

技术领域technical field
本发明是有关于一种提高内插像素的线性度的方法,且特别是有关于一种适用触摸装置的提高内插像素的线性度的方法。The present invention relates to a method for improving the linearity of interpolated pixels, and in particular to a method for improving the linearity of interpolated pixels applicable to a touch device.
背景技术Background technique
触摸屏显示器(Touch Screen)可以让使用者只要用手指轻轻地碰计算机显示屏上的图案或文字就能实现对主机的操作,这样就摆脱了键盘和鼠标操作,使人机交互更为方便简洁,目前主要应用于信息查询、电子游戏、点歌点菜、多媒体教学、机票/火车票预售等公共场所。The touch screen display (Touch Screen) allows the user to operate the host computer by lightly touching the pattern or text on the computer display screen with his finger, thus getting rid of the keyboard and mouse operation and making the human-computer interaction more convenient and concise. , At present, it is mainly used in public places such as information inquiry, electronic games, ordering songs and dishes, multimedia teaching, and pre-sale of air tickets/train tickets.
随着触摸屏技术的发展,人们对触摸的精度要求越来越高。内插(Interpolation)便是一种图像处理方法,它可以为数码图像增加或减少象素的数目。某些数码相机运用插值的方法创造出象素比传感器实际能产生象素多的图像,或创造数码变焦产生的图像。实际上,几乎所有的图像处理软件支持一种或以上插值方法。图像放大后锯齿现象的强弱直接反映了图像处理器插值运算的成熟程度。像素内插(Pixel Interpolation)便是应用于触摸装置的图像处理方法。With the development of touch screen technology, people have higher and higher requirements for touch precision. Interpolation is an image processing method that can increase or decrease the number of pixels for a digital image. Some digital cameras use interpolation to create images with more pixels than the sensor can actually produce, or to create images produced by digital zoom. In fact, almost all image processing software supports one or more interpolation methods. The strength of the jagged phenomenon after the image is enlarged directly reflects the maturity of the interpolation operation of the image processor. Pixel Interpolation is an image processing method applied to touch devices.
通常的像素内插的作法为,采用触摸点(touch point)的上下及左右的感测器所感应到的电压差值来做为触摸点的像素位置的判断依据。然而,这种做法对于触摸点的位置落在感测器之间的情况所产生的误差较为严重,且像素的线性度不佳。A common method of pixel interpolation is to use the voltage difference sensed by the upper, lower, left and right sensors of a touch point as the basis for judging the pixel position of the touch point. However, this approach produces serious errors when the position of the touch point falls between the sensors, and the linearity of the pixels is not good.
因此,如何改善现有的像素内插方法,以提升其精确度及线性度,即为本发明在此探讨的一重要课题。Therefore, how to improve the existing pixel interpolation method to enhance its accuracy and linearity is an important topic discussed in the present invention.
发明内容Contents of the invention
本发明的目的在于提供一种提高内插像素(Pixel)的线性度的方法,适用于具有多个感测器(Sensor)的触摸装置,该方法包含下列步骤:通过以触摸点为中心的以九宫格形式排列的感测器感测到的多个电压差值;根据电压差值分别计算一横轴向量(Vector)、一纵轴向量、一第一斜向量和一第二斜向量;将第一斜向量和第二斜向量分配至横轴与纵轴;以及根据分布在横轴与纵轴的向量总和计算出一横轴数值与一纵轴数值以确定内插像素(Pixel Interpolation)位置。The object of the present invention is to provide a method for improving the linearity of interpolated pixels (Pixel), which is suitable for touch devices with multiple sensors (Sensor), and the method includes the following steps: A plurality of voltage differences sensed by sensors arranged in a nine-square grid form; respectively calculate a horizontal vector (Vector), a vertical vector, a first oblique vector and a second oblique vector according to the voltage differences; Assign the first oblique vector and the second oblique vector to the horizontal axis and the vertical axis; and calculate a horizontal axis value and a vertical axis value according to the sum of the vectors distributed on the horizontal axis and the vertical axis to determine the interpolation pixel (Pixel Interpolation) Location.
依据本发明一实施例,触摸装置具有一模/数转换器,将电压差值转换为数值输出。According to an embodiment of the present invention, the touch device has an analog-to-digital converter for converting the voltage difference into a digital output.
依据本发明一实施例,该方法还包含:将第一斜向量和第二斜向量分配至横轴与纵轴后分别除以一斜量(slant weight)。According to an embodiment of the present invention, the method further includes: assigning the first slant vector and the second slant vector to the horizontal axis and the vertical axis, and dividing by a slant weight respectively.
其中,该方法还包含:将横轴数值与纵轴数值四舍五入。Wherein, the method further includes: rounding the horizontal axis value and the vertical axis value.
如此,除了采用触摸点(touch point)的上下及左右的感测器所感应到的电压差值来作为触摸点的像素位置的判断依据外,还利用其左上、左下、右上、右下的电压差值进行修正,即利用触摸点周围九宫格的感测器所获得的电压差值来决定其像素点坐落于触摸点的哪个位置,从而有效降低内插像素点的判断误差,提高像素显示的线性度。In this way, in addition to using the voltage difference sensed by the upper, lower, left and right sensors of the touch point as the basis for judging the pixel position of the touch point, the voltages of the upper left, lower left, upper right, and lower right are also used to determine the pixel position of the touch point. The difference is corrected, that is, the voltage difference obtained by the sensor of the nine-square grid around the touch point is used to determine where the pixel is located at the touch point, thereby effectively reducing the judgment error of the interpolated pixel and improving the linearity of the pixel display Spend.
附图说明Description of drawings
为让本发明的上述和其它目的、特征、优点与实施例能更明显易懂,所附附图的详细说明如下:In order to make the above and other objects, features, advantages and embodiments of the present invention more comprehensible, the detailed description of the accompanying drawings is as follows:
图1绘示触摸装置的感测器示意图;FIG. 1 shows a schematic diagram of a sensor of a touch device;
图2绘示一个感测器所占像素的示意图;FIG. 2 shows a schematic diagram of pixels occupied by a sensor;
图3绘示本发明的提高内插像素的线性度的方法中的向量示意图。FIG. 3 is a schematic diagram of vectors in the method for improving the linearity of interpolated pixels of the present invention.
具体实施方式Detailed ways
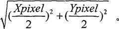
请结合参阅图1与图2,图1绘示触摸装置的感测器示意图,图2绘示一个感测器所占像素的示意图。具有多个感测器的触摸装置,例如一触摸面板,图中所示为触摸装置中以相邻的感测器1-9呈三行三列形式排布的九宫格,其中位于九宫格中心的感测器便是触摸点Touch point所处的位置。在触摸物,例如手指,按压在触摸装置上时,触摸点5及其周围的感测器S2_min、Y_min、S1_min、X_middle、X_min、S1_middle、Y_middle、S2_middle都会感应到电压差值,触摸装置具有的模/数转换器(ADC)便会将该电压差值转换为数值输出作为计算数据。通常触摸点Touch point具有最大的ADC值,在横轴中,感测器X_middle的ADC值大于感测器X_min的ADC值,在纵轴中,感测器Y_min的ADC值小于感测器Y_middle的ADC值。在判断像素内插值时,利用触摸点Touch point上方的感测器Y_min,下方的感测器Y_middle,左方的感测器X_middle以及右方的感测器X_min的ADC值作为判断依据。具体公式为:Please refer to FIG. 1 and FIG. 2 in conjunction. FIG. 1 is a schematic diagram of a sensor of a touch device, and FIG. 2 is a schematic diagram of pixels occupied by a sensor. A touch device with multiple sensors, such as a touch panel, is shown in the figure as a nine-square grid with adjacent sensors 1-9 arranged in three rows and three columns in the touch device, wherein the sensor located at the center of the nine-square grid The detector is where the Touch point is located. When a touch object, such as a finger, is pressed on the touch device, the touch point 5 and the surrounding sensors S2_min, Y_min, S1_min, X_middle, X_min, S1_middle, Y_middle, and S2_middle will all sense the voltage difference, and the touch device has An analog-to-digital converter (ADC) then converts the voltage difference into a numerical output as calculation data. Usually the touch point Touch point has the largest ADC value. In the horizontal axis, the ADC value of the sensor X_middle is greater than the ADC value of the sensor X_min. In the vertical axis, the ADC value of the sensor Y_min is smaller than that of the sensor Y_middle ADC value. When judging the pixel interpolation value, the ADC values of the sensor Y_min above the touch point, the sensor Y_middle below, the sensor X_middle on the left, and the sensor X_min on the right of the touch point are used as the judgment basis. The specific formula is:
横轴
纵轴
最后,(Pixel_X,Pixel_Y)便是触摸点上的像素内插值。Finally, (Pixel_X, Pixel_Y) is the pixel interpolation value on the touch point.
然而,然而,这种做法对于触摸点Touch point的位置落在感测器之间的情况所产生的误差较为严重,且像素的线性度不佳。However, this approach produces serious errors when the position of the touch point falls between the sensors, and the linearity of the pixels is not good.
因此,本发明是一种提高内插像素(Pixel)的线性度的方法,请结合参阅图2与图3,图3绘示本发明的提高内插像素(Pixel)的线性度的方法中的向量示意图。具有多个感测器的触摸装置,例如一触摸面板,图中所示为触摸装置中以相邻的感测器1-9呈三行三列形式排布的九宫格,其中位于九宫格中心的感测器便是触摸点Touch point所处的位置。在触摸物,例如手指,按压在触摸装置上时,触摸点5及其周围的感测器S2_min、Y_min、S1_min、X_middle、X_min、S1_middle、Y_middle、S2_middle都会感应到电压差值,触摸装置具有的模/数转换器(ADC)便会将该电压差值转换为数值输出作为计算数据。通常触摸点Touch point具有最大的ADC值,在横轴中,感测器X_middle的ADC值大于感测器X_min的ADC值,在纵轴中,感测器Y_min的ADC值小于感测器Y_middle的ADC值,在第一斜轴(以下简称S1轴)中,感测器S1_middle的ADC值大于感测器S1_min的ADC值,在第二斜轴(以下简称S2)中,感测器S2_middle的ADC值大于感测器S2_min的ADC值。其中,为横轴向量,为纵轴向量,为S1轴向量即第一斜向量,为S2轴向量即第二斜向量。其计算公式分别为:Therefore, the present invention is a method for improving the linearity of an interpolated pixel (Pixel). Please refer to FIG. 2 and FIG. 3 in conjunction. Vector schematic diagram. A touch device with multiple sensors, such as a touch panel, is shown in the figure as a nine-square grid with adjacent sensors 1-9 arranged in three rows and three columns in the touch device, wherein the sensor located in the center of the nine-square grid The detector is the position where the Touch point is located. When a touch object, such as a finger, is pressed on the touch device, the touch point 5 and the surrounding sensors S2_min, Y_min, S1_min, X_middle, X_min, S1_middle, Y_middle, S2_middle will all sense the voltage difference, and the touch device has An analog-to-digital converter (ADC) then converts the voltage difference into a numerical output as calculation data. Usually the touch point Touch point has the largest ADC value. On the horizontal axis, the ADC value of the sensor X_middle is greater than the ADC value of the sensor X_min. On the vertical axis, the ADC value of the sensor Y_min is smaller than that of the sensor Y_middle ADC value, in the first inclined axis (hereinafter referred to as S1 axis), the ADC value of sensor S1_middle is greater than the ADC value of sensor S1_min, in the second inclined axis (hereinafter referred to as S2), the ADC value of sensor S2_middle The value is greater than the ADC value of sensor S2_min. in, is the horizontal vector, is the vertical vector, is the S1 axial vector, that is, the first oblique vector, is the S2 axis vector, that is, the second oblique vector. Their calculation formulas are:
之后,将第一斜向量与第二斜向量分配至横轴与纵轴,其计算公式分别为:Afterwards, assign the first oblique vector and the second oblique vector to the horizontal axis and the vertical axis, and their calculation formulas are respectively:
其中,S1_X为第一斜向量的横轴分量,S1_Y为第一斜向量的纵轴分量,S2_X为第二斜向量的横轴分量,S2_Y为第二斜向量的纵轴分量,θ为Among them, S1_X is the horizontal axis component of the first oblique vector, S1_Y is the vertical axis component of the first oblique vector, S2_X is the horizontal axis component of the second oblique vector, S2_Y is the vertical axis component of the second oblique vector, and θ is
接着,根据分布在横轴与纵轴的向量总和计算出一横轴数值与一纵轴数值以确定内插像素位置。为了降低斜边分量所占的权重,将其除以斜量(slant_weight),以避免向量相加后,其结果超出一个感测器所能表达的像素范围。横轴数值与纵轴数值的计算公式为:Next, a value on the horizontal axis and a value on the vertical axis are calculated according to the sum of the vectors distributed on the horizontal axis and the vertical axis to determine the position of the interpolated pixel. In order to reduce the weight of the slant component, it is divided by the slant weight (slant_weight), so as to avoid the vector addition, and the result exceeds the range of pixels that can be expressed by a sensor. The formula for calculating the horizontal axis value and the vertical axis value is:
其中,COG_X即为横轴数值,COG_Y即为纵轴数值,slant_weight即为斜量。最后像素内插值即为(COG_X,COG_Y)。此外还可将横轴数值与纵轴数值四舍五入。Among them, COG_X is the value on the horizontal axis, COG_Y is the value on the vertical axis, and slant_weight is the amount of slant. The final pixel interpolation value is (COG_X, COG_Y). In addition, the values on the horizontal axis and the vertical axis can be rounded off.
表一Table I
表一是现有内插像素方法与本发明提供的利用向量提高内插像素的线性度的对比实验数据表。易得知,使用本发明所提供的方法能够将误差大幅降低。Table 1 is a comparison experiment data table between the existing pixel interpolation method and the method provided by the present invention using vectors to improve the linearity of interpolated pixels. It is easy to know that using the method provided by the present invention can greatly reduce the error.
使用本发明提供的提高内插像素的线性度方法,除了采用触摸点(touch point)的上下及左右的感测器所感应到的电压差值来作为触摸点的像素位置的判断依据外,还利用其左上、左下、右上、右下的电压差值进行修正,即利用触摸点周围九宫格的感测器所获得的电压差值来决定其像素点坐落于触摸点的哪个位置,从而有效降低内插像素点的判断误差,提高像素显示的线性度。Using the method for improving the linearity of the interpolation pixel provided by the present invention, in addition to using the voltage difference sensed by the up, down, left and right sensors of the touch point as the basis for judging the pixel position of the touch point, Use the voltage difference of the upper left, lower left, upper right, and lower right to correct, that is, use the voltage difference obtained by the sensor of the Jiugong grid around the touch point to determine where the pixel is located on the touch point, so as to effectively reduce internal Interpolate the judgment error of pixels to improve the linearity of pixel display.
虽然本发明已以实施方式揭露如上,然其并非用以限定本发明,任何本领域的普通技术人员,在不脱离本发明的精神和范围内,当可作各种的更动与润饰,因此本发明的保护范围当视后附的申请专利范围所界定者为准。Although the present invention has been disclosed above in terms of implementation, it is not intended to limit the present invention. Any person skilled in the art may make various modifications and modifications without departing from the spirit and scope of the present invention. Therefore, The scope of protection of the present invention should be defined by the scope of the appended patent application.
| Application Number | Priority Date | Filing Date | Title |
|---|---|---|---|
| CN2010106201330ACN102033655A (en) | 2010-12-20 | 2010-12-20 | Method for improving linearity of interpolation pixel |
| Application Number | Priority Date | Filing Date | Title |
|---|---|---|---|
| CN2010106201330ACN102033655A (en) | 2010-12-20 | 2010-12-20 | Method for improving linearity of interpolation pixel |
| Publication Number | Publication Date |
|---|---|
| CN102033655Atrue CN102033655A (en) | 2011-04-27 |
| Application Number | Title | Priority Date | Filing Date |
|---|---|---|---|
| CN2010106201330APendingCN102033655A (en) | 2010-12-20 | 2010-12-20 | Method for improving linearity of interpolation pixel |
| Country | Link |
|---|---|
| CN (1) | CN102033655A (en) |
| Publication number | Priority date | Publication date | Assignee | Title |
|---|---|---|---|---|
| CN103294305A (en)* | 2012-02-24 | 2013-09-11 | 德克萨斯仪器股份有限公司 | Compensated linear interpolation of capacitive sensors of capacitive touch screens |
| Publication number | Priority date | Publication date | Assignee | Title |
|---|---|---|---|---|
| CN103294305A (en)* | 2012-02-24 | 2013-09-11 | 德克萨斯仪器股份有限公司 | Compensated linear interpolation of capacitive sensors of capacitive touch screens |
| CN103294305B (en)* | 2012-02-24 | 2018-05-08 | 德克萨斯仪器股份有限公司 | The compensation linear interpolation of capacitance sensor in capacitance touch screen |
| Publication | Publication Date | Title |
|---|---|---|
| CN103135832B (en) | Method for calculating touch coordinates on a touch panel | |
| KR101493494B1 (en) | User device including fingerprint sensing region in touch screen | |
| US8823655B2 (en) | Touch-point coordinate detecting method | |
| US8692802B1 (en) | Method and apparatus for calculating coordinates with high noise immunity in touch applications | |
| US10001887B2 (en) | Multi-touch touch screen and its junction area touch sensing method | |
| CN105094487B (en) | Touch screen and its control method, control device, touch display unit | |
| US20150338932A1 (en) | Reduce stylus tip wobble when coupled to capacitive sensor | |
| US20140118297A1 (en) | Method for improving linearity of touch system coordinates | |
| US11836317B2 (en) | Touchpad and its force sensing data calibration method | |
| US9465493B2 (en) | Touchscreen device and method of sensing touch | |
| CN107102805A (en) | A kind of display methods and display device | |
| US10627951B2 (en) | Touch-pressure sensitivity correction method and computer-readable recording medium | |
| TWI450143B (en) | Touch device and touch position locating method thereof | |
| US20140327647A1 (en) | Touchscreen device, method for sensing touch input and method for generating driving signal | |
| CN102033655A (en) | Method for improving linearity of interpolation pixel | |
| WO2015176376A1 (en) | Method and device for automatically adjusting valid touch point, and computer storage medium | |
| CN103176671B (en) | Touch electronic device and touch track correction method | |
| TWI602098B (en) | Touch Sensor Device And Sensing Method For Touch Point | |
| TWI450172B (en) | Floating compensation method of touch panel | |
| US9632606B1 (en) | Iteratively adjusting estimated touch geometries of estimated touches to sequential estimated actual touches | |
| US20150029131A1 (en) | Methods and apparatuses for recognizing multiple fingers on capacitive touch panels and detecting touch positions | |
| TWI419011B (en) | Method and system for tracking touch point | |
| US9086773B2 (en) | Touchscreen device and method of processing touch data | |
| CN101593058A (en) | Touch point coordinate detection method | |
| CN112764594B (en) | Electronic device and object information recognition method using touch data |
| Date | Code | Title | Description |
|---|---|---|---|
| C06 | Publication | ||
| PB01 | Publication | ||
| C02 | Deemed withdrawal of patent application after publication (patent law 2001) | ||
| WD01 | Invention patent application deemed withdrawn after publication | Application publication date:20110427 |