


技术领域technical field
本发明涉及一种多天线宽带无线通信传输方法,属于宽带无线通信技术领域。The invention relates to a multi-antenna broadband wireless communication transmission method, which belongs to the technical field of broadband wireless communication.
背景技术Background technique
随着网络技术的发展,人们对接入网络的要求也不断提高,随时随地高速接入因特网已经成为越来越多的人们的重要需求,无线通信技术是可以满足人们上述需求的主要支撑技术,因此近年来宽带无线通信技术获得了迅猛发展。随着传输速率的增加,电磁波无线传播造成的多径对系统影响越来越严重,一般而言宽带无线通信系统中不可避免地存在多径传播造成的频率选择性衰落,频率选择性衰落曾经是制约无线通信系统性能的主要因素之一。由正交频分复用(Orthogonal Frequency Division Multiplexing,以下简称OFDM)技术发展起来的基于循环前缀(Cyclic Prefix,以下简称CP)的分块传输技术(主要包括OFDM、单载波频域均衡等)是宽带无线通信中对付多径传播造成的频率选择性衰落的简单且十分有效的技术,因此OFDM成为目前宽带无线通信的主流技术。频谱效率一直是无线通信技术的研究重点,近年来基于收发两端采用多天线技术的多输入多输出(Multiple-Input Multiple-Output,以下简称MIMO)技术以其传统单天线技术所无法达到的频谱效率而受到广泛关注。MIMO和OFDM技术结合出现的MIMO-OFDM成为未来宽带无线通信物理层传输的主要支撑技术,已经被3GPP LTE(Long Term Evolution,LTE)的下行采纳作为其物理层的传输技术。With the development of network technology, people's requirements for accessing the network are also constantly increasing. High-speed access to the Internet anytime and anywhere has become an important demand for more and more people. Wireless communication technology is the main supporting technology that can meet the above needs of people. Therefore, broadband wireless communication technology has developed rapidly in recent years. With the increase of transmission rate, the influence of multipath caused by electromagnetic wave wireless propagation on the system is becoming more and more serious. Generally speaking, frequency selective fading caused by multipath propagation is inevitable in broadband wireless communication systems. Frequency selective fading used to be It is one of the main factors restricting the performance of wireless communication systems. The block transmission technology (mainly including OFDM, single-carrier frequency domain equalization, etc.) based on Cyclic Prefix (hereinafter referred to as CP) developed by Orthogonal Frequency Division Multiplexing (hereinafter referred to as OFDM) technology is It is a simple and very effective technology to deal with frequency selective fading caused by multipath propagation in broadband wireless communication, so OFDM has become the mainstream technology of broadband wireless communication at present. Spectrum efficiency has always been the research focus of wireless communication technology. In recent years, the Multiple-Input Multiple-Output (MIMO) technology based on multi-antenna technology at both ends of the transceiver has a spectrum that cannot be achieved by traditional single-antenna technology. Efficiency has received widespread attention. The combination of MIMO and OFDM technology, MIMO-OFDM, has become the main supporting technology for future broadband wireless communication physical layer transmission, and has been adopted by the downlink of 3GPP LTE (Long Term Evolution, LTE) as its physical layer transmission technology.
MIMO利用具有丰富多径的无线传播环境中不同天线之间信道的不相关特性,获得高信道容量,从而提高频谱利用率和可靠性。基于分块传输的OFDM,可以有效地对抗多径衰落,因为子载波频谱主瓣重叠,具有较高的频谱效率;CP可以很好的吸收帧间干扰;并且可以采取简单的频域均衡方法来消除由于时延扩展引入的信道干扰;OFDM的基带调制过程可以用快速傅立叶逆变换(Inverse Fast Fourier Transform,以下简称IFFT)完成,基带解调过程可以用快速傅立叶变换(Fast Fourier Transform,以下简称FFT))完成,具有实现简单的优点。MIMO utilizes the uncorrelated characteristics of channels between different antennas in a wireless propagation environment with rich multipath to obtain high channel capacity, thereby improving spectrum utilization and reliability. OFDM based on block transmission can effectively fight against multipath fading, because the main lobes of the subcarrier spectrum overlap and have high spectral efficiency; CP can absorb inter-frame interference well; and a simple frequency domain equalization method can be adopted to Eliminate the channel interference introduced by delay extension; the baseband modulation process of OFDM can be completed by Inverse Fast Fourier Transform (hereinafter referred to as IFFT), and the baseband demodulation process can be completed by Fast Fourier Transform (Fast Fourier Transform, hereinafter referred to as FFT) )) is completed, which has the advantage of being simple to implement.
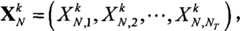
图1给出了一个NT×NR的宽带MIMO-OFDM无线通信系统示意图,这里假设NT≤NR,是一个空分复用无线通信系统,其中各模块的作用如下:Figure 1 shows a schematic diagram of aNT ×NR wideband MIMO-OFDM wireless communication system. Here, it is assumed thatNT≤NR is a space-division multiplexing wireless communication system, and the functions of each module are as follows:
MIMO发射端处理模块1:产生要传输的信息比特,进行符号映射,逆傅里叶变换(IFFT),加循环前缀(CP),射频、中频调制及基带处理。符号映射是将信源产生的信息比特根据所采用的符号映射方式映射到星座图对应点上;逆傅里叶变换(IFFT)是将得到频域信号变换到时域;加CP是将得到的每帧数据加上循环前缀;射频、中频调制及基带处理,是将信号调制到中频上进行中频放大,再做射频调制,最后将已调信号由天线发射。MIMO transmitter processing module 1: Generate information bits to be transmitted, perform symbol mapping, inverse Fourier transform (IFFT), add cyclic prefix (CP), radio frequency, intermediate frequency modulation and baseband processing. Symbol mapping is to map the information bits generated by the source to the corresponding points of the constellation diagram according to the symbol mapping method used; inverse Fourier transform (IFFT) is to transform the obtained frequency domain signal into the time domain; adding CP is to obtain Add a cyclic prefix to each frame of data; radio frequency, intermediate frequency modulation and baseband processing are to modulate the signal to the intermediate frequency for intermediate frequency amplification, then perform radio frequency modulation, and finally transmit the modulated signal from the antenna.
射频、中频解调及基带处理模块2:将接收天线接收信号的频谱从射频或者中频上搬移到低频。在解调之前需要用同步模块纠正信号传输过程中引起的频偏和并得到正确的定时信息。RF, IF demodulation and baseband processing module 2: Move the spectrum of the signal received by the receiving antenna from RF or IF to low frequency. Before demodulation, it is necessary to use the synchronization module to correct the frequency deviation and the frequency deviation caused in the signal transmission process and obtain correct timing information.
去CP模块3:根据定时信息将循环前缀去掉。Remove CP module 3: Remove the cyclic prefix according to the timing information.
N点FFT模块4:将去掉CP的时域信号变换到频域。N-point FFT module 4: Transform the time-domain signal with the CP removed into the frequency domain.
线性均衡模块5:用均衡矩阵进行均衡。均衡方式可以选择以下两种均衡方式之一:迫零(Zero Forcing,ZF)均衡、最小均方误差(Minimum Mean Square Error,MMSE)均衡。Linear equalization module 5: equalize with equalization matrix. The equalization method can choose one of the following two equalization methods: zero forcing (Zero Forcing, ZF) equalization, minimum mean square error (Minimum Mean Square Error, MMSE) equalization.
判决输出模块6:根据系统所采用的符号映射方式,完成信号的判决并输出。Judgment output module 6: According to the symbol mapping method adopted by the system, complete the judgment of the signal and output it.
图1中NT表示发射天线数,NR表示接收天线数,这里只讨论MIMO-OFDM系统的基带信号处理过程。在发端,表示符号映射后待发送的频域数据帧,其中表示符号映射后第i根天线的频域数据帧,i∈(1,2,…,NT),表示符号映射后第k个子信道(也称为第k个子载波)的频域数据帧,k∈(0,1,…,N-1),(·)T表示矩阵或向量的转置;典型的符号映射方式是各种进制数的QAM和PSK符号映射;为信息符号的平均功率。将X做N点IFFT变换到时域并加CP后分别由NT根发射天线发送。在MIMO通信系统中,习惯上称一根发射天线发射的信号为一层,每一层信号有N个符号,可以用一个N×1维矩阵表示;不同发射天线对应不同层的发射信号,第i根发射天线发送的信号称为第i层,对于第k个子信道的第i根发射天线发送的信号我们称为第k个子信道的第i层信号分量。在发射端,由于在载波调制之前各层数据是离散的,习惯上称为符号或信息比特,载波调制后由于各层数据变成连续的波形,习惯上称为信号;在接收端,由于判决之前的各层数据是连续的波形,习惯上称为信号,由于判决的之后的各层数据变为离散的,习惯上称为符号或信息比特。In Figure 1, NT represents the number of transmitting antennas, andNR represents the number of receiving antennas. Only the baseband signal processing process of the MIMO-OFDM system is discussed here. at the beginning, Indicates the frequency domain data frame to be sent after symbol mapping, where Indicates the frequency-domain data frame of the i-th antenna after symbol mapping, i∈(1, 2,..., NT ), Indicates the frequency-domain data frame of the kth subchannel (also known as the kth subcarrier) after symbol mapping, k∈(0, 1, ..., N-1), ( )T represents the transposition of a matrix or vector; typical The symbol mapping method is QAM and PSK symbol mapping of various base numbers; is the average power of the information symbol. Transform X to N-point IFFT into the time domain and add CP to be sent by NT transmitting antennas respectively. In the MIMO communication system, it is customary to call the signal transmitted by a transmitting antenna a layer, and each layer of signal has N symbols, which can be represented by an N×1 dimensional matrix; different transmitting antennas correspond to different layers of transmitting signals, the first The signal sent by the i transmit antenna is called the i-th layer, and the signal sent by the i-th transmit antenna of the k-th subchannel is called the i-th layer signal component of the k-th sub-channel. At the transmitting end, since each layer of data is discrete before carrier modulation, it is customarily called a symbol or information bit, and after carrier modulation, because each layer of data becomes a continuous waveform, it is customarily called a signal; at the receiving end, due to the judgment The previous layers of data are continuous waveforms, which are customarily called signals. Since the data of each layer after the decision becomes discrete, they are customarily called symbols or information bits.
为第i根发射天线与第l根接收天线间的有码间干扰(时延扩展)的时域信道,其中,i∈(1,2,…,NT),l∈(1,2,…,NR);一般而言,只有前L个分量是非0的,L即最大时延扩展的长度。对hl,i进行FFT得到第i根发射天线与第l根接收天线间的频域信道为第k个子信道的信道矩阵,表示为 is the time-domain channel with intersymbol interference (delay spread) between the i-th transmit antenna and the l-th receive antenna, where i∈(1,2,...,NT ), l∈(1,2, …, NR ); in general, Only the first L components are non-zero, and L is the length of the maximum delay extension. Perform FFT on hl, i to get the frequency domain channel between the i-th transmitting antenna and the l-th receiving antenna is the channel matrix of the kth subchannel, expressed as
其中,k∈(0,1,…,N-1)。发射信号经过MIMO信道后,经过MIMO无线通信接收机射频、中频解调及基带处理并去CP后,第l根接收天线接收到的基带信号为Among them, k ∈ (0, 1, ..., N-1). After the transmitted signal passes through the MIMO channel, after the MIMO wireless communication receiver RF, IF demodulation, baseband processing and CP removal, the baseband signal received by the first receiving antenna is
其中,为第l根接收天线接收到的有用信号部分,即发射信号与信道的卷积,为第l根接收天线上的噪声向量,其中为加性高斯白噪声的方差,k∈(0,1,…N-1),l∈(1,2,…,NR)。然后,做N点FFT得到接收信号的频域形式表达式中其中为有用信号yN,l的频域形式,为噪声向量wN,l对应频域形式。第k个子信道上,其中,信号分量为噪声分量为k∈(0,1,…N-1)。in, is the useful signal part received by the first receiving antenna, that is, the convolution of the transmitted signal and the channel, is the noise vector on the lth receiving antenna, in Additive white Gaussian noise The variance of , k∈(0, 1,...N-1), l∈(1, 2,..., NR ). Then, do N-point FFT to get the frequency domain form of the received signal in the expression in is the frequency domain form of useful signal yN,l , is the noise vector wN, and l corresponds to the frequency domain form. On the kth sub-channel, Among them, the signal component is The noise component is k ∈ (0, 1, . . . N-1).
采用线性均衡方式的MIMO接收机又称为去相关或解相关接收机(Decorrelator),在第k个子信道上,这种接收机用一个均衡矩阵去乘以接收信号向量完成对接收信号的解相关或均衡:The MIMO receiver using linear equalization is also called decorrelator or decorrelator receiver (Decorrelator). On the kth sub-channel, this receiver uses an equalization matrix to multiply the received signal vector by Complete decorrelation or equalization of the received signal:
将均衡后的信号进行判决,得到判决后的信息比特,对判决后的信息比特按发射端符号映射方式重新进行符号映射,还可以得到各相应符号的频域估计值其中i∈(1,2,…,NT),是第i层发射符号的频域估计值,k∈(0,1,…N-1),是第k个子信道上的NT层信号分量的频域估计值,当没有判决误码时,The equalized signal is judged to obtain the judged information bits, and the judged information bits are re-mapped according to the symbol mapping method of the transmitter, and the frequency domain estimated value of each corresponding symbol can also be obtained in i∈(1, 2, ..., NT ), is the frequency-domain estimated value of the i-th layer transmitted symbols, k∈(0, 1,...N-1), is the frequency-domain estimated value of the signal component of theNT layer on the kth sub-channel, when there is no judgment error,
常用的线性均衡方式有两种,即迫零(Zero Forcing,ZF)均衡和最小均方误差(Minimum Mean Square Error,MMSE)均衡,这两种均衡方式的均衡矩阵不同,其中第k个子信道上,ZF均衡的均衡矩阵是信道矩阵的广义逆(也称为M-P逆)即There are two commonly used linear equalization methods, namely Zero Forcing (ZF) equalization and Minimum Mean Square Error (MMSE) equalization. The equalization matrices of these two equalization methods are different. , the equalization matrix of ZF equalization is the channel matrix The generalized inverse (also known as the MP inverse) of Right now
第k个子信道,MMSE均衡的均衡矩阵是For the kth subchannel, the equalization matrix for MMSE equalization is
其中,为噪声方差;Es表示每个发射符号的平均发射功率,(·)H表示共轭转置。in, is the noise variance; Es represents the average transmission power of each transmitted symbol, (·)H represents the conjugate transpose.
采用上述线性均衡方式的MIMO-OFDM解相关接收机结构简单易实现,但其性能往往较差,采用MMSE均衡方式的解相关接收机性能一般比采用ZF均衡的解相关接收机要好一些,但也经常不能满足实际需求,往往要结合纠错能力很强的纠错码系统,才可以实际应用。尽管如此,由于其简单性,3GPP LTE下行的MIMO-OFDM和上行的MIMO-SCFDE系统一般还是采用线性均衡(一般是MMSE均衡)方式进行接收端的处理,这可以大大节省接收机的制造成本。The structure of the MIMO-OFDM decorrelation receiver using the linear equalization method is simple and easy to implement, but its performance is often poor. The performance of the decorrelation receiver using the MMSE equalization method is generally better than that of the ZF equalization method. It often cannot meet the actual needs, and often needs to be combined with an error-correcting code system with strong error-correcting capabilities before it can be practically applied. Nevertheless, due to its simplicity, 3GPP LTE downlink MIMO-OFDM and uplink MIMO-SCFDE systems generally use linear equalization (usually MMSE equalization) for receiver processing, which can greatly save the manufacturing cost of the receiver.
基于顺序干扰抑制(Successive Inference Cancelation,SIC)的接收机,由于采用了很好的干扰抑制技术,使得不同层间的干扰大大减轻,性能一般显著优于基于线性均衡的解相关接收机。基于SIC的MIMO接收机的典型代表是Bell实验室G Foschini提出的BLAST(Bell Laboratories Layered Space-Time Architecture)接收机,其V-BLAST虽然受到学术界的广泛追崇,但由于复杂性过高以及对信道测量误差的敏感性,至今尚没有被工业界广泛接受。这种SIC检测方法可以直接用于MIMO-OFDM的信号检测。The receiver based on sequential interference suppression (Successive Inference Cancellation, SIC) adopts a good interference suppression technology, which greatly reduces the interference between different layers, and its performance is generally significantly better than that of linear equalization-based decorrelation receivers. A typical representative of SIC-based MIMO receivers is the BLAST (Bell Laboratories Layered Space-Time Architecture) receiver proposed by G Foschini of Bell Laboratories. Although its V-BLAST has been widely pursued by the academic community, due to its high complexity and Sensitivity to channel measurement errors has not been widely accepted by the industry so far. This SIC detection method can be directly used in MIMO-OFDM signal detection.
基于线性均衡的解相关接收机虽然结构简单,被工业界广泛接受,但性能较差。Although the decorrelation receiver based on linear equalization has a simple structure and is widely accepted by the industry, its performance is poor.
发明内容Contents of the invention
本发明针对现有线性均衡接收机存在的性能差的问题,提供一种既能保持解相关接收机结构简单易实现的优点,又能使其性能得到显著提升的MIMO-OFDM无线通信接收机的带排序Turbo增强方法。必须指出,本发明的Turbo增强方法和纠错码中的Turbo码没有直接关系,本发明不依赖于任何一种纠错码。The present invention aims at the problem of poor performance existing in the existing linear equalization receiver, and provides a MIMO-OFDM wireless communication receiver that can not only maintain the advantages of a simple and easy-to-implement decorrelation receiver structure, but also significantly improve its performance Enhanced method with sort Turbo. It must be pointed out that the Turbo enhancement method of the present invention is not directly related to the Turbo code in the error correction code, and the present invention does not depend on any error correction code.
本发明的MIMO-OFDM无线通信接收机的带排序Turbo增强方法,包括以下步骤:The band sorting Turbo enhancement method of the MIMO-OFDM wireless communication receiver of the present invention comprises the following steps:
(1)缓存MIMO-OFDM无线通信接收机接收到的均衡前频域基带信号R,取出缓存的基带信号R并对其进行线性均衡,对均衡后的基带信号进行判决,得到各子信道的各层基带信号分量的信息比特,并进一步得到各子信道的各层基带信号分量的频域估计值;(1) Cache the pre-equalized frequency-domain baseband signal R received by the MIMO-OFDM wireless communication receiver, take out the cached baseband signal R and perform linear equalization on it, make a judgment on the equalized baseband signal, and obtain each sub-channel The information bit of the baseband signal component of the layer, and further obtain the frequency domain estimated value of the baseband signal component of each layer of each subchannel;
(2)计算各子信道的各层基带信号分量的频域估计值的排序指标,并根据计算结果对各子信道的各层基带信号分量的频域估计值进行排序;(2) Calculate the ordering index of the frequency-domain estimated value of each layer of baseband signal components of each subchannel, and sort the frequency-domain estimated values of each layer of each layer of baseband signal components of each subchannel according to the calculation results;
(3)根据步骤(2)得到的各子信道的各层基带信号分量的频域估计值的排序结果,按次序依次对各子信道的各层基带信号分量的频域估计值进行Turbo增强;对基带信号的各子信道的各层基带信号分量的频域估计值都进行一次增强称为一轮Turbo增强,根据对接收机性能和复杂性方面的要求,至少进行一轮Turbo增强。(3) According to the sorting result of the frequency domain estimated values of the baseband signal components of each layer of each subchannel obtained in step (2), Turbo enhancement is carried out to the estimated frequency domain values of the baseband signal components of each layer of each subchannel in sequence; Performing one enhancement on the frequency-domain estimated values of the baseband signal components of each sub-channel of the baseband signal is called one round of Turbo enhancement. According to the requirements for receiver performance and complexity, at least one round of Turbo enhancement is performed.
上述各步骤的具体实现方法如下:The concrete realization method of above-mentioned each step is as follows:
步骤(1)中,对缓存的基带信号R进行线性均衡可以采用ZF均衡或MMSE均衡。将均衡后的基带信号进行判决的方法与普通MIMO-OFDM无线通信接收机的方法相同。得到各子信道的各层基带信号分量的频域估计值的方法是:对判决后的各子信道的信息比特按发射端符号映射方式重新进行符号映射,得到各子信道的各层基带信号分量的频域估计值In step (1), ZF equalization or MMSE equalization may be used to linearly equalize the buffered baseband signal R. The method of judging the equalized baseband signal is the same as that of a common MIMO-OFDM wireless communication receiver. The method of obtaining the frequency-domain estimated values of the baseband signal components of each layer of each sub-channel is: re-mapping the symbols of the information bits of each sub-channel after the judgment according to the symbol mapping method of the transmitter, and obtaining the baseband signal components of each layer of each sub-channel The frequency domain estimate of
步骤(2)中,计算各子信道的各层基带信号分量的频域估计值的排序指标的方法如下:In step (2), the method for the ordering index of the frequency-domain estimated value of each layer baseband signal component of calculating each sub-channel is as follows:
当采用ZF均衡器时,对于第k个子信道,各层基带信号分量的频域估计值的排序指标是当前子信道的各层信号分量的均衡后其中,第k个子信道的第i层信号分量的频域估计值的排序指标是k∈(0,1,…,N-1),i∈(1,2,…,NT),(·)i表示矩阵的第i个行向量;When the ZF equalizer is used, for the kth subchannel, the ranking index of the frequency domain estimated value of the baseband signal components of each layer is the equalized value of the signal components of each layer of the current subchannel Among them, the ranking index of the frequency-domain estimated value of the i-th layer signal component of the k-th sub-channel is k ∈ (0, 1, ..., N-1), i ∈ (1, 2, ..., NT ), ( )i represents the ith row vector of the matrix;
当采用MMSE均衡器时,对于第k个子信道,各层基带信号分量的频域估计值的排序指标是当前子信道的各层信号分量的均衡后或者均衡后噪声抑制系数对于第k个子信道,当采用均衡后SINRk时,第k个子信道的第i层信号分量的频域估计值的排序指标是i∈(1,2,…,NT),k∈(0,1,…,N-1),(·)i表示矩阵的第i个列向量;对于第k个子信道;当采用均衡后NSi时,第k个子信道的第i层信号的频域估计值的排序指标是其中diagi(·)表示矩阵(·)的第i个对角元;当使用均衡后噪声抑制系数排序指标时,其计算公式和均衡矩阵非常相似,对于第k个子信道,如果令则将计算时使用的Gk的结果储存,用于计算均衡后噪声抑制系数,以减少系统的计算量和复杂性。When the MMSE equalizer is used, for the kth sub-channel, the ordering index of the frequency-domain estimated values of the baseband signal components of each layer is equalized or noise suppression coefficient after equalization For the kth subchannel, when the equalized SINRk is used, the ranking index of the frequency domain estimated value of the i-th layer signal component of the kth subchannel is i ∈ (1, 2, ..., NT ), k ∈ (0, 1, ..., N-1), ( )i represents the i-th column vector of the matrix; for the k-th sub-channel; when using equalization When NSi , the ranking index of the frequency-domain estimated value of the i-th layer signal of the k-th subchannel is where diagi (·) represents the i-th diagonal element of the matrix (·); when using the equalized noise suppression coefficient sorting index, its calculation formula is very similar to the equalized matrix, for the kth sub-channel, if but will calculate The result storage of Gk used during the calculation is used to calculate the noise suppression coefficient after equalization, so as to reduce the calculation amount and complexity of the system.
步骤(2)中,根据计算结果对各子信道的各层基带信号分量的频域估计值进行排序的方法如下:In step (2), the method for sorting the frequency-domain estimated values of the baseband signal components of each sub-channel according to the calculation results is as follows:
对于第k个子信道,对均衡后信噪比SNRk或均衡后信号干扰噪声功率比SINRk或均衡后噪声抑制系数NSk进行由小到大排列,得到1×NT维排序矩阵其中,i=1,2,…,NT;对于SNRk、SINRk和NSk分别满足或者和For the kth sub-channel, arrange the equalized signal-to-noise ratio SNRk or the equalized signal-to-interference noise power ratio SINRk or the equalized noise suppression coefficient NSk from small to large to obtain a 1×NT- dimensional sorting matrix in, i=1, 2, ..., NT ; for SNRk , SINRk and NSk respectively satisfy or and
上述方法是对各子信道的各层基带信号分量的频域估计值由小到大的排序。对各子信道的各层基带信号分量的频域估计值也可以由大到小的排序,其方法与上述由小到大的排序方法相反。The method above is to sort the frequency-domain estimation values of the baseband signal components of each layer in each sub-channel from small to large. The frequency-domain estimation values of the baseband signal components of each layer of each sub-channel may also be sorted from large to small, and the method is opposite to the above-mentioned sorting method from small to large.
步骤(3)中,按次序依次对各子信道的各层基带信号分量的频域估计值进行一轮Turbo增强的具体方法如下:In step (3), the specific method of carrying out one round of Turbo enhancement to the frequency-domain estimated values of the baseband signal components of each sub-channel in sequence is as follows:
根据步骤(2)得到排列向量首先处理第0个子信道,从步骤(1)得到的频域估计值中,取出第0个子信道的频域估计值的第s1层以外的其他各层信号分量的频域估计值,用来重构接收机接收到的第s1层以外的其他各层发射信号的频域信号,其中,i∈1,…NT是对接收机接收到的第0个子信道的第i层发射信号分量的重构,(·)T表示矩阵或向量的转置;i∈1,…NT是对接收机接收到的第0个子信道的除第i层发射信号分量以外的其他NT-1层发射信号分量的重构;然后取出缓存的均衡前频域基带信号用缓存的信号减去第0个子信道的除第s1层发射信号分量以外的其他NT-1层发射信号分量的重构信号,即将得到的信号左乘得到并进行判决,得到第0个子信道的第s1层信号分量这里,C为N×NT维判决输出矩阵,表示第k个行向量,表示的第i个分量;将按发射端符号映射方式重新进行符号映射,用当前映射信号更新原频域估计值中的用相同的方法处理第0个子信道的第s2层信号分量,直至层信号分量,每次重构接收机接收到的当前子信道的当前层以外的其他层的发射信号分量时,使用最新更新过的频域估计值此时第0个子信道Turbo增强完毕;用相同的方法处理第1个子信道,直至N-1子信道。Get permutation vector according to step (2) First, the 0th subchannel is processed, and the frequency domain estimate obtained from step (1) , take out the frequency-domain estimated value of the 0th sub-channel The frequency-domain estimated values of the signal components of other layers other than thes1th layer are used to reconstruct the frequency-domain signals of the transmitted signals of other layers other than thes1th layer received by the receiver, wherein, i∈1,...NT is the reconstruction of the transmitted signal component of the i-th layer of the 0th subchannel received by the receiver, ( )T represents the transposition of the matrix or vector; i∈1,...NT is the reconstruction of the transmitted signal components of the 0th sub-channel received by the receiver, except for the transmitted signal components of the i-th layer, otherNT -1 layers; Signal Use the cached signal to subtract the reconstructed signal of the 0th subchannel except thes1th layer transmit signal component of the otherNT -1 layer transmit signal components, that is will get the signal multiply by left get And make a decision to get thes1th layer signal component of the 0th subchannel Here, C is an N×NT -dimensional decision output matrix, represents the kth row vector, express The i-th component of ; will Re-map the symbol according to the symbol mapping method of the transmitter, and update the original frequency-domain estimated value with the current mapped signal middle Use the same method to process the s-th layer signal component of the 0th sub-channel until Layer signal components, when reconstructing the transmitted signal components of other layers other than the current layer of the current subchannel received by the receiver, use the latest updated frequency domain estimation value At this point, the Turbo enhancement of the 0th sub-channel is completed; the 1st sub-channel is processed in the same way until N-1 sub-channels.
ZF均衡和MMSE均衡的Turbo增强方法相同。The turbo enhancement method of ZF equalization and MMSE equalization is the same.
可以按以下步骤具体实现按次序依次对各子信道的各层基带信号分量的频域估计值进行一轮Turbo增强:The following steps can be specifically implemented to perform a round of Turbo enhancement on the frequency domain estimated values of the baseband signal components of each subchannel in each layer in sequence:
①for k=0,1,…,N-1① for k=0, 1, ..., N-1
②for ②for
③
④
⑤
⑥
⑦End for⑦End for
⑧End for k=0,1,…,N-1⑧End for k=0, 1,..., N-1
其中,Q(·)表示符号映射,D(·)表示判决,(·)i表示矩阵的第i个列向量或行向量的第i个分量,(·)T表示矩阵或向量的转置;步骤⑤中C为N×NT维判决输出矩阵,表示第k个行向量,表示的第i个分量;步骤⑥中的第k个子信道的第i层信号分量的值更新,用于第一轮Turbo增强后面第k个子信道的其它层信号分量的Turbo增强。Among them, Q(·) represents the symbol mapping, D(·) represents the decision, (·)i represents the i-th column vector of the matrix or the i-th component of the row vector, (·)T represents the transposition of the matrix or vector; In step ⑤, C is an N×NT dimension judgment output matrix, represents the kth row vector, express The i-th component of the i-th layer signal component of the k-th sub-channel in
步骤(3)中,按次序依次对各子信道的各层基带信号分量的频域估计值进行多轮Turbo增强的具体方法如下:In step (3), the specific method of carrying out multiple rounds of Turbo enhancement to the frequency-domain estimated value of each layer baseband signal component of each sub-channel in sequence is as follows:
设置最大Turbo增强的轮数T,T的值可根据性能和复杂性需要自行设置,一般2≤T≤NT+2*log2(M),这里NT是发射天线数,M是符号映射进制数(也称为调制进制数);一轮Turbo增强后,比较Turbo增强前结果与Turbo增强后结果是否相同,若不相同,进行下一轮Turbo增强,直至前一轮Turbo增强结果与当前Turbo增强结果相同或达到Turbo增强的最大设置轮数T,多轮Turbo增强结束。Set the maximum number of turbo enhancement rounds T, the value of T can be set according to the performance and complexity needs, generally 2≤T≤NT +2*log2 (M), where NT is the number of transmitting antennas, M is the symbol mapping Base number (also known as modulation base number); after a round of Turbo enhancement, compare whether the result before Turbo enhancement is the same as that after Turbo enhancement, if not, proceed to the next round of Turbo enhancement until the result of the previous round of Turbo enhancement The result of the current turbo enhancement is the same or the maximum number of turbo enhancement rounds T is reached, and the multi-round turbo enhancement ends.
本发明对线性均衡器输出的信号进行进一步的处理,仅仅增加很少的复杂性,基本保持了原来解相关接收机的结构简单易实现的优点,同时可以使这种解相关接收机的性能得到显著提升。在复杂性和计算量没有很大增加的情况下,可以明显提高MIMO-OFDM无线通信接收机的性能。The present invention carries out further processing to the signal output by the linear equalizer, only adds a little complexity, basically keeps the advantage that the structure of the original de-correlation receiver is simple and easy to realize, and can make the performance of this de-correlation receiver to be improved simultaneously Significantly improved. The performance of the MIMO-OFDM wireless communication receiver can be obviously improved without greatly increasing the complexity and calculation amount.
附图说明Description of drawings
图1是MIMO-OFDM无线通信系统的基本框图。Fig. 1 is a basic block diagram of a MIMO-OFDM wireless communication system.
图2是本发明MIMO-OFDM无线通信接收机的带排序Turbo增强方法的实现框图。Fig. 2 is a block diagram of the implementation of the sorting Turbo enhancement method of the MIMO-OFDM wireless communication receiver of the present invention.
图3是本发明MIMO-OFDM无线通信接收机的带排序Turbo增强方法采用MMSE均衡时的误比特曲线图。Fig. 3 is a bit error curve diagram when MMSE equalization is adopted in the sorting Turbo enhancement method of the MIMO-OFDM wireless communication receiver of the present invention.
图中:1、MIMO-OFDM发射端处理模块,2、射频、中频解调及基带处理模块,3、去CP模块,4、FFT模块(N点),5、线性均衡模块,6、判决输出模块,7、Turbo增强模块,8、输出模块。In the figure: 1. MIMO-OFDM transmitter processing module, 2. RF, IF demodulation and baseband processing module, 3. CP removal module, 4. FFT module (N points), 5. Linear equalization module, 6. Judgment output Module, 7. Turbo enhancement module, 8. Output module.
具体实施方式Detailed ways
实施例给出的是用MMSE均衡的MIMO-OFDM无线通信接收机利用本发明的带排序Turbo增强方法的仿真结果。The embodiment provides the simulation results of the MIMO-OFDM wireless communication receiver with MMSE equalization using the turbo enhancement method with sorting of the present invention.
图2给出了实现本发明MIMO-OFDM无线通信接收机的带排序Turbo增强方法的框图,本发明是针对图1所示空分复用无线通信系统的接收机进行改进,在图1给出的NT×NR的宽带MIMO-OFDM无线通信系统的基础上增加了Turbo增强模块7和输出模块8,这两个模块的作用如下:Fig. 2 has provided the block diagram that realizes the band sorting Turbo enhancement method of the MIMO-OFDM wireless communication receiver of the present invention, the present invention is to improve the receiver of the space division multiplexing wireless communication system shown in Fig. 1, and provides in Fig. 1 On the basis of theNT ×NR wideband MIMO-OFDM wireless communication system, a Turbo enhancement module 7 and an
Turbo增强模块7:完成本发明所描述的排序和Turbo增强方法。Turbo enhancement module 7: complete the sorting and Turbo enhancement method described in the present invention.
输出模块8:输出信号。Output module 8: output signal.
该实施例仿真参数:The simulation parameters of this embodiment:
仿真环境:MATLAB R2010aSimulation environment: MATLAB R2010a
子信道总数:N=2048Total number of sub-channels: N=2048
CP长度:128CP length: 128
发射天线数:4Number of transmit antennas: 4
接收天线数:4Number of receiving antennas: 4
符号映射方式:4QAMSymbol mapping method: 4QAM
抽样率:20M抽样/秒Sampling rate: 20M samples/second
最大Turbo增强的轮数:T=NT+log2(M)The number of rounds of maximum Turbo enhancement: T=NT +log2 (M)
仿真的平均接收信噪比范围:SNR=4~20(dB)The simulated average receiving signal-to-noise ratio range: SNR=4~20(dB)
纠错编码:未使用Error Correction Coding: Not used
仿真信道环境:采用4×4 IMT2000A信道,本实施例中使用的是IMT2000A信道的一个静态信道样本,该样本使用mt19937ar随机数发生器产生,mt19937ar随机数发生器中的seed设为2010;本实施例中的IMT2000A信道并没有考虑发射天线间的相关性和接收天线间的相关性。Simulation channel environment: 4×4 IMT2000A channels are used. In this embodiment, a static channel sample of the IMT2000A channel is used. The sample is generated by the mt19937ar random number generator, and the seed in the mt19937ar random number generator is set to 2010; this implementation The IMT2000A channel in the example does not consider the correlation between transmitting antennas and the correlation between receiving antennas.
仿真中没有考虑信道估计误差和同步误差(包括载波同步误差、抽样率同步误差和帧定时同步误差)对系统的影响,即假设所有同步参数的误差都为0;仿真中没有设置虚载波,因此没有考虑虚载波的影响;没有考虑其他非理想因素的影响(例如器件的非线性等)。The influence of channel estimation error and synchronization error (including carrier synchronization error, sampling rate synchronization error and frame timing synchronization error) on the system is not considered in the simulation, that is, it is assumed that the errors of all synchronization parameters are 0; virtual carrier is not set in the simulation, so The influence of the virtual carrier is not considered; the influence of other non-ideal factors (such as the nonlinearity of the device, etc.) is not considered.
仿真结果:Simulation results:
图3给出了采用本发明提出的MIMO-OFDM无线通信接收机的带排序Turbo增强方法MMSE均衡的误比特曲线,与没有进行Turbo增强的现有MIMO-OFDM系统中的普通MMSE均衡的误比特能进行了比较。Fig. 3 has provided and adopted the MIMO-OFDM wireless communication receiver that the present invention proposes the bit error curve of band sorting Turbo enhancement method MMSE equalization, and the bit error curve of ordinary MMSE equalization in the existing MIMO-OFDM system that does not carry out Turbo enhancement can be compared.
由图3可以看出,本发明提出的MIMO-OFDM无线通信接收机的带排序Turbo增强方法比普通的MIMO-OFDM无线通信接收机的性能得到很大改善。在2×10-2到2×10-3的范围内,本发明提出的MIMO-OFDM无线通信接收机的一轮和多轮Turbo增强方法比普通的MIMO-OFDM无线通信接收机的性能改善大约1到2dB。It can be seen from FIG. 3 that the performance of the sorting Turbo enhancement method of the MIMO-OFDM wireless communication receiver proposed by the present invention is greatly improved compared with that of the common MIMO-OFDM wireless communication receiver. In the range of 2×10-2 to 2×10-3 , the performance of the MIMO-OFDM wireless communication receiver proposed by the present invention in one round and multi-round Turbo enhancement method is improved by about 1 to 2dB.
| Application Number | Priority Date | Filing Date | Title |
|---|---|---|---|
| CN 201010554315CN102035787B (en) | 2010-11-23 | 2010-11-23 | Band sequencing Turbo enhancement method for multiple-input multiple-output-orthogonal frequency division multiplexing (MIMO-OFDM) wireless communication receiver |
| Application Number | Priority Date | Filing Date | Title |
|---|---|---|---|
| CN 201010554315CN102035787B (en) | 2010-11-23 | 2010-11-23 | Band sequencing Turbo enhancement method for multiple-input multiple-output-orthogonal frequency division multiplexing (MIMO-OFDM) wireless communication receiver |
| Publication Number | Publication Date |
|---|---|
| CN102035787Atrue CN102035787A (en) | 2011-04-27 |
| CN102035787B CN102035787B (en) | 2013-08-07 |
| Application Number | Title | Priority Date | Filing Date |
|---|---|---|---|
| CN 201010554315Expired - Fee RelatedCN102035787B (en) | 2010-11-23 | 2010-11-23 | Band sequencing Turbo enhancement method for multiple-input multiple-output-orthogonal frequency division multiplexing (MIMO-OFDM) wireless communication receiver |
| Country | Link |
|---|---|
| CN (1) | CN102035787B (en) |
| Publication number | Priority date | Publication date | Assignee | Title |
|---|---|---|---|---|
| CN102710567A (en)* | 2012-05-08 | 2012-10-03 | 山东大学 | Part judgment method in interference elimination technology for multiple-input multiple-output (MIMO) wireless communication receiver |
| CN107949060A (en)* | 2017-11-27 | 2018-04-20 | 电子科技大学 | A kind of power distribution method for mixing circulation prefix orthogonal frequency division multiple access |
| CN109792438A (en)* | 2016-09-12 | 2019-05-21 | 陈仕东 | The method and device of multi-input and multi-output channel transmission video |
| CN114449526A (en)* | 2020-11-05 | 2022-05-06 | 辰芯科技有限公司 | Anti-interference processing method and receiver |
| CN114760177A (en)* | 2022-03-22 | 2022-07-15 | 佰路威科技(北京)有限公司 | Data receiving method and related equipment in multipoint-to-point system |
| Publication number | Priority date | Publication date | Assignee | Title |
|---|---|---|---|---|
| CN101622840A (en)* | 2007-02-28 | 2010-01-06 | 国立大学法人大阪大学 | Transmission method, transmission system, transmission apparatus, and reception apparatus |
| CN101662442A (en)* | 2003-07-24 | 2010-03-03 | 科达无线私人有限公司 | Method and system for communication in a multiple access network |
| EP2242186A1 (en)* | 2008-02-05 | 2010-10-20 | Sharp Kabushiki Kaisha | Execution judgment device, reception device, radio communication system, and execution judgment method |
| EP2247019A1 (en)* | 2008-02-21 | 2010-11-03 | Sharp Kabushiki Kaisha | Communication device, communication system, reception method, and communication method |
| Publication number | Priority date | Publication date | Assignee | Title |
|---|---|---|---|---|
| CN101662442A (en)* | 2003-07-24 | 2010-03-03 | 科达无线私人有限公司 | Method and system for communication in a multiple access network |
| CN101622840A (en)* | 2007-02-28 | 2010-01-06 | 国立大学法人大阪大学 | Transmission method, transmission system, transmission apparatus, and reception apparatus |
| EP2242186A1 (en)* | 2008-02-05 | 2010-10-20 | Sharp Kabushiki Kaisha | Execution judgment device, reception device, radio communication system, and execution judgment method |
| EP2247019A1 (en)* | 2008-02-21 | 2010-11-03 | Sharp Kabushiki Kaisha | Communication device, communication system, reception method, and communication method |
| Publication number | Priority date | Publication date | Assignee | Title |
|---|---|---|---|---|
| CN102710567A (en)* | 2012-05-08 | 2012-10-03 | 山东大学 | Part judgment method in interference elimination technology for multiple-input multiple-output (MIMO) wireless communication receiver |
| CN109792438A (en)* | 2016-09-12 | 2019-05-21 | 陈仕东 | The method and device of multi-input and multi-output channel transmission video |
| CN109792438B (en)* | 2016-09-12 | 2022-01-11 | 陈仕东 | Method and device for transmitting video through multiple-input multiple-output channel |
| CN107949060A (en)* | 2017-11-27 | 2018-04-20 | 电子科技大学 | A kind of power distribution method for mixing circulation prefix orthogonal frequency division multiple access |
| CN114449526A (en)* | 2020-11-05 | 2022-05-06 | 辰芯科技有限公司 | Anti-interference processing method and receiver |
| CN114449526B (en)* | 2020-11-05 | 2024-11-22 | 辰芯科技有限公司 | Anti-interference processing method and receiver |
| CN114760177A (en)* | 2022-03-22 | 2022-07-15 | 佰路威科技(北京)有限公司 | Data receiving method and related equipment in multipoint-to-point system |
| CN114760177B (en)* | 2022-03-22 | 2024-02-13 | 佰路威科技(北京)有限公司 | Data receiving method in multipoint-to-point system and related equipment |
| Publication number | Publication date |
|---|---|
| CN102035787B (en) | 2013-08-07 |
| Publication | Publication Date | Title |
|---|---|---|
| CN101505290B (en) | An Improved Frequency Offset Estimation Method for Wideband MIMO | |
| Bagadi et al. | MIMO-OFDM channel estimation using pilot carries | |
| CN102647386B (en) | Timely aligning method for use in multi-point cooperation OFDM (Orthogonal Frequency Division Multiplexing) system based on sub-band pre-coding | |
| CN101222470B (en) | Channel Estimation Method for Dual-Antenna Discrete Fourier Spread Spectrum Generalized Multicarrier Systems | |
| CN101222458A (en) | Low-Order Recursive Minimum Mean Square Error Estimation for MIMO-OFDM Channels | |
| CN101355543A (en) | Channel Estimation Method for MIMO-SCFDE System Based on Orthogonal Training Sequence | |
| CN102111354A (en) | Linear minimum mean square error (LMMSE) detection method for multiple input multiple output-orthogonal frequency division multiplexing (MIMO-OFDM) | |
| CN102035787B (en) | Band sequencing Turbo enhancement method for multiple-input multiple-output-orthogonal frequency division multiplexing (MIMO-OFDM) wireless communication receiver | |
| CN106533590A (en) | Uplink channel quality measurement method based on receiver EVM | |
| CN102227098A (en) | A frequency-domain bearing point selection method for multi-mode MIMO-SCFDE adaptive transmission system | |
| CN102045285B (en) | Channel estimation method and device and communication system | |
| CN102006250B (en) | Turbo enhancement method for MIMO-SCFDE wireless communication receiver | |
| CN102710567A (en) | Part judgment method in interference elimination technology for multiple-input multiple-output (MIMO) wireless communication receiver | |
| US8687675B2 (en) | Method and system for transmitting/receiving data in communication system | |
| Bhoyar et al. | Leaky least mean square (LLMS) algorithm for channel estimation in BPSK-QPSK-PSK MIMO-OFDM system | |
| CN101783722B (en) | Transmission method and device for virtual MIMO | |
| CN102082628B (en) | Turbo enhancing method for band sorting of MIMO (multiple input multiple output) wireless communication receiver | |
| CN102487368B (en) | Design method and realization device of Per-tone equalizer (PTEQ) | |
| CN101951308B (en) | Self-adaptive transmission method of vehicle speed mobile MIMO-SCFDE system | |
| CN102006251B (en) | Turbo enhancement method of MIMO (multi-input multi-output) wireless communication receiver | |
| CN1838578A (en) | Multi-antenna wireless communication system, sending/receiving processing unit and joint processing method thereof | |
| CN1816027A (en) | Iterative channel estimation method in multi-antenna multi-carrier-wave wireless telecommunication system | |
| CN113890797B (en) | Channel estimation method based on short packet communication transmission process | |
| Bhagya et al. | STUDY OF TRANMISSION CHARACTERISTICS OF 2X2 MIMO SYSTEM FOR DIFFERENT DIGITAL MODULATION USING OFDM AND STBC MULTIPLEXING TECHNIQUES AND ZF EQUALIZER RECEIVER. | |
| CN102868490B (en) | Low-complexity sphere decoding detection method |
| Date | Code | Title | Description |
|---|---|---|---|
| C06 | Publication | ||
| PB01 | Publication | ||
| C10 | Entry into substantive examination | ||
| SE01 | Entry into force of request for substantive examination | ||
| C14 | Grant of patent or utility model | ||
| GR01 | Patent grant | ||
| CF01 | Termination of patent right due to non-payment of annual fee | ||
| CF01 | Termination of patent right due to non-payment of annual fee | Granted publication date:20130807 Termination date:20151123 |