratio PQ defined as a variable PQ, a slope of throttle charging efficiency
Figure BSA00000404303100048
Defined as the variable MAF _ FAC _ SLOP, intercept of throttle charging efficiency
Figure BSA00000404303100049
Is defined as the variable MAF _ FAC _ OFS, mass air flow at throttle mthrIs defined as the variable MAF _ THR, intake manifold volume VimDefined as the variable VOL _ IM, intake pressure PimSlope of cylinder charge efficiency defined as variable MAP
Figure BSA000004043031000410
Defined as variable EFF _ VOL _ SLOP, intercept of cylinder charge efficiency
Figure BSA000004043031000411
Defined as variable EFF _ VOL _ OFS, mass air flow into the cylinder mcylIs defined as MAF _ CYL, intake air temperature TimDefined as the variable TIA,.
When air flows through the air filter, corresponding pressure drop is caused according to different air flow rates, the pressure drop is a calibratable quantity, and pressure drop parameters AMP _ DEC of the air filter corresponding to different air inflow rates are stored in a calibration table IP _ AMP _ DEC.
The throttle valve flow area AR _ RED is a calibratable quantity, and calibration values corresponding to different throttle valve opening degrees are stored in a calibration table IP _ AR _ RED _ THR _ TPS.
The slope of the throttle charging efficiency MAF _ FAC _ SLOP is a calibratable amount, and a calibration for different pre-throttle and post-throttle pressure ratios PQ is stored in a calibration table IP _ MAF _ FAC _ SLOP _ PQ.
The intercept of the throttle charging efficiency, MAF _ FAC _ OFS, is a calibratable quantity, and is stored in a calibration table, IP _ MAF _ FAC _ OFS _ PQ, relative to calibration values of different pre-throttle and post-throttle pressure ratios, PQ.
The calibration tables IP _ MAF _ FAC _ SLOP _ PQ and IP _ MAF _ FAC _ OFSPQ use the same calibration break points.
The slope of the cylinder charge efficiency, EFF _ VOL _ SLOP, is a calibratable quantity, and is stored in a calibration table IP _ EFF _ VOL _ SLOP _ N relative to calibration values at different engine speeds N.
The intercept of the cylinder charge efficiency, EFF _ VOL _ OFS, is a calibratable quantity, and is stored in a calibration table IP _ EFF _ VOL _ OFS _ N relative to calibration values at different engine speeds N.
The calibration tables IP _ EFF _ VOL _ slope _ N and IP _ EFF _ VOL _ OFS _ N use the same calibration break point.
After the calibration of an engine is completed, an engine electronic control unit adopting the method can calculate the MASs air flow MAF _ THR at the throttle valve, the MASs air flow MAF _ CYL entering the cylinder and the intake air pressure MAP under different working conditions according to an engine rotating speed signal N measured by a crankshaft sensor, a throttle opening signal TPS measured by a throttle opening sensor, an intake air temperature signal TIA measured by an intake air temperature sensor and a pressure signal MAP _ MAS measured by an intake air pressure sensor. The calculation steps are as follows:
step 1, after the engine is powered on, the variable AMP is assigned with the pressure signal MAP _ MES collected by the intake pressure sensor as the ambient pressure, and this value is also used as the initial value of the intake pressure.
And 2, starting after the engine is started, interpolating a calibration table IP _ AMP _ DEC by an engine electronic control unit according to a preset frequency, calculating a throttle upstream pressure PRS _ UP _ THR (PRS _ UP _ THR is AMP-AMP _ DEC), estimating a throttle pressure after the throttle according to a rotating speed signal N acquired by a crankshaft sensor and an initial intake pressure value, calculating a throttle front-back pressure ratio PQ, and interpolating the calibration table IP _ AR _ RED _ THR _ TPS according to a throttle opening signal TPS to obtain a throttle overflow area AR _ RED.
Step 4, interpolating a calibration table IP _ MAF _ FAC _ SLOP _ PQ and an IP _ MAF _ FAC _ OFS _ PQ by an engine electronic control unit according to the pressure ratio PQ before and after the throttle valve to obtain a slope MAF _ FAC _ SLOP and an intercept MAF _ FAC _ OFS of the throttle valve charging efficiency;
step 5, the engine electronic control unit interpolates the calibration tables IP _ EFF _ VOL _ SLOP _ N and IP _ EFF _ VOL _ OFS _ N according to the engine rotating speed N to obtain the slope EFF _ VOL _ SLOP and the intercept EFF _ VOL _ OFS of the cylinder inflation efficiency;
step 6, an engine electronic control unit calculates an intake pressure MAP according to the engine speed N, the intake manifold volume VOL _ IM, the throttle valve overflow area AR _ RED, the intake air temperature TIA collected by an intake air temperature sensor, the slope MAF _ FAC _ SLOP and the intercept MAF _ FAC _ OFS of the throttle valve charging efficiency, and the slope EFF _ VOL _ SLOP and the intercept EFF _ VOL _ OFS of the cylinder charging efficiency;
step 7, an engine electronic control unit calculates the mass air flow MAF _ CYL entering the cylinder according to the intake pressure MAP, the slope EFF _ VOL _ SLOP and the intercept EFF _ VOL _ OFS of the cylinder charging efficiency;
in step 8, the engine electronic control unit calculates the mass air flow MAF _ THR at the inlet and outlet throttle according to the inlet air temperature TIA, the throttle valve flow area AR _ RED, the throttle valve upstream pressure PRS _ UP _ THR, the inlet air pressure MAP, the slope MAF _ FAC _ SLOP of the throttle valve charging efficiency and the intercept MAF _ FAC _ OFS.
In the method for calculating the air inflow and the air inflow pressure of the engine, the air inflow pressure, the air mass flow entering the cylinder and the air mass flow information at the throttle valve can be expressed by the following formulas:
according to the principle of conservation of the air inflow in the air intake manifold, an ideal gas equation is established as follows:
<math><mrow><mfrac><mo>&PartialD;</mo><msub><mo>&PartialD;</mo><mi>t</mi></msub></mfrac><mfrac><mrow><msub><mi>P</mi><mi>im</mi></msub><msub><mi>V</mi><mi>im</mi></msub></mrow><mrow><msub><mi>R</mi><mi>air</mi></msub><msub><mi>T</mi><mi>im</mi></msub></mrow></mfrac><mo>=</mo><msub><mi>m</mi><mi>thr</mi></msub><mo>-</mo><msub><mi>m</mi><mi>out</mi></msub></mrow></math>equation 1
Wherein the air flow at the throttle valve is mthrI.e. mass air flow into the intake manifold, air flow out of the intake manifold mcylI.e. the mass flow of air into the cylinder, TimIs the intake air temperature.
Intake manifold pressure was modeled as:
<math><mrow><mfrac><mo>&PartialD;</mo><msub><mo>&PartialD;</mo><mi>t</mi></msub></mfrac><msub><mi>P</mi><mi>im</mi></msub><mo>=</mo><mfrac><mrow><msub><mi>R</mi><mi>air</mi></msub><msub><mi>T</mi><mi>im</mi></msub></mrow><msub><mi>V</mi><mi>im</mi></msub></mfrac><mrow><mo>(</mo><msub><mi>m</mi><mi>thr</mi></msub><mo>-</mo><msub><mi>m</mi><mi>cyl</mi></msub><mo>)</mo></mrow></mrow></math>equation 2
In formula 2, Rair287 joules per kilogram, air constant volume specific heat capacity, conveniently expressed by the following formula, will
Figure BSA00000404303100072
Abbreviated as Pim_DRV1。
To calculate the intake manifold pressure, it is necessary to linearize the throttle air flow characteristic and determine the slope of its linear equationAnd intercept
Figure BSA00000404303100074
To realize the linear equation, the pressure ratio PQ before and after the throttle valve must be estimated:
PQN=PestimNPthrequation 3
Wherein the throttle back pressure
Figure BSA00000404303100076
The estimation formula of (c) is:
<math><mrow><msubsup><mi>P</mi><mi>estim</mi><mi>N</mi></msubsup><mo>=</mo><msubsup><mi>P</mi><mi>im</mi><mrow><mi>N</mi><mo>-</mo><mn>1</mn></mrow></msubsup><mo>+</mo><mfrac><mi>&Delta;t</mi><mn>2</mn></mfrac><mo>&CenterDot;</mo><mrow><mo>(</mo><msub><mi>P</mi><mi>im</mi></msub><mo>_</mo><msup><mrow><mi>DRV</mi><mn>1</mn></mrow><mrow><mi>N</mi><mo>-</mo><mn>1</mn></mrow></msup><mo>+</mo><msub><mi>P</mi><mi>im</mi></msub><mo>_</mo><msup><mrow><mi>DRV</mi><mn>1</mn></mrow><mrow><mi>N</mi><mo>-</mo><mn>2</mn></mrow></msup><mo>)</mo></mrow></mrow></math>equation 4
Where Δ t is the engine event period, i.e., the time required for 720 degrees of engine crankshaft rotation at the corresponding speed divided by the total number of engine cylinders.For the estimated post-throttle pressure for the nth engine event cycle,
Figure BSA00000404303100079
is the intake pressure, P, at a time preceding the interval of one engine event cycleim_DRV1N-1Is composed of
Figure BSA000004043031000710
The first derivative of (a) is,intake pressure, P, at a time preceding the interval of two engine event cyclesim_DRV1N-2Is composed of
Figure BSA000004043031000712
The pressure measured by the intake pressure sensor before the engine is powered up but not started is taken as the initial value of the intake pressure.
If estimated
Figure BSA000004043031000713
Then get
Figure BSA000004043031000714
Here 0.083hPa is a calculated gradient value taken empirically.
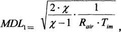
For air at the throttleThe relationship between the flow rate and the intake air temperature is set as the following 2 intermediate variables MDL1And MDL11Respectively is as follows:
Figure BSA000004043031000715
wherein χ ═ 1.4 is the adiabatic coefficient of air,
Rair287 joules per kilogram, constant specific heat capacity for air, TimIs the current intake air temperature;
MDL11=Ared·MDL1wherein A isredThe throttle valve flow area corresponding to the currently detected throttle valve opening information;
for the convenience of formula expression, 2 abbreviations a and B are set, which respectively represent:
Figure BSA00000404303100081
wherein
Figure BSA00000404303100082
As the slope of the current throttle charging efficiency,the slope of the current cylinder charging efficiency;
Figure BSA00000404303100084
wherein
Figure BSA00000404303100085
Is the intercept of the current throttle charging efficiency,
Figure BSA00000404303100086
intercept, P, of current cylinder charging efficiencythrIs the throttle upstream pressure.
When PQNWhen the content is less than or equal to 0.99:
<math><mrow><msubsup><mi>P</mi><mi>im</mi><mi>N</mi></msubsup><mo>=</mo><mfrac><mrow><msubsup><mi>P</mi><mi>im</mi><mrow><mi>N</mi><mo>-</mo><mn>1</mn></mrow></msubsup><mo>+</mo><mfrac><mi>&Delta;t</mi><mn>2</mn></mfrac><mo>*</mo><msub><mi>P</mi><mi>im</mi></msub><mo>_</mo><msup><mrow><mi>DRV</mi><mn>1</mn></mrow><mrow><mi>N</mi><mo>-</mo><mn>1</mn></mrow></msup><mo>+</mo><mfrac><mi>&Delta;t</mi><mn>2</mn></mfrac><msub><mi>MDL</mi><mn>0</mn></msub><mo>*</mo><mi>B</mi></mrow><mrow><mn>1</mn><mo>+</mo><mfrac><mi>&Delta;t</mi><mn>2</mn></mfrac><msub><mi>MDL</mi><mn>0</mn></msub><mo>*</mo><mi>A</mi></mrow></mfrac></mrow></math>equation 5
Wherein the MDL0For a given number of gas constants,
Figure BSA00000404303100088
Vimis the intake manifold volume.
When 0.99 < PQNWhen the ratio is less than 1:
PimN=BAequation 6
When PQNWhen the ratio is more than or equal to 1:
PimN=Pthr-0.083hPaequation 7
The mass flow of air entering the cylinder is:
<math><mrow><msubsup><mi>m</mi><mi>cyl</mi><mi>N</mi></msubsup><mo>=</mo><msubsup><mi>&eta;</mi><mi>cyl</mi><mi>slop</mi></msubsup><mo>&CenterDot;</mo><msubsup><mi>P</mi><mi>im</mi><mi>N</mi></msubsup><mo>-</mo><msubsup><mi>&eta;</mi><mi>cyl</mi><mi>ofs</mi></msubsup></mrow></math>equation 8
Mass flow m of air entering the throttlethrComprises the following steps:
when PQ > 0.99:
mthrN=mcylNequation 9;
when PQ is less than or equal to 0.99:
<math><mrow><msubsup><mi>m</mi><mi>thr</mi><mi>N</mi></msubsup><mo>=</mo><msub><mi>MDL</mi><mn>11</mn></msub><mo>*</mo><mrow><mo>(</mo><msubsup><mi>&eta;</mi><mi>thr</mi><mi>ofs</mi></msubsup><mo>*</mo><msub><mi>P</mi><mi>thr</mi></msub><mo>-</mo><msubsup><mi>&eta;</mi><mi>thr</mi><mi>slop</mi></msubsup><mo>*</mo><msubsup><mi>P</mi><mi>im</mi><mi>N</mi></msubsup><mo>)</mo></mrow></mrow></math>equation 10
The method for calculating the air inflow and the air inflow pressure of the engine is simple to realize, accurate in result, easy to realize and integrate through programming based on hardware such as a sensor, a single chip microcomputer and the like, and has good application and development prospects under the great trend of rapid development of domestic automobile technology.
While embodiments of the invention have been described above, it is not limited to the applications set forth in the description and the embodiments, which are fully applicable in various fields of endeavor to which the invention pertains, and further modifications may readily be made by those skilled in the art, it being understood that the invention is not limited to the details shown and described herein without departing from the general concept defined by the appended claims and their equivalents.

Claims (7)

1. A method for calculating air inflow and air inflow pressure of an engine is characterized in that a crankshaft sensor for detecting engine rotating speed information, a throttle valve position sensor for detecting throttle valve opening information, an air inflow temperature sensor for detecting air inflow temperature information and an air inflow pressure sensor for detecting ambient pressure and air inflow pressure information are arranged, pressure ratios before and after a throttle valve are estimated according to the engine rotating speed and the throttle valve opening, the slope and intercept of throttle valve inflation efficiency and the slope and intercept of cylinder inflation efficiency are set, the throttle valve overflowing area is set according to the throttle valve opening, and the upstream pressure of the throttle valve is set according to the ambient pressure and the pressure drop parameter of an air filter;
and calculating the air mass flow at the current throttle valve, the air mass flow entering the cylinder and the intake pressure according to the engine speed information, the throttle opening information, the intake temperature information, the intake pressure information and the estimated pressure ratio before and after the throttle valve, the set inflation efficiency and intercept at the throttle valve, the slope and intercept of the inflation efficiency of the cylinder, the throttle valve flow area and the throttle valve upstream pressure.
2. The method of calculating engine air intake and intake pressures of claim 1 wherein ambient pressure is the pressure measured by the intake pressure sensor before the engine is powered up but not started.
3. The method of calculating engine intake and intake pressures of claim 1 wherein said predicted pressure ratio PQ across the throttle valveNComprises the following steps:
PQN=PestimNPthr
wherein,
Figure FSA00000404303000012
predicted post-throttle pressure, P, for the Nth engine event cyclethrIs throttle upstream pressure; and is
Figure FSA00000404303000013
Wherein,
Figure FSA00000404303000014
is the intake pressure, P, at a time preceding the interval of one engine event cycleim_DRV1N-1Is composed of
Figure FSA00000404303000015
The first derivative of (a) is,intake pressure, P, at a time preceding the interval of two engine event cyclesim_DRV1N-2Is composed of
Figure FSA00000404303000017
The pressure measured by the intake pressure sensor before the engine is powered on but not started is taken as the initial value of the intake pressure;
at is defined as the engine event period, i.e., the time required for 720 degrees of engine crankshaft rotation at the corresponding speed divided by the total number of engine cylinders.
4. The method of calculating engine intake air flow and intake air pressure of claim 3, wherein said intake air pressure is calculated by a calculation unitComprises the following steps:
when PQNWhen the content is less than or equal to 0.99:
<math><mrow><msubsup><mi>P</mi><mi>im</mi><mi>N</mi></msubsup><mo>=</mo><mfrac><mrow><msubsup><mi>P</mi><mi>im</mi><mrow><mi>N</mi><mo>-</mo><mn>1</mn></mrow></msubsup><mo>+</mo><mfrac><mi>&Delta;t</mi><mn>2</mn></mfrac><mo>*</mo><msub><mi>P</mi><mi>im</mi></msub><mo>_</mo><msup><mrow><mi>DRV</mi><mn>1</mn></mrow><mrow><mi>N</mi><mo>-</mo><mn>1</mn></mrow></msup><mo>+</mo><mfrac><mi>&Delta;t</mi><mn>2</mn></mfrac><msub><mi>MDL</mi><mn>0</mn></msub><mo>*</mo><mi>B</mi></mrow><mrow><mn>1</mn><mo>+</mo><mfrac><mi>&Delta;t</mi><mn>2</mn></mfrac><msub><mi>MDL</mi><mn>0</mn></msub><mo>*</mo><mi>A</mi></mrow></mfrac></mrow></math>
when 0.99 < PQNWhen the ratio is less than 1:
Figure FSA00000404303000023
when PQNWhen the ratio is more than or equal to 1:
Figure FSA00000404303000024
the 0.083hPa is the selected calculated gradient value;
wherein, the MDL0For a given number of gas constants,
Figure FSA00000404303000025
Timis the current intake air temperature, VimIs the intake manifold volume;
Figure FSA00000404303000026
wherein χ ═ 1.4 is the adiabatic coefficient of air,
Rair287 joules per kilogram, constant volume specific heat capacity for air;
MDL11=Ared·MDL1wherein A isredThe throttle valve flow area corresponding to the currently detected throttle valve opening information;
wherein
Figure FSA00000404303000028
As the slope of the throttle charging efficiency,
Figure FSA00000404303000029
is the slope of the cylinder charging efficiency;
Figure FSA000004043030000210
wherein
Figure FSA000004043030000211
Is the intercept of the charging efficiency of the throttle valve,
Figure FSA000004043030000212
is the intercept of the cylinder charge efficiency.
5. The method of calculating the intake air amount and the intake pressure of the engine according to claim 3 or 4, wherein the throttle upstream pressure P isthrEqual to ambient pressure minus the pressure drop that occurs as air passes through the air cleaner.
6. The method of calculating engine intake and intake pressures of claim 4, wherein said mass air flow into the cylinder
Figure FSA00000404303000031
Comprises the following steps:
<math><mrow><msubsup><mi>m</mi><mi>cyl</mi><mi>N</mi></msubsup><mo>=</mo><msubsup><mi>&eta;</mi><mi>cyl</mi><mi>slop</mi></msubsup><mo>&CenterDot;</mo><msubsup><mi>P</mi><mi>im</mi><mi>N</mi></msubsup><mo>-</mo><msubsup><mi>&eta;</mi><mi>cyl</mi><mi>ofs</mi></msubsup></mrow></math>
wherein,
Figure FSA00000404303000033
as the slope of the current cylinder charging efficiency,
Figure FSA00000404303000034
is the intercept of the current cylinder charge efficiency.
Figure FSA00000404303000035
Is the current intake pressure.
7. The method of calculating engine intake and intake air pressures of claim 6, wherein mass air flow at the throttle valve
Figure FSA00000404303000036
Comprises the following steps:
when PQ > 0.99 is selected,
Figure FSA00000404303000037
when PQ is less than or equal to 0.99,
Figure FSA00000404303000038
CN201010616169.1A2010-12-302010-12-30Method for calculating air intake flow and air intake pressure of engineExpired - Fee RelatedCN102062005B (en)

Priority Applications (1)

Application NumberPriority DateFiling DateTitle
CN201010616169.1ACN102062005B (en)2010-12-302010-12-30Method for calculating air intake flow and air intake pressure of engine

Applications Claiming Priority (1)

Application NumberPriority DateFiling DateTitle
CN201010616169.1ACN102062005B (en)2010-12-302010-12-30Method for calculating air intake flow and air intake pressure of engine

Publications (2)

Publication NumberPublication Date
CN102062005Atrue CN102062005A (en)2011-05-18
CN102062005B CN102062005B (en)2014-04-02

Family

ID=43997455

Family Applications (1)

Application NumberTitlePriority DateFiling Date
CN201010616169.1AExpired - Fee RelatedCN102062005B (en)2010-12-302010-12-30Method for calculating air intake flow and air intake pressure of engine

Country Status (1)

CountryLink
CN (1)CN102062005B (en)

Cited By (18)

* Cited by examiner, † Cited by third party
Publication numberPriority datePublication dateAssigneeTitle
CN102678357A (en)*2012-05-312012-09-19姜国清Oil injection control system and oil injection control method
CN105408604A (en)*2013-08-142016-03-16大陆汽车有限公司Method and device for operating an internal combustion engine
CN105464820A (en)*2014-07-072016-04-06博世汽车柴油系统有限公司Engine air inlet metering unit and engine system
CN105863860A (en)*2016-05-122016-08-17中国第汽车股份有限公司Engine intake pressure estimation method
CN106640344A (en)*2016-12-292017-05-10潍柴动力股份有限公司Method for calculating engine intake temperature and intercooler efficiency and engine
CN106762176A (en)*2016-12-132017-05-31安徽航瑞航空动力装备有限公司A kind of stroke admission calculation of pressure method of two cylinder machine four
WO2017167220A1 (en)*2016-03-312017-10-05广州汽车集团股份有限公司Method and system for calculating atkinson cycle intake amount of internal combustion engine
CN107288771A (en)*2016-03-302017-10-24联合汽车电子有限公司Oil injection control system for engine and method
CN108087130A (en)*2016-11-222018-05-29上海汽车集团股份有限公司Engine aspirating system and air input control method, control unit and automobile
CN108319757A (en)*2017-12-292018-07-24联合汽车电子有限公司Atkinson motor air-fuel ratio calculation method and system
CN109781415A (en)*2019-02-192019-05-21汉腾汽车有限公司A kind of calculating of air input of engine by air and Bench calibration method
CN109882300A (en)*2017-12-062019-06-14上海汽车集团股份有限公司 A method and device for correcting inflation efficiency
CN110621866A (en)*2017-05-262019-12-27三菱电机株式会社Temperature prediction device and temperature prediction method for internal combustion engine
CN112664319A (en)*2020-12-252021-04-16航天时代飞鸿技术有限公司Control system and fault diagnosis method for aviation piston two-stroke supercharged engine
CN112859646A (en)*2021-02-082021-05-28广西玉柴机器股份有限公司Double-planet-wheel hybrid power hardware-in-loop simulation system
CN113339136A (en)*2021-07-262021-09-03潍柴动力股份有限公司Method and device for calculating rear pressure of throttle valve and vehicle
CN113417750A (en)*2021-07-262021-09-21东风汽车有限公司东风日产乘用车公司Method for acquiring engine intake air flow, storage medium and electronic device
CN114962047A (en)*2021-08-262022-08-30长城汽车股份有限公司Method for estimating relative charge of engine and vehicle

Citations (6)

* Cited by examiner, † Cited by third party
Publication numberPriority datePublication dateAssigneeTitle
US4404946A (en)*1979-09-271983-09-20Ford Motor CompanyMethod for improving fuel control in an internal combustion engine
CN1214104A (en)*1996-03-151999-04-14西门子公司 Method for model-aided determination of fresh air quantities flowing into cylinders of an engine with external exhaust gas feedback
CN1657755A (en)*2004-02-182005-08-24日产自动车株式会社Cylinder intake air quantity determination device
CN1701173A (en)*2003-07-102005-11-23丰田自动车株式会社 Air intake amount estimation device for internal combustion engine
JP2010133426A (en)*2010-03-152010-06-17Nissan Motor Co LtdEngine controller
CN101892914A (en)*2010-07-142010-11-24中国第一汽车集团公司Engine transient air inflow estimation method based on model

Patent Citations (6)

* Cited by examiner, † Cited by third party
Publication numberPriority datePublication dateAssigneeTitle
US4404946A (en)*1979-09-271983-09-20Ford Motor CompanyMethod for improving fuel control in an internal combustion engine
CN1214104A (en)*1996-03-151999-04-14西门子公司 Method for model-aided determination of fresh air quantities flowing into cylinders of an engine with external exhaust gas feedback
CN1701173A (en)*2003-07-102005-11-23丰田自动车株式会社 Air intake amount estimation device for internal combustion engine
CN1657755A (en)*2004-02-182005-08-24日产自动车株式会社Cylinder intake air quantity determination device
JP2010133426A (en)*2010-03-152010-06-17Nissan Motor Co LtdEngine controller
CN101892914A (en)*2010-07-142010-11-24中国第一汽车集团公司Engine transient air inflow estimation method based on model

Cited By (27)

* Cited by examiner, † Cited by third party
Publication numberPriority datePublication dateAssigneeTitle
CN102678357B (en)*2012-05-312015-09-02姜国清A kind of fuel injection control system and method
CN102678357A (en)*2012-05-312012-09-19姜国清Oil injection control system and oil injection control method
CN105408604A (en)*2013-08-142016-03-16大陆汽车有限公司Method and device for operating an internal combustion engine
CN105408604B (en)*2013-08-142017-12-01大陆汽车有限公司Method and apparatus for operating internal combustion engine
US9739217B2 (en)2013-08-142017-08-22Continental Automotive GmbhMethod and device for operating an internal combustion engine
CN105464820A (en)*2014-07-072016-04-06博世汽车柴油系统有限公司Engine air inlet metering unit and engine system
CN105464820B (en)*2014-07-072019-11-22博世汽车柴油系统有限公司Engine charge metering units and engine system
CN107288771A (en)*2016-03-302017-10-24联合汽车电子有限公司Oil injection control system for engine and method
WO2017167220A1 (en)*2016-03-312017-10-05广州汽车集团股份有限公司Method and system for calculating atkinson cycle intake amount of internal combustion engine
CN105863860A (en)*2016-05-122016-08-17中国第汽车股份有限公司Engine intake pressure estimation method
CN108087130A (en)*2016-11-222018-05-29上海汽车集团股份有限公司Engine aspirating system and air input control method, control unit and automobile
CN106762176A (en)*2016-12-132017-05-31安徽航瑞航空动力装备有限公司A kind of stroke admission calculation of pressure method of two cylinder machine four
CN106640344A (en)*2016-12-292017-05-10潍柴动力股份有限公司Method for calculating engine intake temperature and intercooler efficiency and engine
CN110621866B (en)*2017-05-262020-07-14三菱电机株式会社 Temperature prediction device and temperature prediction method of internal combustion engine
CN110621866A (en)*2017-05-262019-12-27三菱电机株式会社Temperature prediction device and temperature prediction method for internal combustion engine
CN109882300B (en)*2017-12-062021-05-18上海汽车集团股份有限公司Method and device for correcting inflation efficiency
CN109882300A (en)*2017-12-062019-06-14上海汽车集团股份有限公司 A method and device for correcting inflation efficiency
CN108319757A (en)*2017-12-292018-07-24联合汽车电子有限公司Atkinson motor air-fuel ratio calculation method and system
CN108319757B (en)*2017-12-292021-09-28联合汽车电子有限公司Atkinson engine air-fuel ratio calculation method and system
CN109781415A (en)*2019-02-192019-05-21汉腾汽车有限公司A kind of calculating of air input of engine by air and Bench calibration method
CN112664319A (en)*2020-12-252021-04-16航天时代飞鸿技术有限公司Control system and fault diagnosis method for aviation piston two-stroke supercharged engine
CN112859646A (en)*2021-02-082021-05-28广西玉柴机器股份有限公司Double-planet-wheel hybrid power hardware-in-loop simulation system
CN113339136A (en)*2021-07-262021-09-03潍柴动力股份有限公司Method and device for calculating rear pressure of throttle valve and vehicle
CN113417750A (en)*2021-07-262021-09-21东风汽车有限公司东风日产乘用车公司Method for acquiring engine intake air flow, storage medium and electronic device
CN113417750B (en)*2021-07-262023-08-18东风汽车有限公司东风日产乘用车公司Engine intake air flow acquisition method, storage medium and electronic equipment
CN114962047A (en)*2021-08-262022-08-30长城汽车股份有限公司Method for estimating relative charge of engine and vehicle
CN114962047B (en)*2021-08-262023-05-26长城汽车股份有限公司Method for estimating relative charge of engine and vehicle

Also Published As

Publication numberPublication date
CN102062005B (en)2014-04-02

Similar Documents

PublicationPublication DateTitle
CN102062005B (en)Method for calculating air intake flow and air intake pressure of engine
US6662640B2 (en)Air amount detector for internal combustion engine
CN101892914B (en)Based on the engine transient air inflow estimation method of model
US5012422A (en)Controlling engine fuel injection
US7269495B2 (en)Engine output calculation method and engine output calculation apparatus
US9027393B2 (en)Estimation device for cylinder intake air amount in an internal combustion engine
US7174250B2 (en)Method for determining an exhaust gas recirculation quantity for an internal combustion engine provided with exhaust gas recirculation
EP2543845A1 (en)Method for determination of exhaust back pressure
CN101220779B (en)Intake quantity sensing device of internal combustion engine
JP2011012593A (en)Control device of internal combustion engine
US20150114367A1 (en)Internal combustion engine control apparatus
CN105041496B (en)The cylinder inhaled air volume estimating device and presumption method of internal combustion engine
JP2901613B2 (en) Fuel injection control device for automotive engine
CN102137995A (en)Internal combustion engine system control device
CN101187341B (en)Air amount computing unit and fuel control unit of internal combustion engine
KR20060058122A (en) Intake air volume control device and intake air volume control method of internal combustion engine
CN100532809C (en)Intake air amount estimation device for internal combustion engine
CN100575905C (en) Exhaust gas recirculation valve multifunctional test device
CN102713223A (en)Gas state estimation device for internal combustion engine
CN100491932C (en) Heating resistor type air flow measuring device and its measurement error correction method
JP2012180842A (en)Control device of internal combustion engine
Jankovic et al.Air-charge estimation and prediction in spark ignition internal combustion engines
US7069139B2 (en)Control device for internal combustion engine
CN104268304A (en)engine instantaneous oil consumption determining method based on cylinder pressure
CN109736959B (en)Method and system for calculating model air inflow of internal combustion engine

Legal Events

DateCodeTitleDescription
C06Publication
PB01Publication
C10Entry into substantive examination
SE01Entry into force of request for substantive examination
C14Grant of patent or utility model
GR01Patent grant
CF01Termination of patent right due to non-payment of annual fee
CF01Termination of patent right due to non-payment of annual fee

Granted publication date:20140402

Termination date:20161230


[8]ページ先頭

©2009-2025 Movatter.jp